Разработка и реализация социально-культурного проекта на примере детского развлекательного центра

  • Вид работы:
    Дипломная (ВКР)
  • Предмет:
    Финансы, деньги, кредит
  • Язык:
    Русский
    ,
    Формат файла:
    MS Word
    126,32 kb
  • Опубликовано:
    2011-06-23
Вы можете узнать стоимость помощи в написании студенческой работы.
Помощь в написании работы, которую точно примут!

Разработка и реализация социально-культурного проекта на примере детского развлекательного центра

Содержание

Введение

Глава 1. Теоретические основы реализации инвестиционных проектов в социально-культурной сфере

1.1 Понятие и особенности реализации инвестиционных проектов в социально-культурной сфере

1.2 Принципы и методы управления реализацией инвестиционных проектов в социально-культурной сфере

1.3 Критерии социально-экономической эффективности реализации проекта

Глава 2. Особенности реализации инвестиционных проектов в социально-культурной сфере

2.1 Реализация инвестиционных проектов в социально-культурной сфере Самарской области

2.2 Структура инвестиционного проекта в социально-культурной сфере

2.3 Оценка социально-экономической эффективности реализации инвестиционного проекта на примере ДРЦ "Мечта"

Заключение

Список используемой литературы

Введение


Актуальность темы исследования. Актуальность овладения основами социально-культурного проектирования обусловлена, во-первых, тем, что данная технология имеет широкую область применения для всех профессий социотехнической направленности. Во-вторых, владение логикой и технологией социокультурного проектирования позволит специалистам более эффективно осуществлять аналитические, организационно-управленческие и консультационно-методические функции в социально-культурной сфере. В-третьих, проектные технологии обеспечивают конкурентоспособность специалиста на рынке труда - умение разработать социально значимый проект и оформить заявку на его финансирование - это реальная возможность создать себе рабочее место как в рамках существующих учреждений и организаций, так и вне их.

Следовательно, успешность деятельности специалиста социально-культурной сферы во многом зависит от степени овладения им технологией социально-культурного проектирования, содержание которой составляет компетентный анализ конкретной ситуации, разработка и реализация проектов и программ, оптимизирующих основные составляющие человеческой жизнедеятельности.

Успешное развитие предприятия в условиях рыночной экономики неразрывно связано с процессом долгосрочного инвестирования.

На современном этапе все большее число организаций социокультурной направленности осознают необходимость сознательного перспективного управления инвестиционной деятельностью на основе научной методологии предвидения ее направлений и форм, адаптации к общим целям развития предприятия и изменяющимся условиям внешней инвестиционной среды.

Одним из ведущих противоречий, характеризующих современную социокультурную ситуацию, является разрыв между инновационным потенциалом культуры и массовой способностью его освоения и использования в повседневной социокультурной практике. Об этом свидетельствует низкий уровень культуры производства, культуры труда, длительный период адаптации молодых специалистов на рабочем месте, растущее недовольство членов общества содержанием образа жизни и качеством жизни, плохое состояние жизненной среды (экологические разрушения, запущенные города, неудобные квартиры, неблагоустроенные рабочие места и пр.). Следовательно, ранее сложившиеся способы освоения форм культурной жизни, относящиеся к ее менее динамичному состоянию, устарели, необходим их критический пересмотр и выход на осмысление, формирование и распространение новых социально значимых культурных образцов (деятельности, поведения, отношения к природе, обществу, другим людям), соответствующих сегодняшней ситуации.

Степень научной разработанности проблемы. В современной отечественной и зарубежной социологической литературе социальное проектирование рассматривалось в различных контекстах: теорию социального проектирования разрабатывали как отечественные, так и зарубежные авторы. Основы проектирования социальных систем и процессов заложили Я. Дитрих, Т. Тиори, Д. Фрай, П. Хиллош, Ф. Ханика, И.И. Ляхов, В.Н. Дубровский, А.Г. Раппопорт, Г.А. Антонюк.

В.М. Розин поднял очень важный вопрос о ценностных и смысловых аспектах проектируемых социальных систем. Б.В. Сазонова, Г.П. Щедровицкий позволили включить в социальное проектирование методологию общей теории систем. О.Г. Генисаретский ввел понятие социальной политики и объяснил механизм стратегического социального планирования в условиях СССР.Ж.Т. Тощенко, Н.Г. Харитонов, И.В. Бестужев-Лада, А.И. Пригожий рассматривали социальное проектирование как вид и элемент социального управления.

Роль культуры в той или иной мере учитывалась всегда. Но в полной мере системообразующая функция культуры стала учитываться, лишь благодаря работам Э. Гиртца, Л.Г. Ионина, Д.Б. Дондурея, Т.М. Дридзе. Крайне важны для понимания системно-структурной сущности социального проектирования работы И.И. Ляхова, Б. В Сазонова.

Важное значение культуры в институциональных и структурных преобразованиях отмечали М. Вебер, П. Сорокин, С. Хантингтон.

Проблемы социально-культурного проектирования стали предметом исследования благодаря работам В.А. Казначеева, А.П. Маркова, П.И. Бирженюк, Т.М. Дридзе, Э. А Орловой, В.И. Курбатова, О.В. Курбатовой.

Объектом исследования дипломной работы является инвестиционное проектирование в социально-культурной сфере.

Предметом исследования выступает проект детского развлекательного центра "Мечта".

Целью дипломной работы является проведение оценки инвестиционного проекта.

Реализация поставленной цели потребовала решения следующих исследовательских задач:

. Раскрыть теоретические основы проектирования в СКС;

. Изучить принципы и методы социально-культурного проектирования;

. Выявить критерии социально-экономической эффективности инвестиционного проектирования;

. Рассмотреть социально-культурные инвестиционные проекты в Самарской области;

. Анализировать реализацию инвестиционного проекта на примере социально-культурного учреждения;

. Оценить социально-экономическую эффективность реализации инвестиционного проекта.

В ходе исследования нами были использованы следующие исследовательские методы: метод сравнительного анализа, метод наблюдения, метод теоретического анализа, метод контент-анализа социологических исследований, метод финансового анализа деятельности предприятия, статистического анализа, расчета интегральных показателей, проведение процедур социологического опроса и др.

Теоретическая значимость - расширение концептуальных положений теории инвестиций и обоснование критериев эффективности реализации инвестиционного проекта в социально-культурной сфере.

Практическая значимость - применение данных, полученных в ходе теоретического исследования в практической реализации проекта "Детский развлекательный центр "Мечта".

Базой исследования является детский развлекательный центр "Мечта".

Объем и структура работы. Дипломная работа состоит из введения, двух глав, каждая из которых включает в себя три параграфа, и заключения. В конце работы помещен библиографический список и приложения. Общий объем работы - ____ машинописных страниц.

Глава 1. Теоретические основы реализации инвестиционных проектов в социально-культурной сфере


1.1 Понятие и особенности реализации инвестиционных проектов в социально-культурной сфере


В основе любой профессии социально-культурной сферы лежит способность подготовить и провести культурную акцию (или систему мероприятий и акций), предварительно обосновав ее идею, определив цели и задачи, предполагаемые средства их решения. Мероприятие, акция, программа будут эффективными лишь в том случае, если в их основу будет положен идеальный замысел - предваряющий действие проект.

Таким образом, социально-культурное проектирование - это специфическая технология, представляющая собой конструктивную, творческую деятельность, сущность которой заключается в анализе проблем и выявлении причин их возникновения, выработке целей и задач, характеризующих желаемое состояние объекта (или сферы проектной деятельности), разработке путей и средств достижения поставленных целей [27; с.15-20].

Социальное проектирование - это специфическая деятельность, связанная с научно обоснованным определением вариантов развития социальных процессов и явлений и с целенаправленным коренным изменением конкретных социальных институтов [36; с.29].

Инвестиционный проект - проект, предусматривающий (в числе других действий) осуществление инвестиций, обоснование экономической целесообразности, объемов и сроков проведения капитальных вложений, включая необходимую документацию, разрабатываемую в соответствии с принятыми в России стандартами, а также описание практических действий по реализации инвестиций (бизнес - план) [9; с.11]. Проектные материалы в данном случае должны содержать информацию о том, кто осуществляет инвестиции, в какой форме они осуществляются, каков объем этих инвестиций и как они распределены во времени. Инвестор - участник инвестиционного проекта, в числе действий которого предусмотрено осуществление инвестиций. Инвестиционные проекты в социально-культурной сфере преследуют цель получения доходов от производства некоторой продукции или услуги, а также достижение положительного социального эффекта.

В законодательстве определение инвестиций звучит так: инвестиции - денежные средства, ценные бумаги, иное имущество, в том числе имущественные права, иные права, имеющие денежную оценку, вкладываемые в объекты предпринимательской и иной деятельности в целях получения прибыли или иного полезного эффекта [5]. Заметим, что цель инвестирования определена как прибыль или полезный эффект, который не обязательно должен быть связан с сиюминутным доходом. Социальные инвестиции по аналогии с фондовыми инвестициями (вложениями в ценные бумаги) или реальными инвестициями (вложениями в реальный сектор экономики) предполагают вложения в социальную сферу.

Социальная сфера - совокупность государственных и частных институтов, деятельность которых направлена на поддержание и повышение социально приемлемого уровня жизни людей. Отрасли социальной сферы удовлетворяют материальные, духовные и социальные потребности населения.

К социальной сфере относятся: деятельность по распространению информации, культуры, искусства, спорта, отдыха и развлечений оптовая и розничная торговля; гостиничный и ресторанный бизнес; транспортное, складское хозяйство, связь; финансовое посредничество - страхование, пенсионное обеспечение; государственное управление и социальные услуги; образование; здравоохранение; деятельность по предоставлению коммунальных и персональных услуг и др.

инвестиционный проект социальный культурный

Социальные инвестиции - вложения в объекты социальной сферы с целью получения дохода и повышения уровня и качества жизни людей посредством удовлетворения их материальных, духовных или социальных потребностей.

Субъекты социальных инвестиций - органы государственной власти, государственные и муниципальные предприятия, российские и иностранные частные коммерческие и некоммерческие организации, физические лица. Для государства целями социальных инвестиций могут быть повышение национального дохода и уровня (качества) жизни одновременно, для коммерческих структур, иностранных инвесторов и физических лиц - прибыль, для некоммерческих организаций - повышение уровня и качества жизни посредством удовлетворения материальных, духовных и социальных потребностей. Для последних получение прибыли не является целью социального инвестирования [48].

Комментарии (0)  <#"522280.files/image001.gif">

Где R - ставка дисконтирования, которая отражает скорость изменения стоимости денег со временем;

I - сумма привлеченных инвестиций;

A-     денежная отдача за определенный год [11; 108-116].

ЧД и ЧДД характеризуют превышение суммарных денежных поступлений над суммарными затратами для данного проекта соответственно без учета и с учетом неравноценности эффектов (а также затрат, результатов), относящихся к различным моментам времени. Разность ЧД - ЧДД нередко называют дисконтом проекта.

Для признания проекта эффективным с точки зрения инвестора необходимо, чтобы ЧДД проекта был положительным.

Чем больше значение ЧДД, тем эффективнее проект. При отрицательном значении ЧДД проект убыточный. ЧДД является основным показателем эффективности проекта.

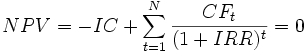
Внутренняя норма доходности (IRR, ВНД) - это процентная ставка, при которой чистый дисконтированный доход (NPV) равен 0. NPV рассчитывается на основании потока платежей, дисконтированного к сегодняшнему дню.

Иначе говоря, для потока платежей CF, где CFt - платёж через t лет (t = 1,.,N) и начальной инвестиции в размере IC = − CF0 внутренняя норма доходности IRR рассчитывается из уравнения:


Сроком окупаемости с учетом дисконтирования называется продолжительность периода от начального момента до "момента окупаемости с учетом дисконтирования". Моментом окупаемости с учетом дисконтирования называется тот наиболее ранний момент времени в расчетном периоде, после которого текущий чистый дисконтированный доход ЧДД (к) становится и в дальнейшем остается неотрицательным.

Логика критерия СО такова:

он показывает число базовых периодов (шагов расчета), за которое исходная инвестиция будет полностью возмещена за счет генерируемых проектом притоков денежных средств:

можно выделять и дробную часть периода расчета, если абстрагироваться от исходного предположения, что приток денежных средств осуществляется только в конце периода.

Критерий СО:

а) не учитывает влияние доходов последних периодов, выходящих за предел срока окупаемости;

б) в отличие от других критериев позволяет давать оценки, хотя и грубые, о ликвидности и рискованности проекта.

Индексы доходности (ИД) характеризуют (относительную)"отдачу проекта" на вложенные в него средства. Они могут рассчитываться как для дисконтированных, так и для не дисконтированных денежных потоков. При оценке эффективности часто используются: - индекс доходности дисконтированных затрат - отношение суммы дисконтированных денежных притоков к сумме дисконтированных денежных оттоков.

В ряде случаев определяется показатель рентабельности инвестиций (РИ), показывающий, сколько денежных единиц чистого дохода принесет с учетом дисконтирования одна денежная единица, инвестированная в проект.

Рентабельность инвестиций в процентах рассчитывается следующим образом: (доход*100) / (размер инвестиций) [11; с.117-121].

Социальные результаты проектов в большинстве случаев поддаются стоимостной оценке и включаются в состав общих результатов проекта в рамках определения его экономической эффективности. При определении коммерческой и бюджетной эффективности проекта социальные результаты проекта не учитываются.

Основными видами социальных результатов проекта, подлежащих отражению в расчетах эффективности, являются:

изменение количества рабочих мест в регионе;

улучшение жилищных и культурно-бытовых условий работников;

изменение условий труда работников;

изменение структуры производственного персонала;

изменение надежности снабжения населения регионов или населенных пунктов отдельными видами товаров;

изменение уровня здоровья работников и населения;

экономия свободного времени населения [34; с.100].

Как мы уже знаем, большинство проектов имеют определенные дату окончания, бюджет и объем работ. Это трио времени, денег и объема работ часто называют проектным треугольником (рис.1), потому что при внесении изменений в один из этих элементов меняются оба других. И хотя для проекта в равной степени важны все три элемента, как правило, только один из них в зависимости от приоритетов имеет наибольшее влияние на другие.

 

Рис.1. Проектный треугольник

Например, если вы решите изменить план проекта, укоротив расписание, то возрастет стоимость проекта (если вы решите привлечь дополнительных работников) или уменьшится объем работ. Если же изменить план проекта с целью уменьшения его бюджета, то может возрасти длительность проекта и уменьшиться объем работ. Наконец, если вы увеличите объем работ, то проект будет длиться дольше и стоить дороже.

То, как изменения в плане влияют на другие стороны треугольника, зависит от обстоятельств и специфики проекта. В некоторых случаях сокращение времени увеличивает стоимость, а в других - уменьшает.

При создании плана вы можете столкнуться с тем, что план не удовлетворяет ожиданиям, например, проект заканчивается слишком поздно или его стоимость превышает допустимые пределы. В таком случае план нужно оптимизировать, чтобы привести его в соответствие с ожиданиями.

Когда вы начинаете оптимизировать план, постоянно помните обо всех элементах треугольника и о том, что, когда вы изменяете одну из сторон, это затрагивает две другие - позитивно или негативно в зависимости от вашего проекта. И проверяйте два других элемента треугольника, чтобы быть уверенным, что изменения не делают план невыполнимым. Например, если вы изменили свой план с целью уменьшить расходы, проверьте, что дата окончания проекта все еще находится в допустимых пределах.

Качество, четвертый элемент проектного треугольника, находится в его центре, и изменения, вносимые в любую из сторон треугольника, практически всегда влияют на качество (рис.2). Качество не является стороной треугольника - это результат ваших действий со временем, стоимостью и объемом работ.

Рис.2. Проектный треугольник

Качество находится в центре проектного треугольника; изменение любой из составляющих проекта так или иначе влияет на его качество.

Например, если вы нашли лишнее время в расписании, то можете увеличить объем работ, добавив задачи и увеличив длительность проекта. С этими дополнительными задачами и временем вы сможете добиться более высокого качества в проекте и произведенном продукте или услуге.

Если же вы хотите снизить расходы, чтобы уложиться в бюджет, возможно, вам понадобится уменьшить объем работ, убрав некоторые из задач или уменьшив их длительность. С уменьшенным объемом работ у проекта будет меньше шансов выйти на требуемый уровень качества, поэтому снижение расходов может привести к снижению качества проекта [46].

Установление степени риска - важный аспект планирования. Риски в инновационном проекте - это возникновение неблагоприятных ситуаций, влияние случайных факторов во всех аспектах деятельности, вероятность. Нужно сбалансировать эти риски, чтобы инновационная команда взвесила все "за" и "против" и начала осуществление проекта. Предпринимательский риск предполагает, что затраченные ресурсы, исключая собственное время, могут не окупиться прибылью в силу как контролируемых обстоятельств, так и неконтролируемых. Отвечающий за реализацию проекта в целом принимает на себя значительную долю рисков. Следствием неблагоприятной ситуации является наличие потерь или убытков или снижение эффективности проекта. Важно научиться управлять рисками. Успешность бизнеса зависит от квалифицированных кадров. Важна репутация фирмы, важно взаимоотношение с властями. Бизнес-план составляется с той целью, чтобы способствовать становлению и постоянному улучшению стандартов ведения бизнеса, дает возможность определить жизнеспособность инновационного проекта в условиях конкуренции. Важными чертами инноваторов - проектантов становятся трудолюбие, самоотдача, энергичность, корпоративизм. Риски могут быть устранены эффективными приемами их диверсификации, благодаря развитию экономического мышления инноваторов - проектантов, имеющих бизнес-планы. Бизнес-план содержит ориентиры, как должен развиваться проект.

Практика показывает, что сложные современные проблемы не решаются или решаются неправильно и неэффективно только потому, что они оказываются либо неправильно сформулированными, либо не учитываются все существенные аспекты проблемы или ограничения, накладываемые на решения [16].

Для любого проекта эффективность выражается отношением полученного результата к произведенным затратам. Экономическая эффективность, как конечный результат хозяйственной деятельности, может характеризоваться стоимостными или натуральными показателями. Применительно к социальным инвестициям экономическая эффективность отражает только одну часть общих показателей эффективности. Другую часть отражают показатели социальной эффективности социальных инвестиций.

Существуют четыре основных показателя эффективности социального инвестирования:

социальный эффект, характеризующий степень удовлетворенности населения качеством жизни. Он определяется как экономическими или статистическими, так и социологическими показателями: изменением соотношения бюджетов домохозяйств от потребления к сбережению, ростом количества детей в семьях, повышением образовательного уровня населения, удовлетворенностью социальным статусом или финансовым положением. Основной показатель - повышение качества жизни людей в результате социальной инвестиционной деятельности.

социальная эффективность - показатель, определяющий повышение уровня жизни людей. Показатели социальной эффективности дают представление о количественной стороне достигнутых социальных целей, ради которых социальный инвестиционный проект разрабатывался и осуществлялся: возникновение дополнительных социальных услуг, изменение индекса потребительских цен, обеспеченности жильем, уменьшение безработицы, увеличение рождаемости и снижение смертности.

социально-экономическая эффективность - показатель, дающий представление об экономической эффективности инвестиционных вложений в социальную сферу с учетом достигнутого социального эффекта. Показатели социально-экономической эффективности определяются вслед за социальным эффектом через увеличение физического объема услуги, уменьшение стоимостной оценки услуги, снижение текущих затрат организаций социальной сферы, увеличение числа посещений развлекательных мероприятий, снижение выплат по безработице - спектр показателей огромен.

экономическая эффективность - показатель, отражающий экономическую эффективность проекта на основе соотношения результатов к затратам. Экономическая эффективность социальных инвестиций основывается на минимизации затрат по их разработке и осуществлению: абсолютные (разность между суммой капиталовложений и денежной оценкой его результатов), относительные (отношение денежной оценки результатов и совокупных затрат), временные (период возврата инвестиций).

Наиболее актуальным в настоящее время социальным инвестиционным проектом в области культуры и искусства может стать развитие культурного образования детей и юношества.

Эффективность каждого государственного социального инвестиционного проекта будет выражаться в росте ВВП страны, создании новых рабочих мест, увеличении налоговых поступлений, уменьшении выплат из фондов социального страхования, повышении средней продолжительности жизни, сохранении и развитии физического и душевного здоровья детей и молодежи [48].

По нашему мнению применение к реализации проектов в социально-культурной сфере только критериев экономической эффективности является недостаточным и однобоким. При разработке и реализации социально-культурного проекта необходимо учитывать его социальную значимость и эффективность. Вместе с тем нельзя отрицать применимости экономических критериев для оценки эффективности реализации проекта.

Глава 2. Особенности реализации инвестиционных проектов в социально-культурной сфере


2.1 Реализация инвестиционных проектов в социально-культурной сфере Самарской области


Государственная поддержка инвестиционной деятельности в Самарской области осуществляется в соответствии с Законом Самарской области "Об инвестициях и государственной поддержке инвестиционной деятельности в Самарской области" путем улучшения инвестиционного климата и непосредственного (прямого) участия государства в инвестиционной деятельности.

Инвестор, реализующий инвестиционный проект на территории Самарской области, может рассчитывать на различные формы государственной поддержки в соответствии с действующим региональным инвестиционным законодательством, которое гарантирует равные условия для всех участников бизнес-процесса, необходимые для справедливой конкуренции, минимальные административные барьеры, благоприятный налоговый режим [45]. Формы прямого участия органов государственной власти Самарской области представлены в приложении 1.

Организации, реализующие инвестиционные проекты на территории Самарской области, могут воспользоваться государственной поддержкой на всех стадиях и этапах реализации проектов.

На этапе принятия инвестором решения об открытии бизнеса на территории Самарской области региональное законодательство предусматривает:

Государственное кураторство для инвесторов, реализующих инвестиционные проекты стоимостью от 650 миллионов рублей и более, оказание инвесторам информационной и правовой поддержки, в том числе в процессе оформления документов, необходимых для реализации инвестиционного проекта.

Представление информации об условиях ведения бизнеса в процессе участия в организуемых органами государственной власти выставках и ярмарках инвестиционных проектов.

Представление методической и консультационной помощи, ознакомление с информационно-аналитическими материалами, в том числе с базами данных свободных производственных площадей, земельных участков на территории Самарской области. Одним из основных направлений деятельности Правительства области по установлению прямого диалога с инвесторами является формирование базы данных и предоставление информации о наличии свободных производственных площадей на территории региона. Данная база представляет собой не только информацию о свободных площадях, пригодных для организации производства, но и информацию о наличии коммуникаций и инфраструктуры, расположенной вблизи площадки, что принципиально важно для инвестора.

Использование механизма разработки, утверждения и осуществления межмуниципальных инвестиционных проектов и инвестиционных проектов по объектам государственной собственности Самарской области. Объем направляемых на указанные цели средств утверждается законом Самарской области об областном бюджете на очередной финансовый год и плановый период. Инвестиционные предложения вносятся органами исполнительной власти Самарской области и (или) органами местного самоуправления муниципальных образований Самарской области, на территории которых планируется реализация инвестиционного проекта, на рассмотрение конкурсной комиссии. Отбор инвестиционных предложений по разработке, утверждению и осуществлению инвестиционных проектов проводится конкурсной комиссией на основании заключений органов исполнительной власти Самарской области. Выбор инвестора, реализующего инвестиционный проект, осуществляется на конкурсной основе. Порядок проведения конкурса определяется Правительством Самарской области. Данная форма позволяет реализовывать долгосрочные капиталоемкие проекты, что способствует укреплению межмуниципальных связей, увеличению налогооблагаемой базы, созданию новых рабочих мест.

На этапе реализации инвесторами инвестиционных проектов на территории Самарской области региональное законодательство предусматривает:

Предоставление на конкурсной основе государственных гарантий Самарской области по инвестиционным проектам.

Целью предоставления государственных гарантий является обеспечение обязательств по возврату заемных денежных средств, привлекаемых для осуществления инвестиционной деятельности.

Долевое участие Самарской области в уставном (складочном) капитале юридических лиц, реализующих инвестиционные проекты в соответствии с действующим федеральным и региональным законодательством; данный механизм является основой реализации государственно-частного партнёрства в долгосрочных проектах по развитию транспортной, инженерной, коммунальной инфраструктуры Самарской области.

Предоставление субсидий на безвозмездной и безвозвратной основе инвесторам - производителям товаров, работ, услуг (за исключением производителей сельскохозяйственной продукции агропромышленного комплекса Самарской области) в целях возмещения затрат, понесенных инвестором в ходе реализации инвестиционного проекта;

Существует несколько направлений по которым возможно предоставление субсидий инвесторам-производителям товаров, работ, услуг [45].

Субсидии предоставляются на принципах конкурсного отбора (селекции) в соответствии с критериями эффективности реализуемых инвестиционных проектов в случаях и в пределах объема средств, предусмотренных законом Самарской области об областном бюджете на соответствующий финансовый год и плановый период. Категории и критерии отбора инвесторов, имеющих право на получение субсидии, цели и условия предоставления субсидий, порядок предоставления и иные условия определяются Правительством Самарской области. Схема направления субсидий инвесторам-производителям товаров, работ, услуг представлена в приложении 2.

Размер предоставляемой субсидии одному инвестору определяется на основании представляемых инвестором отчетных данных и не превышает:

процентов расходов инвестора на развитие коммунальной инфраструктуры общего пользования объекта инвестирования, но не более 30 миллионов рублей;

процентов расходов инвестора на обучение или переобучение работающих в рамках реализуемого инвестиционного проекта, но не более 10 тысяч рублей за одного работающего, проходящего (прошедшего) обучение или переобучение в целях реализации инвестиционного проекта;

процентов расходов инвестора на обучение или переобучение безработных производственным специальностям, но не более 15 тысяч рублей за одного безработного, проходящего (прошедшего) обучение или переобучение в целях реализации инвестиционного проекта;

/3 произведенных инвестором (заемщиком) затрат на уплату процентов по привлеченным инвестиционным кредитам, полученным в кредитных организациях, но не более 2/3 ставки рефинансирования Центрального банка Российской Федерации;

процентов произведенных инвестором (лизингополучателем) затрат на уплату лизинговых платежей, но не более 10 миллионов рублей по одному инвестиционному проекту ежегодно;

процентов расходов инвестора на возмещение затрат, связанных с сертификацией и (или) патентованием продукции, оформлением прав на результаты интеллектуальной деятельности, но не более одного миллиона рублей.

На этапе завершения инвестиционных проектов государственная поддержка инвесторов на территории Самарской области осуществляется в форме предоставления льгот по налогу на имущество и снижение для крупных инвесторов (объем инвестиций 650 млн. рублей) процентной ставки по налогу на прибыль до 13,5% организациям, реализующим инвестиционные проекты в соответствии с законами Самарской области "О налоге на имущество организаций на территории Самарской области" и "О пониженных ставках налога на прибыль организаций, зачисляемого в областной бюджет".

Льготное налогообложение организаций устанавливается на срок окупаемости инвестиционного проекта, но не более чем на семь лет.

Льготное налогообложение применяется при представлении в налоговый орган по месту своего налогового учета на территории Самарской области заявления налогоплательщика в письменной форме с приложением бизнес-плана, согласованного министерством экономического развития, инвестиций и торговли Самарской области, с указанием даты начала реализации инвестиционного проекта и срока его окупаемости.

Следует отметить активизацию инвесторов по различным направлениям деятельности в социально-культурной сфере. Среди таких проектов можно выделить следующие: строительство здания государственного архива Самарской области; проектирование и реконструкция зданий Самарского государственного академического театра оперы и балета; проектирование и реконструкция здания Самарского театра юного зрителя "СамАрт"; проектирование, строительство и создание памятника жертвам терроризма в городе Самаре; проектирование, строительство и реконструкция объектов физкультуры и спорта Самарской области; проектирование и строительство крытого катка с искусственным льдом по адресу: г. Самара, пос. Мехзавод; реконструкция государственного учреждения "Самарский пансионат ветеранов труда и инвалидов" и др. Перечень инвестиционных проектов Самарской области представлен в приложении 3.

2.2 Структура инвестиционного проекта в социально-культурной сфере


Целевой проект - это созданная на основе анализа ситуации взаимосвязанная система целей, задач и способов достижения результата, т.е. продуманная последовательность мероприятий, действий и акций, обеспеченная в нормативно-правовом, экономическом и кадровом отношении и ведущая к достижению заранее поставленной цели путем изменения ситуации и создания условий, способствующих разрешению противоречий и трудностей личностного развития; оптимизации социально-культурной и социально-психологической среды обитания человека [26; с.125].

Можно выделить два типа целевых проектов, которые отличаются друг от друга логикой, алгоритмом и технологией проектирования.

Первый тип условно можно обозначить как оргпроект, предполагающий создание тех или иных форм негосударственных общественных объединений.

Главная особенность оргпроекта заключается в том, что фактором, определяющим его содержание и форму реализации, является область проблематики, в то время как аудитория проекта на этапе анализа ситуации (и даже на этапе рождения основной идеи, замысла проекта) может быть еще не выявлена.

В данной работе мы разберем структуру проекта второго типа - социально-ориентированного.

Проект такого типа предполагает оптимизацию социальных и социально-психологических условий существования человека, группы. Целевой ориентацией проекта может выступать: содействие разрешению, минимизации или профилактики проблем, характеризующих неблагоприятные обстоятельства жизнедеятельности человека (группы); создание условий для успешной самореализации личности.

Задачи-средства социально-ориентированных проектов можно свести к трем группам:

оптимизация образа жизни человека (помощь в освоении культурных технологий, например, овладение новой профессией, новыми средствами коммуникации, видом культурно - досуговой или художественной деятельности и т.д.);

изменение в социально-культурной среде и в основных сферах жизнедеятельности личности;

оптимизация связей, форм и способов взаимодействия человека со средой.

Социально-ориентированные проекты имеют различный характер: художественно-творческая адаптация и реабилитация; социально-психологическая адаптация; духовной реабилитация; профессиональная ориентация и реабилитация; физическая реабилитация.

Спецификой разработки такого типа проектов является то, что “точкой отсчета" здесь является аудитория. Первый шаг в общей логике формирования проекта - характеристика всей совокупности проблем (и прежде всего личностных), носителем которых является конкретная социальная группа - реальная или потенциальная аудитория проекта. Предпочтение данному типу целевого проекта (и соответствующей логике разработки) отдается в том случае, если определен носитель социально-культурных проблем - вполне конкретная социальная группа, и при характеристике данной аудитории преобладает личностная проблематика [27; с.68].

Разберем структуру социально-ориентированного проекта:

раздел - название проекта.

раздел - аудитория. В этом разделе дается характеристика проблем, потребностей, интересов, особенностей той категории или социальной группы, которой адресована программа. Причем, в данном типе проектов определяющим является характер социально-психологических проблем. Изучение интересов и потребностей потенциальной аудитории проекта имеет смысл при разработке программ, финансируемых самим населением (платные мероприятия, услуги и пр.), т.е. коммерческих программ. По сути это предполагает зондаж потенциального рынка (а точнее - изучение спроса как готовности людей оплатить те или иные услуги), где будут реализованы те или иные виды товаров и услуг в сфере досуга.

Кроме анализа ведущих проблем и нереализованных потребностей, дополнительными характеристиками аудитории проекта являются: возраст, доход, семейное положение, профессия, образование, ценности, признаваемые этой группой как престижные, значимые (мода в самом широком смысле слова, референтные личности (в культуре, политике, искусстве и т.д.). На характер социально-культурных и личностных проблем оказывает влияние социальный статус человека, его семья, друзья, религиозные убеждения, уровень образования и другие факторы, которые формируют культуру человека, определяют его ближайшее социальное окружение.

раздел - сфера проектирования - характеристика группы социально-культурных проблем и определение на этой основе приоритетных направлений и видов социально-культурной деятельности. Здесь необходимо учитывать, что одна и та же группа личностных проблем может разрешаться с помощью различных по форме и содержанию видов социально-культурной деятельности - последние определяются по критерию значимости социально-культурной проблематики (значимости с позиции проектировщика, субъекта социальной педагогики, культурной политики и т.д.), носителем которой является аудитория проекта.

раздел - цели и задачи проекта, которые формулируются на основе анализа личностных и социально-культурных проблем.

Например, проект, адресованный семье и объединяющий родителей, испытывающих потребность в новых методах творческого развития личности ребенка, может быть направлен на повышение их педагогической культуры, кооперацию воспитательные усилий и возможностей семьи, создание условий для обмена педагогическим опытом, организацию воспитывающей и развивающей социально-культурной среды.

раздел - форма реализации проекта. Формой реализации проекта может быть, во-первых, та или иная форма самодеятельной общности (общественное объединение, фонд, клуб, ассоциация и т.д.). Но есть и специфические формы реализации, которые могут быть обусловлены спецификой аудитории и характером решаемых задач. Например, для лиц, нуждающихся в социальной адаптации, в частности, для детей родителей-переселенцев, проекты могут осуществляться в форме организации социально-адаптационных программ, включающих психологический тренинг, социально-педагогические игры, спортивно-оздоровительную и коррекционную гимнастику и др. Инвалидам могут быть адресованы такие проекты как; ”Клуб социальной помощи”; “Мы все можем" (фестиваль искусств детей-инвалидов); “Дом без одиночества" (в рамках этого проекта здоровые дети проводят занятия с детьми-инвалидами - помогают освоить школьную программу, обучают ремеслам и т.д.).

раздел - содержание деятельности. Его можно оформить по схеме:

Направления деятельности

Содержание деятельности

База реализации

Исполнители и соисполнители

Сроки реализации

 1

2

 3

4

 5

Схема 1: Содержание деятельности предприятия

Конкретизируя содержательную часть проекта, следует помнить, что она определяется, преимущественно, характером социально-психологических проблем (в отличие от проектов первого типа, где определяющим является социально-культурная проблематика).

Приведем пример взаимосвязи проблемно-целевого и содержательного разделов проекта “Интеграция" на базе детского развлекательного центра "Мечта", адресованного детям-инвалидам. Целевая направленность данного проекта - изменение установки детей и подростков по отношению к инвалидам, а его задачи заключается в том, чтобы научить принимать и ценить людей с физическими и умственными недостатками, передать убеждение, что человек с дефектом имеет право быть принятым в общество таким, какой он есть.

В соответствии с данными целями и задачи содержательная часть проекта “Интеграция" реализуется в рамках таких направлений деятельности, как кураторство над учащимися из спецшкол и интернатов; организация кукольных театров (и спектаклей), где среди персонажей будут как здоровые, так и “герои” с физическими недостатками; специальный тренинг для инвалидов (оптимальный выход из конфликтной ситуации, тренинг общения и т.д.); проведение уроков добра (воспитание способности стать на место человеку, которому плохо).

раздел - бюджет проекта.

раздел - источники финансирования.

Несмотря на выраженную специфику социально-педагогического и оргпроектирования, можно отметить единый алгоритм формирования соответствующих проектов:

дается характеристика проблем (социально-культурных, отраслевых или личностных, носителем которых является определенная общность, группа или категории населения, локализованная на предприятии, по месту учебы, жительства, в культурно - досуговом учреждении;

формулируются цели и основные задачи проекта;

определяются приоритетные направления и виды социально-культурной деятельности;

разрабатываются конкретные мероприятия (с учетом имеющихся ресурсов, педагогически целесообразного соотношения информационно-просветительных и творческих видов деятельности);

определяется база реализации проекта, его исполнители;

производится оценка затрат и просчитываются возможные источники финансирования проекта [8; с.23-25].

2.3 Оценка социально-экономической эффективности реализации инвестиционного проекта на примере ДРЦ "Мечта"


Подготовка любого вида деятельности должна начинаться с подготовки предложения. В данном случае разработка инвестиционного проекта начинается с инвестиционного предложения.

Подготовка инвестиционного проекта является сложной процедурой, состоящей из следующих этапов:

. Формулировка инвестиционного проекта

. Сбор исходной информации для разработки проекта

данные о предприятии

финансовая информация

данные о персонале

юридические документы

информация о нематериальных активах

экономические данные

технические данные

. Разработка технической части проекта

. Маркетинговый анализ

. Коммерческий анализ

. Финансовый анализ

. Бюджетный, региональный и отраслевой анализ

. Институциональный анализ

. Экологический анализ

. Анализ рисков

. Проработка юридических вопросов, связанных с реализацией проекта

. Экспертиза проектов

актуализация проекта

оценка результатов

Итак, рассмотрим структуру разработки инвестиционного проекта на примере детского развлекательного центра "Мечта".

Резюме

ООО "Мечта" с 2001 года осуществляет деятельность в сфере оказания развлекательных услуг населению и предприятиям г. Самара.

В текущем году, учитывая сложившиеся тенденции развития рынка услуг социально-культурного характера, ООО "Мечта" принято решение о создании в г. Новокуйбышевск детского развлекательного центра с целью организации досуга населения и гостей города, а также проведения культурно - массовых мероприятий на коммерческой основе.

Потребность в финансовых ресурсах

Сумма инвестиций в проект составляет 3 974 700 рублей. В качестве инвестора выступает физическое лицо, гражданин РФ. Привлечение коммерческих кредитов для реализации проекта не предусмотрено. Указанная сумма покрывает потребность проекта в инвестиционных ресурсах.

Материально-техническая база реализации проекта

Для создания детского развлекательного центра предполагается аренда помещения в 500 кв. м. в центральной части г. Новокуйбышевск. Помещение полностью соответствует нормативно-техническим требованиям для размещения детского развлекательного центра.

Создаваемое предприятие комплектуется новым игровым и иным оборудованием за счет инвестиционных средств.

Экономическая эффективность проекта

Расчет экономической эффективности проведен с использованием

международных стандартов экономической оценки инвестиций.

При заложенном в расчетах уровне доходов и затрат проект необходимо признать как эффективный. Рассматриваемая инвестиционная идея характеризуется следующими показателями:

Простой срок окупаемости полных инвестиционных затрат составляет 2 года и 7 месяцев.

Дисконтированный срок окупаемости с учетом реальной ставки сравнения 13% годовых составляет 3 года и 2 месяца от начала реализации проекта.

В качестве ставки сравнения принята существующая на момент проведения оценки ставка рефинансирования ЦБ РФ, очищенная от инфляционной составляющей (поскольку оценка проекта производится в постоянных ценах, т.е. без учета влияния фактора инфляции на результаты проекта).

Чистая текущая стоимость проекта (NPV) при ставке сравнения 13% годовых и интервале планирования 6 лет составляет около 39 млн. рублей.

Положительная величина NPV подтверждает целесообразность вложения средств в рассматриваемый проект.

Реальная внутренняя норма прибыли проекта (IRR), т.е. условная ставка дохода по проекту без учета инфляции, составляет 20%, значительно превышает используемую ставку сравнения (13% годовых) и определяет максимальную номинальную "банковскую" ставку кредита, погашаемого в пределах срока жизни проекта

Индекс прибыльности (PI), т.е. характеристика дохода на единицу затрат, составляет 10,05. Очевидно, что если PI>1, то проект следует принять.

Показатели эффективности рассматриваемого проекта представлены в таблице 2.

Таблица 2. Сводная таблица интегральных показателей

Показатель

Рубли

Ставка дисконтирования

13%

Период окупаемости

2,7 лет

Дисконтированный период окупаемости

3,2

Чистый дисконтированный доход

35 972

Индекс прибыльности

10,05

Внутренняя норма рентабельности

20%


Принятые условия экономической оценки инвестиций

При проведении расчетов приняты следующие базисные значения:

сумма инвестиций - 3 974 700 рублей;

ставка дисконтирования - 13 % в год, шаг дисконтирования - год;

период расчета интегральных показателей - 72 месяца;

валюта расчета - рубли РФ;

действующая налоговая система РФ и режим налогообложения предприятия в течение расчетного периода проекта остаются неизменными.

Таблица 3. Налоги и обязательные сборы, уплачиваемые ООО "Мечта"

Налог, сбор

База

Ставка

Периодичность уплаты

Налог на доходы физических лиц

Начисленная заработная плата

13%

Ежемесячно

Отчисления в Пенсионный Фонд РФ, обязательная часть

Начисленная заработная плата

10%

Ежемесячно

Отчисления в Пенсионный Фонд РФ, накопительная часть

Начисленная заработная плата

4%

Ежемесячно

Налог по УСН

Выручка предприятия

6%

Ежеквартально


При заложенном в расчетах уровне доходов и затрат проект является эффективным и финансово - состоятельным.

Таким образом, приведенные результаты финансово - экономической оценки инвестиционного проекта свидетельствуют о высокой степени его привлекательности с точки зрения потенциальных инвесторов и целесообразности дальнейшей реализации ООО "Мечта".

Цели фирмы. Обзор отрасли, конкурентов, продукции, рынка и потребителей

Главной целью детского развлекательного центра "Мечта" является захват рынка развлечений в г. Новокуйбышевск, привлечение клиентов и продвижение услуг ООО " Мечта", предоставления качественных услуг в сфере развлечения. Главным отличием разработанной концепции детского развлекательного центра (далее ДРЦ)"Мечта" от других является личностный подход каждому ребёнку, что обеспечивается достаточным количеством воспитателей - педагогов - аниматоров.

ООО "Мечта" предлагает зональное разграничение пространства детского развлекательного центра, а также эффективное использование игрового пространства и оборудования в сочетании с работой квалифицированных специалистов в области дополнительного образования и игрового досуга.

Детский развлекательный центр "Мечта" может являться местом проведения личностных и массовых праздников, а также стать перекрёстком общения детей и подростков различного возраста и их родителей. ООО "Мечта" провело анализ имеющегося в городе Самара игрового оборудования и на основе этого выделило перечень оптимального игрового оборудования:

детский игровой лабиринт: комплектация игровых элементов лабиринта будет отличаться, а технические возможности помещения в торговом центре позволят сделать его эксклюзивным;

надувное игровое оборудование;

детские игровые автоматы: будут установлены наиболее посещаемые и популярные среди целевой аудитории автоматы.

Детский развлекательный центр будет привлекателен для потенциальных посетителей следующими аспектами:

Наличие детского развлекательного центра в торговом центре позволит привлечь дополнительный сегмент покупателей, как то родители, пришедшие за покупками и не имеющие возможности оставить детей дома;

Разнообразие аттракционов позволит вызвать интерес у различных возрастных групп;

Зональное разграничение позволит отделить организованную аудиторию от одиночных гостей в случае проведения массовых мероприятий, а также взрослую аудиторию от детской аудитории, и сделает пребывание посетителей в ДРЦ максимально комфортным;

Современные технологии позволяют создать необходимую атмосферу сказки, добра, праздника в ДРЦ;

Воспитатели - педагоги - аниматоры, внешний вид сотрудников (костюмы - униформа), игровое оборудование, игровые технологии, декорации, звук, свет, спецэффекты являются неотъемлемой частью ДРЦ, создавая его неповторимый образ;

Разработанная система бонусов за личное участие делает пребывание ребёнка в ДРЦ интересным, а индивидуальный личностный подход сотрудников к каждому ребёнку - комфортным;

Индивидуально разработанный дизайн, игровое оборудование и костюмированный, специально подготовленный персонал позволит выделить ДРЦ на рынке развлекательных услуг;

Чёткость и слаженность действий персонала позволит максимально эффективно использовать игровое пространство (оборудование), а анонсирование открытия ДРЦ позволит максимально привлечь целевую аудиторию на начальном этапе работы.

Перечень необходимого игрового оборудования (таблица 4):

Игровой лабиринт с необходимыми атрибутами и игровыми элементами: груши, валы, змейки, канаты, лесенки, кольца и т.д. Подбор элементов производится индивидуально, с учётом имеющихся игровых комплексах в городе (для детей до 10 лет);

Надувной батут (изготавливается под заказ);

Детские игровые автоматы (от 3 до 13 лет);

Мягкие игровые модули для детской игровой площадки (для детей 3-5 лет).

Таблица 4. Перечень необходимого игрового оборудования

 Наименование

 Кол-во

 Цена в рублях

Игровой лабиринт

 1 шт.

 800 000

 Батут

 1 шт.

 160 000

 Горка

 1 шт.

 70 000

Игровые автоматы

 10 шт.

 1 500 000

Монтаж, накладные расходы от суммы


 15 %

 Итого:


 2 909 500


Таблица 5. Перечень необходимого оборудования для проведения праздников

 Наименование

 Кол-во, шт

 Цена в рублях

 Световое оборудование

Сценическое освещение

 4

 120 000

 Звуковое оборудование

Радиомикрофоны

 2

 7 000

Пульт 12-полосный

 1

 15 000

CD - проигрыватель

 2

 8 000

Усилитель

 1

 25 000

Колонки

 4

 60 000

 Видео и мультимедийное оборудование

ЖК-телевизор

 12

 180 000

DVD-проигрыватель

 2

 3 000

Декорации

 1

 30 000

Монтаж, накладные расходы от суммы


 15 %

Итого:


 515 200


Оборудование и декорации для работы педагогов - аниматоров по детскому прикладному творчеству: приобретение картона, кистей, карандашей, фломастеров, акварели, пластилина и т.д. - 20 000руб.

Контрольно - кассовое оборудование, оборудование видео-наблюдения, связь-200 000 руб.

Итого общая стоимость оборудования - 3 624 700 руб.

Стоимость товаров и услуг

Стоимость посещения игрового оборудования будет рассчитана с учётом амортизации, стоимости и срока службы игрового оборудования. Примерный прайс на посещение игровых автоматов, лабиринта и батутов представлен в таблице 6.

Таблица 6. Прайс на посещение аттракционов в ДРЦ "Мечта"

Наименование игрового оборудования

стоимость

Срок службы

Себестоимость посещения

Стоимость для посетителей

Игровые автоматы

5 лет

80 копеек (1 игра)

35 рублей (1 игра)

Лабиринт

800000

25 лет

8 рублей (1 час)

120 рублей (1 час)

Батут

160000

10 лет

37 копеек (3 минуты)

45 рублей (3 минуты)

Горка

70000

10 лет

10 копеек (3 минуты)

30 рублей (3 минуты)


Планирование маркетинга и производства. Маркетинговая стратегия.

Рынок развлекательных услуг в г. Новокуйбышевск не развит - в городе всего одна фирма, предоставляющая развлекательные программы, не имеющая собственного помещения. Согласно этому, можно сделать вывод об отсутствии крупных организаций - конкурентов.

Услуги детского развлекательного центра "Мечта": проведение детских дней рождения, посещение игровых автоматов, батутного комплекса, лабиринта.

Планируемые потребители услуг - дети г. Новокуйбышевск от 1,5 лет и старше и их родители.

Ценообразование: цены на услуги ДРЦ "Мечта" предполагаются несколько выше, чем в крупных детских развлекательных центрах в г. Самара, что вызвано отсутствием конкуренции на рынке развлекательных услуг в г. Новокуйбышевск. Также будет существовать система скидок постоянным клиентам и ранжирование цен: для групп свыше 20 человек будет предоставляться скидка на посещение игровых автоматов.

Реклама. Планом предусмотрена реклама в местных газетах, радио и телевидении. Также будет изготовлена полиграфическая продукция для распространения по школам и детским садам, а также в местах скопления людей (остановки, билборды, крупные торговые операторы).

Ценовая политика

Ценообразование в ДРЦ строится по принципу: цена должна покрывать все издержки. В связи с тем, что предприятие будет предоставлять услуги на территории своего развлекательного центра, цены на услуги будут в среднем такие же, как и в существующих ДРЦ в г. Самара. Фирма собирается закладывать в цену продукции и услуг высокую норму прибыли. Фирма ожидает увеличения объема прибыли за счет увеличения объема реализации.

Реклама

В связи с открытием ДРЦ "Мечта" фирме необходима новая рекламная стратегия. (Таблица 7)

Таблица 7. Рекламная стратегия

Вид рекламы

Цена/месяц

2011 год

2012 год

Газета "Город Нск"

1 500 руб

6000 руб

7 000 руб

Телевидение Ново-ТВ

5 000 руб

15 000 руб

16 000 руб

Баннеры

10 000 руб

20 000 руб

21 000 руб

Афиши

 -

 8 500 руб

 9 000 руб

Флаеры

 -

 11 200 руб

 12 000 руб

Итого:

 -

60 700 руб

65 000 руб


Календарный план

Для того чтобы осуществить проект, необходимо разработать календарный план для ДРЦ "Мечта". Начало нашего проекта 01.03.2011 года. В течение этого периода будет разработан бизнес-план ДРЦ, цена этапа составит 25-30 тыс. руб.

В период с 01.05.2011 по 01.07.2011 будет утверждаться дизайн-проект ЦРЦ, а также производиться переговоры с поставщиками необходимого оборудования.

В период с 01.07.2011 по 01.08.2011 будут вестись переговоры с арендодателями в торговом центре "Гигант" в г. Новокуйбышевск.

С 01.08.2011 по 01.10.2011 будет произведён ремонт помещения, а также планируется поиск и обучение необходимо персонала. В помещении будет произведен ремонт на сумму 350 тыс. руб.

Следующий этап - установка игрового оборудования, сертификация игрового оборудования и получение лицензии на ведение деятельности в сфере развлекательных услуг, его временные рамки - 01.10.2011 - 01.12.2011. Предположительная стоимость этапа - 3 700 000 руб.

С 01.12.2011 будет проводиться рекламная кампания детского развлекательного центра "Мечта", которая будет продолжаться в течение месяца, и с последующим продолжением по необходимости. Цена этапа составит 49 500 тыс. руб. Под детский развлекательный центр будет взята в аренду площадь в 500 квадратных метров в ныне строящемся торговом центре "Гигант" в г. Новокуйбышевск. Предположительная оптимальная стоимость аренды - 350 руб. кв. м.

И, наконец, открытие детского развлекательного центра "Мечта" состоится 15.01.2012. Список этапов показан в таблице 8.

Таблица 8. Календарный план.

Название этапа

Длительность

Дата начала

Дата окончания

Разработка бизнес-плана

2 месяца

01.03.2011

01.05.2011

Утверждение бизнес-плана

2 месяца

01.05.2011

01.07.2011

Переговоры с арендодателями

1месяц

01.07.2011

01.08.2011

Ремонт помещения и поиск сотрудников

2 месяца

01.08.2011

01.10.2011

Установка оборудования

2 месяца

01.10.2011

01.12.2011

Рекламная кампания

45 дней

01.12.2011

15.01.2012


План по персоналу

Для детского развлекательного центра выбрана линейно-функциональная структура управления. Деятельность детского развлекательного центра координирует генеральный директор. Он несёт полную ответственность за состояние детского развлекательного центра и состояние трудового коллектива; представляет ДРЦ во всех учреждениях и организациях; издаёт приказы по ДРЦ в соответствии с трудовым законодательством, принимает и увольняет работников; распоряжается имуществом фирмы. Коммерческий директор занимается следующим: заключает договора; осуществляет поиск поставщиков комплектующих; открывает в банках счета фирмы.

Бухгалтерия осуществляет учёт средств ДРЦ и хозяйственных операций с материальными и денежными ресурсами; устанавливает результаты финансово-хозяйственной деятельности ДРЦ; производит финансовые расчёты с заказчиками и поставщиками; составляет годовые, квартальные, месячные планы по труду и заработной плате и осуществляет контроль за их выполнением. Правильно подобранная рабочая группа является основной составляющей части успеха. Именно от людей, составляющих организацию, зависит, будет ли ДРЦ процветать или закроется, не просуществовавши и года. Также большую роль в процветании фирмы будет играть профессионализм ведущих работников и персонала. Фирма обязуется:

Предоставить работнику обозначенное в контракте рабочее место и

имущество;

Обеспечить работой по установленной в контракте специальности,

должности, квалификации;

Ежемесячно выплачивать заработную плату работнику в соответствии с положением об оплате труда.

Работник подлежит всем видам социального страхования на период действия контракта.

В обязанности персонала входит:

Соблюдать правила внутреннего трудового распорядка, дисциплины, действующее законодательство;

Выполнять по названной специальности (должности), квалификации работу в соответствии с утверждённым положении об отделе, должностной инструкции и т.п.;

Качественно и своевременно выполнять порученную работу;

Соблюдать правила техники безопасности и производственной санитарии.

Работа фирмы предполагается осуществлять по следующему графику: рабочий день с 10.00 до 20.00. Персонал работает в 2 смены.

Численность персонала определяется исходя из функциональной целесообразности. Оплата труда руководителей и других категорий работников построена на основе должностных окладов и зависит от величины фактически отработанного времени и достижения конечных результатов деятельности ДРЦ.

Согласно данным по средней начисленной заработной плате работников списочного состава учреждений культуры, был составлен план численности и заработной плате работников ДРЦ, который показан в таблице 9.

Таблица 9. План численности и заработной платы работников ДРЦ "Мечта"

Должность

Кол-во

Зарплата

Сумма



 (руб.)

 (руб.)

Исполнительный директор

1

30 000

30 000

Бухгалтер

1

6000

6 000

Водитель

2

6 000

12000

Уборщица

2

3 000

6 000

Администратор

2

10 000

20 000

Актёр-аниматор

2

3000

6 000

Няня-воспитатель

2

5000

10 000

Техник

1

7 000

7 000


Всего: 13 человек

Ежемесячный фонд заработной платы с учётом налогов составляет: 118 000 рублей.

Финансовый план

В основе процесса принятия управленческих решений инвестиционного характера лежат оценка и сравнение объема предполагаемых инвестиций и будущих денежных поступлений. Поскольку сравниваемые показатели относятся к различным моментам времени, ключевой проблемой здесь является проблема их сопоставимости. Относиться к ней можно по-разному в зависимости от существующих объективных и субъективных условий: темпа инфляции, размера инвестиций и генерируемых поступлений, горизонта прогнозирования, уровня квалификации аналитика и т.п.

Финансовый раздел бизнес-плана отражает результаты производства и сбыта продукции. Здесь наряду с прогнозируемым движением денежных потоков (поступлениям и выплатам) описывается текущее финансовое состояние предприятия. [42; 34]

Методы, используемые в анализе инвестиционной деятельности, можно подразделить на две группы:

а) основанные на дисконтированных оценках;

б) основанные на учетных оценках.

Рассмотрим ключевые идеи, лежащие в основе этих методов.

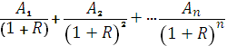
Использование метода оценки эффективности проекта, основанного на применении дисконтирования, предполагает расчет комплекса показателей: (таблица 5):

а) чистой текущей стоимости (NPV);

б) индекса прибыльности (IP);

в) внутренней нормы рентабельности (IRR);

г) дисконтированного срока окупаемости (РР). [42; 38]

Метод NPV - определение разницы между суммой дисконтированных денежных поступлений от реализации проекта и дисконтированной текущей стоимостью всех затрат:


где It - инвестиционные затраты в момент времени t;

к - коэффициент дисконтирования;

CFt - денежный поток в период t.

Преимущества критериев дисконтирования:

учитывается альтернативная стоимость используемых ресурсов;

в расчет принимаются реальные денежные потоки, а не условные бухгалтерские величины, т.е. оценка инвестиционных проектов проводится с позиции инвестора и не зависит от учетной политики;

оценка инвестиционных проектов производится исходя из цели обеспечения благосостояния собственника предприятия-акционера.

Метод рентабельности инвестиций - рассчитывается индекс прибыльности PI:


Очевидно, что если:

PI > 1, то проект следует принять;

PI< 1, то проект следует отвергнуть;

PI = 1, то проект ни прибыльный, ни убыточный.

Логика критерия PI такова: он характеризует доход на единицу затрат.

Достоинство метода заключается в:

. Простоте расчета;

. Соответствии с общепринятыми методами бухучета и, как следствие, доступности исходной информации;

. Простоте для понимания и традиционности использования.

Метод расчета внутренней нормы рентабельности.

Внутренняя норма доходности (IRR (ВНД)) - это процентная ставка <#"522280.files/image002.gif">

Или

 

Метод расчета срока окупаемости.

Срок окупаемости - это тот срок, который понадобится для возмещения суммы первоначальных инвестиций. Этот метод особенно привлекателен при следующих условиях:

все сравниваемые проекты имеют одинаковый период реализации;

все проекты предполагают разовое вложение средств;

ежегодные денежные потоки на протяжении срока жизни проекта

примерно равны.

РР = min t, при котором Σ CFt > I,

где РР - период окупаемости,

t - порядковый номер периода,

CFt - денежный поток в периоде t,- инвестиционные затраты [11; 55]

Исходя из вышесказанного можно сделать вывод о том, что при инвестировании учитываются следующие основные моменты:

1.      Капитальные вложения с длительными сроками окупаемости необходимо финансировать за счет долгосрочных заемных средств.

2.      Инвестиции со значительной степенью риска рекомендуется финансировать за счет собственных средств (чистой прибыли и амортизационных отчислений).

.        Необходимо выбирать такие инвестиции, которые обеспечивают инвестору достижение максимальной доходности.

.        Чистая прибыль от данного вложения капитала должна превышать ее величину от помещения средств на банковский депозит.

.        Рентабельность инвестиций всегда должна быть выше индекса инфляции.

.        Рентабельность конкретного инвестиционного проекта с учетом фактора времени (временной стоимости денег) всегда должна быть больше доходности других проектов [11; с.37].

Вывод: В рамках разработки бизнес-плана инвестиционного проекта обоснована экономическая эффективность создания в г. Новокуйбышевск детского развлекательного центра "Мечта", предоставляющего развлекательные услуги для детей от 1,5 лет, сориентированное на население с доходами на уровне среднего и выше среднего.

Для реализации проекта привлекаются частные инвестиционные ресурсы в сумме 3 974 700 рублей. Проект реализуется на базе вновь создаваемого предприятия в форме общества с ограниченной ответственностью.

В работе проведена оценка экономической эффективности инвестиционного проекта. Методически данная оценка основана на расчете дисконтированной величины денежного потока. В соответствии с полученными выводами, проект экономически эффективен. Чистый дисконтированный доход по проекту составляет 35 979 022 тыс. руб., внутренняя норма рентабельности 20%, дисконтированный период окупаемости - 3 года и 2 месяца.

Заключение


В заключение следует отметить, что под инвестиционным проектом понимается проект, предусматривающий осуществление инвестиций.

В зависимости от сферы реализации показатели эффективности реализации инвестиционных проектов варьируются по срокам, доходности, объектам вложений и др.

Особенностью реализации инвестиционных проектов в социально-культурной сфере является высокая интеллектуалоемкость и творческая направленность производственных продуктов. Кроме того, определение эффективности реализации инвестиционных проектов в социально-культурной сфере посредством чисто экономических показателей не всегда отражает реальную картину эффективности его реализации. На основании изложенного автором предлагается дополнить перечень показателей эффективности реализации инвестиционного проекта в социально-культурной сфере следующими: улучшение поведения и успеваемости воспитанников детского центра, посредством мотивирования учеников к обучению в саду и школе; развитие творческого потенциала воспитанников центра; экономия времени родителей, что может найти отражение в показателях их дохода; сплочение семьи и поддержание дружеских отношений между детьми и их родителями; возможность приобретения новых знакомств и многое другое.

Принципы реализации инвестиционного проекта с социально-культурной сфере не отличаются от аналогичных принципов в других сферах: окупаемость вложенных инвестиций, достаточность, целевая направленность вложений, измеримость, выгодность, уникальность. Отличительными принципами социально-культурной сферы выступают: корректируемость социально-культурных процессов и оценка социально значимых последствий такой модификации; разработка условий, способствующих саморазвитию социально-культурного субъекта (личности, общности, общества в целом) посредством решения или предупреждения проблем, характеризующих неблагоприятные обстоятельства его жизнедеятельности; персонифицированность процесса и результатов социально-культурного проектирования; оптимальная ориентация на сохранение и изменение социально-культурных процессов; целевая ориентация социально-культурных проектов и программ на решение различного рода проблем, носителями которых является личность, социальная группа, определенная территория или регион, общество в целом.

К методам социально-культурного проектирования также можно отнести общие методы разработки и реализации проектов: метод матрицы идей, аналогии, ассоциации, мозгового штурма, а в оценке эффективности инвестиционного проекта - различные математические методы.

На основании анализа данных по детскому развлекательному центру "Мечта" следует отметить, что проект имеет очевидную экономическую эффективность, что подтверждается данными о его рентабельности и окупаемости, а также социальную эффективность, о которой говорят показатели успеваемости и творческой активности воспитанников центра.

Список используемой литературы


Опубликованные источники:

1.      Акуленок, Д.Н. Бизнес-план фирмы. Комментарии, методики составления. Реальный пример [Текст] / Д.Н. Акуленок, В.П. Буров, В.А. Морошкин, О.К. Новиков. - М.: изд-во "Гном-пресс", 2004. - 88 с.

2.      Антонюк, Г.А. Социальное проектирование [Текст] / Г.А. Антонюк: Минск, 1978.

.        Антонюк, Г.А. Социальное проектирование и управление общественным развитием / [Текст] Г.А. Антонюк, Р.В. Гребенников. - Минск: кафедра философии, 1986. - 203с.

.        Бизнес-план: метод. материалы/под редакцией проф. Маниловского С.В. - М.: Финансы и статистика, 2005. - 80 с.

.        Бочаров, В.В. Инвестиции [Текст] / В.В. Бочаров. - Спб.: изд-во "Питер", 2002. - 288 с.

.        Бочаров, В.В. Инвестиционный менеджмент/ [Текст] В.В. Бочаров. - СПб.: изд-во "Питер", 2002. - 160 с.

.        Бузова, И. А.,. Коммерческая оценка инвестиций [Текст] / Г.А. Маховикова, В. В Терехова. - СПб.: изд-во "Питер", 2003. - 432 с.

.        Буров, В.П. Бизнес-план [Текст] / В.П. Буров, В.А. Морошкин, О.К. Новиков. - М., 1995. - 206 с.

.        Быстров, О.Ф. Управление инвестиционной деятельностью в регионах Российской Федерации - Монография [Текст] / О.Ф. Быстров. - М.: изд-во "ИНФРА-М"-2008. - С.358

.        Витин, С.В. Мобилизация финансовых ресурсов для инвестиций/ [Текст] С.В. Витин /Вопросы экономики. - 2005. - № 6. - с.23

.        Владимирова, Л.П. Прогнозирование и планирование в условиях рынка/ [Текст] Л.П. Владимирова. - М., 2005. - 399 с.

.        Водянов, А.С. Шанс на инвестиционный подъем и трудности его реализации / [Текст] А.С. Водянов, А.П. Смирнов. РЭЖ. - № 11 - 12. - 2000г.

.        Гольдштейн, Г.Я. Стратегический менеджмент: Учебное пособие/ [Текст] Г.Я. Гольдштейн. - Таганрог: Изд-во ТРТУ, 2003. - 94 с.

.        Дондурей, Д.Б. Социальное проектирование в сфере культуры. Прорыв к реальности/ [Текст] Д.Б. Дондурей, И.В. Жежко. - М.: НИИК, 1990. - 432с.

.        Ефимова, О.В. Анализ оборачиваемости средств коммерческого предприятия/ [Текст] О.В. Ефимова-М.: Бухгалтер. учет, 2004. - 229 с.

.        Ефимова, О.В. Финансовый анализ / [Текст] О.В. Ефимова - М.: Бухгалтер. учет. 2002. - 166 с.

.        Зигель, Э.С. Пособие Эрнст энд Янг по составлению бизнес-плана/ [Текст] Э.С. Зигель, Л.А. Шульц, Б. Форд, Д. Карни; пер. с англ.,-3-е изд. - М., 2002. - 98с.

.        Зуев, С.Э. Культура в контексте развития. Вопросы методологии / [Текст] С.Э. Зуев. - Минск: изд-во "Гиппо", 1991 - 90с.

.        Ивуть, Р.Б. Бизнес-план предприятия / [Текст] Р.Б. Ивуть, Н.Н. Пилипук. - Минск, 2000. - 147 с.

.        Игошин, Н.В. Инвестиции/ [Текст] Н.В. Игошин. - М.: изд-во " Юнити", 2003-213 с.

.        Идрисов, А.Б. Стратегическое планирование и анализ эффективности инвестиций / [Текст] А.Б. Идрисов, С.В. Картышев, А.В. Постников. - М.: изд-во "Филинъ", 2006. - 185 с.

.        Ковалев, К.В. Финансовый анализ: Управление капиталом. Выбор инвестиций. Анализ отчетности/ [Текст] К. В Ковалев. - М.: изд-во "Финансы и статистика", 2001. - 506 с.

.        Лозовский, Л.Ш. Современный экономический словарь / [Текст] Л.Ш. Лозовский, Б. А, Райзберг, А.А. Ратновский. - М.: изд-во "Инфра-М", 2002. - 158с.

.        Лукс, Г.А. Социальное инновационное проектирование в региональной молодежной политике / [Текст] Г.А. Лукс; М-во образования РФ, Самар. гос. ун-т. - Самара: Самар. ун-т, 2003. - 277 с.;

.        Марков, А.П. Основы социально-культурного проектирования/ [Текст] А.П. Марков, Г.П. Бирженюк. - СПб.: СПГУП, 1997. - 262 с.

.        Марков, А.П. Проектирование маркетинговых коммуникаций. Рекламные технологии. Связи с общественностью. Спонсорская деятельность / [Текст] А.П. Марков - СПб.: СПбГУП, 2005. - 398с.

.        Орлова, Э.А. Проблемно ориентированное социокультурное проектирование. Теоретические основания культурной политики/ [Текст] Э.А. Орлова. - М., Рос. институт культурологии, 1993.

.        Ришке, Х. Мир управления проектами" ∕ [Текст] Х. Ришке, Х. Шелле:. - М.: изд-во "Алане", 1993

.        Сафронова, В.М. Прогнозирование, проектирование и моделирование в социальной работе: Учеб. пособие для высш. учеб. заведений / [Текст] В.М. Сафронова. - М.: Издательский центр "Академия", 2002

.        Сальникова, Ю.В. Развлекательные залы в торговых центрах / [Текст] Ю.В. Сальникова / Профессия досуг. - 2004. - с.45.

.        Тощенко, Ж.Т. Социология/ [Текст] Ж.Т. Тощенко - М: изд-во "Юрайт", 2004. - 527 с.

.        Тульчинский, Г.Л. Менеджмент в сфере культуры. Учебное пособие. / [Текст] Г.Л. Тульчинский, Е.Л. Шекова. - СПб.: Изд-во "ПланЕТА МУЗЫКИ", 2007.

.        Уткин, Э.А. Бизнес-план: организация и планирование предпринимательской деятельности / [Текст] Э.А. Уткин. - М.: ассоц. авторов и издателей "Тандем": ЭСКМО, 2003, 2001. - 175 с.

.        Управление проектами. Основы профессиональных знаний. Национальные требования к компетенции специалистов. - М.: Изд-во "Консалтинговое Агентство "КУБС Групп - Кооперация, Бизнес-Сервис", 2001.

.        Шахназаров, М.П. Инвестиции: ситуация и перспективы / [Текст] М.П. Шахназаров. - М: изд-во "Экономист". - 2001, с.56.

.        Шеремет, А.Д. Методика финансового анализа / [Текст] А.Д. Шеремет, Р.С. Сейфулин, Е.В. Негашев - М: изд-во "Финансы и статистика", 2002. - 189с.

.        Шеремет, А.Д. Финансы предприятий / [Текст] А.Д. Шеремет, Р.С. Сайфулин. - М.: изд-во "ИНФА - М", 2004. - с.184

.        Щедровицкий, Г.П. Автоматизация проектирования и задачи развития проектировочной деятельности /Избранные труды/ [Текст] Г.П. Щедровицкий - М., 1995. - С.436.

Законодательные материалы, постановления, стандарты:

39.    Гражданский Кодекс Российской Федерации. Часть первая. Официальное издание. - М.: Юридическая литература, 2006.

40.    Приказ министерства экономического развития, инвестиций и торговли Самарской области от 30.03.2007 № 6 "Об утверждении порядка согласования бизнес-планов инвестиционных проектов организаций, претендующих на государственную поддержку в форме налогообложения на территории Самарской области".

.        Закон РФ от 9 октября 1992 г. №3612-1 "Основы законодательства Российской федерации о культуре" (с изменениями от 23 июня 1999г., 27 декабря 2000 г.,30 декабря 2001 г.)

.        Федеральный закон РФ от 8 мая 2010 г. № 83-ФЗ " О внесении изменений в отдельные законодательные акты Российской Федерации в связи с совершенствованием правового положения государственных (муниципальных) учреждений"

.        Федеральный закон "Об инвестиционной деятельности в Российской Федерации, осуществляемой в форме капитальных вложений" в ред. от 02.01.2000 г. № 22.

Электронные ресурсы:

44.    Библиотечная служба [электронный ресурс]. - Режим доступа: http://www.culturalmanagement.ru/biblio/pro/

45.    Федеральное агентство по культуре и кинематографии [электронный ресурс]. - Режим доступа: http://rosculture.ru/, свобод. - Загл. Экрана

.        Планирование проектов [электронный ресурс] // - Режим доступа: http://www.iteam.ru/publications/project/section_36/article_3496

.        Принципы социально-культурного проектирования [электронный ресурс]. - Режим доступа: http://book-science.ru/social/sociology/principy-social-no-kul-turnogo-proektirovanija.html

.        Социальные инвестиции [электронный ресурс]. - Режим доступа: http://www.apn.ru/publications/article1776. htm

Похожие работы на - Разработка и реализация социально-культурного проекта на примере детского развлекательного центра

 

Не нашли материал для своей работы?
Поможем написать уникальную работу
Без плагиата!
Без нейросетей!