Повышение эффективности организации производства в цехе редукторов
СОДЕРЖАНИЕ
ВВЕДЕНИЕ
. РОЛЬ ОРГАНИЗАЦИИ ПРОИЗВОДСТВА В ПОВЫШЕНИИ ПРИБЫЛИ
ПРЕДПРИЯТИЯ
.1 Экономическая сущность прибыли, ее функции и виды
.2 Механизм управления прибылью
.3 Факторы, влияющие на величину прибыли
.4 Влияние организации производства на прибыль предприятия
.5 Пути увеличения прибыли предприятия на основе повышения
эффективности организации производства
. ТЕХНИКО-ЭКОНОМИЧЕСКИЙ АНАЛИЗ
.1 Краткая характеристика предприятия
.2 Анализ основных технико-экономических показателей работы
предприятия
.3 Анализ прибыли и рентабельности предприятия
.4 Анализ рынков сбыта
.5 Анализ платежеспособности и ликвидности предприятия
.6 Характеристика цеха редукторов ОАО"МАЗ"
.7 Анализ технико-экономических показателей цеха редукторов
.8 Анализ эффективности использования основных средств по
цеху редукторов
.9 Анализ экстенсивного использования оборудования
.10 Анализ уровня использования оборудования
.11 Анализ организации движения предметов труда
.12 Оценка эффективности организации производства цеха
редукторов ОАО "МАЗ"
.13 Анализ уровня брака в производстве цеха
.14 Анализ существующей системы стимулирования работников
.15 Выводы по разделу
. ОРГАНИЗАЦИОННО-ЭКОНОМИЧЕСКИЙ РАЗДЕЛ
.1 Мероприятие по повышению технического уровня производства
.2 Мероприятие по повышению эффективности использования
основных производственных средств
.3 Мероприятие по повышению организации производственных
процессов цеха редукторов
.4 Совершенствование системы стимулирования труда персонала
.5 Выводы по разделу
. КОНСТРУКТОРСКО - ТЕХНОЛОГИЧЕСКИЙ РАЗДЕЛ
.1 Назначение и условие работы детали в сборочной единице
.2 Анализ детали на технологичность
.3 Выбор типа и формы организации производства
.4 Анализ базового варианта технологического техпроцесса с
экономическим обоснованием по его усовершенствованию
.5 Выбор способа получения заготовки с экономическим
обоснованием
.6 Проектирование технологического процесса механической
обработки
4.7Назначение припусков на механическую обработку
4.8 Назначение режимов резания
.9 Назначение технических норм времени
.10 Расчет необходимого количества оборудования и построение
графиков загрузки
. ОХРАНА ТРУДА
.1 Опасные и вредные производственные факторы
.2 Вентиляция
.3 Параметры микроклимата
.4 Производственное освещение
.5 Шум, вибрации
.6 Электробезопасность
.7 Техника безопасности
.8 Пожарная безопасность
. ОХРАНА ОКРУЖАЮЩЕЙ СРЕДЫ
. РАСЧЕТ ЭКОНОМИЧЕСКИОЙ ЭФФЕКТИВНОСТИ ПРОЕКТНЫХ РЕШЕНИЙ
.1 Расчет экономической эффективности внедрения новых
технологических процессов
.2 Расчет текущих затрат на объем выпуска продукции (расчет
себестоимости продукции)
.3 Определение потребности в оборотных средствах
.4 Расчет основных технико-экономических показателей
сравниваемых вариантов
.5 Результат от проведения мероприятий по повышению
эффективности организации цеха редукторов ОАО "МАЗ"
ЗАКЛЮЧЕНИЕ
СПИСОК ЛИТЕРАТУРЫ
СПИСОК
НОРМАТИВНЫХ ДОКУМЕНТОВ
ПРИЛОЖЕНИЕ
ВВЕДЕНИЕ
В результате текущего экономического кризиса большинство отраслей мировой
экономики оказались в тяжелом положении. Особенно сильно данный кризис ударил
по производственной сфере. В частности, все мировые автопроизводители несут
огромные потери и значительно сокращают объемы выпуска продукции из-за сильного
падения спроса на нее.
Вследствие этого остро встает вопрос о необходимости изменения модели
организации производства, снижении затрат и увеличении производительности труда
за счет изыскания внутренних резервов, что в условиях кризиса жизненно
необходимо. В настоящее время, основываясь на мнениях отечественных и
зарубежных специалистов можно говорить о современной концепции организации
производства, направленной на осознание ценности продукции, сокращение
различных видов потерь (не добавляющих ценности: перепроизводство, простои,
лишние перемещения, обработка, запасы, дефекты, нереализованный потенциал
сотрудников), с помощью внедрения новых производственных и управленческих
технологий, постоянное совершенствование основных и вспомогательных процессов,
в итоге обеспечивающей долговременную конкурентоспособность организации.
В настоящее время себестоимость, цена и соответственно
конкурентоспособность продукции во многом определяются состоянием основных
элементов производства (средств, предметов труда и трудовых ресурсов), а также
эффективностью их использования, т.е. уровнем организации основных
производственных процессов. Следовательно, нужно определить роль организации
производственных процессов в повышении эффективности производства.
Предметом изучения данного дипломного проекта являются факторы, влияющие
на эффективность организации основных производственных процессов и методы
повышения их эффективности.
Объектом изучения является хозяйственная деятельность ОАО "Минский
автомобильный завод", в частности особенности организации производства
цеха редукторов.
Актуальность темы дипломного проекта "Повышение эффективности
организации производства в цехе редукторов" обусловлена тем, что в
условиях экономического кризиса многим предприятиям приходится изыскивать
внутренние резервы для повышения эффективности своей деятельности, искать
эффективные формы и методы организации производства при ограниченных финансовых
ресурсах.
Улучшение организации производства является малокапиталоемким путем
развития производства и, как правило, требует значительно меньших затрат для
достижения одинакового уровня эффективности по сравнению с мероприятиями
технического и технологического характера. Это достигается на основе сокращения
потерь рабочего времени и непроизводительных затрат труда; улучшения
использования производственных мощностей, лучшей загрузки оборудования и
использования его технических возможностей; уменьшения запасов
товарно-материальных ценностей и сокращения времени пребывания предметов труда
в производство.
Основные задачи, которые ставит перед собой предприятие при организации
производства это достижение непрерывности процессов, пропорциональности всех
звеньев и ритмичности выпуска продукции. Непрерывность включает использование
средств труда с минимальными потерями времени, безостановочное продвижение
предметов труда через все стадии производства. Организация производства
охватывает основное, вспомогательное и обслуживающее производство и процессы
управления как гармонически увязанные звенья единого процесса изготовления
продукции.
Целью данного дипломного проекта является поиск и выработка реальных
направлений повышения эффективности организации производства в цехе редукторов,
которые позволят повысить эффективность производства и в целом результаты
хозяйственной деятельности ОАО "Минский автомобильный завод". Для
достижения поставленной цели необходимо:
· провести технико-экономический анализ деятельности ОАО
"МАЗ" и цеха редукторов;
· проанализировать существующие показатели, характеризующие
степень эффективности организации основных производственных процессов;
· оценить степень эффективности организации основных производственных
процессов в цехе редукторов;
· разработать мероприятия по повышению эффективности
организации основных производственных процессов цеха редукторов ОАО
"МАЗ";
· рассчитать экономическую эффективность проектных решений от
предложенных мероприятий.
1. РОЛЬ ОРГАНИЗАЦИИ ПРОИЗВОДСТВА В
ПОВЫШЕНИИ ПРИБЫЛИ ПРЕДПРИЯТИЯ
1.1
Экономическая сущность прибыли, ее функции и виды
Прибыль-это экономическая категория, которая отражает доход, созданный в
сфере хозяйственной деятельности. Она является результатом соединения разных
факторов производства- труда, капитала, природных ресурсов, предпринимательской
инициативы [1].
Выявляется прибыль (убыток) в результате сопоставления выручки,
полученной предприятием с понесенными им затратами.
Функции прибыли:
· Во-первых, прибыль характеризует экономический эффект,
полученный в результате деятельности предприятия. Получение прибыли на
предприятии означает, что полученные доходы превышают все расходы, связанные с
его деятельностью.
· Во-вторых, прибыль обладает стимулирующей функцией. Это
связано с тем, что прибыль является одновременно не только финансовым
результатом, но и основным элементом финансовых ресурсов предприятия. Поэтому
предприятие заинтересованно в получении максимальной прибыли, так как это
является основой для расширения производственной деятельности,
научно-технического и социального развития предприятия.
· В-третьих, прибыль является одним из важнейших источников
формирования бюджетов разных уровней.
Виды прибыли:
· балансовая прибыль (валовая прибыль);
· прибыль от реализации продукции;
· прибыль от реализации прочих активов;
· чистая прибыль;
· прибыль, остающаяся в распоряжении предприятия.
Балансовая прибыль-это конечный финансовый результат производственно-
финансовой деятельности [1].
Данная прибыль формируется за счет:
· Прибыли от реализации работ, услуг, продукции.
· Прибыль от операционной деятельности или от реализации
прочего имущества (МБП, основных фондов, нематериальных активов и т.д).
· Доходов от внереализационнох операций, уменьшаемых на сумму
расходов по этим операциям.
· Безвозвратной финансовой помощи.
Прибыль от реализации продукции (товаров, работ, услуг) определяется как
разница между выручкой от реализации продукции, суммой косвенных налогов и
себестоимостью.
Доходы и расходы по внереализационным операциям включают :
· доходы от ценных бумаг и долевого участия в совместных
предприятиях; экономические санкции (штрафы, пени, неустойки уплаченные от
полученные);
· списание долгов дебиторской задолженности, недостач и потерь
от порчи ценностей и другие потери и убытки;
· поступление безнадежных долгов.
Чистая прибыль представляет собой прибыль после выплаты всех налогов
(налог на недвижимость, налог на прибыль и пр.). Прибыль, остающаяся в распоряжении предприятия- это прибыль после выплаты
процентов по кредитам и сумм кредитов, а так же затрат, которые в силу
действующего законодательства не списываются на себестоимость (затраты на
рекламу и командировочные расходы сверх установленного норматива и т. д.). Она
направляется на формирование фондов потребления, накопления и развития, а так
же на выплату дивидендов.
1.2 Механизм управления прибылью
Цель анализа прибыльности - оценить способность предприятия приносить
доход на вложенные в текущую деятельность средства.
Рассматривая основную деятельность, рекомендуется особое внимание уделять
маржинальной прибыли. Наличие и рост маржинальной прибыли является
положительной характеристикой деятельности организации. Положительная
маржинальная прибыль свидетельствует о потенциальной возможности прибыльной
продажи продукции.
Для общей характеристики ценовой политики организации рассчитывается
ценовой коэффициент, называемый также нормой маржинальной прибыли.
Ценовой коэффициент определяется как отношение маржинальной прибыли к
выручке от реализации и характеризует соотношение цен на произведенную
продукцию и цен на потребляемые в процессе производства сырье и материалы.
Динамика ценового коэффициента отражает, насколько темп роста цен на
реализуемую продукцию отличается от темпа роста цен на потребляемые в процессе
производства переменные затраты и определяется по формуле (1.1) [2]:
(1.1)
Значение
ценового коэффициента не зависит от объема производства и реализации и
определяется уровнем цен на реализуемую продукцию и переменную составляющую
затрат.
Величина
ценового коэффициента определяется следующими факторами:
· цена на реализуемую продукцию,
· цены на сырье, материалы и прочие элементы переменных затрат
("стоимость" переменных затрат),
· номенклатура реализуемой продукции,
· изменение технологии производства продукции.
Анализируя изменения ценового коэффициента, необходимо уточнить, какая из
причин оказала основное влияние на его динамику.
Общая положительная величина маржинальной прибыли не гарантирует, что
каждый из видов продукции является потенциально прибыльным - имеет
положительную маржинальную прибыль.
Наличие отрицательной маржинальной прибыли - крайне негативная ситуация,
при которой выручка от реализации продукции (работ, услуг) не покрывает даже
переменных затрат на ее производство. Следовательно, каждая новая продажа
увеличивает убыток организации, то есть ухудшает ее финансовое состояние.
Для того, чтобы оценить взаимосвязь выручки от реализации, маржинальной
прибыли и прибыли от основной деятельности, рассчитывается производственный
рычаг по формуле
(1.2):
(1.2)
Производственный
рычаг показывает, на сколько изменится прибыль от основной деятельности предприятия
при изменении выручки на 1%. Например, значение рычага 15% говорит, что при
изменении выручки от реализации на 1% прибыль предприятия изменится на 15%.
При
увеличении объемов реализации предприятие, имеющее высокий производственный
рычаг, имеет возможность более высокими темпами повышать прибыль, чем
предприятия с низким производственным рычагом. Однако, необходимо помнить, что
производственный рычаг, как и любой другой рычаг, может действовать в обратную
сторону. При снижении объемов реализации темп снижения прибыли будет более
высоким у предприятия, имеющего высокий производственный рычаг.
Таким
образом, чем больше производственный рычаг, тем выше зависимость предприятия (с
точки зрения получаемой прибыли) от объемов реализации продукции.
1.3
Факторы, влияющие на величину прибыли
Выявление факторов, влияющих на прибыль, представлены на рисунке А.1
Приложения А. Под их действием изменяется абсолютная величина и относительный
уровень прибыли.
К внешним условиям можно отнести такие как: инфляция, изменения в
законодательствах и нормативных документах в области ценообразования,
кредитования, налогообложения предприятий, оплаты труда работников и др.
К внутренним условиям, влияющим на величину прибыли, к примеру, можно
отнести количество работников на предприятии, сокращая количество которых,
можно тем самым увеличивать или уменьшать затраты на заработную плату, что в
свою очередь может повлиять на величину валовой прибыли и соответственно на
величину чистой прибыли. Схема факторов влияющих на величину прибыли
представлена на рисунке А.2 Приложения А.
Для преодоления кризисных явлений в экономике, выхода на международные
рынки, интеграции Республики Беларусь в мировое экономическое сообщество
необходимо коренным образом повышать качество, конкурентоспособность
выпускаемой продукции, а также эффективность организации производства. Хорошая
организация технического уровня производства в значительной степени может
влиять на себестоимость выпускаемой продукции, а себестоимость, в свою очередь,
влияет на цену. Цена является одним из факторов, влияющих на
конкурентоспособность продукции. Следовательно, если цена снижается, то
конкурентоспособность продукции увеличивается.
1.4
Влияние организации производства на прибыль предприятия
Прибыль - это конечный результата работы предприятия, но необходимо не
забывать о том, что на начальном этапе все зависит от того как организовано
производство, поэтому, чем лучше будет организовано производство, тем больше
предприятие получит прибыли. Организация производственных процессов определяет
систему взаимодействия орудий труда, предметов труда и рабочего в рамках
процесса производства в целом.
Всякий производственный процесс протекает в пространстве и во времени.
Чем меньше экономических ресурсов при этом потребляется, тем выше, при прочих
равных условиях, уровень организации производства и степень его эффективности
и, следовательно финансовый результат.
Основными факторами повышения экономической эффективности производства на
предприятиях машиностроения являются:
. человеческие ресурсы, определяющие эффективность трудовой
деятельности персонала;
. вещественные ресурсы и материальные факторы, характеризующие
эффективность использования производственных факторов, оборудования,
инструмента и других средств и предметов труда;
. ресурсы рабочего времени или факторы длительности
производственных процессов, включающие затраты времени на единицу продукции,
продолжительность рабочих циклов, перерывы в работе персонала и оборудования;
. организационные ресурсы или собственно факторы организации
производства, обеспечивающие эффективность взаимодействия труда и капитала в
пространстве и во времени.
Следовательно, под организацией производственных процессов необходимо
понимать такое соединение основных элементов производства в пространстве и во времени,
которое сможет обеспечивать полное использование их во времени с целью
повышения эффективности производства и минимизации затрат на производство
продукции.
На организацию труда влияют численность рабочих, их квалификация, их
загрузка в пределах цикла производства, использование ими рабочего времени и
уровень обслуживания рабочего места.
На организацию движения предметов труда влияет величина незавершенного
производства, коэффициент непрерывности производственных процессов,
длительность производственного цикла и т. д.
Использование основных производственных средств зависит от оборудования,
его стоимости и использования, а так же от его состава и возраста, а также
зависит от площади, стоимости, коэффициента загрузки зданий и сооружений
предприятия.
На рисунке А.2 Приложения А представлена схема влияния степени
эффективности организации производства на прибыль.
Анализируя данную схему, нетрудно заметить, что ее показатели
характеризуют только полноту использования основных элементов производственного
процесса: самого труда (целесообразной деятельности человека), предметов труда
и средств труда, т.е. отражают сущность организации, не затрагивая технической,
финансовой и других сторон производства.
Подробнее рассмотрим данные показатели:
. Уровень фактического использования оборудования зависит от степени
реализации принципов специализации и пропорциональности в организации
производственного процесса.
Основным критерием для выбора того или иного вида специализации для
каждой стадии производства является уровень загрузки оборудования. Если
коэффициент загрузки оборудования на основных операциях технологического
процесса близок к единице, то это означает, что объем производства оптимален и
эту стадию производства целесообразно ограничить подетальной специализацией.
Если коэффициент загрузки оборудования при обработке одного наименования детали
значительно меньше единицы, то для улучшения его использования необходима
технологическая специализация.
По мере увеличения количества закрепляемых за рабочим местом работ
(операций) возрастают потери времени на переналадку оборудования, ухудшается
его эффективное использование, падает производительность труда и повышаются
издержки производства. Уровень специализации таких рабочих мест снижается .
Уровень использования оборудования - отношение фактически отработанного
времени за определенный период к расчетному фонду времени за тот же период.
Определяется по формуле (1.3).
(1.3)
где
- суммарное время фактической работы оборудования за
отчетный период, ч;
Тсм
- фонд времени работы оборудования за тот же отчетный период при 2-сменном
режиме работы;
n - количество
станков (машин), шт.
Данный
показатель характеризует не только уровень организации, но и работу предприятия
за определенный период в динамике. Уровень использования оборудования за
определенный период зависит также от организации труда, управления
производством и других факторов, не связанных с организацией частичных
производственных процессов и производства в целом. Для того, чтобы этот
показатель мог отражать соединение операций и частичных процессов в едином
процессе производства, т.е. организацию производства, необходимо в числитель
формулы (1.3) подставлять не суммарное время работы оборудования за отчетный
период, а максимально возможное при данной организации частичных
производственных процессов и процесса производства в целом.
.
Производство изделий требует выполнения трех групп операций:
· обработки,
· сборки,
· перемещения предметов труда.
Часто третья операция - перемещение - требует не меньших затрат труда,
чем первая и вторая. Для уменьшения затрат на перемещение применяются различные
транспортные средства .
Коэффициент рациональности перемещения (движения) предметов труда Кпт
характеризует степень рациональности перемещения предметов труда во времени и
пространстве.
Значение коэффициента Кпт определяется исходя из специфики
отдельных предприятий по следующим формулам :
,(1.4)
где
- общий объем работ по перемещению, чел.-ч., т., шт.
и т.д.;
- общий
объем работ по перемещению этих же предметов труда при обработке их на поточных
линиях, чел.-ч., т., шт. и т.д.;
,(1.5)
где
Ар, Аф - соответственно оптимальная и фактическая длины
маршрутов движения предметов труда, км.;
tр, tф -
соответственно оптимальное и фактическое время "пролеживания"
предметов труда в производственном цикле, ч;
, (1.6)
где
Топ - средняя длительность операционного цикла на одно изделие, мин,
ч;
Тоф
- фактическая длительность операционного цикла на одно изделие, мин, ч [9].
Как
видно из предыдущей формулы, для расчета уровня организации движения предметов
труда во времени необходимо определить минимально-возможную и фактическую
длительность производственного цикла. Длительность цикла, в свою очередь,
зависит от величины заделов. Преобразуя формулу (1.9), получим:
, (1.9)
где
Zоб -
оборотный задел предметов труда (деталей, узлов и т.д.) в анализируемом
производственном подразделении, шт.;
Zi -
величина суммарного производственного задела i-тых предметов
труда на всех стадиях производственного процесса, шт.;
Zi = Nср.сут. ∙ Tц, (1.10)
Nср.сут. - среднесуточный выпуск продукции в натуральном
выражении, шт.;
Тц
- длительность производственного цикла, дней.
Денежное
выражение производственных заделов представляет собой незавершенное производство,
т.е.

, (1.11)
где
Спр - производственная себестоимость единицы продукции, руб.;
-
коэффициент нарастания затрат (0,5<
<1,0)
Из
формулы (1.11) видно, что длительность производственного цикла прямо
пропорционально влияет на величину незавершенного производства. Но
(из формулы (1.9)). Подставляя значение Тоф
в формулу (1.11), получим:
,(1.12)

,(1.13)
Отсюда
следует, что величина незавершенного производства находится в обратно
пропорциональной зависимости от уровня организации движения предметов труда, а
этот уровень оказывает прямое влияние на величину капитальных вложений в
оборотные фонды, а также в основные фонды и технологическую себестоимость. Это
приведет к изменению величины капитальных вложений по элементу
"здания" и соответственно по содержанию производственных зданий,
приходящихся на единицу продукции.
.
С точки зрения организации производства уровень использования рабочего времени
определяется прежде всего регламентацией работ. Под регламентацией работ
понимается последовательность и время их выполнения. При многостаночном
обслуживании регламентация работ принимает особо важное значение, так как от
нее во многом зависят уровень использования оборудования, производительность
труда и величина незавершенного производства.
Анализ
использования рабочего времени производится по фотографиям рабочего дня,
проводимым выборочно и с большим интервалом (раз в год, в полгода). По результатам
анализа на предприятиях разрабатываются мероприятия по ликвидации или снижению
потерь рабочего времени. Но при анализе учитываются только прямые потери,
зависящие непосредственно от рабочего (разговоры с товарищами, длительные
"перекуры" и т.д.), и простои из-за отсутствия заготовок,
инструмента, транспорта, неисправности оборудования и т.д. Обычно их относят к
организационным потерям, хотя зависят они не от организации производственных
процессов, а от управления производством. При одной и той же организации
производственных процессов, но более четком управлении эти потери исключаются
или сокращаются в десятки раз.
1.5
Пути увеличения прибыли предприятия на основе повышения эффективности
организации производства
Важнейшими факторами роста прибыли являются рост объема производства и
реализации продукции, внедрение научно-технических разработок, а,
следовательно, повышение производительности труда, снижение себестоимости,
улучшение качества продукции.
А так как организация производства - эта низовый уровень, где
закладывается прибыль, то в первую очередь предприятиям необходимо повышать
уровень организации производства. Схема увеличения прибыли представлена на
рисунке А.3 Приложения А.
Основные пути увеличения прибыли:
. увеличение выпуска продукции - за счет увеличения объема работ,
реализуемых в виде технологически законченных этапов или объектов. Это
экстенсивный путь повышения прибыли или рентабельности;
. улучшение качества продукции - за счет улучшения качественных
показателей производства: роста производительности труда, снижения
материалоемкости производства, сокращения сроков и других показателей,
способствующих в конечном итоге снижению себестоимости работ. Это интенсивный
путь роста.
. продажа излишнего оборудования или сдача в аренду-предприятие
для получения дополнительной прибыли продаёт ненужное оборудование или сдаёт
его в аренду на определённый срок за определённую плату.
. снижение себестоимости продукции- самое лучшее мероприятие для
получения дополнительной прибыли.
. наем более классифицированных работников- за счёт этого
продукция становится наиболее качественной, продукция выполняется точно в срок.
2. ТЕХНИКО-ЭКОНОМИЧЕСКИЙ АНАЛИЗ
.1 Краткая
характеристика предприятия
История развития предприятия. Открытое
акционерное общество "Минский автомобильный завод" - крупнейшее
предприятие Республики Беларусь по выпуску большегрузной автомобильной,
пассажирской, прицепной и автокрановой техники.
Завод является самостоятельным хозяйствующим субъектом с правом
юридического лица, входит в качестве головного предприятия в состав
Производственного объединения "БелавтоМАЗ", в составе которого
находятся также РУП "БААЗ" (г. Барановичи), РУП "ОЗАА"
(г. Осиповичи) , РУА "КЗТШ" (г. Жодино), РУП "Литмаш"
(г. Минск), ПРУП "ДЭМЗ" (г. Дзержинск), РУП "СтройМАЗтрест"
(г. Минск).
Минский автомобильный завод включает в себя все виды действующих
производств, свойственных современным крупным машиностроительным заводам, среди
которых: литейное, кузнечное, прессовое, сварочное, механообрабатывающее,
термическое, окрасочное, сборочное, инструментальное.
Юридический адрес:
· почтовый: 220831, г. Минск, ул. Социалистическая, 2;
· сайт в
Интернете: www.maz.by;
· эл. почта
(канцелярия завода): maz@belpak.by.
Расчетный счет: 3012200020016 в филиале 0102 АКБ "Приорбанк",
г. Минск, код 755.
История завода начинается с 9 августа 1944 года, когда Государственный
комитет обороны принял постановление о строительстве автосборочного завода в г.
Минске. В октябре 1947 года на заводе были собраны первые пять МАЗов. С 1948
года было организовано серийное производство автомобилей. Завод стал одним из
ведущих производителей большегрузных дизельных автомобилей с ежегодным выпуском
25 тыс. машин.
В 1951 году завод выпустил 25 тысяч машин против 15 тысяч плановых.
Причем, увеличивался не только выпуск автомобилей. Результатом поисков
конструкторов стали машины, которых не знало мировое автомобилестроение. Первый
в мире 40-тонный самосвал МАЗ-530 на Всемирной промышленной выставке в Брюсселе
в октябре 1958 года был отмечен высшей наградой - "Гран-при".
В ноябре 1958 года на МАЗе собраны первые образцы автомобилей МАЗ-500 и
МАЗ-503, которые пришли на смену автомобилям семейства МАЗ-200.
декабря 1965 года с главного конвейера сошел последний автомобиль первого
семейства МАЗов - автосамосвал МАЗ-205, занявший место на пьедестале памятника
первым МАЗам. Завод полностью перешел на выпуск автомобилей семейства МАЗ-500,
успешно наращивая их производство . В 1966 году на знамени предприятия
появилась первая награда - орден Ленина, а в 1971 году - орден Октябрьской
Революции.
Сентябрь 1970 года был началом производства модернизированных автомобилей
МАЗ-500А, а в марте 1976 года с главного конвейера сошел первый самосвал
МАЗ-5549 из нового семейства автомобилей МАЗ-5335. В 1981 году на главном конвейере
собран первый седельный тягач МАЗ-5432 нового семейства автомобилей и
автопоездов МАЗ-6422.
В 1996 году, после успешного прохождения приемочных и эксплуатационных
испытаний в автохозяйствах Республики Беларусь, был рекомендован к серийному
производству новый модельный ряд МАЗ-5440. 11 марта 1997 года с конвейера
Минского автомобильного завода сошел первый магистральный тягач нового
семейства МАЗ-54421. В конце 1997 года собраны автомобили МАЗ-54402 и
МАЗ-544021 полностью удовлетворяющие всем европейским требованиям к
большегрузным автомобилям для международных перевозок.
В феврале 2006 года был выпущен уникальный для отечественных
производителей аэродромный автобус МАЗ 171, специально предназначенный для
перевозки пассажиров в аэропортах. Минский автомобильный завод ведет активную
работу по поиску новых рынков сбыта автотехники. В настоящее время согласуется
ряд контрактов и соглашений, исполнение которых запланировано на 2009-2010 гг.
на поставку автотехники в Азербайджан, Венесуэлу, Вьетнам.
Положительная динамика намечена в сотрудничестве со странами Африки и
Латинской Америки.
Так же поставки осуществляются в Россию, Украину и другие страны СНГ.
Минский автомобильный завод продолжает создание сборочного предприятия в
Венесуэле "МАЗ-ВЕН". По договоренности с венесуэльской стороной был
разработан и согласован новый бизнес-план по увеличению мощностей сборочного
завода с 1 000 до 5 000 единиц в год. Об успешном сотрудничестве ОАО
"МАЗ" с Венесуэлой свидетельствует также и увеличение поставок полнособранной
автотехники.
ОАО "МАЗ" укрепляет сотрудничество с уже существующими
партнерами в странах Африки, где постоянно осуществляет поиск новых рынков
сбыта. В Зимбабве были проведены переговоры о возможности создания СП с
организацией станций сервисного обслуживания и склада запчастей.
В данный момент наибольшими конкурентами являются российские предприятия
ЛиАЗа, ООО "РоАЗ ", ООО "ЕвоБус Русслэнд",
ОАО"ПАЗ", КаМАз и др.
Характеристика выпускаемой продукции. В настоящее время Минский автомобильный завод является
крупнейшим производителем магистральных большегрузных автопоездов, прицепного
состава и другой дизельной техники, выпускающий более 150 наименований
автотехники.
Грузовая техника (грузовая техника Евро 2, грузовая техника Евро 3,
грузовая техника Евро 4).
Прицепная техника (прицепы, полуприцепы)
Пассажирская техника (городские автобусы, пригородные и междугородние
автобусы, туристические автобусы, специальные автобусы)
Спецтехника на базе МАЗ (автокраны, коммунальная техника, автовышки,
изотермы). На рисунке 2.1 представлена структура выпускаавтотехники.
Рисунок 2.1-Структура выпуска автотехники ОАО "МАЗ"
Как видно из рисунка наибольший удельный вес составляет грузовая
автотехника 67,7%, а на втором месте прицепная техника (25,55%).
Наряду с автомобильной техникой, завод выпускает запасные части к ней,
готовые узлы, детали и заготовки по межзаводской кооперации, специальное
технологически чистое оборудование, инструмент, товары народного потребления,
оказывает услуги населению и сторонним организациям. В последние годы на заводе
освоено производство городских и туристических автобусов на основе конструкции
немецкой фирмы "Неоплан". По своим техническим, эксплуатационным
характеристикам и технологии изготовления автобусы МАЗ являются лидерами в
автобусостроении стран СНГ.
Автомобильный завод также прорабатывает возможность поставки автотехники
в Узбекистан на консигнацию.
В данный момент руководство ОАО "МАЗ" планирует улучшение
работы дилерской сети, перевооружение некоторых цехов, а так же поставку
автотехники в Азербайджан, Венесуэлу, Вьетнам. Планируются поставки автотехники
в страны Латинской Америки . Планируется создание сборочного предприятия по
производству спецтехники в Аргентине, г. Ушуайя (СЭЗ), с целью освоения рынка
данной страны и расширения географии поставок в данном регионе.
ОАО "МАЗ" укрепляет сотрудничество с уже существующими
партнерами в странах Африки, где постоянно осуществляет поиск новых рынков
сбыта.
2.2
Анализ основных технико-экономических показателей работы предприятия
При анализе деятельности ОАО "МАЗ" использованы данные
бухгалтерского баланса, отчетов о прибылях и убытках, которые дают возможность
реально оценить состояние предприятия. Используя данную информацию проведем
анализ основных технико-экономических показателей, которые отражают положение
на предприятии. Основные показатели представлены в таблицу Б.1 Приложения Б.
Проанализируем данные :
. Фактический выпуск товарной продукции в 2008 году составил 2714,14
млрд. руб., что на 939 512 млн. руб. больше факта 2007 года или 52,94%
((2714,14-1774,63)/1774,63*100%). В 2009 году по сравнению с 2007 годом объем
товарной продукции увеличился на 337,53 млрд. руб. или на 19,02%
((2112,16-1774,63)/1774,63*100%)).
Однако данный показатель в 2009 году по сравнению с 2008 годом снизился
на 19,68% ((2112,16-2714,14)/2714,14*100%). Это говорит о том, что предприятие
скорректировало объемы выпуска в связи со снижением спроса на продукцию. Это
можно объяснить трудностями из-за экономического кризиса.
. На предприятии фактически наблюдался рост себестоимости товарной
продукции с 2007 по 2008 года. Себестоимость ТП в 2008 году по сравнению с 2007
годом увеличилась на 1059,91 млрд. руб. (2637250-1577338) или на 62,7 %
(2637,25-1577,34)/1577,34*100%) . Себестоимость ТП в 2009 году по сравнению с
2007 годом увеличилась на 431,75 млрд. руб. (2009090-1577338) или на 27,37 %
((2009,09-1577,34)/ 1577,34*100)). Себестоимость ТП в 2009 году по сравнению с
2008 годом снизилась на 628,16 млрд. руб. (2009,09-2637,25) или на 23,82%
((2009,09-2637,25)/ 2637,25*100).
. Затраты на 1 руб. товарной продукции - обобщающий показатель
себестоимости продукции.
Затраты
на один рубль товарной продукции в 2008 году по сравнению с 2007 годом
снизились на 0,1 руб. (1,03-1,13), в том числе за счет увеличения себестоимости
ТП увеличились на 0,597 руб.
, а за
счет увеличения товарной продукции снизилась на 0,514 руб.
. Затраты на один рубль товарной продукции в 2009 году
по сравнению с 2007 годом уменьшились на 0,08 руб. (1,05-1,13), в том числе за
счет роста себестоимости ТП увеличилась на 0,243 руб.
, а за счет роста товарной продукции снизилась на
0,181 руб.
. Затраты на один рубль товарной продукции в 2009 году
по сравнению с 2008 годом увеличились на 0,02 руб. (1,05-1,03), в том числе за
счет снижения себестоимости товарной продукции снизились на 0,231 руб.
, а за счет снижения товарной продукции увеличились на
0,211 руб.
.
.
В 2008 году по сравнению с фактическим значением 2007 года значение
материалоотдачи снизилась на 0,16 руб. (1,29-1,45) или на 11,06%
((1,29-1,45)/1,45*100%), в том числе за счет роста товарной продукции она
увеличилась на 0,765 руб.
, а за счет роста стоимости израсходованных материалов
снизилась на 0,925 руб.
.
В
2009 материалоотдача по сравнению с 2007 годам уменьшилась на 0,12 руб.
(1,33-1,45) или на 7,68% ((1,33-1,45)/1,45*100%), в том числе за счет
увеличения товарной продукции она выросла на 0,275 руб.
, а за счет увеличения стоимости израсходованных
материалов снизилась на 0,386 руб.
.
В
2009 материалоотдача по сравнению с 2008 годам увеличилась на 0,04 руб.
(1,33-1,29) или на 3,79% ((1,33-1,29)/1,29*100%), в том числе за счет снижения
товарной продукции она уменьшилась на 0,285 руб.
, а за
счет снижения стоимости израсходованных материалов увеличилось на 0,334 руб.
.
.Темп
роста ЧППП в 2008 году фактически увеличился по сравнению с фактом 2007 года на
1500чел или на 5,56 % ((28463-26963)/26963*100%), а в 2009 году по сравнению с
2007 годом уменьшилось на 981 или на 3,64% ((25982-26963)/26963*100%). В 2009
году по сравнению с 2008 годом наблюдается значительное уменьшение товарной
продукции, что повлекло за собой снижение и численности ППП на 2481 или на
8,72% ((25982-28463)/28463*100%).
.
Среднегодовая выработка ТП на одного работающего ППП c 2007 года по
2008 год увеличивается, что свидетельствует о нормальной работе предприятия, а
по в 2009 году снижается. Темпы роста выработки значительно выше в 2008 году, в
этом году выработка увеличилась на 29,54 (95,36-65,82) тыс. руб. или на 44,88%.
В 2009 году было значительное снижение выработки. Оно составило 14,07
(81,29-95,36) тыс. руб. или 14,75%. В целом с 2007 года по 2009 год увеличение
произошло на 15,47 тыс. руб. (81,29-65,82) или на 23,51%. Резкое снижение
наблюдается в 2009 году, можно проследить путем факторного анализа. В 2008 году
по сравнению с 2007 годом произошло увеличение среднегодовой выработки на 29,54
тыс. руб., за счет увеличения объема ТП она увеличилась на 34,84 тыс. руб.
, а за счет роста численности она снизилась на 5,3
тыс. руб.
.
В
2009 году произошло снижение на 14,07 тыс. руб., в том числе за счет уменьшения
товарной продукции на 21,15 тыс. руб.
, а за
счет снижения численности она снизилась на 7,09 тыс. руб.
.
В
2009 году по сравнению с 2007 годом произошло увеличение среднегодовой
выработки на 15,47 тыс. руб., в том числе за счет роста ТП увеличилась на 12,52
тыс. руб.
, а за счет снижения численности увеличилась на 2,96
тыс. руб..
.
Фонд заработной платы ППП в 2008 году по сравнению с 2007 годом увеличился на
13,67 млрд. руб. (45,39-31,72) или на 43,11%. В 2009 году по сравнению с 2007
годом увеличился на 1,462 млрд. руб. (33,18-31,72) или на 4,61%. Фонд
заработной платы ППП в 2009 году по сравнению с 2008 годом уменьшился на 12,21
млрд руб. (33,18-45,39) или на 26,9%.
.
Фактически во 2008 году по сравнению с 2007 средняя ЗП выросла на 481,36тыс.
руб. (1594,68-1176,31), темп роста составил 135,57%, а в 2009 году по сравнению
с 2008 годом снизилась на 317,68 руб. (1277-1594,68), темп роста составил
80,08%.
.
Темп роста загрузки оборудования в 2008 году по сравнению с 2007 составил
115,69%, в 2009 году по сравнению с 2008 годом темп роста составил 69,49%, а в
2009 году в сравнении с 2007 годом темп роста составил 80,39%.
.
Запасы готовой продукции в 2008 году по сравнению с 2007 годом снизились на
8,261 млрд. руб. (48,05-56,31) или на 14,67%. В 2009 году по сравнению с 2007
годом снизились на 5,450 млрд. руб. (50,86-56,31) или на 9,7%. В 2009 году по
сравнению с 2008 годом увеличились на 2,811 млрд. руб. (50,86-48,05) или на
5,85%, что говорит о плохом сбыте автотехники.
В
целом следует отметить, что предприятие снизило выпуск продукции, вследствие
чего снизилась себестоимость товарной продукции, но снижение себестоимости было
значительно меньшим чем, прибыли, из-за чего произошло увеличение затрат на
один рубль товарной продукции. Из-за недозагруженности оборудования произошло
сокращение рабочих дней вследствие чего снизилась среднегодовая выработка
товарной продукции, произошло уменьшение заработной платы рабочих и сокращение
численности персонала. На рисунке 2.2 представлена динамика основных
показателей деятельности ОАО"МАЗ".
Рисунок
2.2-Динамика основных показателей деятельности АОА "МАЗ" за 2007-2009
гг.
2.3 Анализ
прибыли и рентабельности предприятия
Анализ проводится с целью выявления недостатков работы предприятия.
Для этого на основе отчета о прибылях и убытков проведем анализ прибыли и
рентабельности "ОАО МАЗ". Динамика и структура прибыли представлена в
таблице Б.2 приложения Б.
На рисунке 2.3 по результатам расчетов таблицы Б.2 Приложения Б построим
диаграмму изменения прибыли ОАО"МАЗ".
Рисунок 2.3 - Изменение прибыли и рентабельности ОАО"МАЗ" за
2007-2009гг.
Балансовая прибыль предприятия, как основной показатель эффективности
работы предприятия, в 2009 году составила 269,16млрд. рублей, и по отношению к
2008 году снизилась на 246,65 млрд. руб. (269,16-515,81) или на 4782%
((269,16-515,81)/515,81*100).
Основную часть в балансовой прибыли занимает прибыль от реализации
продукции. Как видно из таблицы 2.3 и рисунка 2.3 прибыль от реализации в 2008
году по отношению к 2007 году увеличилась на 338,19 млрд. руб. (493,58-155,39)
или на 217,65% ((493,58-155,39)/155,39*100). А в 2009 году по отношению к 2008
году уменьшилась на 46,04% (266,33-493,58/493,58*100) или на 227,26 млрд.
руб.(266,33-493,58), это произошло в из-за снижения выручки от реализации на
804,469 млрд. руб. (2415,99-3220,46).
Другая составляющая балансовой прибыли - разница между операционными
доходами и расходами. Убыток от операционных расходов на 2007 год составил
137,72 млрд. руб., а прибыль от операционных доходов в 2009 году по отношению к
2008 году снизилась на 41,63 млрд. руб. (3,024-44,66) или на 93,2%
((3,024-44,66)/44,66*100).
Величина чистой прибыли, как одного из важнейших экономических
показателей, характеризующих конечные результаты деятельности предприятия, в
2009 году составил 185,03 млрд. руб., в то время как в 2008 году она составила
365,50 млрд.руб. Уменьшение составило 180,47 млрд.руб. или 49,4 %.
Относительную прибыльность предприятия характеризует показатель
рентабельности. В 2009 году уровень рентабельности по реализованной продукции
снизился по сравнению с 2008 годом на 6,27 %, что говорит о плохой работе
предприятия. Это может быть вызвано снижением реализации продукции.
2.4
Анализ рынков сбыта
Страны продаж продукции МАЗ достаточно обширна это: страны СНГ
(Азербайджан, Армения, Беларусь, Грузия, Казахстан, Молдова, Россия,
Таджикистан, Туркменистан, Узбекистан, Украина.), а так же страны дальнего
зарубежья (Алжир, Ангола, Гвинея, Египет, Конго, Афганистан, Иран, Ливан, ОАЭ,
Саудовская Аравия, Сирия, Турция, Болгария, Венгрия, Италия, Польша, Румыния,
Чехия, Латвия, Литва, Вьетнам, КНДР, Монголия, Куба). Объемы и динамика продаж грузовых автомобилей МАЗ на основных
рынках сбыта, представлены в таблице 2.1.
Таблица 2.1 - Объем и динамика продаж продукции ОАО "МАЗ"
|
Рынки сбыта
|
2007
|
2008
|
Темп роста 2008г. к 2007 г.
|
2009
|
Темп роста 2009г. к 2007 г.
|
Темп роста 2009г. к 2008 г.
|
|
Объем продаж, шт.
|
Объем продаж, шт.
|
|
Объем продаж, шт.
|
|
|
|
1
|
2
|
3
|
4
|
5
|
6
|
7
|
|
Беларусь
|
6 156
|
6 742
|
109,52
|
5887
|
95,63
|
87,32
|
|
Россия
|
16 755
|
19 043
|
113,66
|
17815
|
106,33
|
93,55
|
|
Украина
|
3235
|
3429
|
106,00
|
3418
|
105,66
|
99,68
|
|
Др. страны СНГ
|
1 487
|
2 187
|
147,07
|
2082
|
140,01
|
95,20
|
|
Дальнее зарубежье
|
2 042
|
1 471
|
72,04
|
1485
|
72,72
|
100,95
|
|
Всего
|
29 675
|
32 872
|
110,77
|
30687
|
103,41
|
93,35
|
Доли продаж продукции ОАО"МАЗ" за 2009 год представлены на
рисунке 2.4.

Рисунок 2.4- Доли продаж ОАО"МАЗ"за 2009 год
Как видно из рисунка 2.4 основным рынком сбыта техники ОАО
"МАЗ" в 2009 году является Российская Федерация, где реализуется
около 58% продукции.
Вторым по значимости для ОАО "МАЗ" является рынок Беларуси, где
реализуется более 19% техники.
В 2009 году на Украину было поставлено 11% техники, а в другие страны СНГ
7%. Меньше всего экспортировано техники в страны дальнего зарубежья всего 5%.
Изменение объема продаж с 2007 года по 2009 год представлено на рисунке
2.5.
Рисунок 2.5 - Изменение объема продаж за 2007-2009 гг.
Как видно из рисунка 2.5 и таблицы 2.3 в 2008 году в сравнении с 2007
годом произошел рост сбыта продукции на 3197 шт.(32872-29675) или на 10,77%
((32872-29675)/29675*100), а в 2009 году по сравнению с 2007 годом объем продаж
увеличился на 1012 шт.(30687-29675) или на 3,41% ((30687-29675)/ 29675*100). В
2009 году по сравнению с 2008 годом произошло снижение реализации продукции на
2185 шт. (30687-32872) или на 6,65% ((30687-32872)/32872*100).
Таким образом для улучшения сбыта продукции предприятию следует повышать
качество выпускаемой продукции, так же необходимо создание более широкой
дистрибьюторско-дилерской сети, на предприятии должен регулярно проводится сбор
и обработка информации от дилеров о потребностях покупателей.
2.5 Анализ
платежеспособности и ликвидности предприятия
Платежеспособность предприятия означает возможность имеющимися различными
платежными ресурсами своевременно погасить свои краткосрочные финансовые
обязательства. Иными словами, это возможность возвращения долга, сроки возврата
которого не наступили.
Анализ платежеспособности важен как для предприятия в целях оценки и
прогнозирования финансовой деятельности, так и для банков.
Оценка платежеспособности предприятия производится на основе
характеристики ликвидности оборотных средств, значит, времени, которое
необходимо для превращения их в денежную наличность. От степени ликвидности
зависит платежеспособность. В то же время ликвидность характеризует не только
текущее состояние расчета, но и перспективу [1].
Ликвидность определяется путем сравнения текущих активов (оборотных
средств), сгруппированных по срокам превращения их в денежные средства, с краткосрочными
обязательствами по пассиву, которые группируются по степени срочности их
погашения. Аналитический баланс представлен в таблице Б.3 Приложения Б.
Расчет коэффициентов платежеспособности и ликвидности приведен в таблице
Б.4 Приложения Б. Эти коэффициенты сравнивают краткосрочные обязательства и
текущие активы, которые, как правило, создают фонды для обмена на эти
обязательства.
Таблица 2.2 - Основные показатели финансового состояния ОАО
"МАЗ"
|
Наименование коэффициента
|
Значение на начало года
|
Значение на конец года
|
Нормативное значение
|
Изменение
|
|
1. Текущая
платежеспособность
|
13,82
|
9,82
|
> 1
|
-4,00
|
|
2. Перспективная
платежеспособность
|
|
2.1. Коэффициент абсолютной
ликвидности
|
2,92
|
1,53
|
> (0,2 - 0,25)
|
-1,39
|
|
2.2. Коэффициент
промежуточной ликвидности
|
3,23
|
1,77
|
-1,46
|
|
2.3. Обобщающий коэффициент
ликвидности
|
7,04
|
4,41
|
>1,7
|
-2,63
|
|
3. Критическая оценка
ликвидности
|
6,69
|
3,96
|
> (1 - 1,5)
|
-2,73
|
Анализ финансового состояния представлен на рисунке 2.6.
Рисунок 2.6 -Анализ финансового состояния ОАО"МАЗ" за 2009 год
Данные таблицы 2.6 показывают, что:
· текущая платежеспособность на конец года ниже, чем на начало, и превышает
нормативное значение, но по сравнению с началом года он снизился на 4%, что
говорит о ухудшении платежеспособности;
· коэффициент абсолютной ликвидности на отчетную дату
составляет 1,53, который выше нормативного значения >(0,2-0,25), что
является положительным показателем для предприятия, но по сравнению с началом
года он снизился на 1,39, что говорит о плохой работе предприятия;
· промежуточный коэффициент ликвидности на начало года был выше
нормативного значения 3,23 и это является положительным фактором, а на отчетную
дату он составил 1,77,;
· общий коэффициент ликвидности (коэффициент покрытия баланса)
на начало года (7,04) и на конец (4,41) удовлетворяет теоретической величине
(>1,7);
· критическая оценка ликвидности на начало года составила 6,69, что
удовлетворяло теоретической величине >(1-1,5), на конец года снизилась до
3,96, но также удовлетворяет нормативному значению. Расчет ликвидности можно производить не только по
коэффициентам, но и с помощью абсолютных величин. Поэтапный расчет ликвидности
представлен в таблице.
Таблица 2.3 - Поэтапный расчет ликвидности
|
Показатели
|
В начале периода
|
В конце периода
|
|
Платежные (денежные)
средства -
|
705,18
|
466,23
|
|
- Краткосрочный заемный
капитал =
|
70,11
|
97,88
|
|
= Недопокрытие (1-я
ступень)+
|
635,07
|
368,35
|
|
+ Дебиторская
задолженность =
|
268,42
|
239,12
|
|
= Пере/недопокрытие (2-я
ступень) +
|
903,49
|
607,47
|
|
+ запасы =
|
677,34
|
540,22
|
|
= Излишек (дефицит) (3-я
ступень) -
|
1580,83
|
1147,69
|
|
- производственные запасы
=
|
480,31
|
371,69
|
|
= Излишек (дефицит) (4-я
ступень)
|
1100,52
|
776
|
Из таблицы видно, что и вначале и в конце периода у предприятия имеется
излишек средств, но к концу года они значительно снизились.
Министерством финансов предлагается следующая методика анализа
финансового состояния и платежеспособности субъектов предпринимательской
деятельности.
. Система критериев для определения неудовлетворительной структуры
бухгалтерского баланса предприятия
.1 Коэффициент текущей ликвидности (К1)
, (2.1)
где IIА - итог раздела II актива бухгалтерского баланса; VП - итог раздела V пассива бухгалтерского баланса; строка 720 - "Долгосрочные кредиты и займы";
.2 Коэффициент обеспеченности собственными оборотными средствами (К2)
, (2.2)
где
III П, IV П - итог раздела III и IV пассива
бухгалтерского баланса;A, II А - итог раздела I и II актива бухгалтерского
баланса.
.
Система критериев для определения предприятий, оказавшихся под угрозой
банкротства (потенциальных банкротов)
.1
Коэффициент обеспеченности финансовых обязательств активами (характеризует
способность предприятия рассчитаться по своим финансовым обязательствам после
реализации активов - К3)
На
начало периода:
, (2.3)
где
V П-итог раздела V пассива бухгалтерского баланса;
Б
- баланс.
2.2. Коэффициент обеспеченности просроченных обязательств активами (характеризует
способность предприятия рассчитаться по просроченным финансовым обязательствам
путём реализации активов - К4)
На начало периода:
, (2.4)
где
КП - краткосрочная просроченная задолженность;
Оценка платежеспособности по методике Министерства финансов представлена
в таблице Б.4 Приложения Б.
Коэффициент текущей ликвидности показывает, хватит ли у предприятия
оборотных средств для покрытия своей задолженности. На начало периода данный коэффициент
составил 2,78, т.е. предприятие за счёт наличия оборотных средств покроет 100%
своих долгов. На конец периода коэффициент текущей ликвидности составляет 2,45.
Это говорит об снижении размера оборотных средств и, соответственно, об
ухудшении финансового состояния предприятия.
Основанием для признания структуры бухгалтерского баланса
неудовлетворительной, а предприятия - неплатежеспособным является условие,
когда значения коэффициентов K1 и К2 менее приведенных
нормативных значений. В нашем случае предприятие признается платежеспособным,
т.к. К1 и К2 превышают норматив, а К3 и К4
- нет.
Коэффициент К3 и на начало, и на конец отчетного периода
соответствует нормативному значению (<0,85), это указывает на то, что у
предприятия есть возможность рассчитаться по своим финансовым обязательствам, и
банкротство ему пока не грозит.
Коэффициент обеспеченности просроченных обязательств активами тоже
соответствует нормативному значению (<0,5).
Наличие собственных средств, их соотношение с заемными определяют финансовую
устойчивость .
Если рост собственного капитала превышает его отвлечение, то разница
чистых активов и уставного капитала положительна и, следовательно, выполняется
минимальное условие финансовой устойчивости:
Таблица 2.4 - Анализ разности чистых активов и уставного капитала
|
Показатели
|
На начало отчетного периода
|
На конец отчетного периода
|
Измене-ния
|
|
1
|
2
|
3
|
4
|
|
Резервный фонд
|
38,34
|
21,0
|
-17,33
|
|
Фонды специального
назначения
|
5,89
|
3,26
|
-2,64
|
|
Нераспределенная прибыль
|
591,94
|
377,79
|
-214,15
|
|
Доходы будущих периодов
|
13,82
|
16,23
|
2,42
|
|
Резервы предстоящих
расходов и платежей
|
0,004
|
0,006
|
0,002
|
|
Итого прирост собственного
капитала после образования предприяти (сумма 1 - 5)
|
649,98
|
418,29
|
-231,7
|
|
Непокрытые убытки
|
0
|
0
|
0
|
|
Собственные акции,
выкупленные у акционеров
|
-
|
-
|
-
|
|
Задолженность участников
(учредителей) по взносам в уставной капитал
|
1,84
|
1,53
|
-0,31
|
|
Итого отвлечение
собственного капитала (сумма 7-9)
|
1,834
|
1,53
|
-0,31
|
|
Разница реального
собственного капитала и уставного капитала (6-10)
|
648,15
|
416,75
|
-231,39
|
Из данных таблицы можно сделать вывод, что минимальное условие финансовой
устойчивости выполняется.
Для анализа финансовой устойчивости используется целый ряд коэффициентов,
расчет которых представлен в таблице 2.5:
Таблица 2.5 - Показатели финансовой устойчивости ОАО "МАЗ"
|
Показатели финансовой
устойчивости
|
Формула
|
На начало года
|
На конец года
|
Изме-нение
|
|
1. Коэффициент соотношения
заемных обязательств и собственных средств (<0,2-0,5)
|
VБ/(IIIБ + IVБ)
|
0,40
|
0,41
|
0,01
|
|
2. Коэффициент
долгосрочного привлечения заемных средств (чем ниже, тем лучше)
|
стр.720/(IVБ+IIIБ+стр.720)
|
0,09
|
0,07
|
-0,01
|
|
3. Коэффициент
маневренности собственных оборотных средств (>0,5)
|
(IIIБ+IVБ-IБ)/(IIIБ + IVБ)
|
0,22
|
0,40
|
0,18
|
|
4. Коэффициент обеспечения
собственными оборотными средствами (>0,2)
|
(IIIБ+IVБ-IБ)/IIБ
|
0,27
|
0,21
|
-0,05
|
|
5. Коэффициент реальной
стоимости основных средств (>0,5)
|
(стр.110Б/Б)
|
0,32
|
0,35
|
0,04
|
|
6. Коэффициент реальной
стоимости внеоборотных средств (0,7-0,8)
|
(стр.110Б+211+213)Б/Б
|
0,53
|
0,57
|
0,04
|
Коэффициент соотношения заемных и собственных средств показывает, сколько
привлечено заемных средств на 1 рубль собственных. Считается, что если значение
коэффициента превышает 1, то теряется финансовая устойчивость, или она достигла
критической точки. Однако это не обязательно для всех предприятий. Оценка
значения зависит от характера хозяйственной деятельности и скорости оборота
оборотных средств. Если предприятие имеет высокий коэффициент оборачиваемости,
то превышение данного коэффициента над 1 может и не означать потери финансовой
независимости (короткий производственный цикл). Если длительный цикл, то
предприятие очень быстро станет банкротом. Для решения вопроса по этому
коэффициенту необходимо изучать показатели оборачиваемости оборотных средств.
Коэффициент долгосрочного привлечения заемных средств характеризует долю
привлечения долгосрочных кредитов для финансирования активов предприятия наряду
с собственными средствами и показывает, сколько заемных источников средств
направляется на финансирование имущества. Коэффициент долгосрочного привлечения
заемных средств снизился, что говорит об уменьшении привлечения долгосрочных
кредитов.
Коэффициент маневренности собственных средств показывает, сколько
собственных источников средств было направлено на создание текущих активов. Коэффициент
маневренности собственных оборотных средств показывает, что большинство
собственных средств было направлено на создание текущих активов.
Коэффициент обеспеченности собственными средствами характеризует долю
собственных оборотных средств в общей сумме оборотных средств.
Коэффициент накопления амортизации показал, что первоначальная стоимость
основных средств и нематериальных активов не погашена амортизационными
отчислениями.
Поскольку коэффициент реальной стоимости основных средств не превысил норматив,
производственный потенциал предприятия хороший.
Проведя анализ коэффициентов, характеризующих финансовую устойчивость,
можно сказать, хозяйственная деятельность данного предприятия является
эффективной.
2.6
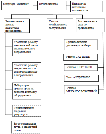
Характеристика цеха редукторов ОАО"МАЗ"
Цех редукторов представляет собой отдельное производство, так как
основная масса узлов и деталей изготавливаются на участках цеха. Следовательно,
цех является самостоятельным. Структурная схема управления цеха редукторов
представлена на рисунке В.1 Приложения В.
В цехе есть службы главного механика и главного энергетика.
Вспомогательные службы: инструментальное хозяйство; ремонтное хозяйство;
складское хозяйство; эмульсионное хозяйство; масленое хозяйство.
Номенклатура деталей, выпускаемых в редукторах, включает в себя различные
корпусные детали сложные по конфигурации (в основном крупногабаритные, с
точными технологическими условиями). Основная выпускаемая продукция цеха - это
средний и задний редуктор. Преобладает серийное производство. В цехе работает 306
чел., из которых 153 производственные рабочие, 117 чел. вспомогательные
рабочие. Производство построено в основном по принципу предметно-замкнутого
поузлового технологического цикла. Обрабатываются детали, имеющие общие
конструкторско-технологические подобия, при этом сохранен достаточно высокий
уровень типизации технологических процессов, унификации применяемой оснастки,
материалов.
В цехе преобладает крупносерийное производство деталей и узлов поточными
линиями и автоматическими линиями, состоящими из специальных и агрегатных
станков, используется механизированный межоперационный транспорт, так же
применяются системы сбора и удаления стружки.
Для повышения эффективности организации производства предусматривается
ввод:
· участка точных обмеров деталей с установкой
координатно-измерительных машин высокой точности;
· ведутся работы по внедрению на оборудовании ……
высокопроизводительного покупного инструмента, позволяющего повысить
производительность а 1,5 раза и более.
Анализ выпускаемой продукции цеха редукторов ОАО"МАЗ". В таблице 2.6 представлен основной
перечень и объем производства цеха редукторов ОАО "МАЗ" за
2007-2009гг.
Таблица 2.6 - Выпуск товарной продукции за 2007-2009 год по цеху
редукторов.
|
Показатели
|
2007
|
2008
|
Темп роста 2008 к 2007г., %
|
2009
|
Темп роста 2009 к 2007 г.,
%
|
Темп роста 2009 к 2007 г.,
%
|
|
Товарная продукция в
сопоставимых ценах
|
163798
|
197505
|
120,6
|
76723
|
38,85
|
46,84
|
|
Товарная продукция в
действующих ценах
|
130088
|
176513
|
135,7
|
76723
|
58,98
|
43,47
|
|
В том числе :
|
|
|
|
|
|
|
|
Автозапчасти для РЭН
|
6532
|
10312
|
157,87
|
2323
|
35,56
|
22,53
|
|
Готовые узлы и кооперацию
|
206
|
104
|
50,49
|
84
|
40,78
|
80,77
|
|
Редуктор средний, шт.
|
11230
|
12327
|
109,77
|
3742
|
33,32
|
30,36
|
|
Редуктор задний, шт.
|
27416
|
27715
|
101,09
|
9741
|
35,53
|
35,15
|
Динамика изменения выпускаемой продукции представлена на рисунке 2.7.
Рисунок 2.7 - Выпуск основной наменклатуры цеха редукторов с
2007-2009 гг.
Как видно из рисунка объем производство значительно снизился, для
выявления причин ухудшения работы цеха редукторов проведем анализ
технико-экономических показателей.
2.7 Анализ
технико-экономических показателей цеха редукторов
Анализ технико-экономических показателей цеха редукторов содержит
обобщение данных результатов его хозяйственной деятельности за определённый период,
описание, как позитивных аспектов, так и детальный разбор недостатков
неиспользованных возможностей в таблице В.1 Приложения В представлены
технико-экономические показатели цеха редукторов.
. Фактический выпуск товарной продукции в 2008 году составил 197505 млн.
руб., что на 33707 млн. руб. больше факта 2007 года или 20,6% ((197505-163798)/
163798*100%). В 2009 году по сравнению с 2007 годом объем товарной продукции
уменьшился на 87075 млн. руб. или на 61,15% ((76723-163798)/163798*100%)).
Данный показатель в 2009 году по сравнению с 2008 годом снизился на
53,16% ((76723-197505)/197505*100%). Это говорит о том, что предприятие
скорректировало объемы выпуска в связи со снижением спроса на продукцию. Это
можно объяснить трудностями из-за экономического кризиса.
. На предприятии фактически наблюдался рост себестоимости товарной
продукции с 2007 по 2008 года. Себестоимость ТП в 2008 году по сравнению с 2007
годом увеличилась на 33116 млн. руб. (2637250-1577338) или на 31 %
(139772-106656)/ 106656*100%) . Себестоимость ТП в 2009 году по сравнению с
2007 годом уменьшилась на 51779 млн. руб. (54877-106656) или на 48,55 %
((54877-106656)/ 106656*100)). Себестоимость ТП в 2009 году по сравнению с 2008
годом снизилась на 84895 млн. руб. (76723-176513) или на 60,74%
((76723-176513)/ 176513*100), что произошло в следствии снижения объема выпуска
продукции.
. Затраты на 1 руб. товарной продукции - обобщающий показатель
себестоимости продукции. Темп роста в 2009 году к факту 2007 года составил
109,85%, а к 2008 году - 101,07%.
Затраты
на один рубль товарной продукции в 2008 году по сравнению с 2007 годом
увеличились на 0,057 руб. (0,708-0,651), в том числе за счет увеличения
себестоимости ТП увеличились на 0,202 руб.
, а за
счет увеличения товарной продукции снизилась на 0,146 руб.
. Затраты на один рубль товарной продукции в 2009 году
по сравнению с 2007 годом выросли на 0,0,64 руб. (0,715-0,651), в том числе за
счет снижения себестоимости ТП уменьшилась на 0,316 руб.
, а за счет уменьшения товарной продукции выросли на
0,380 руб.
. Затраты на один рубль товарной продукции в 2009 году
по сравнению с 2008 годом увеличились на 0,008 руб. (0,715-0,708), в том числе
за счет снижения себестоимости товарной продукции снизились на 0,430 руб.
, а за счет снижения товарной продукции увеличились на
0,437 руб.
. На рисунке 2.8 показано изменение затрат на рубль товарной
продукции за 2007-2009гг.
Рисунок
2.8- Изменение затрат на рубль товарной продукции и производственной
себестоимости за 2007-2009гг.
4.
Темп роста стоимости израсходованных на производство продукции материалов в
2007 году составил 131,1%, в 2008 по отношению к 2007 году- 48,29, в 2008 по
отношению к 2009 году - 36,86%.
.
В 2008 году по сравнению с фактическим значением 2007 года значение
материалоотдачи выросла на 0,14 руб. (1,66-1,81) или на 8 % ((1,66-1,81)/1,81*100%),
в том числе за счет роста товарной продукции она увеличилась на 0,372 руб.
, а за счет роста стоимости израсходованных материалов
снизилась на 0,517 руб.
.
В
2009 материалоотдача увеличилась на 0,09 руб. по сравнению с 2008 годам или на
5,43% ((1,76-1,66)/1,66*100%), в том числе за счет снижения товарной продукции
она уменьшилась на 1,018 руб.
, а за
счет снижения стоимости израсходованных материалов увеличилось на 1,109 руб.
.
.
Рентабельность товарной продукции определяется как отношение товарной продукции
за вычетом себестоимости к ее себестоимости.
Фактические
показатели по рентабельности товарной продукции на протяжении 3-х лет
снижалась. Темп роста в 2009 году к факту 2007 года составил 74,3%, в 2008 году
- 96,38%.
Оставшиеся
показатели проанализируем более подробно.
Так
же необходимо провести анализ эффективности организации производства цеха.
Анализ
состояния использования трудовых ресурсов и фонда заработной платы цеха
редукторов ОАО "МАЗ". Непременным условием выпуска продукции является
обеспечения предприятия трудовыми ресурсами необходимого профессионального
состава. Проведем анализ обеспечения цеха редукторов трудовыми ресурсами,
результаты которого сведем в таблицу 2.7.
Таблица
2.7 - Обеспечение трудовыми ресурсами цеха редукторов
|
Категория персонала
|
2007 год
|
2008 год
|
Темп роста 2008 к 2007, %
|
2009 год
|
Темп роста 2009 к 2007, %
|
Темп роста 2009 к 2008,%
|
|
чел.
|
чел.
|
|
чел.
|
удельный вес, %
|
|
|
|
Всего работающие в том
числе
|
338
|
342
|
100,3
|
306
|
100
|
90,53
|
89,47
|
|
Производствен-ные рабочие
|
168
|
168
|
100,6
|
153
|
50,0
|
91,07
|
91,07
|
|
Вспомогатель-ные рабочие
|
122
|
121
|
100,8
|
117
|
38,2
|
95,90
|
96,69
|
|
PC С
|
37
|
37
|
102,7
|
34
|
11,1
|
91,89
|
91,89
|
|
Ученики
|
11
|
16
|
113,2
|
2
|
0,65
|
18,18
|
12,50
|
С 2007 года по 2008 год произошло увеличение персонала на 4 чел.
(342-338) или на 0,3% ((342-338)/338*100). А с 2007 по 2009 год снизилась на 32
чел. (306-338) или на 9,47% ((306-338)/338*100). С 2008 года по 2009 год
произошло снижение численности на 36чел. (306-342) или на 10,53%
((306-342)/342*100). В целом структура персонала в 2009 году
удовлетворительная, так как удельный вес основных производственных рабочих
составляет 50% .
Проведем анализ использования трудовых ресурсов на основании данных
таблицы 2.8, рисунка 2.9 и рисунка 2.10. В процессе анализа определим потери
товарной продукции в результате нерационального использования рабочего времени
[1].
Таблица 2.8 - Анализ рабочего времени цеха редукторов
|
Показатели
|
Усл. обоз.
|
2007 год
|
2008 год
|
Отклонение 2008 г. от 2007
(+/-)
|
2009 год
|
Отклонение 2009 г. от 2007
(+/-)
|
Отклонение 2009 г. от 2008
(+/-)
|
|
Отрабо-тано одним рабочим
дней в году
|
Д
|
232
|
235
|
3
|
195
|
-37
|
-40
|
|
Количес-тво рабочих в цехе,
чел.
|
Чр
|
338
|
342
|
4
|
306
|
-32
|
-36
|
|
Выпуск продукции рабочим за
1 час, тыс. руб.
|
Вч
|
261,10
|
307,18
|
46,08
|
173,76
|
-87,35
|
-133,43
|
|
Продолжи-тельность рабочего
дня, час
|
tсм
|
8
|
8
|
0
|
7,4
|
-0,6
|
-0,6
|
|
Выпуск товарной продукции,
млн. руб.
|
163798
|
197505
|
33707
|
76723
|
-87075
|
-120782
|
Необходимо провести углубленный анализ и определить потери товарной
продукции в результате нерационального использования рабочего времени.
Для выполнения анализа будет использоваться следующую факторная модель: Q=Чр*Д*tсм*Вч.
В 2009 году по сравнению с 2008 годом выпуск товарной продукции снизился:
ΔQ= 76723-197505= -120782 млн. руб.
Рассчитаем влияние каждого фактора:
Δ Qчр =ΔЧр*Д0*tcм0*Вч0=(306-342)*235*8*307,18=
- 20790 млн. руб.;
ΔQД = Чр1*ΔД*tcм0*Вч0=306*(195-235)*8*307,18=-30079,15
млн.руб.;
ΔQtcм = Чр1*Д1* Δtcм*Вч0= 306*195*(-0,6)*307,18=-10997,69
млн.руб.;
Δ Qtcм = Чр1*Д1*tcм1* Δ Вч0=
306*195*8*(-133,43)=-58915 млн.руб.;
БУ= - 15507,15-23649,78 -9348,05 -38569,67 =-87075 млн. руб.
Рисунок 2.9- Анализ рабочего времени и численности цеха редукторов с
2007-2009 гг.
Рисунок 2.10 - Анализ выпуска продукции за 1 час и продолжительности
рабочего дня с 2007-2009 гг.
Таким образов за 2009 год по сравнению с 2008 год объем выпущенной
продукции снизился на 12782 млн. руб. (76723-197505). Это произошло за счет
снижения численности на 36 чел. (306-342) из-за чего выпуск продукции снизился
на 20790 млн. руб. В связи с тем, что произошло уменьшение количества рабочих
дней на 40 дн. (195-235) (снижение рабочих дней было решено предприятием в
целях экономии постоянных затрат, так как оборудование было недозагруженным и
простаивало), выпуск продукции снизился на 30079,15 млн. руб. За счет
сокращения рабочего дня на 0,6 ч.(7,4-8) объем продукции снизился на 10997,69
млн.руб., а из-за снижения выпуска продукции рабочим за 1 час, объем продукции
уменьшился на 58915 млн. руб.
Так как в результате снижения численности произошло значительное снижение
выпуска товарной продукции, то необходимо выявить причины сокращения
численности, для этого проведем анализ фонда заработной платы. Данные для
анализа представлены в таблице 2.9 и на рисунке 2.11.
Таблица 2.9 - Анализ фонда заработной платы цеха редукторов
|
Показатели
|
2007
|
2008
|
Отклонение 2008 к 2007
|
2009
|
Отклонение 2009 к 2007
|
Отклонение 2009 к 2008
|
|
1.Средняя ЗП 1 работающего
ППП, млн. руб. (ЗП)
|
1,176
|
1,595
|
0,419
|
1,277
|
0,101
|
-0,318
|
|
2.Численность ППП, чел.
(Чр)
|
338
|
342
|
4
|
306
|
-32
|
-36
|
|
3.Фонд заработной платы,
млн. руб. (ФЗП)
|
398
|
545
|
147
|
391
|
-7
|
-154
|
Как видно из таблицы 2.9 с 2007 года по 2008 год в цехе выросла
заработная плата на 0,42 млн.руб.(1,595-1,176), в результате чего произошел
рост численности на 4 чел.(342-338).
Средняя ЗП 1 работающего ППП в 2009 по отношению к 2008году снизилась на
0,318 млн. руб. (1,227-1,595), что привело в снижению ФЗП на 97,31 млн.
руб.(0,318*306), а из-за сокращения численности на 36 чел., произошло
уменьшение ФЗП на 57,42 млн. руб.(36*1,595). В целом ФЗП в 2009 году по
отношению к 2008 году уменьшился на 154 млн. руб.
Таким образом в 2009 году в результате снижения средней заработной платы
произошло значительное сокращение численности рабочих, что привело к снижению
ФЗП и уменьшению выпуска товарной продукции.
Анализ производительности труда. На основании данных представленных в
таблице В.1 Приложения В проанализируем среднегодовую выработку товарной
продукции на одного работающего ППП.
Среднегодовая
выработка ТП на одного работающего ППП c 2007 года по
2008 год увеличивается, что свидетельствует о нормальной работе предприятия, а
в 2009 году снижается. Темпы роста выработки значительно выше в 2008 году, в
этом году выработка увеличилась на 93 (578-485) тыс. руб. или на 19,2%. В 2009
году было значительное снижение выработки. Оно составило 327 (251-578) тыс.
руб. или 56,58%. В целом с 2007 года по 2009 год снижение произошло на 234 тыс.
руб. (251-485) или на 48,26%. Резкое снижение наблюдается в 2009 году, можно
проследить путем факторного анализа. В 2008 году по сравнению с 2007 годом
произошло увеличение среднегодовой выработки на 93 тыс. руб., за счет
увеличения объема ТП она увеличилась на 99,72 тыс. руб.
, а за счет роста численности она снизилась на 6,83
тыс. руб.
.
В
2009 году по сравнению с 2007 годом произошло уменьшение среднегодовой
выработки на 234 тыс. руб., в том числе за счет снижения ТП уменьшилась на 257
тыс. руб.
, а за счет снижения численности увеличилась на 23,74
тыс. руб.
.
В
2009 году по отношению к 2008 году произошло снижение среднегодовой выработки
на одного рабочего на 327 тыс. руб., в том числе за счет уменьшения товарной
продукции на 353 тыс. руб.
, а за
счет снижения численности она увеличилась на 26,40 тыс. руб.
.
Анализ
себестоимости цеха редукторов ОАО "МАЗ".Более широкое распространение
как показатель получила себестоимость продукции по калькуляционным статьям.
Учет по калькуляционным статьям позволяет определить целевое направление затрат
и исчислить себестоимость отдельных видов и единицы продукции. При этом
определяются такие показатели как заводская и полная себестоимость.
На
основании данных таблицы В.2 Приложения В, сравним затраты на производство с
2007-2009 года.
Стуктура
затрат на производства представлена на рисунке 2.11.
Рисунок
2.11 -Структура себестоимости цеха редукторов.
Как
видно на рисунке, наибольший удельный вес в себестоимости 2009 года занимают
полуфабрикаты собственного производства, которые составляют 61,74%, затем
покупные изделия, п/ф, работы (16,7%), а расходы по содержанию оборудования
составляют 9,8%.
Динамика
изменения себестоимости представлена на рисунке 2.12.
Рисунок
2.12 - Изменение себестоимости цеха редукторов с 2007-2009гг.
Анализ динамики себестоимости показал увеличение себестоимости в 2008
году в сравнении с 2007 годом на 31,5%, в 2009 году в сравнении с 2008 годом
снизилась на 60,74%, ((54877-139773)/139773*100).
Покупные изделия и полуфабрикаты в 2008 году в сравнении с 2007 годом
увеличились на 33,52%, а в 2009 году в сравнении с 2008 годом снизились на
51,62%, это снижение связано уменьшением объема реализации продукции;
Основная и дополнительная заработные платы в 2008 году в сравнении с 2007
годом увеличилась на 33,21% и 54,92% соответственно, а в 2009 году в сравнении
с 2008 годом снизились на 55,48% и 14,76% соответственно, это снижение связано
с уменьшением объема выпуска продукции.
Расходы на содержание и эксплуатацию оборудования и цеховые расходы это
многоэлементные калькуляционные статьи себестоимости продукции цеха, они
относятся к комплексным затратам. Оперативный анализ этих статей подразделяет
их на условно постоянные и условно переменные расходы для выявления суммы
экономии или перерасхода в связи с изменениями объема производства продукции.
Анализ показал, что удельный вес РСЭО в себестоимости товарной продукции
, в 2007году занимал 9,1% в себестоимости продукции цеха, в 2008 году 9,02%, в
2009 году 9,8%. Такая отрицательная динамика, связана с уменьшением объема
производства, в результате чего увеличились затраты на техническое обслуживание
и ремонты оборудования.
Удельный вес цеховых расходов в себестоимости товарной продукции в
2007году составлял 1,63% , в 2008 произошло снижение на 0,05% (1,58-1,63), а в
2009 году по сравнению с 2007 и 2008 годами произошло увеличение удельного веса
на 1,64% (3-1,36) и на 1,42% (3-1,58). Данная динамика обусловлена снижением
удельного веса товарного выпуска продукции в себестоимости и уменьшением в
численности и заработной плате персонала аппарата управления.
2.8 Анализ эффективности использования основных средств по цеху
редукторов
Основные средства ( часто называемые в экономической литературе и на
практике основными фондами ) являются одним из важнейших факторов любого
производства. Их состояние и эффективное использование прямо влияет на конечный
результат хозяйственной деятельности предприятия.
Данные учета на 2007-2009 года парка оборудования цеха редукторов ОАО
"МАЗ" представлены в таблице 2.10.
Таблица 2.10 - Наличие оборудования по цеху редукторов.
|
Перечень оборудования
|
Количество шт.
|
Возрастные группы 2009
|
В том числе автоматические
линии
|
|
2007
|
2008
|
2009
|
до 10 лет
|
от 10 до 20 лет
|
свыше 20 лет
|
коли-чество
|
количество станков в линии
|
|
Металоре-жущее
|
308
|
338
|
350
|
50
|
114
|
186
|
4
|
47
|
|
Прессовое
|
9
|
10
|
10
|
1
|
3
|
6
|
-
|
-
|
|
ПТО
|
44
|
52
|
59
|
12
|
19
|
28
|
-
|
-
|
|
Прочее
|
21
|
27
|
29
|
5
|
8
|
16
|
-
|
-
|
|
Итого
|
380
|
421
|
445
|
88
|
175
|
182
|
4
|
47
|
На рисунке 2.13 изображен перечень оборудования находящийся в цехе
редукторов с 2007-2009 года.
Рисунок 2.13 - Структура наличия оборудования цеха редукторов в 2009-2007
гг.
Как видно из рисунка 2.13 наибольшую часть занимает металлорежущее оборудование
его удельный вес составляет 78,7%, менее всего в наличии имеется прессового
оборудования 2,25%, ПТО составляет 13,26%, а прочее оборудование 6,52%.
Техническое состояние основных средств характеризуется степенью их
износа, которая определяется на основании данных бухгалтерского учета (таблица
2.11, рисунок 2.14).
Таблица 2.11 - Степень износа оборудования цеха редукторов, млн. руб.
|
Показатели
|
2007
|
2008
|
Отклонение 2008 к 2007
|
2009
|
Отклонение 2009 к 2007
|
Отклонение 2009 к 2008
|
|
Балансовая стоимость ОС
|
111046,0
|
128865,1
|
17819,1
|
130161,2
|
19115,2
|
1296,1
|
|
Износ ОС за время
эксплуатации
|
57899,3
|
66803,6
|
8904,2
|
67774,9
|
9875,5
|
971,2
|
|
Степень изношенности ОС,%
|
52,14
|
51,84
|
-0,30
|
52,07
|
-0,07
|
0,23
|
Степень износа оборудования представлена на рисунке 2.14.
Рисунок 2.14 - Степень износа оборудования по цеху редукторов.
Как видно из рисунка 2.14 износ оборудования в 2009 году составил 52,07%,
но по отношению к 2007 году снизился на 0,07%, а по сравнению с 2008 годом
увеличился на 0,23%. Следовательно предприятию необходимо провести замену
устаревшего оборудования.
.9 Анализ
экстенсивного использования оборудования
Рост технического совершенствования и улучшение использования основных
фондов один из важнейших факторов, обеспечивающие положительные темпы роста
экономического развития предприятия [1].
Проанализируем экстенсивное использование оборудования во времени на
основе данных представленных в таблице 2.12.
Таблица 2.12 - Анализ экстенсивного использования оборудования
|
Показатели
|
Усл. обоз.
|
2007
|
2008
|
2009
|
Откло- нение 2008г. от 2007
г.
|
Откло- нение 2009г. от 2008
г.
|
Темп роста 2009г. к 2008 г.
|
|
1.Отработано маш.-час.
|
F
|
5074,3
|
5057,7
|
2484,6
|
-16,54
|
-2573,19
|
49,12
|
|
2.Выпуск товарной проукции
за1 маш-час.
|
Bст
|
32,28
|
39,05
|
36,88
|
6,77
|
-8,17
|
79,08
|
|
3.Выпуск товарной продукции
млн. руб.
|
Q
|
163798
|
197505
|
76723
|
33707
|
-120782
|
38,85
|
Анализ показал что в 2009 году по сравнению с 2008 годом уменьшилось
использование оборудования во времени, а именно за анализируемый период
отработано на 50,9% меньше машино-часов, что помешало получит прирост товарной
продукции в размере 61,15%. Это произошло из-за снижения выпуска товарной
продукции за 1 машино-час на 20,92%.
В результате цех недополучил 120782 млн. руб. (197505-163798).
Проведем более детальный анализ.
Q=F*Bст.
ΔQ=ΔF*Bст0=-2589,7*39,05= -100483 млн. руб.
ΔQ=ΔBстн0*F1=-8,17*2484,6= -20297
млн. руб.
Фактический выпуск продукции по цеху по сравнению с 2008 годом уменьшился
на 120782 млн. руб. В связи со снижение выпуска товарной продукции за один
машино-час на 20297 млн. руб., при фактически отработанном времени 2484,6 маш.
часов потери товарной продукции составили 100483 млн. руб. Таким образом за
счет ухудшения использования оборудования произошло сокращение выпуска
продукции.
Необходимо обратить внимание на причины снижения интенсивности
использования оборудования. Для этого
необходимо проанализировать загрузку оборудования.
2.10 Анализ
уровня использования оборудования
Уровень фактического использования оборудования зависит от степени
реализации принципов специализации и пропорциональности в организации
производственного процесса.
Основным критерием для выбора того или иного вида специализации для
каждой стадии производства является уровень загрузки оборудования. Если
коэффициент загрузки оборудования на основных операциях технологического
процесса близок к единице, то это означает, что объем производства оптимален и
эту стадию производства целесообразно ограничить подетальной специализацией.
Если коэффициент загрузки оборудования при обработке одного наименования детали
значительно меньше единицы, то для улучшения его использования необходима
технологическая специализация [9].
В таблице В.4 Приложения В представлены сведения о работе и загрузке
оборудования в цехе редукторов на участке сателлит.
Загрузка оборудования в значительной степени влияет на коэффициент
экономического использования оборудования.
Посчитаем коэффициент экономического использования для данных станков. Он
равен:
з=1254,43/2617,9=0,48
Если бы, например, многие станки работали по нормативной мощности, то
общий коэффициент экономической эффективности стремился бы к 1.
Наблюдается и такая закономерность, что многие дорогие станки либо
полностью простаивают, либо их загрузка очень мала.
Таким образом оборудование полностью не загружено это может быть вызвано
не четким оперативным планированием, несвоевременной доставкой материала,
инструмента. Простой оборудования мог произойти в результате снижения объема
производства и в результате плохой организации труда.
2.11 Анализ
организации движения предметов труда
Производство изделий требует выполнения трех групп операций: обработки,
сборки и перемещения предметов труда. Часто третья операция - перемещение -
требует не меньших затрат труда, чем первая и вторая.
Коэффициент рациональности перемещения (движения) предметов труда Кпт
характеризует степень рациональности перемещения предметов труда во времени и
пространстве.
Значение коэффициента Кпт определяется по следующим формулам:
,(2.5)
где
Топ - средняя длительность операционного цикла на одно изделие, мин,
ч;
Тоф
- фактическая длительность операционного цикла на одно изделие, мин, ч [14].
,(2.6)
где
Zоб -
оборотный задел предметов труда (деталей, узлов и т.д.) в анализируемом
производственном подразделении, шт.;
Zi -
величина суммарного производственного задела i-тых предметов
труда на всех стадиях производственного процесса, шт.
Денежное
выражение производственных заделов представляет собой незавершенное
производство, т.е.
, (2.7)
где
Спр - производственная себестоимость единицы продукции, руб.;
-
коэффициент нарастания затрат (0,5<
<1,0);
Тц
- длительность производственного цикла, дней.
,(2.8)
где
М - материальные затраты, производимые в начале цикла, руб.;
С
- себестоимость на изготовление единицы продукции.
Проанализируем
движение предметов труда на примере шестерен ведущих 103240-1740, 6430240-2017,
4370240-2017, которые обрабатываются на одной группе оборудования, и их
длительность обработки партии деталей составляет 30,1 смен, варианты
очередности и длительность обработки представлены на рисунке В.2 Приложения В.,
а средний коэффициент непрерывности составляет 0,75, расчет представлен в
таблице В.5 Приложения В.,
Величина незавершенного производства по средним значениям себестоимости
67,3тыс.руб и среднесуточным выпускам продукции 76 дет. в день, составит: По техпроцессу tшт на изготовление данных деталей равно
203,1 мин. или 0,42 дня.
По данным предприятия
фактическая длительность операционного цикла на данную шестерню составляет 30,1
смены или 15,05 дня. Рассчитаем Кпт по формуле
(2.7).
Кпт=0,42/15,05=0,02
Значение данного коэффициента говорит о том, что производство не является
непрерывным.
Кнп=76·15·67,3·0,6=46,03 млн. руб.
Кнп оп=46,03*0,02=0,92 млн. руб.
Рассчитанный
показатель
оказывает прямое влияние на величину капитальных
вложений в оборотные фонды, а также в основные фонды и технологическую
себестоимость. Чем меньше будет коэффициент непрерывности, тем меньше будут
затраты по содержанию производственных зданий, приходящихся на единицу
продукции, поэтому основной задачей на участке сателлит цеха редукторов
является снижение коэффициента перемещения предметов труда. Этого можно достичь
например, за счет сокращения технологических и оборотных заделов либо за счет
сокращения длительности производственного цикла, в результате внедрения
оптимизации очередности запуска в обработку партий деталей.
2.12 Оценка
эффективности организации производства цеха редукторов ОАО "МАЗ"
Для оценки внутреннего состояния производственной системы могут быть
использованы различные методы оценки организации производства.
Исходные
данные представлены в таблице 2.13.
Таблица
2.13 - Исходные данные для оценки уровня организации производства цеха
редукторов ОАО "МАЗ"
|
Показатели
|
Условные обозначения
|
В цехе редукторов
|
|
Количество единиц
автоматического и полуавтомат. оборудования
|
Na
|
188
|
|
Общее количество
оборудования
|
No
|
445
|
|
Объем ТП цеха редукторов/
участка шестерен, млрд. руб.
|
Sц
|
76,72
|
|
Объем ТП ОАО
"МАЗ" млрд. руб.
|
Sо
|
2259,9
|
|
Масса готовой продукции на выходе, т
|
Вчист
|
9046
|
|
Норма расхода сырья, т
|
Нрасхода
|
11000
|
|
Количество рабочих мест, на которых оснащение
инструментом, оснасткой соответствует типовым требованиям, чел.
|
Росн.тип
|
125
|
|
Общее количество рабочих
мест, чел.
|
Робщ
|
153
|
|
Мощность оборудования,
используемая фактически, млн. руб.
|
Мфакт
|
76723
|
|
Мощность оборудования
расчетная, млн. руб.
|
Мрасч
|
106512
|
|
Фонд времени работы
оборудования фактически, смен
|
Тфакт
|
97,5
|
|
Расчетный фонд работы
оборудования, смен
|
Трасч
|
349,1
|
Проведем анализ системы показателей коэффициентов эффективности
организации производства. Данные оценки уровня организации производства. сведем
в таблицу 2.14.
Таблица 2.14- Системы показателей коэффициентов
количественной оценки уровня организации производства
|
Наименование показателя
|
Метод расчета показателя
|
Расчет показателя уровня
организации производства и определение его прогрессивности
|
Откло-нение от
прогрес-сивного уровня
|
|
Коэффициент автоматизации
парка оборудования
|
Кавт=188/445=0,420,58
|
|
|
|
Коэффициент специализации
цеха
|
Кспец=76,72/2259,9=0,030,97
|
|
|
|
Коэффициент использования
материалов
|
Ким=9045,6/11000=0,820,18
|
|
|
|
Коэффициент оснащенности
производства инструментом, оснасткой и т.д.
|
Коснащ=125/153=0,810,19
|
|
|
|
Коэффициент интенсивной
загрузки оборудования
|
Кинт.з=76723/106512=0,720,28
|
|
|
|
Коэффициент экстенсивной
загрузки оборудования
|
Кэкст.з=97,5/349,1=0,300,7
|
|
|
|
Коэффициент использования
оборудования(интегральный)
|
Кинт=0,72*0,30=0,210,78
|
|
|
Интегральный
коэффициент количественной оценки уровня организации производства
|
где n-количество
частных коэффициен-тов организации производства.Корг.упр= 6√0,42*0,03*0,82*0,81*0,21=0,340,66
|
|
|
Таким образом, в ходе анализа показателей коэффициентов количественной
оценки уровня организации производства было установлено что, коэффициент
автоматизации парка оборудования составил 0,42, когда прогрессивным считается
1, отклонение составило 0,58, это говорит о том, что в цеху необходимо
установить более автоматизированное оборудование.
Продукция цеха редукторов в общем объеме продукции предприятия составляет
3,39%.
Коэффициент использования материалов составил 0,83, это означает, что на
производство 9045,6 т. товарной продукции расходуется по нормативу 11000 тонна
сырья.
Оснащенность рабочих мест необходимой оснасткой составила 0,81, что
говорит о необходимости улучшения организации труда и внедрения прогрессивной
оснастки в цехе редукторов.
Коэффициенты интенсивной и экстенсивной загрузки оборудования составили
соответственно 0,72 и 0,30, в результат чего интегральный коэффициент
использования оборудования равен 0,21.
Интегральный коэффициент количественной оценки уровня организации
производства в цехе редукторов ОАО"МАЗ" составил 0,34, что говорит о
неудовлетворительной организации производства.
Имеются узкие места: необходимо автоматизировать оборудование, это значит
произвести замену устаревшего. Так же необходимо увеличить загрузку
оборудования, путем применения новых приспособлений и лучшего использования
оснастки.
2.13 Анализ
уровня брака в производстве цеха
В цехе редукторов используется система менеджмента качества ISO 9001 2000.
Важно понимать, что соответствие стандарту ISO 9001 не гарантирует
высокое качество продукции. Соответствие требованиям и рекомендациям этих
стандартов говорит о способности предприятия поддерживать стабильность качества
и улучшать результативность своей работы. Цель серии стандартов ISO 9001 -
стабильное функционирование документированной системы менеджмента качества
предприятия-поставщика.
Система менеджмента качества представлена на рисунке В.2 Приложения В.
Уровень потерь от брака представлен в таблице 2.14.
Таблица 2.14 -Уровень потерь от брака по цеху редукторов
|
Показатель
|
2008г.
|
2009 г.
|
Отклонение 2009 от 2008
гг., млн. руб.
|
Темп роста 2009 к 2008 году,
%
|
|
Уровень потерь от брака
|
0,295
|
0,019
|
-0,028
|
6,44
|
Уровень потерь от брака помесячно за 2008-2009 гг. представлен на рисунке
2.16.
Рисунок 2.16 -Уровень потерь от брака по цеху редукторов по месячно за
2008-2009гг.
Как видно из таблицы 2.14 уровень потерь от брака в 2009 году по
сравнению с 2008 годом снизился на 0,028 млн. руб. (0,019-0,295) или на 93,6%
((0,019-0,295)/0,295*100). Темп роста уровня брака составил 6,44%.
.14 Анализ
существующей системы стимулирования работников
В зависимости от финансового положения предприятия, решением балансовой
комиссии, может быть установлен повышающий или понижающий коэффициент
корректировки размера начисленной премии.
Премия начисляется на должностной оклад отчетного месяца за фактически
отработанное время с учетом доплат и надбавок (за расширение зоны обслуживания,
совмещение профессий (должностей), за выполнение работ временно отсутствующих,
за высокие достижения в труде, за классность и другие доплаты и надбавки,
согласно действующих положений на предприятии). За работу в сверхурочное время,
в праздничные и выходные дни премия начисляется на одинарный должностной оклад.
Размер премии снижается производственным рабочим и некоторым профессиям
вспомогательных рабочих (плотник, маляр, столяр и др.):
1. За каждое отклонение от нормальной работы по качеству на 33,3%
(исправимый брак), па основании извещения об отклонениях по качеству продукции
.
Извещение об отклонении по качеству продукции оформляется в следующих
случаях:
· при изготовлении (сознательно или несознательно) дефектной
продукции;
· при предъявлении на контроль партии деталей, у которой более двух процентов
деталей имеют отклонение от технической документации;
· при невыполнении требований технологического процесса,
влияющих на качество продукции;
· при непринятии мер по своевременному устранению допущенных дефектов;
· при отправке продукции без приемки БТК в цехи-смежники;
· при получении претензий от потребителей на качество изготовленной
продукции;
· при умышленной попытке сдачи дефектной продукции.
.Работнику производится снижение начисленной премии за объявленные в
приказе (распоряжении): замечание - на 10%, выговор- на 20%.
Таким образом стимулирование направлено на увеличение объема, расширение
ассортимента, повышение технического уровня и качества выпускаемой продукции с
учетом достижений научно-технического прогресса. В свою очередь, эффективная и
качественная работа влечет за собой снижение себестоимости и повышение
рентабельности производства, что дает возможность дополнительно материально
поощрить работников, тем самым улучшить организацию производства.
2.15 Выводы
по разделу
Анализ работы предприятия и цеха редукторов проводился по данным их
работы за три года.
Была изучена организация производства (анализ специализации, анализ
использования оборудования, анализ организации перемещения предметов труда) так
же был произведен анализ технико-экономических показателей: объем производства,
себестоимость продукции, показатели эффективности использования ресурсов,
состояние основных средств, показатели, характеризующие финансовое состояние
предприятия.
Для выявления и мобилизации резервов дальнейшего улучшения организации
производства в цехе редукторов и прослеживания взаимосвязи изменения
технико-экономических показателей на предприятии в целом и в исследуемом цехе,
выбираем анализируемый период за 2008 и 2009 года.
Темп роста товарной продукции в 2009 году в сравнении с 2008 годом в
сопоставимых ценах по предприятию составил 77,82%, по цеху - 46,84%. Главным
фактором снижения объемов стало снижение спроса на автотехнику в связи с
экономическим кризисом. Структура выпускаемой продукции за три года значительно
не изменилась, однако в 2009 году в нее вошли новые модели автобусов
усовершенствованных моделей.
По ОАО "МАЗ" наблюдается снижение среднегодовой выработки
товарной продукции на 14,75%, численности на 8,72 %, а фонд заработной платы
снизился на 26,9%. В цехе за анализируемый период наблюдается снижение
производительности на 51,4%, за счет снижения товарного выпуска на 61,2%, а
численности на 10,53%, в результате чего фонд заработной платы уменьшился на
28,35%. Необходимо направить мероприятия по снижению трудоемкости производства
продукции.
Результаты производственной деятельности предприятия характеризуются
прибылью от реализации, темп роста которой составил 53,96% и рентабельностью
реализованной продукции, по данному показателю наблюдается снижение: в 2008
году рентабельность составила 9,96%, в 2009 году 8,89%.
При анализе организации производства цеха редукторов было выявлено, что
наибольший удельный вес 40,9% составляет оборудование, срок службы которого
более 20 лет. Износ основных средств за время эксплуатации за 2009 год составил
67774,94 млн. руб., а коэффициент автоматизации парка оборудования составил
0,42.
Интегральный коэффициент количественной оценки уровня организации
производства в цехе редукторов ОАО"МАЗ" составил 0,34, что говорит о
наличии резервов организации производства.
При анализе экстенсивного использования оборудования было установлено,
что в связи со снижением выпуска товарной продукции за один машино-час на 20297
млн. руб., при фактически отработанном времени 2484,6 маш. часов потери
товарной продукции составили 100483 млн. руб. Таким образом за счет, того что
оборудование не было загружено полностью, произошло сокращение выпуска
продукции.
Коэффициент рациональности движения предметов труда составил 0,02 (анализ
был произведен для деталей 103240-1740, 4370240-2017, 6430240-2017), что
повлияло на величину незавершенного производства, которая составила 46,2
млн.руб.
Таким образом в качестве основных направлений для повышения эффективности
организации производства цеха редукторов ОАО "МАЗ" можно выделить
следующие направления:
. С целью повышения автоматизации основных производственных
процессов необходимо провести внедрение нового оборудования.
. Для повышения эффективности использования производственной
площади и улучшения уровня использования оборудования необходимо провести
замену станков, которые простаивают станками с более высокой
производительностью.
. Для повышения непрерывности производства, необходимо провести
оптимизацию очередности запуска в обработку партии деталей.
. Усовершенствование системы стимулирования персонала.
3. ОРГАНИЗАЦИОННО-ЭКОНОМИЧЕСКИЙ РАЗДЕЛ
3.1
Мероприятие по повышению технического уровня производства
Так к в ходе анализа было выяснено, что наибольший удельный вес в
основных средствах цеха редукторов занимает оборудование возраст которого более
20 лет, поэтому предлагается мероприятие по замене оборудования: вместо 17
станков внедрить 3 станка Weisser Univertor AC2 (токарный автомат), за счет
собственных средств. Расходы связанные с внедрением
оборудования представлены таблице 3.1.
Таблица 3.1 - Расходы связанные с внедрением оборудования
|
Виды затрат
|
Сумма, млн. руб.
|
|
Всего оборудования
|
898,537
|
|
Транспортировка и
страхование
|
20,14
|
|
Обучение персонала
|
11,87
|
|
Ввод в эксплуатацию
|
9,75
|
|
Итого
|
940,297
|
Время обработки деталей и расход электроэнергии представлен в таблице
3.2.
Таблица 3.2 - Показатели до и после внедрения
|
Показатели
|
Ед. измер.
|
До внедрения
|
После внедрения
|
|
1. Шестерня
|
шт.
|
74120
|
74120
|
|
Токарный 6-ти шпиндельный
п/а 15240
|
кВт.
|
27
|
-
|
|
Время обработки
|
Тшт
|
0,03
|
-
|
|
1Н713 токарный с ЧПУ
|
кВт.
|
17
|
-
|
|
Время обработки
|
Тшт.
|
0,05
|
-
|
|
После внедрения:
|
|
|
|
|
Токарный автомат Weisser АС-2
|
кВт.
|
-
|
69
|
|
Время обработки
|
Тшт.
|
-
|
0,0173
|
|
2.Сателлиты
|
шт.
|
305179
|
305179
|
|
15240 токарный с ЧПУ
|
кВт.
|
27
|
-
|
|
Время обработки
|
Тшт.
|
0,08
|
-
|
|
Вертикально-протяжной
автомат МП7633
|
кВт.
|
40
|
-
|
|
Время обработки
|
Тшт.
|
0,02
|
-
|
|
1Н713 токарный с ЧПУ
|
кВт.
|
17
|
-
|
|
Время обработки
|
Тшт.
|
0,07
|
-
|
|
Торцекруглошлифовальный 3Т153Е
|
кВт.
|
17
|
-
|
|
Время обработки
|
Тшт.
|
0,07
|
-
|
|
Токарный многорезцовый п/а
НТ-302
|
кВт.
|
18,5
|
-
|
|
Время обработки
|
Тшт.
|
0,01
|
-
|
|
Токарный многорезцовый п/а
НТ-502
|
кВт.
|
22,5
|
-
|
|
Время обработки
|
Тшт.
|
0,05
|
-
|
|
Горизонтально-фрезерный 6Р81
|
кВт.
|
7
|
-
|
|
Время обработки
|
Тшт.
|
0,03
|
-
|
|
После внедрения:
|
|
|
|
|
Токарный автомат Weisser Univertor AC2 (2 шт.)
|
кВт.
|
-
|
69+69=138
|
|
Время обработки
|
Тшт.
|
-
|
0,0162+0,0,147=0,0309
|
Затраты электроэнергии рассчитываются по формуле (3.1).
Зэ=Nг*W*Тшт*Цэ, (3.1)
где Nг- годовая программа выпуска, шт;
W-
затраты электроэнергии, кВт;
Тшт- время на обработку детали, мин;
Цэ- стоимость 1 кВт, тыс. руб.
Расчет экономии электроэнергии от внедрения станков Weisser Univertor AC2 представлены в таблице 3.3.
Таблица 3.3 - Расчет экономии электроэнергии
|
Оборудова-ние
|
Ед. измер
|
Затраты до внедрения
(электроэнергия)
|
Затраты после внедрения
(электроэнергия)
|
|
1.Шестерня
|
|
Токарный 6-ти
шпиндельный п/а 15240
|
тыс. руб.
|
74120*27*0,03*0,8=48030
|
74120*69*0,0173*0,8=
88477,8
|
|
1Н713 токарный с ЧПУ
|
тыс. руб.
|
74120*17*0,05*0,8=50402
|
|
|
Итого
|
тыс. руб.
|
98432
|
88477,8
|
|
2.Сателлиты
|
|
15240 токарный с ЧПУ
|
тыс.руб.
|
305179*27*0,08*0,8=527349,3
|
305179*138*0,031*0,8=
1044444,6
|
|
МП7633
|
тыс.руб.
|
305179*40*0,02*0,8=195314,6
|
|
|
1Н713 токарный с ЧПУ
|
тыс.руб.
|
305179*17*0,07*0,8=290530,4
|
|
|
3Т153Е
|
тыс.руб.
|
305179*17*0,07*0,8=290530,4
|
|
|
НТ-302
|
тыс.руб.
|
305179*18,5*0,01*0,8=45166,5
|
|
|
НТ-502
|
тыс.руб.
|
305179*22,5*0,05*0,8=274661,166
|
|
|
6Р81
|
тыс.руб.
|
305179*7*0,03*0,8=51270
|
|
|
Итого
|
тыс.руб.
|
1674822,3
|
1044444,6
|
|
Итого экономии
|
млн. руб
|
(98,43+1674,82)-(88,47+1044,44)=640,33
|
Изменения заработной платы представлено в таблице 3.4.
Таблица 3.4- Изменение фонда заработной платы
|
Показатели
|
Базовый проект
|
Проектируемый проект
|
|
Количество оборудования
|
17
|
3
|
|
Количество рабочих, чел.
|
10
|
3
|
|
Шестерня
|
|
Годовой выпуск деталей, шт.
|
74120
|
74120
|
|
Штучное время,
|
0,08
|
0,0173
|
|
Расценка за 1 деталь,
руб.(шестерня)
|
15,08
|
3,26
|
|
Заработная плата с
налогами, млн.руб. (шестерня)
|
1,94
|
0,42
|
|
Сателлиты
|
|
Годовой выпуск деталей, шт.
|
305179
|
305179
|
|
Штучное время,
|
0,33
|
0,031
|
|
Разряд рабочего
|
6
|
6
|
|
Часовая тарифная ставка,
руб./час.
|
5952
|
5952
|
|
Расценка за 1 деталь,
руб.(сателлиты)
|
62,205
|
5,84
|
|
Заработная плата с
налогами, млн.руб. (сателлиты)
|
8,01
|
0,75
|
Часовая тарифная ставка пятого разряда определяется по формулам (3.2)
и(3.3.):
ЧТС6 разряд=ЧТС1разряд*Ктар, (3.2)
ЧТС1разряд=(МЗП1р/168)*Кув, (3.3)
ЧТС1р=(250000/168)*4=5952 руб./час,
ЧТС6 разряд=5952*1,9=11310 руб./час,
Определим расценку следующим образом:
Р=ЧТС*tшт., (3.4)
Рбаз. шестерни=11310*(0,08/60)=15,08 руб./шт.
Рпроект.. шестерни=11310*(0,0173/60)=3,26 руб./шт.
Рбаз сателлиты =11310*(0,33/60)=62,205 руб./шт.
Рпроект.. сателлиты =11310*(0,031/60)=5,84 руб./шт.
Определим заработную плату следующим образом:
ЗП=Р*N*Кзп, (3.5)
Где Кзп- коэффициент, учитывающий отчисления на социальное страхование и
налоги (Кзп=1,346)
N -
годовая программа выпуска деталей (шт.)
ЗП баз. шест.= 15,08*74120*1,346= 1,58 млн. руб.
ЗП проект. шест.= 3,26*74120*1,346=0,33 млн. руб.
ЗП баз. сател.= 62,205*305179*1,346= 25,55 млн. руб.
ЗП проект. сател.= 5,84*305179*1,346=2,4 млн. руб.
ЗП проект=(0,33+2,44)*0,1+(0,33+2,44)=3,03 млн. руб.
В результате внедрения нового оборудования экономия от снижения
заработной платы составит:
Эзп=( ЗП баз. шест. - ЗП проект. шест.)+( ЗП баз.
сател. - ЗП проект. сател.), (3.6)
Эзп=( 1,58-0,33)+(25,55-2,4)=24,4 млн. руб.
Эзп.доп=24,4 *10/100=2,44 млн. руб.
Эобщ.=24,44+2,44=26,84 млн. руб.
Величина годовых амортизационных отчислений определяется на основе
годовых норм амортизации и первоначальной стоимости оборудования по формуле
, (3.7)
где На.- годовая норма амортизации соответствующего вида активов;
Ф0 - первоначальная стоимость соответственно: j-го вида оборудования, млн. руб.
Нормы амортизационных отчислений рассчитывается по следующей формуле
(3.8):
На=1/Тп.и. (3.8)
гдеТп.и.- срок полезного использования оборудования.
На=1/15=0,07
Аоб.баз.шест=(120,4+36,7)*0,07=10,997 млн. руб.
Аоб.проект.шест=299,512*0,07=20,96 млн.руб.
Аоб.баз.сат.=(61,6+120,4+36,7+124,7+255,1+112,1+337,73+69,5)*0,07=78,25
млн. руб.
Аоб.проект.сат=599,02*0,07=41,9 млн.руб.
Итого:
Аоб.баз=(61,6+120,4+36,7+124,7+255,1+112,1+123,1+69,5)*0,07=63,22
млн. руб.
Аоб.проект=898,54*0,07=62,9 млн.руб.
Экономия амортизационных отчислений составит:
ЭА=63,22-62,9=0,32 млн.руб.
В результате внедрения оборудования планируется изменение затрат,
представленное в таблице 3.5.
Таблица 3.5- Изменение статей затрат, млн. руб.
|
Статья затрат
|
Экономия
|
|
Заработная плата с налогами
|
26,84
|
|
Электроэнергия
|
640,33
|
|
Амортизационные отчисления
|
0,32
|
|
Итого
|
667,49
|
Калькуляция себестоимости шестерни представлена в таблице 3.6.
Таблица 3.6 -Себестоимость для шестерни 5440-240528 (на единицу
продукции)
|
Статьи затрат
|
Значения по вариантам
|
|
Базовый
|
Проектный
|
|
1
|
2
|
3
|
|
1. Сырье и материалы за
вычетом возвратных отходов
|
6017
|
6017
|
|
2. Топливо и энергия на
технологические нужды
|
1327
|
1193
|
|
3. Основная и дополнительная
заработная плата производственных рабочих с отчислениями
|
22,7
|
3,26
|
|
4. Общепроизводственные
расходы (без амортизации) (данные завода)
|
2861
|
2861
|
|
5. Амортизация основных
средств
|
148
|
282
|
|
6. Итого: цеховая
себестоимость
|
10393
|
10363
|
|
7. Общехозяйственные
расходы (данные завода)
|
1658
|
1658
|
|
10.Итого: производственная
себестоимость (стр.9+10)
|
12052
|
12021
|
|
11. Расходы на реализацию
продукции(заводские даннве)
|
122
|
122
|
|
12.Платежи, отчисления и
налоги в себестоимости продукции
|
51
|
51
|
|
13. Итого: полная
производственная себестоимость, (Сп ) (стр.11+ 12+ 13)
|
12226
|
12196
|
Калькуляция себестоимости сателлита 5436-2405035 представлена в таблице
3.7.
Таблица 3.7-Себестоимость сателлита 5436-2405035 (на единицу продукции)
|
Статьи затрат
|
Значения по вариантам, руб.
|
|
Базовый
|
Проектный
|
|
1
|
2
|
3
|
|
1.Сырье и материалы за
вычетом возвратных отходов
|
6340
|
6340
|
|
2.Топливо и энергия на
технологические нужды
|
5480
|
3422
|
|
3. Основная и
дополнительная заработная плата производственных рабочих с отчислениями
|
89,9
|
8,44
|
|
4.Общепроизводственные
расходы (без амортизации) (данные завода)
|
861,6
|
861,6
|
|
5.Амортизация основных
средств
|
137,3
|
|
6.Итого: цеховая
себестоимость
|
12978,7
|
10769,3
|
|
7.Общехозяйственные расходы
(данные завода)
|
407
|
407
|
|
8. Итого: производственная
себестоимость
|
13385,7
|
11176,3
|
|
9. Расходы на реализацию
продукции(заводские данные)
|
176
|
176
|
|
10.Платежи, отчисления и
налоги в себестоимости продукции
|
42,76
|
42,76
|
|
11.Итого: полная производственная себестоимость, (Сп )
|
13604
|
11390
|
Итого полная производственная себестоимость по двум деталям:
Сп (б)пр=12196*74120+11395*305179=4382 млн. руб.
Расчет отпускной цены для деталей представлен в таблице 3.8.
Таблица 3.8 - Расчет отпускной цены
|
Показатель
|
Порядок расчета
|
Значение, руб.
|
|
|
Шестерня
|
Сателлит
|
|
Прибыль планируемая
|
18291708
|
|
|
|
Цена предприятия без НДС
|
1402513098
|
|
|
|
Сумма НДС
|
НДС= 28052620
|
|
|
|
Отпускная (свободная) цена
предприятия с НДС
|
Цотп. =ЦпрбезНДС
+ НДС
|
16830
|
15718
|
Расчет прибыли от реализации и чистой прибыли предприятия представлен в
таблице 3.9.
Таблица 3.9- Расчет прибыли от реализации и чистой прибыли предприятия
|
Показатель
|
Порядок расчета
|
Значения, млн.руб.
|
|
|
Шестерня
|
Сателлит
|
Итого
|
|
Выручка от реализации в
отпускных ценах
|
ВРреал = Ц отп *N
|
1247,44
|
4796,68
|
6044,12
|
|
НДС выходной
|
207,91959,341167,25
|
|
|
|
|
Выручка без косвенных
налоговых платежей
|
1039,533837,344876,87
|
|
|
|
|
Прибыль от реализации
|
Преал = ВРпред,
- Сп (б)пр
|
136,53
|
359,83
|
496,36
|
|
Налог на прибыль
|
32,7786,36119,13
|
|
|
|
|
Сбор на развитие территории
(целевой сбор)
|
3,118,2011,32
|
|
|
|
|
Чистая прибыль
|
100,65256,27365,92
|
|
|
|
Так как годовой эффект положительный, то инвестиции в приобретение
оборудования целесообразны, так как сумма выгоды составляет 365,92млн. руб., а
чистый доход по проекту составит 428,82 млн. руб. (чистая прибыль+амортизация).
Оценить эффективность инвестиционной деятельности можно рассчитав
показатели динамической системы оценки эффективности проекта, среди которых
чистая текущая стоимость, внутренняя норма рентабельности, период возврата
инвестиций.
Чистая текущая стоимость характеризует экономичность начальных ресурсов
инвестора, которая обеспечивается ускоренным темпом роста активов. Она
позволяет оценить оправданность риска на основании функции полезности риска.
Чистая текущая стоимость (NPV)
рассчитывается по формуле:
, (3.9)
где Pt- ежегодные поступления, млн. руб.;
Lt- инвестиции, млн. руб.;
Едис- ставка дисконтирования, (примем
0,12).
Дисконтирование используется, если инвестиционный
проект рассматривается за период более года. Ставка дисконтирования
характеризует минимальную норму прибыли, которую хочет иметь инвестор при
осуществлении инвестиционного проекта.
Коэффициент дисконтирования рассчитывается по
формуле:
, (3.10)
Для расчета чистой текущей стоимости за весь срок
службы оборудования необходимо построить таблицу 3.10.
Таблица
3.10- Расчет чистой текущей стоимости
|
Год
|
Инвестиции(-),доход (+),
млн. руб.
|
Накопленный денежный поток,
млн. руб.
|
Коэффициент
дисконти-рования
|
Дисконтированные инвестиции (-)/дисконтированный
доход(+), млн. руб.
|
Финансовое положение
Финансовое положение инвестора
|
|
0
|
-940,30
|
-511,48
|
1,00
|
-940,30
|
-940,30
|
|
1
|
428,82
|
-82,66
|
0,89
|
382,88
|
-557,42
|
|
2
|
428,82
|
346,16
|
0,80
|
341,85
|
-215,57
|
|
3
|
428,82
|
774,98
|
0,71
|
305,23
|
89,66
|
|
4
|
428,82
|
1203,80
|
0,64
|
272,52
|
362,18
|
|
5
|
428,82
|
1632,62
|
0,57
|
243,32
|
605,50
|
|
6
|
428,82
|
2061,44
|
0,51
|
217,25
|
822,76
|
|
7
|
428,82
|
2490,26
|
0,45
|
193,98
|
1016,73
|
|
8
|
428,82
|
2919,08
|
0,40
|
173,19
|
1189,93
|
|
9
|
428,82
|
3347,90
|
0,36
|
154,64
|
1344,56
|
|
10
|
428,82
|
3776,72
|
0,32
|
138,07
|
1482,63
|
|
11
|
428,82
|
4205,54
|
0,29
|
123,28
|
1605,91
|
|
12
|
428,82
|
4634,36
|
0,26
|
110,07
|
1715,97
|
|
13
|
428,82
|
5063,18
|
0,23
|
98,27
|
1814,25
|
|
14
|
428,82
|
5492,00
|
0,20
|
87,75
|
1901,99
|
|
15
|
428,82
|
5920,82
|
0,18
|
78,34
|
1980,34
|
Показатель NPV=+1980,34
млн. руб.> 0, следовательо проект считается эффективным.
=940,30+1980,34 =2920,24
млн. руб.
Реинвестиционная норма рентабельности характеризует темп роста активов по
проекту с учетом реинвестиционных доходов под процентную ставку.
Реинвестиционная внутренняя норма рентабельности характеризует средний темп
роста активов по проекту с учетом реинвестирования доходов под процентную
ставку. Реинвестиционная внутренняя норма рентабельности расчитывается по
формуле:
, (3.11)
где
FVP- запас доходности на конец периода, млн. руб.;текущая стоимость инвесциций,
млн. руб. ;текущая стоимость дохода, млн. руб. ;
Внутренняя норма рентабельности характеризует
темп роста активов по проекту и показывает максимальную ставку платы за кредит,
при которой инвестор не теряет собственных активов. Если IRR>Едиск, значит проект
считается эффективным.
Внутренняя норма рентабельности рассчитывается по
формуле :
(3.12)
IRR=(2*0,22-0,12)*100%=32%
Динамический период возврата инвестиций
характеризует отрезок времени, за которые инвестор возвращает свои начальные
вложения в проект в сумме с платой за использование денежных средств. Динамический
период возврата инвестиций рассчитывается по формуле:
(3.13)
РВР=2+(215,57/305,23)=2,7
год.
Для
графической интерпретации оценки эффективности проекта и наглядности необходимо
построить финансовый профиль проекта. По графику можно выявить, будет ли
погашен кредит в установленный срок, запас прочности проекта, надежность
возврата инвестиций. Финансовое положение инвестора представлено на рисунке
3.1.
Рисунок 3.1 - Финансовый профиль
Таким
образом после внедрения оборудования Weisser Univertor AC2 в цеху редукторов окупаемость проекта составит 2
года и 7 месяцев.
Схема
мероприятия по повышению технического и технологического уровня производства
представлена на рисунке 3.2
Рисунок
3.2- Схема мероприятия по повышению технического и технологического уровня
производства
Но
оборудование не будет полностью загружено (загрузка составляет
0,016=0,0173/(1*1,02)), так как на начальном этапе будет освоен выпуск только
некоторых деталей, и переход на новое оборудование будет постепенным. Поэтому а
в целях лучшей загрузки оборудования (анализ в пункте 2.10) и освобождения
производственной площади планируется внедрение новой оснастки в разделе 3.2.
3.2
Мероприятие по повышению эффективности использования основных производственных
средств
Анализ использования основных производственных фондов в цехе редукторов
участка сателлит показал, что, несмотря на отсутствие производственных
площадей, иногда препятствующее нормальному ходу производственного процесса и
выполнения запланированных объёмов выпуска, в цехе имеется совершенно
неиспользуемое оборудование, как полностью самортизированное, лишь занимающее
свободное пространство, так и то, на которое ежегодно впустую начисляется
амортизация, однако наличие и того и другого отрицательно влияет на совокупный
уровень использования оборудования цеха.
На участке сателлит установлено новое оборудование Weisser, которое недозагружено и которое
имеет большую производительность.
На данном участке так же обрабатывается деталь шестерня полуоси
5336-2403050, которая при замене приспособления может обрабатываться на станке Weisser. Значит для экономии площади
необходимо изготовление нового приспособления для шестерни полуоси
5536-2403050. Капитальные затраты на приспособление составят 5,8 млн. руб.
Годовая программа выпуска детали составляет 39492 шт.
Таблица 3.11 - Основные характеристики недозагруженного оборудования на
участке сателлит цеха редукторов
|
Наименование оборудования
|
Занимаемая площадь, м2
|
Общая стоимость
оборудования, млн. руб.
|
Общая амортизация, млн.
руб.
|
Остаточная стоимость, тыс.
руб.
|
|
1Б265
|
150
|
237,19
|
16,60
|
220,59
|
|
НТ-302
|
|
373,73
|
26,16
|
347,57
|
|
НТ-305
|
|
159,86
|
11,19
|
148,67
|
|
ХШ-4-160
|
|
167,78
|
11,74
|
156,04
|
|
Итого
|
938,56
|
65,69
|
872,87
|
Стоимость 1 м2 площади цеха редукторов составляет 1,092 млн.
руб.
Всего неиспользованное оборудование занимает 150 м2 , значит
эффект от экономия площади составит:
Эs =1,092*150=163,8 млн. руб.
Исходя из данных таблицы 3.7, минимальный эффект который можно получить
ликвидировав неиспользуемое оборудование, - 65,69 млн. руб. - это экономия на
амортизационных отчислениях, на эту сумму соответственно уменьшатся затраты
предприятия, включаемые в себестоимость выпускаемой продукции, а следовательно
возрастет прибыль. При этом не учитывался тот факт, что полностью неизношенной
оборудование можно реализовать по остаточной стоимости. Рассчитаем
дополнительный эффект от прочей реализации:
, (3.14)
где
- цена реализации;
-
остаточная стоимость оборудования;
-
расходы по демонтажу и реализации;
-
косвенные налоги, уплачиваемые при реализации основных средств.
Расходы
по демонтажу составят 18,1 млн. руб.,
К
косвенным налогам, уплачиваемым при реализации основных средств, относится лишь
НДС по ставке 20%, отчисления в республиканский фонд по общему нормативу в
данном случае не исчисляются.
= 872,87
млн. руб. (по данным таблицы 3.12).
, (3.15)
где
- налог на добавленную стоимость;
= ставка
налога на добавленную стоимость (20%).
872,87 ·
0,20 = 174,6 млн. руб.
872,87+18,1+174,6=
1065,57 млн. руб.
Пр=1065,57-18,1-174,6=872,87
млн. руб.
Общая
экономия от освобождения производственной площади составит:
Эп=Пр+Эs,
(3.16)
Эп=872,87+163,8=1036,67
млн. руб.
В
результате данного мероприятия произойдет высвобождение численности. Вместо 4
рабочих будет задействован 1 чел., так как средняя заработная плата за 2009 год
составила 1,227 млн. руб., следовательно годовая экономия фонда заработной
платы составит:
экФЗП=
(Чбаз.*ЗПср.- Чпроект.*ЗПср. )*12,
(3.17)
где
Чбаз, ,Ч,проект.- базовая и проектная соответственно;
ЗПср-
средняя заработная плата.
эк.ФЗП=
4*1,227-1,227 =3,68 млн. руб.
Общая
экономия составит:
, (3.18)
где
Кз- капитальные затраты
Эо=3,68+534,7-5,8=532,58
млн. руб.
Загрузка
оборудования Weisser определяется по следующей формуле:
, (3.19)
где
ti- время обработки детали;
Тц-
длительность цикла обработки детали;
m-количество
оборудования.
Кзо.
баз =0,0173/(1*1,02)=0,016
tшт для шестерни полуоси 5336-2403050 составит 0,027 мин,
а Тц=1,01 мин.(данные завода). Тогда коэффициент загрузки составит:
Кзо
проект=(0,035+0,0173)/(1*(1,02+1,01))=0,026
А
коэффициент экономического использования оборудования составит:
з=1337,22/2545,85=0,52
Δkз=
(0,52-0,48)/0,48*100%=8,3%.
Таким
образом рост загрузки оборудования Weisser составит 62,5% ((0,026-0,016)/0,016)*100)
и по мере того, как мы выводим из цеха моральноустаревшее оборудование, за
отдельными рабочими местами закрепляется меньшее количество операций, а
следовательно увеличивается однородность работ и уменьшаются потери времени на
переналадку оборудования, улучшается его эффективное использование, растет
производительность труда и снижаются издержки производства. Уровень
специализации таких рабочих мест повышается.
Результат
от проведения мероприятия представлен на рисунке 3.3.
Рисунок
3.3- Схема мероприятия по повышению эффективности использования основных
производственных средств
3.3
Мероприятие по повышению организации производственных процессов цеха редукторов
Для уменьшения затрат на хранение и высвобождения оборотных средств
необходимо снизить величину незавершенного производства, для чего необходимо
разработать пакет прикладных программ по оптимизации очередности обработки
партии деталей [13].
Проведем расчет на примере участка "Шестерен" для следующих
деталей, таких как шестерни ведущие: 643012240-20-17, 4370240-2017,
103240-1740. Месячные производственные программы выпуска деталей с учетом их
применяемости в программе изделий предприятия соответственно составляют:
4600шт.; 7600шт, 7000 шт. участок работает в 2 смены по 8 часов (Тсм=8ч), в
месяце примем в среднем 20 рабочих дней.
Потери времени на ремонт и обслуживание составляют 4% от номинального
фонда времени работы оборудования.. Потери времени на наладку оборудования
планируются в размере 2% от номинального фонда времени работы оборудования.
Затраты на разработку программы составят 15,5 млн. руб.
Исходные данные по данным техпроцесса обработки деталей, себестоимости и
затрат на материалы представлены в таблице 3.12.
Таблица 3.12- Исходные данные к расчету
1.
Определим минимальный размер партии деталей
, (3.20)
где
tп-зi j -
подготовительно-заключительное время, мин.;
tштij-
штучное время на обработку i-й детали на j-й группе оборудования
nmin 6430240-2017=(1-0,02)*39,6/0,02*4,8=404
шт.
nmin 4370240-2017=(1-0,02)*65,2/0,02*16,2=197
шт.
nmin 103240-1740=(1-0,02)*65,5/0,02*11,8=272
шт.
2. Размеры партий деталей принятые для дальнейшего расчета в
качестве норматива должны соответствовать принятому на предприятии нормальному
периоду повторения производства Rз-в .
3. Определим расчетное значение периодичности запуска-выпуска партий
деталей Rз-в:
(3.21)
где
- расчетная периодичность запуска-выпуска j-й
партии деталей, дн.;
-
среднесуточная потребность в j-х деталях, шт/дн.;
-
месячная программа выпуска j-х деталей, шт.
-
количество рабочих дней в планируемом периоде, дн.
Rp з-в 6430240-2017 = 404*20/4600=1,76 дней,
Rp з-в 4370240-2017=197*20/7600=0,52 дня,
Rp з-в 103240-1740 =272*20/700=0,76 дня.
Принятые значения периодичностей должны быть кратны 20 дням и составят Rпрз-в6430240-2017 =2 дня; Rпрз-в4370240-2017=1 день; Rпрз-в103240-1740 = 1 день. Для всех наименований деталей принимается общий максимальный
период чередования партий деталей Rз-в =2 дня, что кратно среднему значению рабочих дней в месяце (20 р.д.),
это значение становится нормативным для данного участка и будет использоваться
при построении последовательности обработки партии деталей.
4. Нормативный размер партии деталей принимается равным той средней
потребности в деталях, определяемой на основе принятого ряда периодичности и
месячной программы выпуска.
Определение нормативного размера партии деталей, обрабатываемых на
участке с учетом нормативной периодичности запуска-выпуска:
, (3.22)
nн
6430240-2017 = 2*4600/20=460 шт.;
nн
4370240-2017=2*7600/20=760 шт.;
nн
103240-1740 =2*7000/20=700 шт.
5. Определение продолжительности операционного цикла обработки
партии деталей.
(смен),
(3.23)
Тцij=(460*2,1+14,6)/60*8=2
смены.
Расчет
сведен в таблицу 3.13
Таблица
3.13- Расчет продолжительности операционного цикла
|
Операция
|
Длительность операционного
цикла обработки деталей по группам оборудования, Тцij, смен
|
|
6430240-2017
|
4370240-2017
|
103240-1740
|
|
Центрофрезерная
|
2,0
|
1,9
|
2,2
|
|
Токарная
|
6,0
|
7,5
|
7,8
|
|
Круглошлифовальная
|
6,6
|
4,6
|
6,2
|
|
Итого
|
14,7
|
14,0
|
16,1
|
6. После того как определили трудоемкость по операциям, произведем
расчет параметров Pi1 и Pi2.
Для решения задачи В.А. Петровым был предложен следующий алгоритм. Если
станков более двух матрица пооперационной трудоемкости обработки партий деталей
делится по количеству операций на две равные части, по каждой из которых
определяются суммы трудоемкости.
Так как имеется нечетное число операций, то Pi1 и Pi2
будут рассчитываться по следующим формулам:
, (3.24)
, (3.25)
При
нечетном количестве станков средний столбец матрицы относится как к первой так
и ко второй половинам матрицы.
Далее
определяется разность сумм трудоемкости обработки по операциям первой и второй
частей матрицы.
= Pi2 - Рi1, (3.26)
Результат
представлен в таблице 3.14.
Таблица
3.14- Расчет параметров Pi2 , Рi1,
|
№ детали
|
Расчетные параметры
|
|
Рi1
|
Рi2
|
|
|
6430240-2017
|
12,6
|
4,6
|
|
4370240-2017
|
9,4
|
12,0
|
2,6
|
|
103240-1740
|
10,0
|
13,9
|
4,0
|
. На основании данных таблицы 3.10 производим расчет четырех вариантов
очередности в соответствии со следующими правилами:
Правило I. Из множества партий деталей первыми
в обработку запускаются детали с неотрицательными параметрами λi , располагаемые в порядке
возрастания суммарной трудоемкости обработки их по операциям первой половины
матрицы Рi1 и вторыми -детали с отрицательным
значением , λi
располагаемые в порядке уменьшения суммарной трудоемкости обработки их по
операциям второй половины матрицы. Pi2
Правило П. Детали запускаются в обработку в порядке уменьшения разности
сумм трудоемкости партий по операциям второй и первой частей. При равенстве
положительных λi
раньше запускаются детали с меньшим Рi1. При равенстве отрицательных λi раньше запускаются детали с большим Pi2.
Правило Ш. Правило формулируется аналогично первому, но предусматривает
упорядочение деталей в очереди в пределах подмножеств деталей сначала со
значением λi >
0, затем λi = 0
и, наконец, λi <
0.
Правило IV. В первую очередь запускаются детали
с λi > 0 парами. В каждой паре первым
в очередь включается деталь с наибольшей трудоемкостью обработки Pi2 , а подбираемая к ней вторая деталь
- наименьшую трудоемкость обработки в первой части матрицы Pi1 . Вторую и третью очереди
составляют детали c
λi =0 и λi <0, которые запускаются такими же
парами.
Результаты расчета сведем в таблицу 3.15.
Таблица 3.15- Расчет очередности обработки партий деталей
|
№ детали
|
Варианты очередности
|
|
I
|
II
|
III
|
IV
|
|
6430240
|
4370240
|
6430240
|
6430240
|
6430240
|
|
4370240
|
103240
|
103240
|
103240
|
103240
|
|
103240
|
6430240
|
4370240
|
4370240
|
4370240
|
. По каждому варианту очередности строим график последовательности
обработки партий деталей (рисунок 3.4)
Расчет загрузки станков и суммарная трудоемкость деталей представлена в
таблице 3.16.
Таблица 3.16 - Расчет загрузки станков и суммарной трудоемкости деталей,
смен
|
№ детали
|
Трудоемкость по операциям
|
Суммарная трудоемкость
детали , смен
|
|
Центрофрезерная
|
Токарная
|
Кругло- шлифовальная
|
|
|
6430240
|
2
|
6
|
6,6
|
14,7
|
|
4370240
|
1,9
|
7,5
|
4,6
|
14
|
|
103240
|
2,2
|
7,8
|
6,2
|
16,2
|
|
Загрузка станка , смен6,121,317,444,8
|
|
|
|
|
Условные обозначения детали на графике представлены в таблице 3.17
Таблица 3.17 - Условные обозначения детали
Рисунок 3.4- Варианты очередности обработки партий деталей
9. После построения вариантов графиков очередности производим расчет
коэффициентов внутрицикловой загрузки станков по следующей формуле:
, (3.27)
где
- суммарная трудоемкость запланированных операций i-х
деталей на конкретной операции, см.;
Тцj-
фактическая занятость j-го станка выполнением операций обработки, см.
(определяется по графику, различна для каждого варианта; различие определяется
величиной межоперационных перерывов t перij).
Затем
рассчитываем коэффициент непрерывности обработки партий деталей по следующей
формуле:
, (3.28)
где
- суммарная трудоемкость обработки партии i-й
детали на всех станках, смен;
Тцi -
фактическая длительность изготовления партии деталей, смен (определяется по
графику).
Фактическая
загрузка станков устанавливается из рисунка 3.4 , а расчет коэффициента
внутрицикловой загрузки станков выполняется в виде таблицы 3.18.
Таблица
3.18- Коэффициент внутрицикловой загрузки станков
|
Операции
|
Загрузка на станка , сменФактическая загрузка станков по вариантам
очередности, cменКоэффициент внутрицикловой загрузки по вариантам
очередности
|
|
|
|
|
I
|
II
|
I
|
II
|
|
Центрофрезерная
|
6,1
|
6,1
|
6,1
|
1,00
|
1,00
|
|
Токарная
|
21,3
|
23,2
|
23,3
|
0,92
|
0,91
|
|
Круглошлифовальная
|
17,4
|
30
|
27,9
|
0,58
|
0,62
|
|
Всего
|
44,8
|
59,3
|
57,3
|
-
|
-
|
|
Средняя величина
коэффициента
|
0,83
|
0,85
|
Расчет коэффициента непрерывности обработки партии деталей выполняется в виде
таблицы 3.19.
Таблица 3.19- Коэффициенты непрерывности обработки партии деталей
|
№ детали
|
Суммарная трудоемкость
детали , сменДлительность цикла обработки по вариантам
очередности, cменКоэффициент непрерывности обработки по вариантам
очередности
|
|
|
|
|
I
|
II
|
I
|
II
|
|
6430240-2017
|
14,7
|
25,9
|
14,6
|
0,57
|
1,01
|
|
4370240-2017
|
14
|
14
|
23,7
|
1,00
|
0,59
|
|
103240-1740
|
16,2
|
21,41
|
20
|
0,76
|
0,81
|
|
Средняя величина
коэффициента
|
0,77
|
0,80
|
Анализируя графики на рисунке 3.4 , видим, что вариант II имеет наименьшую длительность
производственного цикла, кроме того он характеризуется более высоким
коэффициентом внутрицикловой загрузки станков 0,85. Коэффициент непрерывности
обработки самый высокий так же по варианту II. На основании проведенного анализа принимаем к реализации
вариант II.
Таким образом рост величины внутрицикловой загрузки составит 1,2%
((0,85-0,84)/0,84*100), а коэффициента непрерывности 6,7%
((0,80-0,75)/0,75*100).
В результате сокращения длительности обработки партии деталей величина
незавершенного производства по средним значениям себестоимости 67,3тыс.руб и
среднесуточным выпускам продукции 76 деталей в день, составит:
Кнп=76·13,95·67,3·0,6=44,81млн. руб.
Э=46,03-44,81=1,99 млн.руб.
ΔНЗП на участке=(46,03-44,81)/44,81*100=4,44%
ЭНЗП по цеху=НЗПцеха-(НЗПцеха- НЗПцеха*0,044)=5487,7-(5487,7-5487,7*0,044)=241
млн.руб.
Таким образом планируемое снижение незавершенно производства по цеху
редукторов составит 241 млн. руб.
Результат от проведения мероприятия представлен на рисунке 3.5
Рисунок 3.5 - Схема мероприятия по повышению эффективности организации
производства
3.4
Совершенствование системы стимулирования труда персонала
Система стимулирования персонала - один из важнейших вопросов, разработка
и внедрение на практике подобной системы - очень сложный проект. Стимулирование
- это тактика решения проблем повышения эффективности труда, которая побуждает
работников лучше трудиться за счет удовлетворения их потребностей. Так как в цехе редукторов произошло сокращение численности на
10,53%, в результате снижения заработной платы на 19,94%, а удельный вес
расходов на содержание и эксплуатацию оборудования увеличился на 8,6% и
составил 9,8%, то за счет сэкономленных средств от предыдущих мероприятий, для
лучшей мотивации работников и снижения расходов на содержание и эксплуатацию
оборудования, необходимо ввести премию за экономию топливно-энергетических
ресурсов в размере 15% , так же необходимо внедрение многостаночного обслуживания,
которое дает возможность увеличить занятость рабочих, при этом повышается производительность труда и растет заработная плата. Данные для расчета заработной платы
для детали шестерня 5336-3050, 5636-3050, 5136-3050 представлены в таблице 3.20.
Таблица 3.20- Исходные данные для расчета заработной платы
|
Детали
|
Годовая программа выпуска
|
Трудоемкость по операциям,
Тшт., мин.
|
Количество
рабочих
|
|
|
КСП 160
|
НТ 6Р
|
НТ 502
|
|
|
Шестерня 5336-3050
|
4100
|
2,5
|
3,4
|
2,8
|
3
|
|
Шестерня 5636-3050
|
3560
|
2,9
|
3,7
|
3,1
|
|
|
Шестерня 5136-3050
|
4370
|
1,9
|
3,1
|
2,1
|
|
|
Итого
|
11630
|
7,3
|
10,2
|
8
|
|
|
∑tшт=25,5
|
|
ton=15,3
|
|
tма=12,24
|
|
tзан=6,8
|
Базовый вариант.
Величину заработной платы производственных рабочих определим укрупнено,
на основании величины среднемесячной тарифной ставки. Основная заработная плата
производственных рабочих рассчитывается по формуле (3.29) и (3.30):
Сз.осн. = ЗП*Чосн.раб, (3.29)
ЗПi =
Рi*qi, (3.30)
где Чосн.раб - численность рабочих непосредственно занятых выполнением
производственной операции, чел. Рi - расценка на i-й вид продукции, руб. или работы; qi - количество обработанных изделий i-ого вида; m - количество выполненных видов работ.
Расценка за единицу выполненной работы или изготовленной продукции может
быть определена следующим образом:
Р= Чтсi*tшт/60, (3.31)
где Чтсi - часовая тарифная ставка,
соответствующая i-му разряду
выполняемой работы, руб./час.; tшт -
норма времени на единицу выполненной работы или продукции, мин.
ЧТС3 разряд=5952*1,35=8030 руб./час
Рбаз =8030*(25,5/60)=3412 руб./шт.
ЗП баз. = 3412*11630=39,6 млн. руб.
Таким образом годовой фонд заработной платы для 3-х рабочих составит 39,6
млн. руб. Расчитаем укрупнено премию для
рабочих.
Максимальный размер премии - 15%, в том числе:
1. 3а отсутствие отклонений от нормальной работы по качеству
продукции-10%).
. 3а отсутствие замечание по содержанию рабочих мест (зоны)-5 %.
3.В среднем было оформлено извещение по качеству продукции-33,33 %
(исправимый брак) и извещение по показателю культура производства- 33,33 %.
Начисление премии:
1.По показателю качества продукции=10-(10* 0,3333)= 6,7 %
.По показателю содержания рабочего мест (зоны)=5 -(5 * 0,3333) = 3,3 %
ИТОГО: Премия =6,7+ 3,3= 10,0%.
ФЗП=(39,6*10%/100)+39,6=43,6
млн. руб.
Рассчитаем налоги, отчисления в бюджет и внебюджетные фонды от средств на
оплату труда
Со =43,6*0,346=15,1 млн. руб.
Таким образом средняя месячная заработная плата на одного рабочего
составит :
ЗПср= 43,6/12/3=1,21 млн. руб.
Проектный вариант.
Р=(ЧТС*tшт).*(1+kдоп)/(60*Но), (3.32)
где kдоп - доплаты за могостаночное
обслуживание,
Но- норма обслуживаия одним рабочим.
Но= tма/ tзан +1 (3.33)
НО=12,24/6,8+1=2,8 ст.
принимаем 3 станка
Значит данное оборудование может обслуживать один рабочий.
Рпроект=8030*(25,5)*(1+0,3)/(60*3)=1478 руб./шт
ЗП проект.. = 1478*11630=17,2 млн. руб.
За экономию топливо-энергетических ресурсов полагается премия в размере
15%. Итого премия составит:
Премия =6,7+ 3,3+15= 25,0%.
ФЗП=(17,2*25%/100)+17,1=21,4
млн. руб.
Таким образом средняя месячная заработная плата на одного рабочего
составит :
ЗПср= 21,4/12=1,78 млн. руб.
Со =21,4*0,346=7,4 млн. руб.
Δ ФЗП=43,6-21,4=22,2 млн. руб.
Δ ЗПср=1,21-1,78= 0,56 млн. руб.
Таким образом в результате применения премирования за экономию
топливно-энергетических ресурсов и
внедрению многостаночника, фонд заработной платы снизится на 22,2 млн. руб., а
средняя заработная плата увеличится на 0,56 млн. руб., что благоприятно
скажется на уменьшении текучести численности цеха. На рисунке 3.6 представлена
схема влияния всех предлагаемых выше мероприятий на стимулирование персонала.
3.5 Выводы по
разделу
Так к в ходе анализа было установлено, что наибольший удельный вес в
основных средствах цеха редукторов занимает оборудование возраст которого более
20 лет, поэтому было предложено мероприятие по замене оборудования: вместо 17
станков внедрили 3 станка Weisser Univertor AC2.
В результате мероприятия произошло снижение численности на 7 человек,
из-за чего снизился фонд заработной платы на 26,84 млн. руб. Так же произошло
снижение амортизационных отчислений на 0,32 млн. руб., а затраты на
электроэнергию сократились на 640,33 млн. руб.
Таким образом после внедрения оборудования Weisser Univertor AC2 в цеху редукторов, годовой экономический эффект составит
428,82 млн. руб. Окупаемость проекта планируется за 2 года и 7 месяцев.
Но оборудование не будет полностью загружено, так как на начальном этапе
будет освоен выпуск только некоторых деталей, и переход на новое оборудование
будет постепенным. Поэтому а в целях лучшей загрузки оборудования и
освобождения производственной площади было предложено внедрение нового
приспособления для станка Weisser.
В результате данного мероприятия произойдет экономия производственной площади
на 1036,67 млн. руб., сокращение численности на 3 чел., снижение ФЗП на 3,68
млн. руб., а рост загрузка оборудования составит 62,5%, что приведет к
повышению эффективности производства.
Для уменьшения затрат на хранение и высвобождения оборотных средств
необходимо было снизить величину незавершенного производства, для этого было
предложено мероприятие по разработке пакета прикладных программ по оптимизации
очередности обработки партии деталей.
На примере участка "Шестерен" для деталей шестернь ведущих
643012240-20-17, 4370240-2017, 103240-1740 был предложен расчет, в результате
которого было установлено, что при применении данного мероприятия произойдет
увеличение внутрицикловой загрузки на 1,2%, а коэффициента непрерывности на
6,7%. Так же произойдет сокращение длительности обработки партии деталей на 2,2
смены, в результате чего произойдет снижение незавершенного производства на
1,99 млн. руб. А при укрупненном расчете для цеха, величина незавершенного
производства снизится на 241 млн. руб.
В результате применения премирования за экономию топливно-энергетических
ресурсов в
размере 15 % и внедрению
многостаночника, фонд заработной платы снизится на 22,2 млн. руб., а средняя
заработная плата увеличится на 0,56 млн. руб., что благоприятно скажется на
численности цеха и предотвратит дальнейшее сокращение работников.
4. КОНСТРУКТОРСКО - ТЕХНОЛОГИЧЕСКИЙ
РАЗДЕЛ
4.1
Назначение и условие работы детали в сборочной единице
Деталь вал задний модель 6430-2502160-020 входит в узел, который
изображен на рисунке 4.1
Рисунок 4.1 - Узел- вал задний
1-фланец, 2- крышка, 3-кольцо распорное, 4-втулка, 5-гайка, 6-кольцо
уплотнительное, 7- шайба регулировочная, 8- вал задний, 10-стакан подшипника,
9- подшипник.
Стакан (10) вставляется в средний мост и крепится шестью болтами с валом
задним (8) . Фланец (1) соединен с кордонным валом.
Когда блокировка включена вал соединен двумя мостами: задним и средним. А
когда блокировка выключена вращение передается только на задний мост.
Шайбы регулировочные (7) служат для регулирования в стакане натяга
подшипника. Сальники предназначены для того, чтобы не вытекала смазка.
Он изготовлен из легированной хромокремнемарганцевой стали марки 38ХГС
ГОСТ 4543-71. Данные о химических и механических свойствах данного материала
представлены в таблицах 4.1 и 4.2.
Таблица 4.1- Химический состав материала
|
Марка стали
|
Группа стали
|
Массовая доля элементов
|
|
|
C
|
Si
|
Mn
|
S
|
P
|
Ni
|
Cr
|
|
Сталь38ХГСА
|
|
0.32-0.39
|
1.1-1.4
|
0.8-1.1
|
Не более 0.035
|
Не более 0.035
|
-
|
1.1-1.4
|
Таблица 4.2- Физико-химические свойства стали
|
Мар-ка стали
|
toC зака-лки
|
toC от-пуска
|
Среда охлаж-дения
|
Временое сопротивление разрыву sВР, МПа
|
Предел теку-чести sТ, МПа
|
Отно-сительное удлинение d5, %
|
Относи-тельное сужение ψ, %
|
Удар-ная вяз-кость
|
|
Сталь 38ХГС
|
830
|
190
|
масло
|
1616
|
1280
|
9
|
30
|
4
|
4.2 Анализ
детали на технологичность
Оценка технологичности конструкции может быть двух видов: качественной и
количественной.
Качественная оценка технологичности включает в себя оценку применяемого
материала, обрабатываемости и методов получения заготовок.
Деталь "Вал задний 6430-2502160-020" изготавливается из стали
38ХГСА. Заготовкой является паковка. С точки зрения механической обработки вал
имеет следующие недостатки в отношении технологичности:
. Нетехнологичными в данной конструкции являются шлицы, так как их
обработка производится малопроизводительным методом (фрезерованием червячной
фрезой);
. В процессе обработки шлиц образуются острые кромки, что приводит
к необходимости проведения слесарно -заточной
операции ручной обработки;
. нетехнологичными в данной конструкции являются поверхности с
высокой шероховатостью, для достижения которой необходимо перед шлифовальной
операцией ввести дополнительную, на которой будут притираны центровочные фаски.
В остальном деталь достаточно технологична, допускает применения
высокопроизводительных режимов обработки, имеет хорошие базовые поверхности для
первоначальных операций и довольно проста по конструкции.
Деталь обладает достаточной жесткостью для обеспечения высокой точности
обработки. Все обрабатываемые поверхности доступны для режущего инструмента,
так как первичный вал обладает плавным переходом диаметров. Класс
шероховатости, способы обработки отвечают применяемости для обработки на
используемых в базовом варианте техпроцесса, станках. Контролируемые размеры
детали доступны для непосредственного измерения.
Количественная оценка:
К основным показателям относятся:
. трудоемкость изготовления детали ΣТшт=36,82 мин
. технологическая себестоимость детали СТ = 54000 руб.
Дополнительные показатели:
. коэффициент унификации конструктивных элементов.
Ку.э= Q у.э / Q э , (4.1)
где Q у.э и Q э - соответственно число унифицированных конструктивных
элементов детали и общее, шт.
Ку.э= 14/15 = 0,93
. коэффициент применимости стандартизованных обрабатываемых
поверхностей .
Кп.ст= Do.c / Dм.о , (4.2)
где Do.c , Dм.о - соответственно число поверхностей детали,
обрабатываемых стандартным инструментом, и всех, подвергаемых механической
обработке поверхностей, шт.
Кп.ст= 15/15 = 1
. Коэффициент обработки поверхностей
Кп.о= 1 - Dм.о / Dэ , (4.3)
где DЭ - общее число поверхностей детали, шт.
Кп.о= 1 -15/24 = 0,35
. Коэффициент использования материала
Ки.м = q/ Q , (4.4)
где q , Q - масса детали и заготовки соответственно, кг.
Ки.м = 6,4/8,96 = 0,71
5) Максимальное значение квалитета точности 14;
) Максимальное значение параметра шероховатости обрабатываемых
поверхностей Ra - 20мкм;
Деталь по показателям технологичности приведенным выше является
технологичной.
В процессе проверки уровня технологичности видно, что данная деталь по
дополнительным показателям является технологичной.
4.3 Выбор типа и формы организации производства
Тип производства характеризуется коэффициентом закрепления операций Кз.о.,
который показывает отношение всех различных технологических операций,
выполняемых или подлежащих выполнению подразделением в течение месяца, к числу
рабочих мест [3].
Принимаются следующие коэффициенты закрепления операций:
· для массового производства Кз.о.= 1 (практическое
значение может быть 0,1…1,0);
· для крупносерийного 1< Кз.о. £ 10;
· для среднесерийного производства 10 < Кз.о. £ 20;
· для мелкосерийного 20 < Кз.о. £ 40;
· в единичном производстве Кз.о. не
регламентируется.
Коэффициент закрепления операций должен в производственных условиях
определяться для планового периода, равного одному месяцу. Однако, так как в
задании курсового проекта регламентируется годовая программа изготовления
детали, то условие планового периода, равного одному месяцу, здесь не применимо.
Годовая программа выпуска N
=2652 штук. Располагая штучным временем, затраченным на каждую операцию,
определяем количество станков.
Для этого сначала определим такт выпуска:
(4.5)
где
ФД - годовой фонд работы станка в две смены, мин.;
N - годовая
программа выпуска деталей.
Расчетное
количество станков:
(4.6)
Например,
для фрезерно-центровального станка МР-71
Установим принятое число рабочих мест Р, округлив до ближайшего большего
целого числа получено значение mр, Р1=1.
Далее по каждой операции вычислим значение фактического коэффициента
загрузки рабочего места по формуле:
. (4.7)
Для
фрезерно-центровального станка МР-71:
Средние
значения нормативного коэффициента загрузки оборудования по отделению или
участку цеха при двухсменной работе следует принимать: для мелкосерийного
производства - 0,8…0,9; серийного - 0,75…0,85; массового и крупносерийного -
0,65…0,75.
Так
как на данном этапе тип производства еще не известен, можно принять усредненные
значения коэффициента загрузки оборудования порядка 0,75…0,8. Это не приведет к
большим погрешностям в расчетах, а фактические значения коэффициента загрузки
оборудования будут определяться после детальной разработки технологического
процесса.
Для
наглядности производимых расчетов будем заполнять таблицу 4.3.
Таблица
4.3 - Выбор типа производства
|
Операция
|
Тшт
|
mр
|
Р
|
|
005
|
1,114
|
1
|
|
010
|
2,56
|
0,029
|
1
|
|
015
|
1,45
|
0,016
|
1
|
|
025
|
9,68
|
0,109
|
1
|
|
030
|
8,55
|
0,096
|
1
|
|
035
|
1,74
|
0,020
|
1
|
|
080
|
1,08
|
0,012
|
1
|
|
085
|
1,18
|
0,013
|
1
|
|
090
|
8,77
|
0,099
|
1
|
|
Итого:
|
33,124
|
0,382
|
9
|
В соответствии с методическими указаниями ГОСТ 3.1119-83, коэффициент
закрепления операций для всех разновидностей (подтипов) серийного производства,
характеризующий тип производства определяется по формуле:
, (4.8)
где

-
суммарное число различных операций за месяц по участку из расчета на одного
сменного мастера;

-
явочное число рабочих участка, выполняющих различные операции при
работе в две смены.
Условное число однотипных операций, выполняемых на одном станке в течение
одного месяца при работе в две смены, определяется по формуле:
=
, ( 4.9)
где
- планируемый нормативный коэффициент загрузки станка
всеми закрепленными за ним однотипными операциями,
= 0,8;
-
штучное время на выполнение проектируемой операции, мин.;
-
месячная программа выпуска заданной детали при работе в одну смену, шт.
Определяем
месячную программу выпуска детали в две смены:
, (4.10)
где
- годовой объем выпуска заданной детали, шт.;
= 2652 шт.
м=2652/24=111 шт.;
Рассчитаем
условное число однотипных операций:
=
По5=13182*0,8/1,114*111=
85,28
По10=13182*0,8/2,56*111=
37,05
По15=13182*0,8/1,45*111=
65,61
По25=13182*0,8/9,68*111=
9,81
По30=13182*0,8/8,55*111=
11,12
По35=13182*0,8/1,74*111=
54,63
По80=13182*0,8/1,08*111=
87,97
По85=13182*0,8/1,18*111=
80,44
По90=13182*0,8/8,77*111=
10,84
Суммарное
число операций, выполняемых в течение месяца на участке (из расчета на одну
смену), определяется по формуле:
=
85,28+37,05+65,61+8,55+11,12+54,63+87,97+80,44+10,84=442,76
Рассчитываем
необходимое количество рабочих для обслуживания в течение одной смены одного
станка:
, (4.11)
Так
как на участке установлено 9 станков, то
= 0,768
*9= 6,912
Таким
образом, имеем, что
Кзо=442,76/6,912=64,1
Кз.о.=
64,1, значит производство единичное
Заданный
суточный выпуск изделий:
, (4.12)
где
253 - количество рабочих дней в году
=2652/253=10
шт.
4.4 Анализ
базового варианта технологического техпроцесса с экономическим обоснованием по
его усовершенствованию
Для оценки базового варианта технологического процесса необходимо
подвергнуть его подробному разбору, результаты которого будут предпосылкой для
разработки нового варианта технологии. Он базируется на оценке количественных и
качественных показателей, как отдельных технологических операций, так и
процесса в целом. Оценка качественных показателей производится путём логических
рассуждений. Количественные показатели определяются технико-экономическими
расчётами или по данным технологической документации.
Степень анализа зависит от различных факторов: конструкции детали,
применяемых методов обработки, реальных производственных условий
Анализ существующего технологического процесса должен быть произведен с
точки зрения обеспечения качества продукции. При этом следует выяснить,
правильно ли он составлен для выполнения требований чертежа и соблюдаются ли
все требования технологического процесса в цехе.
Предметом анализа является технологический процесс изготовления детали
"Вал задний 6430-2502160-020". Годовой объем выпуска- 2652 шт/год.
Маршрут механической обработки детали "Вал задний
6430-2502160-020". состоит из следующих операций:
-Фрезерно-центральная на станке мод. МР-71
и 015-Программно-камбинированная на токарном станке мод.ЕМ-4739
-Зубообрабатывающая на шлицефрезерном станке мод. 5В352ПФ2
- Зубообрабатывающая на шлицефрезерном станке мод. 5350А
-Вертикально-сверлильная на станке мод.МН118
-Круглошлифовальная на станке мод. ХШЧ-90Р73Ф2
-Шлицешлифовальная на станке мод.МШ-400
-Резьбошлифовальная на станке мод.5К822В
Последовательность операций обработки обеспечивает точность заданную
чертежом. Оборудование размещено с соблюдением техники безопасности .
Транспортировка деталей от станка к станку осуществляется в ручную при
помощи тележек .
Установленный мерительный инструмент обеспечивает контроль точности
заданный чертежом детали.
Анализ применяемого оборудования. Анализ приведенных в них сведений показывает, что станки, используемые на
операциях по габаритным размерам обрабатываемой заготовки, достигаемой точности
и шероховатости поверхностей соответствуют требуемым условиям обработки данной
детали. Все станки, находящиеся на указанных операциях являются относительно
недорогими, однако многие из них уже износились и требуют замены на новые с
целью
Для анализа применяемого для обработки заданной детали оборудования
составляем таблицы 4.4 и 4.5.
Таблица 4.4-Технологические возможности применяемого оборудования
|
№ опера-ции
|
Модель станка
|
Предельные или наибольшие
размеры обрабатываемой заготовки , мм
|
Технологические возможности
метода обработки
|
|
|
диаметр (ширина) d(b)
|
Длина l
|
Высота (h)
|
квалитет точности
|
шероховатость
обрабаты-ваемой поверхности, мкм
|
|
005
|
МР-71
|
18,5+0,52
|
-
|
-
|
14
|
5
|
|
010
|
ЕМ-437-9
|
65,5-0,2
|
119,8+0,11
|
-
|
11
|
10
|
|
015
|
ЕМ-437-9
|
50-0,17
|
65+3
|
-
|
11
|
10
|
|
025
|
5В352ПФ2
|
-
|
58+3,0
|
-
|
12
|
20
|
|
030
|
5350А
|
44-0,62
|
-
|
-
|
14
|
10
|
|
035
|
МН118
|
6,3+0,36
|
-
|
-
|
14
|
20
|
|
080
|
ХШЧ-90Р73Ф2
|
65 -0,010 -0,029
|
120+0,195
|
-
|
6
|
20
|
|
085
|
МШ-400
|
-
|
58+3
|
-
|
12
|
20
|
|
090
|
5К822В
|
48+0,16
|
38
|
-
|
11
|
5
|
Таблица 4.5-Технологическая характеристика применяемого оборудования
|
Модель станка
|
Год изго-товле-ния
|
Цена тыс./ руб
|
Категория ремонтной
сложности
|
Коли-чество станков на
операции
|
Трудо-емкость Тшт, мин
|
Коэффициент загрузки
|
|
1
|
2
|
3
|
4
|
5
|
6
|
8
|
|
МР-71
|
1987
|
13700
|
6
|
1
|
1,11
|
0,90
|
|
ЕМ-437-9
|
1980
|
18350
|
8
|
1
|
2,56
|
0,39
|
|
ЕМ-437-9
|
1984
|
16350
|
12
|
1
|
1,45
|
0,69
|
|
5В352ПФ2
|
1985
|
25900
|
41
|
1
|
9,68
|
0,10
|
|
5350А
|
1979
|
35008
|
15
|
1
|
8,55
|
0,12
|
|
МН118
|
1983
|
41900
|
20
|
1
|
1,74
|
0,58
|
|
ХШЧ-90Р73Ф2
|
1982
|
36350
|
12
|
1
|
1,08
|
0,93
|
|
МШ-400
|
1984
|
21600
|
31
|
1
|
1,18
|
0,85
|
|
5К822В
|
1986
|
30400
|
6
|
1
|
8,77
|
0,11
|
Анализируя таблицу 4.4 можно сделать вывод, что загрузка оборудования
обеспечена полностью на операциях 050,080,085,. Меньше всего загружено
оборудование на операции 025,030,090 Некоторую часть времени оборудование
простаивает в ожидании деталей.
Базирование заготовок на различных операциях. При выборе технологических баз учитываются основные принципы
базирования поверхности с наименьшими припусками, с учетом обеспечения лучших
условий обработки поверхностей, применяемых в дальнейшем в качестве
технологических баз. При выборе для чистовой обработки
соблюдается принцип их единства и совмещения. Для анализа схем базирования заготовок при обработке и возникающих при
базировании погрешностей составим таблицу 4.6. Чертеж детали приведен на
рисунке 4.2
Рисунок 4.2-Эскиз обрабатываемой детали с базами
Таблица 4.6 -Базирование заготовок при обработке
|
№
|
Выдерживаемые размеры, мм
|
Номера поверхностей - баз
|
Погрешность базирования, мм
|
|
номинал
|
допуск
|
установочной
|
направляю-щей
|
двойной напр.
|
опор-ной
|
двойной опор.
|
|
|
005
|
18,5
|
0,52
|
|
|
3,4
|
5
|
|
0,25
|
|
010
|
45
|
0,62
|
|
|
|
|
2
|
0
|
|
015
|
50
|
0,17
|
|
1
|
|
1
|
|
0
|
|
025
|
54
|
0,74
|
|
|
3
|
|
|
0
|
|
030
|
44
|
0,62
|
|
|
4
|
|
|
0,25
|
|
035
|
6,3
|
0,36
|
|
|
3,4
|
5
|
|
0
|
|
080
|
65
|
0,029
|
|
|
|
|
|
0,2
|
|
085
|
65
|
0,06
|
|
|
|
|
|
0
|
|
090
|
48
|
0,16
|
|
|
|
|
|
0
|
4.5 Выбор
способа получения заготовки с экономическим обоснованием
На выбор метода получения заготовки оказывают влияние: материал детали,
её назначение и технические требования на изготовление, объем и серийность
выпуска.
Оптимальный метод получения заготовки определяется на основании
всестороннего анализа названных факторов и технико-экономического расчета
технологической себестоимости детали. Метод получения заготовки обеспечивающий
технологичность изготовления из неё детали при минимальной себестоимости,
считается оптимальным.
Стоимость заготовки можно с достоверной точностью определить по формуле:
Sзаг. = (Si∙Q∙KT∙Kc∙KB∙KM∙Kп) -(Q - q) -Sотх , (4.13)
где Si - базовая стоимость одной кг
заготовок; Q - масса заготовки; q - масса готовой детали;
Sотх- стоимость 1 кг отходов;
Кт - коэффициент, зависящий от класса точности;
Кс -коэффициент, зависящий от класса сложности;
Кв-коэффициент, зависящий от марки материала;
Км -коэффициент, зависящий от массы заготовки;
Кп -коэффициент, зависящий от объёмов производства.
Стоимость заготовки, получаемой по базовому варианту техпроцесса:
б1 = (2100∙8,96 ∙1∙1∙1,15∙0,87∙1)-(8,96-6,4)
-210;
Sб1= 18613 руб.
Стоимость заготовки по предлагаемому варианту техпроцесса рассчитывается
по формуле (4.14):
Qпрутка=Пd2/4*L*7,6,
(4.14)
Qпрутка
=(3,14*802/4)*0,342*0,0076=16,2кг
Sб=(1000∙16 ∙1∙1∙1,15∙0,87∙1)-(16-6,4)
-210
Snp = 14396руб.
Годовой экономический эффект:
Э3 = (Sб - Sпp) ∙N, (4.15)
Э3 = (18613- 14396)∙2652= 11183,5 тыс.руб.
Как видно из расчётов экономически выгодно принять первый вариант
заготовки так как при выборе второго годовой экономический эффект -
11183,5тыс.руб.
.6
Проектирование технологического процесса механической обработки
Перечень организационно - технологических мероприятий по
совершенствованию существующего варианта техпроцесса.
На основе проведенного анализа базового варианта техпроцесса для снижения
себестоимости механической обработки, повышения производительности, улучшения
условий работы, уменьшения брака выпускаемой продукции предлагаю
следующиеорганизационно -технологические мероприятия по усовершенствованию
действующего техпроцесса:
. На операции 025 заменить фрезерование шлицов на прокатывание
роликами.
Операция 025: Фрезерование шлицов на станке моделью: 5В352ПФ2 Оптовая
цена: 25900000руб. Габариты станка: 3,020x2,10 Штучное время: Тшт=9,68 мин.
Приведенные затраты на операцию расчитываются
по формуле (4.16).
Сп.з.=Сз+ Сч.з.+ Ен(кс+кз),
(4.16)
где Сз - основная и дополнительная зарплата с
начислениями,коп/ч; Сч.з. - часовые затраты по эксплуатации рабочего
места, коп/ч;
Ен - нормативный коэффициент экономической эффективности
. капитальных вложений, Ен=0,15;
. кс и кз - удельные часовые
капиталовложения соответственно в станок и
. здание;
. Основная и дополнительная зарплата с начислениями расчитывается оп формуле
(4.17):
Сз = ε ∙ Ст.ф. ∙ К ∙ у, (4.17)
где ε - коэффициент, учитывающий дополнительную зарплату рабочих, ε =1,53:
Ст.ф. - часовая тарифная ставка,
Ст.ф. =2490руб/ч,
К - коэффициент, учитывающий зарплату наладчика, К=1;
у - коэффициент, учитывающий оплату при многостаночном обслуживании,
у=0,65.
Сз =1,53 ∙ 2490 ∙ 1 ∙ 0,65 = 2476,31руб/ч
Часовые затраты по эксплуатации рабочего места расчитываются по формуле (4.19).
Сч.з.=Сбч.з.∙ км,
(4.18)
Сч.з = 1908руб/ч.
КЗ=(100*Ц)/(Fд*n), (4.19)
где Fд-эффективный фонд времени
использования оборудования, Fд=4000ч
кс=25900000*1,1/4000*0,85=8379 руб/ч
Капиталовложения в здание:
Кз=(700*2120*Sстанка)/Fд*n, (4.20)
где Sстанка - площадь, занимаемая с учетом
проходов
S=f*kf, (4.21)
где S - площадь станка, S=3,020x2,10=6,342 м2, Kf - коэффициент, учитывающий
дополнительную производственную площадь, кf=3.
S=6,342*3=19,026
м2
Кз=700*2120*19,026/4000*0,85=8304,3руб/ч
Сп.з.= 2476,31+1908+0,15(8379+8304,3)=6886,8 руб/ч
Технологическая себестоимость операции расчитывается оп формуле (4.22).
СО = СПЗ·ТШТ/(60·kВ), (4.22)
где кв - коэффициент выполнения норм, кв-1,3
С0=6886,8 *9,68/60*1,3=860руб/ч
Операция 025 : Прокат роликами на станке моделью: МП 7Б6 . Оптовая цена:
35800000руб. Габариты станка: 3,010x2,05 Штучное время: Тшт=1,3 мин.
Т0=L*n/Sмин, (4.23)
Т0=100/500=0,2 мин.
Тшт=(То+Тв)*1,1, (4.24)
Тшт =(0,2+0,2/2)*1,1=1,3
Приведенные затраты на операцию:
Сз =1,53 ∙ 2490 ∙ 1 ∙ 0,65 = 2476руб/ч
Часовые затраты по эксплуатации рабочего места:
Сч.з = 1908руб/ч.
Капиталовложения в станок:
где Fд-эффективный фонд времени
использования оборудования, Fд=4000ч
кс=35800000*1,1/4000*0,85=11582 руб/ч
Капиталовложения в здание:
S=3,010x2,05=6,171 м2
Kf - коэффициент, учитывающий дополнительную производственную площадь, кf=3.
S=6,171
*3=18,51 м2
Кз=700*2120*18,51/4000*0,85=8079руб/ч
Сп.з.= 2476+1908+0,15(11582+8079)=7333 руб/ч
Технологическая себестоимость операции:
С0=7333*1,3/60*1,3=206 руб/ч
Таблица 4.7 - Сравнение вариантов технологического маршрута (операции
механической обработки)
|
Показатель
|
Вариант
|
|
базовый
|
проектный
|
|
Вид операции
|
Фрезерование шлицов на
станке моделью: 5В352ПФ2
|
Прокат роликами на станке
моделью: МП 7Б6
|
|
Технологическая
себестоимость обработки, руб.
|
860
|
206
|
Годовой экономический эффект:
Э=(С0’-С0")*N,
(4.25)
Э=(860-206)*2652=1734408руб/г.
4.7 Назначение
припусков на механическую обработку
При выполнении курсового проекта припуски на механическую обработку
определяются расчетно-аналитическим и опытно-статистическим методами.
Назначение припусков следует производить после отработки конструкции детали и
заготовки на технологичность и технико-экономического обоснования метода
получения заготовки. Назначаем припуски на механическую
обработку детали "Вал задний 6430-2502160-020" 70-1601021-Б по ГОСТ
7505-89.
Таблица 4.8 - Припуски на механическую обработку
|
Наименование раз-мера
|
Размер, мм
|
Припуск, мм
|
Допуск, мм
|
|
Диаметр
|
45
|
2,7
|
4
|
|
75
|
3
|
4
|
|
65
|
2,7
|
4
|
|
48
|
2,7
|
4
|
|
Длина
|
65
|
2,7
|
4
|
|
120
|
3,3
|
4,5
|
|
158
|
3
|
4,5
|
|
58
|
3,3
|
4
|
|
435
|
3,8
|
6,3
|
4.8
Назначение режимов резания
Рассчитаем режимы резания на примере операции 010 -
токарно-гидрокопировальная на станке модели ЕМ-437-9 расчетно-аналитическим
методом. На данной операции обтачивается поверхность. Точение ведется резцом
2109-4254, Глубина резания t=2,5 мм. Определим длину р,абочего хода Lр.х. инструмента по формуле (4.26):
Р.Х.= LРЕЗ. + y + LДОП., (4.26)
где LРЕЗ. - длина резания, равная длине
обработки, измеренной в направлении резания; y - длина подвода, врезания и пробега инструмента;
LДОП. - дополнительная длина хода,
вызванная в ряде случаев особенностями наладки и конфигурации детали.
LР.Х.= LРЕЗ. + y + LДОП = 119,8 +37 + 0,5 = 157,3 мм
Назначение подачи:
а) по нормативам S0 = 0,5 мм/об [6];
б) принятая подача по паспорту станка S0пр = 0, 5 мм/об.
Стойкость инструмента по нормативам в минутах резания ТР:
ТР = ТМ·λ, (4.27)
где ТМ - стойкость в минутах машинной работы станка, ТМ
= 60 мин.;
λ - коэффициент времени резания каждого
инструмента, равный отношению длины резания этого инструмента к длине рабочего
хода:
λ=LРЕЗ./LР.Х., (4.28)
λ =119,8 /157,3=0,88 > 0,7,
тогда ТР = ТМ
= 60 мин.
Скорость резания рассчитывается по формуле (4.29):
, (4.29)
где
К1 - коэффициент, зависящий от обрабатываемого материала;
К2
- коэффициент, зависящий от стойкости и марки твердого сплава;
К3
- коэффициент, зависящий от вида обработки.
Vтабл = 80 м/мин [6];
К1
= 0,7 [6];
К2
= 1,55 [6];
К3
= 1,0 [6].
Vрасч = 80*0,7·1,55·1,0 = 86,8 м/мин.
Частота
вращения:
По
паспорту станка принимаем nприн = 500 мин-1, тогда скорость резания
равна:
.
Скорость
подачи: Sм = S0·nприн =
0,5·500 = 250 мм/мин.
Основное
время:
Сила
резания рассчитана по формуле (4.30):
, (4.30)
где
К1 - коэффициент, зависящий от обрабатываемого материала;
К2
- коэффициент, зависящий от скорости резания и переднего угла при точении
сталей тведосплавным инструментом.
PZтабл = 1300 Н [6];
К1
= 0,85 [6];
К2
= 1,0 [6].
PZ =
1300·0,85·1,0 = 1105 Н.
Мощность
резания:
На
остальные операции техпроцесса режимы резания назначаем по [12] и результаты
заносим в таблицу 4.9.
Таблица
4.9 - Сводные данные по режимам резания
Примечание к таблице:
t -
глубина резания, мм;
LР.Х. -длина рабочего хода инструмента,
мм;м -стойкость инструмента в минутах машинного времени, мин;
SО -подача на оборот, мм/об;
n -
частота вращения шпинделя (инструмента), мин-1;
V -
скорость резания, м/мин;
Sм - скорость подачи, мм/мин;
То -основное время, мин.
4.9
Назначение технических норм времени
Проведем расчет технически обоснованной нормы времени (ТОНВ) [7].
ТОНВ - время, необходимое для выполнения заданного объема работы при
определенных организационно-технических условиях и наиболее эффективном
использовании всех средств производства. Приведем пример расчета ТОНВ для
операции 005.
. Рассчитаем вспомогательное время ТВ:
ТВ = ТУС + ТУП + ТИЗ =
0,12+0,11+0,13=0,36мин.;
где Тус - время на установку и снятие детали, ТУС=0,12мин.;
ТИЗ - время на измерение детали, ТИЗ=0,13мин.;
ТУП - время на управление станком, ТУП=0,11мин.
. Определим оперативное время
ТОП=ТВ+ТО=0,36+0,64=1 мин.;
. Время перерывов на отдых ТОТ принимаем 6% от ТОП,
ТОТ=0,06·1=0,06мин.;
ТОБ - время на обслуживание рабочего места
. ТОБ=ТТЕХ+Торг=0,04+0,005=0,09 мин.,
где ТТЕХ - время на техническое обслуживание
ТОРГ - время на организационное обслуживание (5% от ТОП)
ТТЕХ=ТО·tсм/Т=0,64·0,35/60=0,004мин.
ТОРГ=0,05·1=0,05мин.;
. Определим штучное время на обработку
ТШТ=Топ+Тоб+ТОТ=1+0,09+0,06=1,114мин.
Аналогично выполняются расчеты для остальных операций, результаты сводим
в таблицу 4.10.
Таблица 4.10 - Сводная таблица технических норм времени по операциям,
мин.
|
№
|
ТО
|
Тв
|
ТОП
|
ТОБ
|
ТОТ
|
ТШТ
|
|
|
ТУС
|
ТУП
|
ТИЗ
|
|
ТТЕХ
|
ТОРГ
|
|
|
|
005
|
0,64
|
0,12
|
0,11
|
0,13
|
1
|
0,004
|
0,05
|
0,06
|
1,114
|
|
010
|
1,94
|
0,1
|
0,2
|
0,06
|
2,3
|
0,011
|
0,115
|
0,138
|
2,56
|
|
015
|
0,94
|
0,11
|
0,14
|
0,11
|
1,3
|
0,005
|
0,065
|
0,078
|
1,45
|
|
025
|
0,3
|
0,09
|
0,11
|
0,1
|
0,6
|
0,002
|
0,333
|
0,4
|
1,33
|
|
030
|
7,3
|
0,1
|
0,12
|
0,14
|
7,66
|
0,043
|
0,383
|
0,460
|
8,55
|
|
035
|
1,2
|
0,11
|
0,14
|
0,11
|
1,56
|
0,007
|
0,078
|
0,094
|
1,74
|
|
080
|
0,61
|
0,13
|
0,15
|
0,08
|
0,97
|
0,004
|
0,049
|
0,058
|
1,08
|
|
085
|
0,7
|
0,09
|
0,16
|
0,11
|
1,06
|
0,004
|
0,053
|
0,064
|
1,18
|
|
090
|
7,5
|
0,14
|
0,12
|
0,1
|
7,86
|
0,044
|
0,393
|
0,472
|
8,77
|
4.10 Расчет
необходимого количества оборудования и построение графиков загрузки
Потребное количество единиц оборудования для данной операции определяется
по формуле (4.31):
= Тш-к ´ Nг /(60´Fэ), (4.31) =(1,114*2652)/(60*3914)=
0,013
где Fэ - эффективный годовой фонд работы оборудования,3914 ч.
Расчетное количество единиц оборудования mp округляется в большую сторону
до величины mпр.
Коэффициент загрузки станка определяется при помощи формулы (4.32):
hз =mр / mпр, (4.32)
hз005 =0,013/1=0,013
Коэффициент использования оборудования по основному (технологическому)
времени определяется как отношение основного времени к штучно-калькуляционному
времени:
hо = То / Тш-к , (4.33)
hо005=0,64/1,114=0,575
Этот коэффициент характеризует уровень механизации технологической
операции. Низкое значение его указывает на большую долю ручного труда.
Коэффициент использования станков по мощности привода представляет собой
отношение необходимой мощности привода станка к фактической мощности
установленного на станке привода главного движения:
hм = Nн / Nст, (4.34)
Следует помнить, что необходимая (требуемая) мощность привода:
н = Nе/η, (4.35)
где Nе - эффективная мощность (используемая только на резание);
η - коэффициент, учитывающий потери
мощности за счет трения в узлах станка, т.е. КПД (в среднем η
= 0,8…0,85).
Коэффициенты загрузки станков по мощности показывают, насколько удачно
подобрано оборудование. Необходимо стремиться к более полной его загрузке.
Результаты расчетов сведем в таблицу 4.11.
Таблица 4.11 - Расчет коэффициентов использования оборудования
|
Номер опе-рации
|
Тоi, мин
|
Тш.-к.i, мин
|
mрi
|
mпрi
|
hзi
|
hоi
|
Nнi, кВт
|
Nстi, кВт
|
hмi
|
|
005
|
0,64
|
1,114
|
0,013
|
1,00
|
0,013
|
0,575
|
16
|
21
|
0,571
|
|
010
|
1,94
|
2,56
|
0,029
|
1,00
|
0,029
|
0,758
|
20,4
|
26
|
0,585
|
|
015
|
0,94
|
1,45
|
0,016
|
1,00
|
0,016
|
0,648
|
12,8
|
20
|
0,492
|
|
025
|
0,3
|
1,3
|
0,015
|
1,00
|
0,015
|
0,231
|
13,6
|
21
|
0,648
|
|
030
|
7,3
|
8,55
|
0,096
|
1,00
|
0,096
|
0,854
|
9,6
|
17
|
0,565
|
|
035
|
1,2
|
1,74
|
0,020
|
1,00
|
0,020
|
0,690
|
0,8
|
1,5
|
0,533
|
|
080
|
1,08
|
0,012
|
1,00
|
0,012
|
0,565
|
15,2
|
25
|
0,608
|
|
085
|
0,7
|
1,18
|
0,013
|
1,00
|
0,013
|
0,593
|
6,4
|
12
|
0,533
|
|
090
|
7,5
|
8,77
|
0,099
|
1,00
|
0,099
|
0,855
|
8
|
15
|
0,533
|
|
Итого
|
21,13
|
27,74
|
0,31
|
9,00
|
0,31
|
5,77
|
97,6
|
171,5
|
5,07
|
После определения перечисленных выше коэффициентов загрузки
(использования) оборудования по отдельным операциям необходимо определить их
средние значения для всего технологического процесса.
з ср = Σhзі/Σ mпрi =0,31 / 9 = 0,035 (3,5 %)о ср = Σhоі/Σ mпрi = 5,77/ 9 = 0,64 (64 %)
hм = Σhмі/ Σ mпрi = 5,07 / 9 = 0,563 (56,3 %)
Для наглядности оценки технико-экономической эффективности разработанного
ТП строятся следующие диаграммы: загрузки оборудования (рисунок 4.5);
использования оборудования по основному времени (рисунок 4.6); использования
станков по мощности (рисунок 4.7).
Рисунок 4.3 - Диаграмма загрузки оборудования
Рисунок 4.4-Диаграмма использования оборудования по основному времени
Рисунок 4.5- Диаграмма использования оборудования по мощности
5. ОХРАНА ТРУДА
В данном разделе рассматриваются вопросы охраны труда, техники
безопасности и промсанитарии на участке изготовления детали "Вал задний
6303-2502160-020". Деталь обрабатывается на фрезерных и сверлильных,
токарных, шлифовальных станках. Технологический процесс разработан в
соответствии с ГОСТ 12.3.025-80 и СанПиН РБ. №9-101-98.
5.1 Опасные и
вредные производственные факторы
Для технологического процесса механической обработки детали "Вал
задний" на проектируемом участке характерны опасные и вредные производственные
факторы, которые по подразделяются на: физические, биологические,
психофизиологические и химические [10].
Вредный производственный фактор - это производственный фактор,
воздействие которого на работающего в определенных условиях приводит к заболеваниям
или снижению его трудоспособности.
Опасный производственный фактор - это производственный фактор,
воздействие которого на работающего в определенных условиях приводит к травме
или другому внезапному резкому ухудшению его здоровья (ГОСТ 12.0.002-80).
Для рассматриваемого производственного процесса характерны следующие
физически опасные факторы:
· режущие инструменты;
· приводные и передаточные механизмы;
· отлетающая стружка и пыль металла;
· приспособления для закрепления обрабатываемого изделия;
· заготовки и готовые изделия;
· движущиеся части станков;
· электрический ток.
К физически вредным производственным факторам, характерным для данного
техпроцесса, относятся:
· повышенная или пониженная температура воздуха рабочей зоны;
· отсутствие или недостаток естественного освещения;
· повышенный уровень шума и вибрации;
· повышенная температура поверхностей оборудования;
· повышенная загазованность воздуха рабочей зоны;
· недостаточная освещенность рабочей зоны.
Химически опасные производственные факторы, свойственные данному
технологическому процессу, выделяются в процессе обработки металла при
фрезеровании и сверлении. Это следующие вещества: СО; СО2; стальная пыль; пары
минеральных масел.
К биологически опасным факторам относятся разнообразные бактерии, которые
могут вызвать у работающих различные заболевания кожи (к примеру, часто на
руках образуются гнойнички). Источником этих факторов является СОЖ.
К психофизиологическим факторам можно отнести физические перегрузки,
перенапряжение отдельных органов человека, монотонность труда.
В ходе техпроцесса в связи с применением СОЖ возникает масляной туман. Он
состоит из капель размером менее 4 мкм (до 90%). Эти капельки характеризуются
высокой проникающей способностью в легкие человека. Аэрозоли нефтяных масел,
входящих в состав СОЖ, вызывают раздражение слизистых оболочек верхних
дыхательных путей. Санитарные правила при работе со смазочно-охлаждающими
жидкостями, технологическими смазками и маслами регламентируются СанПиН РБ №
11-22-94.
При обработке материалов резанием в производственных помещениях
механических цехов образуется пыль. Проникая в органы дыхания, глаза, загрязняя
кожный покров, пыль способствует возникновению заболеваний дыхательных путей,
глаз и кожного покрова в зависимости от ее химического состава и степени
превышения ПДК запыленности в рабочей зоне. Кроме того, пыль загрязняет
световые проемы (остекления), а также светильники общего и местного освещения,
значительно снижая нормативную освещенность рабочих мест. Пыль относится к 3-му
классу опасности - вещества умеренно опасные, для которых по СанПиН № 11-19-94
ПДК составляет 6 мг/м2, а для аэрозоли масляного тумана - 5 мг/м3.
В воздухе рабочей зоны, реально возникающие концентрации вредных веществ
следующие: пыли - 5 мг/м3; аэрозоли масляного тумана - 2 мг/м3.
Абразивные и металлические пыли оказывают на организм человека
раздражающие действие дыхательных путей, слизистой оболочки глаз, кожи, а при
длительном воздействии вызывают заболевания легких.
Пары СОЖ (масляной туман, окись углерода) оказывают на организм человека
раздражающее действия слизистых оболочек верхних дыхательных путей,
утомляемость, головокружение, отравляющее действие.
На участке механической обработки детали "Вал задний"
применяются следующие средства индивидуальной защиты:
· специальные рукавицы тип М - для защиты от механических
воздействий;
· костюмы для защиты от общих производственных загрязнений и
механических воздействий;
· защитные очки тип О - открытие защитные (бесцветные стекла с
повышенной стойкостью к ударам);
· спецобувь должна быть стойкой к материалам рабочей среды, а
подошва - обеспечивать устойчивость работающего.
5.2
Вентиляция
Вентиляция - это организованный воздухообмен, заключающийся в удалении из
рабочего помещения загрязненного воздуха и подаче вместо него свежего наружного
воздуха.
Обеспечение чистоты воздуха и заданных метеорологических условий
производственного помещения, в котором происходит технологический процесс,
достигается смешанной вентиляцией, т.е. естественной и механической. Системами
механической вентиляции оборудованы как цех, так и непосредственно рабочие
места. Воздухообмен при естественной вентиляции происходит вследствие разности
температур воздуха в помещении и наружного воздуха, а также в результате
действия ветра. Естественная вентиляция производственных помещений может быть
организованной и неорганизованной. При неорганизованной естественной вентиляции
поступление и удаление воздуха происходит через неплотности и поры наружных
ограждений (инфильтрация), через окна, форточки, специальные проемы
(проветривание). Организованная естественная вентиляция осуществляется аэрацией
и дефлекторами.
В зависимости от назначения вентиляция может быть приточной и вытяжной.
На участке обработки детали "Вал задний" смонтирована
приточно-вытяжная вентиляция. Воздухообмены рассчитаны на ассимиляцию
теплоизбытков и разбавки вредностей, выделяющихся от технологического
оборудования.
Местная приточная вентиляция служит для создания требуемых условий
воздушной среды в ограниченной зоне производственного помещения. Установка
приточной вентиляции состоит из следующих элементов: воздухозаборного
устройства, расположенного снаружи здания в местах с минимальным содержанием
вредных веществ; металлических воздуховодов, по которым воздух подается в
помещение; фильтров для очистки воздуха от пыли; калориферов; вентилятора;
приточных отверстий или насадок; регулирующих устройств, устанавливаемых на
ответвлениях воздуховодов. Приточный воздух очищается в рулонных фильтрах
приточных камер. Воздух подается в различные зоны помещения по воздуховодам
через распределительные насадки, причем скорость выхода воздуха ограничена
допустимым шумом и подвижностью воздуха на рабочем месте. В соответствии с требованиями СНиП II-33-75 ворота, двери и
технологические проемы оборудованы воздушными и воздушно-тепловыми завесами.
5.3 Параметры
микроклимата
Микроклимат на рабочем месте определяется в производственных помещениях
температурой воздуха, относительной влажностью, скоростью движения воздуха,
барометрическим давлением и интенсивностью теплового излучения от нагретых
поверхностейведем. В
соответствии с ГОСТ 12.1.005-88 и СанПин № 9-80 РБ 98 работы, выполняемые на
участке изготовления детали "Вал задний", относятся к категории
средней тяжести: IIб - переноска тяжестей до 10 кг (232-293 Дж/с или 201-250
Ккал/ч)( масса заготовки 8,96 кг.), приведенные в таблице 5.1.
Таблица 5.1 - Параметры микроклимата
|
Сезон года
|
Температура, С
|
Относительная влажность, %
|
Скорость движения воздуха,
м/с
|
|
оптималь-ная
|
допусти-мая
|
оптималь-ная
|
допусти-мая
|
оптимальная
|
допустимая
|
|
Холодный период
|
18-20
|
17-23
|
40-60
|
75
|
0,2
|
Не более 0,3
|
|
Теплый период
|
21-23
|
18-27
|
40-60
|
65 при 26°С
|
0,3
|
0,2-0,4
|
|
Факти-чески
|
21
|
60
|
0,2
|
Допустимые величины показателей микроклимата устанавливаются в тех
случаях, когда по технологическим требованиям, техническим и экономическим
причинам не обеспечиваются оптимальные нормы.
Интенсивность теплового облучения на рабочих местах не превышает 100
Вт/м2 и облучению подвергаются не более 25% поверхностей тела человека, что соответствует нормам.
5.4
Производственное освещение
На участке механической обработки "Вал задний" используются
фрезерные, токарные, шлифовальные и сверлильные станки. Для фрезерных станков
по ГОСТ 12.2.009-99 освещенность в системе комбинированного освещения при
обработке составляет 2000 лк. Соответственно разряд зрительной работы по КТП
45-2-04-153-2009 - ІІІа. Для сверлильных станков освещенность при обработке
составляет 1000 лк. Следовательно разряд зрительной работы - ІІІб.
Естественное освещение характеризуется отношением естественной
освещенности, создаваемой внутри помещения светом неба к значению наружной
освещенности земной поверхности от небосвода, выраженное в процентах. Это
отношение принято называть коэффициентом естественной освещенности (КЕО).
Коэффициент естественного освещения (КЕО) по КТП 45-2-04-153-2009 при
данном разряде зрительных работ для совмещенного освещения при комбинированном
освещении равен 3%.
По рекомендациям КТП 45-2-04-153-2009 предлагается использовать следующие
источники освещения: для общего искусственного освещения - светильники; для
местного освещения - лампы накаливания типа УНП.
Чистка стекол, оконных проемов и световых фонарей проводится не реже двух
раз в год. Чистка ламп и осветительной арматуры - не реже четырех раз в год.
5.5 Шум,
вибрации
Источниками вибрации на производственном участке являются вращающиеся
неуравновешенные массы производственного оборудования. Вибрация является
технологической, так как возникает из-за работы стационарных машин. Для
производственного участка характерно возникновение общей вибрации на рабочих
местах. Это технологическая вибрация категории - 3а со следующими параметрами:
виброскорость - до 1,5*10-2 м/с, логарифмический уровень виброскорости - до 85
дБ, что значительно ниже предельно допустимого уровня вибрации по СанПиН
2.2.4/2.1.8.10-32-2002 (виброскорость до 0,2*10-2 м/с, логарифмический уровень
виброскорости - до 92 дБ).
Для борьбы с нежелательными вибрациями предусмотрены следующие
мероприятия: фундаменты станков выполняются с акустическими разрывами,
заполненными пористым материалом, и акустическим швом, расположенными в нижней
части фундамента.
Источниками шума на участке являются рабочее оборудование (приводы
электродвигателей) и режущий инструмент (обработка фрезами). По СанПиН 2.2.4/2.1.8.10-33-2002
шум является широкополосным постоянным и уровень звука за восьмичасовой рабочий
день не должен изменяться во времени не более чем на 5 дБ и не превышать 80
дБА.
При разработке техпроцессов, при организации рабочего места следует
принимать все меры по снижению шума путем применения шумобезопасной техники, а
также средств и методов коллективной защиты по ГОСТ 12.1.029-80 и
индивидуальной защиты по ГОСТ 12.4.051-80.
Основными путями снижения вибрации и шума металлорежущих станков является
применение высококачественных подшипников, малошумных зубчатых передач и
электродвигателей, соблюдение технологической дисциплины при изготовлении и
сборке узлов станка, применение рациональных конструкций режущего инструмента и
приспособлений, этапность их применения и т.д.
Для того, чтобы общий уровень шума в производственных помещениях не
превышал установленных санитарных норм, шум производимый отдельными станками
должен быть значительно ниже регламентированного санитарными нормами.
Для борьбы с шумом и вибрацией вентиляционных установок предусмотрены
следующие мероприятия: размещение вентустановок в специально выгороженных
помещениях; установка вентоборудования на виброизолирующих основаниях;
присоединение вентиляторов к воздуховодам при помощи гибких вставок;
вентиляторы приняты с минимально-возможной окружной скоростью.
5.6
Электробезопасность
Поражающее действие электрического тока зависти от следующих факторов:
значения и длительности протекания тока через тело человека, рода и частоты
тока, индивидуальных свойств человека.
ГОСТ 12.1.030-81 содержит меры защиты для предотвращения опасного
воздействия электрического тока на человека.
Все помещения делятся по степени опасности поражения людей электротоком
на три класса: без повышенной опасности, с повышенной опасностью, особо
опасные. Участок имеет следующие признаки опасности: токопроводящие полы
(выложенные чугунными плитами). Исходя из этого, можно отнести участок к
категории "с повышенной опасностью". Всё оборудование на участке
имеет зануление. Общие требования безопасности к производственному оборудованию
установлены ГОСТ 12.2.029-88.
Основными мерами защиты от поражения электрическим током на участке
изготовления детали являются: изоляция токоведущих проводов и изделий
(сопротивление изоляции сети на участке между двумя смежными предохранителями
должно составлять не менее 5 МОм), недоступность токоведущих частей,
электрические токоразделения сети с помощью специальных разделяющих
трансформаторов, применение малого напряжения (не выше 24 В), предупредительная
сигнализация, блокировка, знаки безопасности, применение специальных
электрозащитных средств.
По ГОСТ 12.2.009-99 зануление следует выполнять электрическим соединением
металлических частей электроустановок с заземлённой точкой источника питания электроэнергией
при помощи нулевого защитного проводника.
На все дверцы, а также кожухи, защищающие электроаппаратуру, нанесены
знаки электрического напряжения по ГОСТ 12.4.026-76, а внутренние поверхности
дверей шкафов и пультов управления, в которых имеется электрическая аппаратура,
окрашены в красный цвет. Оборудование ежемесячно осматривается и проверяется на
электробезопасность.
5.7 Техника
безопасности
Требования безопасности выполняются на протяжении всего технологического
процесса, включая операции технологического контроля и уборки технологических
отходов производства. В технологической документации на обработку металлов
резанием указываются средства защиты работающих.
При работе оборудования существуют опасные зоны (ГОСТ 12.2.009-99 ССБТ.
Станки металлообрабатывающие. Общие требования:
· движущиеся части станков и механизмов;
· зоны выделения отлетающих частиц обрабатываемого материала;
· токоведущие части оборудования.
Для предотвращения и уменьшения действия на рабочих опасных
производственных факторов, а также предупреждения попадания человека в опасную
зону на участке применяются защитные устройства. В качестве оградительных
устройств, представляющих собой физическую преграду между человеком и опасными
производственными факторами, на оборудовании устанавливают защитные кожухи,
экраны, щиты.
Станок модели МР-17 (центрофрезерная операция), имеет блокировку, при
которой включение автоматического цикла работы возможно только при закрытом
защитном кожухе, а также автоматическое выключение движения инструмента и
элементов кинематической цепи по окончании цикла обработки заготовки должно
происходить за время не более 5 секунд.
При обработке на станках модели 5350А, МН118,
2Н118(вертикально-сверлильная),
· все открытые вращающиеся части станков закрываются кожухами, плотно
прикрепленными к станине или неподвижной части станка;
· защитные экраны, изолирующие зону обработки;
· предохранительные устройства для автоматического отключения
агрегатов и машин при появлении в их работе отклонений от заданных параметров.
При обработке на токарных станках (модели ЕМ-473-9 и 1740РФ3) образуется
ленточная стружка, имеющая высокую температуру и представляющая опасность, так
как может травмировать глаза и привести к ожогу. При сверлении на станках
образуется стружка в виде двух длинных спиралей, поэтому на участке применяются
средства дробления стальной стружки. Для токарных, фрезерных, сверлильных
станков предусмотрены пылестружкоприемники, которые предназначены для
пневматического удаления элементных стружек и пыли при обработке. При
необходимости дополнительно стружка может убирается индивидуально щеткой.
Существуют также специальные требования безопасности для шлифовщиков.
Шлифовальный абразивный круг на станок может устанавливаться только специально
обученным рабочим или наладчиком. Перед началом работы необходимо проверить
наличие, исправность и прочность крепления защитного кожуха, ограждающего
шлифовальный круг и наличие защитного кожуха для шлифовального круга.
Испытанные шлифовальные круги имеют ярлык или отметку краской, в противном
случае работа с таким кругом запрещается. При работе нельзя подвергать
шлифовальный круг ударам.
На круглошлифовальных станках процесс шлифования происходит с применением
люнетов. При сухом шлифовании и правке круга необходимо надевать защитные очки
и респиратор и следить за исправным действием местного отсоса пыли. Уборка
абразивной пыли производится с помощью щетки и совка. При шлифовании пыль не
выдувают из отверстий, а её удаляют путём использования струи охлаждающей
жидкости.
Организация рабочего места: на каждом рабочем месте около станка на полу
находятся деревянные решетки на всю длину рабочей зоны, а по ширине- 500мм.;
рабочие места оборудованы тумбочками для хранения инструмента,
стеллажами-подставками. Органы управления располагаются не далее 200мм от
расположения рабочего во время загрузки станка вправо или влево и не более
100мм ниже пояса.
5.8 Пожарная
безопасность
Участки механической обработки нередко отличаются повышенной пожарной
опасностью, так как их характеризует сложность производственных установок,
разветвленная сеть трубопроводов с запорно-пусковой и регулирующей арматурой,
большая оснащенность электроустановками и т.п.
Комплекс мероприятий по противопожарной защите включает мероприятия
профилактического характера и устройство систем пожаротушения и взрывозащиты. С
целью противопожарной профилактики в цехе проводятся организационные,
технические, режимные и эксплуатационные мероприятия.
Организационные меры предусматривают правильную эксплуатацию машин и
внутризаводского транспорта, противопожарный инструктаж рабочих и служащих.
К техническим мероприятиям относятся соблюдение противопожарных норм при
проектировании участка, при устройстве электропроводов и оборудования,
отопления, вентиляции, освещения. Трубопроводы сделаны короткими с минимальным
числом висячих колен, в которых может собираться конденсат; предусмотрена
возможность очистки трубопроводов и заслонки, позволяющие прекратить подачу
воздуха в случае пожара. Для предотвращения распространения огня внутри здания
цех разделен противопожарными стенами на участки и складские помещения; участки
через крыши выполнены в противопожарном исполнении (с применением асбеста,
камня).
"Пожарно-техническая классификация зданий, строительных конструкций
и материалов: категория производства по взрывопожарной и пожарной опасности -
Д, НПБ 5-2005,степень огнестойкости здания - II СНБ 2.02.01 - 98.
Возможные причины пожаров на участке:
· неосторожное обращение с огнем;
· короткое замыкание оборудования;
· перегрев проводов и воспламенение их изоляции;
· самовозгорание промасленной ветоши;
· накапливаемое статическое электричество.
Поскольку участок является частью цеха, то эваковыходы цеха являются
эваковыходами и участка. К эваковыходам в соответствии с СНБ 2.02.02.02-01
относятся двери и ворота, ведущие наружу. Ширина участков путей эвакуации около
1м, а дверей на путях эвакуации - не менее 0,8м. Предусмотрено обязательное
аварийное освещение путей эвакуации и эваковыходов с освещенностью Еав>0,5лк.
Мероприятия по пожарной профилактике:
а) организационные - правильная эксплуатация оборудования, правильное
содержание зданий и сооружений;
б) противопожарный инструктаж работающих;
в) технические - соблюдение противопожарных норм и правил при
проектировании зданий и оборудования, освещения, вентиляции, отопления;
г) режимные - запрещение курения в не установленных местах;
д) эксплуатационные - своевременные профилактические осмотры, ремонты и
испытания технологического оборудования.
Промасленная ветошь собирается в отдельную металлическую тару и
организованно вывозится с участка. Хранят ветошь в металлических ящиках.
В качестве первичных средств пожаротушения используются углекислотные и
пенные огнетушители, расположенные по одному на каждые 600…800 м2, пожарные
щиты, ящики с песком, лопаты, ведра, пожарные краны.
Углекислотный огнетушитель ОУ-5 служит для тушения загораний различных
материалов и установок под напряжением до 1000В.
6. ОХРАНА ОКРУЖАЮЩЕЙ СРЕДЫ
Из большого объема промышленных выбросов, попадающих в окружающую среду,
на машиностроение приходится лишь незначительная его часть - 1-2%. В этот объем
входят и выбросы предприятий военно-ориентированных отраслей, оборонной
промышленности, являющейся значительной составной частью машиностроительного
комплекса. Однако на машиностроительных предприятиях имеются основные и
обеспечивающие технологические процессы производства с весьма высоким уровнем
загрязнения окружающей среды. К ним относятся:
· внутризаводское энергетическое производство и другие
процессы, связанные со сжиганием топлива;
· литейное производство;
· металлообработка конструкций и отдельных деталей;
· сварочное производство;
· гальваническое производство;
· лакокрасочное производство.
По уровню загрязнения окружающей среды районы гальванических и красильных
цехов машиностроительных предприятий сопоставимы с такими крупнейшими
источниками экологической опасности как химическая промышленность; литейное
производство сравнимо с металлургией; территории заводских котельных - с
районами ТЭС, которые относятся к числу основных загрязнителей. Таким образом,
машиностроительный комплекс является потенциальными загрязнителем окружающей
среды, воздушного пространства; поверхностных водных источников; почвы.
При всем многообразии подотраслей машиностроения предприятия по специфике
загрязнения окружающей среды можно разделить на две группы: ресурсо- и
наукоемкие. Особенности наукоемких подотраслей машиностроения: их небольшая
материало- и энергоемкость, малое водопотребление и значительно меньший выброс
загрязняющих веществ в окружающую среду по сравнению с ресурсоемкими. Эти
подотрасли и производства характеризуются небольшим выбросом в атмосферу таких
традиционных массовых загрязняющих веществ, как диоксиды серы, азота и т.д., но
в то же время выбрасываются и другие загрязняющие вещества, не столь
свойственные ресурсоемким отраслям машиностроения. В последнее время
ресурсоемкие подотрасли преобладают над наукоемкими.
Экологическая безопасность атмосферы, минимизация выбросов загрязняющих
веществ может быть обеспечена применением методов обезвреживания загрязнителей
или использованием безотходных технологий. К этим методам относят обычно
следующие: отстаивание, фильтрование, коагуляция, магнитный метод,
ультразвуковой метод, нейтрализацию, восстановление и т.д.
Экологический паспорт предприятия - это комплексный документ, содержащий
характеристику взаимоотношений предприятия с окружающей средой. Экологический
паспорт содержит общие сведения о предприятии, используемом сырье, писание
технологических схем выработки основных видов продукции, схем очистки сточных
вод и аэровыбросов, их характеристики после очистки, данные о твердых и других
отходах, а также сведения а наличии в мире технологий, обеспечивающих
достижение наилучших удельных показателей по охране природы. Вторая часть
паспорта содержит перечень планируемых мероприятий, направленных на снижение
нагрузки на окружающую среду, с указанием сроков, объемов затрат, удельных и
общих объемов выбросов вредных веществ до и после осуществления каждого
мероприятия.
Экологический паспорт отражает несколько принципиальных моментов:
· переход от изучения следствий к детальному
дифференцированному анализу причин;
· переход от рассмотрения общего объема выбросов к удельным
показателям, отнесенным к единице производимой продукции и сопоставляемым с наилучшими
показателями, достигнутыми в мире.
Экологическая характеристика предприятия предполагает оценку
прогрессивности технологии, полноту использования сырья и топлива, применяемые
схемы очистки сточных вод и аэровыбросов, характеристику потоков отходящих
потоков воды и газа, отчуждаемой территории, общую экономическую оценку ущерба,
наносимого предприятием окружающей среде и детализацию этой оценки по видам
продукции и технологическим переделам.
На ОАО "МАЗ" выброс вредных веществ в атмосферу в 2009 году
составил - 2963,52 тыс. т. Количество источников выбросов на предприятии -
2041, из них оснащены газопылеочисткой всего 444. Плата за выбросы, сбросы
загрязняющих веществ и размещение отходов в пределах установленных лимитов за
год фактически составила 4211,1 млн. руб. Текущие затраты на охрану природных
ресурсов составили всего 5289,62 млн. руб., в том числе:
· охрана водных ресурсов - 424,92 млн. руб.;
· охрана атмосферного воздуха - 4286 млн. руб.;
· охрана от загрязнения отходами производства и потребления -
578,7 млн. руб.
Фактически за добычу природных ресурсов в пределах установленных лимитов
за год уплачено 47587,6 тыс. руб., плата за землю составила - 2586,5 млн. руб.
Результаты работы предприятия по природоохранной деятельности в 2009 году представлены
в таблице 6.1.
Таблица 6.1 - Результаты работы по природоохранной деятельности в 2009 г.
|
Наименование мероприятия
|
Капитальные затраты, млн.
руб.
|
Экологический эффект от
внедрения
|
|
Окончание строительства
газоочистной установки в центральном заточном отделении ИШП
|
31,22
|
Снижение выбросов на 3,3 т
|
|
Монтировка 10 единиц
пылеулавливающих агрегатов в подразделениях предприятия
|
15,4
|
Снижение выбросов
|
|
Внедрение среднечастотных
индукционных печей взамен существующей ваграночной плавки в ЛитП
|
4142,6
|
Снижение выбросов, шлаков
чугунно-литейного производства
|
|
Выполнение
строительно-монтажных работ на очистных сооружениях ливневых стоков
|
14,6
|
Улучшение качества сточных
вод
|
|
Усовершенствование
техпроцессов окрашивания деталей в окрасочных цехах завода
|
-
|
Снижение отходов ЛКМ на 22
т
|
Кроме того, к внедрению планируются следующие мероприятия:
по охране атмосферного воздуха:
1. внедрение водоразбавляемых материалов на линии окраски крупных
узлов и деревянных изделий;
2. внедрение нагрева ТВЧ, вместо газового, для отжига деталей в
кузнечном производстве;
. строительство газоочистной установки на вентсистемах;
по охране водного бассейна:
4. строительно-монтажные работы на очистных сооружениях ливневых
стоков;
5. разработка установки по очистке сточных вод от отработанных масел
и СОЖ;
Выплаты за нарушение природоохранного законодательства составили 364,8
тыс. руб. - за превышение концентрации нефтепродуктов в дождевых стоках;
произведенные экологические платежи - 197 812, 2 тыс. руб.; текущие расходы по
охране окружающей среды - 520047,1 тыс. руб.
В качестве предложений по усовершенствованию технологического процесса
обработки детали "Вал задний" с точки зрения охраны окружающей среды
предлагаю: установить дополнительные воздухоочистительные фильтры,
маслоотделители, организовать многоступенчатую очистку сточных вод.
7. РАСЧЕТ
ЭКОНОМИЧЕСКИОЙ ЭФФЕКТИВНОСТИ ПРОЕКТНЫХ РЕШЕНИЙ
прибыль рентабельность ликвидность персонал
7.1 Расчет
экономической эффективности внедрения новых технологических процессов
Расчет величины инвестиций. В общем случае величина капитальных вложений
включает следующие составляющие, млн. руб. [4]:
К = Кзд + Коб + Ктр + Кинт +
Кинв , (7.1)
гдеКзд - капвложения в здания;
Коб - капвложения в рабочие машины и оборудование;
Ктр - капвложения в транспортные средства;
Кинт - капвложения в инструмент и универсальную техническую
оснастку;
Кинв - капиталовложения в производственный инвентарь;
Величину капитальных вложений в производственную площадь для размещения
оборудования, проектируемого технологического процесса, определим по формуле:
Кзд = å (Sj Mпрj
Кдj + S) Цзд Кз.о.ĵ, (7.2)
гдеSj - площадь, приходящаяся на единицу оборудования j-го
наименования, кв.м;пр - принятое количество единиц оборудования j-го
наименования, шт.;
Кдj - коэффициент, учитывающий дополнительную площадь;-
площадь, потребная для размещения транспортных устройств, систем управления
станками с ЧПУ, кв.м;
Цзд - стоимость одного кв.м производственной площади,
млн.руб.;
Кз.о.ĵ - коэффициент, учитывающий загрузку оборудования.
Капитальные вложения в технологическое оборудование рассчитываются исходя
из его количества по операциям и цен по формуле:
Коб = å Мпрj Цj (1 + Ат + Аф + Ам)
Кз.о.ĵ, (7.3)
гдеЦj - оптовая (договорная) цена единицы оборудования j-го
наименования;
Ат - коэффициент, учитывающий транспортные расходы: Ат
= 0,05 ... 0,08;
Аф - коэффициент, учитывающий затраты на устройство
фундамента;
Ам - коэффициент, учитывающий затраты на монтаж оборудования:
Ам = 0,05 ... 0,07.
Укрупнено капитальные вложения в инструмент и универсальную техническую
оснастку принимаются в размере 5% от стоимости технологического оборудования.
Укрупнено капитальные вложения в производственный инвентарь принимаются в
размере 1 % от стоимости технологического оборудования.
Исходные данные для расчета капиталовложений приведены в таблице 7.1.
Таблица 7.1 - Исходные данные для расчета капиталовложений
|
Наименование оборудования
|
Количество оборудования, шт
|
Площадь 1 станка S, кв.м
|
Кд
|
Площадь одного станка с
учетом доп. площади SxКд, м2
|
Цена 1м2 произв
площади Цзд, млн. руб
|
Загрузка оборудования, Кзо
|
Кзд, млн. руб
|
|
Базовый вариант:
|
|
МР-71
|
1
|
4,3
|
4,5
|
19,35
|
1,092
|
0,90
|
19,02
|
|
ЕМ-437-9
|
1
|
5,2
|
4
|
20,8
|
1,092
|
0,39
|
8,9
|
|
ЕМ-437-9
|
1
|
5,2
|
4
|
20,8
|
1,092
|
0,69
|
15,7
|
|
5В352ПФ2
|
1
|
5,9
|
4,5
|
26,55
|
1,092
|
0,10
|
2,9
|
|
5350А
|
1
|
3,7
|
4,5
|
16,65
|
1,092
|
0,12
|
2,2
|
|
МН118
|
1
|
6,9
|
4,5
|
31,05
|
1,092
|
0,58
|
19,7
|
|
ХШЧ-90Р73Ф2
|
1
|
4,9
|
4,5
|
31,05
|
1,092
|
0,93
|
31,5
|
|
МШ-400
|
1
|
6,7
|
4,5
|
30,15
|
1,092
|
0,85
|
27,9
|
|
5К822В
|
1
|
4,3
|
4,5
|
19,35
|
1,092
|
0,11
|
2,3
|
|
Итого:
|
9
|
|
|
|
|
|
130,12
|
|
Проектный вариант:
|
|
МР-71
|
1
|
4,3
|
4,5
|
19,35
|
1,092
|
0,90
|
19,02
|
|
ЕМ-437-9
|
1
|
5,2
|
4
|
20,8
|
1,092
|
0,39
|
8,9
|
|
ЕМ-437-9
|
1
|
5,2
|
4
|
20,8
|
1,092
|
0,69
|
|
МП 7Б6
|
1
|
4,3
|
4,5
|
19,35
|
1,092
|
0,24
|
5,1
|
|
5350А
|
1
|
3,7
|
4,5
|
16,65
|
1,092
|
0,12
|
2,2
|
|
МН118
|
1
|
6,9
|
4,5
|
31,05
|
1,092
|
0,58
|
19,7
|
|
ХШЧ-90Р73Ф2
|
1
|
4,9
|
4,5
|
31,05
|
1,092
|
0,93
|
31,5
|
|
МШ-400
|
1
|
6,7
|
4,5
|
30,15
|
1,092
|
0,85
|
27,9
|
|
5К822В
|
1
|
4,3
|
4,5
|
19,35
|
1,092
|
0,11
|
2,3
|
|
Итого:
|
9
|
|
|
|
|
|
132,32
|
Величину капитальных вложений в технологическое оборудование (машины и
оборудование) можно определить, исходя из количества оборудования конкретных
видов и моделей и цены единицы оборудования.
Цены на оборудование устанавливаются по прейскурантам. К прейскурантной
цене добавляются затраты транспортировку оборудования от поставщика до
потребителя, затраты на проведение монтажных работ и прочие расходы. Расчет
ведется по формуле:
, (7.4)
где m.i- принятое количество станков i-го вида (модели и
количество принимаются в соответствии с результатами проектных решений в
предыдущих разделах проекта) шт.;
Цi - прейскурантная цена станков i-го вида без учета НДС;
kтр- коэффициент, учитывающий транспортные расходы (kтр=0,05…0,08);м-
коэффициент, учитывающий расходы на монтаж оборудования (kм=0,05…0,07);
kф
- коэффициент,
учитывающий устройство фундамента под оборудование.
Коэффициент kф применяется только в случае
устройства отдельного фундамента под конкретное оборудование. В настоящее время
основная масса оборудования устанавливается на бетонные полы без сооружения
специального фундамента, в этом случае kф=0.
Полученные результаты сводятся в таблице 7.2.
Таблица 7.2 - Расчет капитальных вложений в технологическое оборудование,
в инструмент и универсальную техническую оснастку, в производственный
инвентарь, млн.руб.
|
Наименование оборудования
|
Кол-во, шт.
|
Цена 1 станка Ц, млн. руб..
|
Коэффициент затрат на
транспортировку и монтаж Первоначальная
стоимость оборудования, млн.руб.
|
Капиталовложения в
инструмент
|
Капиталовложения в
инвентарь
|
|
|
Базовый вариант:
|
|
|
|
МР-71
|
1
|
13,7
|
1,13
|
15,48
|
0,77
|
0,15
|
|
ЕМ-437-9
|
1
|
18,35
|
1,13
|
20,74
|
1,04
|
0,21
|
|
ЕМ-437-9
|
1
|
16,35
|
1,13
|
18,48
|
0,92
|
0,18
|
|
5В352ПФ2
|
1
|
25,9
|
1,13
|
29,27
|
1,46
|
0,29
|
|
5350А
|
1
|
35
|
1,13
|
39,55
|
1,98
|
0,40
|
|
МН118
|
1
|
41,9
|
1,13
|
47,35
|
2,37
|
0,47
|
|
ХШЧ-90Р73Ф2
|
1
|
36,35
|
1,13
|
41,08
|
2,05
|
0,41
|
|
МШ-400
|
1
|
21,6
|
1,13
|
24,41
|
1,22
|
0,24
|
|
5К822В
|
1
|
30,4
|
1,13
|
34,35
|
1,72
|
0,34
|
|
Итого скорректир.:
|
9
|
|
|
270,69
|
13,53
|
2,71
|
|
Проектный вариант:
|
|
|
|
МР-71
|
1
|
13,7
|
1,13
|
15,48
|
0,77
|
0,15
|
|
ЕМ-437-9
|
1
|
18,35
|
1,13
|
20,74
|
1,04
|
0,21
|
|
ЕМ-437-9
|
1
|
16,35
|
1,13
|
18,48
|
0,92
|
0,18
|
|
МП 7Б6
|
1
|
65,9
|
1,13
|
74,47
|
3,72
|
0,74
|
|
5350А
|
1
|
35
|
1,13
|
39,55
|
1,98
|
0,40
|
|
МН118
|
1
|
41,9
|
1,13
|
47,35
|
2,37
|
0,47
|
|
ХШЧ-90Р73Ф2
|
1
|
36,35
|
1,13
|
41,08
|
2,05
|
0,41
|
|
МШ-400
|
1
|
21,6
|
1,13
|
24,41
|
1,22
|
0,24
|
|
5К822В
|
1
|
30,4
|
1,13
|
34,35
|
1,72
|
0,34
|
|
Итого скорректир.:
|
9
|
|
|
315,89
|
15,79
|
3,16
|
Капитальные вложения в транспортные средства представлены в таблице 7.3.
Таблица 7.3- Капитальные вложения в транспортные средства ( без НДС),
млн. руб.
|
Наименование оборудования
|
Кол-во, шт.
|
Цена единицы без НДС, млн.
руб.
|
Коэффициент затрат на
транспортировку и монтаж Первоначальная стоимость оборудования, млн.руб.
|
|
|
Базовый и Проектный вариант
|
|
Электрокары Тара
|
2
|
2,6
|
1,11
|
5,77
|
|
Тележки
|
4
|
0,5
|
1,11
|
2,22
|
|
Итого: капитальные вложения
без НДС
|
7,99
|
|
НДС
|
1,332
|
|
Итого: капитальные вложения
с учетом НДС,
|
7,99
|
Результаты расчета величины инвестиций сведем в таблицу 7.4
Таблица 7.4 - Величина инвестиционных вложений, млн. руб.
|
Категория инвестиций
|
Базовый вариант
|
Проектный вариант
|
|
Сумма, млн. руб.
|
Сумма, млн. руб.
|
|
1. Капитальные вложения в здания
|
130,12
|
132,32
|
|
2. Капитальные вложения в оборудование
|
270,69
|
315,89
|
|
3. Капитальные вложения в технологическую оснастку
|
13,53
|
15,79
|
|
4. Капитальные вложения в производственный инвентарь
|
2,71
|
3,16
|
|
5. Капитальные вложения в
транспортные средства
|
7,99
|
7,99
|
|
Итого
|
425,04
|
475,15
|
|
НДС при приобретении
основных средств
|
85
|
95,03
|
|
Итого полные инвестиционные
вложения
|
510
|
570,18
|
7.2 Расчет
текущих затрат на объем выпуска продукции (расчет себестоимости продукции)
Себестоимость продукции представляет сумму затрат предприятия на ее
производство и реализацию.
Затраты на материалы были рассчитаны в разделе 4.5. Они составили 18,613
тыс. руб./ед., НДС 3,723 тыс. руб. - базовый вариант и 14,396 тыс. руб./ед.,
НДС 2,88 тыс. руб.- проектный вариант.
При составлении калькуляции затраты на материалы берутся без НДС, то есть
в размере 14,89 тыс. руб. - базовый вариант и 11,5 тыс. руб.
Расчет средней списочной численности (ССЧ):
Списочная численность рассчитывается путем умножения явочной численности
на коэффициент списочного состава (Ксп.с.= 1,08 -1,1).
Для участков серийного производства число рабочих (рабочих ставок)
определяется исходя из трудоемкости работ:
, (7.5)
где Nвj - программа выпуска деталей, шт.;
Kо - количество технологических
операций;
Тштij - штучное время выполнения i-й операции по обработке детали, мин;
Фн - номинальный годовой фонд времени работы одного рабочего
(без учета потери рабочего времени, в среднем можно принять 2040 часов);
kвн - средний коэффициент выполнения
норм выработки (по данным предприятия или принять в диапазоне от 1,05 до 1,2).
Чяв.б.= 36,12*2652/60*2040*1,2=0,7 чел.
Чяв.пр.= 27,77*2652/2040*1,2*60=0,5 чел.
ССЧб.=0,7*1,1=0,77 чел.
ССЧпр.=0,5*1,1=0,55 чел.
ССЧ вспомогательных рабочих составляет в среднем 40-50% от ССЧр:
ССЧвсп.б.=0,77*0,4=0,31 чел.
ССЧвсп.пр.=0,55*0,4=0,22 чел.
ССЧ руководителей и специалистов составляет в среднем 15% от ССЧ
производственных и вспомогательных рабочих:
ССЧспец. б= (0,7+0,31)*0,15=0,2 чел.
ССЧспец пр= (0,5+0,22)*0,15=0,1 чел.
Расчет заработной платы производственных рабочих с отчислениями может
быть проведен по следующим формулам:
Сз.о = å ЧТСi · tштi · Рд · Км·N / 60 · n, (7.6)
гдеСз.о - основная заработная плата производственных рабочих,
млн.руб.;
ЧТСi - часовая тарифная ставка соответсвующего разряда,
которая может быть увеличена на повышающий коэффициент (1,5 - 3), тыс. руб.;штi
- норма штучного времени выполнения i-й операции, мин.;
Рд - коэффициент, учитывающий премии и доплаты к тарифному
фонду: Рд = 1,4 ... 1,7;
Км - коэффициент доплат за многостаночное, Км = 1,1
... 1,6;- количество операций техпроцесса;- количество станков, обеспечиваемых
параллельно одним рабочим,
N -
планируемый объем производства, шт.
Дополнительная заработная плата (Сз.д) принимается по
заводским данным в процентах от основной зарплаты (10% Сз.о). Сюда
входят выплата за выполнение гособязанностей, оплата отпусков, доплата
подросткам и так далее.
Отчисления в бюджетные и внебюджетные фонды определяются по формуле:
Сотч = (Сз.о + Сз.д) · hФСЗН*hстр. / 100.,
(7.7)
где
- ставка отчислений на государственное страхование в
фонд социальной защиты населения 34%;
- ставка
отчислений на обязательное страхование от несчастных случаев 1%.
Расчеты сведем в таблицу 7.5.
Таблица 7.5- Основная и дополнительная заработные платы с начислениями
|
Профессия
|
Раз-ряд ра-бот
|
Часов. тариф ставка ЧТС, руб./ час
|
Норм. штучного времени на
программ tшт-к, мин.
|
Коэф. учит.премии Рд
|
Основная зарплата Сз.о,
млн. руб.
|
Дополнит. зарплата Сз.д,
млн. руб.
|
|
|
|
Б
|
П
|
|
Б
|
П
|
Б
|
П
|
|
Фрезеровщик
|
6
|
4294
|
2954
|
2954
|
1,5
|
0,32
|
0,32
|
0,03
|
0,03
|
|
Токарь
|
6
|
4294
|
6789
|
6789
|
1,5
|
0,73
|
0,73
|
0,07
|
0,07
|
|
Токарь
|
6
|
4294
|
3845
|
3845
|
1,5
|
0,41
|
0,41
|
0,04
|
0,04
|
|
Фрезеровщик
|
6
|
4294
|
26149
|
-
|
1,5
|
2,81
|
-
|
0,28
|
-
|
|
Прокат роликами
|
6
|
-
|
3527
|
1,5
|
-
|
0,38
|
-
|
0,04
|
|
Фрезеровщик
|
5
|
3909,8
|
22675
|
22675
|
1,5
|
2,22
|
2,22
|
0,22
|
0,22
|
|
Сверловщик
|
4
|
3548,2
|
4614
|
4614
|
1,5
|
0,41
|
0,41
|
0,04
|
0,04
|
|
Шлифо-вальщик
|
5
|
3909,8
|
2864
|
2864
|
1,5
|
0,28
|
0,28
|
0,03
|
0,03
|
|
Шлифо-вальщик
|
5
|
3909,8
|
3129
|
3129
|
1,5
|
0,31
|
0,31
|
0,03
|
0,03
|
|
Шлифо-вальщик
|
6
|
4294
|
23258
|
23258
|
1,5
|
2,50
|
2,50
|
0,25
|
0,25
|
|
ИТОГО
|
-
|
-
|
96278
|
73657
|
-
|
9,97
|
7,55
|
1,00
|
0,75
|
Средняя заработная плата (среднемесячная) одного рабочего, занятого на
технологических операциях, будет равна:
(7.8)
где(Сз.о + Сз.д) - годовой фонд заработной платы
производственных рабочих, млн.руб.;
ЗП ср.б.=(1+9,97)/12*0,7=1,31 млн. руб.
ЗП ср.пр.=(7,55+0,75)/12*0,5=1,38 млн. руб.
Сотч.баз.=10,97*34,6/100=3,8 млн. руб.
Сотч.пр.=62,62*34,6/100=2,87 млн. руб.
Для вспомогательных рабочих годовой фонд заработной платы с отчислениями
рассчитывается по формуле:
ФЗПвсп = Рд · Фраб эф,·∑Чвспi · ЧТСi · (1 + НД/100)
· (1+ННО/100), (7.9)
где Чвспi- количество вспомогательных рабочих i-го разряда, чел.;
ЧТСi - часовая тарифная ставка соответствующего разряда, руб./час;
Рд - коэффициент, учитывающий премии и доплаты к тарифному фонду
вспомогательных рабочих (Рд=1,2-1,4);
Фрабэф - годовой эффективный фонд времени работы одного рабочего,
(среднее значение принять равным 1780 ч);
Нд - норматив дополнительной заработной платы по отношению к основной;
Нно - ставки отчислений от средств на оплату труда, %.
ФЗПвсп. Б.=1,2*1780*0,31*3909,8*(1+0,1/100)*(1+34,6/100)=3,5
млн. руб.
ФЗПвсп. пр=1,2*1780*0,22*3909,8*(1+0,1/100)*(1+34,6/100)=2,5
млн. руб.
Годовой фонд заработной платы служащих (руководителей и специалистов)
рассчитывается исходя из численности, среднемесячных окладов и среднего числа
месяцев работы с учетом дополнительной заработной платы по формулам:
ФЗПсл=ЗПсл*Чсл*Мсл (7.10)
гдеЗП
- среднемесячная заработная плата специалистов
(принимается в среднем для данной категории работников по рассматриваемому
предприятию), млн. руб.;
Ч
сл- численность специалистов (принимается в процентах от численности основных и
вспомогательных), чел.;
М
сл - среднее число месяцев работы специалистов, принять 11,4 месяцев.
ФЗПсл.
Б.=1,4*0,2*11,4=3,2 млн. руб.
Сотч.=3,2*34,6/100=1,1 млн. руб.
ФЗПсл. пр.=1,4*0,1*11,4=1,6 млн. руб.
Сотч.=1,6*34,6/100=0,55 млн. руб.
Полученные результаты необходимо свести в таблицу 7.6.
Таблица 7.6 - Расходы на заработную плату работающих с отчислениями в
бюджет и внебюджетные фонды, млн. руб.
|
Статьи расходов
|
Сумма, млн. руб.
|
|
базовый
|
проектный
|
|
1. Расходы на оплату труда
основных рабочих, всего
|
14,77
|
11,17
|
|
в том числе:
|
|
|
|
1.1.Основная заработная
плата
|
9,97
|
7,55
|
|
1.2. Дополнительная
заработная плата
|
1
|
0,75
|
|
1.3. Отчисления от ФЗП
|
3,8
|
2,87
|
|
2. Расходы на оплату труда
вспомогательных рабочих с отчислениями
|
3,5
|
2,5
|
|
3. Расходы на оплату труда
служащих с отчислениями
|
4,3
|
2,15
|
|
4. Всего расходов на оплату
труда
|
22,57
|
16,42
|
Расчет затрат по статье "Общепроизводственные расходы включает:
· расходы по содержанию и эксплуатации оборудования (РСЭО);
· расходы по организации, обслуживанию и управлению
производством.
Амортизация оборудования и здания. Величина годовых амортизационных
отчислений определяется по формуле (7.11):
ААо = Кср · На /100, (7.11)
гдеКср - среднегодовая стоимость оборудования, без учета
входного НДС (с учетом загрузки) млн. руб.;
На - норма амортизации, %.
Расчет амортизации оборудования и здания сведем в таблицу 7.7
Таблица 7.7 - Амортизационные отчисления на оборудование (млн. руб.)
|
Наименование основных
фондов
|
Стоимость основных фондов
(без НДС), млн. руб.
|
Норма амортизации, %
|
Сумма амортизации на год,
млн. руб.
|
|
Б
|
П
|
Б
|
П
|
|
Б
|
П
|
|
Здания
|
Здания
|
130,12
|
132,32
|
0,012
|
1,30
|
1,32
|
|
МР-71
|
МР-71
|
15,48
|
15,48
|
0,05
|
0,77
|
0,77
|
|
ЕМ-437-9
|
ЕМ-437-9
|
20,74
|
20,74
|
0,05
|
1,04
|
1,04
|
|
ЕМ-437-9
|
ЕМ-437-9
|
18,48
|
18,48
|
0,05
|
0,92
|
0,92
|
|
5В352ПФ2
|
МП 7Б6
|
29,27
|
74,47
|
0,05
|
1,46
|
3,72
|
|
5350А
|
5350А
|
39,55
|
39,55
|
0,05
|
1,98
|
1,98
|
|
МН118
|
МН118
|
47,35
|
47,35
|
0,05
|
2,37
|
2,37
|
|
ХШЧ-90Р73Ф2
|
ХШЧ-90Р73Ф2
|
41,08
|
41,08
|
0,05
|
2,05
|
2,05
|
|
МШ-400
|
МШ-400
|
24,41
|
24,41
|
0,05
|
1,22
|
1,22
|
|
5К822В
|
5К822В
|
34,35
|
34,35
|
0,05
|
1,72
|
1,72
|
|
Тех. осн.
|
Тех. осн.
|
13,53
|
15,79
|
0,154
|
2,50
|
2,92
|
|
Трансп. Ср-ва
|
Трансп. Ср-ва
|
7,99
|
7,99
|
0,189
|
1,4
|
1,4
|
|
Итого
|
417,07
|
467,18
|
-
|
18,74
|
21,44
|
В статью "Эксплуатация оборудования" (кроме расходов на ремонт)
включаются:
· заработная плата (в составе основной и дополнительной
зарплаты и отчислений в бюджетные и внебюджетные фонды от средств на оплату
труда) рабочих, занятых обслуживанием машин и оборудования (слесарей,
наладчиков, электромонтеров), и других категорий работающих, непосредственно не
занятых производством продукции;
· стоимость материалов, расходуемых для обеспечения
функционирования оборудования;
· затраты на электрическую энергию, сжатый воздух, воду,
тепловую энергию, потребляемую в процессе работы оборудования.
Расходы по оплате труда (основная и дополнительная заработная плата с
отчислениями наладчиков, смазчиков, электромонтеров, слесарей, ремонтных и
других вспомогательных рабочих) определяются на основании расчета заработной
платы вспомогательных рабочих, представленного в таблице 7.8. . ФЗП всп1
= 3,5 млн. руб., ФЗП всп2 =2,5 млн. руб.
Стоимость вспомогательных материалов укрупнено составляет 3% от
первоначальной стоимости оборудования.
По базовому варианту: 270,69*0,03=8,1 млн. руб.
По проектному варианту: 315,89*0,03=9,5 млн. руб.
Суммарные затраты по содержанию оборудования включают следующие группы.
Текущий ремонт оборудования и транспортных средств. Укрупненно расходы на
текущий ремонт оборудования и транспортных средств могут быть приняты в размере
3-5 % от стоимости оборудования и транспортных средств.
По базовому варианту: (270,69+7,99)*0,03=8,36 млн. руб.
По проектному варианту:(315,89+7,99)*0,03=9,7 млн. руб.
Внутризаводское перемещение грузов. Укрупнённо статья составит до 30% от
стоимости транспорта.
По базовому варианту: 7,99*0,30= 2,4 млн. руб.
По проектному варианту: 7,99*0,30= 2,4 млн. руб.
Износ малоценного и быстроизнашивающегося инструмента. Эти расходы могут
быть определены укрупнено в размере 0,2- 0,5% от первоначальной стоимости
оборудования.
По базовому варианту: 270,69*0,002= 0,54 млн. руб.
По проектному варианту: 315,89*0,002= 0,63млн. руб.
Прочие расходы. Они могут быть определены укрупнено в размере 4% от общей
суммы всех предыдущих.
По базовому варианту: (3,5+8,1+8,36+2,4+0,54+18,74)*0,04= 1,7 млн. руб.
По проектному варианту: (2,5+9,5+9,7+2,4+0,63+21,44)*0,04=1,8 млн. руб.
Расходы по организации, обслуживанию и управлению производством
(общецеховые расходы) включают следующие группы затрат:
· содержание аппарата управления включает оплату труда служащих
(руководителей и специалистов), в т.ч. соответствующие отчисления;
· амортизация цеховых (производственных и административных)
зданий, сооружений, инвентаря;
· содержание цеховых (производственных и административных)
зданий. Расходы по данной статье определяются на основе среднегодовых норм
расхода денежных средств на 1 м2 площади;
· расходы по ремонту цеховых зданий определяются укрупненно в
процентах от их стоимости;
· расходы на мероприятия по обеспечению нормальных условий
труда, техники безопасности (охрана труда) принимаются в соответствии с
нормативами, установленными на одного работника;
· прочие расходы.
Оплата труда служащих учитывается на основании данных таблицы 7.8.
Амортизация цеховых (производственных и административных) зданий,
сооружений, инвентаря рассчитывается по формуле (7.12):
, (7.12)
где
- норма амортизации здания (0,012);
- норма
амортизации инвентаря;
КЗДi -
первоначальная стоимость зданий, млн. руб.(таблица 7.1);
Кинв - первоначальная стоимость производственного инвентаря,
млн. руб.
Базовый
вариант:
млн. руб.
Проектный
вариант:
млн. руб.
Содержание
цеховых зданий и сооружений. Укрупненно расходы по данной статье можно принять
1,5% от первоначальной стоимости производственной площади.
По
базовому варианту: 130,12*0,015= 1,95 млн. руб.
По
проектному варианту: 132,32*0,015= 1,98 млн. руб.
Расходы
на текущий ремонт цеховых зданий, сооружений и инвентаря. Определяются
укрупненно в процентном соотношении 0,7 - 2,5 % от стоимости зданий.
По
базовому варианту: 130,12*0,007= 0,91 млн. руб.
По
проектному варианту: 132,32*0,007= 0,92 млн. руб.
Расходы
на испытания, опыты, исследования, рационализацию и изобретательство.
Составляют 60 у.е. (179 700 руб.) на одного рабочего в год.
По
базовому варианту: 0,7*0,1797= 0,013 млн. руб.
По
проектному варианту: 0,5*0,1797= 0,09 млн. руб.
Расходы
на мероприятия по обеспечению нормальных условий труда, техники безопасности.
Составляют 40 у.е. (119 800 руб.) на одного работника в год.
По
базовому варианту: 0,7*0,1198= 0,08 млн. руб.
По
проектному варианту:0,5*0,1198= 0,06 млн. руб.
Прочие
расходы - включают затраты не предусмотренные другими статьями и составляют 2-4
% от суммы всех предыдущих статей.
По
базовому варианту: (2,1+1,95+0,91+0,013+0,08+4,3)*0,02= 0,187 млн. руб.
По
проектному варианту: (2,1+1,98+0,92+0,09+0,06+2,5)*0,02= 0,153 млн. руб.
Итого
общепроизводственные расходы ( без амортизации):
По
базовому варианту:
3,5+8,1+8,36+2,4+0,54+1,7+1,95+0,91+0,013+0,08+0,187+4,3=32,04млн. руб;
По
проектному варианту:
,5+9,5+9,7+2,4+0,63+1,8+1,98+0,92+0,09+0,06+0,153+2,5=32,2
млн. руб.
Сумма
вышеперечисленных статей, цеховую себестоимость представляет
Расчет
затрат по статье "Общехозяйственные расходы"
Эти
расходы включают (в данном проекте) следующие группы затрат:
· оплата труда руководителей и специалистов аппарата управления
предприятием;
· административные расходы (служебные командировки, проездные
билеты для работников управления с разъездным характером работы и пр.);
· расходы по содержанию заводского транспорта.
Общехозяйственные расходы производства относят на себестоимость отдельных
видов продукции пропорционально расходам на оплату труда производственных
рабочих либо пропорционально прямым материальным и трудовым затратам.
Величина общехозяйственных расходов (Рох) может быть
рассчитана по следующей формуле:
, (7.13)
гдеСз.оснфонд основной заработной платы
производственных рабочих, млн. руб.;
Нох- норматив общехозяйственных (заводских) расходов к
трудовым затратам по данным базового предприятия.
Базовый
вариант:
Проектный
вариант:
Расчет затрат по статье "Расходы на реализацию".Расходы на
реализацию включают расходы на рекламу, участие в выставках, маркетинговые
исследования и проч. В условиях проекта можно рассчитать укрупнено как 1 % от
общей производственной себестоимости продукции, т.е.:
, млн.
руб., (7.14)
где
Спроиз- производственная себестоимость годового выпуска продукции,
млн. руб.;
Нреал
норматив расходов на реализацию от производственной себестоимости, %).
Базовый
вариант:
Проектный
вариант:
Платежи, отчисления и налоги в себестоимости продукции. Данные расходы
включают платежи на землю, отчисления в специальные фонды (инновационный фонд),
экологический налог и пр. В силу сложности прямого расчета этих налогов,
укрупнено эти затраты можно принять в размере 1-3 % от производственной
себестоимости.
, (7.15)
где
Нпр.отч. - принятый укрупненный норматив отчислений и платежей от
производственной себестоимости, %.
Базовый
вариант:
Проектный
вариант:
С
1 января 2010 года в Республике Беларусь принята Особая часть Налогового
кодекса, определяющего порядок применения каждого из республиканских и местных
налогов, сборов и особых режимов налогообложения. Так, налог на недвижимость
входит в состав себестоимости продукции, налогооблагаемая база и ставка налога
не изменились, и составляет 1 % от остаточной стоимости зданий, сооружений.
Ннед=
, (7.16)
ОСзд
=Кзд -Азд,
(7.17)
где
Кзд - первоначальная
стоимость зданий и сооружений, млн. руб.,
Азд - величина годовых амортизационных отчислений зданий и
сооружений, млн. руб., см.;
hнед - ставка налога на недвижимость,1%.
Базовый вариант: Ннед=130,12*1%/100%=1,3 млн. руб.
Проектный вариант: Ннед= 132,32*1%/100%=1,32 млн. руб.
Результаты расчета себестоимости продукции годового выпуска приводятся в
таблице 7.10.
При отсутствии заводской калькуляции себестоимости по базовому варианту
данный расчет должен быть проведен по двум вариантам: базовому и проектному.
Таблица 7.10 -Себестоимость годового выпуска продукции
|
Статьи затрат
|
Значения по вариантам, млн.
руб.
|
|
Базовый
|
Проектный
|
|
1.Сырье и материалы за
вычетом возвратных отходов
|
49,4
|
38,2
|
|
2.Топливо и энергия на
технологические нужды*
|
-
|
-
|
|
3.Основная заработная плата
производственных рабочих
|
9,97
|
7,55
|
|
4.Дополнительная заработная
плата производственных рабочих
|
1
|
0,75
|
|
5.Отчисления в бюджетные и
внебюджетные фонды
|
3,8
|
2,87
|
|
6.Погашение стоимости
инструментов и приспособлений целевого назначения
|
-
|
-
|
|
7.Общепроизводственные
расходы (без амортизации)
|
32,04
|
32,2
|
|
8.Амортизация основных
средств
|
20,84
|
23,54
|
|
9.Итого: цеховая
себестоимость
|
105,11
|
|
10.Общехозяйственные
расходы
|
12
|
9,06
|
|
11.Итого: производственная
себестоимость (стр.9+10)
|
129,05
|
114,17
|
|
12. Расходы на реализацию продукции
|
25,81
|
22,83
|
|
13.Платежи, отчисления и
налоги в себестоимости продукции (Рпр.отч.+Ннед)
|
2,59
|
2,46
|
|
14. Итого: полная
производственная себестоимость, (Сп ) (стр.11+ 12+ 13)
|
157,45
|
139,46
|
Погашение стоимости инструментов и приспособлений целевого назначения
включаются если данные затраты предусмотрены техпроцессом.
Себестоимость единицы продукции определяется путем деления строки 14
таблица 7.10 на значение годового выпуска продукции по следующей формуле:
, (7.18)
где Сед.пр.- полная себестоимость единицы реализованной
продукции без учета входного НДС по производственным издержкам, руб.;
Сп-полная производственная себестоимость продукции, млн. руб.;
НДС- сумма входного НДС по прямым затратам, млн.руб.
N -
годовой объем выпуска продукции, шт.
Базовый
вариант:
Проектный
вариант:
7.3
Определение потребности в оборотных средствах
Укрупнено величина оборотных средств может быть определена в размере 40 -
60% от себестоимости годового объема выпуска продукции.
По базовому варианту: 157,45*0,4=62,98 млн. руб.
По проектному варианту: 139,46*0,4= 55,78 млн. руб.
7.4 Расчет
основных технико-экономических показателей сравниваемых вариантов
Определение отпускной цены. Если деталь, изготавливаемая на участке,
рассматривается как конечная продукция, реализуемая потребителям, то к цене
прибавляется величина косвенных налогов.
(7.19)
где Сед. пр.- полная себестоимость единицы продукции, руб.;
Ппл. - планируемая прибыль предприятия на единицу продукции,
руб.;
∑Нкосв - сумма косвенных налогов и отчислений в цене
товара.
Планируемая прибыль на единицу продукции рассчитывается исходя из
норматива рентабельности прибыли на вложенный капитал (Rе)
, (7.20)
где
Rе - норматив рентабельности единицы продукции, принять
на уровне15-20 %.
Ставки налоговых выплат по проекту и исходные данные для дальнейшего
расчета целесообразно свести в таблицу 7.11.
Таблица 7.11 - Ставки налогов и налоговых выплат, исходные данные для
расчета отпускной цены и прибыли предприятия
|
Показатели
|
Обозначения
|
Значения
|
|
|
|
|
1. Норматив рентабельности
единицы продукции
|
Rе
|
15%
|
|
2. Налоги, включаемые: 2.1.
в цену (косвенные (оборотные)) - налог на добавленную стоимость (НДС)
|
hндс
|
20 %
|
|
3. Налоги и сборы,
выплачиваемые из прибыли (прямые), в том числе: 3.1. налог на прибыль 3.2.
сбор на развитие территории
|
hпр hцел
|
24%; 12% (для парка
высоких технологий) 3%
|
|
Исходные данные по
вариантам проекта
|
Базовый вариант
|
Проектный вариант
|
|
4. Объем производства в
натуральном выражении, шт.
|
N
|
2652
|
2652
|
|
5. Величина полных
инвестиций, млн. руб., в том числе: 5.1. в основные средства, млн.руб. 5.2. в
оборотные средства, млн.руб. 6. Себестоимость единицы продукции, руб.
7.Себестоимость произведенной продукции, млн.руб.
|
И Ко.с. Коб.с. Седпр
Сп б (пр)
|
488,02 425,04 62,98 59370
157,45
|
530,93 475,15 55,78 52587
139,46
|
Расчет отпускной цены продукции проводится по базовому варианту
технологического процесса. Порядок расчета цены целесообразно свести в таблицу
7.12.
Таблица 7.12 - Расчет отпускной цены по базовому варианту
технологического процесса
|
Показатель
|
Порядок расчета
|
Значе- ние, руб.
|
|
Прибыль планируемая
|
8905,5
|
|
|
Цена предприятия без НДС
|
68275,5
|
|
|
Сумма НДС
|
НДС= 13655
|
|
|
Отпускная(свободная) цена
предприятия с НДС
|
Цотп. =ЦпрбезНДС
+ НДС
|
81930
|
Цена продукции проектного варианта устанавливается на уровне цены
базового варианта.
Расчёт прибыли предприятия. Порядок расчета прибыли от реализации и
чистой прибыли предприятия после уплаты налоговых платежей сведен в таблицу
7.13.
Таблица 7.13- Расчет прибыли от реализации и чистой прибыли предприятия
|
Показатель
|
Порядок расчета
|
Значения, млн.руб.
|
|
|
Базовый вариант
|
Проектный вариант
|
|
Выручка от реализации в
отпускных ценах
|
ВРреал = Ц отп *N
|
217,3
|
217,3
|
|
НДС выходной
|
36,236,2
|
|
|
|
Выручка предприятия без
косвенных налоговых платежей
|
181,1181,1
|
|
|
|
Прибыль от реализации
|
Преал = ВРпред - Сп (б)пр
|
23,65
|
41,64
|
|
Налог на прибыль
|
5,689,99
|
|
|
|
Сбор на развитие территории (целевой
сбор)
|
0,540,94
|
|
|
|
Чистая прибыль
|
17,4330,71
|
|
|
Расчет технико-экономических показателей сравниваемых проектов. Период
окупаемости инвестиций представляет временной отрезок использования
экономического объекта, в течение которого инвестиции в производство
возвращаются потоком чистой прибыли, рассчитывается по формуле:
лет,
(7.21)
где
И- сумма полных инвестиционных вложений с НДС, млн. руб. (см. таблицу 5.1.);
Агод - величина годовых амортизационных отчислений по
элементам амортизируемых основных средств, млн. руб.;
Пч - чистая прибыль, млн. руб. (таблица 7.13).
Базовый
вариант:
Проектный
вариант:
Рентабельность
производства по чистой прибыли характеризует долю чистой прибыли предприятия,
получаемую на единицу инвестиций при соответственно базовом и проектном
варианте инвестирования в производство продукции:
R=Пч/
И без НДС*100%, (7.22)
где
И без НДС - величина инвестиционных вложений без НДС, млн. руб.
Базовый
вариант: R=17,43/ 488,02*100%=3,6%,
Проектный
вариант: R=30,71/ 530,93*100%=5,8% .
Рентабельность
реализованной продукции характеризует прибыль, получаемую на единицу
себестоимости продукции:
Rрп=Преал/Сполн, (7.23)
где
Преал - прибыль от реализации, млн.руб.;
Сполн
- полная себестоимость реализованной продукции, млн.руб.
По
базовому варианту: 17,43/157,45*100%=11,1%
По
проектному варианту: 217,3/139,46*100%=22%
На
предприятии для выражения производительности труда используют показатель
выработки продукции на одного работающего в единицу времени. Обычно за единицу
времени принимается один год. Рассчитывается по формуле:
(7.24)
где
ПТ -выработка реализованной продукции на одного работающего (производительность
труда), млн. руб.;
ВР
- выручка от реализации продукции без косвенных налоговых платежей, млн. руб.,
Чобщ
- общая численность работающих, чел.
По
базовому варианту: 181,1/0,77=235,2 млн. руб./чел.
По
проектному варианту: 181,1/0,55=329,3 млн. руб./чел.,
Затраты на один рубль реализованной продукции (млн.руб./млн. руб.):
, (7.24)
По базовому варианту: 157,45/181,1=0,869 млн.руб./млн. руб.,
По проектному варианту: 139,46/181,1= 0,77 млн.руб./млн. руб.
Фондоотдача основных средств характеризует производство продукции в
стоимостном выражении на единицу стоимости основных средств в единицу времени
(один год). Она рассчитывается по формуле:
(7.25)
где
Фосн - величина основных средств, млн. руб.;
По
базовому варианту: 181,1 /62,98=2,2,88 млн. руб.
По
проектному варианту: 181,1/55,78= 3,25 млн. руб.
Фондовооруженность труда одного производственного рабочего:
(7.26)
где
Фосн -величина основных средств ,млн. руб.;
Чосн
- численность основных производственных рабочих, чел.
По базовому варианту: 62,98/1,08=58,3 млн. руб.
По проектному варианту: 55,78/0,77= 72,4 млн. руб.
Процент снижения трудоемкости определяется по формуле (7.27):
, (7.27)
где
Тбаз - трудоемкость детали на базовом заводе ,мин.
Тпр
- трудоемкость детали в проектируемом варианте , мин..
Те%
= (36,12-27,77)/36,12*100%= 23,1%
Увеличение
производительности труда
, (7.28)
где
Те - процент снижения трудоемкости, %.
ΔПТ%=23,1%/(100%-23,1%)*100%=30%
Металлоемкость
продукции определяется по формуле (7.29):
(7.29)
где
Мз - затраты на сырье и материалы за вычетом возвратных отходов, тыс. руб.
По
базовому варианту: 49,4/181,1=0,27 млн. руб.
По
проектному варианту: 38,2/181,1=0,21 млн. руб.
Коэффициент
использования материала:
(7.30)
где
Мд - масса детали, кг/шт.;
Мз
- масса заготовки, кг/шт.
Базовый
вариант:
Проектный
вариант:
Рассчитанные
основные технико-экономические показатели по базовому и проектному вариантам
представляют в виде в таблицы 7.14.
Таблица
7.14-Основные технико-экономические показатели проекта
|
Показатели
|
Единицы измерения
|
Варианты
|
|
|
Базо- вый
|
Проектный
|
|
1.Годовой объем выпуска
продукции: 1.1. В натуральном выражении 1.2.В стоимостном выражении*
|
шт. млн.руб.
|
2652 181,1
|
2652 181,1
|
|
2.Себестоимость единицы
продукции
|
руб.
|
59370
|
52587
|
|
3.Себестоимость годового
объема произведенной продукции
|
млн.руб.
|
157,45
|
139,46
|
|
4.Численность
производственных рабочих
|
чел.
|
0,77
|
0,55
|
|
5.Выработка на одного
производственного рабочего(стр.1.2/4)
|
млн.руб.
|
235,2
|
329,3
|
|
6.Трудоемкость изготовления
продукции
|
Мин/шт.
|
36,12
|
27,77
|
|
7.Фонд заработной платы
производственных рабочих
|
млн.руб.
|
9,97
|
7,55
|
|
8.Среднемесячная заработная
плата одного производственного рабочего
|
млн.руб.
|
1,31
|
1,38
|
|
9.Прибыль от реализации
продукции (строка 1.2- строка 3)
|
млн.руб.
|
23,65
|
41,64
|
|
10.Рентабельность продукции
(строка 9/ строка 3)
|
%
|
15,02
|
29,9
|
|
11.Среднегодовая стоимость
основных средств
|
млн.руб.
|
62,98
|
55,78
|
|
12.Фондоотдача (строка 1.2/
строка 11)
|
руб./руб.
|
2,88
|
3,25
|
|
13. Фондовооруженность
труда
|
млн.руб.
|
58,3
|
72,4
|
|
14.Материалоемкость
продукции
|
руб./руб.
|
0,27
|
0,21
|
|
15.Период окупаемости
инвестиций
|
лет
|
12,7
|
9,8
|
7.5 Результат
от проведения мероприятий по повышению эффективности организации цеха
редукторов ОАО "МАЗ"
Эффективность осуществления каждого мероприятия была рассчитана в разделе
3. Сводные данные по экономической эффективности проектных решений представлены
в таблице 7.15.
Таблица 7.15 - Экономическая эффективность проектных решений
В таблице 7.16 представлен расчет чистой текущей стоимости.
Таблица 7.16- Расчет чистой текущей стоимости
Окупаемость проекта представлена на рисунке 7.1.
Рисунок 7.1- Финансовый профиль
ЗАКЛЮЧЕНИЕ
В ходе выполнения дипломного проекта был изучен вопрос, касающийся
организации производства, и на примере цеха редукторов ОАО "МАЗ" были
разработаны мероприятия по ее улучшению.
Организация производства - комплекс мероприятий, направленных на
рациональное сочетание процессов труда с вещественными элементами производства
в пространстве и во времени с целью повышения эффективности, т. е. достижения
поставленных задач в кратчайшие сроки, при наилучшем использовании
производственных ресурсов.
Актуальность темы дипломного проекта "Повышение эффективности
организации производства цеха редукторов ОАО "МАЗ" обусловлена тем,
что в условиях экономического кризиса многим предприятиям приходится изыскивать
внутренние резервы для повышения эффективности своей деятельности, искать
эффективные формы и методы организации производства при ограниченных финансовых
ресурсах.
Улучшение организации производства является малокапиталоемким путем
развития производства и, как правило, требует значительно меньших затрат для
достижения одинакового уровня эффективности по сравнению с мероприятиями
технического и технологического характера. Это достигается на основе сокращения
потерь рабочего времени и непроизводительных затрат труда; улучшения
использования производственных мощностей, лучшей загрузки оборудования и
использования его технических возможностей; уменьшения запасов
товарно-материальных ценностей и сокращения времени пребывания предметов труда
в производстве.
Для определения текущего финансового состояния предприятия был проведен
технико-экономический анализ за 2007 - 2009 года. Анализ показал, что в
результате снижения спроса на продукцию, на предприятии произошло значительные
сокращение объемов производства на 22,18%, в результате чего произошло снижение
выручки на 24,89%, а прибыль от реализации составила 266 млн. руб., что по
сравнению с предыдущим годом меньше на 228 млн. руб., рентабельность продукции
составила 13,73%. При анализе финансового состояния предприятия было
установлено, что текущая платежеспособность снизилась на 8%, что говорит о
неудовлетворительной работе предприятия.
Так же был проведен анализ цеха редукторов ОАО"МАЗ". Наибольший
удельный вес продукции цеха составляют редуктор средний и редуктор задний
соответственно 38,7% и 58,1%.
В результате снижения выпуска продукции на 53,16%, произошло сокращение
продолжительности смены на 8% и снижение количества отработанных дней в году на
20%, что привело к сокращению численности на 10,5%.
В результате снижения объемов производства произошло снижение
производственной себестоимости на 60,74%, но затраты на 1 рубль товарной
продукции увеличились на 9,67%, так же увеличился удельный вес расходов на
содержание и эксплуатацию оборудования на 7,69%.
В ходе анализа организации производства было установлено, что наибольший
удельный вес в основных средствах цеха редукторов занимает оборудование возраст
которого более 20 лет, износ составляет 52,07%, а коэффициент экономического
использования оборудования составил 0,48%.
При анализе показателей коэффициентов количественной оценки уровня
организации производства было установлено что, коэффициент автоматизации парка
оборудования составил 0,42, когда прогрессивным считается 1, отклонение
составило 0,58.
Продукция цеха редукторов в общем объеме продукции предприятия составляет
3,39%. Оснащенность рабочих мест необходимой оснасткой составила 0,81, что
говорит о необходимости улучшения организации труда и внедрения прогрессивной
оснастки в цехе редукторов.
Коэффициенты интенсивной и экстенсивной загрузки оборудования составили
соответственно 0,72 и 0,30, в результат чего интегральный коэффициент
использования оборудования равен 0,21.
Интегральный коэффициент количественной оценки уровня организации
производства в цехе редукторов ОАО"МАЗ" составил 0,34.
Коэффициент рациональности движения предметов труда составил 0,02 (анализ
был произведен для деталей 103240-1740, 4370240-2017, 6430240-2017), что
повлияло на величину незавершенного производства, которая составила
46,2млн.руб., а по цеху 5487,7 млн.руб.
С целью повышения автоматизации основных производственных процессов было
предложено мероприятие по замене оборудования: вместо 17 станков внедрили 3
станка Weisser Univertor AC2., в результате чего произошло снижение затрат на
электроэнергию на 640,332 млн. руб., уменьшилась численности на 7 человек, что
привело к экономии фонда заработной платы на 26,84 млн. руб., а амортизационные
отчисления снизились на 0,32 млн. руб.
Для лучшей загрузки оборудования Weisser Univertor AC2 в цехе редукторов было предложено мероприятие по применению
нового приспособления, в результате чего произошло высвобождение площади:
экономия составила 1036,67 млн. руб., фонд заработной платы уменьшился на 3,68
млн. руб., а рост загрузки оборудования составил 62,5%. Таким образом по мере
того, как мы выводим из цеха моральноустаревшее оборудование, за отдельными
рабочими местами закрепляется меньшее количество операций, а следовательно
увеличивается однородность работ и уменьшаются потери времени на переналадку
оборудования, улучшается его эффективное использование, растет
производительность труда и снижаются издержки производства.
С целью сокращения длительности обработки деталей и повышению
непрерывности производства, было предложено мероприятие по оптимизации
очередности запуска в обработку партии деталей, в результате чего произошло
сокращение длительности обработки партии деталей на 2,2 смены, рост величины
внутрицикловой загрузки составил 1,2%, а коэффициента непрерывности 6,7% .
Незавершенное производство снизилось на 1,99 млн. руб., а в целом по цеху
величина незавершенного производства снизится на 241 млн.руб.
Стимулирование - это тактика решения проблем повышения эффективности
труда, которая побуждает работников лучше трудиться за счет удовлетворения их
потребностей. Так как в цехе редукторов произошло сокращение численности на
10,53 а удельный вес расходов на содержание и эксплуатацию оборудования
увеличился на 8,6% и составил 9,8%, то за счет сэкономленных средств от
предыдущих мероприятий, для лучшей мотивации работников, было предложено ввести
премию за экономию топливно-энергетических ресурсов в размере 15% , а так же
применение многостаночного обслуживания, в результате чего средняя заработная
плата увеличится на 0,560 тыс. руб., что приведет к снижению текучести кадров в
цехе редукторов.
В конструкторско- технологическом разделе было предложено мероприятие по
замене шлицефрезерования на накатывание шлицев роликами и замена заготовки ,
вместо штамповки ГКМ использовать пруток, что позволяет снизить себестоимость
детали.
В разделе "Охрана труда" рассматриваются вопросы охраны труда,
техники безопасности на участке при изготовлении детали " Вал
задний".
В результате проведения мероприятий предприятие получит дополнительную
чистую прибыль в размере 1288,41 млн. руб., а срок окупаемости всех
предлагаемых мероприятий составит 1 год 3 месяца.
СПИСОК
ЛИТЕРАТУРЫ
. Адаменкова, С.И. Анализ хозяйственной деятельности:
учеб. пособие /
С. И. Адаменкова, О. С. Евменчик. - Минск: БНТУ, 2008. - 260
с.
. Балащенко, В.Ф. Финансы предприятия: учеб.пособ. для
слушателей системы повышения квалификации и переподготовки кадров по
экономическим специальностям/ В.Ф. Балащенко, Т.Е.Бондарь, А.Л.Ивашутин: под
общ.ред. Т.Е.Бондарь - Минск: БНТУ, 2006. - 235 с.
. Бабук, В.В. Проектирование технологических процессов
механической обработки в машиностроении: учеб. пособие/ В.А. Шкред, Г.П.
Кривко, А.И. Медведев. - Минск: Выш. Школа, 1987. - 255 с.: ил.
. Бабук, И.М. Расчет экономической эффективности
внедрения новых технологических процессов : учебно-методическое пособие для
студентов машиностроительных специальностей (курсовое и дипломное
проектирование)/ А.А., Королько С.И. Адаменкова, Е.Н.Костюкевич- . Минск: БНТУ,
2010.-45с.
. Баранчиков, В.И. Прогрессивные режущие инструменты и
режимы резания металлов: справочник/ А.В. Жаринов, Н.Д. Юдина - Минск:
Машиностроение, 1990. - 400 с.
. Барановский, Ю.В. Режимы резания металлов:
справочник.- Минск: Машиностроение, 1972. - 408 с.
. Горбацевич, А.Ф. Курсовое проектирование по
технологии машиностроения: учеб. пособие для машиностроит. спец. вузов/ В.А.
Шкред. - Минск: Выш. школа, 1983. - 256 с., ил.
. Горнаков, Э.И. Управление персоналом: учеб. пособие
для студентов высших сельскохозяйственных учебных заведений по техническим
специальностям/Э.И. Горноков, Е.Н. Костюкевич, Е.В.Метельская.-Минск: ИВЦ
Минфин, 2009.-520с.
. Демидов, В.И. Методика расчета уровня организации
производственных процессов: учебно-методическое пособие / В.И. Демидов, О.Б.
Хрусталева. - Минск.: ВУЗ-ЮНИТИ, 2003. - 40с.
. Козьяков, А. Ф., Охрана труда в машиностроении:
учебн. пособие для учащихся/ А.Ф. Козьяков , Л.Л. Морозов -М: Машиностроение,
1990. -25 с.
. Лазаренков, А.М. Охрана труда: учебн. пособие/ А.М.
Лазаренков - Минск.: БНТУ, 2004. - 497 с.
. Косиловой, А.Г. Справочник технолога
машиностроителя: В 2-х т. Т. 2./ Р.К.Мещерякова. - Минск: Машиностроение, 1985.
-496с.
. Новицкий, Н.И. Организация и планирование
производства: лабораторный практикум/ И.М. Бабук, А.А. Горюшкин.-Минск: Новое издание, 2008-229 с.
. Сачко, Н.С. Планирование и организация
машиностроительного производства. Курсовое проектирование: учеб.
пособие/Н.С.Сачко, И.М.Бабук. - Минск: Новое знание, 2009. - 240с.:ил.
СПИСОК НОРМАТИВНЫХ ДОКУМЕНТОВ
ПРИЛОЖЕНИЕ А
Роль организации производства в повышении прибыли предприятия
ПРИЛОЖЕНИЕ Б
Данные по ОАО "МАЗ"
Таблица Б.1- Технико-экономические показатели ОАО "МАЗ"
Таблица Б.2- Динамика и структура прибыли по ОАО "МАЗ" за
2007-2009 г.г.
Таблица Б.3 - Аналитический баланс для расчета коэффициентов
платежеспособности, млн. руб.
Таблица Б.4 - Оценка платежеспособности по методике Министерства финансов
ПРИЛОЖЕНИЕ В
Данные цеха редукторов ОАО"МАЗ"
Рисунок В.1- Структурная схема управления цеха редукторов
Таблица В.1- Основные технико-экономические показатели работы цеха
редукторов
Таблица В.3 - Структура себестоимости товарной продукции цеха редукторов
в 2007-2009 гг. (млн. руб.)
|
ПОКАЗАТЕЛИ
|
2007
|
Удель-ный вес,%
|
2008
|
Удель-ный вес,%
|
Измене-ние 2008 к 2007
|
2009
|
Удель-ный вес,%
|
Изменение 2009 к 2007
|
Изменение 2009 к 2008
|
|
1 Сырье и основные
материалы (с учетом возвратных отходов)
|
162
|
0,15
|
280
|
0,20
|
172,46
|
201
|
0,37
|
123,72
|
71,74
|
|
2. Покупные изделия,п/ф
|
14185
|
13,30
|
18940
|
13,55
|
133,52
|
9163
|
16,70
|
64,60
|
48,38
|
|
3. Полуфабрикаты
собственного производства
|
75532
|
70,82
|
98705
|
70,62
|
130,68
|
33879
|
61,74
|
44,85
|
34,32
|
|
4. Топливо и энергия на
тех.цели
|
633
|
0,59
|
701
|
0,50
|
110,65
|
465
|
0,85
|
73,50
|
66,43
|
|
5. Основная ЗП.производ,рабочих
|
2,31
|
3288
|
2,35
|
133,21
|
1464
|
2,67
|
59,31
|
44,52
|
|
б. Доп, з/п произвол,
рабочих
|
237
|
0,22
|
367
|
0,26
|
154,82
|
313
|
0,57
|
131,97
|
85,24
|
|
7. Отчисления на соцстрах
|
978
|
0,92
|
1349
|
0,97
|
137,97
|
667
|
1,22
|
68,21
|
49,44
|
|
10. Обязательное
страхование от несчастных случаев
|
55
|
0,05
|
75
|
0,05
|
136,65
|
35
|
0,06
|
64,00
|
46,83
|
|
11.Возмещение износа
инструмента
|
963
|
0,90
|
1256
|
0,90
|
130,50
|
1663
|
3,03
|
172,77
|
132,39
|
|
12.ЦЕХОВАЯ СЕБЕСТОИМОСТЬ
|
95212
|
89,27
|
124960
|
89,40
|
131,24
|
47850
|
87,19
|
50,26
|
38,29
|
|
13.Расходы по содержанию оборудования
|
9705
|
9,10
|
12603
|
9,02
|
129,86
|
5378
|
9,80
|
55,42
|
42,67
|
|
14.Цеховые расходы
|
1734
|
1,63
|
2208
|
1,58
|
127,37
|
1649
|
3,00
|
95,11
|
74,67
|
|
15.Потери от брака
|
5
|
0,00
|
1
|
0,00
|
28,48
|
0,0991
|
0,00
|
1,94
|
6,82
|
|
16.ПРОИЗВ.СЕБЕСТОИМОСТЬ
|
106656
|
100,00
|
139773
|
100,00
|
131,05
|
54877
|
100,00
|
51,45
|
39,26
|
Таблица В.4 - Загрузка оборудования в цехе редукторов на участке шестерен
Рисунок В.2- Очередность обработки партии детали
Таблица В.5 -Расчет внутрицикловой загрузки оборудования и длительности
обработки партии деталей
Рисунок В.3- Система менеджмента качества ISO 9001 2000
ПРИЛОЖЕНИЕ Г
Таблица Г.1 - Загрузка оборудования в цехе редукторов на участке шестерен