Пищевая химия
Код: {D9EAD5EA-1455-489F-A9DB-164DADB2F170} (хранится с 23.04.2004)
Пищевая химия: Учебник для студентов вузов, обучающихся по направлениям:
552400 'Технология продуктов питания'/ А.П. Нечаев, Светлана Евгеньевна
Траубенберг, А.А. Кочеткова; Нечаев, Алексей Петрович.- 2-е издание,
переработанное и исправленное. - СПб.: ГИОРД, 2003.- 640 с. : ил.5-901065-38-0,
3000 экз.
В книге рассматривается химический состав пищевых систем, его
полноценность и безопасность; приводятся основные превращения макро- и микронутриентов
в технологическом потоке, фракционирование и модификация компонентов продуктов
питания; пищевые и биологически активные добавки; медико-биологические
требования к безопасности продуктов питания. Рассматриваются основы
рационального питания. Учебник будет полезен специалистам, работающим в системе
пищевых и перерабатывающих отраслей АПК, и в системе сертификации и
стандартизации продуктов питания.
Теоретические основы пищевых производств. Исследования
Пищевая химия
ББК 36-1
УДК 577.12:663/664
Нечаев А.П., Траубенберг Светлана Евгеньевна, Кочеткова Алла Алексеевна,
Нечаев А.П. Пищевая химия, 2003
Содержание
Содержание
<#"555891.files/image001.gif">
Рис. 2.1. Стационарное состояние обмена белков
Эффективность обмена белков в значительной степени зависит от
количественного и качественного состава пищи. При поступлении белков (с пищей)
ниже рекомендуемых норм, в организме начинают распадаться белки тканей (печени,
плазмы крови и т. д.), а образующиеся аминокислоты - расходоваться на синтез
ферментов, гормонов и других необходимых для поддержания жизнедеятельности
организма биологически активных соединений. Повышенное количество белков в
составе пищи значительного влияния на обмен веществ в организме человека не
оказывает, при этом избыток продуктов азотистого обмена выводится с мочой.
Состояние белкового обмена в большей степени зависит от недостатка или
отсутствия незаменимых аминокислот. Клетки организма человека не могут
синтезировать необходимые белки, если в составе пищи отсутствует хотя бы одна
незаменимая аминокислота. Синтез белков также нарушается, если часть
аминокислот в кишечнике разрушается патогенной микрофлорой, аминокислоты плохо
всасываются, а протеолити-ческие ферменты желудочно-кишечного тракта мало
активны. Удаление части аминокислот из организма с продуктами обмена веществ
обуславливает его отрицательный азотистый баланс.
Показатель азотистого баланса используется для оценки степени
обеспеченности человека белковой пищей. Он представляет собой разность между
количеством поступающего с пищей азота и количеством азота, выводимого в виде
конечных продуктов обмена, выраженными в одних и тех же единицах (г/сут). При
положительном балансе количество выводимого из организма азота меньше
количества азота, поступающего с пищей, а при отрицательном - количество
выделяемого азота превышает количество азота, поступающего в течение суток.
Положительный баланс азота характерен для молодого организма и беременных
женщин, отрицательный - для людей, пища которых бедна белком, для больных с
нарушениями процессов переваривания пищи и людей пожилого возраста.
Состояние, при котором количество азота, поступающего с пищей, равно
количеству азота, выводимого из организма, характерно для азотистого
равновесия. Им обладает здоровый взрослый человек, потребляющий полноценные
белки в необходимом количестве. Азотистый баланс у такого организма равен нулю.
На состояние азотистого обмена любого организма существенное влияние
оказывают жиры и калорийность пищи, витамины (В,, В2, В6, РР и др.),
минеральные вещества и гормоны. Например, гормоны щитовидной железы и
низкокалорийная диета стимулируют распад белков, а гормоны роста и половых
желез, наоборот, способствуют их синтезу. Таким образом, организм человека
требует обеспечения его белковой пищей, в противном случае могут развиваться
патологические процессы и наступить гибель организма. Следовательно, здесь
уместно рассмотреть нормы потребления человеком белка.
Средняя суточная физиологическая потребность человека в белке в течение
более чем ста лет постоянно исследуется и периодически отражается в решениях
ВОЗ, ФАО и национальных организаций различных стран. Эти величины носят
ориентировочный характер, так как они находятся в стадии постоянного уточнения
в зависимости от возраста человека, пола, характера профессиональной
деятельности, физиологического состояния, климата, индивидуальных и
национальных особенностей и степени загрязнения окружающей среды. В
соответствии с рекомендациями ВОЗ и ФАО величина оптимальной потребности в
белке составляет 60-100 г в сутки или 12-15% от общей калорийности пищи. В
общем количестве энергии на долю белка животного и растительного происхождения
приходится по 6-8%. В пересчете на 1 кг массы тела потребность белка в сутки у
взрослого человека в среднем равняется около 1 г, тогда как для детей, в
зависимости от возраста, она колеблется от 1,05 до 4,00 г.
Приведенные здесь данные отражают общие требования к оптимальному уровню
белка для обеспечения здоровья человека. К примеру, еще в 1904 г. Читтенден
(Chittenden) установил, что уровень порядка 44-53 г белка в день способствует
нормальному физиологическому состоянию взрослого человека (весом 70 кг).
Известны случаи, когда люди хорошо себя чувствовали при употреблении и повышенного
количества белка в день, например, мяса до 337 г в сутки (Shah, 1953). Это все
крайние случаи, в питании следует придерживаться рекомендуемых норм.
Рекомендуемые нормы потребления основных пищевых веществ для основных
групп населения, выработанные российской научной школой питания, включают
73-120 г белка в сутки для мужчин и 60-90 г для женщин, в том числе белка
животного происхождения 43-65 и 43-49 г, соответственно. Нижняя граница
относится к тем, чья деятельность не связана с физическим трудом, верхняя - к
людям, испытывающим тяжелые физические нагрузки. В среднем, для взрослого
мужчины в возрасте 30 лет необходимый уровень потребления белка в пересчете на
азот равен 9,0-9,2 г в сутки на 1 кг массы тела. Потребность в белке для лиц,
перенесших тяжелые инфекции, хирургические вмешательства, имеющих заболевания
органов пищеварения, дыхания, увеличивается в среднем до 110-120 г в день, а в
высокобелковой диете, например, у диабетиков его количество может достигать
135-140 г. Белок ограничивается до 20-40 г в сутки при заболеваниях, связанных
с почечной недостаточностью, подагре и некоторых других.
Сегодня в мире существует дефицит пищевого белка и недостаток его в
ближайшие десятилетия, вероятно, сохранится. На каждого жителя Земли приходится
около 60 г белка в сутки, при норме 70 г. По данным Института питания РАМН,
начиная с 1992 г. в России потребление животных белковых продуктов снизилось на
25-35% и соответственно увеличилось потребление углеводсодержащей пищи
(картофеля, хлебопродуктов, макаронных изделий). Среднедушевое потребление
белка уменьшилось на 17-22%: с 47,5 до 38,8 г/сут белка животного происхождения
(49% против 55% рекомендуемых); в семьях с низким доходом потребление общего
белка в сутки не превышает 29-40 г.
Снижение употребления белка с пищей соответствует современным мировым
тенденциям снижения степени обеспеченности населения Земли белком. Общий
дефицит белка на планете оценивается в 10-25 млн т в год. Из 6 млрд человек,
живущих на Земле, приблизительно половина страдает от недостатка белка.
Нехватка пищевого белка является не только экономической, но и социальной
проблемой современного мира. Не во всех странах продукты животного
происхождения доступны широким слоям населения. В районах тропической Африки,
Латинской Америки и Азии, население которых занято тяжелым сельскохозяйственным
трудом, проблема обеспеченности белком яиц, мяса и молока особенно острая. Пока
животные белки будут оставаться ценным источником питания, экономически
развитым и богатым странам предстоит найти решение важной проблемы: с одной
стороны, это разработка рациональных способов хранения и сбыта избытка
продуктов животного происхождения, а с другой - поиск путей получения новых
ресурсов пищевого белка. В противном случае большая часть населения земного
шара будет употреблять в пищу только белки растительного происхождения,
отличающиеся неполноценным аминокислотным составом.
Традиционным путем увеличения ресурсов пищевого белка является повышение
производительности растениеводства и животноводства на основе технологий
возделывания зернобобовых, масличных и злаковых культур, употребляемых как
непосредственно в пищу, так и на корм скоту. Наибольшие количества белка, и
особенно лизина, обеспечивают посевы зернобобовых культур: сои, нута, чечевицы,
гороха, люпина. Однако, бобовые культуры, используемые непосредственно в пищу,
не являются традиционными для многих народов, к тому же трудно достичь высоких
урожаев и расширения площадей посева любой культуры в силу особенностей
почвенно-климатических условий выращивания и применения агротехнических
мероприятий.
Растительный рацион, содержащий полноценный белок в необходимом
количестве, может быть создан на основе использования пищевых продуктов,
полученных из разных источников. Например, кукуруза бедна триптофаном и лизином,
а бобовые - метионином, поэтому смесь, состоящая из кукурузы и соевых белковых
продуктов или овощей, обеспечивает поступление в организм
"качественного" белка. Возможность же использования однокомпонентного
состава диеты в пище человека повышается за счет практического применения
достижений генетики растений. В нашей стране и за рубежом выведены сорта
вы-соколизиновой кукурузы "Опейк-2", ячменя "Хайпроли",
сорго, пшеницы с повышенным количеством белка. Путем скрещивания, например, ячменя
"Хай-проли" с высокобелковыми мутантами, получены сорта с содержанием
лизина 4,5-4,8% и белка 13,5-15,5%. Создан гибрид ржи и пшеницы (тритикале) с
3,7% лизина и средним содержанием белка 13,4%.
В последние годы все большее внимание уделяется получению новых видов
белковой пищи, производство которых основано на использовании полноценных по
аминокислотному составу растительных белков. Научные и практические основы
производства пищевых изделий с применением белкового сырья растительного
происхождения для замены продуктов из натурального мяса, рыбы и птицы в нашей
стране заложены А. Несмеяновым с сотрудниками еще в 1971 г. Однако, учитывая
сложность и высокую стоимость отдельных стадий производства, данное направление
пищевой промышленности только зарождается.
Увеличение количества пищевого белка за счет животноводства является
менее перспективным путем, по сравнению с растениеводством. На получение 1 кг
животного белка, содержащегося в молоке, мясе и яйцах, требуется израсходовать
5-8 кг кормового белка. При этом коэффициенты трансформации растительных белков
в белки высокопродуктивных животных и птиц очень низкие (25-39%). В процессе
трофической (пищевой) цепи теряется 60-75% белка в непереваренных остатках
корма, неутилизированных в организме аминокислотах, выделяемых с мочой в виде
продуктов распада, в процессах обмена (движении, обновлении белков тканей и т.
д.) и через кожно-волосяные покровы. Особенно большие потери белков происходят
за счет затрат на их биосинтез, так как животные белки значительно отличаются
по аминокислотному составу от белков растений. Отсутствие у животных
способности синтезировать ряд аминокислот приводит к тому, что свои потребности
в последних они удовлетворяют за счет повышенного количества растительных
белков. Организм животного может синтезировать ряд недостающих аминокислот, но
только в ущерб деятельности гормональной и ферментативной систем. Отсюда
актуальным является сбалансированное кормление животных (отходы мясомолочной,
рыбной промышленности, соевый шрот и т.д.) в целях повышения коэффициента
трансформации белков в животноводческую продукцию.
В ближайшие годы растениеводство и животноводство, вероятно, будут
основными источниками пищевого белка, однако важное место в решении белковой
проблемы отводится и рыболовству. В то же время запасы морепродуктов
ограничены, поэтому поиск новых эффективных путей покрытия белкового дефицита с
учетом природных ресурсов каждой страны остается актуальным. Так, в недавнем
прошлом Россия была единственной страной, производящей микробиологический белок
для кормления животных - БВК. Из объема свыше 1 млн т/год 60% продукции
выпускалось на основе парафинов нефти, а 40% - на основе гидролиза-тов
древесины. Организация производства белка осуществлялась и с использованием
спирта и природного газа. Такие технологические процессы экономически выгодны
при отсутствии соевого белка для кормления животных. По содержанию незаменимых
аминокислот и витаминов дрожжевая масса не уступает, а иногда даже и
превосходит соевые белки. Добавка БВК в корма экономит фуражное зерно (5 т на 1
т БВК) и увеличивает привесы животных.
В решении проблемы дефицита белка за последние два десятилетия
определилось новое биотехнологическое направление - получение пищевых объектов
с повышенным содержанием и улучшенным качеством белка методами генетической
инженерии. Сущность генетической инженерии заключается в переносе генов любого
организма в клетку реципиента для получения растений, животных или
микроорганизмов с рекомбинированными генами, а следовательно, и с новыми
полезными свойствами. Растения, животные и микроорганизмы, полученные
генетической инженерией, называются генетически измененными, а продукты их
переработки - трансгенными пищевыми продуктами.
Генетическая инженерия, или рекомбинация in vitro, включает выделение
чужеродного гена ДНК, получение гибридных (рекомбинированных) молекул ДНК и
введение их в живые клетки модифицируемого, например, растения для получения
новых признаков организма.
ДНК растения предварительно подвергается гидролизу ферментом
ре-стриктазой в специфических участках двойной спирали, при этом на обоих
концах расщепленной молекулы становятся свободными четыре нук-леотида, в
которых азотистые основания представлены, например, ти-мином и аденином (ТТАА и
ААТТ) (рис. 2.2). Ген, который необходимо встроить в ДНК, "выщипывают"
из ДНК организма-донора с помощью того же фермента рестрикции так, чтобы его
концы были комплементарными нуклеотидными последовательностями на концах ДНК
модифицируемого организма (ААТТ и ТТАА). Обе ДНК "сшивают" вместе
ферментом лигазой. Полученную рекомбинантную ДНК вводят в клетку растения,
признаки которого хотят изменить. Клетка, размножаясь, образует клон,
содержащий чужеродный ген, индуцирующий синтез белка с новой аминокислотной
последовательностью.
Рис. 2.2. Введение гена в ДНК модифицируемого растения
Наиболее интенсивно проводятся работы с такими сельскохозяйственными
культурами как соя, пшеница, кукуруза, томаты, сахарная свекла, картофель,
хлопчатник, рапс. Практические разработки уже сейчас внедрены во многих странах
мира, увеличиваются площади под трансгенной соей, рисом, картофелем и ягодными
культурами (малина, клубника). С генетически измененной соей только в США
выпускается около 3000 пищевых продуктов: супов, рыбных консервов, детских каш,
соусов и т. д.
Продукты, полученные с использованием генов микроорганизмов и растений,
по сравнению с традиционными продуктами, содержат меньше пестицидов,
консервантов, остаточного количества тяжелых металлов, они не требуют обработки
химическими препаратами от вредителей. Трансгенная соя и кукуруза устойчивее к
сорнякам и насекомым, трансгенные томаты невосприимчивы к вирусным
заболеваниям, а ботва картофеля несъедобна для колорадского жука. Соя,
содержащая ген пшеницы, к примеру, имеет биологическую ценность 1,0 против 0,92
у традиционной, а картофель, полученный с пересаженным геном фасоли, содержит
повышенное количество белка (на 6%).
Одним из способов интенсификации производства продуктов питания с
повышенным содержанием качественного белка является внедрение урожайных сортов
растений, не подверженных влиянию пестицидов, гербицидов, инсектицидов, но
обладающих рядом других полезных свойств (морозоустойчивость,
засухоустойчивость, отсутствие способности к полеганию, определенные размеры
семян и повышенная биологическая ценность).
С помощью генетически измененных бактерий получают ферменты, которые
применяются при производстве глкжозного сиропа из крахмала, при производстве
кондитерских, хлебобулочных изделий (амилазы), соков и вин (пектиназы). При
этом улучшаются физико-химические и органолептические показатели качества
пищевых продуктов.
Потребление генетически модифицированных продуктов находится под
контролем специальных органов, так как введение в организм растений генов,
ответственных за синтез белков, например, альбуминов молока, яиц и т.д.,
заключает в себе опасность употребления в пищу продуктов питания, непереносимых
определенной группой людей (пищевая аллергия). Это может быть связано с
появлением антиалиментарных и токсичных веществ, определяемых свойствами
переносимых генов. При условии пересадки генов из микроорганизмов может
синтезироваться белок с низкой усвояемостью.
Подходы к оценке безопасности и качества генетически модифицированных
объектов в различных странах разные и по содержанию и объему, но во всех них
разрабатываются специальные методы и критерии. Так, в России принят закон
"О государственном регулировании в области генной инженерной
деятельности" и создана специальная Комиссия во главе с главным санитарным
врачом РФ, задача которой состоит в разработке подзаконных актов и методик для
контроля общей безопасности трансгенных продуктов. С учетом выполненных
комплексных мер, в РФ разрешена для использования в питании населения соя линии
40-3-2 ("Мон-санто Ко", США) и белковый концентрат из нее. Длительное
включение белкового концентрата из генетически модифицированной сои в рацион
крыс не сопровождалось изменениями состояния мембран клеток печени и активности
ферментных систем, участвующих в защитно-адап-ционных процессах.
Таким образом признано, что ликвидация в питании человека дефицита белка
всеми эффективными методами, включая генетическую инженерию, является одной из
насущных проблем нашего столетия.
.2
БЕЛКОВО-КАЛОРИЙНАЯ НЕДОСТАТОЧНОСТЬ И ЕЕ ПОСЛЕДСТВИЯ. ПИЩЕВЫЕ АЛЛЕРГИИ
Белковая недостаточность является важнейшей проблемой питания. Бедно
живущие семьи на фоне недостаточно калорийной пищи потребляют мало белка, в
результате чего возникает синдром дистрофии, который называется квашиоркором.
Богатая белком пища дорого стоит, поэтому не все слои населения могут ею
постоянно питаться. Кваши-оркор у человека развивается при частичном (или
полном) голодании и при потреблении неполноценных белков. Заболевание
сопровождается нарушением функции кишечника, так как с надлежащей скоростью не
синтезируются ферменты поджелудочной железы и не обновляются клетки его
слизистой оболочки. Возникает порочный круг ква-шиоркора, характеризующийся
прекращением процесса усвоения белка пищи. В организме развивается
отрицательный азотистый баланс, нарушается водно-солевой обмен, появляется
атония мышц и остановка роста. Пищевая дистрофия особенно опасна для младенцев.
Ква-шиоркор может сопровождаться их гибелью от диареи, острых инфекций,
заболеваний печени и отставанием в физическом и умственном развитии. Резкое
снижение синтеза белка в печени на фоне недостаточного поступления его в
организм уменьшает количество сывороточного альбумина, липопротеидов низкой
плотности (ЛНП) и гемоглобина в крови (рис. 2.3).
Наряду с общими нарушениями обмена аминокислот в организме существуют
специфические изменения некоторых из них. Так,
Рис. 2.3. Порочный круг при квашиоркоре
нарушения обмена гистидина выражаются в снижении активности фермента
гистидинаммиакилазы и повышении активности гистидиндекарбокси-лазы. Это
вызывает, в свою очередь, накопление избытка гистидина в тканях. При недостатке
триптофана снижается синтез никотиновой кислоты и накапливается ксантуреновая
кислота, которая угнетает р-клетки островков Лангерганса поджелудочной железы,
провоцируя тем самым возникновение диабета.
Тяжелые последствия недостаточного поступления белка в организм человека
невозможно лечить терапевтическими методами, поэтому предоставление всем
нуждающимся материальной помощи для употребления в пищу белковых добавок может
решить проблему охраны и сохранения здоровья людей как в детском, так и в
зрелом возрасте. Использование в рационе полноценного животного белка или
сбалансированных растительных белковых смесей необходимо для исключения
необратимых отклонений в здоровье человека.
Отрицательную роль для человека играют пищевые аллергии, связанные с
непереносимостью организмом отдельных видов белковой пищи (молоко, яйца, орехи,
белки некоторых злаков). Термин "аллергия" происходит от двух
греческих слов: "аллос" - другой и "эргон" - действие. При
нормальном пищеварении белки расщепляются в желудочно-кишечном тракте до
аминокислот, которые не являются антигенами (аллергенами) и не вызывают
ответной иммунной (защитной) реакции. Если в кровяное русло без предварительного
расщепления через эпителий кишечника проникает незначительное количество белков
пищи, то в организме поддерживается как бы тренинг иммунной системы для защиты
от действия чужеродных компонентов. При значительном поступлении в кровяное
русло аллергенов возникает острая реакция, проявляющаяся в зуде, кожных
высыпаниях или желудочно-кишечных расстройствах. Природа таких реакций до конца
не выяснена. Предотвратить пищевую аллергию у младенцев возможно грудным
вскармливанием или нагреванием некоторых белков до 120°С, однако наиболее
эффективным способом борьбы является исключение аллергена из диеты.
.3
АМИНОКИСЛОТЫ И ИХ НЕКОТОРЫЕ ФУНКЦИИ В ОРГАНИЗМЕ
Общее число встречающихся в природе аминокислот достигает около 300.
Среди них различают: а) аминокислоты, входящие в состав белков; б)
аминокислоты, образующиеся из других аминокислот, но только после включения
последних в процесс синтеза белка (их обнаруживают в гидролизатах белков); в)
свободные аминокислоты. С точки зрения питания выделяют эссенциальные (незаменимые)
аминокислоты. Эти аминокислоты не могут синтезироваться в организме человека и
должны поступать с пищей.
Аминокислоты - полифункциональные соединения, содержащие по меньшей мере
две разные химические группировки, способные реагировать друг с другом с
образованием ковалентной пептидной (амидной) связи:
В аминокислотах амино- (-NH2) и карбоксильная (-СООН) группы присоединены
к одному и тому же атому углерода, который называют а-углеродом. Природа
боковых цепей 20 протеиногенных аминокислот приведена на рис. 2.4.
Для объяснения и понимания свойств аминокислот следует помнить следующее.
. Аминокислоты, существуя в твердом или растворенном состоянии, всегда
находятся в форме биполярных ионов (цвиттерионов), положение равновесия которых
зависит от рН среды:
Нахождение аминокислот в виде ионов обуславливает растворимость в воде и
нерастворимость в неполярных жидкостях. Большинство аминокислот растворимы в
воде, но у аминокислот с гидрофобными группами (изолейцин, лейцин, тирозин)
растворимость относительно невысока. В организме ионное состояние аминокислот
определяет их всасываемость в желудочно-кишечном тракте после гидролитического
расщепления белков и транспорт к различным органам и тканям. Способность к
ионизации в кислой или щелочной среде лежит в основе разделения аминокислот
ионообменной хроматографией и электрофорезом.
А. Гидрофобные аминокислоты (с неполярными радикалами):
Б. Полярные аминокислоты
Б1. С гидрофильными радикалами (неионогенные):
Б2. Кислые (ионогенные):
Б3. Основные (ионогенные):
Рис. 2.4. Боковые цепи аминокислот, входящих или способных включаться в
состав белков (курсивом выделены названия незаменимых аминокислот)
. Большинство природных а-аминокислот относятся к L-стереохи-мическому
ряду, однако в некоторых пептидах (антибиотики грамицидин, актиномицин)
встречаются аминокислоты D-ряда. Последние, как правило, не усваиваются
организмом человека. Аминокислоты D- и L-рядов значительно отличаются по вкусу.
Так, D-глутаминовая кислота не имеет вкуса, а L-глутаминовая кислота обладает
вкусом мяса. Получая последнюю из клейковины пшеницы, ее используют в качестве
вкусовой добавки к пищевым концентратам. Сладкий вкус имеют и другие
аминокислоты L-ряда: валин, треонин, пролин, серии и т. д. Они все в большей
степени привлекают к себе внимание как заменители сахара в питании диабетиков.
. Аминокислоты отличаются друг от друга структурой боковых цепей, от
которой зависят химические, физические свойства и физиологические функции
белков в организме. Аминокислоты с гидрофобными боковыми группами большей
частью локализованы внутри белковых макромолекул, тогда как аминокислоты с полярными
боковыми группами располагаются на их поверхности. В составе полярных
а-аминокислот имеются функциональные группы, способные к ионизации (ионогенные)
и не способные переходить в ионное состояние (неионогенные). При этом кислые и
основные ионогенные группы радикалов, как правило, располагаясь на поверхности
молекул белков, принимают участие в ионных (электростатических)
взаимодействиях. В роли полярных неионогенных групп в молекулах белков
выступают гидроксильные группы серина, треонина и амидные группы глутамина
(Глн) и аспарагина (Асн). Эти группы могут располагаться как на поверхности,
так и внутри белковой молекулы, и принимать участие в образовании водородных
связей с другими полярными группировками.
Почти все а-аминокислоты, поступающие из пищеварительного тракта человека
в кровяное русло организма, претерпевают ряд общих превращений, назначение
которых заключается в обеспечении пластическим материалом процесса синтеза
белков и пептидов и осуществлении дыхания с образованием АТФ (рис. 2.5). В основе
таких превращений лежат реакции дезаминирования, трансаминирования и
декарбоксили-рования. Эти реакции подробно рассматриваются в курсе биохимии,
здесь же остановимся на специфических путях обмена и модификации отдельных
а-аминокислот.
В тканях организма легко осуществляется ферментативная
окислительно-восстановительная реакция, обусловленная наличием в цистеи-не
реакционноспособной SH-группы:
Свойство данной аминокислоты окисляться придает ей защитные и
радиопротекторные свойства. В присутствии цистеина снижается интенсивность
окислительных процессов в липидах и белках, повышается устойчивость организма к
ионизирующим излучениям и стабилизируется качество принимаемых лекарственных
препаратов. При участии двух остатков цистеина в полипептидных цепях образуются
дисульфидные связи, которые обуславливают биологическую активность или
функциональные свойства белков в составе пищи. Особо важную роль дисульфидные
связи играют в белках пшеницы, так как они придают клейковине упругие свойства
(см. Белки злаков).
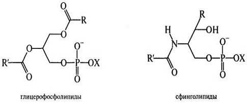
Основная физиологическая роль другой серосодержащей аминокислоты -
метионина - связана с наличием лабильной метальной группы. Отдавая группу - СН3
через образование S-аденозилметионина, метио-нин принимает участие в синтезе
глицерофосфолипидов:
В приведенных реакциях синтеза глицерофосфолипидов видна физиологическая
роль и аминокислоты серии, которая, как и треонин, в этерифицированном виде при
участии фосфорной кислоты в большом количестве входит в состав сложных белков -
фосфопротеидов (казеина молока и вителлина яйца):
Серии в свою очередь синтезируется из глицина под действием фермента,
содержащего тетрагидрофолевую кислоту (ТГФК). Эта реакция изучена с помощью
метода меченых атомов:
Глицин является предшественником пуринового кольца тема крови и образует
так называемые парные соединения. С желчными кислотами, например холевой
кислотой, он образует гликохолевую кислоту, с бензойной кислотой - гиппуровую
кислоту:
Гликохолевая кислота принимает участие в процессе усвоения липи-дов, а в
форме гиппуровой кислоты из организма выводится токсичная бензойная кислота.
Три аминокислоты - аргинин, глицин и метионин - участвуют в синтезе
креатина - соединения, с помощью которого в мышечной ткани происходит
непрерывный ресинтез макроэрга АТФ:
При участии креатина в организме человека и животных образуется
креатинфосфат, который по мере необходимости отдает свою фосфатную группу
молекулам АДФ, превращаясь в креатинин:
Креатин и циклический креатинин входят в состав мясного экстракта, их
соотношение зависит от рН среды и температуры. Так, при нагревании мяса в
кислой среде в экстракте преобладает креатинин.
В составе живых организмов, пищевых продуктов и сырья встречаются и
другие, так называемые "редкие", аминокислоты, не входящие в состав
белков. Так, β-аланин является составной частью мясных бульонов, а бетаин -
мелассы - отхода свеклосахарного производства:
Аминокислоты цитруллин и орнитин участвуют вместе с аргинином в цикле
образования мочевины у человека и животных. Фундаментальную роль в обмене
веществ живых организмов играют глутаминовая и аспарагиновая кислоты. Они
участвуют в процессах расщепления, синтеза и переноса, часто в форме амидов:
Глутамин, например, является основной формой переноса аммиака в крови
человека и вместе с аспарагиновой кислотой служит предшественником
пиримидинового кольца нуклеотидов. Азот 1 происходит из аспарагиновой кислоты,
азот 3 - из глутамина, углерод 4, 5, 6 кольцу отдает аспарагиновая кислота, а
углерод 2 происходит от СО2. Предварительно молекула СО2 и амидная группа
глутамина образуют карбамоилфосфат:
Реакции декарбоксилирования глутаминовой кислоты с образованием γ-аминомасляной кислоты, относящейся к
группе медиаторов, отводится важная роль в обмене веществ мозга и нервной
ткани.
С обменом глутаминовой кислоты тесно связан обмен пролина, который
синтезируется из нее в результате восстановления пролиндегид-рогеназой. Пролин
играет важную роль при формировании структуры коллагена и белков пшеничной
клейковины, вызывая изгибы в полипептидных цепях. В фибриллярных белках
соединительной ткани мяса и коллагене, наряду с пролином, встречаются
4-оксипролин и 5-окси-лизин, образующиеся за счет окисления соответствующих
аминокислот уже после включения в белок. Присутствие оксипролина в мясных и
колбасных изделиях оказывает влияние на их качество и учитывается при его
оценке.
Тирозин является ответственным за окраску волос, кожи, глаз, за темный
цвет пищевых продуктов (например, ржаного хлеба), так как с его участием
синтезируются темноокрашенные пигменты - меланины. Механизм реакции до конца не
изучен, но известны первые этапы их синтеза. Под действием медьсодержащего
фермента тирозин превращается в диоксифенилаланин (ДОФА), который далее
окисляется, циклизуется, образуя индолхинон. Полимеризация последнего приводит
к синтезу меланинов:
Образование меланинов усиливается под влиянием ультрафиолетовых лучей
(при загаре) и может быть причиной злокачественных новообразований. При
наследственном заболевании - альбинизме, характеризующемся отсутствием фермента
тирозиназы, наоборот, не наблюдается пигментации кожи, волос, но присутствует
боязнь света. Сам же тирозин образуется из фенилаланина. В здоровом организме
реакция синтеза тирозина протекает с участием двухкомпонентного фермента
фенилала-нингидроксилазы по схеме:
При наследственном заболевании фенилкетонурией у человека происходит
мутация гена, который кодирует синтез одного из компонентов фермента,
содержащего в качестве переносчика водорода соединение биоптерин.
Наследственная аномалия, сопровождающаяся тяжелой умственной отсталостью,
характеризуется превращением фенилаланина не по указанному выше пути, а по типу
переаминирования с избыточным накоплением фенилпировиноградной кислоты в моче:
Снизить степень умственной отсталости, особенно у детей в раннем возрасте,
можно с помощью понижения содержания фенилаланина в пище, чтобы избыток
последнего не оказывал токсического действия на клетки головного мозга.
Известен и ряд других врожденных заболеваний, связанных с нарушением обмена
аминокислот. Так, алкаптонурия возникает в результате недостатка оксидазы
гомогентизиновой кислоты - продукта обмена тирозина, гиперпролинемия - из-за
недостатка фермента пролиноксидазы, а цитруллинемия обусловлена нарушением
цикла образования мочевины, так как в организме не синтезируется
аргинин-сукцинатсинтетаза.
Незаменимая аминокислота триптофан служит предшественником никотиновой
кислоты, НАД и НАДФ, серотонина и индолилуксусной кислоты - гормона роста
растений. Серотонин, обладая сосудосуживающим действием, синтезируется в
клетках кишечника и нервной ткани. Из организма он выводится в виде
гидрооксииндолилуксусной кислоты (ГИУК):
Из тирозина и триптофана, содержащихся в пище, при участии микробных
ферментов в кишечнике образуются ядовитые продукты - крезол, фенол, скатол,
индол, обезвреживание которых происходит в печени путем связывания с серной или
глюкуроновой кислотой с образованием нетоксичных (парных) кислот, например
фенолсерной кислоты.
В результате декарбоксилирования аминокислот в организме образуются
некоторые важные биогенные амины. Образование и роль этанола-мина, серотонина и
γ-аминомасляной кислоты уже
рассмотрено. Здесь же отметим, что декарбоксилирование аспарагиновой кислоты
обеспечивает синтез р-аланина, являющегося составной частью биологически
активных соединений - КоА и АПБ, а декарбоксилирование лизина и орнитина под
влиянием ферментов кишечной микрофлоры приводит к образованию ядовитых диаминов
- кадаверина и путресцина. В здоровом организме оба амина полностью
обезвреживаются в слизистой оболочке кишечника.
Часть аминокислот выполняет роль медиаторов - веществ, принимающих
участие в передаче нервных импульсов от одной нервной клетки к другой. При
раздражении нервных волокон медиаторы реагируют со специфическим рецептором и
обеспечивают соответствующую физиологическую функцию: регуляцию сна,
бодрствования, сердечно-сосудистой деятельности, терморегуляцию тела. К
медиаторам относятся ацетилхолин, глутаминовая и аспарагиновая кислота, глицин,
ГАМК, ги-стамин, серотонин, норадреналин.
Таким образом, приведенные сведения показывают, какую большую роль играют
аминокислоты в синтезе важнейших физиологически активных соединений в организме
и обеспечении некоторых свойств пищевого сырья и продуктов. Обобщенная схема
представлена на рис. 2.6.
.4
НЕЗАМЕНИМЫЕ АМИНОКИСЛОТЫ. ПИЩЕВАЯ И БИОЛОГИЧЕСКАЯ ЦЕННОСТЬ БЕЛКОВ
Все живые организмы различаются по способности синтезировать
аминокислоты, необходимые для биосинтеза белков. В организме человека
синтезируется только часть аминокислот, другие должны доставляться с пищей.
Первые из них называются заменимыми, вторые - незаменимыми (см. рис. 2.4).
Заменимые аминокислоты способны заменять одна другую в рационе, так как они
превращаются друг в друга или синтезируются из промежуточных продуктов
углеводного или липидного обмена. Для незаменимых аминокислот такие пути обмена
существуют только у растений и некоторых микроорганизмов, например Е. coli.
Жизнедеятельность человека обеспечивается ежедневным потреблением с пищей
сбалансированной смеси, содержащей восемь незаменимых аминокислот и две
частично заменимые. Незаменимые представлены аминокислотами с разветвленной
цепью углерода - лейцином, изо-лейцином и валином, ароматическими -
фенилаланином, триптофаном и алифатическими - треонином, лизином и метионином.
Так как из ме-тионина и фенилаланина в организме синтезируется цистеин и
тирозин, соответственно, то наличие в пище в достаточном количестве этих двух
заменимых аминокислот сокращает потребность в незаменимых предшественниках.
К частично заменимым аминокислотам относят аргинин и гистидин, так как в
организме они синтезируются довольно медленно. Недостаточное потребление
аргинина и гистидина с пищей у взрослого человека в целом не сказывается на
развитии, однако может возникнуть экзема или нарушиться синтез гемоглобина. В
аргинине и гистидине особенно нуждается молодой организм.
Отсутствие в пище хотя бы одной незаменимой аминокислоты вызывает
отрицательный азотистый баланс, нарушение деятельности центральной нервной
системы, остановку роста и тяжелые клинические последствия типа авитаминоза.
Нехватка одной незаменимой аминокислоты приводит к неполному усвоению других.
Данная закономерность подчиняется закону Либиха, по которому развитие живых
организмов определяется тем незаменимым веществом, которое присутствует в
наименьшем количестве.
Зависимость функционирования организма от количества незаменимых
аминокислот используется при определении биологической ценности белков
химическими методами. Наиболее широко используется метод X. Митчела и Р. Блока
(Mitchell, Block, 1946), в соответствии с которым рассчитывается показатель
аминокислотного скора (а.с.). Скор выражают в процентах или безразмерной
величиной, представляющей собой отношение содержания незаменимой аминокислоты
(а.к.) в исследуемом белке к ее количеству в эталонном белке. При расчете скора
(в %) формула выглядит следующим образом:
Аминокислотный скор =
|
мг а. к. в 1 г белка
|
|
мг а. к. в 1 г эталона
|
× 100
Аминокислотный состав эталонного белка сбалансирован и идеально
соответствует потребностям организма человека в каждой незаменимой кислоте,
поэтому его еще называют "идеальным". В 1973 г. в докладе ФАО и ВОЗ
опубликованы данные по содержанию каждой аминокислоты в эталонном белке. В 1985
г. они были уточнены в связи с накоплением новых знаний об оптимальном рационе
человека (табл. 2.1).
Аминокислота, скор которой имеет самое низкое значение, называется первой
лимитирующей аминокислотой. Значение скора этой аминокислоты определяет
биологическую ценность и степень усвоения белков. Наглядно показатель
биологической ценности можно изобразить в виде самой низкой доски бочки Либиха
на примере белков пшеницы (рис. 2.7). Полная емкость бочки соответствует
"идеальному" белку, а высота доски лизина - биологической ценности
пшеничного белка.
Таблица 2.1. Рекомендуемые составы и суточная потребность человека в
незаменимых аминокислотах (мг/г белка)
|
Незаменимые аминокислоты
|
ФАО/ВОЗ (1985 г.)
|
ФАО/ВОЗ (1973 г.) Взрослые
|
Мг/кг массы тела
|
|
Дети 2.. .5 лет
|
Дети 10.. .12 лет
|
Подростки
|
|
|
|
Изолейцин
|
28
|
28
|
13
|
40
|
10
|
|
Лейцин
|
66
|
44
|
19
|
70
|
14
|
|
Лизин
|
58
|
44
|
16
|
55
|
12
|
|
Метионин + цистин
|
25
|
22
|
17
|
35
|
13
|
|
Фенилаланин + тирозин
|
63
|
22
|
19
|
60
|
14
|
|
Треонин
|
34
|
28
|
9
|
40
|
7
|
|
Триптофан
|
11
|
9
|
5
|
10
|
3,5
|
|
Валин
|
35
|
25
|
13
|
50
|
10
|
Другой метод определения биологической ценности белков заключается в
определении индекса незаменимых аминокислот (ИНАК). Метод представляет собой
модификацию метода химического скора (Oser, 1951) и позволяет учитывать
количество всех незаменимых кислот. Индекс рассчитывают по формуле:
где п - число аминокислот; индексы б,э - содержание аминокислоты в
изучаемом и эталонном белке, соответственно.
Помимо химических методов на практике широко применяют биологические
методы с использованием микроорганизмов и животных. Основными показателями
оценки при этом являются привес (рост животных) за определенный период времени,
расход белка и энергии на единицу привеса, коэффициенты переваривае-мости и
отложения азота в теле, доступность аминокислот. Показатель, определяемый
отношением привеса животных (в г) к количеству потребляемого белка (в г),
разработан П. Осбор-ном (Osborn, 1919) и носит название коэффициента
эффективности белка (КЭБ). Для сравнения при определении показателя используют
контрольную группу животных со стандартным белком - казеином, в количестве,
обеспечивающем в рационе 10% белка. В опытах на крысах эффективность
казеинового белка равна 2,5. Каждый из методов имеет как преимущества, так и
недостатки.
Животные и растительные белки заметно отличаются по биологической
ценности. Аминокислотный состав животных белков близок к аминокислотному
составу белков человека. Животные белки являются полноценными, тогда как
растительные - из-за относительно низкого содержания в них лизина, триптофана,
треонина и других по сравнению с мясом, молоком и яйцами - неполноценны. В
табл. 2.2 приводится содержание незаменимых аминокислот, включая лимитирующие,
в наиболее распространенных пищевых продуктах. С помощью этих данных можно
ориентировочно составлять пищевой рацион, комбинируя белки различного
происхождения в целях дополнения их по аминокислотному составу. Белки пшеницы,
например, содержат недостаточное количество лизина (первая лимитирующая
кислота) и треонина (вторая лимитирующая кислота), но эти аминокислоты в
избытке присутствуют в казеине молока. С другой стороны, нехватка в казеине
серосодержащих аминокислот компенсируется содержанием их в белках пшеницы.
Важно помнить, что при избыточном потреблении животных белков в организм
поступает повышенное количество насыщенных жирных кислот и холестерина. Поэтому
целесообразнее составлять диету, содержащую достаточное количество
растительного белка, но из разных его источников. Например, смесь кукурузы с
фасолью обеспечит комплементарный состав белка и ликвидирует дефицит
триптофана, лизина, метионина. Следует помнить, что сохранение нормального веса
и работоспособности человека обеспечивается не только количеством и
соотношением незаменимых аминокислот, но и содержанием общего азота. При его
недостаточном количестве биологическая ценность белков понижается.
Наряду с аминокислотным составом биологическая ценность белков
определяется и степенью их усвоения после переваривания. Степень переваривания,
в свою очередь, зависит от структурных особенностей, активности ферментов,
глубины гидролиза в желудочно-кишечном тракте и вида предварительной обработки
белков в процессах приготовления пищи (тепловой, гидротермической, в поле СВЧ и
т. д.). Так, белки кожи и кератин волос из-за фибриллярной структуры вообще не
используются человеком, несмотря на их близкий аминокислотный состав к составу
белков тела. Тепловая обработка, разваривание, протирание и измельчение
ускоряют переваривание белка, особенно растительного, тогда как нагревание при
очень высоких температурах (свыше 100°С) затрудняет его.
Животные белки имеют более высокую усвояемость, чем растительные. Из
животных белков в кишечнике всасывается более 90% аминокислот, а из
растительных - только 60-80%. В порядке убывания
Таблица 2.2. Биологическая ценность важнейших белоксодержащих продуктов
питания и содержание в них незаменимых аминокислот (мг/100 г)
|
Пищевые продукты
|
Белок, %
|
Лимитирующие аминокислоты
|
Иле
|
Лей
|
Лиз
|
Мет
|
Цис
|
Фен
|
Тир
|
Три
|
Тре
|
Вал
|
|
|
первая
|
вторая
|
|
|
|
|
|
|
|
|
|
|
|
Молоко
|
3,2
|
Мет 97
|
-
|
189
|
283
|
261
|
83
|
26
|
175
|
184
|
50
|
153
|
191
|
|
Говядина
|
21,6
|
Вал 92
|
-
|
939
|
1624
|
1742
|
588
|
310
|
904
|
800
|
273
|
875
|
1148
|
|
Куры
|
18,2
|
Иле 95
|
Вал 96
|
693
|
1412
|
1588
|
471
|
224
|
744
|
641
|
126
|
885
|
877
|
|
Рыба (треска)
|
16
|
-
|
-
|
700
|
1300
|
1500
|
500
|
200
|
800
|
600
|
210
|
900
|
900
|
|
Яйцо (белок)
|
11,1
|
-
|
-
|
628
|
917
|
683
|
413
|
277
|
673
|
397
|
169
|
483
|
735
|
|
Картофель
|
2
|
Мет 68
|
Лей 90
|
86
|
128
|
135
|
26
|
97
|
98
|
90
|
28
|
97
|
122
|
|
Соя
|
34,9
|
Мет 87
|
-
|
1810
|
2670
|
2090
|
520
|
550
|
1610
|
1060
|
450
|
1390
|
2090
|
|
Мука пшеничная (высший
сорт)
|
10,3
|
Лиз 43
|
Тре 75
|
430
|
806
|
250
|
153
|
200
|
500
|
250
|
100
|
311
|
471
|
|
Мука ржаная (обойная)
|
10,7
|
Лиз 61
|
Тре 74
|
400
|
690
|
360
|
150
|
210
|
600
|
290
|
130
|
320
|
520
|
|
Крупа рисовая
|
7
|
Лиз 67
|
Тре 85
|
330
|
620
|
260
|
160
|
137
|
370
|
290
|
100
|
240
|
420
|
|
Крупа гречневая
|
12,6
|
Лиз 76
|
Тре 79
|
460
|
745
|
530
|
320
|
330
|
592
|
430
|
180
|
400
|
590
|
скорости усвоения белков в желудочно-кишечном тракте пищевые продукты
располагаются следующим образом: рыба > молочные продукты > мясо >
> хлеб > крупы. Одной из причин более низкой усвояемости растительных
белков является их взаимодействие с полисахаридами (целлюлозой,
гемицеллюлозами), которые затрудняют доступ пищеварительных ферментов к
полипептидам.
При недостатке в пище углеводов и жиров требования к белку (как носителю
пищевой ценности) особенно возрастают, так как наряду с биологической ролью он
начинает выполнять и энергетическую роль. С другой стороны, при избыточном
содержании белков (на фоне необходимого количества основных энергетических
компонентов) возникает опасность синтеза липидов и ожирения организма.
.5 СТРОЕНИЕ
ПЕПТИДОВ И БЕЛКОВ. ФИЗИОЛОГИЧЕСКАЯ РОЛЬ ПЕПТИДОВ
До середины XX в. считалось, что пептиды не являются самостоятельным
классом органических соединений, а представляют собой продукты неполного
гидролиза белков, которые образуются в ходе переваривания пищи, в
технологическом процессе или при хранении пищевых продуктов. И только после
того как В. Дю Виньо (1953) определил последовательность остатков аминокислот двух
гормонов задней доли гипофиза - окситоцина и вазопрессина - и воспроизвел их
синтез химическим путем, появилась новая точка зрения на физиологическую роль и
значение данной группы соединений. Сегодня обнаружено большое количество
пептидов, которые обладают индивидуальной последовательностью аминокислот и
даже не встречаются в гидролизатах природных белков.
Пептиды имеют невысокую молекулярную массу, широкий набор аминокислотных
остатков (в их состав входят, например, D-аминокис-лоты) и структурные особенности
(циклические, разветвленные). Названия пептидов образуются из названий
аминокислотных остатков путем последовательного их перечисления, начиная с
КН2-концевого остатка, с добавлением суффикса -ил, кроме С-концевой
аминокислоты, название которой остается без изменений.
В природе существует два вида пептидов, один из которых синтезируется и
выполняет физиологическую роль в процессе жизнедеятельности организма, другой
образуется за счет химического или ферментативного гидролиза белков в организме
или вне его. Пептиды, образующиеся в процессе гидролиза вне организма (in
vitro), широко используются для анализа аминокислотной последовательности
белков. С помощью пептидов расшифрована аминокислотная последовательность
фермента лизоцима, гормона поджелудочной железы инсулина (Сэнджер),
нейротоксина яда кобры (Ю. Овчинников и др.), аспартатаминотрансферазы (А.
Браунштейн и др.), пепсиногена и пепсина (В. Степанов и др.), лактогенного
гормона быка (Н. Юдаев) и других биологически активных соединений организма.
Ферментативное образование пептидов происходит в желудочно-кишечном
тракте человека в процессе переваривания белков пищи. Оно начинается в желудке
под действием пепсина, гастриксина и заканчивается в кишечнике при участии
трипсина, химотрипсина, амино- и кар-боксипептидаз. Распад коротких пептидов
завершается ди- и трипепти-дазами с образованием свободных аминокислот, которые
расходуются на синтез белков и других активных соединений. Гидролиз белка в
желудочно-кишечном тракте обеспечивает структуру радикалов концевых
аминокислот, зависящую от места приложения фермента (свойство специфичности).
Так, при разрыве белка пепсином пептиды в качестве N-кон-цевых аминокислот
содержат фенилаланин и тирозин, а в качестве С-концевых - глутаминовую кислоту,
метионин, цистин и глицин. Пептиды, образующиеся из белка при участии трипсина,
в качестве С-конце-вых аминокислот содержат аргинин и лизин, а при действии
химотрипсина - ароматические аминокислоты и метионин.
Для многих природных пептидов установлена структура, разработаны методы
синтеза и установлена их роль. На рис. 2.8 отображены физиологическое значение
и функциональная роль наиболее распространенных групп пептидов, от которых
зависят здоровье человека и органолептические и санитарно-гигиенические
свойства пищевых продуктов.
Пептиды-буферы. В мышцах различных животных и человека обнаружены
дипептиды - карнозин и ансерин, выполняющие буферные функции за счет входящего
в их состав имидазольного кольца гисти-дина. Отличительной особенностью
пептидов является присутствие в них остатка
р-аланина:N-р-аланил-L-гистидин-СООН
карнозин
β-аланил-N-метил-L-гистидин.
ансерин
Синтез дипептидов-буферов осуществляется по схеме без участия рибосом:
β-аланин + АТФ + фермент ↔
фермент-β-аланиладенилат + дифосфат;
фермент-β-аланиладенилат + L-гистидин -" → β-аланил-L-гистидин + АМФ + фермент.
Карнозин и ансерин являются составной частью экстрактивных веществ мяса.
Содержание их в последнем достигает 0,2-0,3% от сырой массы продукта.
Пептиды-гормоны. Гормоны - вещества органической природы, вырабатываемые
клетками желез внутренней секреции и поступающие в кровь для регуляции
деятельности отдельных органов и организма в целом. Гормоны окситоцин и
вазопрессин выделяются задней долей гипофиза (придаток мозга). Они содержат по
9 аминокислотных остатков, одну дисульфидную связь и на С-конце - амидную
группу -CONH2:
Регуляторная функция обоих гормонов заключается в стимуляции сокращения
гладкой мускулатуры организма и секреции молока молочными железами. Различия в
природе остатков аминокислот в положении 3 и 8 дополнительно наделяют
вазопрессин способностью регулировать водный баланс, осмотическое давление в
крови и стимулировать процессы запоминания.
Гормоны гипоталамуса, в котором эндокринный аппарат взаимодействует с
высшими отделами ЦНС, являются низкомолекулярными пептидами. Так, тиролиберин
представлен трипептидом, состоящим из пи-роглутаминовой (циклической) кислоты,
гистидина и пролинамида (Пи-роглу - Гис - Про - NH2), люлиберин является
декапептидом (Пиро-глу - Гис - Три - Сер - Тир - Гли - Лей - Apr - Про - Гли -
NH2), а соматостатин - циклическим тетрадекапептидом:
Гипоталамические гормоны участвуют в процессе высвобождения гормонов
передней доли гипофиза. Тиролиберин, например, контролирует освобождение
тиротропина - гормона, принимающего участие в регуляции деятельности щитовидной
железы, соматостатин регулирует активность гормона роста (соматропина), а
люлиберин участвует в регуляции выделения лютропина - гормона, влияющего на
деятельность половых органов. Многие из гормонов (окситоцин, тиролиберин,
пролактин - гормон передней доли гипофиза и гонадолиберин - гормон
гипоталамуса) присутствуют в молоке жвачных животных и кормящих матерей.
Нейропептиды. В последние годы в отдельную группу выделяют более 50
пептидов, содержащихся в мозге человека и животных. Эти вещества определяют
реакции поведения (боязнь, страх), влияют на процессы запоминания, обучения,
регулируют сон, снимают боль. Нейропептиды, называемые эндорфинами и
энкефалинами, являются производными β-липотропного гормона гипофиза,
состоящего из 91 остатка аминокислот. β-Эндорфин представляет фрагмент
гормона с 61-го по 91-й, у-эндорфин - с 61-го по 77-й, а а-эндорфин - с 61-го
по 76-й остаток аминокислот. Энкефалины являются пентапептидами следующего
строения:
|
Тир - Гли - Гли - Фен - Мет
|
Тир - Гли - Гли - Фен - Лей
|
|
метионинэнкефалин
|
лейцинэнкефалин
|
Во всем мире сегодня интенсивно проводятся работы по выделению и изучению
нейропептидов, целью которых является получение искусственным путем
биологически активных соединений для использования их в качестве лекарств.
Вазоактивные пептиды. К группе пептидов, оказывающих влияние на тонус
сосудов (вазоактивные), относятся брадикинин, кал-лидин и ангиотензин. Первый
пептид содержит 9 остатков аминокислот, второй - 10, а третий - 8. Все они
синтезируются из неактивных белковых предшественников в результате процесса
постгрансляционной модификации. Например, ангиотензин, обладающий
сосудосуживающими свойствами, образуется из белка сыворотки ангиотензиногена
при последовательном действии протеолитических ферментов:
Пептидные токсины. Пептидную природу имеет ряд токсинов, вырабатываемых
микроорганизмами, ядовитыми грибами, пчелами, змеями, морскими моллюсками и
скорпионами. Идентифицировано 5 энтеротоксинов, продуцируемых бактериями
Staphylococcus aureus (А, В, С, D и Е) и 7 нейротоксинов (от А до G),
вырабатываемых Clostridium botulinum. Стафилококковые токсины, имея в своем
составе 239-296 остатков аминокислот, отличаются по значению изоэлектри-ческой
точки, коэффициентам диффузии и седиментации. Токсины могут стать причиной
пищевого отравления при употреблении молочных, мясных, рыбных, жидких яичных
продуктов, а также салатов и кремовых начинок мучных кондитерских изделий при
условии несоблюдения правил санитарно-гигиенической обработки и хранения
последних. Боту-линические токсины относятся к наиболее сильнодействующим ядам
и часто вызывают смертельные пищевые отравления при использовании овощей, рыбы,
фруктов и приправ, не обработанных в соответствии с нормами. Молекулярная
масса, например, токсина Е - 350 кД, токсина А - несколько больше. Эти токсины
инактивируются при температуре выше 80°С и в кислой среде.
Энтеротоксины могут вырабатываться и бактериями Salmonella и Clostridium
perfringens, являясь при этом причиной расстройства работы кишечника,
обморочных состояний и лихорадки (брюшного тифа). Продуцируются энтеротоксины
чаще в продуктах животного происхождения (говядина, птица, сыр, рыба), чем
растительного (фасоль, оливы). Наиболее хорошо изучен энтеротоксин С.
perfringens с молекулярной массой 36 кД и изоэлектрической точкой 4,3. Токсин
содержит 19 остатков аминокислот, среди которых преобладают аспарагиновая
кислота, лейцин и глутаминовая кислота. Ухудшая транспорт электролитов и
глюкозы, данный токсин вызывает гибель клеток кишечника.
Ядовитый гриб бледная поганка содержит около 10 циклических пептидов с
молекулярной массой около 1000. Типичным представителем их является особо
ядовитый токсин а-аманитин. К токсичным компонентам яда пчел, оказывающим
сильное влияние на ЦНС, относится апа-мин, состоящий из 18 аминокислотных
остатков, а морских моллюсков - конотоксин, содержащий 13 остатков:
Пептиды- антибиотики. Представителями данной группы пептидов являются
грамицидин S - циклический антибиотик, синтезируемый бактериями Bacillus
brevis, и сурфактин - поверхностно-активный (содержащий сложноэфирную связь)
антибиотик, синтезируемый бактериями Bacillus subtilius. Оба антибиотика
эффективны при борьбе с инфекционными заболеваниями, вызываемыми стрептококками
и пневмококками:
Грамицидин способен быть ионофором, то есть переносчиком ионов К+и Na+
через мембраны клеток.
Структурной основой антибиотиков, выделяемых плесневыми грибами
Penicillium, является дипептид, построенный из остатков D-валина и цистина:
Антибиотики группы пенициллина эффективны при борьбе с инфекциями,
вызываемыми стафилококками, стрептококками и другими микроорганизмами.
Вкусовые пептиды. Наиболее важными соединениями этой группы являются
сладкие и горькие пептиды. В производстве мороженого, кремов в качестве
подсластителей или усилителей вкуса используется аспартам, представляющий собой
метиловый эфир L-α-аспартил-L-фенилаланина:
Аспартам слаще сахарозы в 180 раз, однако при длительном хранении и
тепловой обработке сладость уменьшается. Подсластитель противопоказан больным
фенилкетонурией. Пептиды горького вкуса образуются при распаде белков в сырах и
молоке при участии протеаз молочнокислых бактерий. Они представляют собой
низкомолекулярные гидрофобные соединения, содержащие от 2 до 8 остатков
аминокислот полипептидных цепей αs-казеина и β-казеина. Многие из горьких пептидов
содержат N-концевую циклизованную глутаминовую кислоту. По мере гидролиза
пептидов горький вкус таких соединений обычно исчезает.
Протекторные пептиды. Одним из наиболее распространенных соединений с
протекторными свойствами является трипептид глутатион (γ-глутамилцистеинилглицин). Глутатион
содержится во всех животных, растениях, бактериях, однако наибольшее его
количество встречается в дрожжах и зародыше пшеницы. Вступая в
окислительно-восстановительные реакции, глутатион выполняет функцию протектора,
предохраняющего свободные -SH группы от окисления.
Он принимает на себя действие окислителя, "защищая" тем самым
белки или, например, аскорбиновую кислоту. При окислении глутатио-на образуется
межмолекулярная дисульфидная связь:
Глутатион принимает участие в транспорте аминокислот через мембраны клеток,
обезвреживает соединения ртути, ароматические углеводороды, перекисные
соединения, предотвращает заболевание костного мозга и развитие катаракты глаз.
Восстановленная форма глутатиона, входящая в состав хлебопекарных
дрожжей, особенно долго хранившихся, или муки из проросшего зерна, понижает
упругие свойства клейковины и ухудшает качество пшеничного хлеба.
Дезагрегирующее действие восстановленного глутатиона на белки клейковины может
осуществляться как без разрыва пептидных связей, так и с их разрывом.
Дезагрегация белков без разрыва пептидных связей происходит при участии
НДДФН2-содержащего фермента глута-тионредуктазы:
Г-S-S-Г + НАД2Ф ↔ 2Г-SH + HАДФ,
а с разрывом - в присудствии тиоловых простериаз, активный центр которых
содержит сульфгидрильные группы:
Разрыв пептидных связей в белках под действием активированных протеиназ
приводит к ухудшению реологических свойств теста и качества хлеба в целом.
Пептиды, имеющие достаточно высокую молекулярную массу (более 5000 Да) и
выполняющие ту или иную биологическую функцию, называются белками. Под
первичной структурой белков понимают последовательность аминокислот в
полипептидной цепи и положение дисуль-фидных связей, если они имеются.
Последовательность аминокислотных остатков в цепи реализуется за счет пептидной
связи. Пептидная связь имеет частично двойной характер, так как расстояние
между -NH и -СО группами в ней занимает промежуточное (1,32А) положение между
расстояниями одинарной (1,49А) и двойной (1,27А) связей. Кроме того, группы R
чередуются по обе стороны пептидной связи, следовательно, наблюдается
трансизомерия. Расстояния между другими атомами и углы в структуре
полипептидных цепей представлены на рис. 2.9.
Многие белки состоят из нескольких полипептидных цепей, соединенных между
собой ди-сульфидными связями. Образование дисульфид-ных мостиков -S-S- возможно
и между двумя остатками цистеина, находящимися в одной полипептидной цепи.
Примером могут служить основные белковые фракции клейковины: глиадин и глютенин
пшеницы (см. Белки злаков).
Определение последовательности аминокислот в белках представляет интерес
по двум причинам. Во-первых, эти данные необходимы для выяснения молекулярной
основы биологической активности и, во-вторых, для установления тех принципов,
на основе которых формируются те пространственные структуры, от которых зависят
физико-химические, питательные и функциональные свойства белков, определяющие
их усвояемость, переваривание, качество пищевых продуктов, поведение в ходе
технологических потоков и хранения. Для определения первичной структуры белка
сначала разрывают
Рис. 2.9. Расстояние и углы между атомами в структуре полипептидной цепи
дисульфидные связи, затем определяют аминокислотный состав, N-кон-цевую и
С-концевую аминокислоты и порядок соединения аминокислот друг с другом. Разрыв
дисульфидных -S-S- связей осуществляют сильным окислителем (надмуравьиной
кислотой) или восстановителем, а аминокислотный состав определяют после
гидролиза пептидных связей 6 н раствором НС1 при 110°С в течение 24 ч в
вакууме. Для анализа триптофана проводят щелочной гидролиз, так как в кислой
среде данная аминокислота разрушается. Смеси аминокислот, полученные в
результате гидролиза, фракционируют хроматографией на катионообменной смоле и
идентифицируют (см. Качественное и количественное определение белка).
Порядок соединения аминокислотных остатков друг с другом определяют
химическими (метод Эдмана) и ферментативными методами. Ферментативные методы
основаны на свойстве специфичности ферментов. Так, трипсин разрывает молекулу
на уровне карбоксильных групп лизина и аргинина, химотрипсин - карбоксильных
групп ароматических аминокислот:
Для анализа последовательности аминокислотных остатков исходный материал
делят на три части, одну из которых обрабатывают холодной НС1, другую -
трипсином, третью - химотрипсином. Полученные смеси пептидов анализируют по
аминокислотному составу и обрабатывают, наконец, экзопептидазами (амино- и
карбоксипептидазами). Результаты суммируют с учетом того, что разрыв пептидов
происходит в определенных местах цепи. Ниже иллюстрируется аминокислотная
последовательность пептида из 25 первых аминокислот α2-
и γ1,-глиадинов пшеницы, расшифрованная
таким образом для американского сорта Понка:
Полипептидная цепь белковой молекулы не лежит в одной плоскости. Полинг и
Кори показали, что многие белки имеют конфигурацию а-спирали, которую легко
можно представить в виде спирали, идущей по поверхности воображаемого цилиндра.
Такая структура устойчива благодаря большому количеству водородных связей между
-СО и -NH группами пептидных связей. Водородные связи возникают между
ковалентно связанным атомом водорода, несущим небольшой положительный заряд, и
соседним атомом, обладающим незначительным отрицательным зарядом (кислородом,
азотом). Некоторые фибриллярные белки ф-керотин, фиброин шелка) образуют
(3-конформацию, представляющую как бы ряд листков, расположенных под углом друг
к другу (рис. 2.10).
Наряду с большим количеством водородных связей в стабилизации вторичной
структуры белка принимают участие другие относительно слабые связи:
электростатические и гидрофобные. Энергия этих связей мала по сравнению с
энергией ковалентных пептидных и ди-сульфидных связей, однако благодаря своей
многочисленности они обеспечивают устойчивость макромолекул и позволяют образовывать
активные комплексы (фермент-субстрат, антиген-антитело, репрессор-ДНК). Природа
таких связей приведена на рис. 2.11.
Между двумя противоположно заряженными полярными группами, например,
боковыми цепями аспарагиновой и глутаминовой кислот и положительно заряженным
протони-рованным основанием (остатки аргинина, лизина, гистидина),
осуществляются электростатические притяжения. Они более прочные, чем водородные
связи. Гидрофобные связи возникают при участии групп -СН2, - СН3 ва-лина,
лейцина или ароматического кольца фенил-аланина. Они представляют собой
скопление заряда, обусловленного выталкиванием воды из пространства при близком
взаимном расположении неполярных групп.
Регулярную вторичную структуру пептидных связей обеспечивают водородные
связи, тогда как другие слабые силы участвуют в ней в меньшей степени. Слабые
силы имеют большее значение в формировании третичной структуры белка. Впервые
третичная структура установлена для миоглобина, затем для гемоглобина крови. В
данной структуре белка важную роль играют изгибы, обусловленные присутствием
аминокислоты пролин. В изгибах отсутствует спирализованная структура. Общим
признаком пространственного расположения остатков аминокислот в третичной
структуре белков является локализация гидрофобных групп внутри молекулы,
гидрофильных - на ее поверхности.
Многие белки обладают четвертичной структурой. Она представляет собой
комбинацию субъединиц с одинаковой или разной первичной, вторичной и третичной
структурой. Субъединицы соединены друг с другом с помощью слабых нековалентных
связей. Действия мочевины, кислых и солевых растворов, детергентов часто
приводят к диссоциации белка на субъединицы и потере их биологической
активности. Диссоциация может быть обратимой. Примером белков с четвертичной
структурой могут служить ферменты лактатдегидрогеназа и глютаматдегидрогеназа,
содержащие, соответственно, четыре и восемь субъединиц.
Особенности химического строения боковых цепей аминокислотных остатков и
расположение их в пространстве определенным образом обеспечивают, при
выполнении белками биологических функций, компле-ментарность (соответствие)
контактируемых поверхностей или поверхностей белка с небелковыми соединениями
по принципу "ключ к замку". Имеется ряд экспериментальных
доказательств относительно механизма формирования структуры молекулы белка
путем ассоциации α-спиралей и складчатых β-слоев (рис. 2.12). Этапы скручивания
белка включают формирование двух временно создающихся коротких α-
или β-спиралей, которые затем
стабилизируются с образованием комплекса. Сформировавшиеся комплексы αα,
β, αβ, называемые
единицами скручивания, далее выступают в роли самостоятельных центров,
способных к взаимодействию с другими элементами вторичной структуры. Задача
заключается в том, чтобы как можно полнее расшифровать тот путь, который
приводит к формированию функционально активной структуры белка в каждом
конкретном случае.
2.6 Белки пищевого сырья. Белки злаков
Анализируя аминокислотный состав суммарных белков различных злаковых
культур с точки зрения состава эталонного белка для питания людей (ФАО, 1973)
следует отметить, что все они, за исключением овса, бедны лизином (2,2-3,8%), а
за исключением риса и сорго - изолейцином. Для белков пшеницы, сорго, ячменя и
ржи характерно относительно небольшое количество метионина (1,6-1,7 мг/100 г
белка). Белки пшеницы к тому же содержат недостаточное количество треонина
(2,6%), а белки кукурузы - триптофана (0,6%). Наиболее сбалансированными по
аминокислотному составу являются овес, рожь и рис.
Аминокислотный состав суммарных белков злаковых культур определяется
аминокислотным составом отдельных фракций, в основу классификации которых
положен принцип растворимости (Т. Осборн, 1907). При последовательной обработке
муки или размолотого зерна водой, 5-10%-м раствором хлорида натрия, 60-80%-м
водным раствором спирта и 0,1-0,2%-м раствором гидроксида натрия экстрагируются
белковые фракции, соответственно названные альбуминами, глобулинами,
пролами-нами и глютелинами. В таблице 2.3 приводится процентное содержание
белковых фракций в зерновых культурах. В состав белков входят и так называемые
склеропротеины (нерастворимые белки), содержащиеся в оболочках и периферических
слоях зерна. Особенностью белков данной фракции является прочное соединение с
лигнино-полисахаридным комплексом. Склеропротеины выполняют структурную функцию
и малодоступны для пищеварения. Наряду с белками в зерне содержится небелковый
азот (0,7-12,9% от общего азота), включающий свободные аминокислоты (50-60%),
пептиды, нуклеотиды и др. Количество небелкового азота-изменяется в зависимости
от степени зрелости, выравненнос-ти и прорастания зерна.
Таблица 2.3. Содержание белковых фракций в зерне злаковых
|
Культура
|
Азот фракций (в % от
белкового азота)
|
|
Альбумины
|
Глобулины
|
Проламины
|
Глютелины
|
Склеропротеины
|
|
Пшеница мягкая
|
5,2
|
12,6
|
35,6
|
28,2
|
8,7
|
|
Рожь
|
24,5
|
13,9
|
31,1
|
23,3
|
7,2
|
|
Ячмень
|
6,4
|
7,5
|
41,6
|
26,6
|
17,9
|
|
Кукуруза
|
9,6
|
4,7
|
29,9
|
40,3
|
15,5
|
|
Овес
|
7,8
|
32,6
|
14,3
|
33,5
|
11,8
|
|
Гречиха
|
21,7
|
42,6
|
U
|
12,3
|
23,3
|
|
Рис
|
11,2
|
4,8
|
4,4
|
63,2
|
16,4
|
Для альбуминов отличительной особенностью является высокое содержание
лизина (3,9-8,2%), треонина (2,4-7,7%), метионина (1,7- 3,3%), изолейцина
(3,1-6,0%) и триптофана (6,7-16,9%). Наиболее высоким содержанием лизина
отличаются альбумины овса, риса и проса (6,5-8,2%), более низким - альбумины
пшеницы, ячменя и ржи (3,9-4,5%). Высокое количество треонина (4,7-7,7%)
характерно для альбуминов ячменя, ржи, овса; низкое (2,4%) - для альбуминов
пшеницы.
Глобулиновая фракция злаковых культур беднее, чем альбуминовая по
содержанию лизина (2,8-6,0%), триптофана (0,5-1,3%) и метионина (1,1-2,7%). Обе
фракции отличаются высоким содержанием глютами-новой и аспарагиновой кислот, но
низким - пролина.
Характерной особенностью проламинов является высокое содержание остатков
глутаминовой кислоты (13,7-43,3%), пролина (6,3-19,3%) и малое количество
ионогенных групп, так как дикарбоновые кислоты почти полностью амидированы.
Проламины отличаются низким содержанием лизина. Очень мало его в зеине кукурузы
(0,2%), глиадине пшеницы и секалине ржи (0,6-0,7%). Высокий процент лизина (3,3%)
наблюдается в авенине овса. Небольшое количество лизина в проламинах и
относительно большое содержание данной фракции в суммарном белке отражается на
общей несбалансированности зерна большинства злаковых культур. Проламины бедны
к тому же треонином, триптофаном, аргинином и гистидином. Зеин кукурузы, оризин
риса и кафирин сорго отличаются высоким уровнем лейцина (16,9-18,6%). По
содержанию цис-тина и метионина среди отдельных злаков также наблюдаются
различия. Так, глиадин пшеницы в среднем содержит 1,2% метионина и-1,9%
цис-тина, а авенин овса - 3,7 и 4,2%, соответственно.
Глютелины по аминокислотному составу занимают промежуточное положение
между проламинами и глобулинами. Содержание лизина, аргинина, гистидина в них
больше, чем в проламинах. Так, содержание лизина в глютенине пшеницы составляет
2,6%, ржи - 2,3%, ячменя - 4,0%, а овса - 5,0%. По содержанию лизина и цистина
между сортами зерна наблюдаются некоторые различия. Например, глютенин пшеницы
слабого сорта Акмолинка 1 содержит меньше цистина (5,18%), чем глютенин
сильного сорта Саратовская 29 (7,34%). Глютелины ячменя, риса и овса отличаются
от глютенина пшеницы более высоким уровнем лизина. Если учесть, что у риса 80%
всего белка приходится на глютелины (оризенин), то понятно, почему обеспечивается
удовлетворительное содержание лизина (2,6-4,0%) в общем белке рисового зерна.
Преобладающими фракциями овса являются глобулины и глютелины, содержащие
5,0-5,5% лизина, что также обеспечивает хорошую сбалансированность данной
культуры по лизину.
Белки неравномерно распределяются между морфологическими частями зерна.
Основное их количество (65-75%) приходится на эндосперм, меньшее - на
алейроновый слой (до 15,5%) и зародыш (до 22%). В алейроновом слое и зародыше
концентрация белка высокая^ В зародыше пшеницы содержится 33,3% белка, кукурузы
- 26,5%, овса - 19,4%. Алейроновый слой пшеницы и кукурузы содержит более 19%
белка. В эндосперме белки распределены также неравномерно, концентрация их
снижается по мере продвижения от субалейронового слоя к центру. Субалейроновым
слоем называется периферическая зона зерновки, находящаяся под алейроновым
слоем. Содержание белка в данной части зерна достигает у кукурузы 27,7%, у
сорго 29-30%, у ячменя 21-24%, у риса 29%. Центральная часть эндосперма
содержит мало белка (7-9%). В общем же распределение белка по частям зерновки
зависит от вида культуры, ее сорта и почвенно-климатических условий
выращивания.
Белки зародыша и алейронового слоя представлены в основном альбуминами и
глобулинами, выполняющими каталитическую функцию при прорастании зерна
(ферменты), а белки эндосперма - альбуминами, глобулинами, проламинами и
глютелинами. Большую часть белков эндосперма злаковых культур (до 80%)
составляют запасные белки: спирторастворимые проламины и щелочерастворимые
глютелины. Альбумины и глобулины входят в состав мембран органелл зерна,
образуют рибосомы, митохондрии, эндоплазматический ретикулум, являются
составной частью сложных белков - нуклеопротеидов, липопротеидов,
фосфопротеидов.
Запасные белки эндосперма злаков сосредоточены в белковых телах, имеющих
более простое строение, чем алейроновые зерна (белковые тела алейронового
слоя). Алейроновое зерно состоит из кристаллоида (гли-копротеида), глобоида
(калиевой, магниевой соли фитиновой кислоты) и основного белкового вещества -
аморфной зоны.
У кукурузы и сорго белковые тела эндосперма состоят из матрицы и
вдавленных в нее округлых белковых гранул. Матричные белки являются
глютелинами, а белки гранул - проламинами. Матричный белок характеризуется
однородной структурой, тогда как белковые гранулы имеют пластинчатую структуру
с входящими в нее липопротеинами. В эндосперме зрелого зерна пшеницы
откладываются белковые образования в виде непрерывной белковой матрицы
клиновидной формы и в виде выпуклых серповидных зон под мембраной, окружающей
крахмальные зерна. С этими представлениями соотносится классификация Гесса
(Hess, 1954), по которой белки муки разделяются на промежуточные (цвикель) и
прикрепленные (хафт). Промежуточные белки располагаются между крахмальными
зернами и соответствуют белковой матрице, а прикрепленные представляют собой
остатки мембран крахмальных зерен. У ржи и пшеницы прикрепленные белки
характеризуются лучшим аминокислотным составом. При размоле твердых и
стекловидных мягких пшениц раскол компонентов происходит через крахмальное
зерно и запасной белок, в результате чего крахмальные зерна разрушаются. При
размоле зерна с мучнистым эндоспермом трещины образуются не в крахмальных
зернах, а вокруг них, так как между белком и крахмалом существует относительно
слабое взаимодействие.
Белковые фракции зерновых культур представляют собой гетерогенную смесь
отдельных компонентов, сходных по ряду физико-химических свойств. В то же время
компоненты отличаются по электрофорети-ческой подвижности, молекулярной массе,
аминокислотному составу и способности взаимодействовать друг с другом при
помощи различных типов связей. В альбуминах мягкой пшеницы электрофорезом в
ПААГ и крахмальном геле обнаружено 14-21 субъединиц, преобладающими среди
которых по количеству являются субъединицы с молекулярной массой около 11 и 20
кД. Эти компоненты различаются по содержанию лизина, аланина, триптофана и
гистидина, они отсутствуют в твердой пшенице.
В эндосперме мягкой пшеницы обнаружены доминирующие ос-глобулины с
молекулярной массой 24 кД, в зародыше - γ-глобулины с молекулярной массой 210
кД. К глобулинам относят и специфические белки, выделенные в кристаллической
форме из бензинового экстракта муки (пуротионин пшеницы, гордотионин ячменя). В
зерне они содержатся в виде липопротеинового комплекса, имеют молекулярную
массу около 7 кД. Положительного влияния этих белков на хлебопекарные свойства
муки не установлено.
С помощью ионообменной хроматографии, гельхроматографии, электрофореза и
других методов глиадиновая фракция пшеницы разделена на большое число
индивидуальных компонентов. Электрофоретические компоненты глиадина условно
объединяют в порядке уменьшения электрофорети-ческой подвижности в кислой среде
в четыре группы: α-, β-, γ- и ωглиадины, каждая из которых состоит
из нескольких компонентов. Общее число белковых компонентов в пшенице может
достигать 40-50. При строго определенных условиях электрофореза в ПААГ или
крахмальном геле электрофоретический спектр рассматривается как генотипический
признак вида и сорта пшеницы (рис. 2.13). Эталонный спектр содержит 30 позиций,
которые распределяются по фракциям следующим образом:
Рис. 2.13. Эталонный электрофоретический спектр глиадина пшеницы [В.
Конарев, 1983]
В соответствии с этим эталоном глиадин сорта Лютесценс 230, например,
записывается так:
α 567 β 2345 γу2345 ω34689
Большинство глиадиновых белков построено из одной полипептидной цепи с
молекулярной массой 30-45 кД и внутримолекулярными ди-сульфидными связями (рис.
2.14). В меньшем количестве в состав глиадина
Рис. 2.14. Дисульфидные связи в глиадине и глютенине
входят белки с молекулярной массой 22; 25,6; 48,8; 57,3 кД и 64-80 кД, а
также димеры, построенные из одноцепочных молекул главного типа (36,5 и 44,2
кД). От других компонентов в большей степени отличаются ω-глиадины, имеющие слабый заряд,
высокое содержание глутамина, глу-таминовой кислоты, пролина, гидрофобных
остатков аминокислот и не содержащие цистина и метионина и, соответственно,
внутримолекулярных дисульфидных связей. В питательном отношении со-глиадины
являются ценными как источники -NH2 групп и пролина, необходимых для биосинтеза
аминокислот и азотистых оснований. Дополнительно в состав глиадина входят
низкомолекулярные белки (5-10%) типа альбуминов, глобулинов (11-12 кД) и
высокомолекулярная фракция ("низкомолекулярный глютенин") с
молекулярной массой 104-125 кД (6%).
Проламины других злаков также образуют индивидуальные
электро-форетические спектры, поэтому, как и у пшеницы, они используются в роли
белковых маркеров для определения видовой и сортовой принадлежности при
выведении новых сортов, основываясь на зависимости ценных хозяйственных
признаков зерна (урожайность, засухоустойчивость, неспособность к полеганию и
др.) от присутствия конкретных компонентов.
Глютенин пшеницы является более гетерогенной белковой фракцией по
сравнению с глиадином. Он состоит из многих компонентов с молекулярной массой
от 50 до 3000 кД и без разрыва дисульфидных связей не способен мигрировать в
гель при электрофорезе. Восстановленный глютенин разделяется при
электрофоретическом анализе не менее чем на 15 компонентов, состоящих из одной
полипептидной цепи с молекулярными массами от 11,6 до 133 кД. Некоторые из них
идентичны молекулам глиадина (36-44,6 кД), другие - молекулам альбуминов и
глобулинов (11,6 кД), а третьи представляют собой специфические
высокомолекулярные субъединицы (102, 124, 133 кД). Эти данные позволяют
утверждать, что глютенин - это белок, построенный из многих полипептидных
цепей, соединенных между собой дисульфидными связями. Расчеты показывают, что
на каждую полипептидную цепь глютенина приходится 2-3 дисульфидные связи с
соседними цепями (Эварт, 1968).
Изучению запасных белков, особенно глютенина, отводится важная роль,
однако структура их остается до конца не выясненной. Главной трудностью при
выяснении особенностей строения является способность белков к агрегации,
которую трудно преодолеть известными в настоящее время методами. До сих пор
изучаются значения молекулярных масс компонентов и целого белка этой фракции.
Так, по последним данным отечественных ученых, глютенин состоит из белковых
частиц, включающих несколько субъединиц с молекулярной массой всего 100-300 кД,
тогда как на долю частиц сверхвысокой молекулярной массы и одноцепочных молекул
приходится не более 20%.
Предложены несколько гипотез строения глютенина и клейковины, однако ни
одна из них не дает полного ответа на вопросы взаимосвязи его особенностей с
природой вязко-эластичных свойств пшеничного теста. До конца не выяснен вопрос,
чем отличаются глютелины зерновых культур, способных и не способных к
формированию клейковинного комплекса. По представлениям Эверта, это различие
обусловлено неодинаковым способом соединения отдельных полипептидных цепей
через дисульфидные мостики при образовании полимерных молекул глю-телинов.
Каждая полипептидная цепь, соединяясь с другими, может увеличиваться в длину,
образуя структуру линейного типа. Если же полипептидные цепи соединяются
большим количеством поперечных ди-сульфидных мостиков, то возникает разветвленная
трехмерная структура, обладающая относительно высокой компактностью. Глютелины
зерновых культур, образующих клейковину, обладают линейной структурой в отличие
от глютелинов культур, не способных формировать ее (овес, кукуруза).
Реологические свойства клейковины и теста получают более полное
обоснование, если принять линейную структуру глютенина, тогда и вязкость теста
из пшеницы, ржи и ячменя можно объяснить сильным раскручиванием достаточно
гибких цепей и постоянным перемещением их относительно друг друга. Свойство
эластичности возникает вследствие тенденции растянутых, незакрученных
полипептидных цепей возвратиться к их прежней конформации. Причиной же
отсутствия вязко-эластичных свойств овсяного и кукурузного теста является
ветвящийся способ соединения полипептидных цепей, характеризующийся трехмерной
разветвленной структурой.
Во всем мире интенсивно проводятся исследования, посвященные зависимости
хлебопекарных качеств пшеницы от полипептидного состава глютениновой фракции в
связи с различиями сортов и классов на генетическом уровне. Установлено, что
наиболее выраженное влияние на реологические свойства клейковины и качество
хлеба оказывает присутствие высокомолекулярных субъединиц глютенина (100 кД)
или соотношение высоко- и низкомолекулярных субъединиц. Всего обнаружено около
25 субъединиц с высокой молекулярной массой, 3-5 из них присутствует в каждом
сорте. Каждой субъединице присвоен номер в зависимости от подвижности в ПААГ с
ДДС-Na, и выясняется конкретная роль ее в обеспечении качества зерна. Например,
98% американских сортов пшеницы, характеризующиеся высокой "силой" и
хорошей эластичностью теста, содержат субъединицы 5+10, синтез которых
кодируется хромосомой 1Д, тогда как у английских пшениц с низким качеством они
встречаются только у 19% образцов. Такая же картина наблюдается и в отношении
высокомолекулярных субъединиц 7+8 и 7+9, кодируемых хромосомой В1.
Реологические свойства клейковины и качество пшеничного хлеба зависят не
только от присутствия высокомолекулярных субъединиц (60%), но и от наличия
хромосомы 1BL/1RS (7%), полиморфизма низкомолекулярного глютенина, глиадина
(а-, Р-, у-, со-), количества белка и активности а-амилазы (31%). Глютенин
придает клейковине упругие свойства, а глиадин обуславливает растяжимость и
связность, то есть ни глютенин, ни глиадин в отдельности не обладают
характерными реологическими свойствами клейковины, только взаимодействие этих
фракций в едином комплексе создает клейковинный белок со всеми присущими ему
особенностями. Предполагают, что "полипептидные цепи глиадина в разных
местах и разными связями соединяются с полимеризо-ванными молекулами
глютениновой фракции, объединяя их в сложную трехмерную сетку переплетающихся
полипептидных цепей" (А. Вакар, 1975). В структуре такой сетки значительную
роль помимо ковалентных дисульфидных связей играют нековалентные
взаимодействия: водородные, электростатические (ионные) связи и гидрофобное
взаимодействие. Всем им отводится важная роль при объяснении различий в
реологических свойствах крепкой и слабой клейковины (растяжимости, связности,
упругости, эластичности).
Аминокислотный состав клейковинного белка и соотношение глиа-диновой и
глютениновой фракций не являются показателями его качества, тогда как
растворимость, содержание водородных, дисульфидных связей и вискозиметрические
характеристики соотносятся с различиями реологических характеристик клейковины.
Крепкая клейковина отличается от слабой меньшей растворимостью в разных
растворителях, большим количеством водородных и дисульфидных связей, меньшими
значениями характеристической вязкости (η), удельного гидродинамического объема и
осевого отношения частиц (в/а). Частицы крепкой клейковины имеют уплотненную
структуру, слабой - разрыхленную.
Более высокая скорость агрегации белков клейковины хорошего качества при
действии на них солей свидетельствует о большей роли гидрофобных взаимодействий
в структуре крепкой клейковины по сравнению со слабой. Установлен больший вклад
этих видов взаимодействий в агрегацию глютенина и его фракций. Для упругой,
эластичной клейковины на долю белков глютенина, перешедшего в раствор за счет
разрыва гидрофобных связей, приходится 25,4%, ионных- 17,3%, водородных -
56,3%, в то время как для неупругой и растяжимой клейковины распределение белка
по растворимости составляет, соответственно, 7,1; 12,8 и 80,1 %. Излишняя
"гидрофобизация" поверхности белковых молекул (действие жирных
кислот, тепловая денатурация и т.д.) приводит к ухудшению реологических свойств
клейковины (связности), снижению гидратации и растворимости. Таким образом, разная
степень упругости, растяжимости и связности определяется различным соотношением
сил ковалентного и нековалент-ного характера (гидрофобные, ионные, водородные
связи) как внутри фракций клейковины, так и на уровне взаимодействия их друг с
другом.
Признавая за глиадином и глютенином главенствующую роль в обеспечении
качества клейковины, необходимо учитывать роль небелковых соединений в
формировании ее структуры. Высокая реакционная способность химических
группировок молекул белка делает возможным взаимодействие их с липидами и
углеводами и образование, соответственно, липопротеиновых и гликопротеиновых
комплексов, оказывающих влияние на структуру и свойства клейковины.
Общепризнана гипотеза, по которой фосфолипиды являются составной частью
липопротеина, выполняющего роль слоистой структуры между белковыми пластинками
и обеспечивающего деформацию скольжения (Гросскрейтц, 1960). В целом же
особенности взаимодействия белков и других веществ зерна остаются до конца не
изученными.
С клейковинным комплексом пшеницы находятся во взаимодействии протеазы,
их белковые ингибиторы, амилазы и липоксигеназа (табл. 2.4). Протеазы
извлекаются щелочным раствором соды, р-амилаза - водным
Таблица 2.4. Ферментативная активность белков клейковины [М. Попов, 1998]
|
Растворитель
|
Растворенный белок, %
|
Активность ферментов, ед/r
клейковины
|
|
|
Протеазы
|
Липоксигеназа
|
β-Амилаза
|
|
Сода 0,35%-я Спирт 70%-й
Глугатион 0,75%-й
|
23,3 49,1 92,7
|
5,94 0 0
|
0 0 780
|
0 1560 9835
|
раствором спирта, а липоксигеназа и β-амилаза - раствором глютатио-на. В
покоящемся зерне ферменты не проявляют своей активности, тогда как при
прорастании они участвуют в распаде и превращениях запасных питательных
веществ. Не менее важная роль отводится ферментам и при тестоведении. Протеазы,
частично дезактивируя белки, ослабляют клейковину, липоксигеназа, при участии
которой продукты окисления жирных кислот окисляют -SH группы белка, укрепляет
ее. Высвобождение липоксигеназы из клейковины происходит в присутствии
восстановленного глютатиона, с другой стороны, это же соединение, принимая
участие в тиоловом обмене с клейковиной, уменьшает количество S-S связей и
ослабляет ее. Таким образом, ферментные системы в комплексе с клейковинными
белками выступают в роли регулятора качества хлеба из пшеницы.
Среди злаковых культур особого внимания заслуживает белковый комплекс
первой искусственно созданной зерновой культуры, полученной
Таблица 2.5. Аминокислотный состав белков муки (в г на 100 г белка)
|
Аминокислота
|
Яровая рожь
|
Тритикале
|
Твердая пшеница
|
|
Лизин
|
3,49
|
2,80
|
2,29
|
|
Гистидин
|
2,14
|
2,34
|
2,37
|
|
Аргинин
|
4,55
|
4,77
|
3,64
|
|
Аспарагиновая кислота
|
6,82
|
5,67
|
4,62
|
|
Треонин
|
3,26
|
3,05
|
2,82
|
|
Серии
|
4,11
|
4,37
|
4,37
|
|
Глутаминовая кислота
|
30,51
|
32,91
|
35,78
|
|
Пролин
|
15,29
|
14,18
|
13,92
|
|
Глицин
|
3,82
|
3,87
|
3,52
|
|
Алании
|
4,06
|
3,55
|
3,27
|
|
Цистин
|
2,65
|
3,22
|
2,66
|
|
Валин
|
5,22
|
4,93
|
4,77
|
|
Метионин
|
2,15
|
2,25
|
2,14
|
|
Изолейцин
|
4,21
|
4,37
|
4,51
|
|
Лейцин
|
6,65
|
7,55
|
7,46
|
|
Тирозин
|
2,16
|
2,81
|
2,67
|
|
Фенил аланин
|
5,16
|
4,98
|
5,48
|
|
Аммиак
|
3,40
|
3,25
|
3,91
|
при скрещивании пшеницы (Triticum) и ржи (Secale) - тритикале. С точки зрения
питательности тритикале - ценная культура, так как ее отличает относительно
высокий уровень белка (11,7-22,5%) и улучшенный аминокислотный состав по
сравнению с пшеницей. Аминокислоты в тритикале содержатся, как правило, в
количествах, промежуточных между родительскими формами (табл. 2.5). Более
высокое содержание лизина, метионина и других аминокислот существенно для
пищевой ценности. В данной культуре геномы ржи и пшеницы не взаимодействуют
между собой с образованием "новых" белков, поэтому их электрофореграммы
являются идентичными электрофореграммам смеси белков родительских форм.
По сравнению с пшеницей тритикале содержит больше водорастворимых и
солерастворимых белков, но меньше - спирторастворимых и значительно меньше -
белков нерастворимого остатка, поэтому в хлебопечении она может использоваться
только в смеси с пшеничной мукой или с улучшителями.
Белки бобовых культур
Основную часть семядолей бобовых культур (сои, гороха, фасоли, вики)
составляют запасные белки, являющиеся в соответствии с классификацией Осборна
глобулинами. Кроме того, в семенах содержится небольшое количество альбуминов,
которые не являются запасными белками. В качестве самостоятельной группы в
семядолях не обнаружены глютелины. Извлекаемые щелочью белки также представляют
собой глобулины, но они находятся во взаимодействии с полисахаридами. Общее
содержание белка в бобовых культурах высокое и составляет 20-40% от общей
массы.
Из суммарного солевого белкового экстракта осаждением сернокислым
аммонием выделяют два основных глобулиновых компонента, получившие название
вицилина и легумина. С учетом значений констант седиментации (см. Качественное
и количественное определение белка) у сои, вики, гороха и других культур их
называют 7S и 1 IS белками, соответственно. Оба эти вида белков обладают
сложной четвертичной структурой, которая определяет их функции и свойства.
Диссоциация 11S белков семян на субъединицы обнаружена еще в 30-е гг.
Сведбергом и Пе-дерсеном, но более детально она изучена позднее. Установлено,
что 1 IS белки семян бобовых диссоциируют сначала на 7S субъединицы, затем на
субъединицы с коэффициентом седиментации 2-3S. Диссоциация 11S белков протекает
ступенчато по схеме:
S → 2 х 7S → 6 х 3S → 12 х 2S 66
Результаты, полученные методом седиментационного равновесия, свидетельствуют
о том, что каждая из 2S субъединиц, образующихся под влиянием сильных
диссоциирующих агентов, таких как мочевина, состоит из одной полипептидной цепи
с молекулярной массой 30 кД (табл. 2.6), а общее количество полипептидных цепей
в молекуле 11S белка равно 12.
Таблица 2.6. Молекулярные массы субъединиц 1 IS белков сои и вики
|
Ступень диссоциации
|
Условия диссоциации
|
Белок сои
|
Легумин вики
|
|
|
S20 w
|
Молекулярная масса, Д
|
S20 w
|
Молекулярная масса, Д
|
|
11S
|
рН7,0
|
12,2
|
363 000
|
12,9
|
362000
|
|
7S
|
рН4,0
|
-
|
180 000
|
8,0
|
190000
|
|
3S
|
рН2,7
|
3,5
|
63000
|
3,3
|
60000
|
|
2S
|
4М мочевина
|
-
|
31 000
|
1,7
|
30000
|
|
2S
|
4М гуанидингидро- хлорид
|
-
|
-
|
__
|
30000
|
На основании данных хроматографического разделения белков на
ДЭАЭ-целлюлозе, электрофореза в ПААГ, значений констант седиментации,
результатов аминокислотного анализа и определения N-концевых аминокислот для
белков большинства бобовых культур более детально конкретизирована
вышеописанная схема диссоциации легумина. Для белков, например, вики она
выглядит следующим образом:
А6В4С2 →2 х А3В2С →4хАВ + 2хАС -" 6хА + 4хВ + 2хС
Каждая молекула 1 IS белков вики состоит из шести основных (А) и шести
кислых 2S субъединиц двух видов - В и С. Некоторые свойства этих субъединиц
приводятся ниже:
|
А
|
В
|
С
|
|
S20w
|
1,40
|
2,28
|
2,25
|
|
Молекулярная масса, кД
|
24,3
|
37,6
|
32,6
|
|
N-концевая АК
|
Глицин
|
Лейцин
|
Треонин
|
S белок сои отличается от легумина вики наличием трех, а не двух типов
кислых субъединиц. Так же как и у легумина вики, N-концевой аминокислотой
основной фракции является глицин, а ее молекулярная масса равна 22,3-24,4 кД.
Кислые субъединицы имеют ту же молекулярную массу, что и субъединицы В легумина
вики. 11S белок сои может содержать несколько типов и основных субъединиц,
однако точно известно, что молекула 1 IS белка сои также состоит из шести основных
и шести кислых субъединиц.
Особенности модели четвертичной структуры 11S белков бобовых аналогичны
особенностям этой же структуры 11S белков семнадцати других семейств,
относящихся к филогенетически удаленным группам (капуста, тыквенные, гречиха, рапс).
Так же как и легумин вики, эдес-тин конопли, например, диссоциирует на шесть 3S
субъединиц, каждая из которых состоит из одной основной субъединицы с
N-концевым глицином и молекулярной массой 23 кД и одной кислой субъединицы.
Аминокислотный состав этих субъединиц сходен; он представлен в табл. 2.7.
Данные позволяют считать, что 11S белки обладают сходной четвертичной
структурой и что их соответствующие субъединицы гомологичны.
Таблица 2.7. Аминокислотный состав полипептидных цепей легумина вики и
эдестина конопли (в г на 100 г белка)
|
Аминокислота
|
Основные цепи
|
Кислые цепи
|
|
Эдестин
|
Легумин
|
Эдитин
|
В-цепь легумина
|
С-цепь легумина
|
|
Аспарагиновая
|
12,2
|
12,1
|
11,9
|
12,3
|
8,4
|
|
Треонин
|
3,8
|
3,7
|
3,0
|
2,1
|
2,5
|
|
Серии
|
4,5
|
4,7
|
5,1
|
4,1
|
5,2
|
|
Глутаминовая
|
13,0
|
10,2
|
21,6
|
19,8
|
23,7
|
|
Пролин
|
3,2
|
4,1
|
3,0
|
3,8
|
5,4
|
|
Глицин
|
3,1
|
2,9
|
4,2
|
3,6
|
3,0
|
|
Алании
|
5,5
|
5,9
|
3,3
|
3,1
|
1,9
|
|
Валин
|
7,0
|
7,2
|
5,1
|
2,8
|
2,7
|
|
Метионин
|
2,9
|
0,5
|
1,5
|
1,0
|
0,1
|
|
Изолейцин
|
4,5
|
3,7
|
4,9
|
4,6
|
4,2
|
|
Лейцин
|
7,9
|
9,5
|
6,2
|
5,5
|
5,9
|
4,4
|
4,2
|
4,0
|
4,0
|
2,2
|
|
Фенил аланин
|
6,1
|
4,3
|
4,5
|
4,5
|
3,4
|
|
Лизин
|
3,5
|
4,4
|
1,9
|
3,8
|
4Д
|
|
Гистидин
|
2,0
|
1,8
|
2,6
|
2,7
|
3,3
|
|
Аргинин
|
13,3
|
10,8
|
15,3
|
12,2
|
9,4
|
|
Цистин 02
|
0,9
|
0,8
|
1,1
|
0,9
|
0,8
|
|
Триптофан
|
1,4
|
1,6
|
0,9
|
1,8
|
2,0
|
Запасные 7S белки изучены значительно меньше, чем 11S белки. Известно,
что эта фракция вики, гороха, сои и арахиса также диссоциирует на субъединицы.
Так, у 7S белков вики и сои конечными продуктами диссоциации являются 2S
субъединицы, промежуточными - 4S субъединицы. Для указанных видов субъединиц
получены значения молекулярных масс, соответственно, 31-33 кД и 84 кД. Учитывая
молекулярные массы 7S белка вики (186-193 кД) и сои (180-193 кД), приходят к
выводу, что молекулы 7S белков состоят из шести 2S субъединиц, a 4S субъединицы
являются "полумолекулами" 7S субъединиц. Таким образом, обнаруживается
сходство четвертичных структур 7S и 11S белков глобулиновой фракции бобовых. 2S
субъединицы 7S белков между собой не идентичны.
В последние годы накапливается все больше сведений о существенном
значении четвертичной структуры в регулировании процесса гидролиза запасных
белков при прорастании. Еще классическими работами Д. Прянишникова (1939)
показано, что такие белки при прорастании семян распадаются на
низкомолекулярные соединения. Позже было высказано предположение, что гидролиз
запасных белков предшествует их диссоциации на субъединицы (В. Кретович, 1960).
Предположение экспериментально подтверждено, и, более того, сейчас известно,
что диссоциация белков сопровождается предварительным дезамидированием остатков
аминокислот, накоплением мочевины и протеканием ряда других процессов,
облегчающих эту диссоциацию.
Белковый комплекс суммарных глобулинов различных видов бобовых
характеризуется отличиями в растворимости, хроматографическом,
электрофоретическом и аминокислотном составах. Эти данные используются в
селекционно-генетических работах для выведения новых сортов растений с заданным
количеством незаменимых аминокислот.
Среди бобовых культур в качестве источника пищевого биологически ценного
белка наибольшее значение имеют семена сои. С их использованием организовано
производство соевой муки (обезжиренной, полужирной и необезжиренной),
концентратов и изолятов. Данные об аминокислотном составе и количестве
суммарного белка в продуктах из бобов сои приведены в табл. 2.8.
Наряду с белками, обладающими питательной ценностью, в состав бобовых
культур входят антиалиментарные соединения, имеющие также белковую природу. Они
понижают питательную ценность белковых продуктов и пищевых изделий. К таким
соединениям относятся ингибиторы протеаз желудочно-кишечного тракта и лектины.
В семенах сои содержится не менее пяти ингибиторов трипсина в количестве
5-10% от общего содержания белка. Наиболее хорошо изучены ингибитор Кунитца, на
долю которого приходится 90% общей
Таблица 2.8. Аминокислотный состав и количество суммарного белка в
продуктах из бобов сои
|
Характеристика
|
Продукт
|
|
Соевые бобы
|
Обезжиренная соевая мука
|
Концентраты сои
|
Изоляты сои
|
|
Содержание белка, % на с.в.
|
39,6
|
57,0
|
68,0
|
91,0
|
|
Содержание аминокислот, г
на 100 г белка:
|
|
|
|
|
|
лизин
|
6,5
|
6,3
|
6,3
|
6,0
|
|
метионин + цистин
|
1,3
|
2,9
|
2,8
|
2,2
|
|
треонин
|
4,6
|
4,0
|
4,3
|
3,5
|
|
лейцин
|
8,5
|
7,7
|
7,9
|
7,8
|
|
изолейцин
|
5,2
|
4,4
|
4,6
|
4,5
|
|
фенилаланин + тирозин
|
5,2
|
8,6
|
8,9
|
8,7
|
|
валин
|
5,6
|
4,8
|
4,8
|
4,6
|
|
триптофан
|
0,8
|
1,4
|
1,5
|
1,2
|
активности ингибиторов, и Баумана-Бирк. Ингибиторы представляют собой
белковые молекулы с молекулярными массами 21,5 и 8 кД, соответственно. Для них
расшифрована первичная структура. Так, самый высокомолекулярный - ингибитор
Кунитца - имеет в своем составе 181 остаток аминокислот и две дисульфидные
связи. Расщепление одной из них не влияет на активность ингибитора, тогда как
одновременное восстановление двух связей приводит к получению неактивного
продукта.
Понижение активности ферментов белковыми ингибиторами связано с
образованием устойчивых белок-белковых комплексов, содержащих молекулу
ингибитора и одну или несколько молекул фермента. Имеются доказательства о
существовании в белках-ингибиторах "активного" участка, вступающего
во взаимодействие с активным центром фермента. В состав всех ингибиторов трипсина
входят, расположенные в пространстве особым образом, остатки лизина или
аргинина. Белковые ингибиторы различаются по специфичности, выражающейся в
неодинаковой способности подавлять активность различных ферментов. Так,
ингибитор Кунитца из сои подавляет активность трипсина и фермента крови
плазмина, но слабо ингибирует химотрипсин, а ингибитор Баумана-Бирк снижает
активность не только трипсина, но и химотрипсина. Являясь
"двухцентровым" ингибитором, ингибитор Баумана-Бирк одновременно
вступает в реакцию с двумя молекулами различных ферментов и не может связывать
две молекулы одного фермента.
В технологических процессах производства белковых продуктов из сои
предусматривается инактивация ингибиторов протеиназ обработкой паром,
микроволновым нагревом, вымачиванием с последующим кипячением и другими
способами. Инактивация ингибиторов трипсина на 80- 90% по сравнению с их
активностью в исходном сырье уже позволяет отнести белковые продукты к пищевым,
не обладающим отрицательным воздействием на организм.
Лектины (от лат. - "выбирать") - это гликопротеины
растительного происхождения, связывающие один или несколько специфических
Сахаров. Свое название они получили от избирательной способности вызывать
агглютинацию (агрегацию, склеивание) эритроцитов крови, клеток, бактерий.
Агглютинация происходит путем взаимодействия лектинов с углеводными
компонентами поверхности клеток. Так, лектин соевых белков, например,
специфичен к остаткам галактозы и N-ацетилгалактозамина, а агглютинин зародышей
пшеницы - к остаткам N-ацетилглюкозамина и N-ацетилнейраминовой кислоты. На
долю лектинов в бобовых культурах приходится от 2 до 10% общего белка. В
очищенном виде лектины широко используются для определения группы крови,
очистки гликопротеинов и в качестве средств для изучения поверхностей здоровых
и больных клеток, лишенных некоторых ферментов синтеза олигосахаридов. Как
связывающие специфические сахара, лектины используются в качестве зондов для
"узнавания" Сахаров на мембранах клеточной поверхности здоровых и
раковых клеток. Агглютинация раковых клеток требует меньше лектинов, чем
здоровых.
Отсутствие высокой активности лектинов, как и ингибиторов ферментов, в
белковых продуктах из бобовых является одним из санитарно-гигиенических
требований, предусматриваемых сертификацией для использования их в
хлебопечении, кондитерской и других отраслях промышленности в целях повышения
пищевой ценности изделий. Снижение активности лектинов достигается применением
более мягких условий, чем снижение активности ингибиторов ферментов -
нагреванием при 80°С.
Некоторые виды белковых продуктов из сои, энзиматически активная соевая
мука содержат ферменты: липоксигеназу и р-амилазу. Липок-сигеназа принимает
участие в процессах отбеливания пшеничной муки и стабилизации теста
хлебобулочных изделий, а (З-амилаза, являясь более термостабильной, чем
пшеничная, долго сохраняет активность на ранних стадиях приготовления хлеба,
позволяя интенсифицировать процесс газообразования в тесте и улучшать качество
хлеба.
Белки масличных культур
У масличных семян основной запасающей тканью для белков и ли-пидов
является паренхима семядолей (подсолнечник, хлопчатник, рапс), эндосперм
(семена клещевины, кориандра) или одновременно паренхима семядолей и эндосперм
(хлопчатник, лен). Запасные белки сосредоточены в простых алейроновых зернах
(семена хлопчатника, рапса, горчицы) и сложных (подсолнечник, клещевина).
Простые алейроновые зерна не содержат посторонних соединений, тогда как сложные
включают белковую и небелковую части. Сложные алейроновые зерна подразделяются
на два типа: зерна, содержащие глобоиды - К, Mg, Са-соли инозитфосфорной
кислоты, и зерна, в состав которых входят глобоиды и кристаллоиды. Кристаллоиды
расположены в центре алейроновых зерен и окружены аморфной белковой зоной.
Алейроновое зерно имеет вакуольную природу, вокруг него сосредоточены липи-ды,
находящиеся в клетке, покрытой клеточной оболочкой (рис. 2.15). На долю белка в
составе сухой массы алейроновых зерен приходится 60-80% общего белка семени.
Содержание белков в семенах масличных культур составляет 14-37% на сухое
вещество. В семенах подсолнечника белок содержится в количестве 15%, в ядре -
16-19%, семенах арахиса - 20-37%, конопли - 20-22%, рапсе - 25-26%, в ядрах
клещевины - 18-20%, в ядрах хлопчатника - 34-37%. В белках семян масличных
культур содержится 10-30% альбуминов и до 90% глобулинов. Белки алейроновых
зерен (алейрины) представлены в основном глобулинами (80-97%) и незначительным
количеством альбуминов и глютелинов (1-2%). Проламины в алейроновых зернах
практически отсутствуют. Кристаллоид масличных культур (конопли - эдестин,
клещевины, хлопчатника, мака) представляет собой также глобулины с молекулярной
массой от 15 до 300 кД и выше. В небольших количествах в нем присутствуют
минорные компоненты с молекулярной массой около 600 кД. Глобулины, как и альбумины,
являются смесью индивидуальных белков. В табл. 2.9 приведены состав и
молекулярные характеристики фракций глобулинов. 7S фракция глобулинов масличных
семян, как и у бобовых, называется вицилином, 11S - легумином. Все фракции
Таблица 2.9. Характеристика белковых компонентов масличных культур
|
Культура
|
Коэффициент седиментации
S20, В
|
Молекулярная масса белка,
кД
|
Содержание белка, %
|
|
Подсолнечник
|
15
|
600
|
11
|
|
2
|
20-50
|
22
|
|
11
|
340
|
54
|
|
Рапс
|
2 12
|
50-75 150-350
|
40
|
|
Хлопчатник
|
2
|
15-50
|
25
|
|
7
|
140
|
45
|
|
12
|
180-200
|
20
|
|
Арахис
|
2
|
20-50
|
5-8
|
|
8
|
142-190
|
30
|
|
13
|
330
|
35
|
отличаются друг от друга по аминокислотному составу и по соотношению
кислых и основных субъединиц.
Аморфная зона алейроновых зерен является более гетерогенной по
компонентному составу, чем кристаллоид. В составе этой зоны найдены
гликопротеиды и белки с сильно выраженными основными свойствами, способные к
образованию ионного комплекса с фитиновой кислотой. Физиологическая роль
фитин-белковых комплексов и гликопротеидов на сегодняшний день до конца не
ясна. Предполагают, что оба вида белковых образований легко мобилизуются в
начале прорастания семян. Токсичный белок клещевины рицин также располагается в
аморфной зоне алейроновых зерен.
Белки
кристаллоида являются долговременной формой запаса, при прорастании семян они
распадаются позже, чем белки аморфной зоны. В простых алейроновых зернах
основные запасные белки также являются глобулинами, о чем свидетельствует их
незначительная электрофоретическая гетерогенность и низкая ферментативная
активность. Выяснение вопроса ферментативной активности семян имеет большое
значение для понимания физиологической роли алейроновых зерен, чтобы ответить,
являются ли они инертными хранилищами белка или представляют собой структуры
лизосомного типа<#"555891.files/image013.gif">
Рис. 2.16. Цикл мышечного сокращения
Сущность же процесса расслабления мышцы заключается в отделении
миозиновой (АТФ) головки от F-актина.
В мышечных клетках содержится глобулярный водора створимый хромопротеид
миоглобин, имеющий в качестве простетической группы гем-циклический
тетрапиррол, присутствием которого объясняется красный цвет этого белка.
Тетрапирролы состоят из четырех молекул пиррола, связанных четырьмя
а-метиленовыми мостиками с образованием плоской кольцевой структуры. В центре
плоского кольца находится один атом железа в ферро-состоянии (Fe2+), окисление
которого приводит к потере биологической активности миоглобина.
Биологическая функция миоглобина заключается не в транспортировании
кислорода, как у гемоглобина, а в его запасании. В условиях кислородного
голодания (например, при физической нагрузке) кислород высвобождается из
комплекса с миоглобином и поступает в митохондрии мышечных клеток, где
осуществляется синтез АТФ (окислительное фосфорил ирование).
На примере миоглобина хорошо изучена взаимосвязь функции глобулярного
белка и его структуры. Миоглобин состоит из одной полипептидной цепи с
молекулярной массой 17 кД, включающей 153 остатка аминокислот. Примерно 75%
остатков образуют восемь правых α-спиралей, уложенных в компактную
сферическую молекулу. В местах изгиба полипептидной цепи расположены остатки
пролина, серина, треонина, которые не способны к образованию α-спирали. На поверхности молекулы
находятся полярные остатки, а внутри - неполярные, если не считать двух
остатков гистидина, принимающих участие в связывании кислорода. Присоединение
кислорода к миоглобину сопровождается смещением атома железа, а вместе с ним
гистидина, и ковалентно связанных других остатков аминокислот в направлении
плоскости гемового кольца. В результате эта область белковой молекулы принимает
новую конформацию.
Миоглобин, не связанный с кислородом, называют дезоксимиогло-бином (Mb),
оксигемированный Mb называют оксимиоглобином (МЬО2). Окраска мясопродуктов
зависит от содержания миоглобина, состояния тема и белковой части макроглобулы.
Окисление Fe2+в миоглобине до Fe3+приводит к изменению окраски пигмента от
ярко-красного до темно-коричневого, так как образующийся метмиоглобин (MetMb)
теряет способность связывать молекулярный кислород. Тепловая денатурация глобина
также приводит к потере способности гемового пигмента связывать кислород и
ухудшает цвет изделий.
Кислород миоглобина может замещаться такими лигандами, как оксид азота,
оксид углерода и др., поэтому данное свойство белка мышечной ткани мяса
используется для получения интенсивной окраски мясопродуктов. Нитрит (NO),
применяемый для этой цели, вступая в реакцию с миоглобином, образует
нитрозомиоглобин, переходящий при нагревании в устойчивый пигмент красного
цвета нитрозомиохромоген:
Миоглобин и его производные имеют разные спектральные характеристики,
поэтому для их идентификации при оценке качества мяса применяют
спектрофотометрические методы анализа.
Наиболее распространенным белком в животном мире является коллаген -
главная макромолекула кожи, сухожилий, кровеносных сосудов, костей, роговицы
глаза и хрящей. Он обеспечивает внеклеточную структуру в соединительной
животной ткани, существуя не менее чем в пяти различных типах. Главной
особенностью коллагеновых молекул является трехспиральная структура, каждая
а-цепь (субъединица) которой представляет левозакрученную спираль. В спирали на
каждый виток приходится по три аминокислотных остатка. Три левые а-спира-ли
закручиваются в правые суперспирали, которые в свою очередь объединяются в
фибриллы.
Еще одной характерной особенностью молекулы коллагена является наличие в
ее составе в качестве третьего остатка тройной спирали а-цепи глицина.
Повторяющуюся структуру можно представить как 1ли-X--Y, где X, Y - другие
аминокислоты. Около 100 Х- и 100 Y-положений в коллагене занято пролином и
4-гидроксипролином, соответственно (см. Аминокислоты и их некоторые функции в
организме). В некоторых Х-положениях содержится 3-гидроксипролин, а в Y -
5-гидроксилизин. Остатки "жестких" аминокислот увеличивают стабильность
тройной спирали. По количеству оксипролина определяют степень развариваемости
коллагена при оценке качества мяса.
Коллаген - внеклеточный белок, но он синтезируется внутри клетки в виде
молекул-предшественников, проходя через эндоплазматический ретикулум и комплекс
Гольджи. В результате процесса посттрансляционной модификации тройная спираль
коллагена стабилизируется между внутрицепочными дисульфидными связями,
о-гликозидными связями между остатками сахаридов и гидроксилизина и
перекрестным связыванием цепей и спиральных молекул фибрилл через Шиффовы
основания (см. гл. 3) и альдольную конденсацию.
Близкий по свойствам к коллагену, в эластичных фибриллах соединительной
ткани обнаружен белок эластин, содержащийся в связках и стенках кровеносных
сосудов. Этот белок богат глицином, аланином и лизином, но беден пролином.
Отличительной особенностью эластина является наличие в его структуре поперечных
связей необычного характера. Альдегидные группы, возникшие в результате
окисления аминогрупп боковых цепей остатков лизина и оксилизина,
взаимодействуют с аминогруппой лизина при помощи реакций альдольной
конденсации, дегидратации и окисления, образуя десмозин и изодесмозин. Все
четыре аминогруппы и карбоксильные группы участвуют в образовании пептидных
связей.
Мясо, содержащее много соединительной ткани, остается жестким и после
тепловой обработки; усвояемость коллагена и эластина в нем очень низкая. Однако
при необходимости усиления двигательной функции кишечника целесообразно
использование продуктов, богатых соединительной тканью. В диетах щадящего
режима применяют желатин - продукт неполного гидролиза коллагена. По
аминокислотному составу желатин неполноценен, но желеобразные продукты из него
перевариваются без напряжения секреции пищеварительных органов.
Молоко - это гетерогенная система, в которой в качестве дисперсной фазы
выступают эмульгированные жировые глобулы и коллоидные мицеллы казеина, а в
роли дисперсионной среды - раствор белков, лактозы, солей и витаминов. Общее
содержание белков в молоке колеблется от 2,9 до 3,5%. Среди них выделяются две
основные группы: казенны и сывороточные белки (табл. 2.12). В молоке содержится
более 20 ферментов (ксантиноксидаза, пероксидаза, каталаза, липаза,
холинэстераза,
Таблица 2.12. Состав и молекулярные характеристики белковых компонентов
молока
|
Компоненты
|
Содержание
|
Молекулярная масса, кД
|
ИЭТ
|
|
в % от общих белков
|
в г/л
|
|
|
|
Казеин:
|
78-85
|
...
|
|
|
|
αs1-казеин
|
} 43-54
|
12-15
|
23,0
|
4,4-4,8
|
|
αs2-казеин
|
|
3-4
|
25,0
|
-
|
|
β-казеин
|
25-35
|
9-11
|
24,0
|
4,8-5,1
|
|
χ-казеин
|
8-15
|
2-4
|
19,0
|
5,4-5,8
|
|
Белки сыворотки:
|
15-25
|
6-8
|
|
|
|
β-лактоглобулин
|
7-12
|
3,6
|
18,3
|
5,1
|
|
α-лактальбумин
|
2-5
|
1,7
|
14,2
|
4,2-4,5
|
|
иммуноглобулины
|
1,5-2,5
|
0,6
|
150-1000
|
5,5-8,3
|
|
альбумин сыворотки крови
|
0,7-1,3
|
0,4
|
69,0
|
4,7-4,9
|
α-амилаза, лизоцим, протеаза и др.), а
также гормоны (пролактин, окси-тоцин, кортикостероиды, тироксин, трииодтиронин
и др.) и белки в составе оболочек жировых шариков.
Основными белками молока являются казенны, которые легко перевариваются и
являются источниками незаменимых аминокислот, кальция, фосфора и ряда
физиологически активных пептидов. Так, при действии в желудке на k-казеин
химозина высвобождаются глико- и фосфопептиды, которые регулируют секрецию
желудочного сока, моделируют физико-химические свойства белков (растворимость,
вязкость, заряд, денатурацию), осуществляют защиту от про-теолиза и влияют на
проницаемость мембран клеток. Важнейшими физиологическими функциями обладают и
сывороточные белки. Иммуноглобулины выполняют защитную функцию, лактоферрин и
лизоцим (фермент) являются носителями антибактериальных свойств, а лактоферрин
и β-лактоглобулин выполняют транспортную
роль, перенося в кишечник микро- и макроэлементы, витамины и липиды. α-Лактальбумин необходим для синтеза
лактозы в молоке из УДФ-галактозы и глюкозы.
Для большинства компонентов казеина, α-лактальбумина, β-лактоглобулина и компонентов
протеозо-пептонной фракции расшифрованы первичные и некоторые фрагменты
вторичной, третичной и четвертичной структуры. Так, молекулы казеина имеют
небольшое количество α-спиралей - 1-6% (тогда как, например, а-лактальбумин
состоит из 26% α-спирали, β-конформации) и только остальное
количество белка представляет собой неупорядоченную структурную организацию.
При образовании четвертичной структуры казеина большая роль отводится
гидрофобным взаимодействиям и фосфат-кальциевым мостикам и меньшая -
электростатическим и водородным связям. Фосфаткальциевые мостики являются
основой казеинаткальциевого фосфатного комплекса, в виде которого и содержится
казеин в молоке:
Кальций в составе комплекса выполняет роль структурообразовате-ля,
создавая мостик между серинфосфатными группами двух молекул казеина, а остатки
фосфорной кислоты усиливают кислые свойства белка, обусловленные присутствием в
полипептидах β- и γ-карбоксильных групп аспараги новой и глутаминовой
кислот. Казеин из молока осаждается при рН 4,6-4,7, когда на его молекулах
наступает равенство положительных и отрицательных зарядов. Осажденный казеин
практически не растворяется в воде, но растворяется в слабощелочной среде и
растворах солей щелочных металлов и минеральных кислот. Нерастворимый казеин
обладает способностью связывать воду в достаточно больших количествах (более 2
г на 1 г белка), что очень важно для устойчивости частиц белка в сыром,
пастеризованном или стерилизованном молоке. Гидрофильные свойства казеина усиливаются
при взаимодействии его с р-лактоглобулином, которое наблюдается в процессе
тепловой обработки молока, и от них зависят структурно-механические свойства
сгустков, образующихся при кислотном свертывании или получении сырной массы при
созревании сыров.
Промышленные казенны получают из обезжиренного молока действием кислот,
кисломолочной сыворотки, введением солей кальция, химозина или других
ферментов. В зависимости от способа получения различают казеинат натрия,
казеинат кальция, кислотный, сычужный казеин и копреципитат с разными
функциональными свойствами. Для регулирования последних часто используют
неполный ферментативный гидролиз или смешение с растительными белками и их
совместную сушку. При производстве новых форм белковой пищи (аналогов мясных и
рыбных продуктов) большое значение имеет гелеобразование казеина, его
взаимодействие с веществами небелковой природы, образование стойких эмульсий и
явление синерезиса.
Белки молока характеризуются высокой биологической ценностью, они
содержат в избыточных количествах лизин и триптофан с одновременным недостатком
серосодержащих аминокислот (см. Пищевая и биологическая ценность белков). Белки
сыворотки содержат незаменимые аминокислоты в значительно больших количествах,
чем казеин, включая лизин, треонин, триптофан, метионин и цистеин.
На долю сывороточных белков от общего количества белков в молоке
приходится 0,5-0,8%. β-Лактоглобулин устойчив в кислой среде желудка к действию
пепсина, поэтому расщепляется только в кишечнике трипсином и химотрипсином. В
процессе пастеризации молока белок денатурируется, образуя комплексы с
к-казеином, и осаждается вместе с ним при кислотной и сычужной коагуляции.
Податливость данного комплекса действию сычужного фермента понижается. α-Лактальбумин не осаждается в изоэлектрической
точке (рН 4,6), не свертывается под действием сычужного фермента и
термостабилен в силу большого количества дисульфидных связей. Иммуноглобулины
по химической природе являются гликопротеидами. Они выполняют свою функцию,
вызывая агглютинацию микроорганизмов и других чужеродных клеток. Выделены три
основные группы иммуноглобулинов: G, А и М. Среди них имеются мономеры и
полимеры, состоящие из тяжелых и легких полипептидных цепей с молекулярной
массой 50 кД и 25 кД, соответственно.
Различают два основных типа молочной сыворотки: сладкую, образующуюся при
производстве сыров, и кислую, получаемую при осаждении творога и казеинов. Для
применения молочной сыворотки в качестве добавок в хлебопекарной, кондитерской
промышленности, для производства смесей для детского питания ее концентрируют
методами сушки, ультрафильтрации, электродиализом и осаждением белка в виде
комплексов с полиэлектролитами. Для получения изолятов, концентратов и
копреципитатов применяют термоденатурацию с последующим осаждением белка в ИЭТ
(рН 4,5-4,6) и комплексообразование с анионными полисахаридами (КМЦ, альги-наты
и пектины). Эти способы позволяют выделять до 70-90% полноценного белка
молочной сыворотки и варьировать его функциональные свойства.
.7 НОВЫЕ
ФОРМЫ БЕЛКОВОЙ ПИЩИ. ПРОБЛЕМА ОБОГАЩЕНИЯ БЕЛКОВ ЛИМИТИРУЮЩИМИ АМИНОКИСЛОТАМИ
Основным направлением научно-технического прогресса в области
производства продовольствия в последние три десятилетия является интенсификация
процессов приготовления пищи с одновременным приданием ей комплекса свойств,
отражающих требования науки о здоровом питании. Новые пищевые производства в
качестве приоритетных включают технологии получения белковых продуктов. Эти
технологии основываются на фундаментальных и прикладных знаниях в области
пищевой, физической, биологической, биоорганической химии, генетики,
молекулярной биологии, биофизики и ряда технических дисциплин. Объективные
причины создания принципиально новых технологий получения белковых компонентов
пищи следующие: рост численности населения, осознание людьми того, что ресурсы
планеты не безграничны, необходимость выпуска пищевых продуктов с составом,
соответствующим современному образу жизни, и возможность использования
накопленных человеком теоретических знаний в прикладных целях. Отличительной
особенностью технологий производства белковых продуктов является возможность
целенаправленного использования отдельных фракций белков и комплексной
переработки сырья с одновременным получением других полезных пищевых
ингредиентов (крахмала, масла, пектина, фосфатидов и т. д.).
Новые формы белковой пищи - это продукты питания, получаемые на основе
различных белковых фракций продовольственного сырья с применением научно
обоснованных способов переработки и имеющие определенный химический состав,
структуру и свойства, включая биологическую ценность.
Объективной количественной оценкой создания и развития отрасли
производства растительных белковых продуктов (фракций) является наличие
сельскохозяйственного сырья, высокопроизводительного оборудования (экстракторов,
сепараторов, центрифуг, сушилок и т. д.) и конкурентоспособных технологий. К
потенциальным сырьевым источникам относят: зернобобовые (соя, горох, чечевица,
люпин, фасоль, нут); хлебные и крупяные культуры (пшеница, тритикале, рожь,
овес, ячмень, кукуруза) и побочные продукты их переработки (отруби, сечка,
мучка, зародыш); масличные (подсолнечник, лен, рапс, кунжут); псевдозлаковые
(амарант); овощи и бахчевые (картофель, тыква); вегетативная масса растений
(люцерна, клевер, люпин, сахарная свекла, зеленый табак); продукты переработки
фруктов и ягод (косточки абрикоса, сливы, вишни, кизила, винограда и т. д.);
кедровые и другие виды орехов. Не менее важными факторами, определяющими выбор
сырьевых источников, являются: количество и состав белка, биологическая
ценность, возможность удаления антипитательных веществ, функциональные
свойства, способность к хранению, возможность глубокого фракционирования с
получением как основных (белковых), так и побочных продуктов питательной (жир,
крахмал) или лечебно-профилактической (пектин, сорбит, ксилит, лецитин,
антоцианы, витамины, глюкозо-фруктозные сиропы и т. д.) ценности. Производства
по выпуску пищевых белков строят вблизи от биохимических или кормовых заводов с
целью получения ряда дополнительных ингредиентов (дрожжи, ферментные препараты,
сухая мезга и т. д.) или организовывают специализированные цеха на действующих
предприятиях.
Традиционными источниками для производства белковых продуктов являются
соя и пшеница. Продукты из соевых белков подразделяются на три группы,
отличающиеся по содержанию белка: мука-крупа, концентраты, изоляты. На базе
указанных видов белковых продуктов организуется производство и маркетинг
текстурированной муки, концентратов и изолятов. Выпускаются модифицированные и
специальные белковые продукты. Соевая мука и крупа производятся на мельничном
оборудовании путем измельчения до определенного размера частиц обезжиренных или
необезжиренных семян с последующим их просеиванием. В муке и крупе содержится
40-54% (N х 6,25) белка от общей массы продукта. Разные виды муки (крупы)
отличаются по содержанию жира, размеру частиц и степени тепловой обработки. От
интенсивности теплового воздействия зависят КРА, КДБ, активность ферментов
липоксиге-назы, уреазы и ингибиторов протеаз. Соевые белковые концентраты
изготавливаются из очищенных и обезжиренных соевых бобов (белых лепестков)
путем удаления растворимых в воде небелковых компонентов (олигосахаридов,
ферментов, минеральных веществ). Концентраты содержат 65-70% белка на сухое
вещество (N х 6,25). Соевые белковые изоляты являются наиболее очищенной формой
белковых продуктов, так как содержат не менее 90% белка на сухое вещество.
Белок экстрагируется из измельченного белого лепестка слабощелочным раствором
(рН 8-11) с последующим осаждением в изоэлектрической точке (4,2-4,5) и
отделением в виде творожистой массы от олигосахаридов. Белковая масса
промывается, нейтрализуется до рН 6,8 и сушится.
Назначение текстурированных белковых продуктов заключается в придании
пищевым изделиям волокнистой или многослойной (кускообразной) структуры. После
гидратации такие белковые продукты по внешнему виду и структуре напоминают
мясо, птицу или морские продукты, выступая при этом в роли аналогов
традиционных пищевых продуктов. Многослойная мясоподобная структура соевых белковых
продуктов может формироваться с помощью термопластической экструзии. Основные
стадии процесса включают: дозирование сырья → кондиционирование
(увлажнение, нагревание) → варочный процесс → ламинарное течение
(ориентация молекул белков) → формирование волокон → разрезание
продукта на кски → сушка. В основе экструзии лежит процесс
реструктуризации белка, заключающийся в том, что под влиянием температуры,
увлажнения и механического воздействия макромолекулы его формируют
вязкопластичную массу, выстраивающуюся в направлении сдвига, с образованием
новых поперечных связей. В результате образуется многослойная объемная
жевательная структура, пригодная для использования в качестве наполнителей или
аналогов.
Особые соевые продукты представлены соевым соусом, тофу (соевым
творогом), соевым молоком, мисо (соевой пастой) и другими видами.
Модифицированные белки (частично или полностью гидроли-зованные) получают из
белковых продуктов с применением протеолитических ферментных препаратов
(пепсин, папаин, бромелаин) или кислотного гидролиза. Такие белки используются
как функциональные и вкусовые добавки к пище.
Из пшеницы или пшеничной муки методом водной экстракции небелковых и
растворимых белковых компонентов получают сухую пшеничную клейковину. Так как
клейковина является скоропортящимся продуктом, то важное место в
технологическом процессе производства клейковины занимает сушка. Во-первых,
влажность готового продукта не должна превышать 10%, а во-вторых, клейковина
должна быть нативной, или "витальной". Первое условие необходимо в
целях успешного хранения, а второе - для обеспечения широкого использования
клейковины как технофункционального ингредиента. В клейковине содержится белка
не менее 75-80% (N х 5,7), жира - 0,5-1,5%, клетчатки - 1,5%, зольность -
0,8-1,2%.
Несмотря на то, что в индустрии пищевых белков разработано и внедрено
огромное количество технологий, существуют перспективные направления, которые
заключаются в получении белковых продуктов повышенной пищевой и биологической
ценности из нетрадиционного сырья, фракционировании белков на компоненты с
разными молекулярными массами (например, 7S и 11S белки сои),
физико-химическими, функциональными и фармакологическими характеристиками и
разработке на их основе нового поколения белковых добавок (композитов) с полифункциональными
свойствами и многоцелевого назначения.
Растительный белок зерновых и других культур в общей массе уступает
животному по содержанию незаменимых аминокислот (лизина, треонина и
триптофана). Поэтому уже сегодня по всему миру широко разрабатываются и
внедряются в жизнь специальные программы питания, предусматривающие применение
растительных белков или лимитирующих аминокислот для взрослого населения,
школьников и детей. Оптимальный баланс незаменимых факторов питания
обеспечивается путем правильного подбора и сочетания различных видов белков
(эффект взаимного обогащения^. Дополнение в пищу, например, сои является
прекрасным методом восполнения недостатки лизина в пшенице, кукурузе и рисе. За
счет правильного подбора составляющих в смесях из хлебных, бобовых и масличных
культур можно значительно повысить КЭБ, за эталон которого принимают показатель
для казеина (2,5). Смеси из хлебных культур с соевыми продуктами комплементарны
по аминокислотному составу уже при соотношении 50:50, однако идеальным считают
- 30:70.
В зависимости от соотношения белковых составляющих различают эффекты
истинного и простого обогащения. Эффект истинного обогащения наблюдается в том
случае, если скор для каждой незаменимой аминокислоты в белке создаваемого
продукта не менее 1,0, а простого - если значения аминокислотного скора
композиции хотя и меньше 1,0, но выше, чем значения данного показателя для
белков каждого продукта в отдельности. Сбалансированность аминокислотного
состава в белковых продуктах положительно отражается на их усвояемости. Если
усвояемость белков растений по сравнению с казеином составляет 60-80%, то
усвояемость белков, находящихся в составе концентрированных белковых продуктов
с большим количеством незаменимых аминокислот, - 80- 100%.Так, усвояемость взрослым
человеком соевых белковых концентратов и изолятов, как и белков молока,
находится в пределах 91-96%, сухой пшеничной клейковины - 91%, а белковой муки
из пшеничных отрубей - 94%. Данный показатель возможно повысить до 97-99%
смешиванием их с лимитирующими аминокислотами. Например, добавление 0,5-1,5%
метионина к белковым продуктам из сои приближает их по питательной ценности к
идеальному белку, а добавление триптофана в пищу вызывает образование в
организме человека антител и повышает его иммунитет. В табл. 2.13 показано
влияние добавок аминокислот на качество зернового корма, оцениваемое по КЭБ.
В производстве продуктов и кормов уже давно применяют добавки
лимитирующих аминокислот, производство которых в мире представляет собой
крупнотоннажную специализированную отрасль. Более 98% производства (по данным
ФАО) приходится на метионин, лизин и триптофан. Основными способами получения
аминокислот являются методы микробиологического (лизин, треонин, валин) и
химического (метионин, триптофан, фенилаланин) синтеза, однако часть дефицитных
аминокислот можно получать с применением ферментативных методов (метионин),
экстракцией (цистин, тирозин) и генной инженерии (лизин, треонин).
Употребление аминокислот в пищу требует тщательного контроля со стороны
медиков и специалистов по питанию, так как здесь необходимы особые методы их
потребления и приемы введения. Лимитирующие аминокислоты, находясь в составе
пищи и не участвуя в полостном пищеварении, либо быстро поступят в кровеносную
систему, либо останутся в кишечнике, где под влиянием микрофлоры станут
объектом образования токсичных продуктов. Разница во времени поступления в
кровь свободных аминокислот и аминокислот, образовавшихся при переваривании
белков пищи, будет способствовать протеканию негативных ферментативных
превращений дезаминирования, декарбоксилирования и т.д. Свободные аминокислоты,
не принимая участие в синтезе белков тела, могут стать источником токсичных
биогенных аминов и аммонийных солей. Наиболее высокой токсичностью обладают
продукты
Таблица 2.13. Влияние добавок аминокислот на КЭБ зерновых культур
|
Зерновая культура
|
Аминокислота
|
КЭБ
|
|
|
без добавки
|
добавкой
|
|
Пшеница
|
L-лизин (0,2%)
|
0,7
|
1,6
|
|
L-лизин (0,4%) + DL-треонин
(0,3%)
|
0,7
|
2,7
|
|
Рис
|
L-лизин (0,02%) +
DL-треонин (0,2%)
|
1,5
|
2,6
|
|
Кукуруза
|
DL-лизин (0,4%) +
L-триптофан (0,07%)
|
0,9
|
2,6
|
дезаминирования триптофана, тирозина, гистидина. Так, гистамин и
серотонин, образующиеся при декарбоксилировании гистидина и триптофана,
соответственно, относятся к веществам, вызывающим аллергию.
Употребление ценных растительных белков в пищу в целом положительно
отражается на здоровье людей. Поставляя организму незаменимые аминокислоты,
белковые продукты являются источником пищевой клетчатки, способной образовывать
структурные комплексы с лечебно-физиологической функцией воздействия на
моторику кишечника и регуляцию уровня холестерина в крови. Растительные белки
снижают уровень сывороточных липидов у больных гиперлипидемических состояний
(атеросклероз, гипертония, сахарный диабет, желчекаменная болезнь, эндокринные
расстройства и др.), в связи с чем интерес к замене животных белков на
растительные в последние годы особенно возрастает. Так, замена в рационе
питания больных с повышенным содержанием липопротеидов и холестерина в крови
мясо-молочных продуктов на соевые белковые изоляты понижает уровень общего
холестерина и холестерина с ЛМП.
.8
ФУНКЦИОНАЛЬНЫЕ СВОЙСТВА БЕЛКОВ
Растительные белки находят применение в производстве пищевых продуктов в
качестве ингредиентов питательной, технологической и лечебно-профилактической
значимости благодаря присущим им уникальным функциональным свойствам. Понятие
"функциональные свойства белков" впервые ввели Серкл и Джонсон в 1962
г. Под функциональными свойствами понимают физико-химические характеристики
белков, определяющие их поведение при переработке в пищевые продукты и
обеспечивающие определенную структуру, технологические и потребительские
свойства (В. Толстогузов, 1987).
К наиболее важным функциональным свойствам белков относятся
растворимость, водосвязывающая и жиросвязывающая способность, способность
стабилизировать дисперсные системы (эмульсии, пены, суспензии), образовывать
гели, пленкообразующая способность, адгезионные и реологические свойства
(вязкость, эластичность), способность к прядению и текстурированию.
Белки с высокими функциональными свойствами хорошо растворяются в воде,
образуют прочные гели, стабильные эмульсии и пены; белки с низкими
функциональными свойствами не набухают в воде, не способны образовывать вязкие,
эластичные массы, гели, не стабилизируют пены и эмульсии. Некоторые известные
белки не попадают под указанные выше закономерности. Так, белки пшеничной
клейковины, несмотря на низкую растворимость в воде (2-5%), образуют
структурные коллоидные системы - гели, которые выдерживают нагревание,
замораживание и сушку, а белки из отрубей и тритикале с растворимостью 10-20%
обладают высокими жироэмульгирующими и пенообразующими свойствами. Отклонения
от указанных выше закономерностей объясняются трудностью создания в
экспериментах при оценке функциональных свойств стандартных условий, так как
белки имеют разные оптимальные значения свойств, а модельные системы не
учитывают многофункциональность и взаимодействие белков с другими компонентами
пищи (липидами, углеводами и т. д.). Поэтому признано, что функциональные
свойства белков должны выражаться не только в численных значениях, но и в
профилях зависимостей от технологических или других факторов. Данный подход в
оценке функциональных свойств нашел отражение в применении для белков нового
термина - "технофункциональные", включающего особенности
технологических процессов при производстве, хранении и потреблении пищевых
продуктов. При этом функциональные свойства белков оцениваются для конкретных
пищевых систем в рамках выбранного направления путем сравнения их со свойствами
традиционных или других известных белков.
Растворимость, являясь первичным показателем оценки функциональных
свойств белков, характеризуется коэффициентами КРА и КДБ. В первом случае
определяют количество азота, во втором - количество белка, перешедшего в
раствор (в процентах от общего содержания его в продукте). Специфическая
последовательность аминокислотных остатков в полипептидных цепях, неравномерное
расположение гидрофобных и гидрофильных групп на поверхности белков, наличие
или отсутствие спирализованных участков обуславливают особенности
функциональных свойств. Растворимость в наибольшей степени зависит от
присутствия нековалентных взаимодействий: гидрофобных, электростатических и
водородных связей (см. Строение пептидов и белков). При рассмотрении
гидрофобных взаимодействий белков различают среднюю и относительную
(поверхностную) гидрофобность. Под средней гидрофобностью понимают энергию
стабилизации, приходящуюся на одну неполярную боковую группу при связывании ее
внутри глобулы белковой молекулы, под относительной - степень гидрофобного
взаимодействия неполярных остатков аминокислот, расположенных на поверхности
глобул. Последний вид гидрофобности оценивается по связыванию с липидами и
углеводами, распределению белков в двухфазных водных системах, содержащих
полимеры с разной гидрофобностью, и т.д. За счет относительной гидрофобности
осуществляется взаимодействие с липидами и формируется четвертичная структура
белков. Чем ниже относительная гидрофобность белков (то есть ниже взаимодействие
между глобулами и выше сила отталкивания), тем выше взаимодействие их с
молекулами растворителя, следовательно выше растворимость.
Вклад электростатических сил в растворимость белков зависит от рН среды и
присутствия солей. При рН, соответствующем ИЭТ, белки имеют наименьшую
растворимость, так как суммарный заряд на их молекулах равен нулю и частицы
лишены способности отталкиваться за счет электростатических взаимодействий с
молекулами растворителя. В кислой или щелочной среде, наоборот, обеспечивается
взаимодействие противоположно заряженных ионов растворителя (Н+ или ОН-
соответственно) с поверхностями белковых частиц, заряженных положительно в
кислой среде и отрицательно в щелочной, а значит и переход белков в раствор. В
кислой среде белок имеет положительный заряд вследствие подавления диссоциации
карбоксильных (-СООН) групп, в щелочной - отрицательный за счет подавления
диссоциации основных (-NH2) групп.
Зависимость растворимости белков от концентрации солей носит нелинейный
характер. При добавлении небольших количеств солей растворимость увеличивается,
так как ионы препятствуют электростатическому взаимодействию боковых групп
белка между собой. Высокие концентрации солей, снижающие гидратацию
полипептидных цепей, наоборот, усиливают гидрофобные белок-белковые
взаимодействия и вызывают выпадение белка в осадок (высаливание). Использование
в качестве растворителя воды, разбавленных растворов солей, щелочей и
водно-спиртовых растворов обеспечивает перевод гетерогенных смесей в раствор,
соответственно, альбуминов, глобулинов, глютелинов и проламинов и получение
белковых фракций, различающихся по аминокислотному составу, молекулярным массам
и функциональным свойствам.
Различия в растворимости белков пищевого сырья лежат в основе
технологических процессов выделения изолятов и концентратов и имеют
непосредственное отношение к качеству многих пищевых продуктов. Важное значение
растворимость белков имеет для повышения качества пищевых продуктов, в
производстве которых предусмотрен их гидролиз (автолиз) и денатурация
(начальные технологические стадии, сушка и хранение). Потеря растворимости, как
правило, сопровождается изменением и других важных функциональных свойств, что
в значительной мере отражается на качестве продуктов и степени перевариваемости
белка в желудочно-кишечном тракте. Особые требования к растворимости белков
предъявляются при использовании последних в производстве напитков, хлебных,
мучных кондитерских и макаронных изделий. В напитках применяются белки с
высокой растворимостью, в изделиях из муки - с низкой. Применение белков с
чрезмерно высокой растворимостью в составе хлебопекарных улучшителей
отрицательно отражается на эластично-вязкоупругих свойствах теста.
Незначительное количество растворимого белка должно содержаться в
текстурированных формах белка, зерновых продуктах, приготовленных
высокотемпературной экструзией, и макаронных изделиях.
Свойства белковых суспензий. При использовании белков в качестве
обогатителей, наполнителей (разбавителей), функциональных ингредиентов и
аналогов мясных и рыбных изделий большое значение имеют такие свойства белковых
суспензий, как ограниченная степень набухания и размер частиц, водо- и
жиросвязывающая способность, адгезионные свойства, значение рН и буферная
емкость, образование вязко-упругоэластичных масс и гелей.
Водосвязывающая способность характеризуется адсорбцией воды при участии
гидрофильных остатков аминокислот, жиросвязывающая - адсорбцией жира за счет
гидрофобных остатков. При невысокой влажности гидрофильные группы,
взаимодействуя с молекулами воды, образуют мономолекулярный слой, при высокой -
вокруг глобул белка формируется многослойная структура с одновременным
проникновением воды во впадины и выступы. Общее количество воды и жира на
поверхности достигает 0,2-0,4 г на 1 г белков.
Способность белков удерживать жир и воду зависит не только от
особенностей аминокислотного состава и структуры, но и от фракционного состава,
способа обработки, рН среды, температуры и присутствия углеводов, липидов и
других белков. В пшеничном тесте при добавлении соевого белка или пшеничной
клейковины водопоглотительная способность положительно коррелирует с
количеством нерастворимой фракции белков и отрицательно - с содержанием
растворимой. Высокая способность белков удерживать воду в пищевых продуктах
(мясных, хлебобулочных и т.д.) повышает выход последних, удлиняет сроки
хранения и улучшает текстуру. Денатурированные белки имеют пониженную
водосвязывающую способность, и их применение отрицательно сказывается на
качестве хлеба. Высокая жироудерживающая способность белков обеспечивает нежную
и однородную текстуру изделий, исключает отделение жира, сморщивание изделий,
уменьшает потери при варке и жарении.
Жироэмульгирующая и пенообразующая способности белков широко используются
в практике получения жировых эмульсий и пен. Присутствие в одной белковой цепи
гидрофобных и гидрофильных группировок обеспечивает распределение молекул
определенным образом на границе раздела фаз вода-масло и вода-газ. Ориентация
гидрофильных групп белка к воде, а гидрофобных - к маслу на границе раздела фаз
в виде прочного адсорбционного слоя снижает поверхностное натяжение в
дисперсных системах и делает их агрегативно устойчивыми и одновременно вязкими.
Наиболее широко распространены пищевые эмульсии "масло в воде" (м/в)
и "вода в масле" (в/м), называемые, соответственно, прямыми и
обратными. В производстве новых форм белковой пищи большое значение приобрели и
эмульсии "вода в воде" (в/в). Все виды эмульсий с белком получают
механическим диспергированием одной жидкости в другой при помощи мешалок, гомогенизаторов,
обеспечивающих в поле сил сдвига деформацию дисперсионной среды с образованием
мелких частиц. Эмульгирующие свойства белков оценивают по эмульгирующей
способности, эмульгирующей емкости, стабильности эмульсий и т.д., описание
которых можно найти в специальной литературе.
Пены (дисперсные системы с газообразной фазой и жидкой или твердой
средой) получают механическим распределением воздуха в растворе белка путем
взбивания или за счет вскипания воды, понижения давления, обеспечения
химических и микробиологических процессов в белоксодержащих пищевых системах.
Так, белки клейковины образуют пену в хлебном тесте под действием диоксида
углерода при брожении, а в кондитерском - за счет химических разрыхлителей при
выделении аммиака и диоксида углерода. Пенообразующие свойства белков
характеризуются пенообразующей способностью и стабильностью пены. Первый
показатель измеряется объемом пены, отнесенным к массе белка, второй - периодом
ее полураспада, то есть временем, необходимым для разрушения половины объема
пены. Оба показателя зависят от рН среды, концентрации белка, солей,
температуры, присутствия липидов, сахарозы, пищевых волокон, фракционного
состава и строения белков. Для качества некоторых пищевых продуктов большое
значение имеет размер пузырьков пен, который также зависит от технологических и
других факторов. Глютенин пшеницы, например, образует пузырьки пены с большим
размером, чем глиадин. После расщепления дисульфидных связей в глиадине и целой
клейковине размер пузырьков не изменяется, в то время как у глютенина он
уменьшается.
На основе жироэмульгирующих свойств растительные и животные белки
применяются в производстве хлебобулочных, мучных кондитерских изделий,
низкокалорийных маргаринов, майонезов, паст, мясных продуктов, а пенообразующие
свойства являются основой производства сбивных кондитерских изделий (бисквитов,
десертов, кремов и т. д.). Способность белковых суспензий к сцеплению с
поверхностями металла, пластмасс, картона, бумаги (адгезия) важна в процессах
транспортировки, обработки, формования и упаковки тестовых, творожных, сырных,
конфетных масс, мясных и рыбных фаршей, текстуратов белка и новых форм белковой
пищи (аналогов).
Гелеобразующие свойства белков характеризуются способностью их
коллоидного раствора из свободно диспергированного состояния переходить в
связнодисперсное (с образованием систем, обладающих свойствами твердых тел).
Упругие свойства геля, обусловленные образованием пространственной сетки
взаимодействующих молекул белка, зависят от минимальной его концентрации, при
которой наступает гелеобразование (гель-точки), от рН, от присутствия других
белков, солей, полисахаридов. Белок как гелеобразователь должен образовывать
гели в широком диапазоне рН, ионной силы, при минимальной концентрации и с
необходимыми физико-химическими свойствами. К последним относятся прочность,
твердость, эластичность, тиксотропия (способность обратимо переходить в текучее
состояние при механической обработке и вновь образовывать нетекучий гель после
снятия нагрузки), температура размягчения и плавления, степень набухания,
способность к синерезису (отделение дисперсионной среды с сокращением объема
геля), сорбция красителей и ароматических веществ и т.д. К подобного рода
"универсальным" гелеобразователям относится желатин, позволяющий в
широких пределах обеспечить регулирование химического состава и биологическую
ценность пищевых продуктов.
Различают наполненные, смешанные, комплексные, анизотропные гели и
ксерогели. Наполненные гели содержат другие белки в суспензированном или
растворенном виде, смешанные состоят из пространственных сеток с разными видами
белков, у комплексных гелей роль гелеобразователя выполняют комплексы белков с
другими соединениями. Отличительной особенностью анизотропных гелей является
наличие в их составе ориентированных молекул белка, а ксерогелей (сухих гелей)
- возможность хранения их в течение длительного времени.
Вязко-эластично-упругие свойства. Отличительным свойством некоторых
пищевых белков является низкий уровень полярности функциональных групп.
Молекулы воды, окружая частицы белков, отталкиваются, а молекулы белков,
наоборот, агрегируются с образованием комплексов с присущими им реологическими
свойствами (вязкость, эластичность, упругость). Наиболее выраженным комплексом
таких свойств обладают белки пшеничной клейковины, обуславливающие текстуру
хлеба и создающие непрерывную фазу в изделиях с наполнителями (зерно, отруби,
изюм). За свойство упругости и эластичности белков ответственность несет
глютениновая фракция белков.
С целью обеспечения стабильности технологического процесса, улучшения
качества и расширения ассортимента пищевых изделий осуществляют регулирование
функциональных свойств. Функциональные свойства белков определяются их
структурой. Например, вязкость и гелеобразующие свойства соотносятся с размером
и формой молекул, а водосвязывающая способность, пенообразующие и эмульгирующие
свойства коррелируют с соотношением на поверхности полярных и гидрофобных
групп. Все факторы, которые изменяют структуру белков, вызывают и регулирование
(модификацию) их свойств.
Регулирование функциональных свойств белков достигается изменением
условий их выделения, сушки, физическими, физико-химическими воздействиями,
ферментативной и химической модификацией. Параметры обработки могут изменять
аминокислотный и фракционный состав белков, вызывать денатурацию, агрегацию или
взаимодействие с другими компонентами (липидами, углеводами).
Наиболее широко используемыми методами регулирования функциональных
свойств являются физико-химические и ферментативные. К физико-химическим
методам относятся перевод белков перед сушкой в раствор кислот, щелочей,
оснований - с целью изменения заряда или ионного состава, тепловая денатурация
и т.д. При этом у белков улучшаются функциональные свойства: повышается
растворимость, гелеобразующая, жироэмульгирующая способность, способность к
текстурированию и прядению.
Функциональные свойства белков улучшаются и за счет обработки их
веществами липидной (лецитин, стеароил-2-лактилат натрия или кальция, моно- и
диацилглицерины), углеводной (пектины, альгинаты, каррагинаны, камеди) или иной
природы (поливалентные металлы).
Реакционные группы белков взаимодействуют с различными типами соединений
с образованием при этом композитных формул. Последние усиливают процессы
водопоглощения, эмульгирования жира, гелеобразования, структурирования и тем
самым улучшают качество готовых изделий.
Хорошо изучено взаимодействие белков с заряженными полисахаридами,
приводящее к получению нерастворимых электростатических комплексов. При этом
наблюдается фазовое расслоение системы. Регулирование функциональных свойств
белков в составе суспензии достигается добавлением в состав пищевых дисперсных
систем, например мясных фаршей, анионных полисахаридов (пектаты, альгинаты,
карбоксиметилцеллюлоза) или применением последних на стадии осаждения белка из
растворов. Комплексообразование белков с полисахаридами эффективно и для
избирательного фракционирования белковых компонентов за счет сорбции их как при
одноименных, так и разноименных зарядах с молекулами анионов.
Комплексы белок - анионный полисахарид имеют большую набухаемость,
хорошую водоудерживающую способность и более высокие поверхностно-активные
свойства. В присутствии, например, пектина и каррагинана эмульсионная емкость и
стабильность жировой эмульсии с казеинатом натрия повышаются (Э. Токаев, И.
Рогов и др., 1982). Образование комплекса белок - анионный полисахарид (КМЦ,
гуммиарабик и др.) с казеином, глобулинами сои обеспечивает и получение более
стабильных пен при более высокой массовой доле белка в них (В. Толстогузов, Е.
Браудо и др., 1985).
При образовании комплексов белка с анионными полисахаридами большая роль
отводится взаимодействию положительно заряженных групп белка с отрицательно
заряженными группами полисахаридов, а также образованию гидрофобных
взаимодействий и водородных связей между комплексообразователями. При
формировании таких комплексов иногда изменяется вторичная структура белка.
Ферментативная модификация функциональных свойств белков осуществляется с
использованием ферментов (табл. 2.14) растительного, микробного или животного
происхождения. Преимуществом таких методов являются мягкие режимы выделения
белков, сохранение биологической ценности и возможность регулирования глубины
той или иной реакции. К недостаткам методов относится ограничение процессов
модификации из-за высокой степени специфичности ферментов.
Таблица 2.14. Методы ферментативной модификации белков [К. Швенке, 2000]
|
Реакция
|
Фермент
|
Реагирующие функциональные
группы
|
Структурные эффекты
|
|
Протеолиз
|
Протеиназы
|
Специфическое расщепление
пептидных связей
|
Уменьшение молекулярной
массы, гидрофилизация
|
|
Пластеиновая реакция
|
Протеиназы
|
Пептидные связи, -NH2 и
-СООН
|
Транспептидация после
ферментативного расщепления
|
|
Гликозилирование
|
Трансглугаминаза
|
-Glu-CO-NH2
|
Гидрофилизация
|
|
Фосфорилироваие
|
Протеинкиназы
|
-ОН
|
Тоже
|
|
Дезамидирование
|
Пептидоглутаминазы,
трансглутаминазы
|
-Glu-CO-NH2
|
" "
|
|
Сшивание
|
Трансглутаминазы,
|
-Glu-CO-NH2
|
Стабилизация структуры
|
|
пероксидаза,
|
Tyr
|
|
|
полифенолоксидаза
|
Tyr
|
|
Из ферментативных методов модификации наибольшее распространение получил
метод ограниченного ферментативного протеолиза. С его использованием для замены
яичного альбумина выпускают пенообразующие модифицированные белки: гидролизаты
изолята и гидролизаты муки.
При ограниченном протеолизе, например, легумина кормовых бобов под
влиянием трипсина - фермента пищеварительного тракта - расщепляются пептидные
связи только α-цепей, тогда как (β-цепи остаются незатронутыми. И только
в ходе дальнейшего глубокого протеолиза β-цепи 11S белка расщепляются на
пептиды.
Гидролитический распад гидрофильных а-цепей приводит к понижению
молекулярной массы с 340 до 240 кДа и к возрастанию степени гидрофобности
"Обрубка" - легумина Т. Молекулы белка становятся более компактными,
сферическими и с высокой термодинамической стабильностью (Браудо Е. Е., 1997).
При этом улучшаются эмульгирующие и пенообразующие свойства белков.
Аналогичная взаимосвязь между особенностями структуры 11S глобулинов,
подвергнувшихся ограниченному протеолизу, и функциональными свойствами
существует и у гороха и у сои. Разница заключается в молекулярных массах
легумина Т - 230-260 кДа.
Определенный интерес представляют реакции ферментативного синтеза белков
из пептидов (пластеиновый синтез), которые целесообразно применять для введения
в состав белков незаменимых аминокислот или их производных (эфиров) с целью
улучшения растворимости, поверхностно-активных свойств и биологической
ценности:
Важнейшие химические методы модификации функциональных свойств приведены
в табл. 2.15. Из этих методов широко известны приемы
Таблица 2.15. Методы химической модификации белков [К. Д. Швенке, 2000]
|
Реакция
|
Реагирующие функциональные
группы
|
Структурные эффекты
|
|
Ацетилирование
|
-NH2, -ОН,
Tyr-OH, -SH
|
Гидрофобизация, изменение
конформации при высоких степенях модификации
|
|
Сукцинилирование
|
-NH2, -ОН,
(Tyr-OH, -SH)*
|
То же
|
|
Гликозилирование
|
-NH2
|
Гидрофилизация
|
|
Фосфорилирование
|
-ОН,
-NН2, Tyr-OH, (-COOH)*
|
Гидрофилизация, сшивание,
гидрофобизация как результат изменения конформации
|
|
Дезамидирование
|
-СОNН2
|
Гидрофилизация,
гидрофобизация как результат изменения конформации
|
|
Этерификация
|
-СООН
|
Гидрофобизация
|
* Продукты реакции нестабильны.
дезамидирования (удаление амидных групп глютамина и аспарагина),
ацилирования аминогрупп янтарным (сукцинилирование) или уксусным
(ацетилирование) ангидридами и фосфорилирования.
Данный вид химической модификации приводит к повышению суммарного
отрицательного заряда молекулы из-за ковалентного присоединения остатков
янтарной и уксусной кислот к ε-группам остатков лизина. Степень
ацилирования возрастает за счет гидроксильных групп серина, треонина и
тирозина.
Электростатическое отталкивание одноименно заряженных групп приводит к
структурным изменениям в белках и даже распаду 11S белков на субъединицы и
развертыванию их глобулярной структуры. Подобные структурные изменения
характерны для 11S глобулинов семян арахиса, рапса, подсолнечника, гороха и
кормовых бобов.
Благодаря изменению пространственной структуры и заряда молекул белков
усиливаются гидрофобные свойства, следовательно, улучшаются эмульгирующие и
пенообразующие свойства, изменяются растворимость и гелеобразующие свойства.
Полипептидные цепи формируют гели при меньших значениях концентрации, рН и
температуры, чем нативные белковые глобулы. С возрастанием степени модификации
прочность гелей уменьшается, поэтому для ацетилированных белков целесообразна
средняя степень модификации.
Фосфорилирование растительных белков с применением хлорокиси фосфора
приводит к улучшению растворимости, эмульгирующих и пенообразующих свойств и
способности к гелеобразованию. Стабилизации структуры геля способствуют
ковалентные сшивки модифицированных белков:
Белок-NНРОСl2 + НООС-Белок + 2Н2О → Бeлoк - NHCO - Бeлoк + 2НСl +
Н3РО4
2.9. ПРЕВРАЩЕНИЯ БЕЛКОВ В ТЕХНОЛОГИЧЕСКОМ ПОТОКЕ
Нативная трехмерная структура белков поддерживается разнообразием внутри-
и межмолекулярных сил и поперечных связей. Любое изменение условий среды в
технологических потоках производства пищевых продуктов оказывает влияние на
нековалентные связи молекулярной структуры и приводит к разрушению
четвертичной, вторичной и третичной структуры. Разрушение нативной структуры,
сопровождающееся потерей биологической активности (ферментативной,
гормональной), называют денатурацией. С физической точки зрения денатурацию
рассматривают как разупорядочение конформации полипептидной цепи без изменения
первичной структуры. Процесс денатурации протомера схематически представлен на
рис. 2.17. Денатурация олигомерного белка заключается в диссоциации на
протомеры, сопровождающейся или не сопровождающейся изменением их конформации.
Рис. 2.17. Схема денатурации протомера
Большинство белков денатурируются в присутствии сильных минеральных
кислот или оснований, при нагревании, охлаждении, обработке
поверхностно-активными веществами (додецилсульфатом), мочевиной, гуанидином,
тяжелыми металлами (Ag, Pb, Hg) или органическими растворителями (этанолом, метанолом,
ацетоном). Широкое применение кислот, оснований, солей, органических
растворителей предусматривается в практике выделения белков из пищевого сырья и
готовых продуктов при изучении их свойств и структурных особенностей, а также
при экстракции и очистке в технологии выделения концентратов и изолятов.
Денатурированные белки обычно менее растворимы в воде, так как их полипептидные
цепи настолько сильно переплетены между собой, что затрудняется доступ молекул
растворителя к радикалам остатков аминокислот.
Большая часть белков денатурируется при 60-80°С, однако встречаются белки
и термостабильные, например, α-лактоглобулин молока и α-амилазы некоторых бактерий.
Повышенная устойчивость белков к нагреванию часто обуславливается наличием в их
составе большого количества дисульфидных связей. Однако степень денатурирующего
воздействия температуры на белки зависит и от их влажности, реакции и солевого
состава среды и присутствия небелковых соединений. Например, температура
денатурации белков сои и подсолнечника существенно понижается в присутствии
кислот жирного ряда, в кислой и влажной среде, но повышается в присутствии
сахарозы и крахмала.
Факторы, вызывающие денатурацию белков, имеют особо важное значение для
регулирования активности ферментов. Любые воздействия, направленные на
стабилизацию вторичной и третичной структуры, приводят к повышению активности
ферментов, а те, которые разрушают нативную структуру, - к их инактивации.
При температуре от 40-60°С до 100°С со значительной скоростью протекает
взаимодействие белков с восстанавливающими сахарами, сопровождающееся
образованием карбонильных соединений и темноокрашенных продуктов - меланоидинов
(реакция Майяра). Сущность реакций меланоидинообразования заключается во
взаимодействии группы -NH2 аминокислот с гликозидными гидроксилами сахаров (см.
гл. 3). Сахаро-аминные реакции являются причиной не только потемнения пищевых
продуктов, но и уменьшения в них сухого вещества и потерь незаменимых
аминокислот (лизина, треонина). Меланоидины понижают биологическую ценность
изделий, так как снижается усвояемость аминокислот из-за того, что
сахароаминные комплексы не подвергаются гидролизу ферментами пищеварительного
тракта. К тому же количество незаменимых аминокислот уменьшается. Это
уменьшение происходит не только за счет взаимодействия их с восстанавливающими
сахарами, но и за счет взаимодействия между собой функциональных групп -NH2 и
-СООН самого белка. Реакции протекают с образованием внутренних ангидридов,
циклических амидов и ω-ε изопептидных связей. Механизм
образования связей с участием глутаминовой кислоты и ее амида представлен на
рис. 2.18. Изопептиды обнаружены в кератине, молочных белках и белках мяса.
Рис. 2.18. Механизм образования изопептидных связей
Тепловая денатурация белков является одним из основных физико-химических
процессов, лежащих в основе выпечки хлеба, печенья, бисквитов, пирожных,
сухарей, сушки макаронных изделий, получения экструдатов и сухих завтраков,
варки, жарения овощей, рыбы, мяса, консервирования, пастеризации и стерилизации
молока. Данный вид превращений относится к полезным, так как он ускоряет
переваривание белков в желудочно-кишечном тракте человека (облегчая доступ к
ним протеолитических ферментов) и обуславливает потребительские свойства пищевых
продуктов (текстуру, внешний вид, органолептические свойства). В связи с тем,
что степень денатурации белков может быть различной (от незначительной до
полного изменения расположения пептидных цепей с образованием новых ковалентных
-S-S-связей), то и усвояемость полимеров может не только улучшаться, но и
ухудшаться. Параллельно могут изменяться физико-химические свойства белков. Для
хлопковых семян, подвергнутых влаготепловой обработке, зафиксирован, например,
переход растворимого азота из одной формы в другую:
Термическая обработка белоксодержащей пищи при 100- 120°С приводит не к
денатурации, а к разрушению (деструкции) макромолекул белка с отщеплением
функциональных групп, расщеплением пептидных связей и образованием
сероводорода, аммиака, углекислого газа и ряда более сложных соединений
небелковой природы. Так, стерилизация молочных, мясных и рыбных продуктов при
температуре выше 115°С вызывает разрушение цистеиновых остатков с отщеплением
сероводорода, диметилсульфида и цистеиновой кислоты:
|
H2S
|
CH3-S-CH3
|
HO2C-CH(NH2)CH2SO3H
|
Реакции дезамидирования аспарагиновой и глутаминовой аминокислот и
дегидратации глицина могут быть причиной образования новых ковалентных связей в
белках, так как образуется пирролидонкарбоновая кислота и 2,5-дикетопиперазин
(дикетопиперазина много в обжаренных бобах какао):
Среди продуктов термического распада белков встречаются соединения,
придающие им мутагенные свойства. Термически индуцированные мутагены образуются
в белоксодержащей пище в процессе ее обжаривания в масле, выпечки, копчения в
дыму и сушки. Мутагены содержатся в бульонах, жареной говядине, свинине,
домашней птице, жареных яйцах, копченой и вяленой рыбе. Некоторые из них
вызывают наследственные изменения в ДНК, и их воздействие на здоровье человека
может быть от незначительного до летального.
В экстрактах, выделенных из жареной рыбы и мяса, еще в 70-х гг. найдены
продукты пирролиза аминокислот, образующиеся обычно при 500-600°С. Продукты
идентифицированы как Трп-П-1 и Трп-П-2 из триптофана, Фен-П-1 из фенилаланина,
Глу-П-1 и Глу-П-2 из глутаминовой кислоты, Лиз-П-1 из лизина, Орн-П-1 из
орнитина:
Другая группа мутагенных соединений в белковой пище открыта в 80-х гг. в
умеренно нагретом мясе (ниже 200°С) и пищевых бульонах:
Токсические свойства белков при термической обработке выше 200°С или при
более низких температурах, но в щелочной среде, могут обуславливаться не только
процессами деструкции, но и реакциями изомеризации остатков аминокислот из L- в
D-форму. Присутствие D-изомеров понижает усвояемость белков. Например,
термообработка казеина молока при температуре около 200°С снижает биологическую
ценность продукта на 50%.
В сильнощелочных средах, особенно при высоких температурах, некоторые
остатки аминокислот претерпевают ряд специфических превращений. Так, аргинин превращается
в орнитин, цитруллин, мочевину и аммиак, а цистеин - в дегидроаланин с
выделением сероводорода:
Реакционноспособный дегидроаланин конденсируется с остатками лизина,
орнитина и цистеина боковых цепей и образует межмолекулярные поперечные связи в
белках:
В реакцию конденсации могут вступать остатки аргинина, гистидина,
треонина, серина, тирозина и триптофана. Питательная ценность белков с новыми
поперечными связями ниже, чем у белков с нативной структурой, поэтому
образование их в технологических процессах производства пищевых продуктов
нежелательно. К тому же в опытах на крысах показано, что образование, например,
лизиноаланина стимулирует нефрокальциноз, диарею и облысение.
Обработка сырья растворами щелочей широко используется при получении изолятов
и концентратов белков. Чем ниже значение рН, температура и время обработки, тем
выше содержание незаменимых аминокислот в белке. Например, при повышении рН
раствора с 8,5 до 12,5 при экстракции белка из пшеничных отрубей количество
лизина в нем уменьшается на 40%, треонина - на 26%, а валина - на 24%. Мягкие
температурные режимы предохраняют от образования в больших количествах
нежелательных аминокислотных фрагментов. В то же время среди специалистов
обсуждается вопрос о введении предельно допустимых концентраций лизиноаланина
(например, 300 мг на 1 кг) в целях обеспечения безопасности белоксодержащей
пищи.
Неблагоприятные погодные условия при созревании зерна, поражение его
вредителями и микрофлорой, пониженная или повышенная температура при хранении и
переработке сырья и полуфабрикатов, механические, физические и химические
факторы (перемешивание, гомогенизация, замес, инфракрасное облучение,
ультразвук, действие солей, диоксида углерода, газообразных азота и этилена и
т. д.) усиливают структурные перестройки белков, которые могут разрушать
природные белково-липидные взаимодействия. Высвобождающиеся липиды, подвергаясь
окислительной порче, способны инициировать образование ковалентных меж- и
внутримолекулярных связей в белках и новых полимерах:
|
R
- H + LO˙22; → R˙ + L02H;
|
R˙
+ R˙ → R-R;
|
|
|
R
- R + LO˙2 → R - R˙ + L02H;
|
R
- R˙ + R˙ → R-R-R
|
и т. д.
|
Остатки тирозина в присутствии гидропероксидов (LO2H) могут превращаться
в сульфоксиды и сульфоны, остатки цистеина - в сульфиновые, сульфоновые
кислоты, а остатки триптофана - в гидрокси-β-индолилаланин и N-формилкинуренин.
Все реакции окисления связаны с потерей незаменимых аминокислот. Окислительная
порча белков особенно опасна при переработке масличного и жирового сырья.
Торможение реакций можно достигать добавлением оксидантов, ферментных
препаратов или повышением активности собственных ферментов сырья в целях вывода
липидов из взаимодействия с белками.
Использование новых и традиционных технологических процессов без
глубокого изучения влияния их на молекулярные основы структуры белков, с одной
стороны, опасно для здоровья людей, а с другой - неэффективно с точки зрения
обеспечения качества пищевых продуктов. Примером может служить научно
обоснованное применение аскорбиновой кислоты для улучшения качества хлеба.
По современным представлениям, аскорбиновая кислота, окисляясь кислородом
воздуха в дегидроаскорбиновую кислоту, окисляет глютатион (Г-SH), превращая его
в окисленную форму (Г-S-S-Г). Это предохраняет глютатион от участия в
сульфгидрильно-дисульфидном взаимодействии с белками клейковины во время
образования теста. Сульфгидрильные группы пшеничного белка взаимодействуют друг
с другом с образованием дисульфидносвязанных белковых цепей и качество изделий
улучшается.
Наряду с окислительными процессами в технологических процессах,
предусматривающих механические или физические воздействия на белковые вещества
сырья (замес, гомогенизация, ультразвук и т.д.), протекают и другие
превращения, характер которых зависит от природы, степени и способа этих
воздействий. На начальных стадиях замеса хлебного теста и при измельчении семян
зерна наблюдается тепловая агрегация белков, при усиленной механической
обработке теста возможна деструкция последних с разрывом дисульфидных и даже
пептидных связей.
Агрегирующая и комплексообразующая способность белков пшеницы является
одним из важных показателей, обеспечивающих им ведущую роль в формировании
клейковины в процессе ее отмывания из муки и тестоведения. Параметры агрегации
определяют по методу японских исследователей (Т. Arakawa, D. Yonezawa, 1975).
Для этого смешивают растворы клейковинных белков в 0,01 н уксусной кислоте и
0,2 М натрий-фосфатного буферного раствора (рН 5,6), содержащего 2 М NaCl.
Измеряют оптическую плотность раствора (λ = 350 нм) во времени агрегации процесса и
рассчитывают коэффициент начального этапа агрегации (К) и показатель агрегации
(t10/c), характеризующий степень помутнения раствора в течение 10 мин.
Константу начальной скорости агрегации рассчитывают по уравнениям:
К =
и τ3
= 3rt + τ03,
где τ - оптическая плотность раствора при λ
= 350 нм; r -
постоянная, отражающая изменение τ3 в первые 1-1,5 мин агрегации; t -
время агрегации; τ0 - оптическая плотность при t = 0; с - концентрация
белка, %.
Параметры агрегации белков сильных пшениц, характеризующиеся более
"плотной" пространственной упаковкой структуры, выше по сравнению со
слабыми, имеющими более "рыхлую" организацию молекул (рис. 2. 19).
Процесс образования белковых агрегатов по ходу технологического процесса приготовления
изделий из муки интенсивнее у крепкой клейковины, чем у слабой.
Константы агрегации уксуснорастворимых белков, экстрагированных из
предварительно отмытой клейковины и теста, выше, чем белков, выделенных из муки
[В. Колпакова, Е. Молчанова, 1991]. Следовательно, при гидратации белков в ходе
технологического процесса и, в частности, при замесе теста или отмывании
клейковины водой происходят внутри- и(или) межмолекулярные превращения,
связанные с изменением структуры молекул, приводящим к снижению агрегирующих
свойств последних.
Наиболее высокие показатели агрегации наблюдаются у α-
и γ-компонентов глиадина, наименее - у ω-компонентов. Способность к агрегации
возрастает по мере увеличения подвижности полипептидов и уменьшения их
молекулярной массы. Очень высокой способностью образовывать надмолекулярные
ассоциаты обладают быстроподвижные α-глиадины с молекулярной массой 31
000.
Агрегирующая способность белков взаимосвязана с особенностями
аминокислотного состава. Так, суммарный глиадин с более повышенной агрегирующей
способностью содержит меньше заряженных групп, а ω-глиадины, обладающие низкой степенью
агрегации, богаты пролином, фенилаланином, амидогруппами и полярными
аминокислотными остатками. Это определяет высокую способность их к
взаимодействию с другими компонентами муки и, прежде всего с липидами и
липидоподобными соединениями (дигалактозилдиглицерид). Комплексообразование
последнего с ω-глиадинами за счет водородных связей обуславливает
газоудерживающую способность теста и объем хлеба. Имеются данные, что структура
комплексов белки-липиды имеет сходство со структурой белок-липидных мембран.
В агрегации и взаимодействии молекул клейковинных частиц с другими
компонентами муки в технологических процессах производства хлеба, макаронных
изделий, печенья и т.д., наряду с водородными связями, принимают участие
гидрофобные, ионно-электростатические и дисульфидные связи.
Способность белков к формированию высоко агрегированных и надмолекулярных
образований зависит от рН, ионной силы и состава среды (присутствие
денатурирующих, солюбилизирующих, восстанавливающих и других агентов).
С повышением рН от 4,0 до 9,1 агрегация белков злаковых культур (пшеницы,
ржи, ячменя) повышается. Чем больше концентрация нейтральных солей, тем
агрегирующая способность белков выше. Отсюда, определенные дозировки поваренной
соли способны регулировать образование или разрушение макромолекул
клейковинного белка в состоянии пространственно организованной структуры
пшеничного теста при производстве, например, хлеба.
Определенное влияние на агрегативное состояние запасных белков оказывают
детергенты (ПАВ) различной природы: анионные, катионные, нейтральные. В
присутствии анионного детергента в кислой среде, когда молекулы имеют
положительный заряд, агрегация белка максимальна. Действие же катионных и нейтральных
детергентов в направлении усиления или ослабления агрегации неоднозначно и
зависит от рН среды и их концентрации.
В целом же, агрегирующая способность запасных белков различных зерновых
культур в ходе технологического процесса может быть представлена в виде
интегральной суммы множества взаимодействий, способствующих или препятствующих
образованию надмолекулярных структур:
∑A = ∆Аи +∆Аг+∆Ав +∆Ан +∆Аα
+∆Ад + ...,
где ∆Аи - агрегация белка за счет ионно-электростатических сил; ∆Аг
- гидрофобных взаимодействий; ∆Ав - водородных связей; ∆Ан -
набухания (гидратации); ∆Аα - изменения регулярных структур; ∆Ад
- содержания дисульфидных связей.
Степень участия того или иного фактора в изменении агрегативного
состояния белков, а с ним и реологических свойств теста и качества хлеба,
зависит от исходных физико-химических свойств и структурных особенностей белков
муки, технологических факторов процесса (температура, степень механического
воздействия, рН среды и т. д.), химической природы и количества дополнительного
сырья, улучшителеи и пищевых добавок.
Огромное значение для изменения свойств и агрегативного состояния белков
в ходе технологического процесса приготовления теста имеет
дисульфидно-сульфгидрильный обмен:
P1S-SP2 + P3SH → Р1S - SР3 + P2SH
Считают, что лабильность дисульфидных связей обеспечивает образование
новых прочных межмолекулярных связей и релаксацию (ослабление) напряжения
структур клейковины при замесе теста.
Сильная мука, содержащая крепкую клейковину, требует больше времени
замеса, так как она содержит больше дисульфидных связей и меньше SH-групп, чем
слабая.
В процессе созревания муки при ее отлежке, а также под влиянием
окислителей типа броматов, улучшение реологических свойств клейковины
объясняется увеличением содержания S-S-связей и уменьшением, соответственно,
SH-групп. В присутствии восстанавливающих агентов (сульфит натрия)
реологические свойства клейковины ухудшаются, как это имеет место в
прорастающем зерне или в процессе приготовления теста из зерна, пораженного
клопом-черепашкой. Во всех случаях показатели качества и реологические
характеристики теста взаимосвязаны с изменением в соотношении S-S-связей и
SH-групп в белках.
Процессы образования или распада S- S-связей в созревающем и прорастающем
зерне пшеницы протекают при участии специфических ферментов тиол-дисульфидного
обмена: тиол- кислородоксидоредуктаза (КФ 1.8.3.2) и
тиол-протеиндисульфидредуктаза (КФ 1.8.4.2). Предполагают, что направленное
регулирование активности указанных выше ферментов в процессе приготовления
теста является действенным приемом улучшения технологических свойств муки в
целях обеспечения надлежащего качества хлеба [Т. Горпинченко, 1995].
В результате действия протеолитических ферментов в технологическом потоке
производства пищевых продуктов белковые вещества так же претерпевают ряд
существенных изменений. Так, на стадии солодоращения при производстве пива в
эндосперме ячменя наблюдается гидролиз глобулина (эдестин), альбумина
(лейкозин), проламина (гордеин) и глютелина с накоплением азотистых соединений
с более низкой молекулярной массой (пептиды, аминокислоты). В результате в
зерне накапливается растворимая, коагулируемая и аминная формы азота, тогда как
в зародышевом листке и ростках зерна, наоборот, увеличивается количество
белкового азота за счет процессов синтеза.
Высокомолекулярные фракции белков при прорастании зерна расщепляются под
действием ферментов эндопептидаз по схеме:
и экзопептидаз (дипептидаз и полипептидаз). Полипептидазы включают
аминопептидазы (а-аминоацилпептидгидролазы, 3.4. 1 ), для действия которых
необходимы свободные аминогруппы (- NH2), и карбоксипептидазы
(пептидиламинокислотные гидролазы, 3.4.2), требующие для гидролиза свободные
карбоксильные группы (- СООН).
Технологические режимы проращивания зерна предусматривают оптимальные
условия (рН, температура) действия гидролитических ферментов для обеспечения
накопления низкомолекулярных азотистых соединений для питания дрожжей сусла.
В традиционной технологии производства хлеба и мучных кондитерских изделий
из муки нормального качества при тестоведении не протекают глубокие реакции
гидролиза белков, свидетельствующие об изменении их первичной структуры, тогда
как слабые процессы пептизации низкомолекулярных азотистых соединений,
являющихся продуктами незавершенного синтеза в зерне, могут иметь место.
Изменения структуры белков в процессе тестоприготовления ограничиваются, как
правило, дезагрегацией, агрегацией молекул и изменением высших уровней ее
организаций (вторичная, третичная, четвертичная структуры).
.10
КАЧЕСТВЕННОЕ И КОЛИЧЕСТВЕННОЕ ОПРЕДЕЛЕНИЕ БЕЛКА
Присутствие белков в пищевых объектах устанавливается с помощью
качественных реакций, которые условно разделяют на две группы: а) цветные
реакции; б) реакции осаждения.
Среди первой группы различают универсальные реакции (биуретовая на
пептидные связи и нингидриновая на α-аминокислоты) и специфические,
обусловленные присутствием в белках остатков определенных аминокислот. Так,
ксантопротеиновая реакция свидетельствует о наличии в белках остатков ароматических
аминокислот, реакция Паули - гистидина и тирозина, Адамкевича и Вуазене -
триптофана, нитропруссидная - цистеина, а реакция Сакагучи - аргинина. По
результатам специфических реакций ориентировочно можно судить о пищевой
ценности белков.
Во второй группе реакций белки осаждают действием солей, органических
растворителей, концентрированных кислот, щелочей, ионов тяжелых металлов,
температуры и в изоэлектрической точке. Белки в растворенном состоянии крайне
неустойчивы, поэтому при добавлении органических растворителей (спирт, ацетон),
концентрированных растворов нейтральных солей щелочных металлов и воздействии
физических факторов (нагревание, облучение, ультразвук) гидратная оболочка
разрушается и они выпадают в осадок.
Так как белковые вещества сырья (муки, крупы, молока, мяса), включая
ферменты, часто являются определяющими в обеспечении качества пищевых изделий,
то для изучения физико-химических, биохимических и физиологических свойств этих
соединений обязательным условием является получение белков в индивидуальном и,
по возможности, неденатурированном состоянии. Белки обычно теряют природные
(нативные) свойства (растворимость, гидратацию, ферментативную активность и
т.д.), подвергаясь денатурации под влиянием различных факторов. Типичным
примером необратимой денатурации белков является выпадение их в осадок под
действием ТХУ. Длительный контакт со спиртом также приводит к необратимой
денатурации белка. Денатурирующее действие различных факторов на белки можно
смягчить, если проводить операции выделения их при температуре не выше +4°С.
Методы выделения и очистки белков. Общая схема операций по выделению
белков сводится к измельчению биологического материала (гомогенизации),
экстрагированию и собственно выделению, то есть очистке и получению белка в индивидуальном
состоянии. При изучении метаболических процессов в живых организмах (в
созревшем зерне, плодах, овощах) морфологическая и биохимическая целостность
клеток и тканей сохраняется в максимальной степени, тогда как при исследовании
состава сырья и готовых пищевых продуктов потеря целостности структуры
несущественна. Гомогенизацию объектов следует рассматривать как начальную
стадию выделения белков, но способ ее определяется постановкой задачи.
Например, анализ ферментов из растительных материалов часто затруднен тем, что
при гомогенизации экстрагируется большое количество фенолов, которые
взаимодействуют с карбонильными группами пептидных групп при помощи водородных
связей и вызывают денатурацию белка и потерю ферментами своей активности.
Добавление в экстракт поливинилпирролидона, образующего с фенолами
нерастворимые комплексы, предотвращает инактивацию ферментов.
Разрушение клеточной структуры осуществляется тщательным измельчением
материала в гомогенизаторах, мельницах, попеременным замораживанием и
оттаиванием, применением ультразвуковых высокочастотных колебаний,
пресс-методов с использованием высоких давлений и метода "азотной
бомбы". В последнем случае клетки насыщаются азотом под давлением, которое
затем сбрасывается и клетки разрушаются. Эффективность гомогенизации зависит не
только от способа разрушения клеточных структур, но и от вида анализируемого
материала. Животные клетки разрушаются относительно легко, особенно в
отсутствие сосудистой и соединительной ткани, тогда как растительные и микробные
- из-за присутствия клеточных стенок - трудно. В таком случае применяют методы
растирания материала с твердыми веществами (песок, абразивный порошок) или
обработку клеточных стенок лизоцимом или ферментными препаратами, содержащими
целлюлазу, хитиназу и липазу. Гомогенизацию рекомендуется проводить в холодных
комнатах или с использованием льда.
Экстракция белков может быть совмещена с гомогенизацией клеток и тканей
либо проведена отдельно, если продукт заранее измельчен. Для определения
ферментативной активности белка достаточно одноразовой экстракции, тогда как
для количественного определения белковых фракций зерна - трех- или пятикратной.
Условия экстрагирования белков (время, гидромодуль, температура и т.д.)
подбираются эмпирически, основываясь на методиках ведущих научных школ.
Большинство белков животных тканей хорошо растворимы в 5-10% растворах
солей, тогда как для перевода в раствор белков зерновых культур применяют более
широкий набор растворителей. Для этого используются буферные системы со значениями
рН от кислых до слабощелочных (фосфатные, боратные, цитратные, трис-HCl),
органические растворители и неионные детергенты, разрывающие белок-липидные или
белок-белковые связи:
Растворители подбираются с учетом разрыва в белках определенных типов
связей. Так, уксусная кислота ослабляет ионные связи, сообщая молекулам
одноименные положительные заряды, мочевина - водородные и гидрофобные,
салицилат натрия и ДДС-Na - гидрофобные и ионные, а водные растворы спиртов -
водородные и гидрофобные взаимодействия. Органические растворители разрывают
белок-липидные связи.
При изучении физико-химических свойств белков и их превращений в пищевых
системах широко используют методы фракционирования и очистки от небелковых
соединений. Они основаны на различиях таких свойств белков, как размер молекул,
растворимость, заряд и сродство к специфическим химическим группам.
Осаждение белков из раствора под действием солей щелочных и
щелочноземельных металлов называют высаливанием. Для высаливания чаще
применяется сульфат аммония, под влиянием которого белки, как правило,
сохраняют растворимость и ферментативную активность. Главную роль при
высаливании играет не природа солей, а валентность ионов, действие которых
оценивается по ионной силе (μ):
μ = ½ ∑CV2,
где С - концентрация каждого вида иона; V - валентность ионов.
Глобулины выпадают в осадок при 50% насыщении, альбумины - при 100%
насыщении растворов солей, а при ступенчатом фракционировании (20-100%
насыщения) выпадают белки и других классов (проламины, глютелины).
В практике выделения и очистки белков используются различные типы
хроматографии: адсорбционная, распределительная, ионообменная и хроматография
по сродству. Адсорбционная хроматография основана на различиях в полярности белков.
В колонке вместе с буферным раствором упаковывают адсорбент, на который в
небольшом объеме растворителя наносят исследуемый образец. Компоненты
разделяемой смеси адсорбируются, затем элюируются с помощью буферного раствора
с увеличивающейся концентрацией или полярностью. Фракции белка собирают с
помощью автоматического коллектора фракций.
В распределительной хроматографии, в отличие от адсорбционной, в качестве
неподвижной фазы выступает водный слой, удерживаемый твердой фазой (силикагель,
бумага). Разделяемые вещества многократно распределяются между водным слоем и
движущейся фазой растворителя и с разной скоростью перемещаются подлине колонки
или бумаге. Распределительную хроматографию на бумаге часто используют для
анализа пептидов и аминокислот. Адсорбентом служат нити целлюлозы, а
растворителем - смесь органических растворителей, например: бутиловый
спирт-уксусная кислота-вода. Хроматограмму проявляют, высушивают и анализируют
местонахождение разделяемых компонентов тем или иным способом.
Методом ионообменной хроматографии белки или аминокислоты разделяют на
основе различий в общем заряде молекул. Если белок в нейтральной среде (рН 7)
имеет положительный заряд, то он связывается на колонке с ионообменником,
содержащим фенольные, сульфо- и карбоксильные группы (катионообменник), если
отрицательный, то - на колонке с ионообменником, представленным аминами или
органическими основаниями (анионообменник). Чаще всего для фракционирования
белков используют производные полистирола и целлюлозы:
Положительно заряженный белок снимается с колонки с помощью раствора
хлористого натрия или изменением рН элюирующего буфера. При этом ионы натрия
конкурируют с положительно заряженными группами белков. Белки с меньшим
положительным зарядом вымываются с колонки первыми, с большим зарядом -
последними.
Хроматография по сродству (аффинная хроматография,) основана на принципе
избирательного связывания белков со специфическими веществами (лигандами),
прикрепленными к носителю. Лиганд (глюкозу) ковалентно присоединяют к носителю
(проводят иммобилизацию) и наносят на колонку исследуемую белковую смесь.
Несвязавшиеся белки удаляют соответствующим буфером, а нужный белок элюируют
раствором, содержащим лиганд в очень высокой концентрации. При этом
присоединенные к колонке остатки глюкозы в молекуле белка замещаются на
глюкозу, находящуюся в растворе (рис. 2.20).
Гель-фильтрация, или метод молекулярных сит заключается в пропускании
белков через колонку с гелем сефадекса или других типов (агарозных,
полистирольных). Применяются также пористые стеклянные шарики и пористый кварц
(порасил). Наибольшее распространение получили декстрановые гели (сефадекс),
являющиеся продуктом поперечного сшивания полисахаридных цепочек декстрана.
Зерна сефадексов разных номеров содержат поры разных размеров, в которые могут
проникать белки с определенной молекулярной массой. Низкомолекулярные белки
распределяются в растворенном виде как внутри частиц полимера, так и между
ними, а высокомолекулярные - только между частицами, поэтому вторые быстрее
проходят через колонку и первыми вытекают из нее (рис. 2.21). В итоге белки
распределяются по молекулярной массе и могут быть собраны в виде отдельных
хроматографических фракций (рис. 2.22).
Принцип методов электрофоретического разделения заключается в способности
молекул пептидов и аминокислот, находясь в заряженной форме в виде катионов (+)
или анионов (-), передвигаться в электрическом поле с определенной скоростью.
Кроме того, молекулы с близкими зарядами, но разными размерами, отличаются
отношением заряда к массе. Все эти различия и обуславливают высокую разрешающую
способность электрофоретических методов. Скорость миграции белков в
электрическом поле (V) зависит от напряжения электрического поля(ε),
заряда белков (z) и
сопротивления трения (О-Сопротивление трения определяется размерами, формой
белка, значениями рН и концентрацией буфера. Указанные величины связаны между
собой соотношением: V = ε · z / f.
Впервые метод электрофореза был разработан Тизелиусом с применением
бумаги в качестве носителя и специальных оптических устройств, регистрирующих
передвижение границы раздела раствора белка и растворителя по показателям
преломления (фронтальный электрофорез). В настоящее время распространены методы
зонального электрофореза, предусматривающие использование крахмальных и
полиакриламидных гелей (ПААГ). Наиболее распространенным методом
фракционирования белков является диск-электрофорез (от англ, discontinuous -
прерывистый) в ПААГ, при котором используется пара буферных растворов с
различными значениями рН в присутствии ДДС-Na и гели различной пористости
(концентрирующие и разделяющие) (Laemmli, 1970). Для обнаружения белков гели
обрабатывают красителями: амидовым черным 10В, кумасси синим R-250.
Интенсивность окраски, а по ней количественное содержание белковых фракций,
определяют сканированием на денситометре.
Для электрофоретического разделения белков и пептидов успешно применяется
двумерный электрофорез в ПААГ. В соответствии с этим методом смесь компонентов
разделяют сначала в столбиках геля электрофорезом в горизонтальном направлении,
затем в гелевых пластинах - в вертикальном (рис. 2.23). При разделении белков,
например гороха, этим методом удалось получить более 150 различных компонентов.
Очень высокую разрешающую способность имеет метод изоэлектрического фокусирования
белков, в основе которого лежит фронтальный электрофорез, проводимый на колонке
одновременно в градиенте рН и напряжения. Колонку предварительно заполняют
носителями с синтетическими смесями полиаминополикарбоновых кислот
(амфолитами), затем сверху в нее подают раствор сильной кислоты, снизу -
сильнощелочной раствор для того, чтобы установить градиент рН с крайними
значениями, соответствующими рН кислого и щелочного растворов. Амфолиты
прекращают движение по колонке, когда их суммарный заряд становится равным
нулю, и тем самым стабилизируют исходный градиент рН. В подготовленную колонку
вносят образец исследуемой смеси, компоненты которой распределяются по зонам со
значениями рН, характерными их изоэлектрическим точкам.
В химии пищевого белка применяют и другие разновидности
электрофоретическогоразделения(иммуноэлектрофорез, изотахофорез), а также метод
пептидных карт и ультрацентрифугирование. Метод пептидных карт (отпечатков
пальцев) относится к методам двумерного разделения и наиболее часто используется
для анализа пептидов. Пептиды получают избирательным гидролизом белков, затем
на бумаге их разделяют в горизонтальном направлении электрофорезом, в
вертикальном - распределительной хроматографией. Пептиды окрашивают
нингидрином, элюируют и определяют аминокислотный состав.
В методе ультрафильтрации белки в градиенте плотности распределяются на
разных уровнях центрифужной пробирки в процессе седиментации (осаждения) в виде
отдельных зон. Для создания градиента используют соли тяжелых металлов и растворы
сахарозы. Метод широко применяется для определения молекулярных масс белков по
константе седиментации (S), которая зависит от массы и формы белковых частиц:
= v/(w2 · r),
где v - скорость перемещения границы растворитель-белок, см/с; w- угловая
скорость ротора, рад/с; г - расстояние от центра ротора до середины ячейки с
раствором белка.
Величина S, равная 1 · 10-13 с, принята за единицу и названа сведбергом
(S) в честь Т. Сведберга, впервые сконструировавшего ультрацентрифугу.
Очистка белков от низкомолекулярных соединений (солей, сахаров,
аминокислот) осуществляется методами диализа, гель-фильтрации на сефадексе
G-25, кристаллизации, ультрафильтрации и с помощью полых волокон. При диализе
используют полупроницаемые мембраны (целлофан, коллодийная пленка), через
которые белки не диффундируют и остаются внутри диализного мешочка. Более
мелкие молекулы проходят через поры диализной мембраны и выходят в диализат. В
методе ультрафильтрации, который применяется, например, в производстве
сывороточных белков молока, соевых белковых изолятов, по обе стороны мембраны
создается разность давлений за счет продавливания фильтруемого белкового
раствора. В качестве мембран используются целлюлозные пленки и нецеллюлозные
полиэлектролитные комплексы. Аналогично мембранам по принципу молекулярного
сита действуют и полые волокна. Белковый раствор помещается с внешней стороны
волокон, и создается разность давления за счет повышения его в растворе или
понижения внутри их.
Гомогенность белка определяется на последнем этапе выделения и очистки с
применением по меньшей мере двух методов, оценивающих то или иное
физико-химическое свойство. Наиболее достоверными являются
ультрацентрифугирование в градиенте плотности, диск-электрофорез в ПААГ,
иммунохимические методы и растворимость. Если белок при электрофорезе
представлен только одной полосой и обладает при этом максимальной биологической
активностью, то он считается гомогенным. Для гомогенного белка на кривой
растворимости (зависимости растворенного белка от общего его количества в
постоянном объеме растворителя) имеется только один перегиб, тогда как для
гетерогенного - столько, сколько в нем индивидуальных компонентов.
Содержание белка в пищевых объектах обычно определяют по количеству азота
с использованием метода Кьельдаля. С целью упрощения и сокращения длительности
анализа этот метод с момента его разработки (1983) неоднократно модифицировался
с применением различных катализаторов и условий минерализации. На основе
модифицированных методов созданы высокопроизводительные автоматические
анализаторы типа "Кьельфос", стоимость определения содержания белка
на которых и сегодня остается высокой. Существует и некоторая условность в
методе Кьельдаля при расчете количества белка, заключающаяся в использовании
переводного коэффициента. Однако, несмотря на недостатки, метод Кьельдаля
является унифицированным, он включен в ГОСТы на многие пищевые продукты.
Для перевода количества азота в содержание белка используют коэффициент
6,25. Принят он потому, что большинство белков содержит 16% азота (100/6,25 =
16). Однако более правильным является использование коэффициентов,
соответствующих фактическому содержанию сырого белка в каждом его виде. Так,
для пшеницы получен коэффициент 5,7, так как ее белки содержат 17,5% азота. Для
других белковых ресурсов коэффициенты перевода приняты следующими: 5,7 - рожь,
ячмень, овес, семена подсолнечника; 5,8 - соя; 6,25 - кукуруза, мясо; 6,38 -
молоко.
Имеются и другие методы определения азота, такие как метод Дюма,
нейтронно-активационный и с фенолятгипохлоритом на приборе
"Техникон". Принцип метода Дюма заключается в разложении
органического соединения в атмосфере оксида углерода до газообразного состояния
с последующим измерением объема азота (N2). В нейтронно-активационном методе
атомы азота образца бомбардируются нейтронами в ядерном реакторе с получением
изотопа 13N. Содержание белка рассчитывают по количеству гамма-лучей.
Определение азота на приборе "Техникон" осуществляется
колориметрическим способом, в котором измеряется интенсивность сине-голубой
окраски, образующейся по реакции взаимодействия сульфата аммония, выделяющегося
в процессе минерализации образца, с щелочным раствором фенола и гипохлорита.
Все описанные здесь методы по точности анализа не уступают методу Кьельдаля,
однако они являются достаточно дорогими.
Широкое распространение получил метод инфракрасной спектроскопии, в
основе которого лежит поглощение белками света с определенной длиной волны и
измерение интенсивности его отражения в приборах-анализаторах. Приборы
калибруют по образцам зерна (эталонам) с известным содержанием белка,
определяемым по методу Кьельдаля.
Известны методы количественного определения белка, основанные на
различной степени помутнения (нефелометрический метод), способности белков
адсорбировать красители (кумасси синий R-250, амидочерный и др.) и преломлять
лучи света (по показателю преломления). Они характеризуются высокой точностью и
простотой определения, хотя имеют ряд ограничений. Наиболее удобными являются
методы с кумасси синим, биуретовый и Лоури. В основе биуретового метода лежит
биуретовая реакция, в основе метода Лоури - восстановление фосфомолибденовой
кислоты тирозином и триптофаном с одновременным протеканием биуретовой реакции.
По оптической плотности с использованием калибровочных графиков находят концентрацию
белка в растворах.
Контрольные вопросы
1. Какова роль белков в питании человека? Что такое азотистый
баланс и какие его виды могут наблюдаться в организме?
2. Каковы рекомендуемые нормы белка в питании и от каких факторов
они зависят?
3. Дайте характеристику проблемы дефицита белка и каковы пути ее
решения? Какова роль нетрадиционного растительного и животного сырья для
пополнения ресурсов пищевого белка?
4. Что такое синдром квашиоркора и каковы его последствия?
. Что включают в себя понятия пищевая и биологическая ценность
белков? Как определяется биологическая ценность белков?
. Какие свойства характерны для аминокислот?
. Какова специфическая роль отдельных аминокислот (цистеина,
тирозина, фенилаланина, метионина, глутаминовой и аспарагиновой) в организме?
. Как классифицируются биологически активные пептиды в
соответствии с их функциями в организме и в составе пищи? Дайте краткую
характеристику представителям групп пептидов.
. Каковы особенности аминокислотного состава белков злаковых
культур по сравнению с белками бобовых и масличных культур?
. Назовите основные отличия фракционного состава белков злаковых
культур (на примере пшеницы) от белков бобовых и масличных культур.
. Каковы отличия физико-химических свойств и структурных
особенностей двух фракций клейковины пшеницы: глиадина и глютенина? Какова их
роль в обеспечении реологических свойств теста и качества хлеба?
. Дайте характеристику фракционного состава и особенностей
структуры белков мяса и молока.
. Что включает в себя понятие "новые формы белковой
пищи" и какова их роль в обогащении пищи лимитирующими аминокислотами?
. Дайте определение функциональным свойствам белков.
. Перечислите основные функциональные свойства белков. Какова их
роль в технологических процессах производства пищевых продуктов?
. Какие физико-химические и химические превращения претерпевают
белки в технологическом потоке производства пищевых продуктов?
. Какие методы качественного и количественного определения белков
вы знаете?
ГЛАВА 3. УГЛЕВОДЫ
Название "углеводы" было дано соединениям этого класса почти 90
лет назад, когда полагали, что все они содержат углерод, водород и кислород в
таких соотношениях, как будто представляют собой различные гидраты углерода
общей формулы Cn(H2O)m. В дальнейшем оказалось, что ряд соединений,
принадлежащих по своим свойствам к классу углеводов, содержат водород и
кислород в несколько иной пропорции, чем указано в общей формуле (например,
дезоксирибоза - С5Н10О4). Однако название "углеводы" сохранилось,
хотя химического смысла оно не имеет.
Углеводы широко распространены в природе, они встречаются в свободной или
связанной форме в любой растительной, животной или бактериальной клетке.
Углеводы составляют три четверти биологического мира и примерно 60-80%
калорийности пищевого рациона.
Наиболее распространенный углевод - целлюлоза, структурный компонент
деревьев и других растений. Главный пищевой ингредиент - крахмал. Моносахариды
встречаются в свободном виде в природе в небольших количествах; в основном они
присутствуют как структурные единицы полисахаридов, входят в дисахариды и
олигосахариды.
3.1 ОБЩАЯ
ХАРАКТЕРИСТИКА УГЛЕВОДОВ
Согласно принятой в настоящее время классификации углеводы подразделяются
на три основные группы: моносахариды, олигосахариды и полисахариды.
Моносахариды
Моносахариды обычно содержат от 3 до 9 атомов углерода, причем наиболее
распространены пентозы и гексозы. По функциональной группе они делятся на
альдозы и кетозы.
Моносахариды находятся обычно в таутомерном равновесии со своей
циклической формой. Таутомерные циклические формы сахаров представляют собой
внутренние полуацетали. В результате циклизации появляется новый
асимметрический атом углерода, который называют гликозидным (или аномерным).
Изомеры относительно аномерного центра называются α-
и β-аномерами.
Среди моносахаридов широко известны глюкоза, фруктоза, галактоза,
арабиноза, ксилоза и D-рибоза.
Глюкоза (виноградный сахар) в свободном виде содержится в ягодах и
фруктах (в винограде до 8%; в сливе, черешне 5-6%; в меде 36%). Из молекул
глюкозы построены крахмал, гликоген, мальтоза; глюкоза является составной
частью сахарозы, лактозы.
Фруктоза (плодовый сахар) содержится в чистом виде в пчелином меде (до
37%), винограде (7,7%), яблоках (5,5%); является составной частью сахарозы.
Галактоза - составная часть молочного сахара (лактозы), которая
содержится в молоке млекопитающих, растительных тканях, семенах.
Арабиноза содержится в хвойных растениях, в свекловичном жоме, входит в
пектиновые вещества, слизи, гумми (камеди), гемицеллюлозы.
Ксилоза (древесный сахар) содержится в хлопковой шелухе, кукурузных
кочерыжках. Ксилоза входит в состав пентозанов. Соединяясь с фосфором, ксилоза
переходит в активные соединения, играющие важную роль во взаимопревращениях
сахаров.
В ряду моносахаридов особое место занимает D-рибоза. Почему природа всем
сахарам предпочла рибозу - пока не ясно, но именно она служит универсальным
компонентом главных биологически активных молекул, ответственных за передачу
наследственной информации, - рибонуклеиновой (РНК) и дезоксирибонуклеиновой (ДНК)
кислот; входит она и в состав АТФ и АДФ, с помощью которых в любом живом
организме запасается и переносится химическая энергия. Замена в АТФ одного из
фосфатных остатков на пиридиновый фрагмент приводит к образованию еще одного
важного агента НАД - вещества, принимающего непосредственное участие в
протекании жизненно важных окислительно-восстановительных процессов. Еще один
ключевой агент - рибулозо-1,5-дифосфат. Это соединение участвует в процессах
ассимиляции углекислого газа растениями.
Полисахариды
Олигосахариды. Это полисахариды 1-го порядка, молекулы которых содержат
от 2 до 10 остатков моносахаридов, соединенных гликозидными связями. В
соответствии с этим различают дисахариды, трисахариды и т. д.
Дисахариды - сложные сахара, каждая молекула которых при гидролизе
распадается на две молекулы моносахаридов. Дисахариды, наряду с полисахаридами,
являются одним из основных источников углеводов в пище человека и животных. По
строению дисахариды являются гликозидами, в которых две молекулы моносахаридов
соединены гликозидной связью.
Среди дисахаридов особенно широко известны мальтоза, сахароза и лактоза.
Мальтоза, являющаяся α-глюкопиранозил-(1,4)-α-глюкопиранозой, образуется в качестве
промежуточного продукта при действии амилаз на крахмал (или гликоген).
Одним из наиболее распространенных дисахаридов является сахароза -
обычный пищевой сахар. Молекула сахарозы состоит из одного остатка α-D-глюкозы и одного остатка β-D-фруктозы.
В отличие от большинства дисахаридов, сахароза не имеет свободного
полуацетального гидроксила и не обладает восстанавливающими свойствами.
Дисахарид лактоза содержится только в молоке и состоит из β-D-галактозы и D-глюкозы.
Среди природных трисахаридов наиболее известна раффиноза (содержащая
остатки фруктозы, глюкозы и галактозы). Она находится в значительных
количествах в сахарной свекле и во многих других растениях, в частности в
бобовых. В целом олигосахариды, присутствующие в растительных тканях,
разнообразнее по своему составу, чем олигосахариды животных тканей.
Полисахариды II-го порядка. Их, с точки зрения общих принципов строения,
можно разделить на две группы: гомополисахариды, состоящие из моносахаридных
единиц только одного типа, и гетерополисаха-риды, для которых характерно
наличие двух или более типов мономерных звеньев.
С точки зрения функционального назначения полисахариды могут быть
разделены на структурные и резервные полисахариды. Важным структурным
полисахаридом является целлюлоза, а главные резервные полисахариды - гликоген и
крахмал (у животных и растений соответственно).
Крахмал представляет собой комплекс двух гомополисахаридов: линейного -
амилозы и разветвленного - амилопектина, общая формула которых (С6Н10О5)n. Как
правило, содержание амилозы в крахмале составляет 10-30%, амилопектина 70-90%.
Полисахариды крахмала построены из остатков глюкозы, соединенных в амилозе и в
линейных цепях амилопектина α-1,4-связями, а в точках ветвления
амилопектина - межцепочными α-1,6-связями.
Крахмал является главной составной частью пищи человека. Хлеб, картофель,
крупы, овощи - главный энергетический ресурс его организма.
Гликоген - полисахарид, широко распространенный в тканях животных,
близкий по своему строению к амилопектину. Молекула гликогена, как и молекула
амилопектина, построена из сильно разветвленных цепочек (разветвление через
каждые 3-4 звена) с общим количеством глюкозидных остатков 5-50 тыс (с
молекулярной массой 1-10 млн).
Целлюлоза (или клетчатка) является одним из наиболее распространенных
растительных гомополисахаридов. Она выполняет роль опорного материала растений,
из нее строится жесткий скелет стеблей, листьев. В чистом виде она известна в
виде ваты и фильтровальной бумаги (писчая и все другие виды бумаги
проклеиваются). Древесина наполовину состоит из клетчатки и, кроме того,
содержит связанный с нею лигнин - высокомолекулярное вещество фенольного
характера. Целлюлоза представляет собой полимер, содержащий 600-900 остатков
глюкозы (средняя молекулярная масса 1-1,5 млн).
В молекуле целлюлозы остатки глюкозы соединены β-(1,4)-гликозидными связями, что определяет
линейную структуру полимера. Целлюлоза не расщепляется обычными ферментами
желудочно-кишечного тракта млекопитающих, а при действии фермента целлюлазы,
выделяемого из кишечной флоры травоядных, распадается на целлодекстрины
(олигоцеллосахариды) и целлобиозу.
Декстраны - гомополисахариды, построенные из остатков D-глюкозы с
доминирующим типом гликозидной связи; α-(1,6)-боковые разветвления присоединяются к
центральной цепи в положениях 3 и 4. Декстран образуется из сахарозы под
действием специфического фермента декстрансахаразы, вырабатываемого бактериями.
В зависимости от применяемого штамма бактерий синтезируются декстраны различной
степени разветвленности. Декстраны служат для получения молекулярных
сит-сефадексов разных марок.
Пентозаны - целлюлозоподобные полисахариды, построенные из ксилозы,
арабинозы и других пентоз. Особенно богаты пентозанами скорлупа орехов,
подсолнухов, кукурузные кочерыжки, солома, рожь.
Инулин - высокомолекулярный углевод, растворимый в воде, осаждающийся из
водных растворов при добавлении спирта. При гидролизе с помощью кислот образует
фруктофуранозу и небольшое количество глюкопиранозы. Содержится в большом
количестве в клубнях земляной груши и георгина, в корнях одуванчика, кок-сагыза
и цикория, в артишоках, в корнях, листьях и стеблях каучуконосного растения
гваюлы (Parthenium argentatum). В этих растениях инулин заменяет крахмал.
Количество остатков фруктозы, связанных в молекуле инулина гликозидными связями
между 1-ми 2-м углеродными атомами, по-видимому, равно 34. Поэтому строение
молекулы инулина можно изобразить следующим образом:
В растениях, плесневых грибах и дрожжах содержится особый фермент -
инулаза, который гидролизует инулин с образованием фруктозы.
Слизи и гумми (камеди) - группа коллоидных полисахаридов, к которым
принадлежат растворимые в воде углеводы, образующие чрезвычайно вязкие и
клейкие растворы. Типичными представителями этой группы являются гумми,
выделяемые в виде наплывов вишневыми, сливовыми или миндальными деревьями в
местах повреждения ветвей и стволов. Слизи содержатся в большом количестве в
льняных семенах и в зерне ржи. Именно их наличием объясняется высокая вязкость
употребляемого в медицине отвара из льняных семян или же водной болтушки ржаной
муки.
При исследовании состава полисахаридов вишневого клея было найдено, что
они состоят из остатков галактозы, маннозы, арабинозы, n-гликуроновой кислоты и
незначительного количества ксилозы. Изучение слизей ржаного зерна показало, что
они почти на 90% состоят из пентозанов. Эти слизи чрезвычайно сильно набухают в
воде и дают весьма вязкие растворы.
Камеди находят широкое применение в производстве, поскольку они обладают
такими ценными свойствами, как повышенная вязкость, клейкость, набухаемость и
т. д. Камеди (гуммиарабинотрагакант) применяются в качестве связующих веществ и
загустителей, служат эмульгаторами, основой для косметических и
фармацевтических кремов и паст, стабилизаторами в пищевой промышленности.
Пектиновые вещества, содержащиеся в растительных соках и плодах,
представляют собой гетерополисахариды, построенные из остатков галактуроновой
кислоты, соединенных α-(1,4)-гликозидными связями. Карбоксильные
группы галактуроновой кислоты в той или иной степени этерифицированы метиловым
спиртом. В зависимости от этого существует следующая классификация пектиновых
веществ:
· протопектин - нерастворимое в воде соединение сложного
химического состава (в протопектине длинная цепь полигалактуроновой кислоты
связана с другими веществами: целлюлозой, арабаном, галактаном и другими
полиозами, а также с белковыми веществами);
· пектиновые кислоты - это полигалактуроновые кислоты, в малой
степени этерифицированные остатками метанола;
· пектин представляет собой почти полностью этерифицированную
пектиновую кислоту.
Пектиновые вещества составляют основу фруктовых гелей. Пектины растворимы
в воде, образуют коллоидные растворы. Протопектины нерастворимы в воде.
Молекулярная масса 20-30 тыс.
К гемицеллюлозам относятся разнообразные по химической структуре
гетерополисахариды растений: глюкоманнаны, галактоманнаны и ксиланы, содержащие
в боковых цепях арабинозу, глюкозу и т. д. В растениях гемицеллюлозы, как
правило, сопутствуют целлюлозе и лигнину, причем ксиланы и глюкоманнаны прочно
адсорбируются на поверхности целлюлозы.
Гемицеллюлозы, выделяемые из различных растений, отличаются по структуре.
В деревьях и семенах они представлены линейными глюкоманнанами, содержащими
остатки β-D-маннозы и β-D-глюкозы, соединенных β-(1,4)-гликозидными связями. В травах и
древесине обнаружены гемицеллюлозы, цепи которых построены из остатков
ксилопираноз, соединенных |3-(1,4)-гликозидными связями, причем в основной цепи
имеются различные разветвления.
Гликозиды - продукты, получающиеся при элиминации воды при реакции:
Только очень малые количества гликозидов встречаются в питании человека.
Однако их значение часто зависит не от количества, а связано с физиологической
ролью. Ряд природно встречающихся гликозидов являются сильными
пенообразователями и стабилизаторами, флавоноидные гликозиды могут придавать
горький вкус и (или) определенный аромат и цвет пищевому продукту. S-гликозиды
встречаются в природе в семенах горчицы и корнях хрена. Они называются
гликозинолаты. Аллил-гликозинолат, наиболее известный из класса S-гликозидов,
называется синигрин. Он придает определенный аромат пище, но есть работы, в
которых авторы полагают, что S-гликозиды и (или) продукты их распада (см. рис.
3.2) могут быть отнесены к пищевым токсикантам.
О-гликозид образуется из D-глюкозы при пиролизе.
Небольшое количество левоглюкозана образуется в условиях пиролиза при
обжарке и выпечке мучных изделий и нагревании сахаров и сахарных сиропов при
высокой температуре. Большие количества в пище нежелательны из-за горького
вкуса.
Другой класс гликозидов, важных с точки зрения питания, - цианогенные
гликозиды. Это,соединения, которые дают HCN при деградации in vivo; они
достаточно широко представлены в природе (семена горького миндаля, маниок,
сорго, косточки персиков, абрикосов и др.). Цианид, образующийся при деградации
этих гликозидов, обычно детоксицируется превращениями в тиоцианат. Эта реакция
включает СN--ион, SО3--ион и фермент S-трансферазу. Однако, если путь
детоксикации подавляется введением большого количества гликозида, может
появиться токсичность. Были отмечены отравления как результат потребления
маниока, горького миндаля; отравление крупного рогатого скота - при потреблении
незрелого проса или сорго.
Идеальная защита от цианидного отравления - исключить (или почти
исключить) цианогенную пищу. Эти пищевые продукты должны храниться только очень
короткое время. Надо принимать меры, чтобы не было "побитых" после
уборки плодов. Плоды должны быть тщательно отобраны и затем хорошо промыты,
чтобы удалить цианид.
3.2
ФИЗИОЛОГИЧЕСКОЕ ЗНАЧЕНИЕ УГЛЕВОДОВ
Углеводам в питании человека принадлежит чрезвычайно важная роль. Они
являются главным источником энергии для человеческого организма, необходимой
для жизнедеятельности всех клеток, тканей и органов, особенно мозга, сердца,
мышц. В результате биологического окисления углеводов (а также жиров и, в
меньшей степени, белков) в организме освобождается энергия, которая
аккумулируется в виде богатого энергией соединения - аденозинтрифосфорной
кислоты. При окислении 1 г углеводов в организме образуется 16,7 кДж (4 ккал)
энергии.
Роль углеводов в организме человека не ограничивается их значением как
источника энергии. Эта группа веществ и их производные входят в состав
разнообразных тканей и жидкостей, являясь пластическими материалами. Так,
соединительная ткань содержит мукополисахариды, в состав которых входят
углеводы и их производные.
Регуляторная функция углеводов разнообразна. Они противодействуют
накоплению кетоновых тел при окислении жиров. Так, при нарушении обмена
углеводов, например, при сахарном диабете, развивается ацидоз.
Ощущение сладкого, воспринимаемое рецепторами языка, тонизирует
центральную нервную систему.
Некоторые углеводы и их производные обладают биологической активностью,
выполняя в организме специализированные функции. Например, гепарин
предотвращает свертывание крови в сосудах, гиалуроновая кислота препятствует
проникновению бактерий через клеточную оболочку и др.
Следует отметить важную роль углеводов в защитных реакциях организма,
особенно протекающих в печени. Так, глюкуроновая кислота соединяется с
некоторыми токсическими веществами, образуя нетоксические сложные эфиры,
которые, благодаря растворимости в воде, удаляются из организма с мочой.
Углеводные запасы человека очень ограничены, содержание их не превышает 1
% массы тела. При интенсивной работе они быстро истощаются, поэтому углеводы
должны поступать с пищей ежедневно. Суточная потребность человека в углеводах
составляет 400-500 г, при этом примерно 80% приходится на крахмал.
Усваиваемые и неусваиваемые углеводы
С точки зрения пищевой ценности углеводы подразделяются на усваиваемые и
неусваиваемые. Усваиваемые углеводы - моно- и олигосахариды, крахмал, гликоген.
Неусваиваемые - целлюлоза, гемицеллюлозы, инулин, пектин, гумми, слизи.
При поступлении в пищеварительный тракт усваиваемые углеводы (за
исключением моносахаридов) расщепляются, всасываются, а затем или
непосредственно утилизируются (в виде глюкозы), или превращаются в жир, или
откладываются на временное хранение (в виде гликогена). Накопление жира
особенно выражено при избытке в диете простых сахаров и отсутствии расхода
энергии.
Обмен углеводов в организме человека складывается в основном из следующих
процессов.
1. Расщепление в желудочно-кишечном тракте поступающих с пищей
полисахаридов и дисахаридов - до моносахаридов. Всасывание моносахаридов из
кишечника в кровь.
2. Синтез и распад гликогена в тканях, прежде всего в печени.
. Анаэробное расщепление глюкозы - гликолиз, приводящий к
образованию пирувата.
. Аэробный метаболизм пирувата (дыхание).
. Вторичные пути катаболизма глюкозы (пентозофосфатный путь и
др.).
. Взаимопревращение гексоз.
. Глюконеогенез, или образование углеводов из неуглеводных
продуктов. Такими продуктами являются, в первую очередь, пировиноградная и
молочная кислоты, глицерин, аминокислоты и ряд других соединений.
Глюкоза является основной формой, в виде которой углеводы циркулируют в
крови, обеспечивая энергетические нужды организма. Нормальное содержание
глюкозы в крови 80-100 мг/100 мл. Избыток сахара превращается в гликоген,
который расходуется как источник глюкозы, если мало углеводов поступает с
пищей. Процессы утилизации глюкозы замедляются, если поджелудочной железой
вырабатывается недостаточно гормона - инсулина. Уровень глюкозы в крови
повышается до 200- 400 мг/100 мл, почки перестают задерживать такие высокие
концентрации сахара, и сахар появляется в моче. Наступает тяжелое заболевание -
сахарный диабет. Быстрый подъем уровня глюкозы в крови вызывают моносахариды и
дисахариды, особенно сахароза. На ворсинках тонкого кишечника из сахарозы и
других дисахаридов высвобождаются остатки глюкозы, которые быстро поступают в
кровь.
При потреблении фруктозы уровень глюкозы в крови увеличивается менее
резко. Фруктоза в большей степени задерживается печенью, а поступив в кровь,
скорее вступает в обменные процессы. Утилизация фруктозы не требует инсулина,
поэтому она может потребляться и больными сахарным диабетом. Фруктоза в меньшей
степени, чем глюкоза и сахароза, вызывает кариес зубов. Большая
целесообразность потребления фруктозы по сравнению с другими сахарами связана и
с тем, что фруктоза обладает большей сладостью.
Моносахарид галактоза в свободном виде в пищевых продуктах не
встречается. Она является продуктом расщепления молочного сахара.
Дисахарид лактоза содержится только в молоке и молочных продуктах (сыры,
кефир и т. д.), составляя примерно 1/3 сухих веществ. Гидролиз лактозы в
кишечнике протекает замедленно, в связи с чем ограничиваются процессы брожения
и нормализуется деятельность кишечной микрофлоры. Кроме того, поступление
лактозы в пищеварительный тракт способствует развитию молочнокислых бактерий,
являющихся антагонистами патогенной и условно-патогенной микрофлоры, гнилостных
микроорганизмов.
Неусваиваемые углеводы человеческим организмом не утилизируются, но они
чрезвычайно важны для пищеварения и составляют (вместе с лигнином) так
называемые пищевые волокна. Пищевые волокна выполняют следующие функции в
организме человека:
· стимулируют моторную функцию кишечника;
· препятствуют всасыванию холестерина;
· играют положительную роль в нормализации состава микрофлоры
кишечника, в ингибировании гнилостных процессов;
· оказывают влияние на липидный обмен, нарушение которого
приводит к ожирению;.
· адсорбируют желчные кислоты;
· способствуют снижению токсичных веществ жизнедеятельности мик
роорганизмов и выведению из организма токсичных элементов.
При недостаточном содержании в пище неусваиваемых углеводов наблюдается
увеличение сердечно-сосудистых заболеваний, злокачественных образований прямой
кишки. Суточная норма пищевых волокон составляет 20-25 г.
Углеводы в пищевых продуктах
Углеводы составляют 3/4 сухой массы растений и водорослей, они содержатся
в зерновых, фруктах, овощах и в других продуктах.
Главными усваиваемыми углеводами в питании человека являются крахмал и
сахароза. Крахмал является главным энергетическим ресурсом человеческого
организма. Источники крахмала - зерновые, бобовые, картофель. На долю крахмала
приходится примерно 80% всех потребляемых человеком углеводов.
Моносахариды и олигосахариды (в том числе сахароза) присутствуют в
зерновых в относительно малых количествах (см. табл. 3.1 и 3.2). Сахароза
обычно поступает в человеческий организм с продуктами, в которые она
добавляется (кондитерские изделия, напитки, мороженое и др.). Принимая во
внимание то, что сахароза в значительной степени способствует росту глюкозы в
крови, следует отметить, что продукты с высоким содержанием сахара (в первую
очередь кондитерские изделия) являются наименее ценными из всех углеводных
продуктов.
В настоящее время можно считать доказанным, что необходимо увеличивать в
рационе пищевые волокна. Источником их являются ржаные и
Таблица 3.1. Углеводы зерна и продуктов его переработки (в %)
|
Продукт
|
Крахмал
|
Сахара
|
Клетчатка, гемицеллюлоза и
др.
|
Всего
|
|
Пшеница
|
52-55
|
2-3
|
8-14
|
60-70
|
|
Мука пшеничная
|
67-68
|
1,7-1,8
|
0,1-0,2
|
73-74
|
|
Макароны
|
62-69
|
1,7-4,6
|
0,1-0,2
|
72-75
|
|
Рис
|
55
|
3
|
4-10
|
63-64
|
|
Гречка
|
63-64
|
2
|
1-2
|
67-68
|
|
Кукуруза
|
57
|
2,5-3
|
6-10
|
67-70
|
Таблица 3.2. Сахара ржи и пшеницы (в %)
|
Сахара
|
Пшеница
|
Рожь
|
|
Глюкоза
|
0,01-0,09
|
0,05
|
|
Фруктоза
|
0,02-0,09
|
0,06
|
|
Сахароза
|
0,19-0,57
|
0,41
|
|
Мальтоза
|
0,06-0,15
|
0,14
|
|
Другие олигосахариды
|
0,67-1,26
|
2,03
|
пшеничные отруби, овощи, фрукты. Хлеб из цельного зерна, с точки зрения
содержания пищевых волокон, гораздо более ценен, чем хлеб из муки высших
сортов, не содержащих алейронового слоя и зародыша (табл. 3.3).
Таблица 3.3. Химический состав продуктов помола пшеницы (в % на сухое
вещество)
|
Продукт
|
Выход
|
Зола
|
Клетчатка
|
Пентозаны
|
Крахмал
|
|
Зерно
|
100,0
|
1,7
|
2,5
|
6,4
|
53,0
|
|
Мука в. с.
|
10,1
|
0,5
|
0,1
|
1,6
|
80,1
|
|
Мука I с.
|
22,4
|
0,6
|
0,2
|
1,8
|
77,8
|
|
Мука II с.
|
47,5
|
1,2
|
0,5
|
3,4
|
72,5
|
|
Отруби
|
18,4
|
5,4
|
8,4
|
22,1
|
13,8
|
Углеводы плодов (см. табл. 3.4) представлены в основном сахарозой,
глюкозой и фруктозой, а также клетчаткой и пектиновыми веществами (в черной
смородине 1,1; в сливе 0,9; в клюкве 0,7; в корках цитрусовых 20-30; в корках
яблок 8-20% пектиновых веществ).
Животные продукты содержат значительно меньше усваиваемых углеводов, чем
растительные. Мясной и печеночный гликоген подобны
Таблица 3.4. Содержание различных углеводов в плодах (в %)
|
Вид
|
Сахара
|
Пектиновые вещества
|
Клетчатка
|
Всего углеводов
|
|
Сахароза
|
Глюкоза
|
Фруктоза
|
|
|
|
|
Яблоки*
|
3,0
|
3,8
|
8,1
|
1,1
|
0,6
|
11-17
|
|
Персики
|
6,3
|
5,1
|
4,4
|
0,6
|
1,0
|
17-18
|
|
Виноград
|
0,6-4,0
|
8-10
|
7-10
|
0,6
|
0,6
|
17-25
|
|
Лимоны
|
0,9
|
0,6
|
0,6
|
1,1
|
0,5
|
3-4
|
|
Земляника
|
0,4
|
2,8
|
3,3
|
1,6
|
1,4
|
9-10
|
* Содержание крахмала - 0,2%.
по строению крахмальному амилопектину и усваиваются так же как крахмал.
3.3
ПРЕВРАЩЕНИЯ УГЛЕВОДОВ ПРИ ПРОИЗВОДСТВЕ ПИЩЕВЫХ ПРОДУКТОВ
Гидролиз углеводов
Во многих пищевых производствах имеет место гидролиз пищевых гликозидрв,
олигосахаридов и полисахаридов. Гидролиз зависит от многих факторов: рН,
температуры, аномерной конфигурации, комплекса ферментов. Он важен не только
для процессов получения пищевых продуктов, но также и для процессов их
хранения. В последнем случае реакции гидролиза могут приводить к нежелательным
изменениям цвета или, в случае полисахаридов, могут приводить к неспособности
их образовывать гели.
Большое внимание сейчас уделяется получению различных зерновых сахарных
сиропов из дешевого крахмалсодержащего сырья и крахмала (рожь, кукуруза, сорго
и др.). Их получение сводится к использованию разных комбинаций амилолитических
ферментных препаратов (α-амилазы, глюкоамилазы, β-амилазы). Возможности ферментативного
способа получения разных сахаристых продуктов видны на диаграммах (см. рис.
3.4). Получение глюкозы (с помощью глюкоамилазы), а затем действие
глюкозоизомеразы дает возможность получения глюкозофруктозных и
высокофруктозных сиропов, применение которых позволяет заменять во многих
производствах сахарозу. В табл. 3.5 представлены данные по "сладости"
различных сиропов.
Известно, что α-D-(1,4)-связи в крахмале легче гидролизуются,
чем β-D-(1,4)-связи в целлюлозе. Кроме
того, медленная реакция гидролиза целлюлозы связана с ее строением.
При получении сахарных сиропов из крахмала степень конверсии крахмала в
D-глюкозу измеряют в единицах глюкозного эквивалента (ГЭ) - это содержание (в
%) образующихся редуцирующих сахаров, выраженное в глюкозе на сухие вещества
(СВ) сиропа.
Таблица 3.5. Состав и сладость типичных высокофруктозных сиропов
|
Показатели
|
Тип сиропа
|
2
|
3
|
|
Содержание сахаров, %
|
|
|
|
|
глюкозы
|
52
|
40
|
7
|
|
фруктозы
|
42
|
55
|
90
|
|
олигосахаридов
|
6
|
5
|
3
|
|
Относительная сладость
|
100
|
105
|
140
|
Гидролиз крахмала. 1. При гидролизе крахмала под действием кислот сначала
имеет место ослабление и разрыв ассоциативных связей между макромолекулами
амилозы и амилопектина. Это сопровождается нарушением структуры крахмальных
зерен и образованием гомогенной массы. Далее идет разрыв α-D-(l,4)-
и α-D-(1,6)-связей с присоединением по месту
разрыва молекулы воды. В процессе гидролиза нарастает число свободных
альдегидных групп, уменьшается степень полимеризации. По мере гидролиза и
нарастания редуцирующих (восстанавливающих) веществ содержание декстринов
уменьшается, глюкозы - увеличивается, концентрация мальтозы, три- и тетрасахаров
сначала увеличивается, затем их количество снижается (см. рис. 3.5). Конечным
продуктом гидролиза является глюкоза. На промежуточных стадиях образуются
декстрины, три- и тетрасахара, мальтоза. Определенному значению глюкозного
эквивалента соответствует определенное соотношение этих продуктов, и, варьируя
длительностью гидролиза и условиями его проведения, можно получать различные
соотношения отдельных продуктов гидролиза при той или иной величине глюкозного
эквивалента.
Кислотный гидролиз долгое время был главным при получении глюкозы из
крахмала. Этот способ имеет ряд существенных недостатков, которые связаны с
использованием высоких концентраций кислот и высокой температуры, что приводит
к образованию продуктов термической деградации и дегидратации углеводов и
реакции трансгликозилирования.
. Крахмал гидролизуется также и под действием амилолитических ферментов.
К группе амилолитических ферментов относятся α- и β-амилаза, глюкоамилаза, пуллуланаза и
некоторые другие ферменты. Амилазы бывают двух типов: эндо- и экзоамилазы.
Четко выраженной эндоамилазой является α-амилаза, способная к разрыву
внутримолекулярных связей в высокополимерных цепях субстрата. Глюкоамилаза и β-амилаза являются экзоамилазами, т. е.
ферментами, атакующими субстрат с нередуцирующего конца.
α-Амилаза, действуя на целое
крахмальное зерно, атакует его, разрыхляя поверхность и образуя каналы и
бороздки, то есть как бы раскалывает зерно на части (см. рис. 3.6).
Клейстеризованный крахмал гидролизуется ею с образованием не окрашиваемых иодом
продуктов - в основном низкомолекулярных декстринов. Процесс гидролиза крахмала
многостадийный. В результате воздействия α-амилазы на первых стадиях процесса в
гидролизате накапливаются декстрины, затем появляются неокрашиваемые иодом
тетра- и тримальтоза, которые очень медленно гидролизуются α-амилазой до ди- и моносахаридов.
Схему гидролиза крахмала (гликогена) а-амилазой можно представить так:
β-Амилаза (α-1,4-глюканмальтогидролаза) является
экзоамилазой, проявляющей сродство к предпоследней α-(1,4)-связи с нередуцирующего конца
линейного участка амилозы или амилопектина (см. рис. 3.7). В отличие от α-амилазы, β-амилаза практически не гидролизует
нативный крахмал; клейстеризованный крахмал гидролизуется до мальтозы в β-конфигурации. Схему можно записать
следующим образом:
Рис. 3.7. Действие β-амилазы на крахмал
Глюкоамилаза α-(1,4)-глюканглюкогидролаза является
экзоферментом, катализирующим последовательно отщепление концевых остатков α-D-глюкозы с нередуцирующего конца
крахмальной цепи. Многие глюкоамилазы обладают способностью так же быстро, как
и α-1,4-связь, гидролизовать α-1,6-глюкозидные связи. Но это происходит
только в том случае, когда за α-1,6-связью следует α-1,4-связь, поэтому декстран ими не
гидролизуется. Отличительной особенностью глюкоамилаз является способность в
десятки раз быстрее гидролизовать высокополимеризованный субстрат, чем олиго- и
дисахариды.
Рис. 3.8. Действие глюкоамилазы на крахмал
Схематически механизм действия глюкоамилазы на крахмал представлен на
рис. 3.8.
Ферментативный гидролиз крахмала присутствует во многих пищевых
технологиях как один из необходимых процессов, обеспечивающих качество
конечного продукта - в хлебопечении (процесс тестоприготовления и выпечки
хлеба), производстве пива (получение пивного сусла, сушка солода), кваса
(получение квасных хлебцев), спирта (подготовка сырья для брожения), различных
сахаристых крахмалопродуктов (глюкозы, патоки, сахарных сиропов). На рис. 3.9
представлен состав различных сахарных сиропов, полученных
кислотно-ферментативным способом - предварительная обработка кислотой, а затем
действием ферментов α-, β- и (или) глюкоамилазы. Использование
такого комбинированного способа гидролиза крахмала открывает широкие
возможности для получения сиропов заданного состава.
Гидролиз сахарозы. Поскольку сахароза как сырье используется во многих
производствах, необходимо учитывать ее исключительную способность к гидролизу.
Это может иметь место при нагревании в присутствии небольшого количества
пищевых кислот. Образующиеся при этом редуцирующие сахара (глюкоза, фруктоза)
могут участвовать в реакциях дегидратации, карамелизации и
меланоидинообразования, образуя окрашенные и ароматические вещества. В ряде
случаев это может быть нежелательно.
Ферментативный гидролиз сахарозы под действием β-фруктофуранозидазы (сахаразы,
инвертазы) играет положительную роль в ряде пищевых технологий. При действии β-фруктофуранозидазы на сахарозу
образуются глюкоза и фруктоза. Благодаря этому в кондитерских изделиях (в
частности, в помадных конфетах) добавление β-фруктофуранозидазы предупреждает
черствение конфет, в хлебопекарных изделиях - способствует улучшению аромата.
Инверсия сахарозы под действием β-фруктофуранозидазы имеет место на
начальной стадии производства виноградных вин. Инвертные сиропы, полученные
действием β-фруктофуранозидазы на сахарозу, используются при производстве
безалкогольных напитков.
Ферментативный гидролиз некрахмалистых полисахаридов. Этот гидролиз имеет
место под действием ферментов целлюлолитического, гемицеллюлазного и
пектолитического комплекса. Используется в пищевой технологии для более полной
переработки сырья и улучшения качества продукции. Например, гидролиз
некрахмалистых полисахаридов (пентозанов и др.) при солодоращении имеет
значение в последующем для образования окрашенных и ароматических продуктов
(при сушке солода и создании определенных органолептических свойств пива). В
производстве соков и в виноделии - для осветления, увеличения выхода сока,
улучшения условий фильтрации.
Гидролиз целлюлозы происходит под действием комплекса целлюлолитических
ферментов.
По современным представлениям гидролиз целлюлозы под действием ферментов
целлюлолитического комплекса можно представить следующим образом:
Гемицеллюлозы вместе с пектиновыми веществами образуют основное вещество
клеточных оболочек растений. Гидролиз гемицеллюлоз имеет место под действием
обширного комплекса гемицеллюлазных ферментов. Эта группа полисахаридов,
разнородная по строению, молекулярной массе и составу, при гидролизе дает
довольно разнообразный набор соединений: глюкозу, фруктозу, маннозу, галактозу,
ксилозу, арабинозу, глюкуроновую и галактуроновую кислоты.
Гидролиз пектиновых веществ имеет место под действием пектолитических
ферментов.
Пектинэстераза гидролизует сложные эфирные связи в пектиновой кислоте и
пектине и отщепляет метиловый спирт. Механизм действия пектинэстеразы можно
представить следующим образом:
Полигалактуроназа осуществляет гидролитическое расщепление α-1,4-гликозидных связей в цепи пектиновых
веществ и по своему действию на пектиновые вещества разделяется на эндо- и
экзоферменты (подробно см. гл. 8).
Протопектиназа - это фермент, действующий на протопектин. Однако вопрос о
существовании протопектиназы до последнего времени остается спорным, хотя
нельзя отрицать, что при воздействии комплекса пектолитических ферментов на
срединные пластинки растительной ткани резко снижается вязкость раствора,
уменьшается молекулярная масса пектина без нарастания отщепленных редуцирующих
групп. С пектиновыми веществами происходят какие-то превращения, существенно
отличающиеся от тех, которые возникают при воздействии известных
пектолитических ферментов.
Реакции дегидратации и термической деградации углеводов
При переработке пищевого сырья в пищевые продукты эти реакции занимают
важное место. Они катализируются кислотами и щелочами, и многие из них идут по
типу β-элиминации. Пентозы, как главный
продукт дегидратации, дают фурфурол, гексозы - оксиметилфурфурол и другие
продукты, такие как 2-гидроксиацетилфуран, изомальтол и мальтол. Фрагментация
углеродных цепей этих продуктов дегидратации приводит к образованию
левулиновой, муравьиной, молочной, уксусной кислот и ряда других соединений.
Некоторые из образующихся продуктов обладают определенным запахом и могут
поэтому сообщать пищевому продукту желательный или, наоборот, нежелательный
аромат. Эти реакции требуют высокой температуры. Фурфурол и оксиметилфурфурол
образуются при тепловой обработке фруктовых соков. Токсичность этих продуктов
изучалась на крысах, и было отмечено, что фурфурол токсичнее
оксиметилфурфурола. (В случае последнего не было обнаружено токсичного действия
даже при очень высоких дозировках - 450 мг/кг массы тела.)
Ключевым соединением в реакции дегидратации является 3-дезоксиглюкозон
(образование которого из D-глюкозы см. на рис. ЗЛО).
Реакция β-элиминации может продолжаться с енольной формой
3-дезоксиглюкозона (рис. 3.11). Конечным продуктом является оксиметилфурфурол
(рис. 3.12).
Принцип β-элиминации может быть использован, чтобы предсказать
первичные продукты дегидратации из большинства альдоз и кетоз. В случае с
кетозами, в частности, имеется две возможности для β-элиминации: элиминация из
С4-положения ведет к образованию 2-гидроксиацетилфурана,
Реакции, которые имеют место при тепловой обработке сахаров, могут быть
разделены на идущие без разрыва С-С-связей и на идущие с их разрывом.
К первым относятся реакции аномеризации:
и внутренней альдозо-кетозной конверсии, например:
В сложных углеводах, таких как крахмал, в жестких условиях нагревания -
пиролиз при высокой температуре (200°С) - важное место занимают реакции
трансгликозилирования. При этих условиях число (1,4)-α-D-связей уменьшается во времени, a
(l,6)-α-D-
и даже (1,2)-β-D-связи образуются.
При получении глюкозы кислотным гидролизом крахмала, который обычно
проводят в сильнокислой среде при высокой температуре, могут образовываться изомальтоза
и гентиобиоза (рис. 3.13). Протекание таких реакций является отрицательной
характеристикой кислотного способа получения глюкозы.
При тепловой обработке некоторых пищевых продуктов могут образовываться в
значительном количестве ангидросахара, особенно при обработке в сухом виде
продуктов, содержащих D-глюкозу или полимеры на основе D-глюкозы (см. рис.
3.14).
Реакции с разрывом С-С-связей приводят к образованию летучих кислот,
кетонов, дикетонов, фуранов, спиртов, ароматических веществ, оксида и диоксида
углерода. Многие из этих продуктов идентифицированы методами газовой
хроматогрфии и хроматомасспектроскопии.
Реакции образования коричневых продуктов
Потемнение пищевых продуктов может иметь место в результате окислительных
или неокислительных реакций. Окислительное или ферментативное потемнение - это
реакция между фенольным субстратом и кислородом, катализируемая ферментом
полифенолоксидазой. Это потемнение, имеющее место на срезах яблок, бананов,
груш, не связано с углеводами.
Неокислительное или неферментативное потемнение представлено в пищевых
продуктах очень широко. Оно связано с реакциями углеводов и включает явление
карамелизации и взаимодействие углеводов с белками или аминами. Последнее
известно как реакция Майяра.
Карамелизация. Прямой нагрев углеводов, особенно сахаров и сахарных
сиропов, способствует протеканию комплекса реакций, называемых карамелизацией.
Реакции катализируются небольшими концентрациями кислот, щелочей и некоторых
солей. При этом образуются коричневые продукты с типичным карамельным ароматом.
Регулируя условия, можно направить реакции в основном на получение аромата или
же в сторону образования окрашенных продуктов. Умеренный (начальный) нагрев
сахарных растворов приводит к аномерным изменениям, разрыву гликозидных связей,
образованию новых гликозидных связей. Но основными являются реакция
дегидратации с образованием ангидроколец, как в левоглюкозане, или включение в
кольца двойных связей. В результате образуются дигидрофураноны,
циклопентанолоны, циклогексанолоны, пироны и др. Сопряженные двойные связи
адсорбируют свет определенных длин волн, придавая продуктам коричневый цвет.
Часто в ненасыщенных кольцевых системах может иметь место конденсация в
полимерные кольцевые системы. Обычно для получения карамельного цвета и запаха
используется сахароза. Нагреванием раствора сахарозы в присутствии серной
кислоты или кислых солей аммония получают интенсивно окрашенные полимеры
("сахарный колер") для применения в различных пищевых продуктах - при
производстве напитков, карамели и др. Стабильность и растворимость этих
полимеров увеличивается в присутствии НSО3--ионов:
Карамельные пигменты содержат различные группы - гидроксильные,
кислотные, карбонильные, енольные, фенольные и др. Скорость реакции образования
карамельных пигментов увеличивается при увеличении температуры и рН. В
отсутствие буферных солей может образоваться полимерное соединение гумин с
горьким вкусом (средняя формула C125H188 O80); при производстве пищевых
продуктов с этим необходимо считаться и не допускать его образования.
Комплекс реакций, имеющих место при карамелизации, приводит к образованию
разнообразных кольцевых систем с уникальным вкусом и ароматом. Так, мальтол
(3-гидрокси-2-метилпиранон) и изомальтол (3-гидрокси-2-ацетилфуран) имеют запах
печеного хлеба, 2-Н-4-гидрокси-5-метилфуранон - аромат жареного мяса. Кроме
того, эти продукты имеют сладкий вкус, что также определяет их положительную
роль в пищевых продуктах.
Реакция Майяра (меланоидинобразование). Реакция Майяра является первой
стадией реакции неферментативного потемнения пищевых продуктов. Для протекания
реакции требуется наличие редуцирующего сахара, аминного соединения
(аминокислоты, белки) и немного воды.
Все процессы, происходящие при потемнении пищевых продуктов (см. рис.
3.15), еще недостаточно точно определены, но начальные стадии изучены очень
детально. Установлено, что помимо реакции Майяра имеет место дегидратация с
образованием оксиметилфурфурола, разрыв цепей, образование дикарбонильных
соединений, образование меланоидиновых пигментов, которые образуются на
конечных стадиях и имеют окраску от красно-коричневой до темно-коричневой. Если
на первых стадиях возможна некоторая деколоризация при добавлении
восстановителей (например, сульфита), то на конечном этапе это уже невозможно.
Коллоидные, плохо растворимые меланоидины с характерным карамелеподобным
ароматом являются результатом альдольной конденсации и полимеризации.
Карбонильный углерод редуцирующего сахара в открытой цепи подвергается
нуклеофильной атаке свободной электронной парой аминного азота. Это
сопровождается потерей воды и замыканием кольца с образованием глюкозоамина
(рис. 3.16). В присутствии избытка редуцирующего сахара может образовываться
диглюкозоамин. Глюкозоамин подвергается перегруппировке по Амадори и переходит
в аминокислоту (фруктозоамин) (см. рис. 3.17). Фруктозоамин был идентифицирован
в ряде пищевых продуктов, в частности в сухофруктах (персики, абрикосы),
высушенных овощах, сухом молоке.
Если в начальной стадии присутствует кетоза, то также имеет место
образование глюкозоамина за счет перегруппировки Хейтса (см. рис. 3.18).
Продукты реакции, полученные при перегруппировке по Амадори, могут далее
превращаться по двум путям: один - через дикарбонильные промежуточные
соединения (дифруктозоглицин) (рис. 3.19), другой - через образование
промежуточных дезоксигексозулоз (3-дезоксигексозонов). Оба эти пути ведут к
образованию меланоидиновых пигментов - соединений, имеющих пиразиновые и
имидазольные кольца, а также, кроме того, редуктонов и оксиметилфурфурола.
Реакция 1,2-енолизации (см. рис. 3.20) преобладает в пищевых продуктах,
среда которых характеризуется относительно мягкими условиями. Образующиеся
продукты - 3-дезоксиглюкозулоза и ненасыщенная глюкозулоза. Аминокислота
освобождается в неизменном виде.
Реакция 2,3-енолизации (см. рис. 3.21) ведет через появление относительно
неустойчивой 2,3-диулозы к образованию 2,4-диулозы. Роль этих соединений
проявляется и в образовании пигментов, и, особенно, в продуцировании летучих
ароматических соединений.
Когда в процесс оказываются втянутыми другие альдозы, это приводит к
различиям в скорости реакции: пентозы (ксилоза и рибоза) темнеют гораздо
быстрее, чем гексозы. Есть доказательства тому, что потемнение кетоз (фруктозы)
отличается от потемнения альдоз. Образовавшаяся сначала фруктозиламинокислота
после перегруппировки Хейтса дает альдозоаминокислоты. Возникает новый
асимметрический центр, и фруктоза дает смесь глюкозо- и маннозоглицина вместе с
небольшим количеством фруктозоглицина. Альдозоаминокислоты более стойки, чем
соответствующие кетозоаминокислоты. Фруктоза темнеет медленнее, чем глюкоза, и
измерение потерь аминокислот в ходе реакции показывает, что она протекает
иначе, чем реакция потемнения альдоз.
Скорость потемнения нередуцирующих дисахаридов (например, сахарозы) и
полисахаридов можно ограничить скоростью их гидролиза и разложения до
редуцирующих сахаров.
Образование пигментов - сложная реакция и труднее поддается определению.
Считается, что в образовании пигментов участвуют альдольная конденсация
карбонильных промежуточных соединений или продуктов их последующих реакций. На
этой стадии в реакцию опять вступают аминокислоты, что приводит .к образованию
азотсодержащих пигментов, называемых меланоидинами. Коричневый цвет объясняется
невыраженностью спектра поглощения в видимом диапазоне, составленном из
перекрывающих друг друга спектров поглощения многих хромофоров. На модельных
растворах показано, что пигменты, образовавшиеся в модельных
сахаро-аминокислотных средах, не являются простыми веществами. Они представляют
собой смеси соединений со схожей структурой, но с различной молекулярной массой
(начиная от нескольких сотен). С химической точки зрения пигменты, образующиеся
в модельных средах, являются ненасыщенными поликарбоксильными кислотами с
расширенной системой сопряженных связей, включающей карбоксильные группы. Кроме
того, можно отметить наличие гидроксильной, енольной и аминной функций.
Поскольку в реакции Майяра участвуют белки и аминокислоты, очевидно, что
имеет место определенная их потеря, как нутриента питания. С этим особенно
приходится считаться в случае незаменимой аминокислоты лизина (вследствие ее
большой реакционной способности), благодаря присутствию свободной ε-аминогруппы.
Большая способность к реакции Майяра характерна не только для лизина, но
и для других важных аминокислот - L-аргинина и L-гистидина. Все это говорит о
том, что если реакция потемнения имеет место при производстве, консервировании
и хранении пищевых продуктов, обязательно имеет место потеря некоторых
аминокислот (в том числе незаменимых) и пищевой ценности. Причем в ряде случаев
даже относительно мягкие условия обработки могут давать довольно большие
потери. При воздействии в технологических операциях даже небольших температур в
течение короткого промежутка времени в присутствии редуцирующих сахаров
возможна потеря аминокислот (особенно основных) за счет реакции Майяра. Это
иллюстрируется в табл. 3.7 на примере лизина. С этим особенно приходится
считаться, поскольку лизин является лимитирующей аминокислотой во многих
зерновых продуктах.
Таблица 3.7. Потеря лизина в молочных продуктах
|
Продукт
|
Температура, "С
|
Время
|
Потеря L-лизина, %
|
|
Свежее молоко
|
100
|
Несколько минут
|
5
|
|
Обезжиренное сухое молоко
|
150
|
Несколько минут
|
40
|
|
То же
|
150
|
3 часа
|
80
|
Однако потеря аминокислот может происходить не только при образовании
меланоидиновых пигментов, но и за счет реакции распада по Стреккеру, который
сопровождает эти превращения. Распад по Стреккеру включает взаимодействие
дикарбонильных промежуточных продуктов реакции меланоидинообразования и
аминокислот. При этом образуются летучие (различные альдегиды, пиразины и др.)
продукты, влияющие на аромат. Эти вещества образуются в процессе
технологической обработки (при выпечке хлеба, обжарке кофейных зерен, варке), и
их появление часто бывает связано с формированием характерного для продукта
аромата. Запахи, появляющиеся в процессе хранения, менее желательны, поскольку
нарушают первоначальную органолептическую характеристику продукта.
Эту реакцию используют, чтобы получать продукты с разным ароматом -
шоколада, меда, хлеба и др.
Можно отметить два основных пути формирования летучих ароматических
веществ: 1,2- и 2,3-енолизация в результате упоминавшегося выше распада
кетозоаминокислот. Меньшая роль принадлежит 1,2-енолизации, продуктами которой
являются оксиметилфурфурол (из гексоз) и фурфурол (из пентоз). 3-Дезоксиозулозы
могут вступать в реакцию с аминными соединениями, дающую пиррольные альдегиды.
В результате 2,3-енолизации образуется более широкий спектр продуктов реакции,
включая дигидропираноны и фураноны.
Озулозы и другие дикарбонильные соединения могут участвовать в реакции
разложения Стреккера, в результате которой происходит декарбоксилирование
аминокислот и образование альдегидов. Образовавшиеся таким образом альдегиды
необязательно нужно рассматривать как вещества, непосредственно участвующие в
образовании запаха, однако еноламины могут конденсироваться и дать начало
замещенным пиразинам, часто встречающимся в виде летучих ароматических
соединений.
Продукт реакции Стреккера, образовавшийся из простого дикарбонильного
соединения - пировиноградного альдегида, который сам есть продукт разложения
сахара, - может, конденсируясь, образовать диметилпиразин.
В то же время в ряде случаев образование постороннего запаха в пищевых
продуктах нежелательно или недопустимо. Поэтому необходимо знать факторы,
влияющие на реакцию меланоидинообразования, чтобы управлять процессом в нужном
направлении. К этим факторам относятся температура, рН, влажность, наличие
определенных ионов металлов, структура сахара. Контроль условий важен и с точки
зрения возможности получения токсичных продуктов деградации. Это может касаться
так называемых "перемеланоидиновых" продуктов, которые могут давать
нитрозоамины.
Влияние рН. Величина рН среды имеет значение для реакции Майяра. Из
предполагаемого механизма можно заключить, что потемнение может быть менее
значительным в сильнокислой среде, поскольку в этих условиях аминогруппа
изотонируется, и образования глюкозоамина происходить не будет. Показано, что
при рН 6 имеет место небольшое потемнение, а наиболее благоприятная область рН
для реакции 7,8-9,2.
Влажность. Изучение влияния влажности на систему D-ксилоза + глицин
показало, что при очень низком и при очень высоком содержании влаги (aw= 0 или
aw= 1) не наблюдается потемнения, максимальное же потемнение имеет место при
промежуточных влагосодержаниях (см. гл. 10).
Температура. Наблюдается увеличение скорости реакции при повышенных
температурах. Повышение температуры на 10°С дает увеличение скорости в 2-3
раза.
Ионы металлов. Установлено повышение интенсивности потемнения в
присутствии ионов меди и железа (Fe3+>Fe2+), ионы Na+ эффекта не давали.
Отсюда можно предположить, что роль ионов ряда металлов в реакции
потемнения связана с окислительно-восстановительными процессами.
Структура сахара. Наблюдается уменьшение способности образовывать
коричневые пигменты в рядах: D-ксилоза - L-арабиноза (пентозы); D-галактоза -
D-манноза - D-глюкоза - D-фруктоза (гексозы); мальтоза - гексозы - лактоза -
сахароза (дисахара). Степень образования пигментов прямо пропорциональна
количеству открытых цепей (свободный карбонил) сахара в растворе. Это
подтверждает, что аминный азот реагирует с открытой цепью, как обсуждалось
выше.
Характер аминокислоты. Чем дальше расположена аминогруппа от
карбоксильной, тем активнее данная аминокислота в реакции Майяра. Таким
образом, γ-аминомасляная кислота вступает в реакцию лучше, чем α-аминомасляная, а лизин (за счет
дополнительной ε-аминогруппы) - лучше, чем изолейцин.
Если образование коричневых пигментов для пищевых продуктов нежелательно,
можно ингибировать протекаемые реакции, например, значительным снижением
влажности (для сухих продуктов), снижением концентрации сахара (разведением),
рН и температуры (для жидких продуктов). Можно удалить один из компонентов
субстрата (обычно, сахар). Например, при получении яичного порошка, чтобы не
допустить появления запаха, перед сушкой добавляют глюкозооксидазу, что
приводит к разрушению D-глюкозы и образованию D-глюконовой кислоты:
Кроме удаления сахара, образующийся при этом технологическом приеме
пероксид водорода и повышение температуры приводят к снижению бактериальной
обсемененности (см. табл. 3.8).
Таблица 3.8. Применение глюкозооксидазы при получении яичного порошка
|
Температура, °С
|
Условная концентрация
фермента
|
Время удаления сахара, час
|
Количество бактерий, тыс,
через
|
|
|
|
0 ч
|
1,5 ч
|
3 ч
|
4 ч
|
|
30
|
а
|
2,75
|
137 000
|
29000
|
28000
|
-
|
|
40
|
0,5 а
|
3,75
|
137 000
|
400
|
95
|
-
|
Для предотвращения потемнения рыбы, содержащей значительные количества
рибозы, добавляют бактерии Lactobacillus pentoaceticum, обладающие D-рибозной
оксидазной активностью.
Химический способ ингибирования реакции Майяра - использование сульфитов
- представлен на схеме (см. рис. 3.25).
Содержание сульфитов в ходе неферментативного потемнения постепенно
снижается. В одних случаях (например, для глюкозы и аминокислот) потемнение
прекращается полностью еще до того, как содержание сульфитов снизится почти до
нуля. В других (например, для аскорбиновой кислоты и аминокислот) оно
замедляется. Неодинаковая роль сульфитов объясняется различиями в промежуточных
продуктах реакции, участвующих в формировании окраски.
Более всего подвержены влиянию сульфитов такие промежуточные продукты,
как 3-дезоксизулозы и ненасыщенные озулозы. Первые образуют с сульфитом обратимые
соединения и замедляют реакцию, вторые образуют необратимое добавочное
соединение, в результате чего этот промежуточный продукт стабилизируется, а
процесс потемнения задерживается до тех пор, пока сульфит не будет полностью
использован. Эти дополнительные продукты были фактически выделены из модельных
сред и идентифицированы в пищевых продуктах.
Оксид серы (SO2) и его производные подавляют реакцию потемнения в пищевых
продуктах, однако их применение ограничивается возможностью образования в
сульфитированных пищевых продуктах слаботоксичных компонентов. Поиски других
ингибиторов продолжаются, однако найденные до настоящего времени заменители
(цианиды, димедон, гидроксиламин, гидразин, меркаптаны, бромин) неприемлемы
из-за токсичности.
Однако этот путь защиты от потемнения не предохраняет продукты от потери
аминокислот (например, лизина), поскольку реакция с сульфит-ионами протекает на
последних стадиях меланоидинообразования.
Кроме того, гидросульфит-ион практически не имеет влияния на реакцию
Стреккера.
В заключение следует отметить важные моменты относительно реакции
меланоидинообразования, которые должен знать и учитывать пищевик-технолог.
1. Образование меланоидиновых пигментов может быть желательно или
нежелательно, так же как и развитие запаха - в зависимости от вида продукта.
2. Может иметь место потеря незаменимых аминокислот (особенно
лимитирующих), т. е. потеря питательной ценности продукта.
. Есть единичные публикации, в которых указывается, что некоторые
продукты реакции Майяра могут быть мутагенными. В частности, приводятся данные
о мутагенности некоторых продуктов реакции D-глюкозы и D-фруктозы с L-лизином
или L-глутаминовой кислотой. Эффект был продемонстрирован на примере
сальмонеллы ТА-100, однако в большинстве работ мутагенность продуктов
оспаривается.
. Продукты реакций карамелизации и меланоидинообразования и
образование ароматических компонентов, сопутствующее этим реакциям, имеют
большое значение во многих пищевых производствах для получения продуктов с
красивым цветом и характерным ароматом (хлебопечение, производство
безалкогольных напитков и пива, кондитерских изделий и др.). В иных случаях
(например, при кислотном способе получения глюкозы) образование таких продуктов
характеризуется как недостаток, поскольку ухудшает качество получаемых сиропов
и ведет к определенной потере важных компонентов перерабатываемого сырья.
. Промежуточные продукты реакции Майяра обладают антиокислительной
активностью. Есть данные на модельных средах, что продукты реакции потемнения
глюкозы и глицина понижают степень поглощения кислорода и образования
пероксидов из производных линоленовой кислоты. Это объясняется тем, что
промежуточные продукты распада фруктозоамина, соединяясь с пероксидами или
свободными радикалами, замедляют окислительный процесс. Соответствующее
регулирование реакции Майяра в ходе производства пищевого продукта положительно
скажется на его качестве в процессе хранения.
. Помимо того, что реакция Майяра сокращает содержание
аминокислот, есть доказательства, что образовавшиеся продукты затрудняют
усвоение белков. Влияние продуктов реакции Майяра на эффективность
использования белка можно показать на следующем примере. У крыс, содержавшихся
на казеиновом рационе, включавшем 0,2% смеси прореагировавших глюкозы и
глицина, наблюдалось замедление роста на 40%. Норма удерживаемого с пищей азота
падала с 49 до 31 %. Промежуточные продукты реакции Майяра, приведшие к таким
последствиям, идентифицированы не были.
Окисление в альдоновые, дикарбоновые и урановые кислоты
Действие окислителей. Способность альдоз к окислению также имеет значение
для пищевых продуктов. При определенных условиях возможно окисление в
альдоновые кислоты, причем β-форма окисляется быстрее, чем α-форма. Продуктом окисления является ρ-лактон, который находится в
равновесии с γ-лактоном и свободной формой альдоновой кислоты (см. 3.26).
Последняя форма превалирует при рН 3.
Глюконо-ρ-лактон может присутствовать в пищевых продуктах в умеренно
кислой среде, когда имеет место медленная реакция, например, при получении
некоторых молочных продуктов.
При действии более сильных окислителей (например, азотной кислоты)
образуются дикарбоновые кислоты.
Окисление в уроновые кислоты возможно только при защите карбонильной
группы.
Уроновые кислоты распространены в природе. Некоторые их них являются
структурными компонентами полисахаридов, имеющих важное значение в пищевых
процессах, таких как гелеобразование и загустевание - это пектин
(D-галактуроновая кислота), альгиновая кислота из морских водорослей
(D-маннуроновая кислота, α-гулуроновая кислота).
Окисление, катализируемое ферментами. Здесь прежде всего следует сказать
об окислении глюкозы под воздействием глюкозооксидазы.
С точки зрения применения в пищевых технологиях представляет интерес
система глюкозооксидаза-каталаза.
Глюкозооксидаза (β-D-глюкоза:О2-оксидоредуктаза) обладает исключительной
специфичностью по отношению к глюкозе.
Эта реакция является эффективным методом удаления кислорода из напитков
(соков, пива), поскольку кислород участвует в образовании пероксидов и веществ,
приводящих к изменению цвета и запаха продуктов.
В табл. 3.9 и 3.10 представлены данные, характеризующие эффективность
удаления кислорода из соков и пива. Данные по использованию гидросульфита
(представленные для сравнения в табл. 3.10) показывают, что эффективность
применения глюкозооксидазы несравненно выше - количество кислорода уже через
неделю хранения в этом случае значительно меньше, чем в случае применения
гидросульфита.
Применение глюкозооксидазы дает возможность ингибировать протекание
реакции Майяра.
Таблица 3.9. Применение глюкозооксидазы (добавлена перед закупоркой
бутылок) для удаления кислорода из соков (за 30 ч)
|
Сок
|
Опыт
|
Содержание кислорода, см3
|
Удаленного кислорода, %
|
|
Апельсиновый
|
Контрольный
|
4,5
|
0
|
|
С ферментом
|
2,3
|
49
|
|
Лимонный
|
Контрольный
|
3,6
|
0
|
|
С ферментом
|
1,9
|
47
|
Таблица 3.10. Действие глюкозооксидазы при хранении пива
|
Время хранения, дней
|
Осталось кислорода (мм рт.
ст.) при добавлении
|
|
глюкозооксидазы
|
гидросульфита
|
|
1
|
943
|
1280
|
|
7
|
407
|
1170
|
|
30
|
346
|
915
|
|
60
|
152
|
544
|
|
90
|
80
|
194
|
|
180
|
49
|
160
|
Процессы брожения
Брожение - процесс (в котором участвуют углеводы), используемый в ряде
пищевых технологий: во время тестоприготовления при изготовлении хлеба, в
производстве пива, кваса, спирта, вина и других продуктов.
Спиртовое брожение осуществляется благодаря жизнедеятельности ряда
микроорганизмов. Наиболее типичными организмами спиртового брожения являются
дрожжи рода Saccharomyces. Суммарно спиртовое брожение может быть выражено
следующим уравнением:
С6H12 O6 = 2CO2 + 2C2H5OH
Это суммарное уравнение не отражает того факта, что обычно, кроме главных
продуктов брожения - этилового спирта и углекислого газа, всегда в
незначительном количестве образуются некоторые другие вещества, например,
янтарная, лимонная кислота, а также смесь амилового, изоамилового, бутилового и
других спиртов, уксусная кислота, дикетоны, уксусный альдегид, глицерин и ряд
других соединений, от наличия ничтожных количеств которых зависит специфический
аромат вина, пива и других спиртных напитков.
Разные сахара сбраживаются дрожжами с различной скоростью. Наиболее легко
подвергаются сбраживанию глюкоза и фруктоза, медленнее - манноза, еще медленнее
- галактоза; пентозы дрожжами не сбраживаются. Из дисахаридов хорошим
субстратом спиртового брожения являются сахароза и мальтоза. Однако оба сахара
сбраживаются лишь после предварительного гидролиза на составляющие их
моносахариды ферментами α-гликозидазой и β-фруктофуранозидазой дрожжей.
В присутствии кислорода спиртовое брожение прекращается и дрожжи получают
энергию, необходимую для их развития и жизнедеятельности, путем кислородного
дыхания. При этом дрожжи тратят сахар значительно экономнее, чем в анаэробных
условиях. Прекращение брожения под влиянием кислорода получило название
"эффект Пастера".
Другой вид брожения, важный для пищевых технологий, это молочнокислое
брожение, при котором из одной молекулы гексозы образуются две молекулы
молочной кислоты:
С6Н12О6 = 2СН3-СНОН-СООН
Молочнокислое брожение играет очень большую роль при производстве
молочнокислых продуктов (простокваши, ацидофилина, кефира, кумыса), при
изготовлении кваса, хлебных заквасок и "жидких дрожжей" для
хлебопечения, при квашении капусты, огурцов, при силосовании кормов.
Все микроорганизмы, вызывающие молочнокислое брожение, разделяются на две
большие группы.
К первой группе принадлежат микроорганизмы, подобные Streptococcus
lactis, являющиеся истинными анаэробами и сбраживающие гексозы в точном
соответствии с вышеприведенным суммарным уравнением молочнокислого брожения. Их
называют гомоферментативными молочнокислыми бактериями.
Вторую группу образуют гетероферментативные молочнокислые бактерии,
которые, кроме молочной кислоты, образуют значительные количества других
продуктов, в частности, уксусной кислоты и этилового спирта. Характерным
представителем второй группы молочнокислых бактерий является микроб Bacterium
lactis aerogenes, образующий молочную, уксусную кислоты, этиловый спирт,
углекислый газ, водород и метан. В частности, заметное содержание молочной и
уксусной кислот в ржаном тесте (и ржаном хлебе) объясняется тем, что при
брожении его, наряду со спиртовым брожением, происходит также молочнокислое
брожение, при котором накапливаются как молочная, так и уксусная кислоты.
.4 ФУНКЦИИ
МОНОСАХАРИДОВ И ОЛИГОСАХАРИДОВ В ПИЩЕВЫХ ПРОДУКТАХ
Гидрофильность
Гидрофильность - одно из основных физических свойств углеводов, полезных
для пищевых продуктов. Гидрофильность обусловлена наличием многочисленных
ОН-групп. Они взаимодействуют с молекулой воды посредством водородной связи,
приводя таким образом к сольватации и (или) к растворению сахаров и многих их
полимеров. Эффект связывания воды в значительной степени зависит от структуры
сахара.
Таблица 3.11. Абсорбция воды сахарами [Fennema, 1985]
|
Сахара
|
Абсорбция воды (20°С), %,
при относительной равновесной влажности и времени
|
|
60%, 1 ч
|
60%, 9 дней
|
100%, 25 дней
|
|
Глюкоза
|
0,07
|
0,07
|
14,5
|
|
Фруктоза
|
0,28
|
0,63
|
73,4
|
|
Сахароза
|
0,04
|
0,03
|
18,4
|
|
Мальтоза-ангидро
|
0,80
|
7,0
|
18,4
|
|
Мальтоза-гидрат
|
5,05
|
5,1
|
-
|
|
Лактоза-ангидро
|
0,54
|
1,2
|
1,4
|
|
Лактоза-гидрат
|
5,05
|
5,1
|
-
|
Так, данные табл. 3.11 иллюстрируют, что, например, фруктоза значительно
более гигроскопична, чем D-глюкоза, хотя они имеют и одинаковое число
гидроксильных групп. При 100%-й равновесной относительной влажности воздуха
сахароза и мальтоза связывают одинаковое количество воды, в то же время лактоза
гораздо менее гигроскопична. Гидратные формы, имеющие прочную кристаллическую
структуру, в меньшей степени способны абсорбировать влагу.
Следует отметить, что неочищенные сахара или сахарные сиропы в большей
степени способны абсорбировать воду, чем очищенные сахара. Причина этого
заключается в том, что примеси препятствуют образованию водородных связей между
молекулами сахара и ОН-группы сахаров становятся более доступными для
связывания воды посредством водородных связей. Способность связывать воду и
контролировать активность воды (aw) в пищевых продуктах - одно из наиболее
важных свойств углеводов (см. гл. 10).
Благодаря этому свойству можно (в зависимости от вида продукта) решать
вопрос - надо ли лимитировать поступление влаги или контролировать ее потерю.
Например, замороженные пекарские изделия не должны содержать больших количеств
абсорбированной влаги, поэтому в этих изделиях более целесообразно использовать
такие сахара, как мальтоза, лактоза. В других случаях необходим контроль aw, чтобы
не происходила потеря влаги при хранении. Это относится к кондитерским и
пекарским продуктам. Здесь хорошие результаты дает применение гигроскопичных
сахаров, зерновых сиропов, фруктозных сиропов, инвертного сахара.
Связывание ароматических веществ
Для многих пищевых продуктов, при получении которых используются разные
виды сушки, углеводы являются важным компонентом, способствующим сохранению
цвета и летучих ароматических веществ. Сущность этого заключается в замене
взаимодействия сахар-вода на взаимодействие сахар-ароматическое вещество:
Сахар-вода + ароматическое в-во → сахар-ароматическое в-во + вода
Летучие ароматические вещества - это многочисленная группа карбонильных
соединений (альдегиды, кетоны), производные карбоновых кислот (эфиры) и др.
Способность к связыванию ароматических веществ у дисахаридов выражена в
большей степени, чем у моносахаридов. Очень хорошими фиксаторами аромата
являются циклодекстрины (декстрины Шардингера, которые образуются при действии
на крахмал амилазы Bacillus macerans.
Эффективными фиксаторами аромата и красящих веществ являются большие
углеводные молекулы, например, гуммиарабик. Образуя пленку вокруг этих веществ,
он препятствует абсорбции влаги и потере ее за счет испарения и химического
окисления. Большим прогрессом в фиксации пищевых ароматов является
использование в технике микрокапсулирования смесей гуммиарабика и желатина.
Образование продуктов неферментативного потемнения и пищевого
аромата
Как уже отмечалось, реакции неферментативного потемнения дают окрашенные
меланоидиновые пигменты и много разнообразных летучих компонентов. Именно они
ответственны за тот или иной запах пищевых продуктов, в процессе производства
которых присутствует тепловая обработка. При этом следует иметь в виду, что в
одних случаях их образование имеет положительное значение в общей оценке
качества пищевого продукта, в других - может быть нежелательно. Продукты
реакции неферментативного потемнения могут не только придавать цвет продукту,
но и влиять на другие его свойства. Например, можно отметить двойственную
функцию мальтола и этилмальтола. Сами по себе они имеют сильный карамельный
аромат и обладают сладостью. Кроме того, мальтол влияет на текстуру пищевого
продукта, давая эффект большей "бархатистости". Изомальтол, по сравнению
с мальтолом, примерно в 6 раз более эффективен по показателю сладости. Продукты
термического разложения сахаров включают пирановые и фурановые соединения, а
также фураноны, лактоны, эфиры; наличие тех или иных ароматических соединений
придает каждому продукту присущий ему аромат.
При протекании сахар-аминной реакции также образуются ароматические
вещества - имидазолы, пиразины, пирролы и др. Например, при взаимодействии
D-глюкозы с аминокислотами при 100°С может продуцироваться карамельный аромат
(если используемая аминокислота - глицин), аромат ржаного хлеба (валин),
шоколада (глютамин). Кроме того, образование тех или иных ароматических веществ
зависит от температуры. Например, при реакции D-глюкозы с валином при 100°С -
ощущается аромат ржаного хлеба, а при 180°С - аромат шоколада; с пролином - при
100°С - запах жареного белка, а при 180°С - аромат, присущий пекарским
изделиям. Гистидин при реакции с D-глюкозой (100°С) не дает никакого аромата, а
при 180°С - запах жженого сахара. Аромат, получающийся при реакции D-глюкозы с
серосодержащими аминокислотами, отличен от других аминокислот. Так, при
взаимодействии D-глюкозы с метионином получаются продукты, имеющие запах
картофеля, с цистеином и цистином - запах жареного мяса. С этим необходимо
считаться при производстве пищевых продуктов, и в ряде случаев, с точки зрения
потребительских свойств, количество летучих ароматических компонентов должно
ограничиваться.
Сладость
Ощущение сладости во рту при потреблении низкомолекулярных углеводов
характеризует еще одну важную функцию их в пищевых продуктах. В табл. 3.12 дана
характеристика относительной сладости различных углеводов по сравнению с
сахарозой (сладость которой принимается за 100).
Таблица 3.12. Относительная сладость (ОС) различных углеводов и некоторых
искусственных подсластителей
|
Сахар
|
ОС
|
Сахар или подсластитель
|
ОС
|
|
Сахароза
|
100
|
α-D-лактоза
|
16
|
|
β-D-фруктоза
|
180
|
β-D-лактоза
|
32
|
|
α-D-глюкоза
|
74
|
Ксилоза
|
40
|
|
β-О-глюкоза
|
82
|
Сорбит
|
63
|
|
α-D-галактоза
|
32
|
Ксилит
|
90
|
|
β-D-галактоза
|
21
|
Цикламаты
|
500
|
|
α-D-манноза
|
32
|
Аспартам
|
180
|
|
β-D-манноза
|
Горькая
|
Сахарин
|
500
|
.5 ФУНКЦИИ
ПОЛИСАХАРИДОВ В ПИЩЕВЫХ ПРОДУКТАХ
Структурно-функциональные свойства полисахаридов
Все полисахариды, присутствующие в пищевых продуктах, выполняют ту или
иную полезную роль, связанную с их молекулярной архитектурой, размером и
наличием межмолекулярных взаимодействий, обусловленных, в первую очередь,
водородными связями. Целый ряд полисахаридов являются неусваиваемыми. Это,
главным образом, целлюлоза, гемицеллюлоза и пектиновые компоненты клеточных
стенок овощей, фруктов и семян. Эти компоненты придают многим продуктам
плотность, хрупкость, а также приятное ощущение во рту. И, кроме того, они
важны (как пищевые волокна) в нормальной жизнедеятельности человеческого
организма.
Полисахариды, присутствующие в пищевых продуктах, выполняют важную
функцию, которая заключается в обеспечении их качества и текстуры: твердости,
хрупкости, плотности, загустевания, вязкости, липкости, гелеобразующей
способности, ощущения во рту. Именно благодаря полисахаридам образуется
структура пищевого продукта - мягкая или хрупкая, набухшая или желеобразная.
В принципе, полисахариды должны быть растворимы, поскольку они состоят из
гликозидных единиц (гексоз или пентоз), а каждая гликозидная единица имеет
несколько точек для образования водородных связей.
Так, например, в глюкане пять кислородов в цепи могут участвовать в
образовании водородных связей:
Каждый гидроксильный водород или кислород может потенциально связывать
молекулу воды, и таким образом каждая единица в цепи может быть полностью
гидратирована, что должно было бы привести к растворимости всей молекулы. Но
полисахариды не растворимы в воде, если доступ к воде ограничен. Это имеет
место у полностью линейных молекул, где цепи полностью растянуты и, вследствие
этого, могут тесно примыкать друг к другу вдоль всей длины. Это, в первую
очередь, относится к целлюлозе. Одна линейная молекула может за счет водородных
связей связываться с другой линейной молекулой, образуя кристаллическую
структуру. При таком упорядоченном устройстве не остается мест связывания для
образования в системе вода-целлюлоза водородных связей, и поэтому эти
кристаллические области нерастворимы в воде и очень стабильны. Известно,
например, что деревья растут и существуют веками. Тем не менее, не вся целлюлозная
молекула вовлекается в кристаллические образования, благодаря чему остаются
области, доступные для образования водородных связей между молекулой целлюлозы
и водой. Это аморфные, неструктурированные области, которые являются
высокогидратированными. Подобное имеет место в том случае, если некоторые
секции одной целлюлозной молекулы связаны с некоторыми секциями другой
целлюлозной молекулы в "спагетти-манере", делая взаимодействие между
цепями невозможным.
Если единообразные линейные молекулы перенесены в раствор при нейтральном
значении рН, то они могут взаимодействовать между собой таким образом, как при
образовании кристаллических зон в целлюлозе, то есть вода будет исключена из
зон связывания. Если температура недостаточна высока, чтобы растянуть сегменты
цепей, то эти комбинированные сегменты не только будут оставаться, но и могут
даже расти, вовлекая соседние единицы других цепей в образование зон
связывания. Если много молекул вносят вклад в образование этих зон, то со
временем может возникнуть частица, которая достигает размера, при котором
гравитационный эффект заставляет ее осаждаться. Этот эффект, наблюдающийся при
стоянии амилозных клейстеров, когда длинные и сравнительно неширокие молекулы
начинают кристаллизоваться, называют ретроградацией крахмала. Процесс
исключения воды, который сопровождает ретроградацию, называется синерезисом.
В ряде случаев зоны взаимодействия не растут по размеру так, как описано
выше, а остаются в виде сегментов только двух молекул. Новая зона
взаимодействия одной из этих молекул с новой молекулой образуется совершенно в
другом месте. Таким образом, каждая полисахаридная молекула будет участвовать в
двух и более зонах соединения. Эти молекулярные ассоциации образуют трехмерную
сетку с растворителем, в которой молекулы воды распределены везде (см. гл. 10).
В результате образуется уникальная структура: вначале был раствор, затем
образовался гель. Образование гелей, например, имеет место при быстром
охлаждении концентрированных амилозных крахмальных клейстеров.
Сила геля зависит от силы зон связывания, которые держат всю структуру
вместе. Если протяженность зон связывания небольшая, силы, удерживающие цепи
соседних молекул, невелики, и молекулы могут разделиться под внешним давлением
или при небольшом увеличении температуры, которая способствует увеличению
движения полимерных цепей. Такие гели называют слабыми, они термически
нестабильны. Если протяженность зон связывания велика, то силы, удерживающие
цепи соседних молекул достаточны, чтобы противостоять воздействию температуры и
внешнего давления. Такие гели называют твердыми, они термостабильны. Силой
гелей можно управлять контролируя зоны связывания, что очень важно для
технологии многих пищевых продуктов.
Разветвленные полисахариды (например, амилопектин) или гетерополигликаны
не могут тесно располагаться друг к другу, поэтому и не могут формировать зоны
связывания существенных размеров и силы, чтобы образовать гель. Такие молекулы
просто образуют вязкие стабильные растворы. Это же относится к заряженным
полисахаридам, содержащим -СООН группы. Наличие отрицательного заряда приводит
к отталкиванию приближающихся сегментов цепей и таким образом предотвращает
образование зон связывания.
Все растворимые полисахариды дают вязкие растворы из-за большого размера
их молекул. Среди натуральных пищевых полисахаридов наименее вязкими являются
растворы гуммиарабика. Вязкость зависит от размера молекулы, формы и заряда.
Если молекула имеет заряд за счет ионизации присутствующих в ней карбоксильных
групп, то эффект влияния заряда может быть очень большим во всех случаях, кроме
очень кислых растворов. Для карбоксилсодержащих полисахаридов этот эффект
минимален при рН 2,8, когда ионизация -СООН групп подавлена и полисахарид ведет
себя как незаряженная молекула. Вязкость зависит от присутствия полиэлектролитов,
поскольку они влияют на конфигурацию и размер молекулы, и природы посторонних
присутствующих веществ, так как их наличие может оказывать тормозящее действие
на истечение полимера.
С точки зрения стерических причин, все линейные молекулы, несут они заряд
или нет, требуют для вращения больше пространства, чем высокоразветвленные той
же молекулярной массы. Таким образом, как правило, растворы линейных
полисахаридов имеют большую вязкость, чем разветвленных. Отсюда, с точки зрения
обеспечения вязкости, структуры или гелеобразования в пищевых продуктах, более
полезны линейные полисахариды.
Все, что заставляет нерастворимые линейные молекулы становиться более
вытянутыми, вызывает увеличение вязкости, и, соответственно, если в результате
какого-либо воздействия молекулы становятся менее линейными, то есть более
компактными или свернутыми, вязкость раствора уменьшается. В пищевых продуктах
негелеобразующие компоненты могут изменять вязкость путем их влияния на
полисахариды. Так, сахара, связывая доступные молекулы воды, уменьшают их
количество для взаимодействия с полисахаридами. Это приводит к тому, что
полисахаридные молекулы сворачиваются за счет образования между ними водородных
связей. В результате может образоваться гель или происходит усиление геля, как
например, в геле пектина. Соли могут снижать отталкивающий эффект, приводя к
скручиванию полисахаридных молекул, укрупнению и даже осаждению их.
Крахмал
Крахмал - растительный полисахарид со сложным строением. Он состоит из
амилозы и амилопектина; их соотношение различно в различных крахмалах (амилозы
13-30%; амилопектина 70-85%).
Амилоза и амилопектин (их свойства приведены в табл. 3.13) в растениях
формируются в виде крахмальных зерен, структура которых до конца
Таблица 3.13. Свойства амилозы и амилопектина
|
Свойства
|
Амилоза
|
Амилопектин
|
|
Молекулярная масса
|
50 тыс- 2 млн
|
От 1 до нескольких млн
|
|
Способность к ретроградации
|
Высокая
|
Низкая
|
|
Продукты действия β-амилазы
|
Мальтоза
|
Мальтоза; β-предельный декстрин
|
|
Продукты действия
глюкоамилазы
|
D-глюкоза
|
D-глюкоза
|
|
Форма молекулы
|
Линейная
|
Разветвленная
|
не выяснена. Крахмал является важным компонентом пищевых продуктов,
исполняя роль загустителя и связывающего агента. В одних случаях он
присутствует в сырье, которое перерабатывается в пищевые продукты (например,
хлебобулочные изделия). В других его добавляют для придания продукту тех или
иных свойств - он используется широко при производстве пудингов, концентратов
супов, киселей, соусов, салатных приправ, начинок, майонеза; один из
компонентов крахмала - амилоза - используется для пищевых оболочек и покрытий.
Клейстеризация и другие свойства крахмала, имеющие важное значение для
пищевых продуктов. Неповрежденные крахмальные зерна нерастворимы в холодной
воде, но могут обратимо впитывать влагу и легко набухают. Увеличение диаметра
зерен при набухании зависит от вида крахмала. Например, для обычного
кукурузного крахмала - 9,1%, для восковидного - 22,7%.
По мере повышения температуры увеличивается колебание крахмальных
молекул, разрушаются межмолекулярные связи, что приводит к освобождению мест
связывания для взаимодействия с молекулами воды через водородные связи. Это
проникновение воды и увеличивающееся разделение больших и длинных сегментов
крахмальных цепей увеличивает неупорядоченность в общей структуре и уменьшает
число и размер кристаллических областей. При дальнейшем нагреве в присутствии
большого количества воды происходит полная потеря кристалличности,
сопровождающаяся потерей очертания крахмальных зерен. Как правило, большие
крахмальные зерна клейстеризуются при более низкой температуре, чем мелкие.
Температуру, соответствующую разрушению внутренней структуры крахмальных зерен,
называют температурой клейстеризации. Она зависит от источника получения
крахмала (см. табл. 3.14).
Во время клейстеризации зерна крахмала набухают очень сильно. Кривые
вязкости, полученные на ротационном вискозиметре, показывают, что сначала
увеличение температуры ведет к крутому подъему вязкости, что связано с
набуханием крахмальных зерен. Затем набухшие крахмальные зерна разрываются и
дезинтегрируют, вызывая падение вязкости (см. рис. 3.31). Наклон кривых сильно
различается для различных крахмалов.
Способность крахмала образовывать клейстеры делает его ценным компонентом
пищевых продуктов.
Клейстеризация крахмала, вязкость крахмальных растворов, характеристика
крахмальных гелей зависят не только от температуры, но и от вида и количества
других присутствующих компонентов. С этим необходимо считаться, поскольку в
процессе производства пищевых продуктов крахмал находится в присутствии таких
веществ, как сахар, белки, жиры, пищевые кислоты и вода.
Таблица 3.14. Зависимость температуры клейстеризации крахмала от
источника получения
|
Источник
|
Содержание амилозы, %
|
Температуры клейстеризации,
°С
|
|
Кукуруза
|
28
|
62-70
|
|
Картофель
|
23
|
58-66
|
|
Тапиока
|
-
|
52-64
|
|
Пшеница
|
26
|
53-65
|
|
Рис
|
61-78
|
|
Рожь
|
-
|
57-70
|
|
Ячмень
|
22
|
56-62
|
|
Овес
|
27
|
56-62
|
|
Сорго
|
25
|
69-75
|
|
Горох
|
35
|
57-70
|
|
Фасоль
|
24
|
64-67
|
|
Восковидная кукуруза
|
1
|
63-72
|
В пищевых продуктах вода не просто среда для реакции, а активный
ингредиент в происходящих процессах. Важно не общее количество воды, а ее
доступность для участия в превращениях, или активность воды (aw). На активность
воды оказывают влияние соли, сахара и другие связывающие воду компоненты. Если
эти вещества присутствуют в больших количествах, aw будет ниже и клейстеризация
крахмала может не происходить или будет идти ограниченно. В сущности,
связывающие воду агенты тормозят клейстеризацию крахмала, поскольку они
связывают воду и уменьшают таким образом количество воды, доступное для участия
в клейстеризации.
Высокие содержания сахара уменьшают скорость клейстеризации крахмала,
снижают пик вязкости. Дисахариды являются более эффективными с точки зрения
замедления клейстеризации и снижения пика вязкости, чем моносахариды (рис.
3.32). Кроме того, сахара уменьшают силу крахмальных гелей, играя роль
пластификатора и вмешиваясь в образование зон связывания.
На клейстеризацию крахмала при производстве пищевых продуктов оказывают
влияние и липиды - триглицериды (жиры, масла), моно- и диацилглицериды. Жиры,
которые могут давать комплексы с амилозой, тормозят набухание крахмальных
зерен. Вследствие этого в белом хлебе, в котором мало жира, 96% крахмала обычно
полностью клейстеризовано. При производстве пекарских изделий эти два фактора
(большие концентрации жира и низкая aw) вносят большой вклад в неклейстеризацию
крахмала.
Моноацилглицериды жирных кислот (С16-С18) приводят к увеличению
температуры клейстеризации, увеличению температуры, соответствующей пику
вязкости, уменьшению силы геля. Это связано с тем, что компоненты жирных кислот
в моноацилглицеридах могут образовывать соединения включения с амилозой, а,
возможно, и с длинными внешними цепями амилопектина (рис. 3.33).
Образование этих комплексов препятствует доступу воды в гранулу. Кроме
того, липид-амилозные комплексы вмешиваются также и в образование зон
связывания.
Благодаря нейтральному характеру крахмала низкие концентрации солей, как
правило, не оказывают влияния на клейстеризацию или образование геля.
Исключение составляет картофельный амилопектин, который содержит фосфатные
группы. В этом случае соли могут, в зависимости от условий, либо увеличивать,
либо уменьшать набухание. Это необходимо учитывать при выборе длительности и
температурного режима процессов приготовления соответствующих пищевых продуктов
с использованием крахмала в качестве загустителя.
Кислоты присутствуют во многих продуктах, где используется крахмал в
качестве загустителя. Однако большинство пищевых продуктов имеет рН в области
4-7, и эти концентрации ионов Н+ не оказывают большого влияния на набухание
крахмала или его клейстеризацию. Скорость набухания сильно увеличивается при рН
10, но это значение находится за зоной рН пищевых продуктов. При низких рН
(салатные приправы, фруктовые начинки) имеет место заметное снижение пика
вязкости крахмальных клейстеров и быстрое снижение вязкости при нагревании.
Поскольку при низких рН имеет место интенсивный гидролиз с образованием
незагустевающих декстринов, необходимо, чтобы избежать кислотного разжижения,
использовать в качестве загустителя в кислых продуктах модифицированные
поперечно-сшитые крахмалы. Вследствие большого размера их молекул снижение
вязкости в результате гидролиза становится мало ощутимым.
Для многих пищевых продуктов, особенно для пшеничного теста, очень
большое значение имеет взаимодействие белок-крахмал. Это в первую очередь важно
с точки зрения формирования структуры хлеба, которая связана с образованием
клейковины (при перемешивании в процессе тестоприготовления), клейстеризацией
крахмала и денатурацией белка, благодаря нагреванию в присутствии воды. Однако
точная природа взаимодействия между крахмалом и белком в пищевых системах
остается неясной. Это связано с трудностями в изучении взаимодействия двух
неподобных макромолекул.
При производстве замороженных пищевых продуктов, в которых крахмал
выполняет роль загустителя, необходимо считаться с возможностью ретроградации
амилозы в процессе оттаивания. Если в этом случае используется обычный крахмал,
то при оттаивании изделия приобретают волокнистую или зерноподобную структуру.
Предпочтительнее для таких изделий использовать восковидный кукурузный крахмал,
который практически не содержит амилозы, или фосфатные поперечно-сшитые
крахмалы (см. табл. 3.15).
У многих крахмалсодержащих пищевых продуктов (в первую очередь,
хлебобулочных) при хранении наблюдается черствение, которое тоже связано,
особенно на начальной стадии, с ассоциацией амилозных молекул. При длительном
хранении может иметь место и ассоциация длинных ветвистых молекул амилопектина.
Для предотвращения черствения в таких изделиях целесообразно использовать в
качестве добавок жиры, которые образуют комплексы с амилозой. Эффект черствения
может быть частично реверсирован в хлебе прогревом и смачиванием водой. При
этом в результате термического движения крахмальных молекул имеет место
частичный возврат к более аморфной структуре, которая менее плотно упакована, и
поэтому текстура изделия становится мягче.
Модифицированные крахмалы. Учитывая влияние, которое имеют те или иные
свойства крахмала на качество пищевых продуктов, целесообразно применение в
целом ряде производств различных модифицированных крахмалов.
Предварительно клейстеризованный крахмал. Его получают путем
клейстеризации крахмальной суспензии, помещаемой между двумя
обратновращающимися горизонтальными цилиндрами, которые нагреваются паром,
последующего высушивания в виде тонкой пленки и измельчения в порошок. Этот
крахмал может быть получен также распылительной сушкой крахмального клейстера.
Отличительной особенностью этого крахмала является способность к быстрой
регидратации в воде, что дает возможность использовать его в качестве
Таблица 3.15. Свойства различных кукурузных крахмалов
|
Тип
|
Соотношение амилоза :
амилопектин
|
Температура клейстеризации,
"С
|
Отличительные свойства
|
|
Нормальный
|
1:3
|
62-72
|
Невысокая стабильность при
замораживании- оттаивании
|
|
Восковидный
|
0:1
|
63-72
|
Минимальная ретроградация
|
|
Кислотно-модифицированный
|
Различное
|
69-79
|
Растворим в кипящей воде;
пониженная вязкость горячих клейстеров по сравнению с нормальным крахмалом
|
|
Гидроксиэтилинированный
|
"
|
58-68
|
Увеличенная прозрачность
клейстеров; уменьшенная способность к ретроградации
|
|
Монофосфатный
|
"
|
56-66
|
Набухает в холодной воде,
пониженная способность к ретроградации
|
|
Ацетилированный
|
"
|
55-65
|
Хорошая прозрачность
клейстеров и стабильность
|
|
Поперечно-сшитый
|
"
|
Выше, чем у
немодифицированных, зависит от степени сшитости
|
Высокая стабильность
клейстеров, пониженная способность к ретроградации, стабильность при
замораживании и оттаивании
|
загустителя в пищевых продуктах без нагревания (например, в пудингах,
начинках и т. п.).
Крахмал, модифицированный кислотой. Кислотный гидролиз при температуре
ниже температуры клеистеризации имеет место в аморфных зонах крахмального
зерна, оставляя кристаллические зоны относительно нетронутыми, причем в большей
степени идет гидролиз аминопектина, а не амилозы. Обычно его получают путем
обработки крахмальной суспензии соляной или серной кислотой при температуре
25-55°С, причем время обработки зависит от показателя вязкости, которую хотят
получить, и может составлять 6-24 часа. Этот крахмал практически нерастворим в
холодной воде, но хорошо растворим в кипящей воде. Для этого крахмала, по
сравнению с исходным, характерна более низкая вязкость горячих клейстеров,
уменьшение силы геля, увеличение температуры клеистеризации. Благодаря
способности этого крахмала образовывать горячие концентрированные клейстеры,
которые при остывании на холоде дают гель, его можно с успехом применять в
качестве умягчителя при производстве желированных конфет, а также для получения
защитных пленок.
Этерифицированные крахмалы. Известно, что крахмал может быть подвергнут
этерификации. Поскольку D-гликопиранозилмономер содержит три свободных
гидроксила, степень замещения (СЗ) может быть от 0 до 3. Считается, что
коммерчески более целесообразны производные, имеющие СЗ меньше чем 0,1. Такая
модификация приводит к определенным изменениям коллоидных и других свойств,
которые существенны для пищевых продуктов. Введение гидроксиэтилгрупп при
низкой СЗ приводит к снижению температуры клейстеризации, увеличению скорости
набухания зерен, уменьшает тенденцию к гелеобразованию и ретроградации. Они
находят применение как пищевая добавка-загуститель в салатных приправах,
начинках и других подобных продуктах.
Ацетаты крахмала низкой степени замещения получают путем обработки зерен
крахмала уксусной кислотой или, предпочтительнее, ацетан-гидридом в присутствии
катализатора (как правило при рН 7- 11; t = 25°С; СЗ = 0,5). Растворы ацетатов
крахмала очень стабильны, поскольку наличие ацетил-групп препятствует ассоциации
двух амилозных молекул и длинных боковых цепей амилопектина. Ацетаты крахмала
по сравнению с обычным кукурузным крахмалом имеют пониженную температуру
клейстеризации, пониженную способность к ретроградации, образуют прозрачные и
стабильные клейстеры. Благодаря этим качествам ацетаты крахмала применяют в
замороженных продуктах, пекарских изделиях, инстант-порошках и т.д.
Монофосфатные эфиры зернового крахмала получают реакцией сухой смеси
крахмала и кислых солей орто-, пиро- или триполифосфата при повышенной
температуре (обычно 50-60°С, 1 час). СЗ обычно меньше чем 0,25, но можно
получать продукты и с более высокой степенью замещения путем повышения
температуры, концентрации фосфата и длительности реакции. По сравнению с
обычным крахмалом этот крахмал имеет более низкую температуру клейстеризации,
набухает в холодной воде (СЗ = 0,07 и выше), имеет пониженную способность к
ретро-градации. Характеристика фосфатных зерновых крахмалов в принципе подобна
картофельному крахмалу, который тоже содержит фосфатные группы. Монофосфатный
крахмал применяют в замороженных продуктах в качестве загустителя, благодаря
его исключительной стабильности при замораживании-оттаивании. Предварительно
клейстеризованный фосфатный крахмал диспергируется в холодной воде, благодаря
чему может успешно использоваться в инстант-десертных порошкообразных продуктах
и в мороженом.
В отличие от монофосфатного крахмала, в дифосфатном крахмале фосфат
этерифицируется с двумя гидроксильными группами, часто из двух соседних
крахмальных цепей. Таким образом, образуется химический мост между близлежащими
цепями, и эти крахмалы относят к поперечно-сшитым крахмалам. Наличие
ковалентной связи между двумя крахмальными цепями предохраняет крахмальные
зерна от набухания, дает большую стабильность при нагревании и возможном
гидролизе.
Поперечно-сшитые крахмалы могут быть получены реакцией крахмала (R-ОН) с
би- и полифункциональными агентами, такими как триметафосфат натрия, оксихлорид
фосфора, смешанные ангидриды уксусной и дикарбоновой (например, адипиновой)
кислот.
Наиболее значительное изменение в свойствах поперечно-сшитого крахмала -
высокая стабильность при повышенных температурах, низких значениях рН,
механических воздействиях, снижение способности к ретроградации, стабильность
при замораживании-оттаивании; при хранении клейстеров поперечно-сшитых
крахмалов не наблюдается синерезис. Благодаря этим свойствам поперечно-сшитые
крахмалы применяют в детском питании, салатных приправах, фруктовых начинках, в
кремах.
Окисленные крахмалы. Они могут быть получены при действии окислителей
(например NaCIO, KMnO4, КВгО3) на водную суспензию крахмала при температуре
более низкой, чем температура клейстеризации. При действии окислителей идет
гидролитическое расщепление гликозидных связей с образованием карбонильных
групп, окисление спиртовых групп в карбонильные, а затем и в карбоксильные.
Обычно окисленный крахмал содержит одну -СООН группу на 25-30 гликозидных
единиц.
Они используются как низковязкостные наполнители (в частности, например,
в салатных приправах, соусах типа "майонез"). Эти крахмалы не
проявляют склонности к ретроградации, не образуют непрозрачных гелей.
Применение таких крахмалов при производстве хлеба способствует улучшению
физических свойств теста, улучшению пористости готовых изделий и замедлению их
черствения. Крахмал, модифицированный перманганатом калия, находит применение в
производстве желейных конфет - вместо агара и пектина.
Гликоген
Гликоген находится в пищевых продуктах в очень небольших количествах,
благодаря малому содержанию в мясной ткани и печени. Это гомоглюкан, подобный
по структуре крахмальному амилопектину; он содержит α-D-(l,4) и α-D-(1,6) глюкозидные связи, однако, в отличие
от крахмального амилопектина, он имеет большую молекулярную массу.
Гликоген - резервный углевод в мясной и печеночной ткани, но после убоя
животных он быстро расщепляется с образованием D-глюкозы и затем преобразуется
в лактат.
Целлюлоза
Целлюлоза - компонент клеточных стенок. Она обычно ассоциируется с
различными гемицеллюлозами и лигнином; и тип и размер этих ассоциаций образует
характерную текстуру пищевых растений. Однако большинство из текстуральных
изменений во время созревания и уборки растений имеет место благодаря
изменениям пектина.
Целлюлоза - моноглюкан, состоящий из линейных цепей β-D-(l,4)-глюкопиранозных единиц.
Исключительная линейность целлюлозы дает возможность молекулам ассоциировать,
что имеет место в деревьях и других растениях. Целлюлоза имеет аморфные и
кристаллические области, и именно аморфные зоны подвергаются воздействию
растворителей и химических реагентов.
При производстве пищевых продуктов находит применение
микрокристаллическая целлюлоза, для получения которой используют кислотный
гидролиз целлюлозы. В этом случае аморфные области гидролизованы кислотой,
остаются только небольшие кислотоустойчивые области. Этот продукт используется
как наполнитель и реологический компонент в низкокалорийных пищевых продуктах.
Более жесткая химическая модификация целлюлозы используется для
приготовления пищевых загустителей на целлюлозной основе.
Наиболее широко используется натриевая соль карбоксиметилцеллюлозы
(Na-КМЦ). Ее получают обработкой целлюлозы щелочью и хлор-уксусной кислотой:
Благодаря реологическим свойствам и отсутствию токсичности и
усваиваемости Na-КМЦ находит широкое применение (особенно за рубежом) в пищевых
продуктах. Она выполняет роль загустителя в начинках, пудингах, мягких сырах,
фруктовых желе. Ее способность удерживать влагу делает ее полезной в пекарских
изделиях, мороженом и различных замороженных десертах, где она ингибирует рост
кристаллов. Она замедляет рост кристаллов сахара в кондитерских изделиях,
глазури и сиропах, что имеет важное значение при длительном хранении изделий.
Она способствует стабилизации эмульсий в соусах и салатных приправах,
используется при производстве низкокалорийных продуктов. В низкокалорийных
напитках, насыщенных СО2, она способствует сохранению диоксида углерода.
Путем алкилирования могут быть получены другие производные целлюлозы с
хорошими набухающими свойствами и повышенной растворимостью. Благодаря этому
они также перспективны для применения в пищевых продуктах и широко применяются
за рубежом. Наибольший интерес из этих продуктов представляет метилцеллюлоза.
Метилцеллюлозу получают действием метилхлорида на целлюлозу в щелочной среде.
СЗ зависит от условий проведения реакции. Регулируя условия проведения реакции
можно получать продукты с разной набухающей способностью и растворимостью в
воде. Наибольшая растворимость характерна для продуктов с СЗ = 1,64 - 1,92. Для
метилцеллюлозы характерным свойством является снижение вязкости с ростом
температуры и гелеобразование при определенной температуре. Этот продукт
является неусваиваемым, и, таким образом, его применение в пищевых продуктах не
увеличивает их калорийность.
В пищевых продуктах метилцеллюлоза может выполнять функции
водоудерживающего агента (например, в пекарских изделиях), ингибитора
синерезиса (замороженные продукты), умягчителя и стабилизатора эмульсий (соусы,
салатные приправы). Она может служить наполнителем для низкобелковых пищевых
продуктов, оказывает благоприятное действие на текстуру и структуру изделий.
Кроме того, она может быть очень полезна при производстве продуктов в съедобных
оболочках.
Гемицеллюлозы
Известно, что клеточные стенки растений представляют собой комплексную
матрицу, состоящую из целлюлозы, лигнина и гемицеллюлоз. Гемицеллюлозы - класс
полисахаридов, неусваиваемых человеческим организмом.
Основная гемицеллюлоза в пищевых продуктах - ксилан. Этот полимер состоит
в основном из β-D-(1,4)-ксилопиранозильных единиц, часто содержит
p-L-арабинофуранозильные боковые цепи от третьей позиции нескольких D-ксилозных
колец. Другие типичные составляющие - метиловые эфиры D-глюкуроновой кислоты,
D- и L-галактоза, ацетильные эфирные группы.
Присутствие гемицеллюлоз в пекарских изделиях имеет важное значение
благодаря способности связывать воду. При приготовлении пшеничного теста они
улучшают качество замеса, уменьшают энергию перемешивания, участвуют в
формировании структуры теста, в частности в формировании клейковины, что в итоге
оказывает благоприятное действие для получения хорошего объема хлеба.
Безусловный интерес при производстве хлебобулочных изделий представляет то, что
гемицеллюлозы тормозят черствение хлеба.
Вторая важная функция гемицеллюлоз в пищевых продуктах заключается в том,
что они, как пищевые волокна, образуют часть неперевариваемого комплекса, что
чрезвычайно важно для перистальтики кишечника. Хотя эффект этих полисахаридов в
отношении желчных кислот и метаболизма стероидов недостаточно изучен, известно,
однако, что они важны для удаления желчных кислот и снижения уровня холестерина
в крови. Установлено, что пищевые волокна, в том числе гемицеллюлозы, снижают
риск кардиологических заболеваний и злокачественных новообразований прямой
кишки, а для больных диабетом - потребность в инсулине.
Пектиновые вещества
Пектин содержится в растительных пищевых продуктах, например, в фруктах и
овощах. В растительной клетке пектин выполняет функцию структурирующего агента
в центральном слое клеточной стенки. Кроме того, благодаря своей сильной
способности к набуханию и своему коллоидному характеру пектин регулирует водный
обмен растений. Название "пектин" происходит от греческого слова
"пектос", что означает "желированный", "застывший".
Благодаря прекрасным желирующим свойствам пектин широко применяется при
производстве пищевых продуктов - кондитерских изделий, фруктовых желе, джемов.
Пектин вместе с другими некрахмалистыми полисахаридами образует группу пищевых
волокон, значение которых уже обсуждалось. Кроме того, пектин обладает
детоксицирующими свойствами, т. к. способен связывать токсичные элементы и
радионуклиды и выводить их из человеческого организма (см. табл. 3.16 и 3.17).
Это делает пектин и пектинсодержащие продукты ценной добавкой при производстве
пищевых продуктов лечебно-профилактического назначения.
Таблица 3.16. Связывание свинца пектином
|
Пектин
|
Степень этерификации %
|
Комплексообразующая
способность, мг пектина/мг Pb
|
|
Яблочный
|
70
|
61
|
|
Яблочный
низкометоксилированный
|
46
|
42
|
|
Свекловичный
|
43
|
37
|
Таблица 3.17. Связывание различных элементов (в % от добавленного
компонента)
|
Элемент
|
Пектин яблочного порошка
|
Низкометоксилированный
яблочный пектин
|
|
Свинец
|
50
|
80
|
|
Медь
|
15
|
45
|
|
Цезий
|
45
|
75
|
|
Лантан
|
45
|
75
|
|
Цирконий
|
30
|
60
|
|
Никель
|
50
|
80
|
Важным свойством пектина, обусловливающим его применение в пищевых
продуктах, является гелеобразование. Образование гелей обусловлено ассоциацией
пектиновых цепей с образованием трехмерной пространственной структуры, где два
или более участка цепи сближаются друг с другом с регулярной частотой. Имеются
различные виды ассоциаций, которые определяются степенью этерификации.
Нормальные пектины (степень этерификации 50%), как правило, лучше всего
образуют гели при концентрации 1%, хотя концентрация может варьировать в
зависимости от вида пектина.
Желирование высокоэтерифицированных пектинов вызывается двумя факторами:
а) добавлением сахара, который вызывает дегидратацию пектиновых молекул,
способствуя тем самым их сближению; б) снижением рН среды, которое подавляет
диссоциацию свободных карбоксильных групп, снижая тем самым электростатическое
отталкивание цепей.
Данный механизм описан в литературе, как "сахарно-кислотное"
желирование. Он протекает при содержании сухих веществ в среде не менее 55% и
рН 3,0. Результаты последних исследований показывают, что гели из
высокоэтерифицированных пектинов могут стабилизироваться в результате
возникновения водородных связей и гидрофобных взаимодействий.
Низкоэтерифицированные пектины могут образовывать гели в отсутствие
сахаров, но требуют присутствия бивалентных катионов (например, Са2+). Добавка
ионов кальция вызывает образование кальциевых мостиков, соединяющих молекулы
пектина. Однако при передозировке кальция может происходить тесное сближение
пектиновых цепочек, в результате чего пространственная структура не образуется.
Кроме того, может иметь место выпадение в осадок пектината кальция.
Низкоэтерифицированный пектин менее чувствителен к рН, чем стандартные
пектиновые гели - для нормальных пектинов область рН 2,7-3,5, оптимум - 3,2
(см. табл. 3.18). Гели этого типа используют в бессахарных или низкосахарных
диетических джемах и желе. Хотя гелеобразование низкоэтерифицированного пектина
и не требует сахара, добавление 10-20% сахарозы дает возможность улучшить
текстуру геля, так как без сахара (или других пластификаторов) эти гели имеют
тенденцию быть хрупкими и менее эластичными, чем из обычного пектина.
Таблица 3.18. Влияние степени этерификации пектина на образование геля
|
Степень этерификации
|
Условия образования геля
|
|
рН
|
Сахар, %
|
Двухвалентный ион
|
|
>70
|
2,8-3,4
|
65
|
Нет
|
|
50-70
|
2,8-3,4
|
65
|
Нет
|
|
<50
|
2,5-6,5
|
0
|
Да
|
Кроме отмеченных выше факторов на желирующие свойства пектина влияют
также:
а) молекулярная масса - с ее увеличением возрастает сила геля;
б) распределение рамнозы - наличие в цепи пектиновой молекулы рамнозы
вызывает зигзагообразные изгибы, что влияет на ассоциацию пектиновых молекул и,
следовательно, на образование гелей;
в) ацетильные группы - в высокоэтерифицированных пектинах ацетильные
группы стерически препятствуют образованию пектиновых ассоциаций, а в
низкоэтерифицированных - взаимодействию между ионами кальция и свободными
карбоксильными группами.
.6 МЕТОДЫ
ОПРЕДЕЛЕНИЯ УГЛЕВОДОВ В ПИЩЕВЫХ ПРОДУКТАХ
Моно- и олигосахариды. Для определения этих углеводов используют их
восстанавливающую способность. Сначала их извлекают из пищевых продуктов 80%-м
этиловым спиртом. Спиртовые экстракты упаривают под вакуумом, разбавляют
горячей водой и фильтруют. При анализе продуктов, относительно богатых белками
и фенольными соединениями, фильтрат дополнительно обрабатывают нейтральным
раствором ацетата свинца, избыток которого удаляют сульфатом, фосфатом или
оксалатом натрия. Осадок отфильтровывают, а в фильтрате определяют
восстанавливающие (редуцирующие) сахара с использованием гексацианоферрата
(III) калия, фелинговой жидкости или иодометрически. Для определения сахарозы
(вместе с редуцирующими сахарами) ее необходимо предварительно гидролизовать.
Качественный и количественный анализ отдельных сахаров проводят методами
газо-жидкостной, ионообменной или жидкостной хроматографией высокого
разрешения. Количественные определения сахаров проводят также методом
ионометрии с использованием ферментных электродов, обладающих исключительно
высокой селективностью к определенным сахарам.
Усваиваемые полисахариды. Определение крахмала основано, как правило, на
определении полученной при гидролизе глюкозы химическими методами или на
способности полученных растворов вращать плоскость поляризации. Для определения
крахмала необходимо предварительно освободиться от моно- и олигосахаридов
экстракцией 80%-м этанолом. Затем проводят извлечение крахмала из продукта
каким-либо способом (например, растворением сначала в холодной, потом в горячей
воде) и освобождаются от белков путем обработки раствора фосфорно-вольфрамовой
кислотой, ацетатом цинка, гексацианоферратом (III) калия или другими белковыми
осадителями. Определение крахмала проводят, как правило, путем определения
глюкозы после ферментативного или кислотного гидролиза. Для расчета используют
соответствующие коэффициенты. Можно применять метод поляриметрии.
Для определения декстринов их извлекают теплой (40°С) водой и осаждают
96%-м этанолом, проводят гидролиз и определяют глюкозу. Для расчета используют
соответствующие коэффициенты. Можно использовать метод спектрофотометрии, измеряя
интенсивность окраски иод-крахмального комплекса.
Неусваиваемые углеводы. Общее содержание пищевых волокон (лигнин +
неусваиваемые углеводы) обычно определяют гравиметрическим методом. Анализ
заключается в использовании фракционирования - сначала растворяют крахмал и
белки при помощи ферментов, имитирующих расщепление их в желудочно-кишечном
тракте человека (α-амилаза, пепсин, панкреатин), растворимые пищевые
волокна осаждают спиртом, фильтруют, осадок взвешивают.
Пектин. Определение основано на извлечении пектина (растворимого пектина
и протопектина) из пищевого продукта, осаждении и взвешивании. Для извлечения
растворимого пектина применяют экстракцию холодной водой с последующим
кипячением. Для извлечения протопектина применяют кипячение с соляной кислотой
после извлечения растворимого пектина. Для продуктов, богатых крахмалом,
применяют специальные приемы его отделения. Для осаждения пектина проводят
реакцию с хлоридом кальция. Помимо взвешивания можно определять в осадке
содержание кальция комплексонометрически с трилоном Б и по этим данным
рассчитывать содержание пектина.
Гемицеллюлозы. Они гидролизуются труднее, чем пектин, их определяют после
удаления пектинов. Определение гемицеллюлоз основано на определении
восстанавливающих сахаров, полученных при кислотном или щелочном гидролизе. Для
расчета используются соответствующие коэффициенты.
Клетчатка. Метод определения клетчатки основан на проведении гидролиза
легкорастворимых углеводов при соответствующих условиях и получении
негидролизуемого остатка, который взвешивают.
Завершая рассмотрение углеводов с точки зрения пищевой химии, следует
сказать, что все углеводы, независимо от того простые они или сложные, имеют
большое значение не только как усваиваемые или неусваиваемые человеком
вещества, но и в отношении их важной роли в пищевых продуктах и в пищевых
технологиях. Углеводы, особенно крахмал и сахароза, обеспечивают основную часть
калорийности рациона и вносят значительный вклад в сенсорную оценку пищевых
продуктов. Углеводы также вносят большой вклад в текстуру продуктов, поскольку
они способны влиять на вязкость, кристаллизацию, гелеобразование, стабильность.
Они влияют на приятные ощущения во рту благодаря сладости, на цвет и аромат
пищевых продуктов благодаря их способности претерпевать химические превращения
с образованием окрашенных и ароматических веществ. При производстве многих
пищевых продуктов углеводы составляют один из главных сырьевых ресурсов для
физических, химических, биохимических и микробиологических процессов,
управление которыми позволяет получать широкую гамму продуктов питания разного
назначения с различными свойствами.
Контрольные вопросы
1. Что такое усваиваемые и неусваиваемые углеводы?
2. Какие функции в организме человека выполняют усваиваемые и
неусваиваемые углеводы?
. Какие превращения претерпевают углеводы при производстве пищевых
продуктов и в каких реакциях они участвуют?
. В каких пищевых технологиях используется процесс брожения?
. Что такое процесс карамелизации?
. Что представляет собой процесс меланоидинообразования?
. Какие факторы влияют на образование меланоидиновых продуктов?
. Каково функциональное значение моно- и олигосахаров в пищевых
продуктах?
. В каких пищевых технологиях используют гидролиз полисахаридов?
. Какие функции в пищевых продуктах выполняют полисахариды?
. Какие методы определения углеводов вы знаете?
ГЛАВА 4.
ЛИПИДЫ (ЖИРЫ И МАСЛА)
.1 СТРОЕНИЕ И
СОСТАВ ЛИПИДОВ. ЖИРНОКИСЛОТНЫЙ СОСТАВ МАСЕЛ И ЖИРОВ
Липидами (от греч. lipos - жир) называют сложную смесь органических
соединений с близкими физико-химическими свойствами, которая содержится в
растениях, животных и микроорганизмах. Липиды широко распространены в природе и
вместе с белками и углеводами составляют основную массу органических веществ
всех живых организмов, являясь обязательным компонентом каждой клетки. Они
широко используются при получении многих продуктов питания, являются важными
компонентами пищевого сырья, полупродуктов и готовых пищевых продуктов, во
многом определяя их пищевую и биологическую полноценность и вкусовые качества.
Липиды
нерастворимы в воде
(гидрофобны<#"555891.files/image025.gif">
где R, R' - углеводородные радикалы.
Воски широко распространены в природе. В растениях они покрывают тонким
слоем листья, стебли, плоды, предохраняя их от смачивания водой, высыхания,
действия микроорганизмов. Содержание восков в зерне и плодах невелико. В
оболочках семян подсолнечника содержится до 0,2% восков от массы оболочки, в
семенах сои - 0,01%, риса - 0,05%. Воски - важный компонент воскового налета
виноградной ягоды - прюина.
В состав простых липидов растительных масел и жиров входят гликолипиды.
Гликолипидами называется большая и разнообразная по строению группа нейтральных
липидов, в состав которых входят остатки моноз. Они широко (обычно в небольших
количествах) содержатся в растениях (липиды пшеницы, овса, кукурузы,
подсолнечника), животных и микроорганизмах. Гликолипиды выполняют структурные
функции, участвуют в построении мембран, им принадлежит важная роль в
формировании клейковинных белков пшеницы, определяющих хлебопекарное
достоинство муки. Чаще всего в построении молекул гликолипидов участвуют
D-галактоза, D-глюкоза, D-манноза.
Важнейшими представителями сложных липидов являются фосфолипиды. Молекулы
фосфолипидов построены из остатков спиртов (глицерина, сфингозина), жирных
кислот, фосфорной кислоты (H3PO4), а также содержат азотистые основания (чаще
всего холин [HO-CH2-CH2-(CH3)3N]+OH или этаноламин HO-CH2-CH2-NH2), остатки
аминокислот и некоторых других соединений. Общие формулы фосфолипидов
содержащих остатки глицерина и сфингозина имеет следующий вид:
где R, R' - углеводородные радикалы, X = -H, -CH2-CH2-N+(CH3J3, -
CH2-CH2-N+H3,-CH2-CHOH-CH2OH-CH2CH(NH2)COOH.
В молекуле фосфолипидов имеются заместители двух типов: гидрофильные и
гидрофобные. В качестве гидрофильных (полярных) группировок выступают остатки
фосфорной кислоты и азотистого основания ("голова"), а гидрофобных
(неполярных) - углеводородные радикалы ("хвосты"). Пространственная
структура фосфолипидов представлена на рис. 4.2.
Фосфолипиды (фосфатиды) - обязательные компоненты растений. Ниже
приведено содержание фосфолипидов в различных культурах (в %):
|
Соя
|
1,8
|
|
Хлопчатник
|
1,7
|
|
Подсолнечник
|
1,7
|
|
Клещевина
|
0,3
|
|
Лен
|
0,6
|
|
Пшеница
|
0,54
|
|
Рожь
|
0,6
|
|
Кукуруза
|
0,9
|
Состав жирных кислот фосфолипидов и ацилглицеринов, выделенных из одного
и того же сырья, неидентичен. Так, в высокоэруковых сортах рапсового масла
содержится около 60% эруковой кислоты, в фосфолипидах - 11-12%. Подавляющее
большинство фосфолипидов имеет в своем составе остатки одной насыщенной (обычно
в положении 1) и одной ненасыщенной (в положении 2) кислоты.
Несмотря на рассмотренное выше структурное многообразие, молекулы
большинства фосфолипидов построены по общему принципу. В их состав входят, с
одной стороны, гидрофобные, отличающиеся низким сродством к воде, липофильные
углеводородные остатки, с другой - гидрофильные группы. Они получили название
"полярных головок".
Построенные таким образом амфифильные (обладающие двойным сродством)
молекулы липидов легко ориентируются. Гидрофобные хвосты (рис. 4.2) стараются
попасть в масляную фазу, гидрофильные группы создают границу раздела между
водой и гидрофобной фазой.
В маслах фосфолипиды в зависимости от концентрации могут присутствовать в
виде индивидуальных молекул, а также в виде групп ассоциированных молекул -
мицелл (рис. 4.3).При низкой концентрации получаются сферические мицеллы, в
которых полярные части молекул образуют внешний слой, а гидрофобные -
внутренний; при повышенной концентрации мицеллы группируются в длинные
цилиндры. При дальнейшем росте концентрации образуется сферический тип
жидкокристаллической структуры - ламеллярная (слоистая), состоящая из
бимолекулярных слоев липидов, разделенных слоями воды. Последующее объединение
мицелл приводит к выпадению их в виде осадка (фосфатидная эмульсия,
"ФУЗ").
Эта особенность фосфолипидов используется для их выделения. Особенности перехода
одной структуры в другую определяются не только концентрацией фосфолипидов, но
и их составом, температурой и т. д.
Фосфолипиды вместе с белками и углеводами участвуют в построении мембран
(перегородок) клеток и субклеточных структур (органелл), выполняя роль несущих
конструкций мембран, регулируют поступление в клетку и ее структуры
разнообразных соединений. Липиды по их функциям в организме часто делят на две
группы - запасные (резервные) и структурные (протоплазматические). Это деление
условное, но оно широко применяется. Отдельные авторы, подчеркивая защитные
функции липидов, выделяют некоторые из них в особую группу (например, воски).
Запасные липиды, в основном жиры (ацилглицерины), обладая высокой
калорийностью, являются энергетическим и строительным резервом организма,
который используется им при недостатке питания и заболеваниях. Высокая
калорийность жира позволяет организму в экстремальных ситуациях существовать за
счет его запасов ("жировых депо") в течение нескольких недель. До 90%
всех видов растений содержат запасные липиды, главным образом, в семенах.
Запасные липиды являются защитными веществами, помогающими растению переносить
неблагоприятное воздействие внешней среды, например, низкие температуры.
Запасные липиды животных и рыб, концентрируясь в подкожной жировой ткани,
защищают организм от травм. Воски, которые выполняют защитные функции, также
могут быть условно отнесены к защитным липидам. Запасные липиды у большинства
растений и животных являются основной по массе группой липидов (иногда до
95-96%) и относительно легко извлекаются из жиросодержащего материала
неполярными растворителями ("свободные липиды").
Структурные липиды (в первую очередь, фосфолипиды) образуют сложные
комплексы с белками (липопротеиды), углеводами, из которых построены мембраны
клеток и клеточных структур, и участвуют в разнообразных сложных процессах,
протекающих в клетках. По массе они составляют значительно меньшую группу
липидов (в масличных семенах 3-5%). Это трудноизвлекаемые "связанные"
и "прочносвязанные" липиды. Для их извлечения необходимо
предварительно разрушить их связь с белками, углеводами и другими компонентами
клетки. Связанные липиды выделяются гидрофильными полярными растворителями или
их смесями (хлороформ-метанол, хлороформ-этанол), которые разрушают некоторые
белково-липидные, гликолипидные соединения. Прочносвязанные липиды извлекаются
после обработки липидсодержащего материала спиртовым раствором щелочи при
кипячении для разрушения прочных комплексов липидов с нелипидными компонентами.
При этом может происходить гидролиз отдельных групп липидов и омыление жирных
кислот щелочью. При извлечении липидов из масличного сырья в масло переходит
большая группа сопутствующих жирам жирорастворимых веществ: пигменты,
жирорастворимые витамины, изопреноиды, в том числе стерины и некоторые другие
соединения. Они играют большую роль в пищевой технологии и влияют на пищевую и
физиологическую ценность полученных продуктов питания. Извлекаемая из семян
смесь, состоящая из разных групп липидов и растворенных в них сопутствующих
веществ, получила название сырого жира.
Среди жирорастворимых пигментов - веществ, определяющих окраску масел и
жиров, - наиболее распространены каротиноиды и хлорофиллы. В хлопковых семенах
содержится пигмент госсипол. Госсипол и продукты его превращения окрашивают
хлопковые масла в темно-желтый или коричневый цвет. Госсипол, содержащийся в
семенах, листьях, стеблях хлопчатника, - токсичное вещество. Его содержание в
ядре семян большинства промышленных сортов хлопчатника колеблется от 0,14 до
2,5%. По структуре госсипол представляет собой димер нафталина, содержащий
гидроксильные, альдегидные, метильные и изопропильные заместители:
При хранении и нагревании нерафинированных хлопковых масел госсипол
образует целый ряд соединений, обусловливающих их темную окраску.
Каротиноиды - это растительные красно-желтые пигменты, определяющие
окраску ряда жиров, а также овощей и фруктов, яичного желтка и многих других
продуктов. По своей химической природе это углеводороды C40H56 - каротины и их
кислородсодержащие производные. Среди них необходимо отметить β-каротин:
Помимо красящих свойств, отдельные каротиноиды обладают про-витаминными
свойствами, так как распадаясь в живом организме, они превращаются в витамин А.
Другой группой природных жирорастворимых пигментов, придающих зеленую окраску
маслам и жирам, а также многим овощам (лук, салат, укроп и т. д.), являются
хлорофиллы (подробно эти соединения рассмотрены в гл. 9). Состав и роль
жирорастворимых витаминов см. в гл. 6. Среди сопутствующих жирам неомыляемых
веществ важное место занимают циклические спирты и их эфиры - стеролы и
стерины.
Стерины - алициклические вещества, входящие в группу стероидов, обычно
они представляют собой кристаллические одноатомные спирты (стеролы) или их
эфиры (стериды). Различают зоостерины, выделяемые из животных объектов,
фитостерины (из растений), микостерины, выделяемые из грибов. Стерины имеют в
своей основе структуру пергидроциклопентанофенантрена.
В настоящем разделе мы остановимся только на некоторых представителях этой
группы.
В молекуле стеринов (см. формулу) в положении 3 находится гидроксильная
(ОН) группа и разветвленная углеродная цепь в положении 17. Нерастворимые в
воде, они хорошо растворимы в жирах.
Ниже приведено содержание стеринов (в % от массы масла) в различных
культурах.
|
Хлопчатник
|
1,60
|
|
Соя
|
0,35
|
|
Рапс
|
0,30
|
|
Лен
|
0,40
|
|
Арахис
|
0,25
|
Стерины и их производные, несмотря на их невысокое содержание, играют
исключительно важную роль в жизни всех живых организмов. В виде сложных
комплексов с белками они входят в состав протоплазмы и мембран, регулируют
обмен веществ в клетке.
Типичными представителями растительных стеролов, содержащихся в сыром
жире, являются брассикастерин, стигмастерин, кампестерин, β-ситостерин:
В сыром жире они обычно встречаются в виде эфиров пальмитиновой,
олеиновой, линолевой и линоленовой кислот.
Холестерин обнаружен в тканях всех животных и отсутствует, или
присутствует в незначительном количестве, в растениях.
Он является структурным компонентом клетки, участвует в обмене желчных
кислот, гормонов; 70-80% холестерина в организме человека синтезируется в
печени и других тканях. Содержание холестерина (в %) в масле и других продуктах
питания приведено ниже:
|
Масло сливочное
|
0,17-0,21
|
|
Яйца
|
0,57
|
|
Сыры
|
0,28-1,61
|
|
Мясо
|
0,06-0,10
|
В маслах и жирах, выделенных из различных объектов, содержатся насыщенные
и ненасыщенные углеводороды C10-C40 различного строения. Большая часть их -
изопреноиды (молекулы которых построены из различного числа остатков изопрена);
к ним относятся и приведенные выше каротиноиды, сквален (углеводород C30H50).
Иногда к ним относят и стерины.
Жиры нестойки при хранении. Они являются наиболее лабильными компонентами
пищевого сырья и готовых пищевых продуктов. Нестойкость жиров - следствие
особенностей их химического строения. Превращения ацилглицеринов можно
разделить на реакции, протекающие с участием сложноэфирных групп, и на реакции,
протекающие с участием углеводородных радикалов.
4.2 РЕАКЦИИ
АЦИЛГЛИЦЕРИНОВ С УЧАСТИЕМ
СЛОЖНОЭФИРНЫХ ГРУПП
Гидролиз триацилглицеринов
Под влиянием щелочей, кислот, фермента липазы триацилглицерины
гидролизуются с образованием ди-, затем моноацилглицеринов и, в конечном счете,
жирных кислот и глицерина.
В присутствии кислотных катализаторов (сульфокислоты, H2SO4) процесс
ведут при 100°C в избытке воды. В отсутствие катализаторов расщепление проводят
при температуре 220-225°C под давлением 2-2,5 MПa ("безреактивное"
расщепление). Гидролиз концентрированными водными растворами гидроксида натрия
(омыление) является основой процесса получения ("варки") мыла. На
скорость гидролиза ацилглицерина влияют строение и положение ацилов,
температура, катализаторы. С ростом длины углеродной цепи, увеличением
ненасыщенности (при той же длине углеродной цепи) ацилов скорость гидролиза
снижается. Гидролиз ацилглицеринов под действием липазы протекает ступенчато.
При этом наблюдается определенная селективность: на первой стадии образуются
1,2-диацилглицерины, на второй - 2-мо-ноацилглицерины. Скорость гидролиза
моноацилглицеринов выше, чем триацилглицеринов; диацилглицерины занимают
промежуточное положение.
Гидролиз триацилглицеринов широко применяется в технике для получения
жирных кислот, глицерина, моно- и диацилглицеринов.
Гидролитический распад жиров, липидов зерна, муки, крупы и других
жиросодержащих пищевых продуктов является одной из причин ухудшения их
качества, в конечном счете - порчи. Особенно ускоряется этот процесс при
повышении влажности хранящихся продуктов, температуры, активности липазы.
Скорость и глубину гидролиза масел и жиров (в том числе содержащихся в пищевом
сырье и в готовых продуктах) можно охарактеризовать с помощью кислотного числа.
Кислотное число - это количество миллиграммов едкого калия, необходимое для
нейтрализации свободных жирных кислот, содержащихся в 1 г масла или жира. Кислотное
число для ряда пищевых продуктов нормируется стандартами и является одним из
показателей, характеризующих их качество.
Переэтерификация
Большое практическое значение имеет группа реакций, при которых идет
обмен ацильных групп (ацильная миграция), приводящий к образованию молекул
новых ацилглицеринов. Триацилглицерины при температуре 80-9O°C в присутствии
катализаторов (метилат и этилат натрия, натрий и калий, алюмосиликаты) способны
обмениваться ацилами (переэтерификация). При этом ацильная миграция происходит
как внутри молекулы ацилглицерина (внутримолекулярная Переэтерификация), так и
между различными молекулами ацилглицеринов (межмолекулярная переэтерификация).
При переэтерификации с участием химических катализаторов состав жирных
кислот жира не меняется, происходит их статистическое распределение в смеси
триглицеридов, что приводит к изменению физико-химических свойств жировых
смесей в результате изменения молекулярного состава. Увеличение числа
ацил-глицериновых компонентов в жире приводит к снижению температуры плавления
и твердости жира, повышению его пластичности.
Истинным катализатором переэтерификации является глицерат натрия,
образующийся при взаимодействии алкоголята натрия с триацилглицерином (или
щелочи с глицерином).
Механизм реакции переэтерификации заключается во взаимодействии
карбонильной группы >C=0 сложного эфира со спиртовыми группами:
Образовавшийся глицерат взаимодействует с новой молекулой
триацилглицерина. Скорость переэтерификации зависит от ацилглицеринового и
жирнокислотного состава жира, количества и активности катализатора,
температуры.
Переэтерификация высокоплавких животных и растительных жиров с жидкими
растительными маслами позволяет получить пищевые пластичные жиры с высоким
содержанием линолевой кислоты при отсутствии транс-изомеров жирных кислот.
Готовые переэтерифицированные жиры, предназначенные в качестве компонентов
маргариновой продукции, имеют следующие показатели: температура плавления
25-35°C; твердость (при 15°C) 30- 130г/м; массовая доля твердых триглицеридов
(при 20°C) 6-20%. Переэтерифицированные жиры специального назначения
применяются в хлебопечении, при производстве аналогов молочного жира,
кондитерского жира, комбинированных жиров и т. д.
.3 РЕАКЦИИ
АЦИЛГЛИЦЕРИНОВ С УЧАСТИЕМ УГЛЕВОДОРОДНЫХ РАДИКАЛОВ
Присоединение водорода (гидрирование ацилглицеринов)
Гидрирование масел и жиров молекулярным водородом в промышленности
проводят при температурах 180-240°C в присутствии никелевых или медно-никелевых
катализаторов, при давлении, как правило, близком к атмосферному. Задача
гидрогенизации масел и жиров - целенаправленное изменение жирно-кислотного
состава исходного жира в результате частичного или полного присоединения
водорода к остаткам ненасыщенных жирных кислот, входящим в состав
ацилглицеринов подсолнечного, хлопкового, соевого, рапсового и других жидких
растительных масел.
Основная химическая реакция, протекающая при гидрогенизации, -
присоединение водорода к двойным связям остатков непредельных жирных кислот:
Подбирая соответствующие условия реакции, удается осуществить этот
процесс селективно (избирательно), гидрируя сначала, в основном, ацилы
линоленовой кислоты до линолевой, затем линолевой до олеиновой, а уже потом
остатки олеиновой (если это необходимо) до стеариновой кислоты, и получить
продукт с заранее заданными свойствами, называемый саломасом:
Селективность (избирательность) гидрирования объясняется большей
скоростью гидрирования ацилов более ненасыщенных кислот. Гидрирование масел и
жиров является гетерогенным процессом, протекающим на границе раздела фаз:
смесь ацилглицеринов - катализатор. Параллельно с присоединением водорода к
двойным связям (гидрирование) на поверхности катализатора происходит смещение
С=С-связи (структурная изомеризация, 1) и геометрическая изомеризация
(цис-транс-изомеризация, 2).
В отличие от гидрирования, реакции изомеризации (1,2), идущие на
поверхности катализатора, не требуют расхода водорода. Предпочтительное
протекание реакций (селективность) по одному из возможных направлений
определяется свойствами катализатора и условиями проведения процесса. В
процессе гидрогенизации может проходить и частичная переэтерификация.
Окисление ацилглицеринов
Жиры и масла, особенно содержащие радикалы ненасыщенных жирных кислот,
окисляются кислородом воздуха. Первыми продуктами окисления являются
разнообразные по строению гидропероксиды. Они получили название первичных
продуктов окисления.
Преимущественно окисляется группа -CH2-, соседняя с двойной связью (α-положение), а с наибольшей скоростью
- расположенная между двумя двойными связями. Образовавшиеся гидропероксиды
неустойчивы; в результате их сложных превращений образуются вторичные продукты
окисления: окси- и эпоксисоединения, спирты, альдегиды, кетоны, кислоты и их
производные с углеродной цепочкой различной длины.
Образование вторичных продуктов окисления может сопровождаться разрывом
углеродной цепи:
Окисление ацилглицеринов кислородом воздуха - автокаталитический процесс,
идущий по цепному пути с вырожденным разветвлением. Образовавшиеся продукты
окисления способны к полимеризации и поликонденсации:
Направление и глубина окисления масел и жиров зависят, в первую очередь,
от их ацилглицеринового состава: с увеличением степени непредельности жирных
кислот, входящих в состав ацилглицеринов, скорость их окисления возрастает. В
ряду эфиров олеиновой (C1lg), линолевой (С218) и линоленовой (С318) кислот
соотношение скорости окисления 1 : 27 : 77. Ацилглицерины насыщенных кислот
кислородом воздуха при обычных условиях практически не окисляются. Кроме того,
на скорость окисления влияет присутствие влаги, металлов переменной
валентности.
Большое влияние на скорость окисления оказывают антиокислители
(ингибиторы) - вещества, добавление которых приводит к обрыву цепей окисления.
При этом активные радикалы, которые инициируют процесс окисления, образуют
стабильные радикалы, которые не участвуют в этом процессе:
Среди антиоксидантов наибольшее значение имеют соединения фенольной
природы: ионол, БОТ, БОА, пропилгаллаты. Из природных антиокислителей
наибольшее значение принадлежит токоферолам, сезамолу (кунжутное масло),
госсиполу (хлопковое масло).
Основные антиоксиданты рассмотрены в гл. 9.
При введении антиоксидантов в количестве 0,01 % стойкость жиров к
окислению увеличивается в 10-15 раз.
Активность и продолжительность действия антиоксидантов увеличивается в
присутствии синергистов (от греч. synergo's - действующий вместе). Действие
синергистов может быть обусловлено рядом причин, главная из них - способность
дезактивировать ионы металлов переменной валентности (Pb, Cu, Со, Mn, Fe и т.
д.), играющих роль катализаторов окисления. Активными синергистами являются
комплексоны (окси- и аминокислоты, производные фосфорной и фосфоновой кислот и
др.). Применение в качестве комплексонов нашли лимонная и аскорбиновая кислоты.
Синергистами являются фосфолипиды.
Скорость окисления жиров уменьшается при понижении содержания кислорода в
окружающей среде. На этом основан способ хранения масел и жиров в среде с
пониженным содержанием кислорода (например, в среде с повышенным содержанием
азота). Окисление жиров ускоряется с повышением температуры хранения и под
воздействием световой энергии. Ионы металлов переходной валентности - железа,
меди, марганца и других - могут оказывать как каталитическое, так и
ингибирующее (замедляющее) действие на процесс автоокисления жиров.
Окисление липидов может проходить и под действием биологических
катализаторов - линоксигеназ.
Ферментативное окислительное прогоркание характерно для липидного
комплекса хранящихся масличных семян, зерна, продуктов их переработки (мука,
крупа). Оно протекает при участии ферментов липазы и липоксигеназы.
Липаза осуществляет гидролиз триацилглицеринов, липоксигеназа
катализирует образование гидропероксидов ненасыщенных жирных кислот (главным
образом, линолевой и линоленовой). Свободные жирные кислоты окисляются быстрее,
чем их остатки, входящие в молекулы жира.
Ферментативное прогоркание начинается с гидролиза жира ферментом липазой:
Образовавшаяся в результате гидролиза линолевая кислота окисляется при
участии фермента липоксигеназы:
Гидролиз образовавшегося 2,3-дилинолеилглицерина и окисление
гидропероксида могут продолжаться и дальше. Образующиеся вторичные продукты
окисления (альдегиды, кетоны и другие соединения) являются причиной ухудшения
качества пищевого сырья и многих липид-содержащих продуктов.
Первый этап - расщепление триацилглицеринов с образованием свободных
жирных кислот- является примером ферментативного гидролитического прогоркания.
Негидролитическое прогоркание может проходить и без участия ферментов
(неферментативный гидролиз).
В каждом отдельном случае, в зависимости от характера жиросодержащих
пищевых продуктов или пищевого сырья и условий, при которых они находятся,
прогоркание будет проходить по одному из рассмотренных нами типов, а иногда
(например, при хранении маргарина, молочного жира, муки, крупы) может проходить
ферментативное и неферментативное прогоркание, взаимно дополняя друг друга.
При хранении растительные и животные жиры, жиросодержащие продукты
(масличные семена, мука, крупа, кондитерские изделия и т. д.) под влиянием кислорода
воздуха, света (особенно прямого солнечного, ультрафиолетового), влаги,
ферментов постепенно приобретают неприятный вкус и запах. Некоторые из них
обесцвечиваются. В них накапливаются вредные для организма человека продукты
окисления. В результате снижается их пищевая и физиологическая ценность, при
этом они могут оказаться непригодными для употребления (пищевая порча жиров).
Органолептическая оценка пищевой порчи масел и жиров очень субъективна.
На начальном этапе порчи появляется неприятный вкус, не свойственный
оцениваемому маслу или жиру; жир может выступать раздражителем
("царапание") в горле, вызывать ощущение жжения. Несколько позднее
появляется неприятный запах (иногда "запах олифы"). При качественной
оценке порчи сливочного масла, маргарина используют термины
"осаливание", "сырный привкус", "олеиногость" и,
наконец, "прогорклость". Совокупность процессов, протекающих при
пищевой порче жира, получила название прогоркания.
Прогоркание жиров и жиросодержащих продуктов - результат сложных химических
и биохимических процессов, протекающих в липидном комплексе. Различаются
окислительное и гидролитическое прогоркание. Оба эти вида прогоркания могут
быть разделены в зависимости от факторов, ускоряющих (катализирующих) их, на
авто каталитическое (неферментативное) и ферментативное (биохимическое). Жиры и
масла, особенно содержащие остатки ненасыщенных жирных кислот (линоленовой,
линолевой, олеиновой), при контакте с воздухом растворяют его компоненты, в том
числе кислород, и окисляются.
Начальными продуктами окисления являются, как уже указывалось,
разнообразные по строению пероксиды и гидропероксиды. Они получили название
первичных продуктов окисления. В результате сложных превращений пероксидов
образуются вторичные продукты окисления: спирты, альдегиды, кетоны, кислоты с
углеродной цепочкой меньшей длины, чем в исходном жире, а также их
разнообразные производные. Именно эти вещества вызывают появление неприятного
привкуса, свойственного прогорканию, а входящие в их состав летучие соединения
обуславливают в то же время и ухудшение запаха.
Пищевая порча жира сопровождается изменением не только ацил-глицеринов,
но и сопутствующих веществ. Например, обесцвечивание растительных масел при
осаливании связано с окислением каротиноидов. Темный цвет масел, полученных из
пораженных плесенью семян, обусловлен окислением микотоксинов. Очень темная (от
коричневой до черной) окраска хлопкового масла обусловлена продуктами окисления
госсипола. Порча жира сопровождается и целым рядом реакций деструкции и
полимеризации. Деструкция фосфатидил-холина с образованием легколетучего
триметиламина (CH3)3N обусловливает селедочный запах осаленных жиров. Окисление
липидов приводит не только к ухудшению качества пищевых продуктов, снижению их
пищевой ценности, но и к их большим потерям. Поэтому необходимо применять все
меры по предотвращению или замедлению прогоркания жиров и жиросодержащих
пищевых продуктов. Жиры и содержащие их пищевые продукты обладают неодинаковой
устойчивостью при хранении. Она зависит от их жирно-кислотного состава,
характера примесей, наличия и активности ферментов, все это должно определять
условия их упаковки, режимы и допустимые сроки хранения. Наименее стойки при
хранении сливочное масло, маргарин, куриный жир.
.4 СВОЙСТВА И
ПРЕВРАЩЕНИЯ ГЛИЦЕРОФОСФОЛИПИДОВ
Глицерофосфолипиды - бесцветные вещества, без запаха, хорошо растворимы в
жидких углеводородах и их галогенпроизводных, отдельные группы различаются
растворимостью в спиртах, ацетоне. Они существуют в нескольких полимерных
формах и плавятся в две стадии. Обладают оптической активностью. Выделенные из
природных объектов фосфолипиды - аморфные вещества, перекристаллизованные из
органических растворителей - имеют кристаллическую структуру.
Химические превращения глицерофосфолипидов обусловлены характером и строением
структурных компонентов и видами химических связей. Для них характерны реакции
гидролиза кислотами и щелочами. Существует несколько видов гидролаз (A1, A2,
B1, B2, С, D), различающихся характером действия на субстрат. Они обнаружены в
природных объектах.
Принципиальная схема действия фосфолипаз на фосфолипиды:
Полярные группы молекул фосфолипидов взаимодействуют с полярными группами
молекул белков, углеводов, диполями воды.
Некоторая часть фосфолипидов не выделяется из масел или выделяется только
с помощью специальных приемов гидратации масел (негидратируемые фосфолипиды).
По современным представлениям - это комплексные соединения фосфолипидов с
ионами металлов (Ca2+, Mg2+, Cu2+, Fe2+ и Fe3+; последние являются
катализаторами процессов окисления), а также соединения со стеролами и
алифатическими спиртами.
В результате энзимической и химической модификации в промышленности
получают различные виды производных фосфолипидов (лецитинов): гидролизованные
лецитины, гидроксилированные, ацилированные с различными
гидрофильно-липофильными характеристиками (ГЛБ от 2 до 12). Они нашли широкое
применение в пищевой промышленности.
.5 МЕТОДЫ
ВЫДЕЛЕНИЯ ЛИПИДОВ ИЗ СЫРЬЯ И ПИЩЕВЫХ ПРОДУКТОВ И ИХ АНАЛИЗ
Анализ липидов и продуктов их превращений является сложной задачей,
требующей применения, наряду с классическими химическими методами, современных
физико-химических методов исследования (хроматографии, спектроскопии,
рентгеноструктурного анализа и т. д.).
Изучение липидов начинается с определения их количества (содержания) в
пищевых продуктах. Для этого используются методы определения содержания липидов
непосредственно в объекте (ЯМР, ИК-спектроскопия) и методы, основанные на
извлечении липидов из пищевого продукта (свободные, связанные, прочносвязанные
липиды). Свободные липиды экстрагируются из анализируемого продукта неполярными
растворителями (гексаном, диэтиловым эфиром), связанные - системами
растворителей, содержащими, как правило, спирт (смесь хлороформа и метанола,
взятых в объемном соотношении 2 : 1). Прочносвязанные липиды получают из
обработанного щелочами и кислотами шрота, оставшегося после выделения связанных
липидов. Основные требования, предъявляемые к методам выделения, - полнота
выделения и сохранение нативности выделенных липидов.
Химический состав липидов, выделенных из пищевого сырья и продуктов,
исследуется по схеме (см. рис. 4.6), причем в каждом конкретном случае выбирают
тот набор анализов, который позволяет получить максимальный объем интересующей
исследователей информации. Подробное описание методов выделения и исследования
липидов приведено в специальных руководствах.
В практике пищевой промышленности состав и качество жиров и масел
характеризуют с помощью разнообразных аналитических "чисел",
подразумевая под ними расход определенных реагентов на реакции с жиром.
Наибольшее значение имеют числа: кислотное, омыления, йодное.
Кислотным числом называется показатель, характеризующий количество
свободных жирных кислот, содержащихся в жире. Он выражается в миллиграммах
едкого калия, затраченного на нейтрализацию свободных жирных кислот,
содержащихся в 1 г жира. Учитывая, что хранение пищевых продуктов, содержащих
жиры и масла, всегда сопровождается гидролизом последних, по величине
кислотного числа можно, до известной степени, судить об их качестве. В
заводской практике кислотное число используется при расчете количества щелочи,
необходимой для рафинации жиров и масел.
Число омыления равно количеству миллиграммов едкого калия, необходимого
для омыления глицеридов и нейтрализации свободных жирных кислот в 1 г жира или
масла. По числу омыления можно судить о средней молекулярной массе входящих в
состав липидов жирных кислот и определить при мыловарении количество щелочи,
необходимое для омыления жира.
Йодное число - показатель, характеризующий непредельность жирных кислот,
входящих в состав жира. Оно выражается в процентах иода, эквивалентного
галогену, присоединяющемуся к 100 г жира. Существует несколько методов
определения йодного числа. Одним из наиболее распространенных является
бромометрический метод. При этом применяется раствор брома в безводном
метиловом спирте, насыщенном бромистым натрием. Бром образует непрочное
комплексное соединение с бромистым натрием:
+ Br2 → NaBr · Br2
Отщепляясь, бром реагирует с ненасыщенными глицеридами:
Количество непрореагировавшего брома определяют иодометрически:
NaBr + Br2 + 2KI → KBr + NaBr + I2
I2 + 2Na2S2O7 → 2NaI + Na2S4 O6
Зная исходное количество брома, можно легко вычислить йодное число жира.
Йодное число широко применяется для определения вида жира, способности его к
"высыханию", расчета потребного количества водорода на его
гидрогенизацию.
Величины указанных констант для отдельных жиров, не подвергшихся
разрушению, колеблются в незначительных пределах и характеризуют вид жира и его
качество (табл. 4.4).
Таблица 4.4. Содержание жирных кислот (в %) и характеристики масел и
жиров
|
Жиры и масла
|
Содержание и состав жирных
кислот
|
Характеристика
|
|
насыщенных
|
ненасыщенных
|
основных
|
Температура застывания, °С
|
Число омыления
|
Йодное число
|
|
Масла
|
|
Соевое
|
14-20
|
75-86
|
C218 46-65
|
-18
|
191-193
|
120-140
|
|
Хлопковое
|
22-30
|
75-76
|
С218 45-56
|
2-4
|
191-198
|
101-116
|
|
Подсолнечное
|
10-12
|
до 90
|
C218 46-70
|
16-18
|
186-194
|
119-136
|
|
Рапсовое
|
2-6
|
94-98
|
C118 6-44 Эруковая 1-52
|
0-10
|
167-181
|
94-103
|
|
Оливковое
|
9-18
|
82-91
|
C118 70-82
|
0-6
|
185-200
|
72-89
|
до 90
|
10
|
C012 44-52 C014 13-18
|
16-25
|
251-264
|
7-12
|
|
Пальмовое
|
44-57
|
43-56
|
С016 39-47 C218 45-50
|
31-41
|
196-210
|
52-58
|
|
Пальмо-ядровое
|
79-83
|
17-21
|
С016 10-19
|
19-24
|
240-257
|
15-20
|
|
Масло какао
|
58-60
|
40-42
|
C118. 23-25 C016 31-34
|
21-27
|
192-196
|
34-36
|
|
Льняное
|
6-9
|
91-94
|
С31841-60
|
18-27
|
191-195
|
175-190
|
|
Животные жиры
|
|
Говяжий
|
45-60
|
43-52
|
С118 24-29 43-44
|
30-38
|
190-200
|
32-47
|
|
Бараний
|
52-62
|
38-48
|
C018 25-31 С118 36-42
|
32-45
|
192-198
|
31-46
|
|
Свиной
|
33-49
|
48-64
|
С118 75-32 34-44
|
22-32
|
193-200
|
46-66
|
|
Китовый
|
10-22
|
48-90
|
-
|
-
|
181-193
|
100-161
|
.6 ПИЩЕВАЯ
ЦЕННОСТЬ МАСЕЛ И ЖИРОВ
Растительные жиры и масла являются обязательным компонентом пищи,
источником энергетического и пластического материала для человека, поставщиком
ряда необходимых для него веществ (непредельных жирных кислот, фосфолипидов,
жирорастворимых витаминов, стеринов), то есть они являются незаменимыми
факторами питания, определяющими его биологическую эффективность. Рекомендуемое
содержание жира в рационе человека (по калорийности) составляет 30-33%; для
населения южных зон нашей страны рекомендуется - 27-28%, северных - 38-40% или
90-107 г в сутки, в том числе непосредственно в виде жиров 45-50 г.
Длительное ограничение жиров в питании или систематическое использование
жиров с пониженным содержанием необходимых компонентов, в том числе сливочного
масла, приводит к отклонениям в физиологическом состоянии организма: нарушается
деятельность центральной нервной системы, снижается устойчивость организма к
инфекциям (иммунитет), сокращается продолжительность жизни. Но и избыточное
потребление жиров нежелательно, оно приводит к ожирению, сердечнососудистым
заболеваниям, преждевременному старению.
В составе пищевых продуктов различают видимые жиры (растительные масла,
животные жиры, сливочное масло, маргарин, кулинарный жир) и невидимые жиры (жир
в мясе и мясопродуктах, рыбе, молоке и молочных продуктах, крупе, хлебобулочных
и кондитерских изделиях). Это, конечно, условное деление, но оно широко
применяется.
Наиболее важные источники жиров в питании - растительные масла (в
рафинированных маслах 99,7-99,8% жира), сливочное масло (61,5- 82,5% липидов),
маргарин (до 82,0% жира), комбинированные жиры (50-72% жира), кулинарные жиры
(99% жира), молочные продукты (3,5-30% жира), некоторые виды кондитерских
изделий - шоколад (35- 40%), отдельные сорта конфет (до 35%), печенье (10-11%);
крупы - гречневая (3,3%), овсяная (6,1%); сыры (25-50%), продукты из свинины,
колбасные изделия (10-23% жира). Часть этих продуктов является источником
растительных масел (растительные масла, крупы), другие - животных жиров.
В питании имеет значение не только количество, но и химический состав
употребляемых жиров, особенно содержание полиненасыщенных кислот с определенным
положением двойных связей и цис-конфигурацией (линолевой C218; альфа- и
гамма-линоленовой С318; олеиновой C'18; арахидоновой С420; полиненасыщенных
жирных кислот с 5-6 двойными связями семейства омега-3).
Линолевая и линоленовая кислоты не синтезируются в организме человека,
арахидоновая - синтезируется из линолевои кислоты при участии витамина B6.
Поэтому они получили название "незаменимых" или
"эссенциальных" кислот. Линоленовая кислота образует другие
полиненасыщенные жирные кислоты. В состав полиненасыщенных жирных кислот
семейства омега-3 входят: α-линоленовая, эйкозапентаеновая,
до-козагексаеновая кислоты. Линолевая, γ-линоленовая, арахидоновая кислоты
входят в семейство омега-6. Рекомендуемое Институтом питания РАМН соотношение
омега 6/омега 3 в рационе составляет для здорового человека 10:1, для лечебного
питания - от 3 :1 до 5 :1.
Более 50 лет назад была доказана необходимость присутствия ряда этих
структурных компонентов липидов для нормального функционирования и развития
нашего организма. Они участвуют в построении клеточных мембран, в синтезе
простагландинов (сложные органические соединения), участвуют в регулировании
обмена веществ в клетках, кровяного давления, агрегации тромбоцитов,
способствуют выведению из организма избыточного количества холестерина,
предупреждая и ослабляя атеросклероз, повышают эластичность стенок кровеносных
сосудов. Но эти функции выполняют только цис-изомеры ненасыщенных кислот. При
отсутствии "эссенциальных" кислот прекращается рост организма и
возникают тяжелые заболевания. Биологическая активность указанных кислот
неодинакова. Наибольшей активностью обладает арахидоновая кислота, высокой -
линолевая, активность линоленовой кислоты значительно (в 8-10 раз) ниже
линолевой.
В последнее время особое внимание привлекают ненасыщенные жирные кислоты
семейства омега-3, присутствующие в липидах рыб.
Среди продуктов питания наиболее богаты полиненасыщенными кислотами
растительные масла (см. табл. 4.4), особенно кукурузное, подсолнечное, соевое.
Содержание в них линолевой кислоты достигает 50-60%, значительно меньше ее в
маргарине - до 20%, крайне мало в животных жирах (в говяжьем жире - 0,6%).
Арахидоновая кислота в продуктах питания содержится в незначительном
количестве, а в растительных маслах ее практически нет. В наибольшем количестве
арахидоновая кислота содержится в яйцах - 0,5, субпродуктах 0,2-0,3, мозгах -
0,5%.
В настоящее время считают, что суточная потребность в линолевой кислоте
должна составлять 6- 10 г, минимальная - 2-6 г, а ее суммарное содержание в
жирах пищевого рациона - не менее 4% от общей калорийности. Следовательно,
состав жирных кислот липидов в пищевых продуктах, предназначенных для питания
молодого, здорового организма, должен быть сбалансированным: 10- 20% -
полиненасыщенных, 50-60% - мононенасыщенных и 30% насыщенных, часть из которых
должна быть со средней длиной цепи. Это обеспечивается при использовании в
рационе 1/3 растительных и 2/3 животных жиров. Для людей пожилого возраста и
больных сердечно-сосудистыми заболеваниями содержание линолевой кислоты должно
составлять около 40%, соотношение полиненасыщенных и насыщенных кислот -
приближаться к 2 : 1 , соотношение линолевой и линоленовой кислот- 10 : 1
(Институт питания РАМН).
Способность жирных кислот, входящих в состав липидов, наиболее полно обеспечивать
синтез структурных компонентов клеточных мембран характеризуют с помощью
специального коэффициента (Институт питания РАМН), отражающего соотношение
количества арахидоновой кислоты, которая является главным представителем
полиненасыщенных жирных кислот в мембранных липйдах, к сумме всех других
полиненасыщенных жирных кислот с 20 и 22 атомами углерода. Этот коэффициент
получил название коэффициента эффективности метаболизации эссенциальных жирных
кислот (КЭМ):
КЭМ =
|
(C420)
|
|
(C220) + (C320) + (C520) +
(C322) + (C522) + (C622)
|
По современным представлениям наиболее целесообразно использовать в
каждый отдельный прием пищи жиры, имеющие сбалансированный состав, а не
потреблять жировые продукты различного состава в течение суток.
Важной в питании группой липидов являются фосфолипиды, участвующие в
построении клеточных мембран и транспорте жира в организме, они способствуют
лучшему усвоению жиров и препятствуют ожирению печени. Общая потребность
человека в фосфолипидах до 5-10 г в сутки.
Отдельно хочется остановиться на физиологической роли холестерина. Как
известно, при повышении его уровня в крови опасность возникновения и развития
атеросклероза возрастает; 80% холестерина содержится в яйцах (0,57%), сливочном
масле (0,2-0,3%), субпродуктах (0,2-0,3%).
Суточное его потребление с пищей не должно превышать 0,5 г. Растительные
жиры - единственный источник витамина E и β-каротина, животные жиры - витаминов А
и D.
.7
ПРЕВРАЩЕНИЯ ЛИПИДОВ ПРИ ПРОИЗВОДСТВЕ ПРОДУКТОВ ПИТАНИЯ
При получении продуктов питания, как в промышленности, так и в домашних
условиях, в ходе технологического потока липиды исходного сырья (зерно, крупа,
мясо и молоко, жиры и масла, плоды и овощи и др.) претерпевают разнообразные
превращения; значительные изменения происходят и в липидном комплексе
хранящихся продуктов. Все это сказывается на их составе, а следовательно, на
пищевой и биологической эффективности готовых продуктов.
С главными направлениями этих превращений вы познакомились: гидролиз
липидов, окислительное и биохимическое прогоркание. Но в пищевом сырье, полу- и
готовых продуктах они могут протекать одновременно, в виде идущих параллельно,
связанных между собой превращений.
Глубина и интенсивность этих процессов зависят от химического состава
липидов, характера сопутствующих, добавляемых и образующихся веществ (например,
антиоксидантов, меланоидинов), влажности, присутствия микроорганизмов,
активности ферментов, контакта с кислородом воздуха, а следовательно, от
способа упаковки жира и многих других факторов. Все перечисленное говорит о
многообразии, сложности и противоречивости процессов, протекающих в липидном
комплексе. Так, в растительных маслах, содержащих значительное количество
ненасыщенных жирных кислот, протекают, главным образом, процессы автоокисления
кислородом воздуха.
Благодаря низкой влажности, отсутствию минеральных веществ липиды не
поражаются микроорганизмами и в темноте могут храниться относительно длительное
время. Лучшими условиями их сохранности в специальных баках - резервуарах
являются: температура 4-6°C, относительная влажность воздуха - 75%. В быту их
следует хранить в закрытой стеклянной таре в темноте, оставляя минимальным
воздушное простанство в бутыли. Животные жиры (говяжий, свиной, бараний) по
своему жирнокислотному составу (незначительное содержание высоконепредельных
жирных кислот) должны были бы обладать высокой устойчивостью при хранении. Но
они практически не содержат антиоксидантов и это снижает их стойкость при
хранении. Наиболее неустойчивыми являются сливочное масло, маргарины,
комбинированные масла. Высокая влажность, наличие белковых и минеральных
веществ способствуют развитию микрофлоры, а следовательно, интенсивному
развитию процессов биохимического прогоркания. Одними из основных факторов,
обеспечивающих сохранность сливочного масла и маргарина, являются низкая
температура и отсутствие света, внесение консервантов и антиоксидантов (для
маргаринов, комбинированных масел). Не менее сложные процессы протекают при
хранении в липидном комплексе пищевого сырья и готовых продуктов. Так, при
хранении пшеничной муки идут процессы гидролитического и окислительного
прогоркания, образующиеся продукты взаимодействуют с белками, влияя на
хлебопекарное достоинство пшеничной муки. При развитии окислительных процессов
в продуктах накапливаются нежелательные для организма человека вещества,
поэтому защита липидов от окисления является важной задачей.
Контрольные вопросы
1. Дайте определение понятию "липиды" (жиры и масла). На
какие группы веществ их можно разделить? Приведите примеры основных групп
липидов.
2. Опишите физические свойства и химические превращения
ацилглицеринов. Дайте определение реакциям гидролиза, гидрогенизации и
переэтерификации масел и жиров. Какова их роль в технологии?
. Определите понятие "окисление жиров". Каков его
механизм и какие факторы влияют на окисление масел и жиров? Какова роль
антиоксидантов при окислении жиров?
. Приведите примеры основных превращений фосфолипидов. Какова роль
фосфолипидов в технологии жиров, питании?
. Расскажите о методах выделения и анализа жиров. Дайте определение
понятиям: кислотное, йодное число, число омыления.
. Какова роль жиров, их структурных компонентов в питании?
ГЛАВА 5.
МИНЕРАЛЬНЫЕ ВЕЩЕСТВА
.1 РОЛЬ
МИНЕРАЛЬНЫХ ВЕЩЕСТВ В ОРГАНИЗМЕ ЧЕЛОВЕКА
Многие элементы в виде минеральных солей, ионов, комплексных соединений и
органических веществ входят в состав живой материи и являются незаменимыми
нутриентами, которые должны ежедневно потребляться с пищей. Содержание
минеральных веществ в основных продуктах питания приведено в табл. 5.1.
В соответствии с рекомендацией диетологической комиссии Национальной
академии США ежедневное поступление химических элементов с пищей должно
находиться на определенном уровне (табл. 5.2). Столько же химических элементов
должно ежесуточно выводиться из организма, поскольку их содержание в нем
находится в относительном постоянстве.
Роль минеральных веществ в организме человека чрезвычайно разнообразна,
несмотря на то, что они не являются обязательным компонентом питания.
Минеральные вещества содержатся в протоплазме и биологических жидкостях, играют
основную роль в обеспечении постоянства осмотического давления, что является
необходимым условием для нормальной жизнедеятельности клеток и тканей. Они
входят в состав сложных органических соединений (например гемоглобина, гормонов,
ферментов), являются пластическим материалом для построения костной и зубной
ткани. В виде ионов минеральные вещества участвуют в передаче нервных
импульсов, обеспечивают свертывание крови и другие физиологические процессы
организма.
В зависимости от количества минеральных веществ в организме человека и
пищевых продуктах их подразделяют на макро- и микроэлементы. Так, если массовая
доля элемента в организме превышает 10 -2%, то его следует считать
макроэлементом. Доля микроэлементов в организме
Таблица 5.1. Минеральный состав основных продуктов питания [по данным
И.M. Скурихина, M.H. Волгарева "Химический состав пищевых продуктов",
1987]
|
Пищевые продукты
|
Макроэлементы, мг
|
Микроэлементы, мкг
|
|
Ка-лий
|
Каль-ций
|
Маг-ний
|
Нат-рий
|
Сера
|
Фос-фор
|
Хлор
|
Же-лезо
|
Иод
|
Ко-бальт
|
Мар-ганец
|
Медь
|
Фтор
|
Хром
|
Цинк
|
Моли-бден
|
|
Хлеб:
|
|
|
|
|
|
|
|
|
|
|
|
|
|
|
|
|
|
ржаной формовой
|
245
|
35
|
47
|
610
|
52
|
158
|
980
|
3900
|
5,6
|
-
|
1610
|
220
|
35
|
2,7
|
1210
|
8
|
|
формовой из пшеничной муки
I сорта
|
129
|
23
|
33
|
506
|
59
|
84
|
837
|
1860
|
-
|
1,8
|
825
|
134
|
-
|
2,2
|
735
|
12,8
|
|
Молочные продукты:
|
|
|
|
|
|
|
|
|
|
|
|
|
|
|
|
|
|
молоко коровье
|
146
|
120
|
14
|
50
|
29
|
90
|
110
|
67
|
9
|
0,8
|
6
|
12
|
20
|
2
|
400
|
5
|
|
творог жирный
|
112
|
150
|
23
|
41
|
-
|
216
|
-
|
461
|
-
|
-
|
8
|
74
|
-
|
-
|
394
|
-
|
|
сыр российский
|
116
|
1000
|
50
|
820
|
-
|
540
|
-
|
1100
|
-
|
-
|
-
|
50
|
-
|
-
|
3500
|
-
|
|
Мясо:
|
|
|
|
|
|
|
|
|
|
|
|
|
|
|
|
|
|
свинина
|
316
|
8
|
27
|
64,8
|
220
|
170
|
48
|
1940
|
6,6
|
8
|
28,5
|
96
|
69
|
13,5
|
2070
|
13
|
|
говядина
|
355
|
10,2
|
22
|
73
|
230
|
188
|
59
|
2900
|
7,2
|
7
|
35
|
182
|
63
|
8,2
|
3240
|
11,6
|
|
баранина
|
329
|
9,8
|
25,1
|
101
|
165
|
168
|
83,6
|
2090
|
2,7
|
6
|
35
|
238
|
120
|
8,7
|
2820
|
9
|
|
Рыба:
|
|
|
|
|
|
|
|
|
|
|
|
|
|
|
|
|
|
речной карп
|
265
|
35
|
25
|
55
|
180
|
210
|
55
|
800
|
5
|
35
|
150
|
130
|
25
|
55
|
2080
|
4
|
|
морская треска
|
340
|
25
|
30
|
100
|
200
|
210
|
165
|
650
|
135
|
30
|
80
|
150
|
700
|
55
|
1020
|
4
|
|
Овощи:
|
|
|
|
|
|
|
|
|
|
|
|
|
|
|
|
|
|
капуста белокочанная
|
185
|
48
|
16
|
13
|
37
|
31
|
37
|
600
|
3
|
3
|
170
|
75
|
10
|
5
|
400
|
10
|
|
картофель
|
568
|
10
|
23
|
28
|
32
|
58
|
58
|
900
|
5
|
5
|
170
|
140
|
30
|
10
|
360
|
8
|
|
морковь
|
200
|
51
|
38
|
21
|
6
|
55
|
63
|
700
|
5
|
2
|
200
|
80
|
55
|
3
|
400
|
20
|
|
Фрукты:
|
|
|
|
|
|
|
|
|
|
|
|
|
|
|
|
|
|
слива
|
214
|
20
|
9
|
18
|
6
|
20
|
1
|
4
|
1
|
110
|
87
|
2
|
4
|
100
|
8
|
|
яблоко
|
278
|
16
|
9
|
26
|
5
|
11
|
2
|
2200
|
2
|
1
|
47
|
110
|
8
|
4
|
150
|
6
|
Таблица 5.2. Суточное поступление химических элементов в организм человека
(в мг) [Ю. H. Кукушкин. Химические элементы в организме человека, 1998]
|
Элемент
|
Взрослые
|
Дети
|
Элемент
|
Взрослые
|
Дети
|
|
К
|
2000-5500
|
530
|
Cr
|
0,05-0,2
|
0,04
|
|
Na
|
1 100-3300
|
260
|
Со
|
около 0,2 (витамин B12)
|
0,001
|
|
Ca
|
800-1200
|
420
|
Mg
|
300-400
|
60
|
|
Cl
|
3200
|
470
|
Zn
|
15
|
5
|
|
PO43-
|
800-1200
|
210
|
Fe
|
10-15
|
7
|
|
SO42-
|
10
|
-
|
Mn
|
2,0-5,0
|
1,3
|
|
I
|
0,15
|
0,07
|
Cu
|
1,5-3,0
|
1
|
|
Se
|
0,05-0,07
|
-
|
Mo
|
0,075-0,250
|
0,06
|
|
F
|
1,5-4,0
|
0,6
|
|
|
|
составляет 10 -3-10 -5 %. Если содержание элемента ниже 10 5 %, его
считают ультрамикроэлементом. К макроэлементам относят калий, натрий, кальций,
магний, фосфор, хлор и серу. Они содержатся в количествах, измеряемых сотнями и
десятками миллиграммов на 100 г тканей или пищевого продукта. Микроэлементы
входят в состав тканей организма в концентрациях, выражаемых десятыми, сотыми и
тысячными долями миллифамма и являются необходимыми для его нормальной
жизнедеятельности. Микроэлементы условно делят на две группы: абсолютно или
жизненно необходимые (кобальт, железо, медь, цинк, марганец, иод, бром, фтор) и
так называемые вероятно необходимые (алюминий, стронций, молибден, селен,
никель, ванадий и некоторые другие). Микроэлементы называют жизненно
необходимыми, если при их отсутствии или недостатке нарушается нормальная
жизнедеятельность организма. Характерным признаком необходимого элемента
является колоколообразный вид кривой зависимости ответной реакции организма от
дозы элемента (рис. 5.1).
При малом поступлении данного элемента организму наносится существенный
ущерб. Он функционирует на грани выживания. В основном это объясняется
снижением активности ферментов, в состав которых входит данный элемент. При
повышении дозы элемента ответная реакция возрастает и достигает нормы (на
кривой представлено в виде плато). При дальнейшем увеличении дозы проявляется
токсическое действие избытка данного элемента, в результате чего не исключается
и летальный исход.
Распределение микроэлементов в организме зависит от их химических свойств
и очень разнообразно. Железо, например, является составной
Рис. 5.1. Зависимость ответной реакции (R) от дозы (n) жизненно
необходимых элементов
частью гемоглобина, миоглобина и других дыхательных пигментов, то есть
веществ, участвующих в поглощении и транспорте кислорода во все ткани
организма; атомы меди входят в активный центр рада ферментов и т.д.
Действие микроэлементов может быть и опосредованным - через влияние на
интенсивность или характер обмена веществ. Так, некоторые микроэлементы
(например, марганец, цинк, иод) влияют на рост, и их недостаточное поступление
в организм с пищей тормозит нормальное физическое развитие ребенка. Другие
микроэлементы (например, молибден, медь, марганец) принимают участие в
репродуктивной функции, и их недостаток в организме отрицательно влияет на эту
сторону жизнедеятельности человека.
К наиболее дефицитным минеральным веществам в питании современного
человека относятся кальций и железо, к избыточным - натрий и фосфор.
Недостаток или избыток в питании каких-либо минеральных веществ вызывает
нарушение обмена белков, жиров, углеводов, витаминов, что приводит к развитию
рада заболеваний. Ниже приведены характерные (типичные) симптомы при дефиците
различных химических элементов в организме человека:
|
Ca
|
Замедление роста скелета
|
|
Mg
|
Мышечные судороги
|
|
Fe
|
Анемия, нарушения иммунной
системы
|
|
Zn
|
Повреждение кожи,
замедление роста, замедление полового созревания
|
|
Cu
|
Слабость артерий, нарушение
деятельности печени, вторичная анемия
|
|
Mn
|
Бесплодие, ухудшение роста
скелета
|
|
Mo
|
Замедление клеточного
роста, склонность к кариесу зубов
|
|
Со
|
Злокачественная анемия
|
|
Ni
|
Учащение депрессий,
дерматиты
|
|
Cr
|
Симптомы диабета
|
|
Si
|
Нарушение роста скелета
|
|
F
|
Кариес зубов
|
|
I
|
Нарушение работы щитовидной
железы, замедление метаболизма
|
|
Se
|
Слабость сердечной мышцы
|
Наиболее распространенным следствием несоответствия в рационе количества
кальция и фосфора является кариес зубов, разрежение костной ткани. При
недостатке фтора в питьевой воде разрушается зубная эмаль, дефицит иода в пище
и воде приводит к заболеваниям щитовидной железы. Таким образом, минеральные вещества
очень важны для устранения и профилактики ряда заболеваний.
Перечислим причины нарушения обмена минеральных веществ, которые могут
иметь место даже при их достаточном количестве в пище:
а) несбалансированное питание (недостаточное или избыточное количество
белков, жиров, углеводов, витаминов и др.);
б) применение методов кулинарной обработки пищевых продуктов,
обуславливающих потери минеральных веществ, например, при размораживании (в
горячей воде) мяса, рыбы, или при удалении отваров овощей и фруктов, куда
переходят растворимые соли;
в) отсутствие своевременной коррекции состава рационов при изменении
потребности организма в минеральных веществах, связанной с физиологическими
причинами. Так, например, у людей, работающих в условиях повышенной температуры
внешней среды, увеличивается потребность в калии, натрии, хлоре и других
минеральных веществах в связи с тем, что большая их часть выводится из
организма с потом;
г) нарушение процесса всасывания минеральных веществ в желудочно-кишечном
тракте или повышение потерь жидкости (например, кровопотери).
.2 РОЛЬ
ОТДЕЛЬНЫХ МИНЕРАЛЬНЫХ ЭЛЕМЕНТОВ
Макроэлементы
Кальций. Это основной структурный компонент костей и зубов; входит в
состав ядер клеток, клеточных и тканевых жидкостей, необходим для свертывания
крови. Кальций образует соединения с белками, фосфолипидами, органическими
кислотами; участвует в регуляции проницаемости клеточных мембран, в процессах
передачи нервных импульсов, в молекулярном механизме мышечных сокращений,
контролирует активность ряда ферментов. Таким образом, кальций выполняет не
только пластические функции, но и влияет на многие биохимические и
физиологические процессы в организме.
Кальций относится к трудноусвояемым элементам. Поступающие в организм
человека с пищей соединения кальция практически не растворимы в воде. Щелочная
среда тонкого кишечника способствует образованию трудноусвояемых соединений
кальция, и лишь воздействие желчных кислот обеспечивает его всасывание.
Ассимиляция кальция тканями зависит не только от содержания его в продуктах,
но и от соотношения его с другими компонентами пищи и, в первую очередь, с
жирами, магнием, фосфором, белками. При избытке жиров возникает конкуренция за
желчные кислоты и значительная часть кальция выводится из организма через
толстый кишечник. На всасывание кальция отрицательно сказывается избыток
магния; рекомендуемое соотношение этих элементов составляет 1 : 0,5.
Если количество фосфора превышает уровень кальция в пище более чем в 2
раза, то образуются растворимые соли, которые извлекаются кровью из костной
ткани. Кальций поступает в стенки кровеносных сосудов, что обуславливает их
ломкость, а также в ткани почек, что может способствовать возникновению
почечно-каменной болезни. Для взрослых рекомендовано соотношение кальция и
фосфора в пище 1:1,5. Трудность соблюдения такого соотношения обусловлена тем,
что большинство широко потребляемых продуктов значительно богаче фосфором, чем
кальцием. Отрицательное влияние на усвоение кальция оказывает фитин и щавелевая
кислота, содержащиеся в ряде растительных продуктов. Эти соединения образуют с
кальцием нерастворимые соли.
Суточная потребность в кальции взрослого человека составляет 800 мг, а у
детей и подростков - 1000 мг и более.
При недостаточном потреблении кальция или при нарушении всасывания его в
организме (при недостатке витамина D) развивается состояние кальциевого
дефицита. Наблюдается повышенное выведение его из костей и зубов. У взрослых
развивается остеопороз - деминерализация костной ткани, у детей нарушается
становление скелета, развивается рахит.
Лучшими источниками кальция являются молоко и молочные продукты,
различные сыры и творог (100-1000 мг/100 г продукта), зеленый лук, петрушка,
фасоль. Значительно меньше кальция содержится в яйцах, мясе, рыбе, овощах,
фруктах, ягодах (20-40 мг/100 г продукта).
Магний. Этот элемент необходим для активности ряда ключевых ферментов,
обеспечивающих метаболизм организма. Магний участвует в поддержании нормальной
функции нервной системы и мышцы сердца; оказывает сосудорасширяющее действие;
стимулирует желчеотделение; повышает двигательную активность кишечника, что
способствует выведению шлаков из организма (в том числе холестерина).
Усвоению магния мешают наличие фитина и избыток жиров и кальция в пище.
Ежедневная потребность в магнии точно не определена; считают, однако, что
доза 200-300 мг/сут предотвращает проявление недостаточности (предполагается,
что всасывается около 30% магния). Известны случаи врожденной недостаточности
всасывания магния из кишечника, что указывает на наличие специфического
механизма всасывания этого иона.
При недостатке магния нарушается усвоение пищи, задерживается рост, в
стенках сосудов откладывается кальций, развивается ряд других патологических
явлений. У человека недостаток ионов магния, обусловленный характером питания,
крайне маловероятен. Однако большие потери этого элемента могут происходить при
диарее; последствия их сказываются, если в организм вводятся жидкости, не
содержащие магний. Когда концентрация магния в сыворотке снижается примерно до
0,1 ммоль/л, может возникать синдром, напоминающий белую горячку: у человека
наступает полукоматозное состояние, наблюдается мышечная дрожь, спазмы мышц в
области запястья и стопы, повышение нервно-мышечной возбудимости в ответ на
звуковые, механические и зрительные раздражители. Введение магния вызывает
быстрое улучшение состояния.
Магнием богаты в основном растительные продукты. Большое количество его
содержат пшеничные отруби, различные крупы (40- 200 мг/100 г продукта),
бобовые, урюк, курага, чернослив. Мало магния в молочных продуктах, мясе, рыбе,
макаронных изделиях, большинстве овощей и фруктов (20-40 мг/100 г).
Калий. Около 90% калия находится внутри клеток. Он вместе с другими
солями обеспечивает осмотическое давление; участвует в передаче нервных
импульсов; регуляции водно-солевого обмена; способствует выведению воды, а
следовательно, и шлаков из организма; поддерживает кислотно-щелочное равновесие
внутренней среды организма; участвует в регуляции деятельности сердца и других
органов; необходим для функционирования ряда ферментов.
Калий хорошо всасывается из кишечника, а его избыток быстро удаляется из
организма с мочой.
Суточная потребность в калии взрослого человека составляет 2000- 4000 мг.
Она увеличивается при обильном потоотделении, при употреблении мочегонных
средств, заболеваниях сердца и печени.
Калий не является дефицитным нутриентом в питании, и при разнообразном
питании недостаточность калия не возникает. Дефицит калия в организме
появляется при нарушении функции нервно-мышечной и сердечно-сосудистой систем,
сонливости, снижении артериального давления, нарушении ритма сердечной
деятельности. В таких случаях назначается калиевая диета.
Большая часть калия поступает в организм с растительными продуктами.
Богатыми источниками его являются урюк, чернослив, изюм, шпинат, морская
капуста, фасоль, горох, картофель, другие овощи и плоды (100-600 мг/100 г
продукта). Меньше калия содержится в сметане, рисе, хлебе из муки высшего сорта
(100-200 мг/100 г).
Натрий. Натрий содержится во всех тканях и биологических жидкостях
организма. Он участвует в поддержании осмотического давления в тканевых
жидкостях и крови; в передаче нервных импульсов; регуляции кислотно-щелочного
равновесия, водно-солевого обмена; повышает активность пищеварительных
ферментов.
Метаболизм натрия всесторонне изучен благодаря его физиологическим
свойствам и важности для организма. Этот нутриент легко всасывается из
кишечника. Ионы натрия вызывают набухание коллоидов тканей, что обуславливает
задержку воды в организме и противодействует ее выделению. Уровень натрия во
внеклеточной жидкости тщательно поддерживается почками под влиянием
эндокринных, сердечно-сосудистых и автономных регуляторных механизмов. Общее
количество натрия во внеклеточной жидкости, таким образом, определяет объем
этих жидкостей. Контроль за балансом натрия осуществляется посредством сложной
взаимосвязанной системы, включающей нервную и гормональную системы. Возрастание
концентрации натрия в плазме стимулирует осморецепторы в центре гипоталамуса
независимо от объема жидкости, что приводит к ощущению жажды. В жарком климате
и при тяжелой физической работе происходит существенная потеря натрия с потом и
необходимо введение в организм соли для восполнения утраченного количества.
Обычно соли натрия не обладают острой токсичностью, поскольку полностью
развитые почки эффективно выводят натрий из организма. В основном ионы натрия
поступают в организм за счет поваренной соли - NaCl. При избыточном потреблении
хлористого натрия ухудшается удаление растворимых в воде конечных продуктов
обмена веществ через почки, кожу и другие выделительные органы. Задержка воды в
организме осложняет деятельность сердечно-сосудистой системы, способствует
повышению кровяного давления. Поэтому потребление соли при соответствующих
заболеваниях в пищевом рационе ограничивают. Вместе с тем при работе в горячих
цехах или жарком климате увеличивают количество натрия (в виде поваренной
соли), вводимого извне, чтобы компенсировать его потерю с потом и уменьшить
потоотделение, отягощающее функцию сердца.
Натрий естественно присутствует во всех пищевых продуктах. Способ
получения пищевых продуктов в значительной мере определяет конечное содержание
в нем натрия. Например, замороженный зеленый горошек содержит гораздо больше
натрия, чем свежий. Свежие овощи и фрукты содержат его от менее чем 10 мг/кг до
1 г/кг, в отличие от круп и сыра, которые могут содержать натрий в количестве
10-20 г/кг.
Оценка среднесуточного поступления натрия с пищей затруднена, поскольку
его концентрация в пище широко варьируется и, кроме того, люди привыкли
подсаливать пищу. Взрослый человек ежедневно потребляет до 15 г поваренной соли
и столько же выделяет ее из организма. Это количество значительно превышает
физиологически необходимое и определяется, прежде всего, вкусовыми качествами
хлористого натрия, привычкой к соленой пище. Содержание поваренной соли в пище
человека можно без ущерба для здоровья снизить до 5 г в сутки. На выделение
хлористого натрия из организма, а следовательно, и на потребность в нем, влияет
количество солей калия, получаемое организмом. Растительная пища, особенно
картофель, богата калием и усиливает выделение с мочой хлористого натрия, а
следовательно, и повышает потребность в нем.
Фосфор. Фосфор входит в состав всех тканей организма, особенно мышц и
мозга. Этот элемент принимает участие во всех процессах жизнедеятельности
организма: синтезе и расщеплении веществ в клетках; регуляции обмена веществ;
входит в состав нуклеиновых кислот и ряда ферментов; необходим для образования
АТФ.
В тканях организма и пищевых продуктах фосфор содержится в виде фосфорной
кислоты и ее органических соединений (фосфатов). Основная его масса находится в
костной ткани в виде фосфорнокислого кальция, остальной фосфор входит в состав
мягких тканей и жидкостей. В мышцах происходит наиболее интенсивный обмен
соединений фосфора. Фосфорная кислота участвует в построении молекул многих
ферментов, нуклеиновых кислот и т. д.
Содержание органических соединений фосфора в крови меняется в широких
пределах. Однако количество неорганического фосфора более или менее постоянно.
Увеличивается содержание неорганического фосфора при молочной диете, а также
при ряде заболеваний почек, при переломах на стадии заживления, сахарном
диабете и др.; уменьшается концентрация неорганического фосфора в сыворотке
крови при повышении функции паращитовидных желез и ряде других заболеваний.
При длительном дефиците фосфора в питании организм использует собственный
фосфор из костной ткани. Это приводит к деминерализации костей и нарушению их
структуры - разрежению. При обеднении организма фосфором снижается умственная и
физическая работоспособность, отмечается потеря аппетита, апатия.
Суточная потребность в фосфоре для взрослых составляет 1200 мг. Она
возрастает при больших физических или умственных нагрузках, при некоторых
заболеваниях.
Большое количество фосфора содержится в продуктах животного
происхождения, особенно в печени, икре, а также в зерновых и бобовых. Его
содержание в этих продуктах составляет от 100 до 500 мг в 100 г продукта.
Богатым источником фосфора являются крупы (овсяная, перловая), в них содержится
300-350 мг фосфора/100 г. Однако из растительных продуктов соединения фосфора
усваиваются хуже, чем при потреблении пищи животного происхождения.
Сера. Значение этого элемента в питании определяется, в первую очередь,
тем, что он входит в состав белков в виде серосодержащих аминокислот (метионина
и цистина), а также является составной частью некоторых гормонов и витаминов.
Как компонент серосодержащих аминокислот сера участвует в процессах
белкового обмена, причем потребность в ней резко возрастает в период
беременности и роста организма, сопровождающихся активным включением белков в
образующиеся ткани, а также при воспалительных процессах. Серосодержащие
аминокислоты, особенно в сочетании с витаминами С и E, оказывают выраженное
антиоксидантное действие. Наряду с цинком и кремнием сера определяет
функциональное состояние волос и кожи.
Содержание серы обычно пропорционально содержанию белков в пищевых
продуктах, поэтому ее больше в животных продуктах, чем в растительных.
Потребность в сере (400-600 мг в сутки) удовлетворяется обычным суточным
рационом.
Хлор. Этот элемент участвует в образовании желудочного сока, формировании
плазмы, активирует ряд ферментов. Этот нутриент легко всасывается из кишечника
в кровь. Интересна способность хлора отлагаться в коже, задерживаться в
организме при избыточном поступлении, выделяться с потом в значительных
количествах. Выделение хлора из организма происходит главным образом с мочой
(90%) и потом.
Нарушения в обмене хлора ведут к развитию отеков, недостаточной секреции
желудочного сока и др. Резкое уменьшение содержания хлора в организме может
привести к тяжелому состоянию, вплоть до смертельного исхода. Повышение его
концентрации в крови наступает при обезвоживании организма, а также при
нарушении выделительной функции почек.
Суточная потребность в хлоре составляет примерно 5000 мг. Хлор поступает
в организм человека в основном в виде хлористого натрия при добавлении его в
пищу.
Микроэлементы
Железо. Этот элемент необходим для биосинтеза соединений, обеспечивающих
дыхание, кроветворение; он участвует в иммунобиологических и
окислительно-восстановительных реакциях; входит в состав цитоплазмы, клеточных
ядер и ряда ферментов.
Ассимиляции железа препятствует щавелевая кислота и фитин. Для усвоения
этого нутриента необходим витамин B12. Усвоению железа способствует также
аскорбиновая кислота, поскольку железо всасывается в виде двухвалентного иона.
Недостаток железа в организме может привести к развитию анемии,
нарушаются газообмен, клеточное дыхание, то есть фундаментальные процессы
обеспечивающие жизнь. Развитию железодефицитных состояний способствуют:
недостаточное поступление в организм железа в усвояемой форме, понижение
секреторной активности желудка, дефицит витаминов (особенно B12, фолиевой и
аскорбиновой кислот) и ряд заболеваний, вызывающих кровопотери.
Потребность взрослого человека в железе (14 мг/сут) с избытком
удовлетворяется обычным рационом. Однако при использовании в пище хлеба из муки
тонкого помола, содержащего мало железа, у городских жителей весьма часто
наблюдается дефицит железа. При этом следует учесть, что зерновые продукты,
богатые фосфатами и фитином, образуют с железом труднорастворимые соединения и
снижают его ассимиляцию организмом.
Железо - широко распространенный элемент. Он содержится в субпродуктах,
мясе, яйцах, фасоли, овощах, ягодах. Однако в легкоусвояемой форме железо
содержится только в мясных продуктах, печени (до 2000 мг/100 г продукта),
яичном желтке.
Медь. Медь является необходимым элементом в метаболизме человека, играя
роль в образовании эритроцитов, высвобождении тканевого железа и развитии
скелета, центральной нервной системы и соединительной ткани. Обычно медь
соединена с белками: гемокупреном в эритроцитах и церулоплазмином в плазме
крови, в которых медь является неотъемлемой частью их структуры; металлотионеин
представляет собой белок, ответственный за отложение меди. Выделен ряд
медьсодержащих ферментов, в частности, цитохромоксидаза, оксидаза аскорбиновой
кислоты и уриказа.
Поскольку медь широко распространена в пищевых продуктах, маловероятно,
чтобы у людей, за исключением, возможно, грудных детей, получающих
исключительно молочный рацион, когда-либо развилась форма недостаточности
питания, связанная с медью.
Потребление избыточно больших доз меди человеком ведет к раздражению и
разъеданию слизистых, распространенному поражению капилляров, поражению печени
и почек, раздражению центральной нервной системы. Суточная потребность в этом
элементе составляет около 2 мг. Источниками меди являются такие пищевые
продукты, как печень, яичный желток, зеленые овощи.
Иод. Иод является необходимым элементом, участвующим в образовании
гормона тироксина. При недостаточности иода развивается зобная болезнь -
заболевание щитовидной железы.
Потребность в иоде колеблется в пределах 100-150 мкг в день. Содержание
иода в пищевых продуктах обычно невелико (4-15 мкг%). Наиболее богаты иодом
продукты моря. Так, в морской рыбе его содержится около 50 мкг/100 г, в печени
трески до 800, в морской капусте в зависимости от вида и сроков сбора - от 50 мкг
до 70 000 мкг/100 г продукта. Но надо учесть, что при длительном хранении и
тепловой обработке пищи значительная часть иода (от 20 до 60%) теряется.
Содержание иода в наземных растительных и животных продуктах сильно
зависит от его количества в почве. В районах, где иода в почве мало, содержание
его в пищевых продуктах может быть в 10- 1OO раз меньше среднего. Поэтому в
этих районах для предупреждения зобной болезни добавляют в поваренную соль
небольшое количество иодида калия (25 мг на 1 кг соли). Срок хранения такой
иодированной соли - не более 6 месяцев, так как при хранении соли иод
постепенно улетучивается.
Фтор. При недостатке этого элемента развивается кариес зубов (разрушение
зубной эмали). Избыток фтора также оказывает негативное влияние на организм,
поскольку соли фтора, накапливаясь в костях, вызывают изменение цвета
(крапчатость) и формы зубов, остеохондроз, а вслед за этим огрубление суставов
и их неподвижность, костные наросты. Разница между полезной и вредной дозами
фтора так мала, что многие исследователи выступают против фторирования воды.
Фтор, потребляемый с водой, почти полностью всасывается, содержащийся в
пище фтор всасывается в меньшей степени. Поглощенный фтор равномерно
распределяется по всему организму. Он удерживается, главным образом, в скелете,
и небольшое его количество отлагается в зубной ткани. В высоких дозах фтор
может вызывать нарушение углеводного, липидного, белкового обмена, а также
метаболизма витаминов, ферментов и минеральных солей. Многие симптомы острого
отравления фтором являются следствием связывания его с кальцием. Фтор выводится
из организма главным образом с мочой. На его выведение влияет ряд факторов, в
том числе общее состояние здоровья человека и предшествующее воздействие на
него фторидов. Степень удерживания фтора снижается с возрастом, и считается,
что организм большинства взрослых находится в "состоянии равновесия",
при котором присутствующий в организме фтор откладывается в обызвествленных
тканях; основная часть остального количества содержится в плазме, и таким
образом он становится доступным для выведения. Удержание в скелете и выведение
фтора почками - два основных механизма, с помощью которых предотвращается
накопление токсичных количеств фтора в организме.
В различных странах были проведены оценки суточного поступления фтора с
пищей; для взрослых эта величина варьируется от 0,2 до 3,1 мг, для детей
возрастной группы от 1 до 3 лет поступление фтора было оценено на уровне 0,5
мг/сут.
Практически все пищевые продукты содержат хотя бы микроколичества этого
элемента. Все виды растительности содержат некоторое количество фтора, которое
они получают из почвы и воды. В отдельных продуктах, в частности, в рыбе,
некоторых овощах и чае обнаруживаются высокие уровни содержания фтора.
Применение фторированной воды на предприятиях пищевой промышленности может
нередко удваивать уровень содержания фтора в готовых продуктах.
Для профилактики и лечения кариеса зубов используют различные зубные
пасты, порошки, эликсиры, жевательные резинки и т.п., которые содержат добавляемый
к ним фтор, главным образом в неорганической форме. Эти соединения обычно
вносятся в средства для чистки зубов, как правило, в концентрациях около 1
г/кг.
Хром. Этот элемент, по-видимому, необходим для глюкозного и ли-пидного
обмена и для утилизации аминокислот некоторыми системами. Он также имеет важное
значение для профилактики легких форм диабета и атеросклероза у человека.
Хром всасывается как из желудочно-кишечного тракта, так и из дыхательных
путей. Поглощаемое количество его неодинаково для каждой из этих систем и
зависит от формы хрома. Трехвалентный хром является эссенциальной формой
элемента для человека, шестивалентный хром - токсичен. Хром распределяется по
тканям человеческого организма в неодинаковых, но обычно низких концентрациях.
Уровни содержания хрома во всех тканях, помимо легких, снижаются с возрастом.
Наибольшие количества хрома у человека накапливаются в коже, мышцах и жировой
ткани. Гомеостатические механизмы, включая механизмы транспорта в печени и
кишечнике, препятствуют избыточному накоплению трехвалентного хрома. Хром
медленно выводится из организма, главным образом с мочой.
Сегодня принято считать нормой потребления около 150 мг хрома в сутки.
Особенно он полезен пожилым людям, организм которых плохо усваивает углеводы, а
хром усиливает процессы обмена именно этих соединений. Обнаружено, что
определенное соединение хрома, названное GTF (Glucose Tolerance Factor),
облегчает усвоение глюкозы, вернее, проникновение ее через мембрану внутрь
клеток.
Неорганический хром усваивается плохо, гораздо легче - в органических
соединениях, т. е. в той форме, в которой он находится в живых организмах.
У здоровых людей содержание хрома несколько завышено, что является
признаком полноценного усвоения глюкозы. Если усвоение Сахаров нарушено, содержание
этого элемента снижается.
Продукты питания значительно варьируются по уровням содержания хрома,
которые лежат в диапазоне от 20 до 550 мкг/кг. Богатыми источниками хрома
являются пивные дрожжи, печень (10-80 мкг/100 г). В меньших количествах этот
элемент содержится в картофеле с кожурой, говядине, свежих овощах, хлебе из
муки грубого помола, сыре.
Марганец. Он является необходимым элементом для животных и человека, но
из поступившего внутрь марганца всасывается лишь около 3%. Марганец необходим
как кофактор в ряде ферментных систем; он играет роль в правильном
функционировании флавопротеинов, в синтезе сульфированных мукополисахаридов,
холестерина, гемоглобина и во многих других процессах метаболизма.
Основными путями всасывания марганца являются дыхательный и
желудочно-кишечный тракты. Вследствие слабой растворимости марганца в
желудочном соке из желудочно-кишечного тракта всасывается только 3-4%
введенного количества вещества. Всасывание марганца тесно связано с усвоением
железа. Анемия ведет к повышению всасывания, как железа, так и марганца.
Выведение марганца из организма происходит частично за счет секреции
поджелудочной железы, а также непосредственно через кишечную стенку. Очень
небольшое количество марганца выводится с мочой.
Потребность в марганце составляет 0,2-0,3 мг на 1 кг веса человека в
день. Больше всего марганца содержится в клюкве и чае, немного меньше в
каштанах, какао, овощах, фруктах (100-200 мкг/100 г).
Никель. Никель признан незаменимым микроэлементом относительно недавно. В
настоящее время установлена его роль в качестве кофер-мента в процессах
метаболизма железа. При этом увеличение поступления в организм железа
сопровождается увеличением потребности в пищевом никеле. Кроме того, никель
способствует усвоению меди - еще одного незаменимого для кроветворения
элемента. При экспериментальных исследованиях препаратов никеля было показано
значительное ускорение регенерации эритроцитов и увеличение количества
гемоглобина. Важность пищевого или выделенного из натуральных продуктов никеля
подчеркивается тем, что синтетические соединения данного элемента относятся к
канцерогенным веществам.
Никель присутствует в большинстве пищевых продуктов, однако в
концентрациях ниже (и часто намного ниже) 1 мг/кг. Мало известно о химической
форме никеля в пищевых продуктах, хотя он, возможно, частично образует
комплексы с фитиновой кислотой. Поступление никеля с пищей, по имеющимся
данным, варьируется от менее чем 200 до 900 мкг/сут. С обычной диетой поступает
около 400 мкг/сут. Было показано, что в винах и в пиве содержание никеля равно,
соответственно, 100 и 50 мкг/л.
Цинк. Данный микроэлемент в качестве кофермента участвует в широком
спектре реакций биосинтеза белка (более 70) и метаболизма нуклеиновых кислот
(включая процессы репликации ДНК и транскрипции), обеспечивающих, в первую
очередь, рост и половое созревание организма. При этом цинк, наряду с
марганцем, является специфическим микроэлементом, влияющим на состояние половой
функции, а именно на активность некоторых половых гормонов, сперматогенез, развитие
мужских половых желез и вторичных половых признаков. Кроме того, в последнее
время рассматривается роль цинка в предотвращении гипертрофических процессов в
предстательной железе.
Цинк вместе с серой участвует в процессах роста и обновления кожи и волос.
Наряду с марганцем и медью цинк в значительной степени обеспечивает восприятие
вкусовых и обонятельных ощущений. Цинк в качестве незаменимого компонента
входит в состав молекулы инсулина, причем уровень его оказывается сниженным у
больных сахарным диабетом. Очень важно, что данный микроэлемент является
коферментом алкоголь-дегидрогеназы, обеспечивающей метаболизм этилового спирта.
При этом уровень всасываемости цинка при хроническом алкоголизме резко снижен.
Необходимо также учитывать участие цинка в порфириновом обмене, тесно связанном
с процессами кроветворения. Кроме того, цинк (наряду с витамином С) необходим
для активации фолиевой кислоты из связанной формы, после чего фолацин может
проникать внутрь клеток и включаться в процессы кроветворения. Другая важная
взаимосвязь цинка и витаминов прослеживается в отношении витамина А. Во-первых,
цинк в качестве кофермента способствует высвобождению витамина А из
внутрипеченочного "депо". Во-вторых, цинк необходим для трансформации
ретинола (собственно витамин А) в ретиналь, который участвует в образовании
зрительного пигмента сетчатки. Таким образом, так называемая "куриная
слепота" (т. е. нарушение ночного видения) может развиваться не только в
отсутствии витамина А, но и цинка. Цинк вместе с витамином B6 обеспечивает
метаболизм ненасыщенных жирных кислот и синтез простагландинов.
Цинк очень важен для процессов пищеварения и усвоения питательных
веществ. Так, цинк обеспечивает синтез важнейших пищеварительных ферментов в
поджелудочной железе, а также участвует в образовании хиломикронов -
транспортных частиц, в составе которых пищевые жиры могут всасываться в кровь.
Цинк наряду с витаминами группы В является важным регулятором функций
нервной системы. В условиях дефицита цинка могут возникать эмоциональные расстройства,
эмоциональная неустойчивость, раздражительность, а в очень тяжелых случаях -
нарушения функций мозжечка. Наконец, все больше данных накапливается в пользу
участия цинка в процессах созревания лимфоцитов и реакциях клеточного
иммунитета.
Первостепенная важность данного микроэлемента для функций организма
подчеркивается тем фактом, что цинк является одним из немногих минералов, для
которого описаны отдельные и совершенно специфичные синдромы недостаточности. В
случае дефицита цинка развивается так называемый энтеропатический дерматит. Он
особенно характерен для отдельных национальных групп, использующих в качестве
основной пищи бездрожжевой хлеб, в котором в очень большом количестве
обнаруживаются соли фитиновой кислоты, которые обычно разрушаются дрожжевой
фитазой. Фитаты связывают пищевой цинк в нерастворимые соединения.
Энтеропатический акродерматит сочетает в себе почти все нарушения тех важнейших
функций, в которых участвует цинк. Это и хронические поносы (вследствие
недостаточности пищеварительных ферментов и нарушения всасывания жиров), а
вследствие этого вторичный дефицит большинства других важнейших нутриентов;
нарушение роста (в первую очередь, костей); сухость и ранимость кожи, гнойный
дерматит, выпадение волос; нарушение ночного зрения и фотофобия; эмоциональная
неустойчивость, раздражительность, мозжечковая атаксия; иммунодефицитные
состояния.
Пища, несомненно, основной источник цинка. Содержание цинка в пищевых
продуктах обычно колеблется в пределах 150-25 000 мкг%. Однако в печени, мясе и
бобовых оно достигает 3000-5000 мкг%. Суточная потребность в цинке 8000-22 000
мкг%. Она вполне удовлетворяется обычным рационом. Среднесуточное поступление
цинка только с питьевой водой составляет порядка 400 мкг. Иногда, дефицит цинка
может испытывать организм детей и подростков, которые недостаточно употребляют
животные продукты.
Селен. Еще в середине XX в. селен не только не рассматривался наукой о
питании, но даже считался очень токсичным элементом с канцерогенными
свойствами. Однако уже в 60-х гг. было установлено, что причиной эндемической
кардиомиопатии у животных и людей (болезнь Ke-шана) является дефицит селена в
почве. В 70-е гг. свойства селена были всесторонне изучены и оказалось, что
данный элемент необходим для активации одного из ключевых ферментов
антиоксидантной системы организма - глутатионпероксидазы. Этот фермент
предотвращает активацию перекисного окисления липидов мембран - процесса,
который вызывает нарушение структурной и функциональной целостности мембран
клеток, способствует повышению проницаемости и снижению устойчивости клеточных
структур к повреждающим воздействиям. Особенно страдает при недостатке селена
сердечно-сосудистая система, что проявляется прогрессирующим атеросклерозом и
слабостью сердечной мышцы, а в условиях хронического дефицита селена может
развиваться практически неизлечимая кардиомиопатия. Кроме того, было показано,
что селен является необходимым коферментом иодпероксидазы - основного фермента
синтеза гормонов щитовидной железы, т. е. дефицит селена может в значительной
мере усугублять проявления йодной недостаточности, а назначение препаратов
одного только иода может быть малоэффективным. В последнее время на уровне
современных исследований находит подтверждение одно из важных наблюдений
древнекитайской медицины, указывающее на то, что адекватное обеспечение
организма селеном способствует замедлению процесса старения и ведет к
долголетию. Интересно заметить, что знаменитые лечебные сорта зеленого чая,
поставлявшиеся с целью достижения здоровья и долголетия в императорские дворцы
в Древнем Китае, выращивались в тех горных провинциях, в почвах которых уже в
настоящее время с помощью современных аналитических методов определяется
высокое содержание селена.
После открытия селена было установлено, что витамин E и селен действуют
на разные звенья одного процесса и являются строго взаимодополняющими друг
друга, то есть их антиокислительная активность при совместном применении резко
возрастает. Синергизм обоих антиоксидантов особенно интересен в контексте
противораковой активности. Так, было показано, что назначение препаратов селена
одновременно с витамином E значительно усиливало антиканцерогенный эффект в
отношении экспериментальных опухолей. В связи с этим интересно отметить, что
семена растений наряду с витамином E также содержат значительные количества
селена.
Поступление селена с пищей зависит от условий и характера потребления
пищи и уровня содержания селена в пищевых продуктах. Овощи и фрукты являются, в
основном, бедным источником поступления селена в отличие от зерна, зерновых
продуктов, мяса (особенно субпродуктов), продуктов моря, которые содержат
существенные количества селена, обычно намного превышающие 0,2 мг/кг в
пересчете на сырую массу. Химический состав почвы и содержание в ней селена
существенно влияют на количество селена в зерне, варьирующее в пределах от 0,04
мг/кг до 21 мг/кг.
Молибден. Общее количество молибдена в организме взрослого человека
составляет порядка 7 мг. Содержание молибдена в крови составляет около 0,5 мкг
на 100 мл. Более высокие концентрации этого элемента были обнаружены у людей,
проживающих в регионах, где почва наиболее богата соединениями этого металла.
Так, в некоторых районах Армении отмечены частые случаи заболевания подагрой у
жителей, которые питаются в основном местными продуктами, в которых были
обнаружены чрезвычайно высокие уровни молибдена. Содержание его в рационе
питания жителей этого района составляло 10-15 мг. В других районах, где случаи
подагры встречались реже, люди с пищей получали всего 1-2 мг молибдена в день.
Молибден является составной частью ряда ферментов, таких как
ксан-тиноксидоза, альдегидоксидаза, сульфатоксидаза. Известно, что молибден
тормозит развитие кариеса.
Предполагаемая дневная потребность в молибдене составляет 2 мкг на 1 кг
массы тела. В России суточное потребление молибдена составляет 0,27 мг.
Наиболее богаты молибденом различные виды овощей (например бобовые) и
внутренние органы животных.
Кобальт. Биологическое действие кобальта известно с 1948 г., когда
учеными Рикесом и Смитом было установлено, что атом кобальта является
центральным в молекуле витамина B12. Максимальная концентрация кобальта в
тканях равна около 100 мкг/кг. Общее содержание кобальта в организме взрослого
человека составляет 5 мг. Человек с пищей ежедневно получает 5,63-7,94 мкг кобальта,
из которых 73-97% усваивается.
Средняя суточная потребность в кобальте составляет 60 мкг на 1 кг массы
тела. Считают, что человек нуждается в кобальте только в виде цианокобаламина
(витамин B12). В некоторых странах соединения кобальта применяли в качестве
пищевой добавки к пиву для стабилизации пены. Однако выяснилось, что такая
добавка явилась причиной сердечных заболеваний у потребителей пива. Поэтому в
настоящее время от использования соединений кобальта в виде пищевой добавки
отказались.
.3 ВЛИЯНИЕ
ТЕХНОЛОГИЧЕСКОЙ ОБРАБОТКИ НА МИНЕРАЛЬНЫЙ СОСТАВ ПИЩЕВЫХ ПРОДУКТОВ
При переработке пищевого сырья, как правило, происходит снижение
содержания минеральных веществ (кроме добавления пищевой соли). В растительных
продуктах они теряются с отходами. Так, содержание ряда макро- и особенно
микроэлементов при получении крупы и муки после обработки зерна снижается, так
как в удаляемых оболочках и зародышах этих компонентов находится больше, чем в
целом зерне. Сравнительный анализ минерального состава в пшеничной муке высшего
сорта и муки из цельносмолотого зерна приведен ниже (содержание элементов
указано в мг/100 г продукта):
|
Цельнозерновая
|
Высокоочищенная
|
|
Ca
|
41
|
16
|
|
P
|
372
|
87
|
|
Fe
|
3,3
|
0,8
|
|
К
|
370
|
95
|
|
Mg
|
60
|
16
|
|
Zn
|
3,50
|
0,07
|
|
Cu
|
1,00
|
0,32
|
|
Mo
|
0,14
|
0,02
|
|
Mn
|
3,20
|
0,83
|
|
Cr
|
0,014
|
0,002
|
Например, в среднем, в зерне пшеницы и ржи зольных элементов содержится
около 1,7%, в муке же в зависимости от сорта от 0,5 (в высшем сорте) до 1,5% (в
обойной). При очистке овощей и картофеля теряется от 10 до 30% минеральных веществ.
Если их подвергают тепловой кулинарной обработке, то в зависимости от
технологии (варки, обжаривании, тушении) теряется еще от 5 до 30%.
Мясные, рыбные продукты и птица в основном теряют такие макроэлементы,
как кальций и фосфор, при отделении мякоти от костей.
При тепловой кулинарной обработке (варке, жарении, тушении) мясо теряет
от 5 до 50% минеральных веществ. Однако если обработку вести в присутствии
костей, содержащих много кальция, то возможно увеличение содержания кальция в
кулинарно обработанных мясных продуктах на 20%.
В технологическом процессе за счет недостаточно качественного
оборудования может переходить в конечный продукт некоторое количество
микроэлементов. Так, при изготовлении хлеба при тестоприготовлении в результате
контакта теста с оборудованием содержание железа может увеличиваться на 30%.
Этот процесс нежелательный, поскольку вместе с железом в продукт могут
переходить и токсичные элементы, содержащиеся в виде примесей в металле. При
хранении консервов в жестяных сборных (то есть спаянных) банках с некачественно
выполненным припоем или при нарушении защитного лакового слоя в продукт могут
переходить такие высокотоксичные элементы как свинец, кадмий, а также олово.
Следует учесть, что ряд металлов, таких как железо и медь, даже в
небольших концентрациях могут вызвать нежелательное окисление продуктов. Их
каталитические окислительные способности особенно ярко проявляются в отношении
жиров и жировых продуктов. Так, например, при концентрации железа выше 1,5
мг/кг и меди 0,4 мг/кг при длительном хранении сливочного масла и маргаринов
эти металлы вызывают прогоркание продуктов. При хранении напитков в присутствии
железа выше 5 мг/л и меди 1 мг/л при определенных условиях часто может
наблюдаться помутнение напитков.
5.4 МЕТОДЫ
ОПРЕДЕЛЕНИЯ МИНЕРАЛЬНЫХ ВЕЩЕСТВ
Для анализа минеральных веществ в основном используются физико-химические
методы - оптические и электрохимические.
Практически все эти методы требуют особой подготовки проб для анализа,
которая заключается в предварительной минерализации объекта исследования.
Минерализацию можно проводить двумя способами: "сухим" и
"мокрым". "Сухая" минерализация предполагает проведение при
определенных условиях обугливания, сжигания и прокаливания исследуемого образца.
"Мокрая" минерализация предусматривает еще и обработку объекта
исследования концентрированными кислотами (чаще всего HNO3 и H2SO4).
Спектральные методы анализа
Фотометрический анализ (молекулярная абсорбционная спектроскопия). Он
используется для определения меди, железа, хрома, марганца, никеля и других
элементов. Метод абсорбционной спектроскопии основан на поглощении молекулами
вещества излучений в ультрафиолетовой, видимой и инфракрасной областях
электромагнитного спектра. Анализ можно проводить спектрофотометрическим или
фотоэлектроколориметрическим методами.
Фотоэлектроколориметрия - анализ, основанный на измерении поглощения
окрашенными растворами монохроматического излучения видимой области спектра.
Измерения проводят с помощью фотоэлектроколориметров, снабженных узкополосыми светофильтрами.
Если исследуемое вещество не окрашено, его необходимо перевести в окрашенное
соединение, проведя химическую реакцию с определенными реагентами
(фотометрическую аналитическую реакцию).
Спектрофотометрия - метод анализа, основанный на измерении поглощения
монохроматического излучения в ультрафиолетовой, видимой и инфракрасной
областях спектра. Такие измерения проводят с помощью спектрофотометров, где в
качестве монохроматизаторов используются диспергирующие призмы и дифракционные
решетки.
Количественный анализ исследуемого иона обычно проводят методом
градуировочного графика.
Эмиссионный спектральный анализ. Методы эмиссионного спектрального
анализа основаны на измерении длины волны, интенсивности и других характеристик
света, излучаемого атомами и ионами вещества в газообразном состоянии.
Эмиссионный спектральный анализ позволяет определить элементарный состав
неорганических и органических веществ.
Интенсивность спектральной линии определяется количеством возбужденных
атомов в источнике возбуждения, которое зависит не только от концентрации
элемента в пробе, но и от условий возбуждения. При стабильной работе источника
возбуждения связь между интенсивностью спектральной линии и концентрацией
элемента (если она достаточно мала) имеет линейный характер, т. е. в данном
случае количественный анализ можно также проводить методом градуировочного
графика.
Наибольшее применение в качестве источника возбуждения получили
электрическая дуга, искра, пламя. Температура дуги достигает 5000- 6000°C. В
дуге удается получить спектр почти всех элементов. При искровом разряде
развивается температура 7000- 10 000°C и происходит возбуждение всех элементов.
Пламя дает достаточно яркий и стабильный спектр испускания. Метод анализа с
использованием в качестве источника возбуждения пламени называют
пламенно-эмиссионным анализом. Этим методом определяют свыше сорока элементов
(щелочные и щелочно-земельные, Cu2+, Mn2+ и др.).
Атомно-абсорбционная спектроскопия. Метод основан на способности
свободных атомов элементов в газах пламени поглощать световую энергию при
характерных для каждого элемента длинах волн.
В атомно-абсорбционной спетроскопии практически полностью исключена
возможность наложения спектральных линий различных элементов, т. к. их число в
спектре значительно меньше, чем в эмиссионной спектроскопии.
Уменьшение интенсивности резонансного излучения в условиях
атомно-абсорбционной спетроскопии подчиняется экспоненциальному закону убывания
интенсивности в зависимости от толщины слоя и концентрации вещества,
аналогичному закону Бугера- Ламберта- Бера
/J0 = A = klc,
где J0- интенсивность падающего монохроматического света, J-
интенсивность прошедшего через пламя света, k - коэффициент поглощения, l -
толщина светопоглощающего слоя (пламени), с - концентрация.
Постоянство толщины светопоглощающего слоя (пламени) достигается с
помощью горелок специальной конструкции.
Методы атомно-абсорбционного спектрального анализа находят широкое
применение для анализа практически любого технического или природного объекта,
особенно в тех случаях, когда необходимо определить небольшие количества
элементов.
Методики атомно-абсорбционного определения разработаны более чем для 70
элементов.
Электрохимические методы анализа
Ионометрия. Метод служит для определения ионов K+, Na+, Ca2+, Mn2+, F-,
I-, Сl- и т. д.
Метод основан на использовании ионоселективных электродов, мембрана
которых проницаема для определенного типа ионов (отсюда, как правило, высокая
селективность метода).
Количественное содержание определяемого иона проводится либо с помощью
градуировочного графика, который строится в координатах Е-рС, либо методом
добавок. Метод стандартных добавок рекомендуется использовать для определения
ионов в сложных системах, содержащих высокие концентрации посторонних веществ.
Полярография. Метод переменно-токовой полярографии используют для
определения токсичных элементов (ртуть, кадмий, свинец, медь, железо).
Метод основан на изучении вольтамперных кривых, полученных при
электролизе электроокисляющегося или электровосстанавливающегося вещества. В
качестве индикаторного электрода в полярографии чаще всего применяют ртутный
капельный электрод, иногда твердые микроэлектроды - платиновый, графитовый. В
качестве электрода сравнения используют либо ртуть, налитую на дно электролизера,
либо насыщенный каломельный полуэлемент.
По мере увеличения напряжения наступает момент, когда все ионы,
поступающие к электроду за счет диффузии, немедленно разряжаются и концентрация
их в приэлектродном слое становится постоянной и практически равной нулю. Ток,
протекающий в это время в цепи, называют предельным диффузионным током.
Количественный полярографический анализ основан на использовании прямой
пропорциональной зависимости величины диффузионного тока от концентрации
определяемого элемента.
Контрольные вопросы
1. Какие химические элементы относятся к макроэлементам?
2. Какие функции выполняют минеральные вещества в организме
человека?
3. Какова роль кальция в организме человека?
4. Какие химические элементы относят к микроэлементам и каковы их
функции в организме человека?
. Какую роль играет железо в организме человека и в каких пищевых
продуктах оно содержится?
. Какие последствия могут наблюдаться при дефиците иода в
организме и как этого можно избежать?
. Какие виды технологической обработки сырья и пищевых продуктов
способствуют потере минеральных веществ?
. Приведите примеры взаимодействия некоторых микроэлементов и
витаминов.
. Какие методы определения содержания макро- и микроэлементов вы
знаете?
ГЛАВА 6.
ВИТАМИНЫ
Витамины - низкомолекулярные органические соединения различной химической
природы, биорегуляторы процессов, протекающих в живом организме. Это важнейший
класс незаменимых пищевых веществ. Для нормальной жизнедеятельности человека
витамины необходимы в небольших количествах, но так как организм не может
удовлетворить свои потребности в них за счет биосинтеза (он не синтезирует
витамины или синтезирует их в недостаточном количестве), они должны поступать с
пищей в качестве ее обязательного компонента. Из витаминов образуются коферменты
или простетические группы ферментов, некоторые из них участвуют в транспортных
процессах через клеточные барьеры, в защите компонентов биологических мембран и
т. д. Отсутствие или недостаток в организме витаминов вызывает болезни
недостаточности: гиповитаминозы (болезни в результате длительного недостатка) и
авитаминозы (болезни в результате отсутствия или резко выраженного глубокого
дефицита витаминов). Недостаток одного витамина относят к моногиповитаминозам,
нескольких - полигиповитаминозам. При гиповитаминозах наблюдается утомляемость,
потеря аппетита, раздражительность, нестойкость к заболеваниям, кровоточивость
десен. При авитаминозах проявляются болезни, вызванные значительным дефицитом
витаминов (бери-бери, цинга, пеллагра и др.). По мнению некоторых специалистов,
существуют пограничные состояния, при которых в определенных условиях может
развиться дефицит витаминов.
Основная причина нехватки витаминов в организме человека - недостаточное
их поступление с пищей (первичные, экзогенные авитаминозы), однако в отдельных
случаях наблюдается эндогенные или вторичные авитаминозы, связанные с
нарушением процессов усвоения витаминов в организме. По данным института
питания РАМН (В. Б. Спиричев) наиболее важными причинами гипо- и авитаминоза (в
обобщенном виде) являются следующие:
1. Недостаточное поступление витаминов с пищей, связанное с их
низким содержанием в рационе, снижением общего количества потребляемой пищи,
потерями витаминов в ходе технологического потока.
2. Угнетение кишечной микрофлоры, продуцирующей некоторые витамины.
. Нарушение ассимиляции витаминов.
. Повышенная потребность в витаминах, связанная с особенностями
физиологического состояния организма или интенсивной физической нагрузкой,
особыми климатическими условиями.
. Врожденные генетически обусловленные нарушения обмена и функций
витаминов.
При приеме витаминов в количестве, значительно превышающем
физиологические нормы, могут развиться гипервитаминозы. Это особенно характерно
для жирорастворимых витаминов.
Людям еще в глубокой древности было известно, что отсутствие некоторых
продуктов в пищевом рационе может быть причиной заболеваний (бери-бери,
"куриной слепоты", цинги, рахита), но только в 1880 г. русским ученым
H. И. Луниным была экспериментально доказана необходимость неизвестных в то
время компонентов пищи для нормального функционирования организма. Свое
название они получили, по предложению польского биохимика К. Функа (от лат.
vita - жизнь), выделившего необходимый для жизнедеятельности человека фактор из
рисовых отрубей (витамин B1), который оказался амином. Сейчас известно свыше
тринадцати соединений, относящихся к витаминам. Различают собственно витамины и
витаминоподобные соединения (полная незаменимость которых не всегда доказана).
К ним относятся биофлавоноиды (витамин P), пангамовая кислота (витамин B15),
парааминобензойная кислота (витамин H1), оротовая кислота (витамин B13), холин
(витамин B4), инозит (витамин H3), метилметионинсульфоний (витамин U), липоевая
кислота, карнитин. Витаминоподобные соединения могут быть отнесены к важным
биологически активным соединениям пищи, выполняющим разнообразные функции. В
отдельных продуктах содержатся провитамины - соединения, способные превращаться
в организме человека в витамины, например β-каротин, превращающийся в витамин А;
эргостеролы, под действием ультрафиолетовых лучей они превращаются в витамин D.
Так как химическая природа витаминов была открыта после установления их
биологической роли, их условно обозначили буквами латинского алфавита (А, В, С,
D и т. д.); они сохранились и до настоящего времени для обозначения групп
соединений, родственных по структуре, с общими биохимическими функциями
(витамеры).
По растворимости витамины могут быть разделены на две группы (табл. 6.1):
водорастворимые (B1, B2, B6, PP, С и др.) и жирорастворимые (A, D, E, К).
Таблица 6.1. Номенклатура, классификация витаминов и витаминоподобных
соединений
|
I. Водорастворимые витамины
|
|
Витамины, представленные
преимущественно одним соединением
|
|
Рекомендуемое наименование
|
Старые наименования
|
|
Тиамин
|
Витамин B1 (анейрин)
|
|
Рибофлавин
|
Витамин B2 (лактофлавин)
|
|
Пантотеновая кислота
|
Витамин B3 или B5
|
|
Биотин
|
Витамин H
|
|
Аскорбиновая кислота
|
Витамин С
|
|
Семейства витаминов
|
|
Рекомендуемое групповое
название
|
Индивидуальные
представители
|
|
Витамин В6
|
Пиридоксин; пиридоксаль;
пиридоксамин
|
|
Ниацин (витамин PP)
|
Никотиновая кислота;
никотинамид
|
|
Фолацин
|
Фолиевая кислота;
тетрагидрофилиевая кислота и ее производные
|
|
Кобаламины (витамин B12)
|
Цианокобаламин;
оксикобаламин; метилкобаламин
|
|
II. Жирорастворимые
витамины
|
|
Рекомендуемое групповое
название
|
Индивидуальные
представители
|
|
Витамин А
|
Ретинол; ретинилацетат;
ретиналь; ретиноевая кислота
|
|
Витамин D (кальциферолы)
|
Эргокальциферол (витамин
D2); холекальциферол (витамин D3)
|
|
Витамин Е
|
α-,
β-, γ- и σ-Токоферолы; α-, β-, γ- и σ-токотриенолы
|
|
Витамин К
|
2-Метил-3-фитил-1,4-нафгохинон
(филлохи-нон, витамин K1); менахиноны (витамины K2); 2-метил-1,4-нафтохинон
(менадион, витамин K2)
|
|
III. Витаминоподобные
соединения
|
|
Технологическая функция
|
Наименование соединения
|
|
Незаменимые пищевые
вещества с пластической функцией
|
Холин; инозит (миоинозит,
мезоинозит)
|
|
Биологически активные
вещества, синтезируемые в организме человека
|
Липоевая кислота; оротовая
кислота; карнитин
|
|
Фармакологически активные
вещества пищи
|
Биофлавоноиды;
метилметионинсульфоний (витамин U); пангамовая кислота (витамин B15)
|
|
Факторы роста
микроорганизмов
|
Парааминобензойная кислота
|
В качестве единицы измерения пользуются миллиграммами (1 мг = 10-3 г),
микрограммами (1 мкг = 0,01 мг = 10-6 г) на 1 г продукта или мг% (миллиграммы
витаминов на 100 г продукта) и мкг% (микрограммы витаминов на 100 г продукта).
Потребность человека в витаминах зависит от его возраста, состояния здоровья,
условий жизни, характера деятельности, содержания в пище основных компонентов
питания. Сведения о потребности взрослого человека в витаминах приведены в
табл. 6.2.
Таблица 6.2. Нормы рекомендуемой физиологической потребности в витаминах
в сутки для взрослого населения
|
Витамины
|
Форма продукта
|
EEC общая*
|
Норма МЗ**
|
|
Витамин А
|
Ретинола эквивалент
|
800 мкг
|
900 мкг
|
|
Ретинола ацетат/пальмитат
|
2667 ME
|
3000 ME
|
|
Витамин D
|
Холекальциферол
|
5 мкг
|
2,5 мкг
|
100 ME
|
|
Витамин E
|
Токоферола эквивалент
|
10 мг
|
9 мг
|
|
dl-α-токоферола ацетат
|
14,9 мг
|
14,9 мг
|
|
Витамин К1
|
|
80 мкг (RDA, США)
|
-
|
|
Витамин B1
|
Тиамин
|
1,4 мг
|
1,2-2,1 мг
|
|
Тиамина гидрохлорид
|
1,8 мг
|
1, 6-2,7 мг
|
|
Тиамина моногидрат
|
1,7мг
|
-
|
|
Витамин B2
|
Рибофлавин
|
1,6 мг
|
1, 5-2,4 мг
|
|
Рибофлавин-5'-фосфат
|
2,3 мг
|
2,1 -3,4 мг
|
|
Витамин B6
|
Пиридоксин
|
2,0 мг
|
2,0 мг
|
|
Пиридоксина гидрохлорид
|
2,44 мг
|
2,44 мг
|
|
Витамин PP
|
Ниацин/ниацинамид
|
18мг
|
16-28 мг
|
|
Витамин B3
|
Пантотеновая кислота
|
6 мг
|
-
|
|
Пантотенат кальция
|
6,66 мг
|
-
|
|
Фолиевая кислота
|
|
200 мкг
|
200 мкг
|
|
Витамин B12
|
|
1 мкг
|
3 мкг
|
|
Биотин
|
|
150 мкг
|
-
|
|
Витамин С
|
Аскорбиновая кислота
|
60 мг
|
70-100 мг
|
|
Аскорбат натрия
|
67,2 мг
|
-
|
* EEC- рекомендуемая суточная потребность, EEC 90/496 (Европейское
Экономическое Сообщество).
** Норма МЗ СССР - норма физиологических потребностей в пищевых веществах
и энергии для различных групп населения, СССР, Москва, 1991 г. Использованы данные
по нормам физиологических потребностей для взрослого населения (в день).
В то же время имеется группа соединений, близких к витаминам по строению,
которые, конкурируя с витаминами, могут занять их место в ферментных системах,
но не в состоянии выполнить их функции. Они получили название антивитаминов
(см. раздел 11.4).
.1
ВОДОРАСТВОРИМЫЕ ВИТАМИНЫ
Витамин С (L-аскорбиновая кислота). Впервые выделен из лимона. В
химическом отношении представляет собой γ-лактон 2,3-дегидро-4-гулоновой
кислоты, легко переходит в окисленную форму - L-дегидроаскорбиновую кислоту.
Необходим для нормальной жизнедеятельности человека: противоцинготный
фактор, участвует во многих видах окислительно-восстановительных процессов,
положительно действует на центральную нервную систему, повышает
сопротивляемость человека к экстремальным воздействиям, участвует в обеспечении
нормальной проницаемости стенок капиллярных сосудов, повышает их прочность и
эластичность, способствует лучшему усвоению железа, нормальному кроветворению.
При нехватке витамина С наблюдается сонливость, утомляемость, снижается
сопротивляемость организма человека к простудным заболеваниям, при авитаминозе
развивается цинга. Важнейшая физиологическая функция витамина - способность
обратно окисляться в дегидроаскорбиновую кислоту под действием
аскарбатоксидазы, с образованием окислительно-восстановительной системы и
переносом протонов и электронов.
Установлена важная роль витамина С в синтезе ряда гормонов и
нейротрансмиттеров, метаболизме фолиевой кислоты и аминокислот, его
антиоксидативные функции, которые усиливаются в присутствии антиоксидантов:
витамина E и β-каротина. Широкое применение в пищевой промышленности нашли
аскорбат кальция и аскорбилпальмитат.
Все необходимое количество витамина С человек получает с пищей. Основные
его источники - овощи, фрукты, ягоды: в свежем шиповнике 300-20 000 мг%, черной
смородине 200-500 мг%, капусте 50-70 мг%, молодом картофеле 20-30 мг%. Витамин
С крайне нестоек, легко разрушается кислородом воздуха в присутствии следов
железа и меди, более устойчив в кислой среде, чем в щелочной, мало чувствителен
к свету. В силу нестойкости его содержание в овощах и плодах при их хранении
быстро снижается. Исключение - свежая и квашеная капуста. При тепловой
обработке пищи разрушается на 25-60%.
Витамин С используется для обогащения соков, водорастворимых напитков,
сухих завтраков, молока, в качестве хлебопекарного улучшителя, для сохранения
цвета мясных продуктов совместно с нитратами и нитритами.
Витамин В1 (тиамин, аневрин). Тиамин участвует в регулировании
углеводного обмена, а также в реакциях энергетического обмена. Недостаток его
вызывает нарушение в работе нервной, сердечно-сосудистой, пищеварительной
систем, полиневрит (бери-бери). Действующей в организме формой витамина В1
является его тиаминдифосфат (ТДФ, кокарбоксилаза).
Кокарбоксилаза - простетическая группа ряда ферментов, биологическая
функция которой декарбоксилирование пировиноградной кислоты (CH3COCOOH) и
расщепление С-С-связей α-кетокислот и α-кетоспиртов.
Витаминзависимые ферменты - пируватдегидрогеназа,
а-кетоглуто-матдегидрогеназа, транскетолаза.
Основные источники витамина B1 - продукты из зерна: пшеничный и ржаной
хлеб, хлеб из муки грубого помола, некоторые крупы (в овсяной - 0,5 мг%, ядрице
- 0,4 мг%), бобовые (в горохе - 0,8 мг%, фасоли 0,5 мг%), свинина - 0,5-0,6
мг%, шрот соевый - 2,2 мг%. Витамин B1 содержится в периферийных частях зерна,
и при помоле переходит в отруби (рис. 6.1). Для увеличения содержания тиамина
на мельзаводах проводят обогащение муки высшего и I сорта синтетическим
тиамином.
Витамин В1 используют для обогащения продуктов из риса, детского питания,
молока и молочных продуктов, зерновых продуктов быстрого приготовления. Витамин
В1 стоек к действию кислорода, кислот, редуцирующих веществ, чувствителен к
действию света, температуры. В щелочной среде легко разрушается, например, при
добавлении в тесто щелочных разрыхлителей: соды, углекислого аммония.
Расщепляется и под влиянием фермента тиаминазы, который содержится в сырой
рыбе, но разрушается при ее варке.
Витамин B2 (рибофлавин). Участвует в качестве кофермента
флавинмонуклеотида в ферментных системах, катализирующих транспорт электронов и
протонов в окислительно-восстановительных реакциях, протекающих в живом
организме. Участвует в обмене белка, жира, нормализует функцию нервной,
пищеварительных систем. Koферментам витамина B2 принадлежит важная роль при
превращениях B6 и фолиевой кислоты в их активные коферментные формы, триптофана
в ниацин. При недостатке рибофлавина возникают заболевания кожи (себорея,
псориаз), воспаление слизистой оболочки ротовой полости, появляются трещины в
углах рта, развиваются заболевания кровеносной системы и желудочно-кишечного
тракта.
Источники витамина B2 (содержание, мг%) в молочных продуктах: молоке -
0,15, твороге - 0,3, сыре - 0,4; в яйцах - 0,4; в хлебе - 0,1; в ядрице - 0,2;
в мясе - 0,1-0,2; в печени - 2,2; в бобовых - 0,15; в овощах и фруктах -
0,01-0,06.
Некоторое количество витамина B2 поступает в организм человека в
результате деятельности кишечной микрофлоры. Витамин B2 устойчив к повышенным
температурам, окислению, не разрушается в кислой среде, нестоек к действию
восстановителей в щелочной среде, разрушается под действием света.
Пантотеновая кислота (по греч.- "вездесущий"; витамин B3).
Входит в качестве кофермента А (коэнзим A, KoA) в состав ферментов
биологического ацилирования, участвует в биосинтезе и окислении жирных кислот,
липидов, синтезе холестерина, стероидных гормонов.
Отсутствие пантотеновой кислоты в организме вызывает вялость, дерматит,
выпадение волос, онемение пальцев ног. Признаки гиповитаминоза у человека
наблюдаются редко, т. к. кишечная палочка синтезирует B3. Пантотеновая кислота
широко распространена в природе. Основные источники (мг%): печень и почки -
2,5-9; гречиха - 2,6; рис - 1,7-2,1; овес - 2,5; яйца - 1,4-2,7. Кулинарная
обработка не приводит к значительному разрушению пантотеновой кислоты, но до
30% ее может переходить в воду при варке. Чувствительна к действию кислот,
оснований.
Витамин PP (ниацин). Под этим названием имеют в виду два вещества,
обладающих практически одинаковой витаминной активностью: никотиновая кислота и
ее амид (никотинамид).
Ниацин является коферментом никотинамидадениндинуклеотид (НАД) и
никотинамидадениндинуклеотидфосфат (НАДО) большой группы НАД- и НАДФ-зависимых
ферментов дегидрогеназы, участвующих в окислительно-восстановительных реакциях,
протекающих в клетках. Никотинамидные KO-ферменты играют важную роль в тканевом
дыхании. При недостатке витамина PP в организме наблюдается вялость, быстрая
утомляемость, бессонница, сердцебиение, пониженная сопротивляемость к
инфекционным заболеваниям. Ниацин способствует усвоению растительного белка,
поэтому он важен для лиц, не употребляющих животные белки. Он участвует в
углеводном обмене, способствует деятельности желудочно-кишечного тракта.
При значительном недостатке развивается пеллагра (от итал. pella -
шершавая кожа) - тяжелое заболевание, приводящее к расстройству слизистой
полости рта и желудка, появляются пятна на коже, нарушаются функции нервной и
сердечно-сосудистой систем, психики. Потребность в ниацине покрывается за счет
его поступления с пищей и образования из триптофана (из 60 мг триптофана,
поступающего с пищей, образуется 1 мг ниацина). Это необходимо учитывать при
оценке пищевых продуктов, как источников витамина PP. Например, в районах, в
которых важным источником питания являются бедные триптофаном кукуруза и сорго,
наблюдается РР-витаминная недостаточность и заболевание пеллагрой.
Источники витамина PP - мясные продукты (особенно печень и почки): говядина
содержит его - 4,7; свинина - 2,6; баранина - 3,8; субпродукты - 3,0-12,0 мг%.
Богата ниацином и рыба: 0,7-4,0 мг%. Молоко и молочные продукты, яйца бедны
витамином PP, но с учетом содержания триптофана они - удовлетворительные его
источники. В ряде злаковых и получаемых из них продуктов витамин PP находится в
связанной форме и практически не усваивается организмом. Содержание ниацина в
овощах и бобовых невелико. При размоле зерна теряется до 80% ниацина (рис.
6.2). Ниацин используют для обогащения кукурузных и овсяных хлопьев, муки.
Витамин PP хорошо сохраняется в продуктах питания, не разрушается под
действием света, кислорода воздуха, в щелочных и кислых растворах. Кулинарная
обработка не приводит к значительным потерям ниацина, однако часть его (до 25%)
может переходить при варке мяса и овощей в воду.
Витамин B6 (пиридоксин). Существует в трех различных химических формах:
пиридоксин, пиридоксоль, пиридоксаль, пиридоксамин. Участвует в синтезе и
превращениях амино- и жирных кислот в качестве кофермента пиридоксальфосфата
(ПАЛФ) в пиридоксальных ферментах азотистого обмена. Необходим для нормальной
деятельности нервной системы, органов кроветворения, печени. Недостаток
вызывает дермиты.
Витамин B6 широко распространен в природе. Основные его источники для
человека (мг%): мясные продукты - 0,3-0,4; рыба - 0,1-0,2; соя и фасоль - 0,9;
крупы (ядрица) - 0,4; пшено - 0,52; картофель - 0,30. Он устойчив к повышенным
температурам, кислотам, разрушается на свету и в щелочных средах. Некоторое
количество витамина B6 поступает в организм в результате деятельности кишечной
микрофлоры. Витамин B6 в виде пиридоксин гидрохлорида используется для
обогащения муки, изделий из зерна, молочных продуктов, продуктов
лечебно-профилактического и детского питания.
Фолиевая кислота (витамин B9, фолацин). Под названием фолацин выступают
два витамина: собственно фолиевая кислота и тетрагидрофолиевая кислота.
Название произошло от лат. folium - лист. Участвует в процессах кроветворения,
переносе одноуглеродных радикалов, синтезе амино- и нуклеиновых кислот, холина,
пуриновых и пиримидиновых оснований в качестве кофермента тетрагидрофолиевой
кислоты (ТГФК) соответствующих ферментов. Фолиевая кислота необходима для
деления клеток, роста органов, нормального развития зародыша и плода, функционирования
нервной системы.
Фолиевая кислота широко распространена в природе. Много ее (мкг%) в
зелени и овощах (петрушка - 110, салат - 48, фасоль - 3, шпинат - 80), в печени
- 240, почках - 56, хлебе - 16-27, твороге - 35-40; мало в молоке - 5 мкг%. В
значительных количествах она вырабатывается микрофлорой кишечника. Недостаток
фолиевой кислоты проявляется в нарушениях кроветворения (анемия, лейкемия),
работе пищеварительной системы, снижении сопротивляемости организма к
заболеваниям. Применяется для борьбы с болезнями кроветворной системы
(злокачественные анемии, лучевые заболевания, лейкозы, гастроэнтероколиты).
Фолиевая кислота разрушается при термообработке, действии света. При
пастеризации молока теряется 75% фолиевой кислоты. Легко разрушается в овощах
при их переработке (до 90%). Однако в мясопродуктах и яйцах она устойчива. При
кулинарной обработке мяса ее потери невелики.
Витамин B12 (цианокобаламин, оксикобаламин, антианемический витамин).
Является наиболее сложным химическим соединением среди витаминов.
При замене группы -C≡N на группу -ОН в молекуле цианокобала-мина
образуется гидроксикобаламин, который в последнее время считается истинным
витамином B12. В организме человека кобаламины превращаются в кобаламид -
кофермент B12. Участвует в процессах кроветворения, превращениях аминокислот,
биосинтезе (совместно с фолиевой кислотой) нуклеиновых кислот. При недостатке
витамина В12 наступает слабость, падает аппетит, развивается злокачественное
малокровие, нарушается деятельность нервной системы. Для эффективного усвоения
этого витамина организмом человека необходим внутренний фактор гликопротеид (с
молекулярной массой около 9300) слизистой желудка (внутренний фактор Костла),
недостаток которого препятствует его всасыванию. Витамин B12 содержится в
продуктах животного происхождения; им богаты (мкг%) печень (50-100), дрожжи
(50-60), почки (20-30); в рыбе - 10, говядине - 2-6, сыре - 1-2, молоке - 0,4
мкг%. Витамин применяется при лечении анемий, для нормализации функций
кроветворения, в неврологии (полиневрит, радикулит). Разрушается при длительном
действии световых лучей, в кислой и щелочной среде; термостабилен.
Биотин (витамин H, от нем. Haut - кожа). Входит в состав ферментов,
катализирующих обратимые реакции карбоксилирования - декарбоксилирования,
участвуя в биосинтезе липидов, аминокислот, углеводов, нуклеиновых кислот.
Биотин необходим для нейтрализации авидина - H-белка сырого яичного белка,
вытесняющего биотин из ферментных систем, образующих с ним нерастворимый
комплекс (авидин-биотин), который не проходит через стенки кишечника.
При недостатке возникает депигментация и дерматит кожи, нервные
расстройства. Потребность в биотине удовлетворяется за счет продуктов питания и
его биосинтеза микрофлорой кишечника. Биотин содержится в большинстве пищевых
продуктов. Основные источники биотина (мкг%): печень и почки - 80-140, яйца -
28. В молоке, мясе - до 3 мкг%. Из растительных продуктов богаты биотином
продукты переработки зерна (мкг%): пшеничный хлеб - 4,8; овсяная крупа - 20;
соя - 60; горох - 20. В процессе кулинарной обработки продуктов питания биотин
практически не разрушается. Используется в качестве стимулятора при росте
хлебопекарных дрожжей.
.2
ЖИРОРАСТВОРИМЫЕ ВИТАМИНЫ
Витамин А. Встречается в качестве четырех индивидуальных представителей:
ретинол, ретин ил ацетат, ретиналь, ретиноевая кислота. Ретинол в химическом
отношении - непредельный одноатомный спирт, состоящий из β-ионового кольца и боковой цепи из
двух остатков изопрена, имеющих первичную спиртовую группу. Он имеет два
витамера A1 и A2 (у A2 - дополнительная двойная связь в β-ионовом кольце). Витамин А был открыт
в неомыляемой фракции жиров в 1912 г. Он участвует в биохимических процессах,
связанных с деятельностью мембран клеток функционирования органов зрения. В
форме ретинола витамин А является простетической группой зрительного белка -
родопсина.
При недостатке ретинолаза медляется рост развивающегося организма,
нарушается зрение (ксерофтальмия - сухость роговых оболочек; "куриная
слепота"), особенно его адаптация к различной освещенности
(гемералопия),происходит ороговение слизистых оболочек, появляются трещины
кожи.
Обнаружен витамин только в продуктах животного происхождения, особенно
много его в печени морских животных и рыб. В рыбьем жире - 15, печени трески -
4, в сливочном масле - 0,5, молоке - 0,025 мкг% витамина А.
Потребность человека в витамине А может быть удовлетворена и за счет
растительной пищи, в которой содержатся его провитамины - каротины. Из молекулы
β-каротина в организме человека
образуется две молекулы витамина А. β-Каротина больше всего в моркови -
9,0, красном перце - 2, помидорах - 1, сливочном масле - 0,2-0,4 мкг%.
Ретинол легко окисляется и разрушается под действием света на воздухе.
При кулинарной обработке разрушается до 30% витамина А.
Витамины группы D. Под этим термином понимают несколько соединений,
относящихся к стеринам; наиболее активны - эргокальциферол (D2) и
холекальциферол (D3). Первый является продуктом растительного, второй
-"животного происхождения.
Витамин D регулирует содержание кальция и неорганического фосфора в
крови, участвует в минерализации костей и зубов. Этим и объясняется его второе
название: кальциферол, или несущий кальций. Хронический дефицит его приводит к
развитию рахита у детей и разрежению костей - остеопорозу - у взрослых
(следствие его - частые переломы костей). Кальциферолы содержатся в продуктах
животного происхождения (мкг%): рыбьем жире - 125; печени трески - 100;
говяжьей печени - 2,5; яйцах - 2,2; молоке - 0,05; сливочном масле - 1,3-1,5.
Потребность в этом витамине у взрослого человека удовлетворяется за счет его
образования в коже под влиянием ультрафиолетовых лучей из провитаминов,
например 7-дегидрохолестерина. У детей суточная потребность в этом витамине
выше, чем у взрослых - 12-25 мкг, и при гипо- или авитаминозе необходимо его
повышенное поступление с пищей или со специальными препаратами. При избытке
витамина D у детей и взрослых (гипервитаминоз) развивается витаминная
интоксикация. Витамин D не разрушается при кулинарной обработке, очень
чувствителен к свету, действию кислорода, ионов металлов.
Токоферолы (витамин E). Обладающий наибольшей биологической активностью
среди соединений этой группы, α-токоферол в чистом виде впервые был
выделен в 1936 г. из зародышей пшеницы. Известно еще несколько представителей
этой группы (токоферолы, метилтоколы), которые имеют меньшее количество
метальных групп в ароматическом ядре и их аналоги - токотриенолы - с
ненасыщенной боковой цепью.
Токоферолы регулируют интенсивность свободно-радикальных реакций в живых
клетках, предотвращают окисление ненасыщенных жирных кислот в липидах мембран,
влияют на биосинтез ферментов. При авитаминозе нарушаются функции размножения,
наблюдается поражение миокарда, сосудистой и нервных систем. Витамин E
выполняет не только витаминную, но и антиоксидантную функции, поэтому
применяется для профилактики онкологических заболеваний при радиационном и
химическом воздействии на организм. Положительно влияет на функции половых
желез. Применяется для профилактики ишемической болезни сердца, простатита, при
снижении сексуальной активности. Распространены токоферолы в растительных
объектах, в первую очередь в маслах: соевом - 115, хлопковом - 99, подсолнечном
- 42 мг%. В хлебе содержится 2-4, в крупах - 2-15 мг%. Витамин E относительно
устойчив при нагревании, разрушается под влиянием ультрафиолетовых лучей,
кислорода.
Витамин К. Витамин К (от нем. Koagulationsvitamin - витамин коагуляции)
открыт в 1929 г. как антигеморрагический фактор. Необходим человеку для
нормализации или ускорения свертывания крови. По химической природе витамин К
является хиноном с боковой изопреноидной цепью. Существует два ряда витаминов
групы К - филлохинона (витамин К1-рядa) и менахинона (витамина К2-ряда).
Филлохиноны и их производные содержатся в зеленых частях растений и
поступают в организм с пищей, менахиноны образуются в результате деятельности
микрофлоры кишечника или при метаболизме нафтохинонов в тканях организма.
Витамин К регулирует процесс свертывания крови, участвуя в образовании
компонентов ее системы (протромбин и другие). При недостатке витамина К
наблюдается повышенная кровоточивость, особенно при порезах. Основные источники
его - укроп, шпинат, капуста. Витамин К устойчив к повышенным температурам,
разрушается на свету, в щелочной среде.
.3
ВИТАМИНОПОДОБНЫЕ СОЕДИНЕНИЯ
Витаминоподобные соединения, как уже указывалось, относятся к
биологически активным соединениям, выполняющим важные и разнообразные функции в
организме. Их можно разделить на несколько групп (см. табл. 6.1, с. 248). В
настоящем разделе учебника мы коротко остановимся только на некоторых.
Холин (холинхлорид) (СН3)3-N+(OH)--CH2-CH2OH. Входит в состав некоторых
фосфолипидов (фосфатидилхолины).
Входит в состав ацетилхлорида, важнейшего нейромедиатора. Участвует в
биосинтезе метионина, адреналина, нуклеиновых кислот. При авитаминозе
наблюдается жировое перерождение печени, кровоизлияния во внутренних органах.
Биофлавоноиды. Наиболее важные представители: гесперидин, ка-техин,
рутин. Биофлавоноиды - группа веществ, обладающих способностью укреплять,
поддерживать эластичность стенок капилляров, снижать их проницаемость. Их
особенностью является присутствие в качестве структурных компонентов циклов, в
том числе ароматических и содержащих двойные связи, окси- и карбонильные
группы, остатки сахаров.
Гесперидин - гликозид, содержащий глюкозу и рамнозу. Выделяют из цедры
лимона.
Катехины - группа соединений, выделяемых из листов чая, бобов какао,
винограда. Их представителями являются эпикатехин и рутин. Рутин - гликозид,
состоящий из кварцетина, глюкозы и рамнозы. Часто используется совместно с
витамином С, который предохраняет его от окисления.
.4
ВИТАМИНИЗАЦИЯ ПРОДУКТОВ ПИТАНИЯ
Здоровое питание населения является одним из важнейших условий здоровья
нации. Массовые обследования, проведенные Институтом питания РАМН,
свидетельствуют о дефиците витаминов у большей части населения России. Наиболее
эффективный способ витаминной профилактики - обогащение витаминами массовых
продуктов питания.
Витаминизация (иногда в комплексе с обогащением минеральными
микроэлементами) позволяет повысить качество пищевых продуктов, сократить
расходы на медицину, обеспечить социально незащищенные слои населения
витаминами, восполнить их потери, происходящие при получении пищевого продукта
на стадиях технологического процесса или кулинарной обработки. При этом
необходимы следующие решения: а) выбор подходящего продукта для витаминизации,
б) определение уровня витаминизации, в) разработка системы контроля.
Основные группы продуктов питания для обогащения витаминами:
· мука и хлебобулочные изделия - витамины группы В;
· продукты детского питания - все витамины;
· напитки, в том числе сухие концентраты, - все витамины, кроме
A, D;
· молочные продукты - витамины A, D, E, С;
· маргарин, майонез - витамины A, D, E;
· фруктовые соки - все витамины, кроме A, D.
Контрольные вопросы
1. Приведите классификацию витаминов, дайте определение этой группе
химических соединений.
2. Какую физиологическую роль выполняют витамины в организме
человека?
. Какие водорастворимые витамины вы знаете?
. Какие жирорастворимые витамины вы знаете?
. Дайте характеристику отдельных витаминов. В каких продуктах они
присутствуют в максимальном количестве?
. Приведите примеры витаминоподобных веществ.
. Что мы понимаем под витаминизацией пищи?
ГЛАВА 7.
ПИЩЕВЫЕ КИСЛОТЫ
Пищевые кислоты представляют собой разнообразную по своим свойствам
группу веществ органической и неорганической природы.
Состав и особенности химического строения пищевых кислот различны и
зависят от специфики пищевого объекта, а также природы кислотообразования.
В большинстве растительных объектов обнаружены нелетучие моно-и
трикарбоновые кислоты, предельные и непредельные, в том числе гидрокси- и
оксокислоты.
В продуктах переработки плодов, например, в мезге, могут быть выявлены
летучие кислоты - муравьиная и уксусная.
Кислотность молока и молочных продуктов формируется как за счет молочной
кислоты, образуемой в результате биохимических превращений лактозы молока, так
и за счет других, содержащихся в молоке кислот и кислых солей, а также
кислотных групп казеина.
К группе органических пищевых кислот, в принципе, относятся также
аминокислоты, входящие в состав белков, и высшие жирные кислоты, являющиеся
структурными компонентами липидов. Свойства и значение этих групп кислот
рассматриваются в соответствующих разделах (2.3 и 4.1).
.1 ОБЩАЯ
ХАРАКТЕРИСТИКА КИСЛОТ ПИЩЕВЫХ ОБЪЕКТОВ
Основные источники пищевых кислот - растительное сырье и продукты его
переработки. Органические пищевые кислоты содержатся в большинстве видов
растительных пищевых объектов - ягодах, фруктах, овощах, в том числе в
корнеплодах, лиственной зелени. Наряду с сахарами и ароматическими соединениями
они формируют вкус и аромат плодов и, следовательно, продуктов их переработки.
Общее представление о разнообразии пищевых кислот в составе растительных
объектов иллюстрирует табл. 7.2.
Таблица 7.2. Некоторые пищевые кислоты фруктов, ягод и овощей
|
Растительный объект
|
Основные кислоты
|
|
Фрукты, ягоды
|
|
Абрикосы
|
Яблочная, лимонная
|
|
Авокадо
|
Винная
|
|
Айва
|
Яблочная (без лимонной)
|
|
Ананасы
|
Лимонная, яблочная
|
|
Апельсины
|
Лимонная, яблочная,
щавелевая
|
|
Апельсиновая кожура (цедра)
|
Яблочная, лимонная,
щавелевая
|
|
Бананы
|
Яблочная, лимонная, винная,
следы уксусной и муравьиной
|
|
Виноград
|
Яблочная и винная (3:2),
лимонная, щавелевая
|
|
Вишня
|
Яблочная, лимонная, винная,
янтарная, хинная, шикимовая, глицериновая, гликолевая
|
|
Грейпфрут
|
Лимонная, винная, яблочная,
щавелевая
|
|
Груши
|
Яблочная, лимонная, винная,
щавелевая
|
|
Ежевика
|
Изолимонная, яблочная,
молочно-изолимонная, шикимовая, хинная, следы лимонной и щавелевой
|
|
Клубника (земляника)
|
Лимонная, яблочная,
шикимовая, янтарная, глицериновая, гликолевая, аспарагиновая
|
|
Растительный объект
|
Основные кислоты
|
|
Клюква
|
Лимонная, яблочная,
бензойная
|
|
Крыжовник
|
Лимонная, яблочная,
шикимовая, хинная
|
|
Лаймы
|
Лимонная, яблочная, винная,
щавелевая
|
|
Лимоны
|
Лимонная, яблочная, винная,
щавелевая (без изолимонной)
|
|
Персики
|
Яблочная, лимонная
|
|
Сливы
|
Яблочная, винная, щавелевая
|
|
Смородина
|
Лимонная, винная, яблочная,
янтарная
|
|
Финики
|
Лимонная, яблочная,
уксусная
|
|
Черника
|
Лимонная, яблочная,
глицериновая, лимоннояблочная, гликолевая, янтарная, глюкуроновая,
галактуроновая, хинная, глутаминовая, аспарагиновая
|
|
Яблоки
|
Яблочная, хинная, α-кетоглутаровая, щавелевоуксусная, лимонная,
пировиноградная, фумаровая, молочная, янтарная
|
|
Овощи
|
|
Бобы
|
Лимонная, яблочная,
небольшие количества янтарной и фумаровой
|
|
Брокколи
|
Яблочная и лимонная (3:2),
щавелевая, янтарная
|
|
Грибы
|
Кетостеариновая, фумаровая,
аллантоиновая
|
|
Горох
|
Яблочная
|
|
Картофель
|
Яблочная, лимонная,
щавелевая, фосфорная, пироглугаминовая
|
|
Морковь
|
Яблочная, лимонная,
изолимонная, янтарная, фумаровая
|
|
Помидоры
|
Лимонная, яблочная,
щавелевая, янтарная, гликолевая, винная, фосфорная, соляная, серная,
фумаровая, галактуроновая
|
|
Ревень
|
Яблочная, лимонная,
щавелевая
|
Наиболее типичными в составе различных плодов и ягод являются лимонная и
яблочная кислоты. Из числа других кислот часто обнаруживаются хинная, янтарная
и щавелевая. К распространенным относятся также шикимовая, гликолевая,
фумаровая, глицериновая и винная кислоты.
Концентрации отдельных органических кислот в различных плодах и ягодах
неодинаковы.
Цитрусовые плоды содержат преимущественно лимонную кислоту и небольшие
количества яблочной. Содержание последней в апельсинах составляет 10-25%, в
мандаринах - до 20%, в грейпфрутах и лимонах - до 5% по отношению к общей
кислотности. В отличие от плодов, в кожуре апельсинов содержится значительное
(примерно 0,1 %) количество щавелевой кислоты.
Лимонная кислота оказывается основной также в кислотном спектре ананасов,
где ее содержание достигает 85%. На долю яблочной кислоты в этих плодах
приходится около 10%.
Доминирующей кислотой в составе семечковых и косточковых плодов является
яблочная, содержание которой в их кислотном спектре колеблется от 50 до 90%.
В кислых сортах яблок яблочная кислота составляет свыше 90% общей
кислотности, в черешне и вишне ее концентрация достигает 85-90%, в сливах (в
зависимости от сорта) - от 35 до 90%. В числе других кислот в этих плодах -
лимонная и хинная.
Более 90% кислотности приходится на яблочную, лимонную и хинную кислоты в
таких плодах как персики и абрикосы, причем соотношение яблочной и лимонной
кислот может колебаться в широком диапазоне, что в некоторых случаях связывают
с изменением содержания этих кислот в плодах в процессе созревания.
Установлено, например, что при созревании персиков количество яблочной кислоты
в них значительно возрастает, а лимонной уменьшается.
В отличие от других видов плодов, в винограде основной является винная
кислота, составляющая 50-65% общей кислотности. Остаток приходится на яблочную
(25-30%) и лимонную (до 10%) кислоты. В процессе созревания винограда
содержание яблочной кислоты снижается интенсивнее, чем винной.
В большинстве видов ягод, за исключением винограда, крыжовника, черники и
ежевики, преобладает лимонная кислота. Например, в землянике на ее долю
приходится 70-90%, в смородине - 85-90%. Содержание яблочной кислоты в этих
ягодах - 10-15%. В ежевике 65-85% составляет изолимонная кислота, а в составе
крыжовника - 45% яблочной и лимонной и 5-10% шикимовой.
Некоторое количество кислот в плодах и ягодах может находиться в виде
солей. Их содержание, например, в лимонах, составляет до 3%, а в отдельных
видах груш - 20-30%.
В отличие от большинства органических кислот в составе плодов и ягод,
молочная кислота образуется, очевидно, только микробиологическим путем.
Кислотный спектр овощей представлен, преимущественно, теми же
органическими кислотами, соотношение которых колеблется в значительных
пределах. Наряду с уже известными, в составе овощей обнаруживаются янтарная,
фумаровая, пироглутаминовая и некоторые другие кислоты различного строения.
Отличительной особенностью томатов является присутствие в них
неорганических кислот - фосфорной, серной и соляной.
В составе молока и молочных продуктов основной органической кислотой
является молочная кислота, образование которой связано с биохимическим
превращением молочного сахара - лактозы (формула лактозы приведена на с. 125)
под действием молочнокислых бактерий, происходящим в соответствии с уравнением
реакции:
C12H22 O11, + H2O → 4CH3 - CH(OH)-COOH
При участии в этом процессе гомоферментативных молочнокислых бактерий
молочная кислота является практически единственным продуктом реакции. В случае
гетероферментативных ароматообразующих молочнокислых бактерий, наряду с
молочной появляются уксусная и пропионовая кислоты, а также другие продукты
брожения - этанол, диацетил, этилуксусный эфир.
.3 ПИЩЕВЫЕ
КИСЛОТЫ И ИХ ВЛИЯНИЕ НА КАЧЕСТВО ПРОДУКТОВ
Пищевые кислоты в составе продовольственного сырья и продуктов выполняют
различные функции, связанные с качеством пищевых объектов.
В составе комплекса вкусоароматических веществ они участвуют в
формировании вкуса и аромата, принадлежащих к числу основных показателей
качества пищевого продукта. Именно вкус, наряду с запахом и внешним видом, по
сей день оказывает более существенное влияние на выбор потребителем того или
иного продукта по сравнению с такими показателями, как состав и пищевая
ценность. Изменения вкуса и аромата часто оказываются признаками начинающейся
порчи пищевого продукта или наличия в его составе посторонних веществ.
Главное вкусовое ощущение, вызываемое присутствием кислот в составе
продукта, - кислый вкус, который в общем случае пропорционален концентрации
ионов H+ (с учетом различий в активности веществ, вызывающих одинаковое
вкусовое восприятие). Например, пороговая концентрация (минимальная
концентрация вкусового вещества, воспринимаемая органами чувств), позволяющая
ощутить кислый вкус, составляет для лимонной кислоты 0,017%, для уксусной -
0,03%.
В случае органических кислот на восприятие кислого вкуса оказывает
влияние и анион молекулы. В зависимости от природы последнего могут возникать
комбинированные вкусовые ощущения, например, лимонная кислота имеет
кисло-сладкий вкус, а пикриновая - кисло-горький. Изменение вкусовых ощущений
происходит и в присутствии солей органических кислот. Так, соли аммония придают
продукту соленый вкус.
Естественно, что наличие в составе продукта нескольких органических
кислот в сочетании с вкусовыми органическими веществами других классов
обусловливают формирование оригинальных вкусовых ощущений, часто присущих
исключительно одному, конкретному виду пищевых продуктов.
Участие органических кислот в образовании аромата в различных продуктах
неодинаково.
По данным табл. 9.17 (стр. 426) можно проследить за тем, что доля
органических кислот и их лактонов в комплексе ароматообразующих веществ,
например земляники, составляет 14%, в помидорах - порядка 11%, в цитрусовых и
пиве - порядка 16%, в хлебе - более 18%, тогда как в формировании аромата кофе
на кислоты приходится менее 6%.
В состав ароматообразующего комплекса кисломолочных продуктов входят
молочная, лимонная, уксусная, пропионовая и муравьиная кислоты.
Качество пищевого продукта представляет собой интегральную величину,
включающую, помимо органолептических свойств (вкуса, цвета, аромата),
показатели, характеризующие его коллоидную, химическую и микробиологическую
стабильность.
Формирование качества продукта осуществляется на всех этапах
технологического процесса его получения. При этом многие технологические показатели,
обеспечивающие создание высококачественного продукта, зависят от активной
кислотности (рН) пищевой системы.
В общем случае величина рН оказывает влияние на следующие технологические
параметры:
образование компонентов вкуса и аромата, характерных для конкретного вида
продукта;
коллоидную стабильность полидисперсной пищевой системы (например,
коллоидное состояние белков молока или комплекса белково-дубильных соединений в
пиве);
термическую стабильность пищевой системы (например, термоустойчивость
белковых веществ молочных продуктов, зависящую от состояния равновесия между
ионизированным и коллоидно распределенным фосфатом кальция);
биологическую стойкость (например, пива и соков);
активность ферментов;
условия роста полезной микрофлоры и ее влияние на процессы созревания
(например, пива или сыров).
.4 РЕГУЛЯТОРЫ
КИСЛОТНОСТИ ПИЩЕВЫХ СИСТЕМ
Наличие пищевых кислот в продукте может являться следствием
преднамеренного введения кислоты в пищевую систему в ходе технологического
процесса для регулирования ее рН.
В этом случае пищевые кислоты используются в качестве технологических
пищевых добавок.
Обобщенно можно выделить три основные цели добавления кислот в пищевую
систему:
придание определенных органолептических свойств (вкуса, цвета, аромата),
характерных для конкретного продукта;
влияние на коллоидные свойства, обусловливающие формирование
консистенции, присущей конкретному продукту;
повышение стабильности, обеспечивающей сохранение качества продукта в
течение определенного времени.
В табл. 7.4 были приведены свойства важнейших пищевых кислот, применяемых
для регулирования рН в пищевых системах и обеспечивающих ему физическую
стабильность. К последним относятся: влияние на устойчивость дисперсных систем
(эмульсий и суспензий), изменение вязкости в присутствии загустителя,
формирование гелевой структуры в присутствии гелеобразователя, влияние на
микрофлору, обеспечивающее биологическую стойкость продукта.
Уксусная кислота (ледяная) Е460 является наиболее известной пищевой
кислотой и выпускается в виде эссенции, содержащей 70-80% собственно кислоты. В
быту используют разбавленную водой уксусную эссенцию, получившую название
столовый уксус. Использование уксуса для консервирования пищевых продуктов -
один из наиболее старых способов консервирования. В зависимости от сырья, из
которого получают уксусную кислоту, различают винный, фруктовый, яблочный,
спиртовой уксус и синтетическую уксусную кислоту. Уксусную кислоту получают
путем уксуснокислого брожения. Соли и эфиры этой кислоты имеют название
ацетаты. В качестве пищевых добавок используются ацетаты калия и натрия(Е461 и
Е462).
Наряду с уксусной кислотой и ацетатами, применение находят диа-цетаты
натрия и калия. Эти вещества состоят из уксусной кислоты и ацетатов в молярном
соотношении 1:1. Уксусная кислота - бесцветная жидкость, смешивающаяся с водой
во всех отношениях. Диацетат натрия - белый кристаллический порошок,
растворимый в воде, с сильным запахом уксусной кислоты.
Уксусная кислота не имеет законодательных ограничений; ее действие
основано, главным образом, на снижении рН консервируемого продукта, проявляется
при содержании выше 0,5% и направлено, главным образом, против бактерий.
Основная область использования - овощные консервы и маринованные продукты.
Применяется в майонезах, соусах, при мариновании рыбной продукции и овощей,
ягод и фруктов. Уксусная кислота широко используется также как вкусовая
добавка.
Молочная кислота выпускается в двух формах, отличающихся концентрацией:
40%-й раствор и концентрат, содержащий не менее 70% кислоты. Получают
молочнокислым брожением Сахаров. Ее соли и эфиры называются лактатами. В виде
пищевой добавки Е270 используется в производстве безалкогольных напитков,
карамельных масс, кисломолочных продуктов. Молочная кислота имеет ограничения к
применению в продуктах детского питания.
Лимонная кислота-продукт лимоннокислого брожения Сахаров. Имеет наиболее
мягкий вкус по сравнению с другими пищевыми кислотами и не оказывает
раздражающего действия на слизистые оболочки пищеварительного тракта. Соли и
эфиры лимонной кислоты - цитраты. Применяется в кондитерской промышленности,
при производстве безалкогольных напитков и некоторых видов рыбных консервов
(пищевая добавка Е 33О).
Яблочная кислота обладает менее кислым вкусом, чем лимонная и винная. Для
промышленного использования эту кислоту получают синтетическим путем из
малеиновой кислоты, в связи с чем критерии чистоты включают ограничения по
содержанию в ней примесей токсичной малеиновой кислоты. Соли и эфиры яблочной
кислоты называются малатами. Яблочная кислота обладает химическими свойствами
окси-кислот. При нагревании до 10O0C превращается в ангидрид. Применяется в
кондитерском производстве и при получении безалкогольных напитков (пищевая
добавка Е296).
Винная кислота является продуктом переработки отходов виноделия (винных
дрожжей и винного камня). Не обладает каким-либо существенным раздражающим
действием на слизистые оболочки желудочно-кишечного тракта и не подвергается
обменным превращениям в организме человека. Основная часть (около 80%)
разрушается в кишечнике под действием бактерий. Соли и эфиры винной кислоты
называются тартрата-ми. Применяется в кондитерских изделиях и в безалкогольных
напитках (пищевая добавка Е334).
Янтарная кислота представляет собой побочный продукт производства
адипиновой кислоты. Известен также способ ее выделения из отходов янтаря.
Обладает химическими свойствами, характерными для ди-карбоновых кислот,
образует соли и эфиры, которые получили название сукцинаты. При 2350C янтарная
кислота отщепляет воду, превращаясь в янтарный ангидрид. Используется в пищевой
промышленности для регулирования рН пищевых систем (пищевая добавка Е363).
Янтарный ангидрид является продуктом высокотемпературной дегидратации
янтарной кислоты. Получают также каталитическим гидрированием малеинового
ангидрида. Плохо растворим в воде, где очень медленно гидролизуется в янтарную
кислоту.
Адипиновая кислота получается в промышленности, главным образом,
двухстадийным окислением циклогексана. Обладает всеми химическими свойствами,
характерными для карбоновых кислот, в частности, образует соли, большинство из
которых растворимо в воде. Легко этерифицируется в моно- и диэфиры. Соли и
эфиры адипиновой кислоты получили название адипинаты. Является пищевой добавкой
(Е355), обеспечивающей кислый вкус продуктов, в частности, безалкогольных напитков.
Фумаровая кислота содержится во многих растениях и грибах, образуется при
брожении углеводов в присутствии Aspergillus fumaricus. Промышленный способ
получения основан на изомеризации малеиновой кислоты под действием HCl,
содержащей бром. Соли и эфиры называются фумаратами. В пищевой промышленности
фумаровую кислоту используют как заменитель лимонной и винной кислот (пищевая
добавка Е297). Обладает токсичностью, в связи с чем суточное потребление с
продуктами питания лимитировано уровнем 6 мг на 1 кг массы тела.
Глюконо-дельта-лактон - продукт ферментативного аэробного окисления
рН,О-глкозы. В водных растворах глюконо-дельта-лактон гидро-лизуется в
глюконовую кислоту, что сопровождается изменением рН раствора. Используется в
качестве регулятора кислотности и разрыхлителя (пищевая добавка Е575) в
десертных смесях и продуктах на основе мясных фаршей, например, в сосисках.
Фосфорная кислота и ее соли - фосфаты (калия, натрия и кальция) широко
распространены в пищевом сырье и продуктах его переработки. В высоких
концентрациях фосфаты содержатся в молочных, мясных и рыбных продуктах, в
некоторых видах злаков и орехов. Фосфаты (пищевые добавки Е339-341) вводятся в
безалкогольные напитки и кондитерские изделия. Допустимая суточная доза, в
пересчете на фосфорную кислоту, соответствует 5-15 мг на 1 кг массы тела
(поскольку избыточное количество ее в организме может стать причиной дисбаланса
кальция и фосфора).
.5 ПИЩЕВЫЕ
КИСЛОТЫ В ПИТАНИИ
Значение пищевых кислот в питании человека определяется их энергетической
ценностью (табл. 7.5) и участием в обмене веществ. Обычно они не вызывают
дополнительной кислотной нафузки в организме, окисляясь при обмене веществ с
большой скоростью.
Таблица 7.5. Коэффициенты энергетической ценности основных пищевых кислот
|
Пищевая кислота
|
Коэффициент энергетической
ценности, ккал/г
|
|
Лимонная кислота
|
2,5
|
|
Яблочная кислота
|
2,4
|
|
Молочная кислота
|
3,6
|
Основная функция органических кислот, входящих в состав пищи, связана с
участием в процессах пищеварения.
К таким функциям органических кислот относятся:
активация перистальтики кишечника;
стимуляция секреции пищеварительных соков;
влияние на формирование определенного состава микрофлоры путем снижения
рН среды;
торможение развития гнилостных процессов в толстом кишечнике.
Для различных органических кислот обнаружены некоторые другие эффекты
воздействия.
Показано, что отдельные пищевые кислоты, например лимонная, препятствуют
образованию в организме канцерогенных нитрозаминов, способствуют снижению риска
возникновения и развития онкологических патологий. Лимонная кислота
(соответственно, цитрат) способствует также усвоению организмом кальция (ее
содержание в костях и зубах составляет 0,5-1,5%), оказывает активирующее или
ингибирующее действие на некоторые ферменты. Бензойная кислота обладает антисептическим
действием.
Однако, с другой стороны, известно, например, что щавелевая кислота в
виде кальциевой соли способна откладываться в суставах или в виде камней - в
мочевыводящих путях. Основными пищевыми источниками этой кислоты являются
зеленый крыжовник, листья шпината, щавеля и крапивы. В противоположность этому,
в процессах, предотвращающих выпадение солей кальция в мочеточниках, важную
роль играет цитрат мочевины. Образование комплексов с кальцием и магнием лежит
также в основе процесса торможения кровотечения. Винная кислота организмом
человека не усваивается.
.6 МЕТОДЫ
ОПРЕДЕЛЕНИЯ КИСЛОТ В ПИЩЕВЫХ ПРОДУКТАХ
В основе определения рН различных пищевых систем лежат стандартные
методы, описанные в руководствах по аналитической химии. К ним относятся
калориметрический и электрометрический методы.
Определение потенциальной кислотности, характеризующей общее содержание
веществ, имеющих кислотный характер, основано на титровании этих веществ
сильными основаниями (щелочами). Для различных пищевых продуктов характерны
свои особые условия титрования, результаты которых представляют в
соответствующих кислотных числах.
Анализ кислотного состава пищевого продукта дает возможность обнаружить
фальсификацию или подтвердить его натуральность. Для определения содержания
органических кислот используют как стандартные, так и альтернативные методы
контроля.
Официальный метод анализа молочной кислоты основан на ее окислении
перманганатом калия до уксусного альдегида, который определяют иодометрически.
Наиболее известные методы определения винной кислоты базируются на щелочном
титровании выпадающего винного камня. Большинство органических кислот можно
определить хромато-графическими методами.
К альтернативным относятся методы, основанные на использовании
ферментативных систем. Характерными особенностями ферментативного анализа
являются специфичность, обеспечивающая достоверность результатов, высокие
точность и чувствительность.
Перечень органических кислот в составе пищевых продуктов, определяемых
ферментативными методами, представлен в табл. 7.6.
Таблица 7.6. Пищевые кислоты в составе различных продуктов питания,
определяемые ферментативными методами
|
Группа продуктов
|
Определяемая кислота
|
|
L-Аскорбиновая
|
L-Аспарагиновая
|
В-3-Гидроксимасляная
|
L-Глутаминова
|
D-Глюконовая
|
D-Изолемонная
|
Лимонная
|
L-Молочная
|
D-(L)Молочная
|
Муравьиная
|
Уксусная
|
Щавелевая
|
D-Яблочная
|
L-Яблочная
|
D-(L) Яблочная
|
Янтарная
|
|
Детское питание,
диетические продукты
|
+
|
|
|
+
|
|
|
+
|
|
+
|
|
|
|
|
|
|
+
|
|
Пиво, вино, игристые и
шампанские вина, спиртные напитки
|
+
|
|
|
|
+
|
|
+
|
|
+
|
|
+
|
|
+
|
+
|
|
+
|
|
Соки, нектары,
сокосодержащие напитки, продукты переработки фруктов и овощей, безалкогольные
напитки (например, лимонады)
|
+
|
+
|
|
+
|
+
|
+
|
+
|
|
+
|
+
|
+
|
+
|
|
|
+
|
+
|
|
Яйца и яичные продукты
|
|
|
+
|
|
|
|
|
+
|
|
|
|
|
|
|
|
+
|
|
Молоко и молочные продукты
|
|
|
|
+
|
|
|
+
|
|
+
|
|
+
|
|
|
+
|
|
+
|
|
Пищеконцентраты (например,
супы, соусы)
|
|
|
|
+
|
|
|
|
|
|
|
|
|
|
|
|
|
|
Сахар и сахаросодержащие
изделия
|
|
|
|
|
|
|
+
|
|
+
|
+
|
|
|
|
|
|
|
|
Мясо и мясные изделия
|
|
|
|
+
|
+
|
|
+
|
|
+
|
+
|
|
|
|
|
|
Использование ферментативных методов в аналитической химии органических
пищевых кислот, в зависимости от группы анализируемых продуктов, может иметь
различные цели, к которым относятся:
производственный контроль;
системы обеспечения качества;
контроль качества готовой продукции;
контроль сырья;
оценка качества;
анализ состава с целью установления пищевых свойств и их соответствия
нормативной документации;
оценка гигиенического статуса;
мониторинг качества;
выявление нежелательных компонентов;
установление фальсификации;
определение доли натурального сырья;
определение аутентичности (подлинности).
Контрольные вопросы
. Дайте общую характеристику кислот, входящих в состав пищевых продуктов.
. Приведите примеры веществ, используемых в пищевой промышленности для
регулирования рН пищевых систем.
. В каких технологических функциях проявляется действие органических
кислот в пищевых системах?
. Каковы особенности органических кислот, применяемых в пищевых целях?
. Приведите примеры биохимических изменений кислотности пищевой системы.
. Дайте краткую характеристику методов, позволяющих определять кислоты в
составе продуктов.
. На какие технологические параметры оказывает влияние величина рН?
ГЛАВА 8.
ФЕРМЕНТЫ
Использование ферментов превратилось в важнейший промышленный принцип
совершенствования пищевой технологии. Существенный вклад в это внесли
достижения микробиологии и биохимии. Таким образом, производство продуктов
питания в настоящее время превратилось из своего рода искусства в
высокоспециализированную технологию, которая основывается на открытиях
естественных наук.
Биохимические процессы, протекающие при хранении сырья и при производстве
пищевых продуктов, связаны с действием естественных, собственных ферментов
пищевого сырья, а также ферментов, вносимых в ходе технологического процесса в
виде ферментных препаратов. Прежде всего это ферменты, продуцируемые различными
микроорганизмами; кроме того, для получения ферментных препаратов используют
проросшее зерно, ткани животных или тропические растения.
Еще на заре цивилизации человек сталкивался с различными ферментативными
процессами и использовал их в своей практической деятельности. Спиртовое и
молочнокислое брожение, применение сычуга при приготовлении сыров,
использование солода и плесневых грибов для осахаривания крахмалистого сырья,
применение заквасок при изготовлении хлеба - все эти ферментативные процессы
хорошо известны с незапамятных времен.
В настоящее время многие отрасли промышленности - хлебопечение,
виноделие, пивоварение, производство спирта, сыроделие, производство
органических кислот, чая, аминокислот, витаминов, антибиотиков - основаны на использовании
различных ферментативных процессов. Кроме того, препараты ферментов находят все
более широкое применение в медицине и сельском хозяйстве. В связи с этим
возникла и развивается новая отрасль промышленности - производство ферментных
препаратов.
Общие аспекты применения ферментов в пищевой промышленности, а также
вопросы, связанные с производством промышленных ферментов, нашли широкое
отражение в специальной учебной и научной литературе. Однако необходимо
обратить особое внимание на то, что работа с ферментами, их использование
требуют элементарной грамотности в вопросах ферментативной кинетики и способах
регуляции ферментативной активности.
Кроме того, необходимо всегда учитывать наличие в сырье собственных
эндогенных ферментов, которые в процессе приготовления пищевых продуктов могут
оказывать различное действие (как положительное, так и отрицательное).
Вопрос об эндогенных ферментативных системах того или иного
биологического сырья не рассматривается в данном разделе отдельно, но будет
затрагиваться всякий раз, когда речь зайдет о совместном действии эндогенных
ферментов и ферментных препаратов.
.1 ОБЩИЕ
СВОЙСТВА ФЕРМЕНТОВ
Ферменты - биологические катализаторы белковой природы. Они значительно
повышают скорость химических реакций, которые в отсутствие ферментов протекают
очень медленно. При этом ферменты не расходуются и не претерпевают необратимых
изменений.
Каким образом ферменты повышают скорость реакций? Они ускоряют химические
реакции, находя "обходные пути", позволяющие молекулам преодолевать
активационный барьер на более низком энергетическом уровне. Это становится
возможным потому, что ферментативная реакция состоит из 2-х стадий: на первой
стадии происходит образование фермент-субстратного комплекса, переходному
состоянию которого соответствует значительно более низкая энергия активации; на
второй стадии этот комплекс распадается на продукты реакции и свободный
фермент, который может взаимодействовать с новой молекулой субстрата. Это можно
выразить следующим уравнением:
+ S ↔ ES → P + E
где E - фермент, S - субстрат, ES - фермент-субстратный комплекс, P -
продукты реакции.
Особенности ферментов. Ферменты, являясь по своей природе белками,
обладающими третичной или четвертичной структурой, имеют ряд особенностей,
которые отличают их от неорганических катализаторов.
В первую очередь, это огромная сила каталитического действия. Ферменты в
108- 1020 раз повышают скорость катализируемых ими реакций. Во-вторых, это
специфичность действия ферментов. Они катализируют строго определенные реакции.
Только благодаря тончайшей специфичности ферментативного катализа возможна
строгая упорядоченность и теснейшая взаимосвязь отдельных ферментативных
реакций, лежащих в основе биологического обмена веществ.
По степени специфичности отдельные ферменты довольно сильно различаются
между собой. Выделяют следующие основные типы специфичности:
абсолютная специфичность - фермент катализирует превращение только одного
субстрата;
групповая специфичность - фермент действует на группу родственных
субстратов, обладающих определенными структурными особенностями;
специфичность по отношению к определенным типам реакций - такие ферменты
обнаруживают наименьшую специфичность, они действуют независимо оттого, какие
группы присутствуют вблизи той связи, на которую направлено действие фермента;
стереохимическая специфичность - фермент катализирует превращение только
одной стереохимической формы субстрата.
Третьей особенностью ферментов, как биологических катализаторов, является
их лабильность. Они подвержены влиянию различных факторов и могут изменять свою
активность под действием рН, температуры, присутствия активаторов и ингибиторов
и др. Лабильность (или, иными словами, изменчивость) ферментов обусловлена их
белковой природой, сложной пространственной конфигурацией (структурой).
Влияние этих факторов на активность ферментов и скорость катализируемых
ими реакций будет рассмотрена в разделе кинетики.
Многие ферменты являются двухкомпонентными, то есть состоят из белковой
части - апофермента и связанного с ним небелкового компонента - кофермента,
участвующего в действии фермента в качестве обязательного кофактора. В
результате ферментативных реакций коферменты, как правило, не подвергаются
изменениям, однако при ряде последовательно протекающих реакций кофермент может
представлять собой субстрат для отдельных ферментов, хотя и регенерируется в
конечном счете в исходной форме.
Химическая природа коферментов, их функции в ферментативных реакциях и
механизм действия чрезвычайно разнообразны. Так, например, в качестве
коферментов могут выступать витамины и их производные.
В соответствии с химическим строением коферменты можно подразделить на
следующие группы: а) коферменты алифатического ряда (глутатион, липоевая
кислота); б) коферменты ароматического ряда (коэнзим Q - убихинон); в) коферменты
- гетероциклические соединения (производные витаминов B6, B1, биотина -
витамина H, производные фолиевой кислоты); г) коферменты - нуклеотиды и
нуклеозиды (коэн-зим А, НАД/НАДО, ФАД/ФАДФ).
Единицы активности ферментов. Любой ферментный препарат прежде всего
должен быть охарактеризован по его ферментативной активности. Комиссия по
ферментам Международного Биохимического Союза рекомендует использовать
следующие понятия и выражения единиц активности ферментов.
Стандартная единица фермента - это такое количество фермента, которое
катализирует превращение одного микромоля данного субстрата за одну минуту при
заданных условиях. Стандартная единица фермента обозначается буквой E (от
русского слова "единица") или буквой U (от английского слова "unit").
Уд ельная активность- это число единиц (E или U), отнесенное к одному
миллиграмму белка в ферментном препарате. Количество белка в препарате фермента
может быть определено любым известным методом определения белка (метод
Кьельдаля, метод Лоури и др.).
Молекулярная активность - число молекул данного субстрата или
эквивалентов затронутых групп, превращаемых за одну минуту одной молекулой
фермента при оптимальной концентрации субстрата. Это понятие соответствует
числу оборотов, введенных Варбургом. Число оборотов по Варбургу - это число
молей превращенного субстрата, приходящееся на моль фермента за минуту. Для
определения молекулярной активности фермента нужно знать его молекулярную
массу.
Катал - каталитическая активность, способная осуществлять реакцию со
скоростью равной 1 молю в секунду в заданной системе измерения активности.
Каталитическая активность в 1 катал (кат) при практическом применении
оказывается слишком большой величиной, по этому в большинстве случаев
каталитические активности выражают в микрокаталах (мккат), нанокаталах (нкат)
или пикокаталах (пкат). Стандартная единица фермента находится с каталом в
следующем соотношении: 1 E (U) = 16,67 нкат.
Ферментативная кинетика
Ферментативный катализ существенно отличается от неферментативного, в
связи с чем в кинетике ферментативных реакций разработаны совершенно особые
закономерности. Они позволяют выделить ферментативную кинетику в
самостоятельный раздел химической кинетики, в котором изучается зависимость
скорости реакций, катализируемых ферментами, от концентрации реагирующих
веществ (ферментов и субстратов) и от условий их взаимодействия (температуры,
рН, концентрации коферментов и кофакторов, наличия различных эффекторов:
активаторов и ингибиторов).
Изучение кинетики ферментативного действия имеет важное теоретическое
значение, поскольку только с позиций кинетики можно подойти к решению вопроса о
механизме ферментативного действия. Но оно также необходимо с практических
позиций, так как только имея определенные сведения о кинетике действия того или
иного фермента, можно подобрать оптимальные условия для его работы, а также
влиять на его активность в заданном направлении на различных стадиях
технологического процесса.
Вопросы, связанные с кинетикой ферментативных реакций, детально изложены
в специальных разделах биохимии и энзимологии, поэтому основное внимание уделим
тем положениям, которые необходимы для грамотного подхода к работе с
ферментами: подбору условий для определения активности фермента, определению
начальной скорости ферментативной реакции, выбору субстрата, определению его
насыщающей концентрации, оптимуму действия температуры и рН, влиянию
кофакторов, активаторов и ингибиторов.
Наличие фермента в растворе или экстракте можно определить исходя из
скорости катализируемой им реакции, о которой можно судить либо по накоплению
продуктов реакции, либо по убыли субстрата.
В большинстве своем ферментативные реакции являются реакциями смешанного
порядка. Типичная кривая хода ферментативной реакции (рис. 8.1) имеет следующий
вид:
Таким образом, ход ферментативной реакции во времени не может быть описан
одним математическим уравнением, поскольку все ферментативные реакции в самом
начале своего протекания (когда имеется избыток субстрата и образовалось мало
продуктов реакции) являются реакциями нулевого порядка, и только потом они
приобретают характер реакции первого или второго порядка. Скорость реакции
нулевого порядка со временем не меняется, зависимость количества
образовавшегося продукта от времени остается прямо пропорциональной (см. рис.
8.2). Для реакций первого порядка скорость реакции в каждый данный момент
времени пропорциональна имеющейся в наличии концентрации субстрата, а
следовательно, наблюдается постоянное падение скорости реакции с течением
времени (см. рис. 8.3).
Для того чтобы правильно определить потенциальные возможности данного
фермента как катализатора, нужно учитывать скорость ферментативной реакции в
тот момент времени, когда факторы, замедляющие скорость ферментативной реакции
(нехватка субстрата, специфическое ингибирование продуктами реакции, частичная
тепловая денатурация фермента и др.), не успевают проявить свое действие и
наблюдается прямая пропорциональная зависимость между продуктами реакции и
временем.
Такая скорость называется начальной скоростью ферментативной реакции и
обозначается V0.
На практике V0 определяют графическим методом, для чего строят кривую
хода ферментативной реакции во времени. Начальная скорость определяется как
тангенс угла наклона касательной, проведенной из начала координат к кривой хода
ферментативной реакции (см. рис. 8.1).
= tg a
При работе с конкретным ферментом длительность реакции следует выбирать
исходя из экспериментальных данных, по начальной скорости реакции.
В зависимости от задачи, которая стоит перед исследователями или
технологами, теми, кто работает с ферментами, выбирается тот или иной подход в
этой работе. Имеется в виду следующее.
. Если необходимо выделить и охарактеризовать фермент из какого-либо
биологического объекта, пищевого сырья, следует применить либо известные схемы
выделения и очистки, или разработать оптимальную схему для данного фермента,
варьируя и испытывая различные сочетания основных этапов очистки и выделения
ферментов (белков): экстракцию, различные режимы осаждения, гель-хроматографию
и другие методы, основанные на различиях в физико-химических характеристиках
отдельных ферментов (см. также гл. 2). При этом на каждом этапе выделения и
очистки следует характеризовать ферментный препарат по ферментативной
активности и содержанию белка. В этом случае определение ферментативной активности
(определение F0) проводят с использованием стандартного субстрата; выявляют
оптимальные значения рН и температуры. И все дальнейшие исследования проводят
при насыщающей концентрации субстрата, оптимуме температуры и рН. Изучение
влияния специфических активаторов и ингибиторов позволяет в этом случае
получить ценные сведения о строении активного центра и возможном механизме
каталитического действия. Здесь необходимо подчеркнуть важность тщательного
методического подхода при работе с ферментами. Не следует жалеть времени и
усилий на выбор режима экстракции (продолжительность, температура, экстрагент,
тип экстракции - исчерпывающая или нет), выбор методики определения активности,
ее отработку и возможную модификацию для данного конкретного объекта исследования;
кроме того, работа с ферментами различной степени очистки также имеет свои
особенности, свою специфику: они обладают разной рН- и термостабильностью и,
помимо этого, могут по-разному реагировать на воздействие различных факторов.
. Если задача заключается в определении того, каким образом будет вести
себя данный фермент (ферментный препарат) в конкретном режиме рассматриваемой
пищевой технологии, необходимо проводить исследование ферментативного действия
при условиях данного технологического процесса (концентрация субстрата,
длительность, рН, температура, влажность), изучить влияние различных
компонентов пищевого сырья и используемых добавок на активность фермента с
целью определить возможность и способы влияния на ферментативный процесс в желаемом
направлении.
Перейдем к рассмотрению факторов, влияющих на скорость ферментативных
реакций.
Влияние концентрации субстрата на скорость ферментативной реакции.
Концентрация субстрата является важнейшим фактором, определяющим скорость
ферментативной реакции. Еще в 1902г. В. Анри при изучении реакции
ферментативного гидролиза сахарозы предположил, что фермент
р-фруктофуранозидаза взаимодействует со своим субстратом, затем это соединение
распадается, фермент остается в первоначальном виде, а субстрат сахароза
оказывается расщепленной на глюкозу и фруктозу.
Это предложение было в дальнейшем развито Л. Михаэлисом и M. Ментен. В
1913 г. они постулировали следующие уравнения ферментативной реакции:
где k+1- константа скорости реакции образования комплекса ES, k-1 k+2 -
константы скорости реакции распада комплекса ES в двух направлениях.
Тогда Ks- константа диссоциации комплекса ES равна отношению констант
скоростей обратной и прямой реакции:=
Исходя из закона действующих масс, можно записать следующее уравнение:
[S] ·([E0] -[ES]) = Ks ·[ES],
где [E0] - концентрация фермента в начале ферментативной реакции, [S] -
концентрация субстрата, (ES] - концентрация комплекса
"фермент-субстрат", [E0]-[ES] - концентрация фермента, не связанного
в комплексе с субстратом.
В ходе ферментативной реакции в любой момент времени фермент существует в
двух формах: свободной и связанной, т. е. в форме комплекса ES.
Скорость ферментативной реакции будет максимальной при такой концентрации
субстрата, когда весь фермент перейдет в комплекс ES, т.е. когда все активные
центры насыщены субстратом и дальнейшее увеличение концентрации субстрата не
приведет к увеличению скорости реакции.
Преобразуя представленное выше уравнение, получим выражение, которое
будет иметь следующий вид:
=
Это уравнение названо уравнением Михаэлиса-Ментен. Оно имеет огромное
значение для выражения зависимости действия ферментов от концентрации
субстрата. Однако оно содержит и ряд недостатков, в частности, при его выводе
было сделано несколько допущений, например, не учитывалась вторая стадия
ферментативной реакции - образование E и P.
В связи с этим был предложен рад усовершенствованных уравнений, с учетом
влияния образовавшихся продуктов реакции. В настоящее время наиболее широко
используют уравнение Холдейна-Бриггса. Оно имеет следующий вид:
=
В этом уравнении вместо K s - константы диссоциации комплекса ES, который
присутствует в уравнении Михаэлиса-Ментен, стоит Km-константа Михаэлиса (в
числителе которой находятся константы скоростей реакций, ведущих к распаду
комплекса ES в двух направлениях):
=
Поскольку K s =
,то Km = Ks+
, то есть Km всегда больше Ks.
Для того, чтобы графическая зависимость, выражающая влияние концентрации
субстрата на начальную скорость ферментативной реакции, из гиперболической
преобразовалась в прямолинейную, что, очевидно, представляет большее удобство в
экспериментальной практике, уравнение Холдейна-Бриггса было преобразовано
Лайнуивером и Берком по методу двойных обратных величин.
=
·
+
Величина Km - это ключевой кинетический параметр; если [S] = K m, то V=
Vmax/2, следовательно, константа Михаэлиса численно равна концентрации субстрата
(в молях на литр), при которой скорость реакции равна половине максимальной.
Приблизительное значение Km можно получить простым графическим способом,
как это показано на рис. 8.4 а; однако в этом способе достаточно велика
погрешность в нахождении Vmax. Значительно удобнее пользоваться прямолинейной
зависимостью при обработке данных по методу двойных обратных величин, рис. 8.4
б. В этом случае можно получить более точное значение Km.
Таблица 8.1. Значение констант Михаэлиса - К (мМ/л) для некоторых ферментов
|
Фермент
|
Субстрат
|
К
|
|
Каталаза
|
H2 O 2
|
25,0
|
|
Гексокиназа
|
АТФ
|
0,4
|
|
Глюкоза
|
0,05
|
|
Фруктоза
|
1,5
|
|
Химотрипсин
|
Глицил-тирозинил-глицин
|
10,8
|
|
N-бензол-тирозин-амид
|
2,5
|
|
P - Галактозидаза
|
Лактоза
|
4,0
|
Источником множества недоразумений как в прошлом, так и в настоящем,
является некорректное использование термина "константа Михаэлиса" и
двух символов Ks и Km для обозначения величин отнюдь неидентичных, несмотря на
совершенно четкие рекомендации Комиссии по ферментам Международного
Биохимического Союза. Первая величина -Ks- константа равновесия, выражаемая
отношением
=
характеризует сродство фермента к субстрату (или, иначе, прочность
комплекса ES), причем существует обратная пропорциональность между величиной Ks
и сродством фермента к субстрату. Вторая величина -Km-соответствует
концентрации субстрата, при которой V= Vmax/ 2. Часто свойство Ks ошибочно
приписывают Km. Ha самом деле Km будет являться мерой сродства фермента к
субстрату только в том единственном случае, когда величина k+2 будет настолько
мала, что Km практически совпадет с Ks.
Многие ферменты катализируют реакции с участием двух субстратов. К так
называемым бимолекулярным реакциям относятся реакции переноса химических
группировок с одного соединения на другое, реакции синтеза, окислительно-восстановительные
реакции.
Такие реакции могут протекать по двум различным механизмам. В реакциях
первого типа, называемых реакциями единичного замещения, два субстрата А и В
образуют с ферментом комплекс EAB, который затем распадается с образованием
продуктов реакции С и Д. Второй тип двухсубстратных реакций протекает по
механизму двойного замещения (механизм типа "пинг-понг"). В этих
реакциях с активным центром фермента в каждый момент времени связан только один
из двух субстратов.
При исследовании кинетики бимолекулярных реакций концентрацию одного из
субстратов оставляют постоянной (В), а второго - изменяют (А). В этом случае в
координатах 1/V от 1/[A] можно получить "кажущееся" значение К т.
Истинное значение Vmax и К Bmполучают при исследовании нескольких концентраций
субстрата В. Точно так же поступают при определении K Am(когда концентрация А
постоянна, а концентрация В варьируется). Кт по отношению к различным
субстратам в одной и той же реакции могут быть различными - это хорошо видно из
следующего примера.
Реакция катализируемая алкогольдегидрогеназой:
CH3CH2OH + НАД+ ↔ CH3COH + НАДН + H+
этанол уксусный альдегид
Значение Кт для алкогольдегидрогеназы дрожжей:
|
Субстрат
|
Кт, М/л
|
|
НАД+
|
1,0
×10-4
|
|
CH3CH2OH
|
2,4
×10-2
|
|
НАДН + H+
|
3,5
×10-5
|
|
CH3COH
|
1,0
×10-4
|
Влияние концентрации фермента на скорость ферментативной реакции.
Концентрация фермента оказывает существенное влияние на скорость
ферментативной реакции. При насыщающей концентрации субстрата, обеспечивающей
Vmax, начальная скорость ферментативной реакции будет, в первую очередь,
зависеть от концентрации фермента. Эта зависимость прямо пропорциональная, что
свидетельствует о том, что начальная скорость является мерой количества
фермента.
Влияние температуры на активность ферментов. Общий вид кривой,
характеризующей влияние температуры на активность фермента, можно представить в
виде графика, изображенного на рис. 8.6.
Оптимальная температура, при которой наблюдается максимальная активность,
для большинства ферментов находится в пределах 37-50 0C, но некоторые ферменты
имеют температурный оптимум за пределами этой зоны.
Влияние температуры на активность фермента, которое может быть легко
изучено экспериментально, имеет очень сложный характер, так как обусловлено
целым рядом факторов, а именно:
влиянием температуры на скорость расщепления комплекса ES на свободный
фермент и продукт реакции, т. е. на константу скорости реакции
влиянием температуры на сродство фермента к субстрату, то есть на
константы k+1 и k_,;
влиянием на теплоту ионизации, а, следовательно, на процессы ионизации
всех компонентов реакции: самого фермента, субстрата, промежуточных и конечных
продуктов реакции;
влиянием на образование таких соединений, как
"фермент-активатор" или "фермент-ингибитор";
влиянием на процесс денатурации ферментного белка.
Известное уравнение Аррениуса, характеризующее влияние температуры на
скорость химической реакции, может быть приложено к левой части температурной
кривой (см. рис. 8.6):
=
где k - константа скорости реакции; T- абсолютная температура, °К; E-
энергия активации; R - универсальная газовая постоянная.
Изменение скорости ферментативной реакции при повышении температуры
измеряется температурным коэффициентом Q10, который показывает, во сколько раз
ускоряется данная реакция при повышении температуры на десять градусов. Можно
преобразовать уравнение Аррениуса, подставив в него коэффициент Q10:
=
Это уравнение дает возможность определить энергию активации путем
определения значений Q10 для данной ферментативной реакции.
Для обычных химических реакций Q10= 2-3, для ферментативных реакций
(левая часть температурной кривой) Q10= 1-2, причем значение Q10= 1 характерно
для температур, близких к оптимальным.
Правая часть температурной кривой показывает резкое снижение скорости
ферментативной реакции при температурах, превышающих оптимальную. И это
зависит, в первую очередь, от денатурации ферментного белка. Поэтому очень
важным показателем, характеризующим отношение фермента к температуре, является
его термостабильность.
Термостабильность фермента складывается как бы из двух критериев:
величины температуры и времени ее воздействия на фермент. Кроме того, на
термостабильность различных ферментов могут оказывать влияние и такие факторы,
как рН среды, ее солевой состав, защитное действие субстрата.
Влияние рН на активность ферментов. Для каждого фермента характерна
определенная узкая область значений рН, при которой он проявляет максимальную
активность.
Форма кривых, описывающих зависимость активности фермента от рН, отражает
способность важных для данного фермента протон-донорных или протон-акцепторных
групп в активном центре фермента переходить в состояние с требуемой степенью
ионизации при определенных значениях рН.
Кроме влияния рН на состояние ионизации активного центра фермента, ход
представленных кривых будет зависеть и от других факторов. В частности,
изменение рН среды изменяет состояние ионизации субстрата (если это заряженное
вещество), комплексов ES и EP, в некоторых, например,
окислительно-восстановительных реакциях, ионы H+ сами могут принимать участие в
реакции; помимо этого, скорость денатурации ферментативного белка зависит от
рН.
При экспериментальном изучении активности фермента от рН следует помнить,
что рH-оптимум зависит от состава среды (от природы используемого буфера);
оптимумы рН прямой и обратной реакции могут быть совершенно различными; при
действии одного и того же фермента на различные субстраты рН-оптимумы также
могут быть различными. Кроме понятия оптимума рН, очень важным является понятие
рН-стабильности. Это тот диапазон рН, при котором фермент или ферментативный
препарат сохраняет свою активность в течение определенного периода времени.
рН-Стабильность также зависит от ряда факторов, среди которых, кроме уже
названных, форма ферментного препарата, степень его очистки и др.
Все выше сказанное позволяет утверждать, что варьируя температурный режим
и изменяя рН, можно в какой-то мере регулировать каталитическую активность
фермента.
Влияние активаторов и ингибиторов. Активаторами называют вещества, которые
повышают активность ферментов. Хорошим примером таких соединений являются
аминокислота цистеин и восстановленный глутатион, содержащие свободную
SH-группу. Их активирующее действие заключается в том, что они восстанавливают
дисульфидные связи с образованием SH-групп, необходимых для проявления
каталитической активности тиоловых ферментов. Кроме того, некоторые ферменты
активируются металлами, которые либо участвуют в построении активного центра,
либо стабилизируют пространственную конформацию ферментного белка и тем самым
обеспечивают проявление каталитических функций.
Ингибиторами называют вещества, специфически снижающие активность
ферментов. Снижение или полная потеря активности ферментов могут быть вызваны
разного рода денатурирующими воздействиями, в этом случае правильнее
употреблять термин "инактивация" фермента.
Механизм действия ингибиторов может быть самым разнообразным:
ингибитор взаимодействует с апоферментом, при этом возможны такие
варианты, как связывание функциональных групп белка, изменение третичной и
четвертичной структуры апофермента, специфическое связывание с определенным
участком апофермента, неспецифическая адсорбция на белке;
ингибитор образует комплекс с субстратом;
ингибитор связывает кофермент;
ингибитор связывает активатор;
ингибитор связывает кофактор.
Чаще всего ингибитор взаимодействует с ферментом, образуя комплекс. Это
можно выразить следующим уравнением:
Константа диссоциации комплекса фермент-ингибитор (или константа
ингибирования) Ki.определяется выражением:
=
=
Кi прямо пропорциональна концентрации фермента и ингибитора и обратно
пропорциональна концентрации комплекса фермент-ингибитор.
Существует ингибирование двух основных типов: необратимое и обратимое. Теоретически,
в случае необратимого ингибирования k-1 = 0, то есть комплекс EI настолько
прочен, что совершенно не диссоциирует. Но для большинства необратимых
ингибиторов величина k-1_, хотя и очень мала, но не равна нулю.
Обратимое ингибирование, в свою очередь, бывает конкурентным и
неконкурентным.
Конкурентный ингибитор конкурирует с субстратом на основе структурного
сходства, связываясь с активным центром фермента с образованием неактивного
комплекса фермент-ингибитор. Отличительная особенность конкурентного
ингибирования состоит в том, что его можно устранить или ослабить, повысив
концентрацию субстрата. Конкурентный ингибитор снижает сродство фермента к
субстрату, следовательно, величина Кm в присутствии конкурентного ингибитора
увеличивается.
При неконкурентном торможении ингибитор связывается не с активным центром
фермента (то есть не там, где присоединяется субстрат), а с другим участком
молекулы фермента. Очевидно, что в этом случае ингибитор не оказывает влияние
на величину константы Михаэлиса Кт, но будет снижать максимальную скорость
реакции - Vmax
Одними из самых распространенных неконкурентных ингибиторов являются
аллостерические ингибиторы. Присоединяясь не к активному, а к другому, так
называемому аллостерическому центру молекулы фермента, ингибитор вызывает
конформационные изменения в структуре активного центра, вследствие чего
становится невозможным образование комплекса фермент- субстрат.
Изучение взаимодействия ферментов с ингибиторами и активаторами ферментов
позволяет получать ценные сведения о субстратной специфичности ферментов,
природе функциональных групп активного центра, механизмах каталитической
активности.
Так как в качестве ингибиторов могут выступать конечные продукты реакции,
различные промежуточные продукты метаболизма, нет сомнения в той огромной роли,
которую выполняют ингибиторы в регуляции ферментативной активности.
Это подтверждает и факт широкого распространения ингибиторов белковой
природы (см. гл. 2). Кроме того, по принципу специфического ингибирования
действуют многие лекарственные препараты, антибиотики, токсичные вещества,
антиалиментарные факторы питания.
Специфические ингибиторы, встречающиеся в пищевом сырье и пищевых
продуктах, присутствуют в качестве составляющих как в традиционных рецептурах,
так и в сложных композиционных составах новых, модифицированных продуктов
питания. Поэтому нельзя не учитывать их влияние на активность отдельных
ферментов и на биохимические процессы в целом, протекающие при хранении и
переработке пищевого сырья.
Все это лишний раз говорит о множестве сложных проблем, которые
встречаются в экспериментальной работе с ферментами и использовании ферментных
препаратов на практике.
8.2
КЛАССИФИКАЦИЯ И НОМЕНКЛАТУРА ФЕРМЕНТОВ
Катализируемая химическая реакция представляет собой тот специфический
признак, по которому один фермент отличается от другого. Поэтому естественно и
логично, что классификация и номенклатура ферментов основывается на этом
принципе. Современная классификация ферментов разработана специальной Комиссией
Международного Биохимического Союза и изложена в книге "Номенклатура
ферментов", которая вышла в русском переводе в 1979 г.
В основе классификации лежат три положения:
а) все ферменты делятся на 6 классов по типу катализируемой реакции;
б) каждый фермент получает систематическое название, включающее название
субстрата, тип катализируемой реакции, и окончание "аза"; кроме того,
Комиссией были сохранены и узаконены тривиальные названия. Таким образом,
возникла двойная система наименования ферментов;
в) каждому ферменту присваивается четырехзначный шифр (код). Первое число
указывает класс ферментов, второе - подкласс, третье - подподкласс, четвертое -
порядковый номер фермента в подподклассе.
Например, алкогольдегидрогеназа (Н.Ф.1.1.1.1): первая цифра - 1 -
означает класс оксидоредуктаз, вторая цифра - 1 - подкласс дегидрогеназ
(действует на СН - ОН-группу доноров), третья цифра - 1 - подподкласс
анаэробные дегидрогеназы (акцептором служит НАД+ или НАДФ+), четвертая цифра -
1 - конкретный фермент алкогольдегидрогеназа.
Или α-амилаза (Н.Ф.3.2.1.1): первая цифра - 3 - класс гидролаз,
вторая цифра - 2 - подкласс карбогидраз, третья цифра - 1 - подподкласс полиаз,
четвертая цифра - 1 - конкретный фермент α-амилаза.
Современная международная классификация ферментов делит все ферменты на 6
основных классов:
класс - оксидоредуктазы - ферменты, катализирующие
окислительно-восстановительные реакции (присоединение О2, отнятие и перенос Н2,
перенос электронов);
класс - трансферазы - ферменты переноса. Катализируют перенос целых
атомных группировок с одного соединения на другое (например, остатков
моносахаридов, аминокислот, остатков фосфорной кислоты, метальных и аминных
групп и т.д.);
класс - гидролазы - ферменты, катализирующие реакции гидролиза, то есть
расщепления сложных органических соединений на более простые с участием воды.
Эти реакции могут быть выражены следующим уравнением:
+ НОН → R - OH + R1 - H;
класс - лиазы - ферменты, катализирующие реакции негидролитического
отщепления каких-либо групп от субстрата с образованием двойной связи или
присоединение группировок по месту разрыва двойной связи (например, отщепление
Н2О, СО2, NH3 и т.д.);
класс - изомеразы - ферменты, катализирующие реакции изомеризации, то
есть внутримолекулярного переноса химических группировок и образование
изомерных форм различных органических соединений;
класс - лигазы (синтетазы) - ферменты, катализирующие реакции синтеза,
сопряженные с разрывом высокоэнергетической связи АТФ и других
нуклеозидтрифосфатов (при этом возможно образование С-С-; C-S-; С-О-; и C-N-
связей).
В табл. 8.2 представлены шифры, принятые для различных ферментов, их
систематические и тривиальные названия. В таблицу включены лишь ферменты,
имеющие принципиальное значение при хранении, переработке сырья и в
производстве пищевых продуктов. В дальнейшем, везде где это возможно, будут
применяться тривиальные названия.
Внимание технологов, перерабатывающих биологическое сырье, привлекают
прежде всего ферменты 1-го класса - оксидоредуктазы, а также 3-го класса -
гидролазы, поскольку при переработке пищевого сырья происходит разрушение
клеточной структуры биологического материала, повышается доступ кислорода
воздуха к измельченным тканям и создаются
Таблица. 8.2. Номенклатура ферментов, имеющих значение в пищевой
промышленности ["Номенклатура ферментов", Рекомендации 1972 г. - М.,
1979 (под ред. акад. А. Е Браунштейна)]
|
Шифр
|
Систематическое название
|
Тривиальное название
|
|
Оксидоредуктазы
|
|
1.1.3.4
|
β-D-глюкоза: О2-оксидоредуктаза
|
Глюкозооксидаза
|
|
1.11.1.6
|
Н2О2: Н2О2-оксидоредуктаза
|
Катал аза
|
|
1.14.18.1
|
Монофенол,
дигидрооксифенилаланин: О2-оксидоредуктаза
|
Монофенолоксидаза,
полифенолоксидаза, тирозиназа, фенолаза
|
|
Гидролазы
|
|
3.1.1.3
|
Триацилглицерол -
ацилгидролаза
|
Липаза,
триацилглицероллипаза
|
|
3.1.1.11
|
Пектин-пектилгидролаза
|
Пектинэстераза
|
|
3.2.1.1
|
1,4-α-О-глюкан глюканогидролаза
|
α-Амилаза
|
|
3.2.1.2
|
1,4-α-О-глюкан мальтогидролаза
|
β-Амилаза
|
|
3.2.1.3
|
1
,4-α-О-глюкан глюкогидролаза
|
γ-Амилаза, глюкоамилаза
|
|
3.2.1.4
|
1
,4-β-О-глюкан-4-глюкангидролаза
|
Целлюлаза
|
|
3.2.1.15
|
Поли-α- 1 ,4-галактуронид-гликаногидролаза
|
Полигалактуроназа
|
|
3.2.1.20
|
α-D-глюкозид глюкогидролаза
|
α-Гликозидаза
|
|
3.2.1.21
|
D-глюкозид глюкогидролаза
|
β-Гликозидаза
|
|
3.2.1.23
|
β-D-глюкозид галактогидролаза
|
Лактаза, β-галактозидаза
|
|
3.4.23.1
|
-
|
Пепсин
|
|
3.4.23.4
|
-
|
Химозин (реннин)
|
|
3.4.21.4
|
-
|
Трипсин
|
|
3.4.21.1
|
-
|
Химотрипсин
|
|
3.4.22.5
|
-
|
Эластаза
|
|
3.4.21.1
|
-
|
Папаин
|
|
3.4.21.6
|
-
|
Химопапаин
|
|
3.4.22.6
|
-
|
Фицин
|
|
3.4.22.3
|
-
|
Бромелаин
|
|
3.4.22.14
|
-
|
Субтилизин
|
|
3.4.23.6
|
-
|
Кислая протеиназа
|
|
3.4.24.3
|
-
|
Коллагеназа
|
|
Изомеразы
|
|
5.3.1.9
|
D-глюкозо-6-фосфат-кетолизомераза
|
Глюкозоизомераза,
глюкозофосфат-изомераза
|
благоприятные условия для действия ферментов типа оксигеназ, а также
высвобождаются гидролитические ферменты, которые активно расщепляют все
основные структурные компоненты клетки (белки, липиды, полисахариды), в связи с
чем процессы распада клеточного содержимого (процессы автолиза,
самопереваривания) становятся преобладающими.
Остановимся на рассмотрении отдельных представителей этих двух важнейших
для пищевой промышленности классов ферментов с позиции описания их свойств,
активности, механизма реакции и коснемся вопросов практического применения,
которые будут рассмотрены более подробно в разделах, посвященных применению
ферментов в конкретных пищевых технологиях.
Оксидоредуктазы
Полифенолоксидаза (Н.Ф. 1.14.18.1). Этот фермент известен под различными
тривиальными названиями: о-дифенолоксидаза, тирозиназа, фенолаза, катехолаза и
др. Фермент может катализировать окисление моно-, ди-, и полифенолов.
Молекула фермента обладает четвертичной структурой и имеет молекулярную
массу около 34 000 Да. Полифенолоксидаза - купропротеид. Содержание меди -
0,2%, или один атом Си на 1 молекулу фермента. Зона оптимальной активности
лежит между рН 5,0 - 7,0.
В зависимости от того, из какого источника выделен фермент, способность
его к окислению различных фенолов различна. Более того, даже в одном и том же
объекте Полифенолоксидаза может содержаться в виде различных молекулярных форм,
отличающихся по способности к окислению различных фенолов.
С действием этого фермента связано образование темноокрашенных соединений
- меланинов при окислении кислородом воздуха аминокислоты - тирозина.
Потемнение срезов картофеля, яблок, грибов, персиков и других растительных
тканей в большей степени или полностью зависит от действия полифенолоксидазы. В
пищевой промышленности основной интерес к этому ферменту сосредоточен на
предотвращении рассмотренного нами ферментативного потемнения, которое имеет
место при сушке плодов и овощей, а также при производстве макаронных изделий из
муки с повышенной активностью полифенолоксидазы. Эта цель может быть достигнута
путем тепловой инактивации фермента (бланшировка), добавлением ингибиторов
(NaHSO3, SO2, NaCl) или связыванием субстрата посредством метилирования.
Положительная роль фермента проявляется при некоторых ферментативных
процессах: например, при ферментации чая. Окисление дубильных веществ чая под
действием полифенолоксидазы приводит к образованию темноокрашенных и
ароматических соединений, которые определяют цвет и аромат черного чая.
Каталаза (Н.Ф. 1.11.1.6). Этот фермент катализирует разложение пероксида
водорода в соответствии со следующей реакцией:
Таким образом, фермент окисляет одну молекулу перекиси водорода до
кислорода с одновременным восстановлением другой молекулы перекиси водорода до
Н2О.
Каталаза относится к группе гемопротеиновых ферментов. Содержит 0,009%
железа в виде геминовой группировки или 4 атома на одну молекулу фермента.
Молекулярная масса ферментов, выделенных из различных объектов (дрожжей,
растительных и животных тканей, микроорганизмов), лежит в пределах от 225 000
до 250 000 Да. Они имеют существенные различия в оптимуме рН (от 2 до 9), в
термо- и рН-стабильности. Фермент ингибируется цианидом (обратимо), фенолами
(обратимо лишь в слабой форме), щелочью и мочевиной (необратимо). Функцией
каталазы в живом организме является защита клетки от губительного действия
перекиси водорода.
Хорошим источником для получения промышленных препаратов каталазы
являются культуры микроорганизмов и печень крупного рогатого скота.
Каталаза находит свое применение в пищевой промышленности при удалении
избытка Н2О2 при обработке молока в сыроделии, где последняя используется в
качестве консерванта; а также совместно с глюкозооксидазой применяется для
удаления кислорода и следов глюкозы.
Пероксидаза (Н.Ф. 1.11.1.7). Пероксидазы могут быть определены как
ферменты, катализирующие следующую реакцию:
Пероксидаза - двухкомпонентный фермент, представляющий собой сочетание
тема и гликопротеида. Показано, что углеводная часть придает белку большую
специфичность; предполагают, что углеводы стабилизируют трехмерную структуру
фермента.
В настоящее время выделено и охарактеризовано большое число множественных
форм фермента и доказано существование изоферментов, то есть тех форм
ферментов, которые обусловлены генетически. В связи с этим принято говорить о
целой системе пероксидаз, работающих в любом живом организме. Интересным
представляется факт широкой субстратной специфичности пероксидаз по отношению к
донорам водорода (1 -и субстрат), ими могут служить фенолы, амины, другие
органические соединения; и строгой специфичности по отношению к акцептору
водорода (2-й субстрат) - перекиси водорода. Механизм реакции,
предположительно, основан на образовании комплексов фермент - донор и двух
одновалентных ступеней окисления, как это отражает следующая схема:
Пероксидаза + Н2О2 = Комплекс I
Комплекс I + АН2 = Комплекс II + АН
Комплекс II + АН = Пероксидаза + А
Изучению пероксидазы были посвящены классические работы Г. Теореля, Б.
Чанса, А. Н. Баха, Р. Шода. Наиболее активная Пероксидаза выделена из корней
хрена. Ее молекулярная масса равна примерно 40 000 Да, изоэлектрическая точка
7,2. Фермент содержит один атом железа на молекулу. Он достаточно устойчив в
растворах при величинах рН от 4 до 12; его термостабильность значительно выше
термостабильности каталазы. Оптимум рН для пероксидазы хрена равен 7; при рН от
6 до 8 сохраняется 70% его активности.
Липоксигеназа (Н.Ф.1.13.11.12). Этот фермент катализирует окисление
полиненасыщенных высокомолекулярных жирных кислот (линолевой и линоленовой)
кислородом воздуха с образованием высокотоксичных гидроперекисей. Ниже
приведена реакция, катализируемая этим ферментом:
....... СН2-СН=СН-СН2-СН=СН-СН2 ....... СООН
↓ + О2....... СН2-СН=СН-СН=СН-С(ООН)Н-СН2 ....... СООН
Возможно образование и циклических гидроперекисей по следующей схеме:
Однако основное количество жирных кислот превращаются в гидроперекиси,
обладающие сильными окислительными свойствами, и именно на этом основано
использование липоксигеназы в пищевой промышленности.
Липоксигеназа впервые была выделена из семян сои в 1928 г. Последующие
исследования показали, что липоксигеназа широко распространена и в других
растительных объектах: пшенице и других злаках, в семенах масличных и бобовых
культур, в картофеле, баклажанах и т. д.
Тем не менее, самым богатым источником фермента является мука соевых
бобов. Липоксигеназа, полученная в кристаллическом состоянии из семян сои,
имеет молекулярную массу 102 000 Да, изоэлектрическую точку 5,4. Оптимумы рН
для ферментов, выделенных из различных объектов, сильно различаются. Оптимум
температуры липоксигеназы находится между 20 и 30°С.
В зерне пшеницы активность липоксигеназы колеблется в значительных
пределах и является сортовым признаком. Кроме того, активность липоксигеназы
связана с показателем жизнеспособности зерна. Она закономерно снижается со
снижением всхожести зерна и может быть биохимическим тестом жизнеспособности
семян. Значительная часть липоксигеназы пшеницы прочно связана с клейковинными
белками и освобождается при обработке клейковинного комплекса раствором
восстановленного глутатиона.
Липоксигеназе принадлежит важная роль в процессах созревания пшеничной муки,
связанных с улучшением ее хлебопекарных достоинств. Образующиеся под действием
фермента продукты окисления жирных кислот способны вызывать сопряженное
окисление ряда других компонентов муки (пигментов, SH-групп клейковинных
белков, ферментов и др.). При этом происходит осветление муки, укрепление
клейковины, снижение активности протеолитических ферментов и другие
положительные изменения.
В разных странах разработаны и запатентованы способы улучшения качества
хлеба, основанные на использовании препаратов липоксигеназы (главным образом,
липоксигеназы соевой муки). Все они требуют очень точного дозирования фермента,
так как даже небольшая передозировка приводит к резко отрицательному эффекту и
вместо улучшения качества хлеба происходит его ухудшение.
Более мягкий способ воздействия на компоненты муки и теста связан с
активацией собственной липоксигеназы муки путем некоторого варьирования
технологического процесса. При этом исключается эффект передозировки фермента
со всем комплексом нежелательных последствий.
Использование липоксигеназы как улучшителя окислительного действия
требует определенной осторожности, так как хорошо известна токсичность
переокисленных жиров. Интенсивное окисление липоксигеназой свободных жирных
кислот может сопровождаться вторичными процессами образования веществ различной
химической природы с неприятным вкусом и запахом, характерным для прогорклого
продукта. Технологически приемлема ограниченная степень окисления
полиненасыщенных жирных кислот как промежуточного звена преобразования других
компонентов биологического материала, не приводящая к накоплению фракции
окисленных липидов.
Глюкозооксидаза (Н.Ф. 1.1.3.4). Этот фермент был впервые выделен еще в
1904 г. Н. А. Максимовым из плесневых грибов. Фермент представляет собой
флавопротеид, в котором белок соединен с двумя молекулами ФАД. Он окисляет
глюкозу с образованием в конечном счете глкжоновой кислоты и обладает
практически абсолютной специфичностью по отношению к глюкозе. Суммарное
уравнение имеет следующий вид:
Представленный выше процесс на самом деле протекает в несколько стадий:
1-я стадия:
-я стадия:
-я стадия:
Белок-ФАД Н2 + О2 → Белок-ФАД + Н2О2
-я стадия:
На первом этапе этой реакции происходит отнятие двух атомов водорода у
первого углеродного атома глюкозы. При этом образуется восстановленный
флавиновый фермент и лактон глюконовой кислоты. Далее восстановленный фермент
реагирует с кислородом воздуха, и образуется перекись водорода. Токсичная
перекись водорода расщепляется каталазой на кислород и воду, а β-О-глюконо-б-лактон подвергается
спонтанному расщеплению с присоединением воды, в результате чего образуется
глюконовая кислота.
Высокоочищенные препараты глюкозооксидазы получают из плесневых грибов
рода Aspergillus и Penicillium. Они имеют примерно одинаковую молекулярную
массу - около 150 000 Да, изоэлектрическую точку 4,2 - 4,3 и оптимум рН 5,6.
В последние годы глюкозооксидаза получила широкое применение. Благодаря
исключительной специфичности препараты глюкозооксидазы применяются как
аналитическое средство для количественного определения глюкозы.
Кроме этого, препараты глюкозооксидазы нашли применение в пищевой промышленности
как для удаления следов глюкозы, так и для удаления следов кислорода. Первое -
необходимо при обработке пищевых продуктов, качество и аромат которых
ухудшаются из-за того, что в них содержатся восстанавливающие сахара; например,
при получении из яиц сухого яичного порошка. Здесь имеется в виду реакция
Майяра, т. к. глюкоза при сушке и хранении яичного порошка, особенно при
повышенной температуре, легко вступает в реакцию с аминными группами
аминокислот и белков. Порошок темнеет, и образуется ряд веществ с неприятным
вкусом и запахом. Второе - необходимо при обработке продуктов, в которых
длительное присутствие небольших количеств кислорода приводит к изменению
аромата и цвета (пиво, вино, фруктовые соки, майонез). Внесение пакетиков,
содержащих смесь воды, глюкозы, фермента и буфера, способствует удалению
кислорода из воздушного пространства. Во всех подобных случаях в ферментную
систему включают каталазу, разлагающую Н2О2, которая образуется при реакции
глюкозы с кислородом. Этот метод нашел широкое применение в США для удаления
кислорода из банок с сухим молочным порошком.
Гидролитические ферменты
Роль ферментов класса гидролаз в пищевых технологиях очень велика. Это
находит отражение в специальной литературе, монографиях, технических инструкциях,
стандартах. Поэтому в этом разделе остановимся на краткой характеристике
наиболее важных представителей гидролитических ферментов. Для технологов
наибольший интерес представляют три подкласса ферментов класса гидролаз. Это
ферменты, действующие на сложноэфирные связи - эстеразы (Н.Ф.3.1); действующие
на гликозидные соединения - гликозидазы (Н.Ф.3.2) и действующие на пептидные
связи - протеазы (Н.Ф.3.4).
Эстеразы (Н.Ф.3.1). Этот подкласс включает большое число ферментов (около
150), которые разделены на семь подподклассов: ферменты, действующие на эфиры
карбоновых кислот (3.1.1); эстеразы тиоловых эфиров (3.1.2); гидролазы
фосфорных моноэфиров или фосфатазы (3.1.3); гидролазы фосфорных диэфиров
(3.1.4); гидролазы моноэфиров олигофосфорных кислот (3.1.5); сульфатазы
(3.1.6); эстеразы моноэфиров дифосфорных кислот (3.1.7).
Наиболее важными с точки зрения участия в различных биохимических
процессах, имеющих место при хранении и переработке пищевого сырья, являются
ферменты подподкласса 3.1.1.
Липаза (Н.Ф.3.1.1.3). Липаза или триацилглицероллипаза широко
распространена в природе и играет важную роль в процессах, протекающих при
переработке и хранении пищевых продуктов. В настоящее время выделены и
охарактеризованы липазы растительного происхождения (липаза клещевины, пшеницы
и других злаков), животного (панкреатическая липаза, липаза молока) и
микробного (бактериальные и грибные липазы).
Обычно липазы катализируют реакцию расщепления триглицеридов согласно
приведенному ниже суммарному уравнению:
Причем предпочтительнее гидролизуются связи в положении 3 и 1 и лишь
затем в положении 2. Многочисленные экспериментальные данные дают основание
предположить следующий путь липолиза:
триглицерид → 1,2-диглицерид → 2-моноглицерид →
глицерин
Установлено, что липазы быстрее отщепляют остатки высокомолекулярных
жирных кислот, чем низшие карбоновые кислоты. Ферментативный гидролиз липидов
имеет существенное отличие от других гидролитических реакций. Парадокс
заключается в том, что липаза - водорастворимый фермент, а ее субстрат
гидрофобен; однако активность липазы возрастает на границе "вода -
липид". Этот феномен известен под названием "межфазная
активация".
Липазы различного происхождения сильно отличаются друг от друга по
специфичности действия, сродству к различным субстратам, растворимости,
оптимуму рН и другим свойствам. Так, например, липаза семян клещевины
нерастворима в воде, имеет оптимум рН 4,7 - 5,0; панкреатическая липаза
растворима, и оптимум рН ее действия лежит в слабощелочной среде. Липазы
микробного происхождения и липаза пшеничных зародышей также отличаются от
липазы клещевины. Они растворимы в воде и имеют рН оптимум при 8,0. Липаза
молока, молекулярная масса которой примерно 7000 Да, имеет оптимум рН 9,0 - 9,2
при гидролизе молочного жира.
Зерновая липаза участвует в процессе порчи зерновых продуктов при
хранении. Особенно это касается продуктов, содержащих повышенное количество
жира, например, овсяной муки или крупы, пшена. Накопление свободных жирных
кислот под действием липазы (рост кислотного числа жира) - признак ухудшения
качества продукта. Свободные жирные кислоты, особенно ненасыщенные, легко
подвергаются окислению под воздействием разных факторов: липоксигеназы,
тепловой обработки, кислорода воздуха, солнечного света и др. Таким образом,
липазы могут инициировать процесс прогоркания и ограничивать сроки хранения
пищевых продуктов.
Одна из особенностей липаз связана с тем, что эти ферменты способны
катализировать и обратную реакцию, осуществлять синтез сложных эфиров, а также
производить переэтерефикацию триглицеридов, т. е. изменять их жирнокислотный
состав. На этом основании разрабатываются способы получения новых форм жировых
продуктов с использованием специфических липаз. Так, например, путем реакции
переэтерифи-кации делаются попытки получения жира - аналога масла какао из
дешевого исходного сырья.
Пектинэстераза (Н.Ф.3.1.1.11). Пектинэстеразы синтезируются высшими
растениями, микроскопическими грибами, дрожжами и бактериями. Пектинэстераза
катализирует гидролиз сложноэфирных связей в молекуле растворимого пектина, в
результате чего образуется метиловый спирт и полигалактуроновая кислота.
Процесс протекает согласно следующей схеме (стрелками показано действие
фермента):
Таким образом, пектинэстераза отщепляет метоксильные группы от
метоксилированной полигалактуроновой кислоты (см. также гл. Углеводы).
Желирующая способность пектина зависит от степени метоксилирования или
степени этерификации, поэтому действие пектинэстеразы по отщеплению
метоксильных групп приводит к снижению желирующей способности и сопровождается
падением вязкости. На этом, очевидно, и основывается применение этого фермента
для осветления плодовых соков и вина. Обычно комплексные препараты
пектолитических ферментов, применяемые для этих целей, получают из различных
плесневых грибов, и прежде всего из A. niger.
Гидролазы гликозидов или гликозидазы (Н.Ф.3.2). Этот подкласс включает
около ста ферментов с разной специфичностью действия, осуществяющих гидролиз
олиго- и полисахаридов; некоторые ферменты этого типа способны осуществлять трансферазные
реакции - переносить гликозидные остатки на олиго- и полисахариды, наращивать
полисахаридные цепочки. Представители гликозидаз были одними из первых
ферментов, обратимость действия которых in vitro была экспериментально
доказана.
Основной формой запасных углеводов в семенах и клубнях растений является
крахмал. Ферментативные превращения крахмала лежат в основе многих пищевых
технологий. Поэтому ферменты амилолитического комплекса растительного,
животного и микробного происхождения интенсивно изучаются со времени их
открытия Кирхгофом в 1814 г. и до настоящего времени.
α-Амилаза (Н.Ф.3.2.1.1).
α-Амилазы
обнаружены у животных (в слюне и поджелудочной железе), в растениях (проросшее
зерно пшеницы, ржи, ячменя), они вырабатываются плесневыми грибами и
бактериями. Все эти ферменты гидролизуют крахмал, гликоген и родственные α-1,4-глюканы с образованием, главным
образом, декстринов и небольшого количества дисахарида - мальтозы.
α-Амилазы гидролизуют α-1,4-связи внутри молекулы крахмала,
разрывая связь между первым углеродным атомом и кислородом, связывающим этот
углерод с соседней молекулой глюкозы. Это наглядно демонстрирует следующая
схема (стрелками показано действие фермента):
Скорость, с которой α-амилазы гидролизуют глюканы различной
степени полимеризации, быстро уменьшается по мере ее снижения. Амилоза -
линейная фракция крахмала, гидролизуется быстрее, чем амилопектин, имеющий
разветвленную структуру.
Скорость гидролиза α-амилазой зависит от вида и состояния крахмала
(нативный или клейстеризованный крахмал), а также от эффективности самих
амилаз. На основании параллельно проводившихся опытов (в одних - действовали
препаратами амилаз на клейстеризованный крахмал, а в других - эквивалентными
концентрациями на нативные крахмальные зерна) было показано, что эффективность
амилаз различного происхождения уменьшается в следующем порядке:
панкреатическая, солодовая, бактериальная, грибная.
Характерной особенностью всех α-амилаз является наличие одного атома
Са на молекулу фермента. Роль кальция состоит в том, что он стабилизирует
вторичную и третичную структуру молекулы α-амилазы, обеспечивая таким образом ее
каталитическую активность и вместе с тем предохраняя фермент от действия
протеолитических ферментов и тепловой денатурации.
Различные α-амилазы отличаются по молекулярной массе, устойчивости
к нагреванию и некоторым другим показателям. Молекулярная масса α-амилаз близка к 50 000 Да, за
исключением бактериальной α-амилазы, которая имеет молекулярную
массу 96 900 Да (кристаллический препарат). Так, например, широко применяемая в
промышленности α-амилаза из плесневого гриба A. oryzae, полученная в
кристаллическом виде, имеет молекулярную массу 51 860 Да.
Большое практическое значение имеет влияние температуры и рН на
стабильность амилаз. Быстрое разрушение зерновой α-амилазы при рН 3,3 - 4,0, например,
дает возможность выпекать ржаной хлеб из муки, которая содержит избыток α-амилазы, при низких значениях рН,
чтобы предотвратить излишнее декстринирование крахмала и образование клейких
веществ в мякише хлеба.
Говоря о термостабильности α-амилаз различного происхождения,
можно расположить их в следующем ряду по мере снижения устойчивости к
нагреванию: бактериальные амилазы - зерновые амилазы - грибные амилазы.
Последними работами в области изучения амилаз показано, что в семенах
растений присутствуют два типа α-амилазы: α-амилаза созревания и α-амилаза прорастания.
В созревающем зерне синтезируется α-амилаза созревания, которая затем
переходит в латентную форму, локализуясь на мембранах алейронового слоя. Первый
этап гидролиза крахмала при прорастании осуществляется этой α-амилазой. И только на следующем этапе
в работу включается вновь синтезируемый фермент - α-амилаза прорастания. Ее синтез в
клетках зародыша и алейронового слоя начинается при влажности зерна выше 28%.
Две формы α-амилазы семян злаков различаются по термостабильности: α-амилаза созревания при 70°С теряет
50% своей активности, тогда как α-амилаза прорастания при этой
температуре только незначительно снижает свою активность.
Интенсивность гидролиза крахмала в перерабатываемом сырье, как уже
отмечалось ранее, определяется взаимодействием многих факторов. Это прежде
всего состояние амилаз созревшего зерна и возможность перехода части латентной
формы в свободное состояние. Это и состояние субстрата, его доступность
действию фермента (атакуемость субстрата). Большое значение имеет и фракционный
состав крахмальных гранул, соотношение мелких и крупных зерен, а также
содержание поврежденных зерен крахмала, которые легче поддаются действию
ферментов.
Как было установлено в последнее время, важная роль в этом процессе
принадлежит протеолитическим ферментам. Протеазы, осуществляя ограниченное
расщепление белков, способствуют освобождению амилаз из связанного состояния, а
также гидролизуют ту часть запасных белков, которая прочно связана с
поверхностью крахмальных гранул, облегчая тем самым доступ фермента к
субстрату.
Мощным механизмом регуляции скорости расщепления крахмальных гранул
является система белковых ингибиторов амилаз, широко представленных в
растениях. Ингибиторы белковой природы избирательно взаимодействуют с амилазами
и образуют неактивные комплексы "амилаза - ингибитор". Высокой
активностью обладают ингибиторы амилаз картофельного сока. Из зерна пшеницы
выделен ингибитор с двумя активными центрами (двухцентровой). Один активный
центр имеет сродство к протеазам и способен блокировать их действие. Другой
активный центр имеет сродство к амилазам. Таким образом, один ингибитор
белковой природы способен блокировать работу как протеаз, так и амилаз. В образующемся
надмолекулярном комплексе ингибитор выполняет своеобразную роль связывающего
звена, подавляя активность ферментов разного механизма действия.
β-Амилаза (Н.Ф.3.2.1.2). β-Амилаза отщепляет мальтозу от
нередуцирующего конца цепи, разрывая гликозидные связи через одну. Название
"|3-амилаза" было выбрано для того, чтобы показать, что мальтоза
образуется в β-аномерной форме. Это не означает, что в молекуле крахмала
присутствуют β- связи, а указывает скорее на то, что происходит инверсия
конфигурации, которая может иметь место в процессе ферментативного превращения
вещества, содержащего асимметрический атом углерода. Такая инверсия была
открыта П. Вальденом в 1893 г. и поэтому названа вальденовской инверсией. На
представленной ниже схеме действие β-Амилазы на амилозу и амилопектин
показано стрелками.
Таким образом, действуя упорядочение, β-Амилаза последовательно отщепляет
остатки мальтозы с нередуцирующего конца до тех пор, пока не встретится точка
ветвления со связью α-1,6. При этом амилоза под действием β-Амилазы расщепляется до мальтозы на
100%, а при действии β-Амилазы на амилопектин помимо образующейся мальтозы
остается нетронутой крупная, сильно разветвленная сердцевина, так называемый
"конечный декстрин", т. к. фермент прекращает свое действие за 2 - 3
остатка глюкозы от точек ветвления.
β-Амилазы - это ферменты в основном
растительного происхождения. Хорошо известными источниками являются зерно
пшеницы, а также пшеничный и ячменный солод, соевые бобы, клубни картофеля.
В отличие от α-амилазы, β-Амилаза менее термостабильна, но
проявляет большую устойчивость к кислым значениям рН, сохраняя свою активность
при рН 3,3. Это нашло свое отражение в способе разделения α-и β-Амилаз солода, где оба фермента
присутствуют одновременно.
Глюкоамилаза (Н.Ф.3.2.1.3). Глюкоамилаза (у-амилаза) продуцируется
различными видами плесневых грибов рода Aspergillus: A. oryzae, A. niger, A.
awamory и некоторыми другими, например, Rhizopusdelamarn Rhizopus niveus. Эти
ферменты расщепляют как амилозу, так и амилопектин до глюкозы, последовательно
действуя с нередуцирующего конца цепи крахмала. Они способны гидролизовать α-1,4
и α-1,6
гликозидные связи.
Различные глюкоамилазы отличаются друг от друга скоростью гидролиза
крахмала, отношением к температуре и рН, и некоторыми другими показателями. На
использовании препаратов грибной глюкоамилазы разработан ферментативный метод
получения глюкозы, который получил широкое распространение в Японии.
Поллуланаза(Н.Ф. 3.2.1.41). Ранее этот фермент был известен под другими
названиями - R-фермент, предельная декстриназа, дебранчинг-фермент.
Поллуланаза является эндогенным ферментом, она способна хаотично
гидролизовать α-1,6-гликозидные связи в пуллулане, амилопектине, гликогене и
предельных декстринах, которые получаются при совместном воздействии на крахмал
и гликоген α- и β-Амилаз. Наиболее частым отцепляемым фрагментом
является мальтотриоза..
Продуцетами пуллуланазы являются Aerobacter aerogenes, Bacillus cereus,
Bacillus polimyxa, Bacillus sp. и Streptomyces. Ферменты, полученные из различных
источников, обладают разной молекулярной массой
(от 48 000 до 143 000 Да) и по разному относятся к температуре и рН,
действию ингибиторов и активаторов.
Инулаза (Н.Ф. 3.2.1.7). Фермент осуществляет гидродиз инулина и других
полифруктозанов по (3-1,2-фруктозидной связи, начиная с β-фруктозидного конца полимера. В
результате образуется фруктоза и единственная молекула глюкозы на одну молекулу
инулина. При полном гидролизе инулина получается 95% фруктозы и 5% глюкозы.
Фермент гидролизует главным образом инулин; сахароза, рафиноза также
гидролизуются, но с незначительной скоростью. Инулаза содержится в тех же
растениях (топинамбур, цикорий), в которых присутствует инулин. Активная
инулаза продуцируется Aspergillus awamori BKM-808 при глубинном культивировании.
Препарат обладает высокой стабильностью к Н+-ионам и температуре. Оптимум рН
действия 4,5; оптимум температуры - 65°С.
Полученные из инулина фруктозные сиропы могут быть широко использованы в
кондитерской промышленности и диетическом питании.
β-Фруктофуранозидаза (Н.Ф.3.2.1.26).
Другие названия этого фермента - инвертаза или сахараза.
Для промышленного производства имеют значения только ферменты из S.
cerevisiae и S. carlsbergensis. β-Фруктофуранозидазу выделяют из
дрожжей путем автолиза.
В результате действия фермента на сахарозу получается смесь эквимолярных
количеств α-глюкозы и β-фруктозы, получившая название
"инвертного сахара". Термин "инверсия" обозначает
изменения, происходящие в способности сахара вращать плоскость поляризованного
света. Это можно выразить следующей схемой:
Сахароза + Н2О → D (+)-глюкоза + D ( - )-фруктоза
[α]D=+66,5° [ α]D = +52,5° [α]D = -92,4°
Оптимум рН дрожжевой инвертазы находится в достаточно широкой зоне от 4,0
до 5,5. Фермент ингибируется ионами металлов. Полное ингибирование происходит
под действием ртути и свинца; частичное ингибирование вызывают ионы серебра,
цинка, меди. β-Фруктофуранозидаза гидролизует также рафинозу и метил-β-О-фруктофуранозид, причем, если
относительную скорость гидролиза сахарозы принять за 100, то соответствующие
скорости расщепления этих субстратов будут равны 47 и 77.
Инвертаза находит широкое применение в пищевой промышленности. Гидролиз
концентрированных растворов сахарозы приводит к образованию более сладких
сиропов. Точка кипения инвертированных сиропов выше, а точка замерзания ниже,
т. к. при инверсии повышается осмотическое давление. Образовавшиеся при
действии инвертазы моносахариды более растворимы, не так легко
выкристаллизовываются из высококонцентрированных сиропов. Практическое использование
инвертазы в кондитерской промышленности будет рассмотрено в разделе 8.3.
β-Галактозидаза (Н.Ф.3.2.1.23).
Фермент, который часто называют лактазой, катализирует реакцию гидролитического
отщепления нередуцирующих остатков β-D-галактозы в β-галактозидах, в частности, в молочном
сахаре - дисахариде лактозы:
Ферментные препараты лактазы, применяемые в пищевой промышленности,
получают с помощью различных продуцентов: микроскопических грибов (A. oryzae,
A. niger), бактерий (Е. coli, Lactobacillus), дрожжей (S. fragilis, S.
psedotropicalis). Все они имеют различные температурные оптимумы, которые,
однако, лежат в пределах 37 - 50°С. Оптимумы рН этих ферментов также заметно
отличаются: для бактериальных - около 7,0; для грибных - около 5,0; для
дрожжевой лактазы - около 6,0.
При гидролизе лактозы в цельном молоке, обезжиренном молоке или в
концентратах молока оптимальную активность (при нейтральном рН этих субстратов)
проявляет дрожжевой фермент; для сыворотки и его концентратов - грибной. Причем
в обезжиренном молоке или сыворотке лактоза гидролизуется легче, чем в цельном,
а пастеризованные субстраты гидролизуются легче, чем непастеризованные.
β-Галактозидаза из E.coli была получена
в кристаллическом состоянии, ее молекулярная масса 850 000 Да. Она ингибируется
некоторыми металлами (Си, Zn). Восстанавливающие агенты (цистеин, сульфид Na,
сульфит Na и др.) активируют фермент и способны преодолевать влияние
ингибиторов-металлов.
У некоторых групп населения (исключение составляют жители Северной Европы
и некоторых районов Африки) ярко выражена непереносимость (интолерантность)
лактозы, связанная с полным или частичным исчезновением у взрослых людей
лактазной активности в клетках кишечного эпителия. У грудных младенцев
активность этого фермента очень высока.
Эндополигалактуроназа (Н.Ф.3.2.1.15) и экзополигалактуроназа
(Н.Ф.3.2.1.67). Эти два фермента участвуют в превращениях пектиновых веществ
наряду с другими пектолитическими ферментами растительного и микробного
происхождения (см. также гл. 3).
Эндополигалактуроназа - фермент, который гидролизует α-1,4-связи в молекуле растворимого пектина
(метоксилированной полигалактуроновой кислоты), неупорядоченным, произвольным
образом. С возрастанием степени этерификации полигалактуроновой кислоты степень
и скорость гидролиза падают, т. к. для проявления каталитической активности
фермента требуются свободные карбоксильные группы. Большинство изученных
эндополигалактуроназ микроскопических грибов имеют молекулярную массу от 30 000
до 40 000 Да. Оптимальные значения рН колеблются в диапозоне 3,8 - 5,5.
В гидролизе этого типа связи принимает участие и другой фермент -
экзополигалактуроназа, который последовательно отщепляет молекулу
галактуроновой кислоты, начиная с нередуцирующего конца. Эндополигалактуроназа
синтезируется как грибами, так и некоторыми видами бактерий. Они отличаются по
своей специфичности к пектинам из различных источников, конечными продуктами
реакции, оптимуму рН и другим свойствам.
Для промышленного производства ферментных препаратов пек-толитических
ферментов, которые являются комплексными, в качестве продуцентов используют в
основном микроскопические (плесневые) грибы, в частности, грибы рода
Aspergillus: A. niger, A. wentii, A. oryzae. Бактериальные ферменты в
промышленных масштабах не производятся.
Растительные полигалактуроназы, по-видимому, похожи на грибные
прлигалактуроназы. Они обнаружены в широком спектре плодов и овощей: помидорах,
авокадо, редисе, огурцах, яблоках, грушах, цитрусовых и др. Все они проявляют
активность при естественных рН плодов.
Применение препаратов пектолитических ферментов в промышленности
достаточно обширно. Они используются при производстве фруктовых соковых
концентратов и экстрактов, при осветлении соков и вин, при производстве
фруктовых и овощных пюре и нектаров.
Целлюлолитические ферменты. Ферментативное разрушение целлюлозы и
родственных ей полисахаридов (гемицеллюлозы, лигнина) - сложный процесс,
требующий участия комплекса ферментов. Продуцентами такого комплекса
целлюлолитических ферментов являются грибы рода Trichoderma, Phanerochaete
(Sporotrichum) и Fusarium, a также бактерии рода Clostridium, Cellulomonas и
некоторые другие.
Три основных типа целлюлолитических ферментов, продуцируемых
микроскопическими грибами, образуют комплекс ферментов, способных осуществить
полный гидролиз целлюлозы:
Эндо-1,4-β-глюконаза или целлюлаза (Н.Ф.3.2.1.4) беспорядочно
гидролизует β- 1,4-гликозидные связи. Она не расщепляет целлобиозу, но
гидролизует целлодекстрины и производные целлюлозы с высокой степенью
замещения, т. к. специфичность этого фермента не высока.
Экзо-1,4-β-глюконаза или целлобиогидролаза (Н.Ф.3.2.1.91)
действует на целлюлозу, отщепляя целлобиозные звенья с нередуцирующего конца
цепи. Этот фермент не действует на замещенные производные целлюлозы, что
указывает на более высокую субстратную специфичность, чем у эндоглюконазы.
Целлобиогидролаза гидролизует целлодекстрины, но не действует на целлобиозу.
β-Глюкозидаза (Н.Ф.3.2.1.21) расщепляет
целлобиозу и целлоолигосахариды до глюкозы. Фермент не действует на целлюлозу и
высшие олигосахариды.
Целлюлазная система бактерий существенно проще, чем у грибов, т. к.
бактерии образуют только эндоглюконазу и β-глюкозидазу.
Все ферменты целлюлолитического комплекса достаточно хорошо изучены:
практически все они являются гликопротеидами, определены их молекулярные массы,
изоэлектрические точки, для многих показано наличие множественных форм.
Доказано, что различные ферменты, гидролизующие высокоупорядоченную
целлюлозу, действуют в синергизме (рис. 8.10).
Эндоглюконаза атакует аморфные участки целлюлозных фибрилл. В результате
образуются новые целлюлозные цепочки, на которые действует целлобиогидролаза,
отщепляя целлобиозные звенья с нередуцирующего конца. Синергизм между двумя
этими ферментами проявляется в том, что в результате действия эндоглюконазы
появляется новый субстрат (более короткие цепочки), на который действует уже
целлобиогидролаза. β-Глюкозидаза усиливает гидролиз, расщепляя целлобиозу -
конечный продукт и ингибитор этих ферментов.
Применение целлюлолитических ферментов представляет большой интерес, т.
к. ферментативный гидролиз целлюлозосодержащих материалов (древесина, торф,
сельскохозяйственные и городские отходы) может обеспечить получение различных
биотехнологических продуктов (глюкозы, этанола, ацетона, микробной биомассы). В
настоящее время исследования ферментативного расщепления целлюлозы достигли
такого уровня, когда имеются все необходимые условия для разработки
промышленного процесса и лишь по экономическим причинам он не реализуется на
практике.
Протеолитические ферменты (Н.Ф.3.4). Основной реакцией, катализируемой
протеолитическими ферментами, является гидролиз пептидной связи в молекулах
белков и пептидов.
Согласно первоначальной классификации протеолитических ферментов их
делили на две группы: протеиназы и пептидазы. При этом считали, что протеиназы
действуют на белки, расщепляя их до полипептидов; полипептиды же гидролизуются
пептидазами до аминокислот. Более поздняя классификация, до сих пор сохранившая
свое значение, основана на схеме, предложенной М. Бергманом и Д. Фрутоном
(1937). Согласно этой схеме протеазы разделяются на эндо- и экзопептидазы.
Ферменты первой группы (эндопептидазы) могут гидролизовать глубинные пептидные
связи и расщеплять молекулу белка на более мелкие фрагменты; ферменты второй
группы (экзопептидазы) не могут гидролизовать пептидные связи, находящиеся в
середине цепи, и действуют либо с карбоксильного, либо с аминного конца цепи,
отщепляя последовательно одну задругой концевые аминокислоты. В связи с этим
экзопептидазы подразделяют на аминопептидазы, карбоксипептидазы и дипептидазы.
Аминопептидазы (Н.Ф.3.4.11) катализируют отщепление N-концевых
аминокислот.
Карбоксипептидазы (Н. Ф. 3.4.12) катализируют отщепление С-концевых
аминокислот.
Дипептидазы (Н.Ф.3.4.13) проявляют специфичность к дипептидным
субстратам.
Вместе с тем эндопептидазы (протеиназы) разделены на подгруппы, начиная с
подподкласса 3.4.21, в первую очередь на основании каталитического механизма
(строения активного центра); особенности специфичности используются при этом
только для идентификации индивидуальных ферментов в пределах подподкласса:
сериновые протеиназы (Н.Ф.3.4.21), в активном центре которых
функционирует остаток серина и гистидина;
тиоловые (цистеиновые) протеиназы (Н.Ф.3.4.22), содержат в активном
центре SH-группу остатка цистеина;
кислые (карбоксильные) протеиназы (Н.Ф.3.4.23), в активном центре
содержат СООН-группу остатка аспарагиновой кислоты;
металлопротеиназы (Н.Ф.3.4.24), содержат в активном центре металл,
необходимый для проявления их каталитической активности.
Группа протеиназ, о механизме действия которых ничего неизвестно,
отнесена к подподклассу 3.4.99.
Субстратная специфичность протеиназ будет определяться следующими
факторами: природой аминокислоты, образующей гидролизуемую пептидную связь;
радикалами аминокислот, удаленными от гидролизуемой пептидной связи; общей
пространственной конформацией молекулы белка, делающей определенные пептидные
связи доступными для действия фермента.
Исследование протеолитических ферментов ведется весьма интенсивно. Это
происходит вследствие того, что они являются чрезвычайно удобным объектом для
изучения структуры белков, активных центров ферментов, механизмов регуляции
ферментативной активности и других важных вопросов энзимологии; кроме того,
протеазы широко применяются в различных отраслях промышленности: пищевой,
сельском хозяйстве, медицине.
Промышленное применение препаратов протеаз будет описано в разделе 8.3.
Здесь же мы остановимся на рассмотрении отдельных свойств протеаз, имеющих
технологическое значение, предварительно разделив их по типу происхождения на
растительные, животные и микробные.
Растительные протеазы. Споры о приоритетности тех или иных ферментных
препаратов, полученных из названных источников, ведутся уже достаточно долго.
Однако, в связи с ограниченностью животного сырья (внутренние органы крупного
рогатого скота и свиней), а также возможной токсичностью микробных препаратов
(все они требуют высокой степени очистки, хотя и это не может служить
абсолютной гарантией их безопасности), большой интерес представляют
растительные протеазы, лишенные указанных недостатков.
Папаин (Н.Ф.3.4.22.2) и химопапаин (Н.Ф.3.4.22.6). Папаин является
наиболее применяемым в производстве протеолитическим ферментом. Ферменты папаин
и химопапаин - истинные ферменты латекса плодов дынного дерева (Carica papaya).
Эти ферменты относятся к группе тиоловых протеиназ, характерной
особенностью которых является то, что они активируются сульфгидрильными
соединениями - восстановленным глутатионом, цистеином.
Папаин и химопапаин получены в кристаллическом состоянии; их молекулярная
масса 20 700 и 36 000 Да, соответственно, а изоэлектрические точки равны 8,75
для папаина и 10,1 для химопапаина.
Оптимальная зона рН для действия папаина зависит от природы
гидролизуемого белка и может быть слабокислой, нейтральной или слабощелочной.
Химопапаин имеет большое сходство с папаином, однако можно выделить и
некоторые интересные отличия. Например, активность химопапаина при гидролизе
гемоглобина и казеина в два раза ниже, чем у папаина; он более термоустойчив,
чем папаин, и проявляет хорошую стабильность в кислой среде (рН 2,0).
Папаин обладает довольно широкой специфичностью. Он преимущественно
гидролизует вторую пептидную связь, лежащую за карбоксильной группой
фенилаланина.
Различные фирмы, как зарубежные, так и отечественные, выпускают
ферментные препараты на основе папаина с различной степенью очистки.
Возможности их использования обширны: кожевенная промышленность (при
обезволашивании и мягчении шкур); кинопроизводство (для растворения
желатинового слоя на пленках при их регенерации); парфюмерия (при создании
добавок в кремы, лосьоны, зубные пасты); производство синтетических моющих
средств (для удаления загрязнений белковой природы); медицина (при лечении
воспалительных процессов, ожогов, тромбозов и др.); пищевая промышленность
(виноделие, пивоварение, производство спирта, хлебопечение, сыроделие и др.).
Фицин (Н. Ф. 3.4.22.3) и бромелаин (Н. Ф. 3.4.22.5). Фицин выделяют из
млечного сока фикусовых растений, например, инжира (Ficus carica). Так же, как
и папаин, он относится к тиоловым протеиназам. Еще один тиоловый фермент -
бромелаин - получают из свежего сока ананаса (Bromeliacea).
Оба эти фермента имеют сходство с папаином, проявляют наибольшую
активность в нейтральной зоне рН, обладают широкой специфичностью,
предпочтительно расщепляют пептидные связи, образованные положительно
заряженными аминокислотами.
Использование бромелаина и фицина аналогично использованию папаина; в
последние годы их производство возросло, и в настоящее время эти ферменты применяют
для удаления белковой мути в пиве и для мягчения мяса.
Протеолитические ферменты семян растений. В семенах злаковых и бобовых
культур содержится целый комплекс протеолитических ферментов, участвующих в
расщеплении запасных белков до аминокислот в процессе прорастания семян. В
покоящихся семенах состояние белкового комплекса характеризуется высокой
стабильностью и автолиз в водных суспензиях выражен слабо. Поэтому комплекс
протеолитических ферментов семян оставался долгое время слабо изученным. Это было
связано с методическими трудностями их выделения и очистки. В настоящее время
известно, что протеолиз белков в семенах растений осуществляется комплексом
ферментов, различающихся по своим функциям, механизму действия и другим
показателям. Некоторые из этих ферментов были выделены в виде высокоочищенных
препаратов и подробно охарактеризованы. Так, например, из семян пшеницы были
выделены несколько типов протеолитических ферментов, различающихся по оптимуму
рН: кислые протеиназы с оптимумом рН 3,7 - 4,0; нейтральные протеиназы с
оптимумом рН 6,5 - 7,0; щелочные протеиназы с оптимумом рН > 8,0.
Из трех групп протеиназ наибольшего внимания технологов заслуживают
нейтральные протеиназы. По активности они в несколько раз превосходят кислые и
в условиях теста способны эффективно расщеплять белки клейковины. Одна из
особенностей нейтральных протеиназ состоит в том, что они не растворяются в
водных, солевых и буферных растворах. Они прочно связаны с белками
клейковинного комплекса и извлекаются при частичном растворении клейковины в
щелочном растворе. Максимальное извлечение нейтральных протеиназ происходит при
обработке измельченного зерна, муки или лиофилизированной клейковины 0,35%-м
раствором карбоната натрия. При подкислении щелочного раствора нейтральные протеиназы
выпадают в осадок, а в надосадочной жидкости остаются их белковые ингибиторы.
Таким образом, в созревших семенах пшеницы нейтральные протеиназы и их белковые
ингибиторы образуют единый неактивный комплекс, связанный с клейковиной.
Соотношение активности протеиназ и их ингибиторов в созревшем зерне определяет
стабильность белкового комплекса, его устойчивость в процессе тестоведения.
Нейтральные протеиназы не активируются восстановленным глутатионом или
цистеином и поэтому не могут быть отнесены к тиоловым ферментам, в отличие от
кислых протеиназ. Нейтральные протеиназы ингибируются хлоридом натрия,
фенольными соединениями, ароматическими аминокислотами, продуктами
сахаро-аминной реакции (меланоидинами). Хлорид натрия является обязательным
компонентом рецептуры и, внесенный в таком количестве, снижает активность
нейтральных протеиназ и соответственно интенсивность автолиза на 60 - 70%. В
зависимости от качества муки и состояния ее клейковинного комплекса технолог
может варьировать время внесения соли и тем самым регулировать интенсивность
протеолиза. При переработке слабой муки необходимо как можно раньше вводить
соль, тогда как для муки с чрезмерно крепкой клейковиной желательно
активизировать протеолиз, и соль следует вносить на более поздних стадиях.
В связи с этим необходимо еще раз подчеркнуть важность изучения
собственных эндогенных ферментных систем биологического сырья, факторов,
влияющих на их активность с точки зрения их огромной роли в процессах,
происходящих при созревании, хранении и переработке пищевого сырья.
Протеазы животного происхождения. Протеазам животного происхождения
принадлежит огромная роль в процессах пищеварения. Они были одними из первых
ферментов, которые получены в высокоочищенном кристаллическом состоянии и
детально изучены. Именно они стали объектами для расшифровки структуры
активного центра и механизма каталитической активности. Кроме того, эти
ферменты, благодаря своей высокой специфичности, сами явились инструментами для
расшифровки первичной структуры белков, изучения регуляторных функций протеаз в
метаболизме клетки.
Трипсин (Н.Ф.3.4.21.4). Трипсин - сериновая протеиназа, полученная в
кристаллической форме. Молекулярная масса около 23 800 Да. Изо-электрическая
точка 10,6; оптимум рН действия находится между 7,0 - 9,0 для белков и
синтетических субстратов.
Трипсин проявляет высокую специфичность к определенным пептидным связям.
Он осуществляет гидролиз пептидных связей, образованных карбоксильными группами
аргинина и лизина. Трипсин секретируется поджелудочной железой в виде зимогена
- трипсиногена, неактивного предшественника, и активируется либо энтерокиназой,
либо аутокаталитически активным трипсином по механизму ограниченного
протеолиза. Превращение трипсиногена (229 аминокислотных остатка и молекулярная
масса около 24 000 Да) в трипсин (223 аминокислотных остатка) можно представить
следующим образом: разрыв одной-единственной пептидной связи между Лиз - Иле,
отщепление N-концевого гексапептида Вал - Асп - Асп - Асп - Асп - Лиз приводит
к образованию активной формы фермента.
Высокоочищенный трипсин применяется для медицинских целей. Это одна из
главных протеаз поджелудочной железы, которая в виде неочищенного панкреатина
находит некоторое применение в пищевой промышленности для производства
гидролизатов.
Химотрипсин (Н.Ф.3.4.21.1). Химотрипсин - протеолитический фермент,
секретируемый поджелудочной железой в тонкий кишечник в виде неактивного
предшественника, называемого химотрипсиногеном. Химотрипсиноген (молекулярная
масса около 25 000 Да) представляет собой полипептидную цепь, состоящую из 245
аминокислотных остатков и содержащую пять дисульфидных связей. Он активируется
в тонком кишечнике под действием трипсина. При этом происходит гидролиз четырех
пептидных связей и отщепление двух дипептидов( 14 - 15 и 147 - 148). В результате
образуется активный химотрипсин, состоящий из трех полипептидных цепей,
ковалентно связанных двумя дисульфидными мостиками.
В активном центре химотрипсина содержится остаток гистидина (57),
аспарагиновой кислоты (102) и остаток серина (195). Молекулярная масса около 22
500 Да. Изоэлектрическая точка 8,3; оптимум рН в пределах 7,0 - 9,0, что
согласуется с естественными условиями его действия.
Специфичность химотрипсина заключается в том, что он предпочтительнее
гидролизует пептидные связи, образованные ароматическими аминокислотами:
тирозином, триптофаном, фенилаланином.
Этот фермент не применяется в пищевой промышленности как таковой, но
является составной частью комплексных препаратов панкреатина.
Пепсин (Н.Ф.3.4.23.1). Пепсин вырабатывается слизистой желудка в виде
пепсиногена (молекулярная масса около 42 000 Да). Пепсиноген превращается в
активный пепсин под действием НС1 или аутокаталитически путем расщепления одной
пептидной связи. Фермент получен в кристаллическом виде, его молекулярная масса
35 000 Да, оптимум рН действия 1,8.
Пепсин является кислой (карбоксильной) протеиназой. Его специфичность
выражается в преимущественном гидролизе пептидных связей, образованных аминными
группами фенилаланина и тирозина.
Пепсин имеет огромное значение как пищеварительный фермент, он входит в
состав лекарственных ферментных препаратов, тонизирующих средств, жевательной
резинки. В пищевой промышленности пепсин используют для свертывания казеина
молока и для растворения белковой мути в пиве.
Реннин (Н.Ф.3.4.23.4). Этот фермент, имеющий много сходства с пепсином,
содержится в соке четвертого отдела желудка телят. Реннин образуется из
предшественника - прореннина. Его молекулярная масса около 40 000 Да,
изоэлектрическая точка около 4,5. Оптимум рН действия фермента 3,7.
Реннин представляет собой мощную протеазу, осуществляющую свертывание
молока; он является основным компонентом неочищенных экстрактов и комплексных
промышленных препаратов, используемых для этой цели.
Казеин молока (78% всех азотистых веществ молока) является
фос-фопротеидом, содержащим около 6-10% углеводов. Он не осаждается ионами
Са+2; действие реннина приводит к образованию макроглико-пептида и парα-х-казеина. Последний осаждается в
присутствии ионов Са+2 и способствует осаждению других фракций казеина.
Микробные протеазы. Число микроорганизмов, продуцирующих протеазы,
чрезвычайно велико. Специфичность этих ферментов во многих случаях более
широкая, чем специфичность хорошо изученных ферментов животного происхождения,
что затрудняет их классификацию.
Микробные протеазы (грибные и бактериальные) находят широкое применение в
различных отраслях промышленности. Среди них есть ферменты, имеющие оптимумы в
нейтральной, кислой и щелочной зонах рН; некоторые из них проявляют
трипсиноподобное действие, другие являются пепсиноподобными ферментами, третьи
- тиоловыми, четвертые имеют пептидазную активность и т. д. Многие из них были
выделены в виде высокоочищенных препаратов и подробно охарактеризованы.
Наибольшее применение нашли щелочная сериновая протеаза из Bacillus
licheniformis, которая используется в моющих средствах; протеаза из Мусог,
которая заменила телячьи сычуги в производстве сыра, а также грибная протеаза
из A. oryzae (в комплексе с амилазой), используемая в хлебопечении.
Протеазы - наиболее важные промышленные ферменты. Уровень потребления
препаратов микробных протеаз около 40% от всех используемых ферментов (табл.
8.3).
Таблица 8.3. Уровень потребления промышленных препаратов протеаз
[Микробные ферменты и биотехнология (под ред. В. М. Фогарти), 1986]
|
Фермент
|
Доля проданных на рынке
микробных протеаз, %
|
|
Микробные ферменты
|
Всего ферментов
|
|
Бактериальная щелочная
протеаза
|
37
|
30
|
|
Микробный реннин
|
7
|
6
|
|
Другие микробные протеазы
|
4
|
3,5
|
|
Животный реннин
|
-
|
11
|
|
Другие протеазы животного
происхождения
|
-
|
2,5
|
|
Растительные протеазы
|
-
|
11
|
|
Другие (непротеолитические)
микробные ферменты
|
52
|
36
|
|
Всего
|
100
|
100
|
Субтилизин Карлсберга (Н.Ф.3.4.21.14). Кристаллическая форма этого
фермента впервые была получена в 1952 г., и с тех пор субтилизин является
наиболее важной промышленно используемой микробной протеазой. Он продуцируется
В. subtilis и В. licheniformis.
Этот фермент состоит из одной полипептидной цепочки (214 аминокислотных
остатка), среди аминокислот отсутствует цистеин. Молекулярная масса фермента -
27 277 Да, изоэлектрическая точка 9,4; оптимум рН 8,0 - 9,0. Фермент отличается
высокой рН-стабильностью в диапазоне от 5,0 до 11,0.
Субтилизин Карлсберга является сериновой протеиназой, обладает широкой
специфичностью, предпочтительнее гидролизует пептидные связи, образованные
ароматическими аминокислотами.
Ренниноподобные кислые протеазы. Наиболее важные с практической точки
зрения кислые протеазы, используемые при производстве сыров, образуют культуры
Mucor pusillus и Mucor mieher.
Протеазы из Mucor pusillus имеют молекулярную массу 30 000 Да, состоят из
одной полипептидной цепочки, оптимум рН действия по казеину 4,5, по гемоглобину
4,0.
Протеазы из Mucor mieher имеют большую молекулярную массу 38 000 Да,
содержат около 6% углеводов и проявляют максимальную активность по гемоглобину
при рН 4,5.
Нейтральные протеазы аспергилловых грибов. Из культуры A. oryzae были
выделены две нейтральные металлопротеиназы. Одна из них имеет оптимум рН 7,0,
однако быстро инактивируется при 50°С. Другая обладает более низким оптимумом
рН 5,5 - 6,0, но проявляет высокую термостабильность (10 минут, 90°С -
остаточная активность 10%).
Протеазы из различных штаммов A. oryzae или из одних штаммов, но растущих
при разных условиях, неодинаково влияют на процесс хлебопечения даже в том случае,
если доза фермента стандартизирована. Это объясняется тем, что промышленные
препараты содержат различные количества протеолитических компонентов из A.
oryzae, а также влиянием многообразных внешних и внутренних факторов на
протеолиз белков муки.
.3 ПРИМЕНЕНИЕ
ФЕРМЕНТОВ В ПИЩЕВЫХ ТЕХНОЛОГИЯХ
Ферментные препараты в отличие от ферментов содержат помимо активного
фермента множество балластных веществ, в том числе и других белков. Кроме того,
большинство ферментных препаратов являются комплексными, т. е. кроме основного
фермента, имеющего наибольшую активность, в его состав входят другие
сопутствующие ферменты. Однако существуют препараты и индивидуальных ферментов.
Название ферментного препарата включает название основного фермента и
название микроорганизма-продуцента, с окончанием "-ин". Например:
амилоризин - основной фермент - амилаза, продуцентoryzae; протосубтилин -
основной фермент - протеаза, продуцент Bacillus subtilis. Помимо этого, в
названии обязательно отражается способ культивирования микроорганизма: Г -
глубинное; П - поверхностное, а также степень очистки - X (2Х; ЗХ; 10Х; 15Х;
20Х).
Применение ферментных препаратов в отраслях пищевой промышленности
позволяет интенсифицировать технологические процессы, улучшать качество готовой
продукции, увеличивать ее выход, а также сэкономить ценное пищевое сырье.
Ферментные препараты должны удовлетворять требованиям, предъявляемым
конкретными технологиями не только по типу катализируемой реакции, но и в
отношении условий их действия: рН, температуры, стабильности, присутствия
активаторов и ингибиторов, т. е. тех факторов, которые обуславливают
эффективность действия препарата в данной среде и позволяют правильно
определить технологические режимы его применения.
В зависимости от цели применения к ферментным препаратам предъявляются
определенные требования не только в отношении состава ферментов и оптимальных
условий их действия, но и в отношении степени очистки, применяемых
наполнителей, стоимости и ряда других параметров.
Очень важным моментом является оценка безопасности ферментных препаратов,
и в первую очередь это касается микробных ферментных препаратов, которые
требуют тщательного химического, микробиологического и токсикологического
контроля. Особое место занимают ферментные препараты, получаемые из генетически
модифицированных микроорганизмов. Основными ферментными препаратами,
полученными методами генной инженерии и разрешенными к применению в пищевой
промышленности, являются: α-амилаза из В. stearothermophilys,
экспрессированная в В. subtilis; α-амилаза из В. megaterium,
экспрессированная в В. subtilis; химозин А, полученный из штамма Е. coli К-12,
содержащего ген телячьего прохимозина А.
В настоящее время в мире производится большое количество ферментных
препаратов для разных отраслей пищевой промышленности, применяемых на различных
стадиях технологического процесса. Различные фирмы выпускают ферментные
препараты под разными коммерческими (торговыми) названиями. Однако работа по
поиску новых продуцентов, созданию новых препаратов пролонгированного действия,
очистке ферментных препаратов, повышению их стабильности и т. п. ведется весьма
интенсивно.
Мукомольное производство и хлебопечение
Качество хлеба определяется особенностями химического состава муки и
активностью ее ферментного комплекса. Значительное влияние оказывают также
условия брожения и выпечки. Получить хлеб хорошего качества можно только в том
случае, когда в процессе тестоведения гармонически сочетаются скорости
микробиологических процессов и биохимических превращений. Ферментативный гидролиз
высокомолекулярных компонентов сырья - белков и углеводов - в определенной
степени способствует интенсификации этих превращений и, в конечном счете,
положительно сказывается на качестве хлеба.
Если раньше в качестве источника ферментов использовали солод, то в
последние годы все большие масштабы приобретает применение ферментных
препаратов для регулирования биокаталитических процессов, протекающих при
приготовлении теста и выпечки хлеба. Солод используется в основном для
приготовления питательных сред (заварок) для жидких дрожжей, для активации
прессованных дрожжей, а также при выпечке специальных сортов хлеба, например
рижского.
Эффективность использования тех или иных ферментных препаратов в
хлебопечении в значительной степени зависит от качества муки. Хлебопекарные
свойства муки, в особенности качество клейковины и активность собственных
ферментов, определяют требования к ферментным препаратам.
Основным препаратом, широко внедренным в хлебопекарную промышленность,
является амилоризин П10Х. Препарат получают из поверхностной культуры A. oryzae
осаждением этанолом. Он обладает амилолитической и протеолитической
активностью. В соответствии с ГОСТом препарат должен удовлетворять следующим
требованиям: амилолитическая способность - 2000 ед/г препарата; осахаривающая
способность - 150 ед/г препарата; протеолитическая активность - 7 ед/г
препарата. Кроме того, особо важное значение для хлебопекарной промышленности
имеет степень обсемененности препарата спорами Вас. mesentericus (картофельная
палочка) и Вас. subtilis (сенная палочка). Существенный признак поражения хлеба
картофельной палочкой - тягучий мякиш и появление специфического неприятного
запаха и вкуса. Поэтому на хлебозаводах при выработке хлеба с использованием
препарата амилоризина П10Х каждую партию препарата проверяют на обсемененность
спорами Вас. mesentericus (она не должна превышать величину 105). Одним из
требований, обуславливающих стабильность ферментных препаратов, является их
строгая стандартизация. За рубежом для этой цели используют различные
наполнители - сахар, крахмал, декстрины и т. п. В нашей стране наряду с этими
наполнителями применяют сернокислый аммоний, именно он включен в ГОСТ на
амилоризин П10Х.
Получить хлеб с надлежащей пористостью, объемом и окраской корки можно
только в том случае, если на всех стадиях технологического процесса достаточно
Сахаров, обеспечивающих интенсивность газообразования. Несмотря на присутствие
в муке собственных Сахаров, хлеб, полученный за счет сбраживания только
собственных Сахаров муки, не будет отвечать требованиям стандарта. При
газообразовании только за счет собственных Сахаров муки максимум выделения
диоксида углерода приходится на первые 1 - 2 часа брожения. Между тем в
процессе хлебопечения газообразование в тесте должно оставаться достаточно высоким
и на последней стадии (расстойка и первые 10 - 15 минут выпечки). При наличии в
муке активной β-Амилазы газообразование в процессе брожения теста идет по
возрастающей и максимум приходится на 4 часа брожения. В противном случае для
получения дополнительного количества сбраживаемых Сахаров и интенсификации
процесса брожения необходимо применение амилолитических ферментных препаратов.
Однако значение Сахаров, безусловно, не ограничивается только процессом
брожения. Огромную роль сахара играют в образовании красящих и ароматических
веществ хлеба, участвуя в реакции меланоидино-образования.
Исключительно важны для хлебопечения и те изменения, которые претерпевает
при тестоведении и расстойке белковый комплекс муки. Именно белковый комплекс и
его ферментативные изменения определяют собой физические свойства теста. От
белкового комплекса зависит как поведение теста при его замесе и расстойке (в
частности, формоудержание), так и качество готового хлеба, его объем,
пористость, структура мякиша.
Говоря о протеолитических ферментах, воздействующих на белковый комплекс
муки, необходимо еще раз отметить эндогенные протеазы зерна пшеницы, среди
которых наибольшее значение имеют нейтральные протеиназы, превосходящие по
своей активности кислые протеазы в несколько раз и способные в условиях теста
эффективно расщеплять белки клейковины.
Производство крахмала и крахмалопродуктов
Современная крахмал о-паточная промышленность, используя в основном
традиционные источники сырья - картофель и кукурузу, - вырабатывает большой ассортимент
продукции, включающий десятки наименований, которые используются в различных
отраслях промышленности. В первую очередь это отрасли пищевой промышленности
(кондитерская, хлебопекарная, молочная, консервная, пищеконцентратная и т.д.),
а также другие отрасли (медицинская, текстильная, полиграфическая и др.).
Основными продуктами крахмало-паточного производства являются:
сухой крахмал;
модифицированные крахмалы: расщепленные крахмалы (окисленные и
набухающие); замещенные крахмалы (фосфатные, ацетилированные, сополимеры
крахмала);
декстрины;
различные виды крахмальных паток: карамельная (38 - 44% РВ), карамельная
низкоосахаренная (30 - 34% РВ), глюкозная высокоосахаренная (44 - 60% РВ),
мальтозная (не менее 60% РВ);
глюкоза (техническая, пищевая, кристаллическая);
глюкозо-фруктозные сиропы.
В настоящее время в России ведется поиск новых источников крахмала и
разработка новых технологических приемов с целью увеличения объема и расширения
ассортимента вырабатываемых сахаристых крахмало-продуктов. Одним из т.аких
перспективных видов крахмалсодержащего сырья является зерновое сорго, которое
может быть использовано наряду с картофелем, кукурузой, рисом и пшеницей. Кроме
того, ведется поиск и исследование новых амилолитических ферментных препаратов
и способов ферментативного получения сахарных сиропов (гидролизатов) различного
углеводного состава с учетом их целевого назначения.
Применение амилаз. Ферментные препараты амилаз нашли широкое применение в
технологиях получения различных паток и глюкозы.
Первой технологической операцией производства крахмальных гидролизатов
является гидролиз крахмала. Его проводят кислотным, кислотно-ферментативным или
ферментативным способом. Во всех случаях процесс гидролиза включает стадии
клейстеризации крахмала, разжижения крахмального клейстера и его осахаривания.
Кислотный гидролиз в настоящее время осуществляется в основном, с
применением соляной кислоты. При этом можно достичь различной степени гидролиза
и получить гидролизаты с различной степенью осахаривания. Однако кислотный
гидролиз крахмала, несмотря на дешевизну и быстроту процесса, имеет весьма
существенные недостатки: получаемые гидролизаты имеют невысокое качество из-за
присутствия в них продуктов деградации белков, а также минеральных примесей,
которые образуются при нейтрализации кислоты после гидролиза.
Кислотно-ферментативным методом производят разжижение крахмала сначала
кислотой, для этого суспензию крахмала подкисляют соляной кислотой до рН
1,8-2,5, нагревают до 140°С в течение 5 мин. Затем нейтрализуют раствором
кальцинированной соды до рН 6,0 - 6,5 и охлаждают до 85°С, после чего добавляют
ферментный препарат α-амилазы и ведут гидролиз в течение 30 мин.
С целью разжижения на этой стадии используют ферментный препарат
амилосубтилин Г10Х. Этот препарат выпускается в виде порошка;
содержит в основном α-амилазу и β-глюконазу. Оптимальные условия
действия препарата: рН 6,2 - 6,8, температура - 85 - 87°С.
Осахаривание полученного гидролизата также проводят с использованием
ферментов. Для этой цели наиболее широко применяют порошкообразный ферментный
препарат глюкавомарин Г20Х.
Препарат содержит в основном глюкоамилазу. Оптимальные условия действия
препарата глюкоавомарина Г20Х: оптимум рН 4,0 - 5,5; оптимум температуры 56 -
58°С.
Ферментативный способ заключается в том, что 30 - 35%-ю крахмальную
суспензию прогревают до 55°С, доводят рН до 6,3 - 6,5, добавляют раствор
ферментного препарата амилосубтилина Г1 ОХ и раствор кальцинированной соды в
качестве стабилизатора. Процесс разжижения длится в течение 1 часа при температуре
85 - 90°С при непрерывном перемешивании. Далее стадия декстринизации и
осахаривания проводится с использованием препаратов амилосубтилина ПОХ,
амилоризина ПОХ и П10Х. Этот процесс идет 2 - 3 ч при температуре от 53 до 85°С
и рН 4,7 - 5,5.
Дальнейшее осахаривание ведут при 60°С и оптимальном рН, а
продолжительность осахаривания зависит от желаемого результата (требуемой
степени осахаривания). Инактивацию фермента и остановку процесса гидролиза
производят нагреванием продукта при 80°С в течение 20 мин.
Ферментный препарат амилоризин П10Х и ферментный препарат ами-лоризин ПОХ
имеют оптимальные условия действия: рН 4,8 - 5,3 и температуру 53 - 55°С.
Применение глюкозоизомеразы. Фермент глюкозоизомераза (Н.Ф. 5.3.1.18)
катализирует реакцию изомеризации глюкозы во фруктозу, то есть превращение
альдозы в кетоформу за счет внутримолекулярного процесса окисления одной части
молекулы и соответствующего восстановления другой части. Фермент обнаружен в
растениях и продуцируется различными микроорганизмами. В промышленности
преимущественно используются препараты глюкозоизомеразы, продуцируемые
микроорганизмами, которые относятся к роду Streptomyces, а также к родам
Aerobacter и Lactobacillus.
На реакции ферментативной изомеризации основана технология получения
глюкозно-фруктозных сиропов из крахмала. Для получения глюкозно-фруктозных
сиропов используют гидролизаты кукурузного крахмала с высоким содержанием
крахмала (96 - 98%), полученные с помощью ферментативного гидролиза. Процесс
изомеризации под действием иммобилизованного (закрепленного на носителе)
ферментного препарата глюкозоизомеразы длится в течение 20 - 24 часов (до
содержания в гидролизате 42% фруктозы и 52% глюкозы). В ходе процесса
необходимо контролировать и поддерживать оптимальные условия для работы фермента:
температура 60°С, рН 7,0 - 8,5. Кроме того, для повышения активности фермента и
его стабильности в субстрат добавляют ионы магния и кобальта (в виде
растворимых солей), а также бисульфит для предупреждения развития микрофлоры.
Ионы кальция ингибируют фермент.
Иммобилизованные препараты глюкозоизомеразы характеризуются двумя важными
показателями: период полужизни препарата, то есть время, за которое активность
фермента снижается наполовину (при оптимальных условиях проведения процесса), и
продуктивность, то есть количество килограммов глюкозы (на абсолютное СВ),
изомеризованное 1 кг или 1 л ферментного препарата при многократном
использовании. Для большинства препаратов период полужизни - 20 - 35 сут,
продуктивность - до 2000 кг глюкозы на 1 кг фермента.
Полученные с помощью ферментативной изомеризации глюкозо-фруктозные
сиропы обладают более высокой степенью сладости, по своим свойствам они близки
к инвертному сахару, благодаря чему широко применяются при производстве
детского и диетического питания, хлебобулочных изделий, безалкогольных
напитков, кондитерских изделий, мороженого и т. д.
Кондитерское производство
Кондитерские изделия в зависимости от вида сырья и типа технологического
процесса подразделяют на две группы: мучные и сахаристые. К мучным изделиям
относятся печенье, галеты, крекеры, вафли, пряники, кексы, пирожные, рулеты,
торты; к сахаристым - какао-порошок, шоколад, конфеты, карамель, мармелад,
пастила, ирис, драже, халва.
Применение ферментных препаратов в кондитерском производстве обусловлено,
с одной стороны, видом и свойствами сырья, с другой - технологической
необходимостью и целесообразностью.
Применение протеаз и амилаз. Комплексные ферментные препараты, содержащие
активные протеазы и α-амилазу (например, амилоризин П10Х), применяют при
производстве мучных кондитерских изделий с целью ускорения процесса брожения и
корректировки физических свойств клейковины муки, изменения реологических
свойств теста, ускорения его "созревания".
При производстве мучных кондитерских изделий с использованием дрожжей,
таких как галеты, крекеры, кексы, целесообразно применение комплексных
препаратов с преобладанием протеолитического действия, но содержащих в своем
составе и α-амилазу. Совокупное действие этих ферментов обеспечивают
дрожжи сбраживаемыми сахарами и низкомолекулярными азотистыми веществами. Часть
неиспользованных при брожении сахаров и азотистых веществ вступает в реакцию
меланоидинообразования, благодаря чему галеты и крекеры приобретают интенсивную
окраску и приятный аромат.
При производстве затяжного печенья с использованием химических
разрыхлителей, когда много усилий направляется на расслабление клейковины, на
протяжении длительного технологического процесса наряду с механическим
воздействием на белки клейковины целесообразно использование протеолитических
ферментных препаратов; α-амилаза, присутствующая в качестве сопутствующего
фермента как в грибных, так и бактериальных препаратах, не мешает их
использованию.
В случае применения бактериальных протеолитических препаратов (например,
протосубтилина ПОХ), содержащих в качестве сопутствующего фермента α-амилазу, при производстве изделий
подобных крекерам, галетам, печенью опасности излишней декстринизации не
существует, т. к. фермент быстро инактивируется за счет того, что эти тонкие
изделия быстро прогреваются до высокой температуры. При выработке кексов, а
также бисквитного полуфабриката, выпекающихся в довольно толстом слое при
невысокой температуре, в случае необходимости применения комплексных
бактериальных препаратов следует осторожно подходить к их дозировке во
избежание порчи мякиша. Необходимо также учитывать, что усиленное механическое
воздействие на кондитерское тесто приводит к повышению атакуемости ферментами
полимеров муки - крахмала, белков, других веществ, усиливая тем самым конечный
эффект гидролиза.
Для заварных и сырцовых пряников наибольшее значение имеет протеолиз, но
наряду с потребностью в регулируемом расслаблении теста важным является и
сохранение свежести (мягкости) продукта. Очевидно, что при производстве таких
видов изделий целесообразно применение комплексных ферментных препаратов с
преобладанием протеолитической активности.
При производстве бисквитного полуфабриката нужны комплексные ферментные
препараты с умеренной активностью протеолитических ферментов и невысокой α-амилазной (декстринирующей)
способностью. При таком сочетании обеспечивается умеренное расслабление
клейковины, способствующее лучшему подъему теста при выпечке и образованию
тонкопористой воздушной структуры готовых изделий. Образование декстринов, в свою
очередь, способствует сохранению их свежести.
Комплексные ферментные препараты, содержащие протеазы и α-амилазу, используются для ускорения и
облегчения обработки теста при приготовлении слоеного полуфабриката с целью
улучшения его эластичных свойств и предупреждения усадки при выпечке. Кроме
того, применение таких ферментных препаратов при производстве вафель позволяет
оптимально снизить вязкость вафельного теста, способствует получению тонких
хрустящих вафельных листов.
Применение инвертазы. Препараты инвертазы, как уже отмечалось, получают
из дрожжей S. cerivisiae или S. carlsbergensis путем автолиза. Они представляют
собой суспензию спиртоосажденной инвертазы в 25%-м, 50%-м растворе глицерина
или 70%-м растворе сорбита. Оптимум рН действия препарата 4,5 - 5,5, что вполне
приемлемо для его использования в различных технологиях производства сахаристых
изделий.
Инвертаза применяется в кондитерской промышленности для производства
отливных помадных корпусов конфет, круглых помадных корпусов и жидких фруктовых
начинок, таких как вишневый ликер. В каждом случае ее применение обусловлено
необходимостью получить полумягкую или жидкую консистенцию при высоких
концентрациях сахара (78%), предотвращающих брожение. Ускорение или замедление
действия инвертазы достигается путем изменения концентрации вносимого
препарата, количества воды и температурного режима. При высокой температуре
инвертаза инактивируется, и даже при температуре отливки (65°С) активность
инвертазы снижается на 12% в течение 30 мин и на 24% в течение 60 мин.
Некоторые сорта конфет, например, конфеты с вишневым ликером, невозможно
изготовить без инвертазы. В случае производства помадной массы из кокосовых
орехов применение инвертазы обусловлено и повышенной влагоудерживающей
способностью фруктозы, образующейся под действием этого фермента.
Применение липазы. Молочные ингредиенты широко применяются при
производстве кондитерских изделий, они в значительной мере обуславливают их
аромат, вкус и питательную ценность. В усилении аромата молочного шоколада, карамели,
ириса, сливочного крема наряду с другими компонентами принимают участие и
свободные жирные кислоты, образующиеся под действием липаз. При низких уровнях
свободных жирных кислот аромат изделий усиливается, но новые ароматы не
образуются; при средних - появляется аромат масла; при высоких - аромат сыра.
Подобные ароматические вещества могут быть получены путем модификации масел или
жиров с применением препаратов липаз различного происхождения (животных,
растительных, микробных).
Производство плодово-ягодных соков, безалкогольных напитков и вин
Применение ферментных препаратов при производстве плодово-ягодных соков,
вин и безалкогольных напитков осуществляется с целью повышения выхода сока,
осветления и стабилизации соков, безалкогольных напитков и вин, предотвращения
окислительных процессов в соках и в изготовляемых из них продуктах, а также для
инверсии сахарозы при производстве безалкогольных напитков и сиропов. При этом
в одних случаях необходимо иметь набор ферментных препаратов, содержащих определенный
комплекс ферментов, в других - требуются препараты индивидуальных ферментов.
Кроме того, ферментные препараты должны удовлетворять требованиям,
предъявляемым технологией получения конкретного продукта, не только по типу
катализируемой реакции, но и в отношении условий их протекания.
В соответствии со спецификой плодово-ягодного сырья и целями применения
ферментные препараты можно разделить на шесть групп:
) препараты, предназначенные для получения неосветленных соков,
увеличивающие выход и повышающие экстрактивность;
) препараты, предназначенные для получения осветленных соков,
увеличивающие выход, повышающие экстрактивность и обеспечивающие полный
гидролиз пектиновых и белковых веществ;
) препараты, мацерирующие плодово-ягодную ткань, повышающие выход и
гомогенность соков с мякотью;
) препараты, предназначенные для получения осветленных плодово-ягодных
виноматериалов, увеличивающие выход и повышающие экстрактивность
виноматериалов;
) препараты, способствующие предотвращению окислительных процессов и развитию
аэробных микроорганизмов в соках, винах, безалкогольных напитках;
) препараты, катализирующие инверсию сахарных сиропов при производстве
безалкогольных напитков и товарных сиропов.
Применение пектолитических ферментов. Основной биохимический процесс,
протекающий в плодово-ягодной мезге и соке при их обработке пектолитическими
препаратами или при совместном применении термической и ферментативной
обработки, - гидролиз пектиновых веществ. Но наряду с этим происходят
превращения белков, целлюлозы, гемицеллюлозы и других компонентов сырья.
Поэтому ферментные препараты, используемые для получения полностью
осветленного сока из большинства плодов и ягод, должны содержать не только
пектолитические ферменты, но и ферменты, гидролизующие другие коллоидные соединения,
которые обуславливают опалесценцию соков и нестабильность изготовляемых из них
вин и безалкогольных напитков.
С целью максимального извлечения сока и облегчения его осветления при
гидролизе пектиновых веществ ягод и плодов необходимо учитывать свойства
пектолитических ферментов самого сырья и вносимых препаратов. В зависимости от
технологических требований и химического состава сырья следует применять
препараты с определенным комплексом ферментов; имеется в виду как спектр
ферментов (пектинэстераза, эндо-, экзополигалактуроназа и др., а также
сопутствующие ферменты), так и их соотношение. Кроме того, необходимо путем
подбора режима обработки сырья создать оптимальные условия для действия
ферментов.
В настоящее время в мире производится достаточно широкий спектр
пектолитических ферментных препаратов. Среди промышленных продуцентов
пектолитических ферментов следует отметить A. niger, A. wenti, A. oryzae, A.
foetidus, P. expansum, P. italicum, Rhizopus spp.
Применение протеолитических ферментов. Некоторые плодово-ягодные соки и
вина трудно осветляются и часто мутнеют при хранении из-за наличия в них
белковых соединений. Устранение белкового помутнения может быть осуществлено
посредством применения термической обработки и различных адсорбентов с последующей
фильтрацией. Все эти методы обедняют химический состав продукта, ухудшают его
качество, причем не всегда достигается положительный результат. Для многих
видов сырья огромную роль в процессе осветления соков играют протеиназы, в
связи с чем наличие кислых протеиназ наряду с ферментами пекто-литического
комплекса обязательно.
Применение мацерирующих ферментов. При производстве плодово-ягодных соков
с мякотью размельчение плодовой ткани осуществляется механическим путем.
Большинство видов сырья перед механическим измельчением подвергается
термической обработке. Термическая обработка способствует кислотному гидролизу
протопектина, в результате чего плодовая ткань размягчается и легче поддается
механическому измельчению. Очевидно, что жесткие режимы обработки сырья
ухудшают органолеп-тические свойства и пищевую ценность продукта. Поэтому соки
с мякотью часто содержат недостаточно тонко измельченную мякоть, негомогенную и
расслаивающуюся при хранении. С позиции устранения указанных выше недостатков и
получения гомогенных соков с мякотью, не подвергающихся расслаиванию,
целесообразным является применение мацерирующих ферментных препаратов,
расщепляющих протопектин, но не снижающих вязкость сока.
Пектолитические ферментные препараты, применяемые для увеличения выхода и
осветления соков, непригодны для производства соков с мякотью, т. к. основным
ферментом в них является эндополигалактуроназа, резко снижающая вязкость сока.
Гемицеллюлаза и целлюлаза способствуют получению однородной консистенции соков
с мякотью.
Применение глюкозооксидазы и каталазы. Ферментный препарат
глюкозооксидаза (в котором в качестве обязательного компонента присутствует
каталаза) применяется с целью улучшения качества и стабилизации плодово-ягодных
соков, вин и безалкогольных напитков за счет удаления кислорода в результате
реакции окисления глюкозы (см. также разд. 8.2). Таким образом, этот препарат
способствует предотвращению окислительных процессов и микробиологической порчи
под действием аэробных микроорганизмов.
Препарат обладает строгой специфичностью по отношению к глюкозе, его
вносят после завершения технологических процессов с целью стабилизации свойств
продукта, полученного в процессе производства. Желательно, чтобы препараты были
термостабильны и не инактивировались при температуре 65 - 70°С в течение 10 -
15 мин. Такие препараты можно было бы применять комплексно с легкими режимами
пастеризации.
Ферментные препараты, применяемые в плодово-ягодном виноделии, должны
сохранять активность в условиях определенного содержания алкоголя (до 10 - 12%)
и эффективно действовать при значениях рН, обусловленных химическим составом
виноматериалов.
Применение инвертазы. Препараты, катализирующие гидролиз сахарозы при
приготовлении сахарных сиропов, используемых при производстве безалкогольных
напитков, должны содержать фермент инвертазу (β-фруктофуранозидазу), не должны иметь
специфического запаха, темного цвета, окислительных или других ферментов,
способных изменять цвет, аромат и вкус продукта.
Необходимо, чтобы препараты катализировали процесс инверсии сахарозы в
довольно широком диапозоне рН (для чистого сахарного сиропа рН 6,0 - 6,5; для
сахарного сиропа, изготовленного на фруктовых соках, рН 2,5 - 4,5). Кроме того,
необходимо учитывать специфику биохимического состава сырья и особенности технологического
процесса производства соков и виноматериалов.
Ферментные препараты, применяемые при переработке плодово-ягодного сырья,
могут оказывать влияние на цвет изготовляемого продукта. В связи с этим
плодово-ягодное сырье следует разделить на две группы: слабоокрашенное -
яблоки, айва, белые сорта слив и винограда и др.; окрашенные в красный цвет, т.
е. содержащие вещества группы ан-тоцианов - кизил, черника, ежевика, малина,
земляника, красные сорта винограда и слив и т.п.
При производстве продуктов, относящихся к первой группе, -
слабоокрашенных - следует применять ферментные препараты, не содержащие
окислительных ферментов, вызывающих потемнение продукта, а в ряде случаев -
снижение органолептических свойств и пищевой ценности, таких как полифенолоксидаза,
пероксидаза, каталаза, аскорбатоксидаза. При переработке сырья второй группы -
окрашенных в красный цвет - недопустимо применение препаратов, содержащих
ферменты, разрушающие антоцианы.
Препараты, предназначенные для переработки шиповника, черной смородины,
ценность которых в значительной степени обуславливается наличием в плодах
аскорбиновой кислоты, не должны содержать фермента аскорбатоксидазы, т. к.
окисление аскорбиновой кислоты под действием этого фермента снижает ценность
получаемого продукта.
Спиртные напитки и пивоварение
Производство спиртных напитков. Производство спиртных напитков из
крахмалсодержащего сырья практикуется почти во всех странах мира. Основными
видами сырья являются картофель и рожь в Европе, картофель и пшеница в России,
кукуруза и рожь в США, рис и бататы на Востоке, тапиока в тропических странах.
Крахмал, как основной компонент сухих веществ сырья, из которого и
образуется спирт, непосредственно дрожжами не сбраживается. Поэтому его
необходимо гидролизовать до сбраживаемых сахаров, для этого требуется
применение ферментов.
Применяемый издавна зерновой солод, как источник амилолитичес-ких
ферментов, обеспечивает достаточно глубокое осахаривание и выбраживание только
за трое суток. Необходимо отметить, что зерновой солод не только выполняет
задачу гидролиза крахмала до сбраживаемых сахаров, но и является источником
легкоусвояемого азотистого питания для дрожжей, т. к. в процессе солодоращения,
под действием протеиназ, в нем накапливается значительное количество
аминокислот (до 32% от общего азота). Активность протеиназ в процессе
солодоращения возрастает примерно в 40 раз. Зерновой солод обладает и
цитолитической активностью, обеспечивая определенную степень гидролиза
клеточных стенок растительного сырья и тем самым улучшая контакт крахмала с
амилолитическими ферментами.
Таким образом, применяемый в спиртовом производстве зерновой солод
выполняет три основные функции: осуществляет гидролиз крахмала до сбраживаемых
Сахаров; является источником азотистого питания для дрожжей и при осахаривании
крахмалистого сырья производит частичное разрушение клеточных стенок сырья.
Однако скорость осахаривания крахмала при использовании солода остается
достаточно низкой, что затрудняет интенсификацию процесса брожения. Применение
ферментных препаратов микробного происхождения дает возможность значительно
повысить концентрацию необходимых ферментов в среде и обеспечить глубокий
гидролиз крахмала за сравнительно короткий период.
Кроме стадии осахаривания ферментные препараты, обладающие сильной разжижающей
активностью (α-амилаза), применяются на стадии водно-тепловой обработки
сырья с целью смягчить режим разваривания, снизить вязкость замесов и облегчить
их дальнейшую транспортировку.
Применяя ферментные препараты на стадии приготовления сусла для дрожжегенерации,
необходимо обеспечить интенсивный гидролиз белков с целью обогащения ценным
азотистым питанием дрожжевого сусла.
Таким образом, для спиртового производства, перерабатывающего
крахмалсодержащее сырье, необходимо применение ферментных препаратов с
амилолитическим, протеолитическим и цитолитическим действием. При замене солода
культурами микроорганизмов или препаратами ферментов необходимо, чтобы
полученный спирт обладал высокими дегустационными качествами и не содержал
вредных примесей.
Пивоварение. При производстве пива по обычной технологической схеме
необходимые ферментные системы для подготовки зернового сырья и перевода
экстрактивных веществ в растворимое состояние на стадии затирания образуются в
процессе солодоращения.
Основными ферментами, образующимися в процессе солодоращения и имеющими
наиболее существенное значение в технологии пивоварения, являются:
амилолитические ферменты, разжижающие и осахаривающие крахмал; протеолитические
ферменты, расщепляющие белки ячменя до пептидов различной молекулярной массы и
свободных аминокислот; цитолитические ферменты, гидролизующие некрахмальные
полисахариды, растворяющие клеточные стенки эндосперма зерна, благодаря чему
облегчается доступ амилаз и протеаз к соответствующим субстратам.
Каждый из перечисленных процессов должен пройти с определенной глубиной,
чтобы обеспечить нормальное протекание фильтрации затора, брожения сусла,
осветление и фильтрацию пива, а также создание определенных физико-химических
свойств (пенообразование, прозрачность, стойкость при хранении) и вкусовых
качеств готового продукта.
Применение ферментных препаратов микробного происхождения (амилоризин ПХ,
П10Х, амилосубтилин Г10Х, Г20Х, протосубтилин Г10Х, цитороземин ПХ) с целью
замены солода несоложенным ячменем позволяет интенсифицировать процесс,
избежать потерь ценных компонентов сырья на дыхание и образование проростка, в
целом повысить рентабельность пивоваренного производства. Кроме отечественных
препаратов, в настоящее время широко используются ферментные препараты различных
зарубежных фирм. Предназначенные для замены ферментов солода ферментные
препараты микробного происхождения должны по характеру своего действия
соответствовать ферментам солода и значительно превосходить их по активности.
Ферменты, используемые для борьбы с холодной мутью. К образованию
холодной мути в бутылочном пиве приводит рост микрорганизмов; такое
биологическое помутнение предотвращается пастеризацией пива или стерильной
фильтрацией при заполнении бутылок в асептических условиях. Небиологическое помутнение
пива может происходить при его продолжительном хранении; этот процесс
ускоряется при действии света, тепла, кислорода, в присутствии следов железа
или меди, а также при одновременном воздействии этих факторов. Состав мути
зависит от преобладающего действия того или иного из этих факторов. Основными
составляющими холодной мути являются: белки - 40 - 76%; танин - 17 - 55%;
углеводы - 3 - 13%. Холодная муть состоит из очень тонкого осадка, который
образуется при выдержке пива при температурах ниже 10°С. Для борьбы с холодной
мутью могут быть использованы растительные ферменты - папаин, фицин, бромелаин,
а также грибные (продуцируемая микроскопическими грибами рода Aspergillus,
Penicillium, Mucor, Amylomyces) и бактериальные (продуцируемая В. subtilis)
протеазы. Но наиболее широко для этой цели применяется лишь папаин или
комплексные препараты, включающие папаин и другие протеазы, что объясняется
относительно высокой термостабильностью препаратов папаина, сохраняющих свою
активность после пастеризации.
.4
ИММОБИЛИЗОВАННЫЕ ФЕРМЕНТЫ
В различных пищевых технологиях долгое время применялись лишь препараты
свободных ферментов, срок использования которых - один производственный цикл.
Однако достижения молекулярной биологии, биохимии и энзимологии привели к тому,
что в настоящее время строение и функции многих ферментов изучены очень
детально и это позволило создать теоретическую базу для производства ферментов
пролонгированного действия или иммобилизованных ферментов, т. е. фиксированных
или связанных ферментных препаратов.
Сущность иммобилизации ферментов заключается в присоединении их в
активной форме тем или иным способом к инертной матрице (обычно это
нерастворимый полимерный носитель).
Иммобилизацию фермента можно определить и как включение молекулы фермента
в какую-либо изолированную фазу, которая отделена от фазы свободного раствора,
но способна обмениваться находящимися в ней молекулами субстрата, эффектора или
кофактора.
Фаза фермента обычно нерастворима в воде и часто представляет собой
высокомолекулярный гидрофильный полимер, например, целлюлозу, полиакриламид,
сефарозу и т. п.
Принципы и способы иммобилизации. Включение фермента в изолированную фазу
осуществляют различными способами: фермент может быть ко валентно связан с этой
фазой, адсорбирован на ней или физически включен в нее.
Возможны следующие способы иммобилизации фермента.
. Ковалентное связывание. Молекула фермента ковалентно связывается с
нерастворимым полимером. Полимер может быть в виде порошка или в форме пленки.
Иногда молекулы фермента соединяются ковалентными связями друг с другом или с
каким-либо инертным белком; при этом образуется нерастворимый, но активный
полимерный фермент.
. Электростатическое связывание. Этот способ иммобилизации основан на
использовании электростатических или других нековалентных механизмов
связывания.
. Сополимеризация с помощью многофункциональных реагентов. Связывание
молекул фермента с белками (например, с альбумином) или друг с другом
осуществляется за счет использования определенных реагентов. В качестве такого
многофункционального реагента часто используют глутаровый альдегид,
гелеобразующее действие которого известно давно. В этом способе необходимо
избегать взаимодействия реагента с активным центром фермента и ингибирования
последнего.
. Включение в полимер. В этом способе фермент не прикреплен к полимеру,
но удерживается внутри него, поскольку последний образует вокруг фермента
сетеобразную матрицу (рис. 8.14). Ячейки этой матрицы настолько малы, что
молекула фермента не может освободиться из сети, но в то же время достаточно
велики для проникновения низкомолекулярных субстратов. Примером такого способа
иммобилизации могут служить:
а) включение в липосомы, когда фермент находится в водном растворе,
окруженном фосфолипидным барьером;
б) гидрофобное взаимодействие, когда фермент "погружен" в
гидрофобную часть двойного липидного слоя.
. Инкапсулирование. Включение фермента в органическую или неорганическую
капсулу, которая представляет собой полупроницаемую мембрану).
Выбор способа иммобилизации. Искусство иммобилизации ферментов
заключается в правильном выборе подходящего метода. Этот выбор определяется
целым рядом факторов, многие из которых невозможно выявить до тех пор, пока
метод не будет опробован.
Первичный отбор осуществляется обычно эмпирическим путем. Сначала нужно
решить, необходим ли для прикрепления фермента какой-либо специфический
носитель, не будет ли процедура иммобилизации инактивировать фермент и сможет
ли иммобилизованный фермент действительно функционировать в тех условиях, при
которых его предстоит использовать.
Поэтому для успешной иммобилизации следует по возможности принять во
внимание следующие факторы:
фермент должен быть стабильным в условиях протекания реакции;
реагенты, образующие поперечные сшивки, не должны взаимодействовать с химическими
группировками активного центра. В связи с этим поперечно-сшивающий реагент
должен быть как можно больших размеров, что будет препятствовать его
проникновению в активный центр;
всегда, когда это осуществимо, необходимо тем или иным способом защищать
активный центр фермента (например, обработка тиоловых ферментов глутатионом или
цистеином);
процедура промывания для удаления "непришитого" фермента не
должна оказывать вредного влияния на иммобилизованный фермент;
полимерная матрица не должна являться субстратом для иммобилизованного
фермента;
необходимо, наконец, учитывать механические свойства носителя, особенно
его механическую прочность и физическую форму.
Процесс иммобилизации фермента можно продемонстрировать на примере
связывания глюкоамилазы с носителем - ацетил этил целлюлозой.
Носитель выдерживают сутки в дистиллированной воде для набухания. Далее к
набухшей ацетилэтилцеллюлозе добавляют сначала натрий-ацетатный буфер с рН 5,5,
а затем раствор очищенного фермента; после перемешивания к смеси добавляют
поперечно-сшивающий агент - глутаровый альдегид. Через несколько часов
полученный препарат промывают последовательно натрий-ацетатным буфером и
раствором хлористого натрия для удаления несорбированного на носителе фермента.
Иммобилизованный таким образом фермент хранится под слоем воды или буфера при 3
- 5°С.
В настоящее время разработаны методы иммобилизации множества ферментов.
Один и тот же фермент можно иммобилизировать несколькими методами. Например,
глюкозоизомеразу из S. phaeochromogenes можно иммобилизовать на различных
носителях: пористом алюминии, ДЭАЭ-целлюлозе, ДЭАЭ-крахмале и др.
Лактатдегидрогеназу можно включить в гель, прикрепить к носителю поперечной
сшивкой; аспарагиназу - прикрепить к носителю сорбционным путем или химической
(ковалентной) связью. В табл. 8.4 представлены некоторые методы иммобилизации
для различных ферментов.
Влияние иммобилизации на ферментативную активность. Иммобилизация часто
приводит к резким изменениям основных параметров ферментативной реакции:
максимальной скорости (Vmax); константы Михаэлиса (Кт); оптимума рН и
температуры, а также отношения к ингибиторам.
Степень и природа этих изменений зависят не только от используемого
метода иммобилизации, но и от типа ферментативной реакции. Большое влияние на
ферментативную активность может оказывать полимерная матрица, причем это
влияние может проявляться как в виде воздействия на микроокружение фермента,
так и непосредственно на саму молекулу фермента. Кроме того, сами условия
иммобилизации (значение рН, присутствие свободных радикалов, окисляющих агентов
и т. п.) могут приводить к частичной или полной инактивации фермента.
При рассмотрении влияния иммобилизации на ферментативную активность одним
из важных является вопрос об эффективных кинетических параметрах.
Параметры Кт и Vmax, используемые для характеристики каталитических
свойств ферментов в разбавленных растворах (см. разд. 8.2), не могут быть
применены в их строгом математическом значении для характеристики
иммобилизованных ферментов, т. к. наблюдаются существенные отклонения от
гиперболической субстратной кривой, описываемой уравнением Михаэлиса - Ментен,
и искривления прямолинейных графиков в двойных обратных координатах (уравнение
Лайнуивера - Берка).
Таблица 8.4. Иммобилизация некоторых ферментов известными методами [М. Е.
Бекер. Введение в биотехнологию, 1978]
|
Метод иммобилизации
|
Шифр фермента
|
Наименование
|
|
Адсорбция или ионный обмен
|
1.11.1.6
|
Каталаза
|
|
3.2.1.21
|
β-Глюкозидаза
|
|
3.2.1.26
|
Инвертаза
|
|
3.4.23.1
|
Пепсин
|
|
3.4.21.4
|
Трипсин
|
|
Влючение в гель (полиакриламидный)
|
3.5.1.1
|
Аспарагиназа
|
|
1.1.1.27
|
Лактатдегидрогеназа
|
|
1.1.3.4
|
Глюкозооксидаза
|
|
1.11.1.7
|
Пероксидаза
|
|
3.2.1.1
|
α-амилаза
|
|
3.2.1.2
|
β-Амилаза
|
|
Поперечная пришивка
фермента к носителю
|
3.2.21.4
|
Трипсин
|
|
Прикрепление фермента к
носителю ковалентной связью
|
1.1.1.27
|
Лактатдегидрогеназа
|
|
1.1.3.4
|
Глюкозооксидаза
|
|
Азидным методом
|
1.11.1.7
|
Пероксидаза
|
|
3.4.21.4
|
Трипсин
|
|
Карбоимидным методом
|
3.2.1.26
|
Инвертаза
|
|
3.4.21.4
|
Трипсин
|
|
3.5.1.1
|
Аспарагиназа
|
|
Бромциан-методом
|
1.1.3.4
|
Глюкозооксидаза
|
|
1.11.1.7
|
Пероксидаза
|
|
3.4.21.4
|
Трипсин
|
|
Методом диазотирования
|
3.1.1.7
|
Ацетилхолинэстераза
|
|
3.1.1.8
|
Холинэстераза
|
|
3.5.1.1
|
Аспарагиназа
|
|
1.1.3.4
|
Глюкозооксидаза
|
|
Изотиоциатный метод
|
1.11.1.6
|
Каталаза
|
Пероксидаза
|
|
3.2.1.1
|
α-амилаза
|
|
3.4.21.4
|
Трипсин
|
|
3.2.1.2
|
β-Амилаза
|
По этой причине в случае иммобилизованных ферментов лучше заново
определить физический смысл данных кинетических параметров. Ранее с этой целью
использовался параметр "кажущаяся" Кm, но позднее было предложено
пользоваться двумя константами: Kw и Vs.- самая высокая скорость, которую можно
достичь (теоретически) в данной системе, т. е. когда фермент полностью насыщен
субстратом. Следовательно, этот параметр отражает исходные свойства
иммобилизованного фермента, но на него могут влиять диффузионные ограничения.-
такая концентрация субстрата, при которой скорость реакции равна Vs/2. Этот
параметр отражает реальные свойства субстрата и зависит от эффекта
распределения и диффузионных ограничений.
Величина Кm (кажущаяся) не может отражать истинного положения, т. к.
варьирует в зависимости от выбранного диапазона концентраций субстрата.
Например, ограничение диффузии субстрата сильнее проявляется при низких
концентрациях субстрата, а эффект распределения более выражен при низких ионных
силах. От этих двух факторов зависит видимая легкость связывания фермента с
субстратом, и поэтому они оказывают существенное влияние на параметр Кm
(кажущаяся).
Необходимо также учитывать и возникновение кооперативных эффектов в
поведении иммобилизованных ферментов в ответ на изменение концентрации
субстрата. Иммобилизованные ферменты (в отличие от аллостерических, которые
проявляют или только положительную, или только отрицательную кооперативность)
способны обнаруживать оба вида кооперативности в зависимости от рН и
микроокружения. Кооперативные эффекты имеют важное значение, т. к. позволяют
выявить как значительные изменения скорости реакций в небольшом диапазоне
концентраций субстрата, так и малые изменения скорости реакции в других, очень
широких диапазонах концентраций субстрата.
Применение иммобилизованных ферментов. Иммобилизованные ферменты как
катализаторы многоразового действия можно использовать, в основном, для трех
практических целей: аналитических, лечебных и препаративных.
При решении вопроса о целесообразности использования системы с
иммобилизованным ферментом следует руководствоваться следующими критериями:
эффективностью, стоимостью и возможностью осуществить процесс с помощью другой
системы.
В случае препаративного (промышленного) применения основную роль играет
стоимость, а также возможность автоматизации процесса. Несмотря на большие
потенциальные возможности использования иммобилизованных ферментов в
производстве, в настоящее время реализованы лишь немногие, например:
разделение D- и L-аминокислот, основанное на использовании плесневой
аминоацилазы (Н. Ф. 3.5.1.14), иммобилизованной на ДЭАЭ-сефадексе;
получение сиропов с высоким содержанием фруктозы с использованием
глюкозоизомеразы (Н.Ф.5.3.1.18), иммобилизованной на целлюлозном ионообменнике;
возможно использование иммобилизованных ферментов при производстве сыров,
стабилизации молока и удалении лактозы из молочных продуктов.
продукт
питание химический состав
8.5
ФЕРМЕНТАТИВНЫЕ МЕТОДЫ АНАЛИЗА ПИЩЕВЫХ ПРОДУКТОВ
Ферментативный анализ представляет собой один из основных аналитических
инструментов в международной и отечественной практике научных исследований,
современного производственного и сертификационного контроля качества продуктов
питания, пищевого сырья и биологических материалов.
Ферментативный анализ является составной частью энзимологии и
аналитической химии и служит для специфического определения веществ с помощью
высокоочищенных препаратов ферментов.
В основе ферментативного анализа лежат природные биохимические процессы
обмена веществ, которые воспроизводятся in vitro: реакция фермента с
субстратом, причем в качестве субстрата выступает анализируемое вещество пробы.
Основными преимуществами применения ферментативных методов в научных
исследованиях, при разработке новых пищевых технологий и биотехнологических
процессов, а также при анализе качества, идентификации и установления
фальсификации продуктов питания и пищевого сырья являются:
. Высокая специфичность и достоверность результатов. Высокоспецифичные
ферментативные методы анализа дают, как правило, более достоверные результаты,
чем неспецифические химические методы. Специфичность действия ферментов,
основанная на комплементарное™ пространственной конфигурации активного центра и
субстрата является гарантом достоверности и надежности ферментативного метода
при исследовании отдельных соединений в многокомпонентных смесях, имеющих
сложный состав и строение, таких, какими и являются пищевые продукты. При
разработке ферментативных методов и подборе реагентов, в первую очередь, выбирают
ферменты с наибольшей специфичностью действия, для которых подбираются
оптимальные условия проведения анализа. Кроме того, при разработке методов
ферментативного анализа отдельных компонентов продуктов питания обычно
используют несколько ферментов, которые последовательно функционируют в данной
системе.
. Простые способы подготовки проб, которые исключают потерю исследуемых
компонентов. Основная задача, которую необходимо выполнить при подготовке
пробы, - по возможности наиболее полно сохранить для анализа исследуемый
компонент без его количественной потери или изменения структуры. В некоторых
случаях возможен прямой анализ пробы без ее предварительной подготовки
(например, при абсолютной специфичности фермента к исследуемому веществу и
отсутствии в пробе каких-либо мешающих факторов). Обычно же для ферментативного
анализа используются простые и хорошо известные способы подготовки проб, такие
как: разбавление, фильтрация (центрифугирование), нейтрализация (подкисление),
экстракция, обезжиривание, осветление, обесцвечивание. Только в определенных
случаях применяют специальные способы подготовки проб, например, при
определении водонерастворимых соединений (холестерин, лецитин, крахмал),
нестабильной L-аскорбиновой кислоты в твердых материалах и др.
. Простая и быстрая процедура измерений, которая исключает использование
дорогостоящего оборудования. В большинстве ферментативных определений
используют фотометрические способы измерения результатов. Для этого все
компоненты искусственной тестовой системы, например, буфер, коферменты,
активаторы, вспомогательные ферменты и пробу смешивают в фотометрической
кювете. После измерения начальной оптической плотности добавляют стартовый
фермент, который инициирует реакцию. В конце реакции (через определенный
промежуток времени) повторно измеряют оптическую плотность тестовой системы. Из
разницы оптических плотностей в начале и в конце реакции по уравнению закона
Ламберта - Бера рассчитывают концентрацию С (г/л) искомого соединения.
=
|
[(E 2 - E 1) опыт - (E 2 -
E 1) контроль]∙V∙M∙F
|
|
ε∙d∙v∙10000
|
где (E 2 - E 1) опыт - разница конечной и начальной оптической плотности
в кювете с пробой; (E 2 - E 1) контроль- разница конечной и начальной
оптической плотности в кювете без пробы; V - общий объем реакционной смеси, мл;
М - молярная масса искомого соединения, г/моль; F - фактор разведения пробы; ε
- молярный коэффициент
экстинкции (например, кофермента НАДФ/НАД при λ = 340 нм, ε = 6,3 л/ммоль ∙ см); d - толщина
кюветы, см; v - объем пробы, добавляемый в кювету, мл.
В большинстве ферментативных методов прямому фотометрическому контролю
доступно измерение таких вспомогательных компонентов тестовой системы, как
коферментов НАД+/ПАДН или НАДФ+/НАДФН. Количество восстановленных или
окисленных коферментов прямопропорционально количеству искомого соединения.
Система конечных значений с фотометрическим измерением результата настолько
надежна, что
Таблица 8.5. Применение ферментативных методов для анализа различных
компонентов пищевых продуктов [А. Ю. Колесное. Ферментативный анализ в пищевой
промышленности, 1996. № 11]
|
Группа продуктов
|
Анализируемые компоненты
|
|
Детское питание,
диетические продукты
|
Сахароза, D-глкжоза,
D-фруктоза, лактоза, мальтоза, крахмал, L-аскорбиновая кислота, лимонная
кислота, D-, L-молочные кислоты, D-сорбит, ксилит, лецитин, холин
|
|
Пиво, вино, игристые вина
|
D-глюкоза, D-фруктоза,
сахароза, глюкозный сироп, этанол, глицерин, D-сорбит, сульфит, нитраты, L-,
D-молочные кислоты, D-глкжоновая кислота, уксусная кислота, лимонная кислота,
янтарная кислота, L-аскорбиновая кислота
|
|
Хлеб, хлебобулочные
изделия, шоколад, мороженое и конд. изделия
|
Сахароза, D-глкжоза,
D-фруктоза, лактоза, мальтоза, крахмал, этанол, глицерин, D-сорбит, ксилит,
холестерин, лецитин
|
|
Яйца и яичные продукты
|
Янтарная кислота, L-
молочная кислота, D-3-гидроксимасляная кислота, холестерин
|
|
Соки, фруктовые продукты,
безалкогольные напитки
|
Сахароза, D-глкжоза,
D-фруктоза, лимонная кислота, D-изолимонная кислота, L-аскорбиновая кислота,
D-, L-молочные кислоты, этанол, уксусная кислота, глюкозный сироп, щавелевая
кислота, глицерин, D-, L-яблочные кислоты, муравьиная кислота, D-глюконовая
кислота, D-сорбит, нитраты
|
|
Мясо и мясные продукты
|
Сахароза, лактоза,
D-глюкоза, D-галактоза, крахмал, лимонная кислота, уксусная кислота,
D-глюконовая кислота, L-глутаминовая кислота, D-, L-молочные кислоты,
муравьиная кислота, глицерин, аммиак (мочевина), креатин/ креатинин,
пирофосфаты, холестерин
|
|
Молоко и молочные продукты
|
Лактоза, D-глюкоза,
D-галактоза, D-фруктоза, крахмал, сахароза, лимонная кислота, уксусная кислота,
L-яблочная кислота, янтарная кислота, L-глутаминовая кислота, D-, L-молочные
кислоты, этанол, ацетальдегид, триглицериды, мочевина, нитраты
|
|
Пищеконцентраты (например,
супы)
|
Сахар и сахаристые изделия
|
|
Креатин, L-глутаминовая
кислота, сахароза, крахмал
|
Сахароза, D-глюкоза,
D-фруктоза, раффиноза, муравьиная кислота, лимонная кислота, D-, L-молочные
кислоты, D-сорбит, этанол
|
служит в качестве стандарта для оценки других методик. Для проведения
ферментативного анализа используется стандартное оборудование, которое имеется
практически в любой производственной лаборатории: спектрофотометры или
фотометры с интервалом измерений от 325 до 800 нм; кюветы для фотометрических
измерений, мерные пипетки и дозаторы, весы, центрифуга, рН-метр, водяной
термостат, фильтры и т. п.
. Высокая чувствительность метода и хорошая воспроизводимость
результатов. Высокая чувствительность позволяет использовать ферментативные
методы для определения следовых количеств веществ. Например, в продуктах
питания могут быть определены следующие концентрации компонентов (г/л): этанол
- 0,001; ацетоальдегид - 0,001; лимонная кислота - 0,002; глицерин - 0,001;
D-глюкоза - 0,002; D-сорбит - 0,001; лактоза - 0,005; нитраты - 0,001.
Кроме вышеперечисленных достоинств ферментативных методов анализа можно
назвать и универсальность применения, высокую надежность и устойчивость к
мешающим факторам, низкие затраты на проведение анализа (время, оборудование,
расходуемые материалы), а также использование безопасных реактивов.
Области применения ферментативного анализа на практике многообразны. Это
и производственный контроль, и контроль качества готовой продукции, а также
контроль сырья, анализ состава пищевого продукта с целью установления их
свойств и соответствия законодательным нормам, оценка гигиенического статуса,
идентификация и установление фальсификации.
В табл. 8.5 приведены некоторые группы продуктов питания, а также их
компоненты, для анализа которых разработаны специфические ферментативные
методы.
По словам одного из основоположников ферментативного анализа Г. Бергмана:
" Ферментативный анализ, как принцип, свободен от недостатков и ошибок, т.
к. он представляет систему для измерений, которую успешно использует живая
клетка уже в течение миллионов лет".
Контрольные вопросы
. Каковы химическая природа и особенности ферментов как биологических
катализаторов?
. Что изучает кинетика ферментативных реакций?
. Как влияет концентрация субстрата и фермента на скорость ферментативной
реакции?
. Как определяются основные кинетические параметры ферментативной
реакции: V0; Vmax; Ks; Km? Почему именно V0 (начальная скорость) является мерой
количества фермента?
. Что такое ферментные препараты и каково их отличие от ферментов?
. Какие ферменты наиболее широко применяются в пищевой промышленности?
. По каким критериям оцениваются ферментные препараты с точки зрения их
использования в той или иной пищевой технологии?
. В чем заключаются особенности подхода при характеристике ферментов
пищевого сырья и исследовании поведения ферментов (ферментных препаратов) в режиме
определенной пищевой технологии?
. Что такое иммобилизованные ферменты?
. Каковы основные области применения ферментативного анализа на практике?
Перечислите основные преимущества ферментативных методов исследования пищевых
продуктов.
ГЛАВА 9. ПИЩЕВЫЕ И БИОЛОГИЧЕСКИ АКТИВНЫЕ ДОБАВКИ
.1 ОБЩИЕ
СВЕДЕНИЯ О ПИЩЕВЫХ ДОБАВКАХ
Пищевые добавки - природные, идентичные природным или искусственные
(синтетические) вещества, сами по себе не употребляемые как пищевой продукт или
обычный компонент пищи. Они преднамеренно добавляются в пищевые системы по
технологическим соображениям на различных этапах производства, хранения,
транспортировки готовых продуктов с целью улучшения или облегчения
производственного процесса или отдельных его операций, увеличения стойкости
продукта к различным видам порчи, сохранения структуры и внешнего вида продукта
или намеренного изменения органолептических свойств.
Определения. Классификация
Основные цели введения пищевых добавок (рис. 9.1) предусматривают:
. совершенствование технологии подготовки и переработки пищевого сырья,
изготовления, фасовки, транспортировки и хранения продуктов питания.
Применяемые при этом добавки не должны маскировать последствий использования
некачественного или испорченного сырья, или проведения технологических операций
в антисанитарных условиях;
. сохранение природных качеств пищевого продукта;
. улучшение органолептических свойств или структуры пищевых продуктов и
увеличение их стабильности при хранении.
Применение пищевых добавок допустимо только в том случае, если они даже
при длительном потреблении в составе продукта не угрожают здоровью человека, и
при условии, если поставленные технологические задачи не могут быть решены иным
путем.
Обычно пищевые добавки разделяют на несколько групп:
вещества, улучшающие внешний вид пищевых продуктов (красители,
стабилизаторы окраски, отбеливатели);
вещества, регулирующие вкус продукта (ароматизаторы, вкусовые добавки,
подслащивающие вещества, кислоты и регуляторы кислотности);
вещества, регулирующие консистенцию и формирующие текстуру (загустители,
гелеобразователи, стабилизаторы, эмульгаторы и др.);
вещества, повышающие сохранность продуктов питания и увеличивающие сроки
хранения (консерванты, антиоксиданты и др.).
К пищевым добавкам не относят соединения, повышающие пищевую ценность
продуктов питания и причисляемые к группе биологически активных веществ, такие
как витамины, микроэлементы, аминокислоты и др.
Эта классификация пищевых добавок основана на их технологических
функциях.
Федеральный закон о качестве и безопасности пищевых продуктов предлагает
следующее определение: "пищевые добавки - природные или искусственные
вещества и их соединения, специально вводимые в пищевые продукты в процессе их
изготовления в целях придания пищевым продуктам определенных свойств и (или)
сохранения качества пищевых продуктов".
Следовательно, пищевые добавки - это вещества (соединения), которые
сознательно вносят в пищевые продукты для выполнения ими определенных функций.
Такие вещества, называемые также прямыми пищевыми добавками, не являются
посторонними, как, например, разнообразные контаминанты, "случайно"
попадающие в пищу на различных этапах ее изготовления.
Существует различие между пищевыми добавками и вспомогательными
материалами, употребляемыми в ходе технологического потока. Вспомогательные
материалы - любые вещества или материалы, которые, не являясь пищевыми
ингредиентами, преднамеренно используются при переработке сырья и получения
продукции с целью улучшения технологии; в готовых пищевых продуктах
вспомогательные материалы должны полностью отсутствовать, но могут также
определяться в виде неудаляемых остатков.
Пищевые добавки употребляются человеком в течение многих веков (соль,
перец, гвоздика, мускатный орех, корица, мед), однако широкое их использование
началось в конце XIX в. и было связано с ростом населения и концентрацией его в
городах, что вызвало необходимость увеличения объемов производства продуктов
питания, совершенствование традиционных технологий их получения с
использованием достижений химии и биотехнологии.
Сегодня можно выделить еще несколько причин широкого использования
пищевых добавок производителями продуктов питания. К ним относятся:
современные методы торговли в условиях перевоза продуктов питания (в том
числе скоропортящихся и быстро черствеющих продуктов) на большие расстояния,
что определило необходимость применения добавок, увеличивающих сроки сохранения
их качества;
быстро изменяющиеся индивидуальные представления современного потребителя
о продуктах питания, включающие их вкус и привлекательный внешний вид,
невысокую стоимость, удобство использования; удовлетворение таких потребностей
связано с использованием, например, ароматизаторов, красителей и других пищевых
добавок;
создание новых видов пищи, отвечающей современным требованиям науки о
питании (низкокалорийные продукты, аналоги мясных, молочных и рыбных
продуктов), что связано с использованием пищевых добавок, регулирующих
консистенцию пищевых продуктов;
совершенствование технологии получения традиционных пищевых продуктов,
создание новых продуктов питания, в том числе продуктов функционального
назначения (см. гл. 1).
Число пищевых добавок, применяемых в производстве пищевых продуктов в
разных странах, достигает сегодня 500 наименований (не считая комбинированных
добавок, индивидуальных душистых веществ, ароматизаторов), в Европейском
Сообществе классифицировано около 300. Для гармонизации их использования
производителями разных стран Европейским Советом разработана рациональная
система цифровой кодификации пищевых добавок с литерой "Е". Она включена
в кодекс для пищевых продуктов (Codex Alimentarius, Ed.2, V.I) ФАО/ВОЗ (ФАО -
Всемирная продовольственная и сельскохозяйственная организация ООН; ВОЗ -
Всемирная организация здравоохранения) как международная цифровая система
кодификации пищевых добавок (International Numbering System - INS). Каждой
пищевой добавке присвоен цифровой трех- или четырехзначный номер (в Европе с
предшествующей ему литерой Е). Они используются в сочетании с названиями
функциональных классов, отражающих группировку пищевых добавок по
технологическим функциям (подклассам).
Индекс Е специалисты отождествляют как со словом Европа, так и с
аббревиатурами EG/EV, которые в русском языке тоже начинаются с буквы Е, а
также со словами ebsbar/edible, что в переводе на русский (соответственно с
немецкого и английского) означает "съедобный". Индекс Е в сочетании с
трех- или четырехзначным номером - синоним и часть сложного наименования
конкретного химического вещества, являющегося пищевой добавкой. Присвоение
конкретному веществу статуса пищевой добавки и идентификационного номера с
индексом "Е" имеет четкое толкование, подразумевающее, что:
а) данное конкретное вещество проверено на безопасность;
б) вещество может быть применено (рекомендовано) в рамках его
установленной безопасности и технологической необходимости при условии, что
применение этого вещества не введет потребителя в заблуждение относительно типа
и состава пищевого продукта, в который оно внесено;
в) для данного вещества установлены критерии чистоты, необходимые для
достижения определенного уровня качества продуктов питания.
Следовательно, разрешенные пищевые добавки, имеющие индекс Е и
идентификационный номер, обладают определенным качеством. Качество пищевых
добавок - совокупность характеристик, которые обусловливают технологические
свойства и безопасность пищевых добавок.
Наличие пищевой добавки в продукте должно указываться на этикетке, при
этом она может обозначаться как индивидуальное вещество или как представитель
конкретного функционального класса (с конкретной технологической функцией) в
сочетании с кодом Е. Например: бензоат натрия или консервант Е211.
Согласно предложенной системе цифровой кодификации пищевых добавок, их
классификация, в соответствии с назначением, выглядит следующим образом
(основные группы):
Е100-Е182 - красители;
Е200 и далее - консерванты;
ЕЗОО и далее - антиокислители (антиоксиданты);
Е400 и далее - стабилизаторы консистенции;
Е450 и далее, Е1000 - эмульгаторы;
Е500 и далее - регуляторы кислотности, разрыхлители;
Е600 и далее - усилители вкуса и аромата;
Е700-Е800 - запасные индексы для другой возможной информации;
Е900 и далее - глазирующие агенты, улучшители хлеба.
Многие пищевые добавки имеют комплексные технологические функции, которые
проявляются в зависимости от особенностей пищевой системы. Например, добавка
Е339 (фосфаты натрия) может проявлять свойства регулятора кислотности,
эмульгатора, стабилизатора, комплексообразователя и водоудерживающего агента.
Основные функциональные классы пищевых добавок (ПД) представлены в табл.
9.1.
Применение ПД, естественно, ставит вопрос об их безопасности. При этом
учитываются ПДК (мг/кг) - предельно допустимая концентрация чужеродных веществ
(в том числе добавок) в продуктах питания, ДСД (мг/кг массы тела) - допустимая
суточная доза и ДСП (мг/сут) - допустимое суточное потребление - величина,
рассчитываемая как произведение ДСД на среднюю величину массы тела - 60 кг (см.
гл. 12).
Большинство пищевых добавок не имеет, как правило, пищевого значения, т.
е. не является пластическим материалом для организма человека, хотя некоторые
пищевые добавки являются биологически активными веществами. Применение пищевых
добавок, как всяких чужеродных (обычно несъедобных) ингредиентов пищевых
продуктов, требует строгой регламентации и специального контроля.
Международный опыт организации и проведения системных
токсиколого-гигиенических исследований пищевых добавок обобщен в специальном
документе ВОЗ (1987/1991) "Принципы оценки безопасности пищевых добавок и
контаминантов в продуктах питания".
Согласно Закону Российской Федерации (РФ) "О
санитарно-эпидемиологическом благополучии населения" государственный
предупредительный и текущий санитарный надзор осуществляется органами
санитарно-эпидемиологической службы. Безопасность применения пищевых добавок в
производстве пищевых продуктов регламентируется документами Министерства
здравоохранения РФ.
Допустимое суточное потребление (ДСП) является центральным вопросом
обеспечения безопасности пищевых добавок в течение последних 30 лет.
Необходимо отметить, что в последнее время появилось большое число
комплексных пищевых добавок. Под комплексными пищевыми добавками понимают
изготовленные промышленным способом смеси
Таблица 9.1. Функциональные классы пищевых добавок
|
Функциональные классы (для
маркировки)
|
Подклассы (технологические
функции)
|
Дефиниции
|
|
Кислоты
|
Кислотообразователи
|
Повышают кислотность и/или
придают кислый вкус пище
|
|
Регуляторы кислотности
|
Кислоты, щелочи, основания,
буферы, регуляторы рН
|
Изменяют или регулируют
кислотность или щелочность пищевого продукта
|
|
Вещества, препятствующие
слеживанию и комкованию
|
Добавки, препятствующие
затвердению; вещества, уменьшающие липкость; высушивающие добавки, присыпки,
разделяющие вещества
|
Снижают тенденцию частиц
пищевого продукта прилипать друг к другу
|
|
Пеногасители
|
Пеногасители
|
Предупреждают или снижают
образование пены
|
|
Антиокислители
|
Антиокислители, синергисты
антиокислителей, комплексообразователи
|
Повышают срок хранения
пищевых продуктов, защищая от порчи, вызванной окислением, например,
прогорканием жиров или изменением цвета
|
|
Наполнители
|
Наполнители
|
Вещества, иные чем вода или
воздух, которые увеличивают объем продукта, не влияя заметно на его
энергетическую ценность
|
|
Красители
|
Красители
|
Усиливают или
восстанавливают цвет продукта
|
|
Вещества, способствующие
сохранению окраски
|
Фиксаторы окраски,
стабилизаторы окраски
|
Стабилизируют, сохраняют
или усиливают окраску продукта
|
|
Эмульгаторы
|
Эмульгаторы, мягчители,
рассеивающие добавки, поверхностно-активные добавки, смачивающие вещества
|
Образуют или поддерживают
однородную смесь двух или более несмешиваемых фаз, таких как масло и вода в
пищевых продуктах
|
|
Эмульгирующие соли
|
Соли-плавители,
комплексообразователи
|
Взаимодействуют с белками
сыров с целью предупреждения отделения жира при изготовлении плавленых сыров
|
|
Уплотнители (растительных
тканей)
|
Уплотнители (растительных
тканей)
|
Делают или сохраняют ткани
фруктов и овощей плотными и свежими, взаимодействуют с агентами желирования -
для образования геля или укрепления геля
|
|
Усилители вкуса и запаха
|
Усилители вкуса;
модификаторы вкуса; добавки, способствующие развариванию
|
Усиливают природный вкус и
(или) запах пищевых продуктов
|
|
Вещества для обработки муки
|
Отбеливающие добавки,
улучшители теста, улучшители муки
|
Вещества, добавляемые к
муке для улучшения ее хлебопекарных качеств или цвета
|
|
Пенообразователи
|
Взбивающие добавки,
аэрирующие добавки
|
Создают условия для
равномерной диффузии газообразной фазы в жидкие и твердые пищевые продукты
|
|
Гелеобразователи
|
Гелеобразователи
|
Текстурируют пищу путем
образования геля
|
|
Глазирователи
|
Пленкообразователи,
полирующие вещества
|
Вещества, которые при
смазывании ими наружной поверхности продукта придают блестящий вид или
образуют защитный слой
|
|
Влагоудерживающие агенты
|
Добавки, удерживающие
влагу/воду; смачивающие добавки
|
Предохраняют пищу от
высыхания нейтрализацией влияния атмосферного воздуха с низкой влажностью
|
|
Консерванты
|
Противомикробные и
противогрибковые добавки, добавки для борьбы с бактериофагами, химические
стерилизующие добавки при созревании вин, дезинфектанты
|
Повышают срок хранения
продуктов, защищая от порчи, вызванной микроорганизмами
|
|
Пропелленты
|
Пропелленты
|
Газы, иные чем воздух,
выталкивающий продукт из контейнера
|
|
Разрыхлители
|
Разрыхлители; вещества,
способствующие жизнедеятельности дрожжей
|
Вещества или смеси веществ,
которые освобождают газ и увеличивают, таким образом, объем теста
|
|
Стабилизаторы
|
Связующие вещества,
уплотнители, влаго- и водоудерживающие вещества, стабилизаторы пены
|
Позволяют сохранять
однородную смесь двух или более несмешиваемых веществ в пищевом продукте или
готовой пище
|
|
Подсластители
|
Подсластители,
искусственные подсластители
|
Вещества несахарной
природы, которые придают пищевым продуктам и готовой пище сладкий вкус
|
|
Загустители
|
Загустители, текстураторы
|
Повышают вязкость пищевых
продуктов
|
пищевых добавок одинакового или различного технологического назначения, в
состав которых могут входить, кроме пищевых добавок, и биологически активные
добавки, и некоторые виды пищевого сырья (макроингредиенты): мука, сахар,
крахмал, белок, специи и т. д. Такие смеси не являются, строго говоря, пищевыми
добавками, а представляют собой технологические добавки комплексного действия.
Особенно широкое распространение они получили в технологии хлебопечения, при
производстве мучных кондитерских изделий, в мясной промышленности. Иногда в эту
группу включают вспомогательные материалы технологического характера.
За последние десятилетия в мире технологий и ассортимента пищевых
продуктов произошли громадные изменения. Они не только отразились на
традиционных, апробированных временем технологиях и привычных продуктах (хлеб,
мучные кондитерские изделия, напитки и т. д.), но также привели к появлению
новых групп продуктов питания с новым составом и свойствами (функциональных
продуктов для массового потребителя, продуктов лечебного и детского питания и
др.), к упрощению технологии и сокращению производственного цикла, выразились в
принципиально новых технологических и аппаратурных решениях.
Использование большой группы пищевых добавок, получивших условное
название "технологические добавки", позволило получить ответы на
многие из актуальных вопросов. Они нашли широкое применение для решения ряда
технологических проблем:
ускорения технологических процессов (ферментные препараты, химические
катализаторы отдельных технологических процессов и т. д.);
регулирования и улучшения текстуры пищевых систем и готовых продуктов
(эмульгаторы, гелеобразователи, стабилизаторы и т. д.)
предотвращения комкования и слеживания продукта;
улучшения качества сырья и готовых продуктов (отбеливатели муки,
фиксаторы миоглобина и т.д.);
улучшения внешнего вида продуктов (полирующие средства);
совершенствования экстракции (новые виды экстрагирующих веществ);
решения самостоятельных технологических вопросов при производстве
отдельных пищевых продуктов.
Выделение из общего числа пищевых добавок самостоятельной группы
технологических добавок является в достаточной степени условным, так как в
отдельных случаях без них невозможен сам технологический процесс. Примерами
таковых являются экстрагирующие вещества и катализаторы гидрирования жиров,
которые по существу являются вспомогательными материалами. Они не
совершенствуют технологический процесс, а осуществляют его, делают его
возможным. Некоторые технологические добавки рассматриваются в других
подклассах пищевых добавок, многие из них влияют на ход технологического
процесса, эффективность использования сырья и качество готовых продуктов.
Необходимо напомнить, что классификация пищевых добавок (табл. 9.1)
предусматривает определение функций (см. "подклассы"), и большая
часть технологических добавок ими обладает.
Изучение комплексных пищевых добавок, а также вспомогательных материалов
- это задача специальных курсов и дисциплин, в которых рассматриваются вопросы
конкретных технологий. В настоящей главе учебника мы остановимся только на
общих подходах к подбору технологических добавок.
Общие подходы к подбору технологических добавок
Эффективность применения пищевых добавок, особенно проявляющих
технологические функции, требует создания технологии их подбора и внесения с
учетом особенностей химического строения, функциональных свойств и характера
действия пищевых добавок, вида продукта, особенностей сырья, состава пищевой
системы, технологии получения готового продукта, типа оборудования, а иногда -
специфики упаковки и хранения. В общем виде разработка технологии подбора и
применения новой пищевой добавки представлена на схеме (см. рис. 9.2.)
Схема является наиболее полной и учитывает все этапы разработки
технологии подбора и применения новых пищевых добавок. Совершенно естественно,
что при работе с пищевыми добавками конкретного функционального назначения
отдельные этапы этой работы могут не проводиться; еще в большей степени эта
схема может быть упрощена при использовании известных, хорошо изученных пищевых
добавок. Но во всех случаях при определении целесообразности применения пищевой
добавки (как при производстве традиционных пищевых продуктов, где она ранее не
использовалась, так и при создании технологии новых пищевых продуктов)
необходимо учитывать особенности пищевых систем, в которые вносится пищевая
добавка, правильно определить этап и способ ее внесения, оценить эффективность
ее использования, в том числе и экономическую.
О безопасности пищевых добавок
Пищевые добавки, спектр применения которых непрерывно расширяется,
выполняют разнообразные функции в пищевых технологиях и продуктах питания.
Использование добавок возможно только после проверки их безопасности. Внесение
пищевых добавок не должно увеличивать степень риска, возможного
неблагоприятного действия продукта на здоровье потребителя, а также снижать его
пищевую ценность (за исключением некоторых продуктов специального и
диетического назначения).
Определение правильного соотношения между дозой и реакцией человека на
нее, применение высокого коэффициента безопасности гарантируют, что использование
пищевой добавки, при соблюдении уровня ее потребления, не представляет
опасности для здоровья человека.
Важнейшим условием обеспечения безопасности пищевых продуктов является
соблюдение допустимой нормы суточного потребления пищевых добавок (ДСП). Растет
число комбинированных пищевых добавок, пищевых улучшителей, содержащих пищевые,
биологически активные добавки (БАД) и другие компоненты. Постепенно создатели
пищевых добавок становятся и разработчиками технологии их внедрения.
В Российской Федерации возможно применение только тех пищевых добавок,
которые имеют разрешение Госсанэпиднадзора России в пределах, приведенных в
Санитарных правилах (СанПиН).
Пищевые добавки должны вноситься в пищевые продукты в минимально
необходимом для достижения технологического эффекта количестве, но не более
установленных Санитарными правилами пределов.
Исследование безопасности пищевых добавок, определение ДСД, ДСП, ПДК -
сложный, длительный, очень дорогой, но крайне нужный и важный для здоровья
людей процесс. Он требует непрерывного внимания и совершенствования.
Пищевые добавки, запрещенные к применению в Российской Федерации при
производстве пищевых продуктов представлены в табл. 9.2.
Таблица 9.2. Пищевые добавки, запрещенные в РФ
|
Код
|
Пищевая добавка
|
Технологические функции
|
|
Е121
|
Цитрусовый красный
|
Краситель
|
|
Е123
|
Амарант
|
Краситель
|
|
Е240
|
Формальдегид
|
Консервант
|
|
Е940а
|
Бромат калия
|
Улучшитель муки и хлеба
|
|
Е9406
|
Бромат кальция
|
Улучшитель муки и хлеба
|
Сведения о химии пищевых добавок, характере их действия, а в отдельных
случаях - о получении, приведены в последующих материалах настоящей главы.
9.2 ВЕЩЕСТВА,
УЛУЧШАЮЩИЕ ВНЕШНИЙ ВИД ПИЩЕВЫХ ПРОДУКТОВ
Пищевые красители
Основной группой веществ, определяющих внешний вид продуктов питания,
являются пищевые красители (функциональный класс 7, табл. 9.1).
Потребитель давно привык к определенному цвету пищевых продуктов,
связывая с ним их качество, поэтому красители в пищевой промышленности
применяются с давних времен. В условиях современных пищевых технологий,
включающих различные виды термической обработки (кипячение, стерилизацию,
жарение и т. д.), а также при хранении продукты питания часто изменяют свою
первоначальную, привычную для потребителя окраску, а иногда приобретают
неэстетичный внешний вид, что делает их менее привлекательными, отрицательно
влияет на аппетит и процесс пищеварения. Особенно сильно меняется цвет при
консервировании овощей и фруктов. Как правило, это связано с превращением
хлорофиллов в феофитин или с изменением цвета антоциановых красителей в результате
изменения рН среды или образования комплексов с металлами. В то же время,
красители иногда используются для фальсификации пищевых продуктов, например,
подкрашивания их, не предусмотренного рецептурой и технологией, - для придания
продукту свойств, позволяющих имитировать его высокое качество или повышенную
ценность.
Для окраски пищевых продуктов используют натуральные (природные) или
синтетические (органические и неорганические) красители).
В настоящее время в Российской Федерации для применения в пищевых
продуктах разрешено около 60 наименований натуральных и синтетических
красителей, включая добавки, обозначенные строчными буквами и строчными
римскими цифрами и входящими в одну группу соединений с единым Е-номером.
Перечень красителей, разрешенных к применению в РФ при производстве
пищевых продуктов (из СанПиН 2.3.2.1078-01), приведен ниже:
|
Натуральные красители
|
|
|
Куркумины ...............
|
Е100
|
|
Рибофлавины .............
|
Е101
|
|
Алканет, Алканин .........
|
Е103
|
|
Кармины, Кошениль ......
|
Е120
|
|
Хлорофилл ...............
|
Е140
|
|
Медные комплексы
хлорофиллов и хлорофиллинов ......
|
Е141
|
|
Сахарные колеры .........
|
Е150
|
|
Каротины ................
|
Е160
|
|
Каротиноиды .............
|
Е161
|
|
Красный свекольный ......
|
Е162
|
|
Антоцианы ...............
|
Е163
|
|
Танины пищевые ..........
|
Е181
|
|
Красный рисовый .........
|
-
|
|
Минеральные красители
|
|
|
Уголь ... .................
|
..Е152
|
|
Уголь древесный ..........
|
..Е153
|
|
Углекислые соли кальция . .
|
..Е170
|
|
Диоксид титана ...........
|
..Е171
|
|
Оксиды и гидроксиды железа
|
..Е172
|
|
Серебро
....................
|
Е174
|
|
Золото
.....................
|
Е175
|
|
Ультрамарин
.................
|
-
|
|
Синтетические красители
|
|
|
Тартразин
..................
|
Е102
|
|
Желтый хинолиновый .......
|
Е104
|
|
Желтый 2G .................
|
Е107
|
|
Желтый "солнечный
закат" . . .
|
Е110
|
|
Азорубин, Кармуазин
........
|
Е122
|
|
Понсо 4R, Пунцовый 4R .....
|
Е124
|
|
Красный 2G ................
|
Е128
|
|
Красный очаровательный АС.
.
|
Е 1 29
|
|
Синий патентованный V .....
|
Е131
|
|
Индигокармин ..............
|
Е132
|
|
Синий блестящий FCF ......
|
Е133
|
|
Зеленый S
..................
|
Е142
|
|
Зеленый прочный FCF .......
|
E143
|
|
Черный блестящий PN .......
|
Е151
|
|
Коричневый НТ ............
|
Е155
|
|
Орсейл, орсин
..............
|
Е182
|
|
Красные для карамели 1,2
....
|
-
|
|
Красный 3
...................
|
-
|
Два красителя: углекислые соли кальция Е170 (поверхностный краситель,
стабилизатор, добавка, препятствующая слеживанию) и танины пищевые Е181
(краситель, эмульгатор, стабилизатор) являются пищевыми добавками комплексного
действия. Запрещенные в России красители перечислены в табл. 9.2.
Правилами применения отдельных красителей оговариваются вид продукта и
максимальные уровни использования красителя в конкретном продукте, если эти
уровни установлены.
С гигиенической точки зрения среди красителей, применяемых для окраски
продуктов, особое внимание уделяется синтетическим красителям. Оценивают их
токсическое, мутагенное и канцерогенное действие. При токсикологической оценке
природных красителей учитывают характер объекта, из которого он был выделен, и
уровни его использования. Модифицированные природные красители, а также
красители, выделенные из непищевого сырья, проходят токсикологическую оценку по
той же схеме, что и синтетические.
Наиболее широко пищевые красители применяются при производстве
кондитерских изделий, напитков, маргаринов, некоторых видов консервов, сухих
завтраков, плавленых сыров, мороженого.
Натуральные (природные) красители
Натуральные красители обычно выделяют из природных источников в виде
смеси различных по своей химической природе соединений, состав которой зависит
от источника и технологии получения, в связи с чем обеспечить его постоянство
часто бывает трудно. Среди натуральных красителей необходимо отметить
каротиноиды, антоцианы, флавоноиды, хлорофиллы. Они, как правило, не обладают
токсичностью, но для некоторых из них установлены допустимые суточные дозы.
Некоторые натуральные пищевые красители или их смеси и композиции обладают
биологической активностью, повышают пищевую ценность окрашиваемого продукта.
Сырьем для получения натуральных пищевых красителей являются различные части
дикорастущих и культурных растений, отходы их переработки на винодельческих,
сокодобывающих и консервных заводах, кроме этого, некоторые из них получают
химическим или микробиологическим синтезом. Природные красители, в том числе и
модифицированные, чувствительны к действию кислорода воздуха (например,
каротиноиды), кислот и щелочей (например, антоцианы), температуры, могут
подвергаться микробиологической порче.
Каротиноиды - углеводороды изопреноидного ряда С40Н56 (каротины) и их кислородсодержащие
производные. Каротиноиды - растительные красно-желтые пигменты, обеспечивающие
окраску ряда овощей, фруктов, жиров, яичного желтка и других продуктов.
Интенсивная окраска каротиноидов обусловлена наличием в их структуре
сопряженных двойных л-связей, являющихся хромофорами. Они нерастворимы в воде и
растворимы в жирах и органических растворителях. Примером таких соединений
является β-каротин (название происходит от лат. carota - морковь).
β-Каротин E160a(i) получается
синтетическим (в том числе микробиологическим) путем или выделяется из
природных источников, в том числе из криля, в смеси с другими каротиноидами
(El60a(ii) - экстракты натуральных каротиноидов) в виде водо- или
жирорастворимых форм. β-Каротин является не только красителем, но и
провитамином А, антиоксидантом, эффективным профилактическим средством против
онкологических и сердечно-сосудистых заболеваний, защищает от воздействия
радиации. Он применяется для окрашивания и витаминизации маргаринов, майонезов,
кондитерских, хлебобулочных изделий, безалкогольных напитков.
Из пигментов этой группы следует также отметить ликопин (E160d) и
желто-оранжевый краситель аннато (Е160b) - водный экстракт из корней
Bixaorellana L, разрешенный для окраски маргаринов, ароматизированных сыров,
сухих завтраков из зерна, сливочного масла. Он обладает антиспастическими и
гипотоническими свойствами. К этой же группе красителей относятся маслосмолы
паприки (Е160с) - экстракты из красного перца Capsicum annuum L. Они имеют
характерный острый вкус и цвет от желтого до оранжевого. Основным пигментом
является каротиноид капсантин, не обладающий А-витаминной активностью.
Применяется при изготовлении копченостей, кулинарных изделий, соусов, сыров.
Необходимо упомянуть еще β-апокаротиналь (Е160е) - β-апокаротиновый альдегид, получаемый
синтетическим путем, и метиловые или этиловые эфиры β-апо-8'-каротиновой кислоты (E160f).
Большую группу составляют производные каротиноидов: флавоксантин (Е161
а), лютеин (экстракт бархатцев, Е161b), криптоксантин (Е161 с), рубиксантин
(Е16Ы), виолоксантин (Е161е),родоксантин (E161f), кантак-сантин(Е160g).
Для окраски пищевых продуктов (маргарина, сливочного масла, майонеза,
рыбных изделий, искусственной икры и некоторых других продуктов) применяют
каротиноиды, выделенные из моркови α-β-γ-каротины), плодов шиповника, перца, а
также продукты, полученные микробиологическим или синтетическим путем.
Каротиноиды устойчивы к изменению рН среды, к веществам, обладающим
восстановительными свойствами, но при нагревании (выше 100°С) или под действием
солнечного света легко окисляются. Наибольшее значение имеет β-каротин, экстракты натуральных
каротинов и аннато.
Хлорофиллы (магнийзамещенные производные порфирина) - природные пигменты,
придающие зеленую окраску многим овощам и плодам (салат, зеленый лук, зеленый
перец, укроп и т. д.). Хлорофилл состоит из сине-зеленого "хлорофилла
а" и желто-зеленого "хлорофилла Ь", находящихся в соотношении
3:1. Для извлечения хлорофилла используют петролейный эфир со спиртом.
Применение их в качестве красителя (Е140) в пищевой промышленности сдерживается
их нестойкостью: при повышенной температуре в кислых средах зеленый цвет
переходит в оливковый, затем в грязно-желто-бурый вследствие образования
феофитина. Большое практическое значение могут иметь медные хлорофиллоподобные
комплексы (Е14Н), содержащие медь в качестве центрального атома и имеющие
интенсивную зеленую окраску, и натриевые и калиевые соли медного комплекса
хлорофиллина (EHlii). Хлорофилл и его производные с медью растворимы в масле,
хлорофиллин и его медные производные - в воде. Для окраски продуктов питания
используются зеленые пигменты, выделенные из крапивы, капусты, ботвы моркови и
т. д.
Антрахиноновые красители содержат в качестве основной хромофорной группы
гидроксиантрахинон, обладающий стабильной окраской.
К природным пигментам этой группы относятся ализарин, кармин, алканин.
Остановимся на разрешенных в России.
Кармин Е120 - красный краситель (основной компонент карминовая кислота) -
представляют собой комплексные соли карминовой кислоты с ионами металлов.
Получают экстракцией из кошениля - высушенных и растертых женских особей
насекомых - червецов вида Dactylopius coccus (Sacta), обитающих на кактусах,
которые произрастают в Южной Америке, Африке. Наиболее богаты кармином самки
кошенили, содержащие до 3% красителя. Краситель устойчив к нагреванию, действию
кислорода воздуха, свету. Применяется в кондитерской, безалкогольной, мясной
промышленности, при производстве джемов, желе. В последнее время кармин в
значительно больших количествах получают синтетическим путем.
Алканин (алканет) Е103 - красно-бордовый краситель, производное
1,4-нафтохинона.
Известен как краситель еще с древних времен. Получают из корней растения
Alkanna tinctoria, растущего на юге и в центральной части Европы. Он растворим
в жирах, но не нашел широкого применения для их окраски, т. к. обладает
недостаточной стабильностью и нехарактерным для жировых продуктов цветом.
Курку мин - желтый природный краситель (ElOOi), получают из многолетних
травянистых растений семейства имбирных - Curcuma longa, L.
К этой группе относится и турмерик (Е100Н) - порошок корневища куркумы.
Куркумины не растворяются в воде и часто используются в пищевой
промышленности в виде спиртового раствора.
Антоциановые красители. Важной группой водорастворимых природных
красителей являются антоцианы (E163i). Это фенольные соединения, являющиеся
моно- и дигликозидами. При гидролизе они распадаются на углеводы (галактозу,
глюкозу, рамнозу и др.) и агликоны, представленные антоцианидами
(пеларгонидином, цианидином, дельфини-дином и др.). Характер окраски природных
антоцианов зависит от многих факторов: строения, рН среды, образования
комплексов с металлами, способности адсорбироваться на полисахаридах,
температуры, света. Наиболее устойчивую красную окраску антоцианы имеют в
кислой среде при рН 1,5-2; при рН 3,4-5 окраска становится красно-пурпурной или
пурпурной. В щелочной среде происходит изменение окраски: при рН 6,7-8 она
становится синей, сине-зеленой, а при рН 9 - зеленой, переходящей в желтую при
повышении рН до 10. Меняется окраска антоцианинов и при образовании комплексов
с различными металлами: соли магния и кальция имеют синюю окраску, калия -
красно-пурпурную. Увеличение числа метальных групп в молекуле антоцианинов
сдвигает окраску в сторону красных оттенков. Представителями этой группы
красителей являются собственно антоцианы, энокраситель и экстракт из черной
смородины.
Энокраситель (E163ii) получают из выжимок темных сортов винограда и ягод
бузины в виде жидкости интенсивно красного цвета. Представляет собой смесь
окрашенных, различных по своему строению органических соединений, в первую
очередь антоцианинов и катехинов. Окраска продукта энокрасителем зависит от рН
среды: красная окраска в подкисленных средах, в нейтральных и слабощелочных
средах энокраситель придает продукту синий оттенок. Поэтому при использовании
энокраси-теля в кондитерской промышленности одновременно применяют и
органические кислоты для создания необходимой кислотности среды.
В последнее время начали использовать в качестве желтых и розово-красных
красителей пигменты антоциановой природы, содержащиеся в соке черной смородины
(E163iii), кизила, красной смородины, клюквы, брусники, пигменты чая,
содержащие антоцианы и катехины, а также краситель темно-вишневого цвета,
выделенный из свеклы - свекольный красный (Е162). Составной частью его является
бетанин.
Сахарный колер (карамель, Е150) - темно-окрашенный продукт карамелизации
(термического разложения) Сахаров, получаемый по различным технологиям. Его
водные растворы представляют собой приятно пахнущую темно-коричневую жидкость.
В зависимости от технологии получения различают сахарный колер I (Е150а,
простой, карамель I); сахарный колер II (E150b, карамель II), полученный по
"щелочно-сульфитной" технологии; сахарный колер III (El50с, карамель
III), полученный по "аммиачной" технологии; сахарный колер IV (E150d,
карамель IV), полученный по "аммиачно-сульфитной" технологии. В
результате карамелизации Сахаров образуется сложная смесь продуктов с
характерной окраской. Применяется для окраски напитков, ячменного хлеба,
кондитерских изделий, желе и джемов, в кулинарии.
Рибофлавины (рибофлавин ElOli) и натриевая соль рибофлавин-5'-фосфата
(ЕЮШ) используются в качестве желтого пищевого красителя для окрашивания
кондитерских изделий, майонезов и т. п. Максимальный уровень внесения не
установлен.
Синтетические красители
Синтетические красители обладают значительными технологическими
преимуществами по сравнению с большинством натуральных красителей. Они дают
яркие, легко воспроизводимые цвета и менее чувствительны к различным видам
воздействия, которым подвергается материал в ходе технологического потока.
Синтетические пищевые красители - представители нескольких классов
органических соединений: азокрасители (тартразин - Е102; желтый "солнечный
закат" - Е110; кармуазин - Е122; пунцовый 4R- Е124; черный блестящий -
Е151); триарилметановые красители (синий патентованный V-Е131; синий блестящий
- Е133; зеленый S - Е142); хинолиновые (желтый хинолиновый - Е104); индигоидные
(индигокармин - Е132). Все эти соединения хорошо растворимы в воде, большинство
образует нерастворимые комплексы с ионами металлов и применяются в этой форме
для окрашивания порошкообразных продуктов.
Отметим разрешенные к применению в РФ синтетические красители.
Индигокармин (индиготин) - динатриевая соль индигодилсульфокис-лоты. При
растворении в воде дает растворы интенсивно синего цвета. Применяется в
кондитерской промышленности, в технологии напитков (обладает низкой
устойчивостью к редуцирующим сахарам и свету, что необходимо учитывать при
использовании для окраски напитков).
Тартразин хорошо растворим в воде, его растворы окрашены в
оранжевато-желтый цвет. Используется в кондитерской промышленности, при
производстве напитков, мороженого.
В качестве пищевых красителей применяются также хинолиновый желтый Е104,
желтый 2G Е107, желтый "солнечный закат FCF" Е110, красные красители
- азорубин (кармуазин) Е122, понсо 4R (пунцовый 4R) Е124, красный 2G Е128,
"красный очаровательный AC" E129, "орсейл" (орсин-красный
для карамели) Е182; голубые красители - "синий патентованный V" Е131,
"синий блестящий FCF" E133; зеленые красители - "зеленый S"
E142, "зеленый прочный FCF" E143; темно-фиолетовый краситель -
"черный блестящий РН" (бриллиантовый черный) Е151; коричневый
краситель "коричневый НТ" Е155.
Эритрозин - Е127 не разрешен для применения в нашей стране, но
используется в других странах.
Синтетические красители в пищевой технологии применяются в виде
индивидуальных продуктов и соединений с содержанием основного вещества не менее
70-85%, в смеси друг с другом, а также разбавленные наполнителями (поваренной
солью, сульфатом натрия, глюкозой, сахарозой, лактозой, крахмалом, пищевыми
жирами и др.), что упрощает обращение с ними. Для окрашивания пищевых продуктов
используют, главным образом, водные растворы пищевых красителей.
Порошкообразные красители применяют обычно лишь в сухих полуфабрикатах
(концентратах напитков, сухих смесях для кексов, желе и т. д.).
При выборе красителя и его дозировки необходимо учитывать не только цвет
и желаемую интенсивность окраски, но и физико-химические свойства пищевых
систем, в которые он вносится, а также особенности технологии.Широкое
применение синтетических красителей, появившихся в последнее время благодаря
достижениям химии, связано с их высокой устойчивостью к изменениям рН среды и
действию кислот, стабильностью к нагреванию и свету, большой окрашивающей
способностью, легкостью дозирования, устойчивостью окраски при хранении
продукта. В большинстве случаев они дешевле натуральных красителей.
Минеральные (неорганические) красители
В качестве красителей применяют минеральные пигменты и металлы. В
Российской Федерации разрешено применение 7 минеральных красителей и пигментов
(табл. 9.3), включая уголь древесный.
Таблица 9.3. Минеральные красители, разрешенные для применения в РФ
|
Код
|
Наименование
|
Цвет водных или масляных
растворов
|
|
Е152
|
Уголь
|
Черный
|
|
Е153
|
Уголь древесный
|
Черный
|
|
Е170
|
Углекислые соли кальция
|
Белый
|
|
Е171
|
Диоксид титана
|
Белый
|
|
Е172
|
Оксиды железа
|
|
|
(i) железа (+2;+3) оксид
черный
|
Черный
|
|
(ii) железа (+3) оксид
красный
|
Красный
|
|
(iii) железа (+3) оксид
желтый
|
Желтый
|
|
Е174
|
Серебро
|
|
|
Е175
|
Золото
|
|
Цветокорректирующие материалы
В пищевой промышленности применяются соединения, изменяющие окраску
продукта в результате взаимодействия с компонентами сырья и готовых продуктов.
Среди них отбеливающие вещества - добавки, предотвращающие разрушение одних
природных пигментов и разрушающие другие пигменты или окрашенные соединения,
образующиеся при получении пищевых продуктов и являющиеся нежелательными.
Иногда эти Цветокорректирующие материалы оказывают и другое, сопутствующее
(например, консервирующее) действие. Мы остановимся на диоксиде серы, нитратах,
нитритах и бромате калия.
Диоксид серы - SO2 (E220), растворы H2SO3 и ее солей - NaHSO3, Ca(HSO3)2,
Na2SO3 (E221, Е222, Е223) и другие оказывают отбеливающее и консервирующее
действие, тормозят ферментативное потемнение свежих овощей, картофеля, фруктов,
а также замедляют образование меланоидинов. В то же время диоксид серы
разрушает витамин В,, влияет на строение белковых молекул, разрушая
дисульфидные мостики в белках, что может вызвать нежелательные последствия.
Поэтому целесообразно отказаться от применения диоксида серы для обработки
продуктов, являющихся важным источником витамина В, для человека.
Нитрат натрия (Е251) и нитриты калия и натрия (Е249 и Е250) применяют при
обработке (посоле) мяса и мясных продуктов для сохранения красного цвета. Миоглобин
(красный мясной краситель) при взаимодействии с нитритами образует красный
нитрозомиоглобин, который придает мясным изделиям цвет красного соленого мяса,
мало изменяющегося при кипячении. Аналогичное действие оказывают и нитраты,
которые с помощью фермента нитроредуктазы, выделяемого микроорганизмами,
переводятся в нитриты. Для создания необходимой для их жизнедеятельности
питательной среды в рассол добавляют сахарозу. Однако нитрозомиоглобин может
превращаться в нитрозомиохромоген, придающий изделиям зеленоватый или
коричневый оттенок. Нитраты и нитриты в смеси с поваренной солью
("посольная смесь") оказывают консервирующее действие. Добавление
аскорбиновой кислоты (ЕЗОО) ускоряет образование красного пигмента и позволяет
сократить использование нитратов и нитритов. В настоящее время по совокупности
показаний применение нитритов и нитратов вызывает возражения медиков и требует
особого внимания с позиций гигиенической регламентации.
Бромат калия - КВrО3 (Е924а) ранее применялся в качестве окисляющего
отбеливателя муки; его использование частично разрушает витамин Вр никотинамид
(витамин РР) и метионин и, возможно, приводит к образованию новых соединений с
нежелательными свойствами, поэтому во многих странах, в том числе в РФ, его
применение запрещено.
.3 ВЕЩЕСТВА,
ИЗМЕНЯЮЩИЕ СТРУКТУРУ И ФИЗИКО-ХИМИЧЕСКИЕ СВОЙСТВА ПИЩЕВЫХ ПРОДУКТОВ
К этой группе пищевых добавок могут быть отнесены вещества, используемые
для создания необходимых или изменения существующих реологических свойств
пищевых продуктов, т. е. добавки, регулирующие или формирующие их консистенцию.
К ним принадлежат добавки различных функциональных классов - загустители,
гелеобразователи, стабилизаторы физического состояния пищевых продуктов,
поверхностно-активные вещества (ПАВ), в частности, эмульгаторы и
пенообразователи.
Химическая природа пищевых добавок, отнесенных к этой группе, достаточно
разнообразна. Среди них имеются продукты природного происхождения и получаемые
искусственным путем, в том числе химический синтезом. В пищевой технологии они
используются в виде индивидуальных соединений или смесей.
В последние годы в группе пищевых добавок, регулирующих консистенцию
продукта, большое внимание стало уделяться стабилизационным системам,
включающим несколько компонентов: эмульгатор, стабилизатор, загуститель. Их
качественный состав, соотношение компонентов могут быть весьма разнообразными,
что зависит от характера пищевого продукта, его консистенции, технологии
получения, условий хранения, способа реализации.
Применение в современной пищевой технологии таких добавок позволяет
создать ассортимент продуктов эмульсионной и гелевой природы (маргарины,
майонезы, соусы, пастила, зефир, мармелад и др.), структурированных и
текстурированных.
Стабилизационные системы широко применяются в общественном и домашнем
питании, кулинарии. Они используются при производстве супов (сухие,
консервированные, замороженные), соусов (майонезы, томатные соусы), бульонных
продуктов, продуктов для консервированных блюд.
Загустители и гелеобразователи
Эта группа пищевых добавок включает соединения двух функциональных
классов: а) загустители (функциональный класс 23) - вещества, используемые для
повышения вязкости продукта; б) гелеобразователи (функциональный класс 15) -
соединения, придающие пищевому продукту свойства геля (структурированной
высокодисперсной системы с жидкой дисперсионной средой, заполняющей каркас,
который образован частицами дисперсной фазы).
Загустители и гелеобразователи, введенные в жидкую пищевую систему в
процессе приготовления пищевого продукта, связывают воду, в результате чего
пищевая коллоидная система теряет свою подвижность и консистенция пищевого
продукта изменяется. Эффект изменения консистенции (повышение вязкости или
гелеобразование) будет определяться, в частности, особенностями химического строения
введенной добавки.
В химическом отношении добавки этой группы являются полимерными
соединениями, в макромолекулах которых равномерно распределены гидрофильные
группы, взаимодействующие с водой. Они могут участвовать также в обменном
взаимодействии с ионами водорода и металлов (особенно кальция), а кроме того, с
органическими молекулами меньшей молекулярной массы.
Перечень загустителей и гелеобразователей, разрешенных к применению в
производстве пищевых продуктов в России, включает 50 добавок.
Как уже отмечалось, главной технологической функцией добавок этой группы
в пищевых системах является повышение вязкости или формирование гелевой
структуры различной прочности. Одним из основных свойств, определяющих
эффективность применения таких веществ в конкретной пищевой системе, является
их полное растворение, которое зависит, прежде всего, от химической природы
добавок. Поскольку большинство представителей этой группы относится к
соединениям полисахаридной природы и содержит значительное количество гидроксильных
групп, они являются гидрофильными и, в основном, растворимы в воде.
Растворимость повышается в присутствии ионизированных групп - сульфатных
и карбоксильных, увеличивающих гидрофильность (каррагинаны, альгинаты), а также
при наличии в молекулах полисахаридов боковых цепей, раздвигающих главные цепи,
что улучшает гидратацию (ксантаны). Растворению способствует механическое
воздействие (перемешивание) и нагревание. Растворимость понижается в
присутствии факторов, способствующих образованию связей между полисахаридными
цепями, к которым относятся наличие неразветвленных зон и участков без
ионизированных групп (камедь рожкового дерева), а также присутствие ионов
кальция или других поливалентных катионов, вызывающих поперечное сшивание
полисахаридных цепей (пектины).
Многие представители этой группы пищевых добавок имеют смежную
технологическую функцию стабилизатора, поскольку повышение вязкости дисперсной
пищевой системы при введении в нее загустителя или превращение такой системы в
слабый гель при низких концентрациях гелеобразователя способствуют
предотвращению ее разделения на исходные компоненты (например, выпадение в
осадок твердых частиц, диспергированных в жидкой дисперсионной среде).
Подавляющее большинство загустителей и гелеобразователей со статусом
пищевых добавок относится к классу полисахаридов (гликанов). Исключение
составляет гелеобразователь желатин, имеющий белковую природу.
В зависимости от особенностей химического строения загустители и
гелеобразователи полисахаридной природы могут быть подразделены по различным
классификационным признакам (табл. 9.4).
Таблица 9.4. Классификация пищевых добавок полисахаридной природы в
зависимости от структуры
|
Классификационный признак
|
Характеристика
|
Основные представители
|
|
Строение полимерной цепи
|
Линейное
|
Альгинаты, каррагинаны,
модифицированные целлюлозы, фурцеллеран, пектины
|
|
Разветвленное
|
Галактоманнаны (гуаровая
камедь и камедь рожкового дерева), ксантаны, гуммиарабик, камедь гхатти,
камедь карайи, трагакант
|
Природа мономерных остатков
|
|
Гомогликаны Гетерогликаны
|
Модифицированные целлюлозы,
модифицированные крахмалы
|
Альгинаты, каррагинаны,
галактоманнаны, пектины
|
|
Тригетерогликаны
|
Ксантаны, камедь карайи,
геллановая камедь
|
|
Тетрагетерогликаны
|
Гуммиарабик
|
|
Пентагетерогликаны
|
Камедь гхатти, трагакант
|
|
Заряд
|
Нейтральный
|
Производные целлюлозы,
амилопектины, галактоманнаны
|
|
Анионный (кислотный)
|
Альгинаты, каррагинаны,
пектины, ксантаны, трагакант, камедь карайи, гуммиарабик, камедь гхатти,
фурцеллеран
|
К основным представителям относятся модифицированные крахмалы и
целлюлозы, пектины, полисахариды морских водорослей и некоторые другие.
Модифицированные крахмалы
В отличие от нативных растительных крахмалов, считающихся пищевыми
продуктами, модифицированные крахмалы (Е1400 - Е1451) относятся к пищевым добавкам.
В эту группу пищевых добавок объединены продукты фракционирования, деструкции и
различных модификаций нативных растительных крахмалов, представляющих собой
преимущественно смесь двух фракций гомоглкжанов (полимеров глюкозы) линейного и
разветвленного строения - амилозы и амилопектина:
Краткая характеристика основных фракций крахмала приведена в табл. 9.5.
Таблица 9.5. Краткая характеристика основных фракций крахмала
|
Основные характеристики
|
Амилоза
|
Амилопектин
|
|
Строение; тип гликозидной
связи
|
Линейное; α-(1,4)
|
Разветвленное; α-(1,4) в линейной части; α-(1,6) в точках ветвления
|
|
Молекулярная масса
|
До 500 тыс
|
1-6 млн
|
|
Растворимость
|
Растворима в горячей воде
|
Набухает в горячей воде с
образованием клейстера
|
|
Среднее содержание в
крахмале, %
|
15-20
|
80-85
|
Особенности химического строения и свойств этих фракций, а также их
соотношение в нативном крахмале, зависящее от вида растительного источника
(картофель, рис, кукуруза и т. п.), определяют основное технологическое
свойство нативного крахмала - способность растворяться при нагревании в воде с
образованием вязких коллоидных растворов (клейстеров). Однако свойства таких
клейстеров часто не соответствуют необходимым требованиям; например, нативные
кукурузные крахмалы образуют слабые, резиноподобные клейстеры и нежелательные
гели в процессе термической обработки. Типичным для клейстеров, образованных
нативными крахмалами, является также процесс синерези-с а - сокращение объема с
выделением жидкой фазы в результате самопроизвольного уплотнения структурной
сетки.
Различные способы обработки (физические, химические, биологические)
нативных крахмалов позволяют существенно изменить их строение, что отражается
на растворимости и свойствах клейстеров, например, их устойчивости к
нагреванию, воздействию кислот и т. п.
Реакционноспособными центрами в полимерных молекулах крахмалов являются:
а) гидроксильные группы глюкозных структурных единиц, активность которых по
отношению к химическим реагентам изменяется в ряду: ОН при С6> ОН при С2
> ОН при С3; б) а-гликозидные связи,
Таблица 9.6. Основные виды модифицированных крахмалов
|
Тип модификации
|
Основные группы
|
Основные подгруппы
|
|
Набухание
|
Набухающие крахмалы
|
Растворимые в холодной воде
(инстант-крахмалы), полученные: - вальцовой сушкой; - экструзией
|
|
|
Набухающие в холодной воде
|
|
Деполимеризация
|
Расщепленные крахмалы
|
Декстрины Гидролизованные
кислотами Гидролизованные ферментами Окисленные
|
|
Стабилизация
|
Стабилизированные крахмалы
|
Со сложной эфирной связью:
- ацетилированные; - фосфатные С простой эфирной связью - оксиалкильные
|
|
Поперечное сшивание
полимерных цепей
|
Сшитые крахмалы
|
Сшитые: - хлорокисью
фосфора; - эпихлоргидрином; - адипиновой кислотой
|
соединяющие глюкозные структурные единицы в полимерные цепи; в) концевые
остатки D-глюкопираноз, обладающие восстанавливающей способностью.
По изменениям, происходящим в нативных крахмалах, можно выделить четыре
основных типа модификаций, позволяющих путем физических или химических
воздействий получить различные виды модифицированных крахмалов (табл. 9.6).
Набухающие крахмалы. Инстант-крахмалы, т. е. крахмалы, способные
растворяться в холодной воде, получают путем физических превращений, не
вызывающих существенной деструкции крахмальных молекул. В общем случае их
получают нагреванием крахмальной суспензии в условиях, обеспечивающих быструю
клейстеризацию и последующее высушивание клейстера, в связи с чем эти крахмалы
называют также преклейстерными. Такие условия достигаются при вальцовой сушке
или экструзии.
Инстант-крахмалы используются, например, в пудингах быстрого приготовления.
Крахмалы, набухающие в холодной воде, получают термообработкой нативного
кукурузного крахмала в 75-90%-м этаноле при температуре 150-175°С в течение
1,5-2,0 ч, или высушиванием крахмальной суспензии в распылительной сушилке.
Основой для получения растворимых и набухающих крахмалов могут служить
как нативные, так и химически модифицированные. В последнем случае получаемые
набухающие крахмалы сохраняют свойства, достигнутые при химической модификации,
например, проявляют устойчивость в кислой среде, стабильность в циклах
замерзания и оттаивания.
Способность крахмалов набухать в холодной воде без дополнительного
нагревания используют в технологии различных десертов, желейного мармелада,
сдобного теста, содержащего ягоды, которые в отсутствие стабилизатора оседают
на дно до начала выпечки.
Расщепленные крахмалы. Они представляют собой продукты, имеющие,
вследствие физических или химических воздействий, более короткие (по сравнению
с нативными крахмалами) молекулярные цепи. К этой группе относятся декстрины,
продукты кислотного или ферментативного гидролиза, а также окисленные крахмалы.
Декстрины (Е1400) получают при сухом нагревании нативных крахмалов в
присутствии кислотных катализаторов или без них. В зависимости от условий
термообработки образуются белые или желтые декстрины.
Гидролизованные крахмалы получают обработкой крахмальных суспензий
растворами кислот или гидролитических ферментов амилаз. Состав и свойства таких
крахмалов зависят от условий гидролиза.
Основная область использования этих крахмалов - кондитерские изделия:
пастила и желе, жевательные резинки.
Состав и свойства окисленных крахмалов определяются выбором окислителей,
в качестве которых могут использоваться Н2О2, КМnО4, НСlО3, КЮ4 и некоторые
другие. Как и кислоты, окисляющие агенты приводят к образованию крахмалов с
более короткими молекулярными цепями.
В зависимости от условий, окислению могут подвергаться как первичные, так
и вторичные группы глюкопиранозных структурных единиц:
Их используют для стабилизации мороженого, при производстве мармеладов,
лукума, а также в хлебопечении. Разбавленные растворы высокоокисленных
крахмалов сохраняют прозрачность в течение длительного хранения, что делает их
ценными добавками при приготовлении прозрачных супов.
Стабилизированные крахмалы. Они представляют собой продукты химической
модификации монофункциональными реагентами с образованием по гидроксильным
группам производных с простой или сложной эфирной связью. Такие производные,
несмотря на невысокую степень замещения гидроксильных групп (0,002-0,2), отличаются
отнативных крахмалов значительно меньшей склонностью к межмолекулярным
ассоциациям и получили название стабилизированных.
Основные виды модифицированных крахмалов этой группы, а также их
отличительные свойства представлены в табл. 9.7.
Таблица 9.7. Этерифицированные пищевые крахмалы
|
Этерифицированные крахмалы
|
Эфирные группы
|
Главные характеристики
|
|
Сложные эфиры
|
|
Ацетилированные
|
|
Повышенная прозрачность и
стабильность клейстера при низких температурах, облегченная тепловая
обработка
|
|
Фосфорилированные
|
|
Повышенная прозрачность и
стабильность клейстера, устойчивость к замораживанию-оттаиванию
|
|
Этерифицированные
октенил-янтарной кислотой
|
|
Эмульгирующая и
стабилизирующая способность
|
|
Простые эфиры
|
|
Гидроксипропилированные
|
|
Повышенная прозрачность и
стабильность клейстера, устойчивость к замораживанию-оттаиванию, облегченная
тепловая обработка
|
Сложные эфиры крахмалов получают реакцией этерификации между спиртовыми
группами молекул крахмала и ацилирующими или фосфорилирующими агентами. В
качестве ацилирующих агентов обычно используют ангидриды карбоновых кислот.
При получении эфира крахмала и натриевой соли октенилянтарной кислоты
процесс осуществляют в две стадии. Первоначально в молекулу янтарной кислоты
вводят углеводородный радикал с образованием 1-октенилпроизводного, которое
затем взаимодействует с молекулой крахмала, что приводит к образованию
моноэфира с низкой степенью замещения гидроксильных групп.
Введение в молекулу крахмала углеводородных (алкенильных) фрагментов
сопровождается возникновением разделенных между собой гидрофобных участков.
Вследствие этого такие молекулы становятся поверхностно-активными и приобретают
способность, концентрируясь на границах раздела фаз, образовывать, а также
стабилизировать (благодаря полимерному строению) различные дисперсные системы,
в частности эмульсии.
Простые эфиры крахмалов для пищевых целей получают взаимодействием
нативного крахмала с окисью пропилена до степени замещения гидроксильных групп,
соответствующей 0,02-0,2. По своим свойствам гидроксипропилкрахмалы (Е1440)
аналогичны ацетилированным модификациям, имеют пониженную температуру
гелеобразования, повышенную прозрачность клейстеров, такую же устойчивость к
ретроградации.
Сшитые крахмалы. Большинство модифицированных пищевых крахмалов относится
к подгруппе сшитых. Поперечное сшивание отдельных крахмальных молекул между
собой происходит в результате взаимодействия их гидроксильных групп с
бифункциональными реагентами.
Для пищевых целей используют, главным образом, три вида
межмолекулярно-сшитых крахмалов - дикрахмальные эфиры фосфорной и адипиновой
кислот, а также дикрахмалглицерины:
В большинстве сшитых пищевых крахмалов содержится не более одной
поперечной связи на каждую тысячу глюкопиранозных остатков, что оказывается
достаточным для значительного изменения свойств модифицированных крахмалов по
сравнению с исходными. Крахмалы этой подгруппы имеют пониженную скорость
набухания и клейстеризации, что создает эффект пролонгированного действия.
Клейстеры поперечно-сшитых крахмалов являются более вязкими, имеют
"короткую" текстуру, устойчивы к различным внешним воздействиям -
высоким температурам, длительному нагреванию, низким рН, механическим
нагрузкам.
Устойчивость к подкислению и физическим воздействиям пропорциональны
количеству поперечных связей.
Благодаря таким свойствам, сшитые крахмалы особенно эффективны в пищевых
технологиях, включающих продолжительную термическую обработку, интенсивные
механические воздействия, а также в технологиях, где требуется пролонгирование
процессов набухания крахмальных гранул, повышения вязкости и формирования
текстуры. К таким технологиям относятся: получение экструдированных продуктов,
консервирование методом стерилизации, различные выпечки (например, выпечка
открытых пирогов с фруктовыми начинками), производство консервированных супов и
т.п.
Целлюлоза и ее производные
В группу пищевых добавок целлюлозной природы (Е460-Е467) входят продукты
механической и химической модификации и деполимеризации натуральной целлюлозы,
представляющей собой линейный полимер, который состоит из соединенных β-1,4-гликозидными связями остатков
D-глюкопиранозы.
Наличие β-гликозидной связи приводит на уровне вторичных и третичных
структур (конформации полимерных цепей, упаковки цепей в фибриллы) к
формированию линейных молекул с зонами кристалличности (высокоориентированными
участками), включающими отдельные аморфные (неориентированные) участки. Такое
строение обусловливает большую механическую прочность волокон целлюлозы и их
инертность по отношению к большинству растворителей и реагентов.
Собственно целлюлоза используется в качестве пищевой добавки Е460 в двух
модификациях:
Е4601 - микрокристаллическая целлюлоза (частично гидролизованная кислотой
по аморфным участкам, наиболее доступным для атаки реагентами, и затем
измельченная; отличается укороченными молекулами);
Е460Н - порошкообразная целлюлоза, выделенная из растительного сырья
(древесины, хлопка и т. п.) удалением сопутствующих веществ (гемицеллюлоз и
лигнина) и затем измельченная.
Основные технологические функции целлюлозы - эмульгатор и текстуратор,
добавка, препятствующая слеживанию и комкованию.
Химическая модификация молекул целлюлозы приводит к изменению свойств и,
как следствие, к изменению функций в пищевых системах. В образовании
производных целлюлозы большую роль играет доступность и реакционная способность
гидроксильных групп β-О-глюкопиранозных остатков. По реакционной способности
гидроксильные группы располагаются в последовательности: ОН при С6 > ОН при
С2 > ОН при С3.
Статус пищевых добавок имеют семь химических модификаций целлюлозы,
представляющих собой моно- или дипроизводные с простой эфирной связью (простые
эфиры). В общем виде модифицированные целлюлозы могут быть описаны следующей
формулой (строение и технологические функции пищевых эфиров целлюлозы
представлены в табл. 9.8):
Таблица 9.8. Модифицированные целлюлозы и их технологические функции
|
Код
|
Название
|
X
|
Y
|
Технологические функции
|
|
Е461
|
Метилцеллюлоза
|
-СН3
|
-H
|
Загуститель, стабилизатор,
эмульгатор
|
|
Е462
|
Этилцеллюлоза
|
-СН2СН3
|
-H
|
Наполнитель, связующий
агент
|
|
Е463
|
Гидроксипропилцеллюлоза
|
-СН2СН(ОН)СН3
|
-H
|
Загуститель, стабилизатор,
эмульгатор
|
|
Е464
|
Гидроксипропилметилцеллюлоза
|
-СН2СН(ОН)СН3
|
-СН3
|
Загуститель, стабилизатор,
эмульгатор
|
|
Е465
|
Метилэтилцеллюлоза
|
-СН3
|
-СН2СН3
|
Загуститель, стабилизатор,
эмульгатор, пенообразователь
|
|
Е466
|
Карбоксиметил-целлюлоза
(натриевая соль)
|
-CH2COONa
|
-H
|
Загуститель, стабилизатор
|
|
Е467
|
Этилгидрокси-этилцеллюлоза
|
-СН2СН3
|
-СН2СН2ОН
|
Эмульгатор, стабилизатор,
загуститель
|
Получение простых эфиров целлюлозы включает стадию повышения ее
реакционной способности, поскольку плотная упаковка целлюлозных волокон, в
целом, препятствует взаимодействию гидроксильных групп с молекулами реагента. С
этой целью целлюлозу подвергают набуханию или переводят в растворимое
состояние. В промышленных условиях процесс ведут в гетерофазной среде
(дисперсия целлюлозы в ацетоне или изопропиловом спирте), обрабатывая целлюлозу
раствором едкого натра при температуре 50- 140°С с образованием
алкалицел-люлозы (процесс мерсеризации). Получение пищевых производных
целлюлозы осуществляют взаимодействием полученной алкалимодифика-ции с
галогеналкилами (получение метилированных и этилированных производных) или
соответствующими эпоксидами (эпоксид этилена, эпоксид пропилена) для получения
гидроксиэтил- и гидроксипропилпроизводных:
где R: - CH3, -CH2-CH3; R': -H, - CH3; Cell: макромолекула целлюлозы; ОН:
реагирующий гидроксил (при С6 или при С2).
Комбинируя исходные реагенты, получают смешанные производные целлюлозы,
например, метилэтилцеллюлозу, метилгидроксипропилцеллюлозу и др.
Пищевые добавки целлюлозной природы являются безвредными, поскольку не
подвергаются в желудочно-кишечном тракте деструкции и выделяются без изменений.
Дневной суммарный прием с пищей всех производных целлюлозы может составлять
0-25 мг на килограмм массы тела человека. Их дозировки в пищевых продуктах
определяются конкретными технологическими задачами.
Традиционно эти добавки используются при изготовлении хлебобулочных и
кондитерских изделий, молочных и низкожирных эмульсионных продуктов, а также
безалкогольных напитков, где выступают в качестве эмульгаторов и стабилизаторов
многокомпонентных дисперсных систем, суспензий и эмульсий, обеспечивают
необходимые консистенцию и вкусовые свойства.
Пектины
Пектины, наряду с галактоманнанами (гуаровой камедью и камедью рожкового
дерева), являются основными представителями группы гетерогликанов высших
растений.
Пектинами (Е440) называется группа высокомолекулярных гете-рогликанов
(pektos - греч. свернувшийся, замерзший), которые входят в состав клеточных
стенок и межклеточных образований высших растений, и через боковые цепочки
соединены с гемицеллюлозами, например, галактаном, а затем волокнами целлюлозы.
В такой связанной форме, имеющей название "протопектины", они не
растворимы в воде. По химической природе пектины представляют собой
гетеро-полисахариды, основу которых составляют рамногалактуронаны. Главную цепь
полимерной молекулы образуют производные полигалактуроновой (пектовой) кислоты
(полиурониды), в которой остатки D-ra-лактуроновой кислоты связаны 1,4-α-гликозидной связью. Основная цепочка
полигалактуроновой кислоты в растворе имеет вид спирали, содержащей три
молекулы галактуроновой кислоты в одном витке. В цепь полигалактуроновой
кислоты неравномерно через 1,2-α-гликозидные связи включаются молекулы
L-рамнозы (6-дезокси-L-маннопиранозы), что придает полимерной молекуле
зигзагообразный характер.
Часть карбоксильных групп полигалактуроновой кислоты обычно этерифицирована
метанолом (пектиновая кислота), а часть вторичных спиртовых групп (С2 и С3) в
отдельных случаях ацетилирована. Молекулы пектинов содержат обычно от
нескольких сотен до тысячи мономерных остатков, что соответствует средней
молекулярной массе от 50 до 150 тыс. Путем химических модификаций часть
свободных карбоксильных групп может быть переведена в амидированную форму
(амидированные пектины).
Фрагменты молекул пектовой и пектиновой кислот представлены на рис. 9.4.
Соли пектовой кислоты получили название пектаты, соли пектиновой - пектинаты.
В промышленности пектины получают кислотным или ферментативным гидролизом
(обменной реакцией между веществом, в данном случае пектинсодержащим
материалом, и водой) в условиях, обеспечивающих расщепление гликозидных связей,
соединяющих пектиновые молекулы с нейтральными полисахаридами и не
затрагивающих более прочные гликозидные связи в полимерной пектиновой молекуле,
а также сложноэфирные связи в молекулах высокоэтерифицированных пектинов.
В классических способах гидролиз осуществляют растворами минеральных
кислот (НС1, H2SO4, HNO3, H3PO4) при рН около 2 и температуре около 85°С в
течение 2-2,5 ч. При этом молекулырамногалактурона-нов переходят в раствор,
откуда, после очистки и концентрирования, их извлекают различными технологическими
приемами, например, осаждением из этанола. Осажденный пектин сушат, измельчают
и стандартизуют добавлением глюкозы (декстрозы) или ретардатора - соли
одновалентного катиона и пищевой кислоты (молочной, винной, лимонной),
замедляющей процесс гелеобразования.
В некоторых случаях степень этерификации выделенных пектинов специально
понижают, для чего концентрированный жидкий экстракт подвергают контролируемой
деэтерификации кислотным, щелочным или ферментативным (с помощью фермента
пектинэстеразы) способами. Наиболее быстрым является способ щелочной
деэтерификации под действием гидроксида натрия или аммиака (процесс
аммонолиза).
В зависимости от степени этерификации пектины условно подразделяют на две
подгруппы: высокоэтерифицированные (степень этерификации более 50%) и
низкоэтерифицированные (степень этерификации менее 50%).
В настоящее время выпускается несколько видов пектинов, выделяемых из
различных источников сырья и различающихся по составу и функциональным
свойствам: высокоэтерифицированные (яблочный, цитрусовый),
низкоэтерифицированные (свекловичный, из корзинок подсолнечника), а также
комбинированные пектины из смешанного сырья различной степени этерификации.
Указанные пектины отличаются и характером распределения карбоксильных
групп по длине пектиновой молекулы: в яблочных пектинах это распределение
равномерно, а, например, в цитрусовых - нет.
Из низкоэтерифицированных пектинов более востребованными являются
неамидированные, которые используют при приготовлении, например, сухих киселей,
диабетических кондитерских изделий.
Особенности химического строения пектиновых молекул, в частности, степень
этерификации, определяют различия их физико-химических свойств, основными среди
которых являются растворимость, геле-образующая способность и способность
взаимодействовать с катионами металлов и белками.
Растворимость пектинов в воде повышается с увеличением степени
этерификации их молекул и уменьшением молекулярной массы. Пектовая кислота, в
молекуле которой не содержится этерифицированных карбоксильных групп, в воде не
растворима.
При комнатной температуре в условиях интенсивного перемешивания в 100 мл
воды растворяется от 4 до 8 г пектина, при температуре 60- 80°С - около 10 г,
то есть максимальная концентрация водных растворов пектина может составлять
10%. Растворимость повышается в присутствии Сахаров.
Из-за наличия в пектиновых молекулах диссоциирующих свободных
карбоксильных групп их водные растворы имеют кислую реакцию (для 2,5%-го
раствора пектина рН около 3).
Образование гелевой структуры в растворах пектинов происходит в
результате взаимодействия пектиновых молекул между собой и зависит от
особенностей строения молекулы - молекулярной массы, степени этерификации,
характера распределения карбоксильных групп. Кроме этого, на процесс гелеобразования
оказывают влияние температура, рН среды и содержание дегидратирующих веществ.
Формирование пространственной структуры геля может происходить двумя
путями: а) за счет изменения сил электростатического отталкивания пектиновых
молекул в присутствии дегидратирующих веществ (сахарозы) в кислой среде
(сахарно-кислотное гелеобразование); б) с участием ионов поливалентных
металлов.
Тип ассоциации пектиновых молекул определяется степенью этерификации.
Высокоэтерифицированные пектины образуют гели в присутствии кислоты (рН
3,1-3,5) при содержании сухих веществ (сахарозы) не менее 65%,
низкоэтерифицированные - как по первому типу, так и в присутствии ионов
поливалентных металлов, например, кальция, независимо от содержания сахарозы, в
широком диапазоне рН (от 2,5 до 6,5). Пектины высокой степени этерификации
образуют высокоэластичные гели, которые имеют тенденцию возвращаться в исходное
состояние после изменения формы при механическом сдвиге.
Пектины низкой степени этерификации, в зависимости от концентрации ионов
кальция, могут давать различные по консистенции гели - от высоковязких (не
восстанавливающих исходную форму после деформирования) до высокоэластичных.
Комплексообразующая способность (образование циклических комплексов
поливалентных металлов) различных пектинов зависит от содержания свободных
карбоксильных групп, то есть степени этерификации пектиновых молекул, и не
зависит от их молекулярной массы.
Способность пектиновых молекул связывать поливалентные катионы
увеличивается при снижении степени их этерификации и повышении степени
диссоциации свободных карбоксильных групп (т.е. при повышении рН среды), а по
отношению к различным металлам изменяется в ряду [Paskins-Hurlburt A.J. et
al.,1977]:< Mn < Сr < Hg < Fe < Ni < Со < Сu < Zn <
Sr < Cd < Ва < Pb.
Молекулы высокоэтерифицированных пектинов могут образовывать
пектин-протеиновые комплексы. При рН 4,0-4,2 они вступают во взаимодействие с
молекулами казеина молока, что приводит к изменению общего заряда белковых
молекул и обеспечивает их физическую стабильность в кислой среде.
Кроме того, пектины, как растворимые пищевые волокна, являются
физиологически ценными пищевыми добавками (функциональными ингредиентами),
присутствие которых в пищевых продуктах традиционного рациона способствует
улучшению состояния здоровья человека. Специфическое физиологическое
воздействие растворимых пищевых волокон связано с их способностью снижать
уровень холестерина в крови, нормализовать деятельность желудочно-кишечного
тракта, связывать и выводить из организма некоторые токсины и тяжелые металлы.
Рекомендуемое суточное потребление пектиновых веществ в рационе здорового
человека составляет 5-6 г.
Галактоманнаны: камедь рожкового дерева,
гуаровая камедь
Галактоманнаны представляют собой гетерогликаны, содержащиеся в семенах
стручковых растений и выполняющие функцию предотвращения обезвоживания семян.
Коммерческие препараты растительных га-лактоманнанов получили название камеди.
Наиболее распространенными в качестве пищевых добавок в этой группе являются
Галактоманнаны семян двух видов растений - гуара (Cyamopsis tetragonolobus),
произрастающего в Индии и Пакистане, и рожкового дерева (Ceratonia siligua),
произрастающего на побережье Средиземного моря.
Эти камеди (Е410 и Е412) имеют сходное химическое строение и представляют
собой нейтральные полисахариды, состоящие из (3-(1,4) гликозидно связанных
остатков маннозы, к которым (1,6)-связями через равные интервалы присоединены
боковые цепи, состоящие из единичных остатков a-D-галактозы. У камеди гуара,
получившей название гуаран, остаток галактозы присоединен к каждому второму
остатку маннозы, а у камеди из бобов рожкового дерева - к каждому четвертому
(рис. 9.5). Причем галактопиранозные структурные единицы распределены вдоль
полимерной цепи маннана не равномерно, а блочно, что особенно характерно для
галактоманнанов рожкового дерева. Таким образом, полимерная цепь
галактоманнанов имеет нерегулярную структуру с чередующимися линейными и
разветвленными зонами. От характера распределения этих зон, а также от
соотношения галактозы и маннозы зависят основные свойства галактоманнанов.
Технология получения коммерческих препаратов галактоманнанов основана на
водной экстракции полисахаридов из измельченного растительного сырья с
последующим отделением и очисткой экстракта, обработкой его спиртом для
выделения целевого продукта, который затем отфильтровывают, высушивают и
измельчают.
Растворимость галактоманнанов в воде зависит от особенностей их строения.
Галактоманнаны с высокой степенью замещения первичных гидроксильных групп в
остатках D-маннозы (гуаран) полностью растворяются в холодной воде, а
Галактоманнаны с ограниченной степенью замещения (камедь рожкового дерева) -
только в горячей. Однако в обоих случаях процесс растворения является
продолжительным и ускоряется за счет интенсивного перемешивания или нагревания,
при котором температура не должна превышать 80°С из-за потенциально возможной
термической деструкции полимерных молекул.
Вязкость растворов галактоманнанов зависит от их концентрации. При низких
концентрациях (до 0,5%) она имеет линейную зависимость, которая при дальнейшем
повышении дозировок переходит в экспоненциальную.
Полисахариды морских растений
Коммерческие препараты этой подгруппы пищевых добавок объединяют
полисахариды, выделяемые из красных и бурых морских водорослей. В пищевой
промышленности широко используются альгинаты, каррагинаны и агароиды.
Альгиновая кислота (Е400) и ее соли (Е401-Е405) относятся к полисахаридам
бурых морских водорослей родов Laminaria и Macrocystis (от лат. alga -
водоросль), которые построены из остатков β-D-маннуроно-вой и β-L-гулуроновой кислот, находящихся в
пиранозной форме и связанных в линейные цепи (1,4)-гликозидными связями.
Фрагменты молекул этих кислот в наиболее энергетически выгодной конформации
(конформации кресла 4С1 и 1С4) представлены на рис. 9.6.
Распределение остатков мономеров этих кислот вдоль полимерной цепи носит
блочный характер и образует три типа блоков:
гомополимерные блоки из монотонных последовательностей остатков (β-D-маннуроновой кислоты (М-блоки);
гомополимерные блоки из монотонных последовательностей остатков α-L-гулуроновой кислоты (Г-блоки);
гетерополимерные блоки с регулярным чередованием остатков обеих кислот
(М-Г-блоки).
Такое строение полимерных молекул приводит к образованию зон
кристалличности в Г-блоках, аморфных участков (зон гибкости) в М-блоках и
участков с промежуточной жесткостью в гетерополимерных М-Г-блоках. Соотношение
полимеров и характер их распределения в молекулах альгинатов меняются в широких
пределах в зависимости от сырьевого источника. Степень полимеризации молекул
составляет обычно 100- 300, что соответствует молекулярной массе от 200 тыс до
600 тыс.
Технологический процесс получения альгинатов основан на щелочной
экстракции разбавленными растворами соды или щелочей в виде хорошо растворимых
натриевых или калиевых солей. При подкислении экстракта из раствора выделяют
собственно альгиновые кислоты, которые в связи с их ограниченной стабильностью,
как правило, переводят в различные солевые формы. Статус пищевых добавок,
наряду с аль-гиновой кислотой, имеют 5 альгинатов (см. табл. 9.9).
Растворимость этих добавок в воде зависит от природы катиона в мономерных
остатках, формирующих молекулы рассматриваемых гетерогликанов. Свободные
альгиновые кислоты плохо растворимы в холодной воде, но набухают в ней, связывая
200-300-кратное количество воды, однако растворимы в горячей воде и в растворах
щелочей, образуя при подкислении гели. Натриевые и калиевые соли альгиновых
кислот легко растворимы в воде с образованием высоковязких растворов. Соли с
двухвалентными катионами образуют гели или нерастворимые альгинаты.
Таблица 9.9. Пищевые альгинаты
|
Код
|
Название
|
Природа катиона в
мономерном остатке
|
|
Е400
|
Альгиновая кислота
|
Н
|
|
Е401
|
Альганат натрия
|
Na
|
|
Е402
|
Альгинат калия
|
К
|
|
Е403
|
Альгинат аммония
|
МН4
|
|
Е404
|
Альгинат кальция
|
Са1/2
|
|
Е405
|
Пропиленгликольальгинат
(ПГА)
|
|
Вязкость растворов альгинатов связана с длиной полимерной молекулы
альгината, в связи с чем коммерческие препараты имеют, как правило,
определенную молекулярную массу. В этом случае вязкость растворов изменяется
пропорционально концентрации добавки. При низких концентрациях повышение
вязкости может быть достигнуто путем введения небольшого количества ионов
кальция, которые, связывая молекулы, приводят фактически к повышению
молекулярной массы и, как следствие, к повышению вязкости. Превышение дозировки
ионов кальция может привести к гелеобразованию.
Образование гелевой структуры в растворах альгинатов происходит с
участием ионов бивалентного кальция путем взаимодействия их молекул между собой
в зонах кристалличности. В связи с этим гелеобразующая способность и прочность
гелей непосредственно связаны с количеством и длиной зон кристалличности.
Агар (агар-агар) Е406 - смесь полисахаридов агарозы и агаропектина.
Основная фракция агарозы - линейный полисахарид, построенный из чередующихся
остатков p-D-галактопиранозы и 3,6-ангидро-α-β-галактопиранозы, связанных
попеременно |3-(1,4)- и а-(1,3)-связями. Агаропектин - смесь полисахаридов
сложного строения, содержащая глюкуроновую кислоту и эфирносвязанную серную
кислоту.
Агар-агар получают из красных морских водорослей (Gracilaria, Gelidium,
Ahnfeltia), произрастающих в Белом море, Тихом и Атлантическом океанах. В
зависимости от вида водорослей состав выделенных полисахаридов может
изменяться. Агар незначительно растворяется в холодной воде, но набухает в ней.
В горячей воде он образует коллоидный раствор, который при охлаждении дает
хороший прочный гель, обладающий стекловидным изломом. У агара этот процесс
осуществляется за счет образования двойных спиралей и их ассоциации независимо
от содержания катионов, сахара или кислоты. Гелеобразующая способность агара в
10 раз выше, чем у желатина. При нагревании в присутствии кислоты способность к
гелеобразованию снижается. Гели стабильны при рН более 4,5 и термообратимы.
Каррагинаны (Е407) объединяют семейство полисахаридов (известное также
под названием ирландский мох), содержащихся, наряду с агаром, в красных морских
водорослях Chondrus Crispis, Eucheuma Species, Gigartina Species и др. По
химической природе каррагинаны близки к агароидам и представляют собой
неразветвленные сульфатированные гете-рогликаны, молекулы которых построены из
остатков производных D-галактопиранозы со строгим чередованием α-(1,3)-
и β-(
1,4)-связей между ними,
т. е. из повторяющихся дисахаридных звеньев, включающих остатки β-D-галактопиранозы и 3,6-ангидро-α-В-галактопиранозы. В зависимости от
особенностей строения дисахаридных повторяющихся звеньев различают три основных
типа каррагинанов, для обозначения которых используют буквы греческого
алфавита:
В κ-
и ι-каррагинанах левые галактозные
остатки дисахаридных повторяющихся звеньев содержат сульфатированные
гидроксильные группы при четвертом атоме углерода, а правый галактозный остаток
находится в 3,6-ангидроформе и имеет сульфатированный гидроксил при втором атоме
углерода в ι-каррагинане и несульфатированный - в κ-типе.
Сульфатные группы в молекулах коммерческих каррагинанов могут быть
замещены на ионы натрия, калия или аммония. Коммерческие препараты обычно
содержат сопутствующий полисахарид - фурцеллеран.
Принципиальным для условий формирования гелевых структур является
конформационное состояние моносахаридных остатков. В повторяющихся дисахаридных
звеньях, формирующих макромолекулы каррагинанов, оба галактопиранозных остатка
находятся в конформации "кресла", причем, в κ-
и ι-каррагинанах правый остаток имеет
конформацию 4С1, а левый - конформацию 1С4.
В λ-каррагинане оба галактозных фрагмента
находятся в конформации 4С1. Именно наличие двух типов конформации в
дисахаридном звене обусловливает способность каррагинановых молекул к
образованию двойных спиралей, ассоциация которых приводит к гелеобразованию.
Технологический процесс получения каррагинанов основан на их экстракции
горячей водой с последующим выделением из раствора. В промышленности используют
два способа выделения:
а) через гелеобразование в среде с хлоридом калия - для выделения
гелеобразующих каррагинанов;
б) осаждением из спирта - при выделении смеси всех трех типов.
Основные свойства каррагинанов представлены в табл. 9.10, из которой
видно, что все три вида каррагинанов растворимы в горячей воде, а в виде
натриевых солей они растворимы и в холодной воде с образованием вязких
растворов, κ- и ι-каррагинаны являются гелеобразователями, а λ-тип - загустителем. Растворы
гелеобразующих каррагинанов становятся твердыми и образуют гели при температуре
ниже 49-55°С. Эти гели устойчивы при комнатной температуре, но могут быть вновь
расплавлены при нагревании до температуры, превышающей температуру
гелеобразования на 5-10°С. При охлаждении такого расплава вновь образуется
гель.
Механизмы загущения и гелеобразования у различных типов каррагинанов
неодинаковы. κ-Каррагинан связывает воду и образует прочный гель в
присутствии ионов калия, a ι- и λ-каррагинаны в этих условиях проявляют
лишь незначительную реакцию. Для образования геля ι-кар-рагинаном необходимо присутствие
ионов кальция, которые образуют связи между отдельными молекулами биополимера с
формированием спирали. Отрицательные заряды, связанные с наличием двух
сульфатных групп в дисахаридных блоках ι-каррагинанов, не позволяют спиралям
этих каррагинанов агрегатировать с той же степенью, что и в κ-каррагинанах. По этой причине ι-каррагинаны образуют обычно
эластичные прозрачные гели, не склонные к синерезису и устойчивые в условиях
замораживания и оттаивания.
Таблица 9.10. Свойства каррагинанов
|
Среда
|
Тип каррагинана
|
|
каппа
|
йота
|
лямбда
|
|
Растворимость
|
|
Вода, 80°С
|
Да
|
Да
|
Да
|
|
Вода, 20°С
|
Na-соль
|
Na-соль
|
Да
|
|
К-, Са- и NН4-соли набухают
|
Са - соль набухает с
образованием тиксотропной дисперсии
|
Да
|
|
Молоко, 80°С
|
Да
|
Да
|
Да
|
|
Молоко, 20°С
|
Нет
|
Нет
|
Загущает
|
|
50%-й раствор сахара
|
При нагревании
|
Нет
|
Да
|
|
5%-й раствор соли
|
|
|
|
|
горячий
|
Набухает
|
Набухает
|
Да
|
|
холодный
|
Нет
|
Нет
|
Да
|
|
Гелеобразование
|
|
Прочные гели
|
C ионами К
|
С ионами Са
|
Нет
|
|
Текстура геля
|
Хрупкий
|
Эластичный
|
-
|
|
Синерезис
|
Да
|
Нет
|
Нет
|
|
Стабильность при
замораживании/оттаивании
|
Нет
|
Да
|
Да
|
|
Взаимодействие с белками
молока
|
Хрупкий гель
|
Эластичный гель
|
Слабый гель
|
|
Стабильность гелей в кислой
среде
|
Устойчив выше рН 3,8
|
Не применяется
|
Молекулы λ-каррагинанов являются более высокосульфатированны-ми,
что делает образование гелевой структуры менее вероятным, поскольку сульфатные
эфиры не соединяются с ионами калия с образованием спиралей из-за ионизации
сульфатных групп даже в кислой среде. В этих условиях полимерные молекулы
сохраняют произвольное распределение и образуют вязкие растворы при охлаждении.
Наличие отрицательно заряженных сульфатных групп в молекулах каррагинанов
обусловливает их способность к комплексообразованию с казеиновыми мицеллами
молока, имеющими в периферийных (внешних) зонах высокую концентрацию
положительных зарядов. Это взаимодействие в комбинации с водопоглотительной
способностью синергетически увеличивает прочность геля приблизительно в 10 раз,
то есть одна и та же прочность геля достигается в молочной системе при
концентрации каррагинана в 10 раз меньшей, чем в водной среде, κ-
и ι-Каррагинаны образуют гели с молоком
при концентрациях 0,02-0,2%.
Ксантановая камедь или камедь кукурузного сахара (Е415) представляет
собой смесь полисахаридов, образующихся как вторичные метаболиты при аэробной
ферментации Сахаров (например, кукурузного сиропа) бактериями Xanthomonas
campestris. По химической природе это гетерополисахарид с молекулярной массой
от одного до нескольких миллионов, молекулы которого формируются из трех типов
моносахаридов: β-D-глюкозы, α-D-маннозы и α-D-глюкуроновой кислоты при их
соотношении 2:2:1. Структурной единицей молекулы ксантана является
повторяющийся пентасахаридный фрагмент, имеющий строение:
Молекулы β-D-глюкозы, соединяясь 1,4-гликозидной связью, образуют
основную цепь, где каждый второй глюкозный остаток содержит короткое боковое
звено из трех моносахаридных единиц, в котором остаток глюкуроновой кислоты
располагается между двумя остатками α-D-маннозы. Конечный остаток маннозы
может содержать пируватную группу, а манноза, примыкающая к основной цепи, -
ацетатную группу при шестом углеродном атоме. Как правило, каждое второе
боковое ответвление содержит пируватную группу, однако соотношение пируватных и
ацетатных групп зависит от вида микроорганизма и условий получения.
Растворимость ксантанов в воде определяется наличием регулярных боковых
звеньев с кислотными группировками, вызывающих взаимное отталкивание отдельных
молекул, что приводит к повышению их гидратации. В связи с этим ксантаны
растворяются в воде уже при комнатной температуре, кроме того, хорошо
растворимы в горячем и холодном молоке, в растворах соли и сахара.
Обычно молекулы ксантанов представляют собой единичные или двойные
спирали, подобные жестким стержням, не проявляющим тенденции к ассоциации, что
объясняет их поведение в растворах. Ксантаны являются загустителями и при
температурах до 100°С образуют растворы высокой вязкости, которая мало зависит
от температуры и стабильна в диапазоне рН от 1 до 13.
Желатин
Желатин является практически единственным гелеобразователем белковой
природы, который широко используется в пищевой промышленности. Желатин -
белковый продукт, представляющий смесь линейных полипептидов с различной
молекулярной массой (50 000-70 000) и их агрегатов с молекулярной массой до 300
000, не имеет вкуса и запаха. Аминокислотный состав желатина включает до 18
аминокислот, в том числе глицин (26-31 %), пролин (15-18%), гидроксипролин
(13-15%), глутаминовую кислоту (11- 12%), аспарагиновую кислоту (6-7%), аланин
(8-11%) и аргинин (8-9%).
Фрагмент молекулы желатина имеет следующий вид (АК - аминокислота):
Электрокинетические свойства желатина в растворе, в том числе
изоэлектрическая точка, определяются пятью электроактивными аминокислотами. В молекулах
желатина основными функциональными группами, несущими заряд, являются:
СООН-группы аспарагиновой и глутаминовой кислот;
NН2-группы лизина и гидроксилизина;
-группы аргинина.
На их долю приходится более 95% всех ионизированных групп желатина.
Желатин получают из коллагена, содержащегося в костях, хрящах и
сухожилиях животных. Технологический процесс основан на кислотной или щелочной
экстракции, в процессе которой нерастворимый коллаген превращается в
растворимый желатин, с последующим выделением продукта известными
технологическими приемами, предусматривающими его очистку, высушивание и
стандартизацию. В коллагене 35% кислотных групп находится в амидированной
форме, которая преобразуется в кислотную в процессе щелочной обработки. Поэтому
изоэлектри-ческая точка желатина варьирует между 9,4 (для амидированной формы)
и 4,8 (для карбоксильной формы).
Желатин растворяется в воде, молоке, растворах солей и сахара при
температуре выше 40°С. Растворы желатина имеют низкую вязкость, которая зависит
от рН и минимальна в изоэлектрической точке. При охлаждении водного раствора
желатина происходит повышение вязкости с переходом в состояние геля. Это так
называемый золь-гель-переход. Условиями образования геля являются достаточно
высокая концентрация желатина и соответствующая температура, которая должна
быть ниже точки затвердевания (примерно 30°С).
При охлаждении сегменты, богатые аминокислотами различных полипептидных
цепей, принимают спиральную конфигурацию. Водородные связи с участием или без
участия молекул воды стабилизируют образовавшуюся структуру. Эти связи
распределены по всей длине цепи, что объясняет уникальные свойства желатиновых
гелей.
Наиболее интересным свойством желатина является образование термически
обратимых гелей. В противоположность полисахаридам, гелеобразование желатина не
зависит от рН и не требует присутствия других реагентов, как например, Сахаров,
солей или двухвалентных катионов.
Эмульгаторы
В эту группу пищевых добавок (функциональный класс 9) входят вещества,
которые, будучи добавленными к пищевому продукту, обеспечивают возможность
образования и сохранения однородной дисперсии двух или более несмешивающихся
веществ.
Строго говоря, термины "эмульгатор" или "эмульгирующий
агент" подразумевают химическое вещество, способное (при растворении или
диспергировании в жидкости) образовывать и стабилизировать эмульсию, что
достигается благодаря его способности концентрироваться на поверхности раздела
фаз и снижать межфазное поверхностное натяжение. Такая способность связана с
поверхностно-активными свойствами, поэтому применительно к рассматриваемой
группе пищевых добавок термины эмульгатор, эмульгирующий агент и
поверхностно-активное вещество (ПАВ) могут рассматриваться как синонимы.
Хотя основными дефинициями эмульгаторов являются образование и
поддержание в однородном состоянии смеси несмешиваемых фаз, таких как масло и
вода, в других пищевых системах применение этих добавок может быть связано не
столько с эмульгированием, сколько с их взаимодействием с такими пищевыми
ингредиентами, как белки, крахмал и др.
В качестве первых пищевых эмульгаторов использовались натуральные
вещества, в частности, камеди, сапонины, лецитин и др.
Некоторые из них сохранили свою популярность, однако наиболее широко в
промышленности используются сегодня синтетические эмульгаторы или продукты
химической модификации природных веществ, промышленное производство которых
начало развиваться в 20-е гг. XX в.
По химической природе молекулы классических эмульгаторов, являющихся
поверхностно-активными веществами, имеют дифильное строение, то есть содержат
полярные гидрофильные и неполярные гидрофобные группы атомов, которые, будучи
связанными с неполярным соединительным звеном (основанием), отделены друг от
друга и располагаются на противоположных концах молекулы. Первые (гидрофильные)
обеспечивают растворимость в воде, вторые (гидрофобные) - в неполярных
растворителях (см. рис. 4.2 на с. 193). Дифильное строение молекул эмульгаторов
обусловливает их склонность к формированию ассоциатов в объемной фазе
растворителя, называемых мицеллами.
В зависимости от особенностей строения молекулы эмульгатора, которые
будут проявляться в соотношении между гидрофильными свойствами полярной группы
и липофильными свойствами неполярной части молекулы ПАВ, могут образовываться
как классические мицеллы в воде, так и обращенные мицеллы в неполярных
растворителях (маслах и жирах), что схематично отображено на рис. 9.7 (см.
также рис. 4.3).
Склонность к формированию ассоциатов мицеллярного типа, равно как и
другие проявления поверхностно-активных свойств, зависят от химического
строения молекул ПАВ и, прежде всего, от соотношения размеров полярной и
неполярной частей молекулы, которое выражается в показателе
гидрофильнолипофильного баланса (ГЛБ). Чем выше гидрофильность, тем больше
величина ГЛБ; при этом, в общем случае, тем ярче проявляется способность
молекул ПАВ к образованию классических мицелл и стабилизации прямых эмульсий
(масло/вода) и наоборот, чем ниже гидрофильность и, следовательно, меньше
значение ГЛБ, тем выше способность к ассоциации в виде обращенных мицелл и
стабилизации обратных эмульсий (вода/масло).
Классификация эмульгаторов
Известно несколько способов классификации эмульгаторов по различным
признакам (табл. 9.11).
В анионных (анионактивных) эмульгаторах гидрофильными группами могут
являться ионные формы карбоксильных и сульфонильных групп, в катионактивных -
ионные формы соединений аммония с третичным или четвертичным атомом азота
(третичные или четвертичные аммониевые основания и соли), в неионогенных
эмульгаторах - гидроксильные и кетогруппы, эфирные группировки и др. В
цвиттер-ионных эмульгаторах роль гидрофильных групп выполняют ионные
группировки, имеющие одновременно и положительный, и отрицательный заряды.
Например, в молекуле лецитина гидрофильная группировка состоит из отрицательно
заряженного остатка фосфорной кислоты и катионной группы четвертичного
аммониевого основания холина.
Основные виды пищевых эмульгаторов - неионогенные ПАВ. К исключениям
относится цвиттер-ионный лецитин и анионактивные лактилаты.
По химической природе это производные одноатомных и многоатомных спиртов,
моно- и дисахаридов, структурными компонентами которых являются остатки кислот
различного строения.
Обычно ПАВ, применяемые в пищевой промышленности, являются не индивидуальными
веществами, а многокомпонентными смесями и выпускаются под фирменными
наименованиями. Химическое название препарата при этом соответствует лишь
основной части продукта.
В зависимости от особенностей химической природы эмульгатора, а также
специфики пищевой системы, в которую он вводится, некоторые из представителей
этого функционального класса пищевых добавок могут иметь смежные
технологические функции, например, функции
Таблица 9.11. Классификация эмульгаторов
|
Классификационный признак
|
Основные подклассы
|
|
Заряд поверхностно-активной
части
|
|
|
отрицательный
|
Анионные
|
|
положительный
|
Катионные
|
|
нейтральный
|
Неионогенные
|
|
положительный или
отрицательный (в зависимости от рН)
|
Амфотерные
|
|
и положительный, и
отрицательный (оба)
|
Цвитгер-ионные
|
|
Цирофильно-липофильный
баланс
|
|
|
4-6
|
Эмульгаторы вода/масло
|
|
7-9
|
Смачивающие агенты
|
|
8-18
|
Эмульгаторы масло/вода
|
|
Растворимость
|
|
|
в воде
|
Водорастворимые
(гидрофильные, липофобные)
|
|
в масле
|
Маслорастворимые
(липофильные, гидрофобные)
|
|
Функциональные группы
|
|
|
- COOH
|
Кислоты
|
|
-OH
|
Спирты
|
|
|
Эфиры
|
|
и т.д.
|
|
стабилизаторов (функциональный класс 21) или антиоксидантов
(функциональный класс 5).
Некоторые характеристики и общие свойства основных групп пищевых
эмульгаторов представлены в табл. 9.12.
Общим свойством, объединяющим эмульгаторы и отличающим их от пищевых
добавок других классов, является поверхностная активность. В зависимости от
особенностей состава и свойств пищевой системы, в которую преднамеренно
вводится эмульгатор, его поверхностная активность может проявляться в
различных, главным образом, технологических изменениях.
Обобщенно основными технологическими функциями эмульгаторов в пищевых
системах являются:
Таблица 9.12. Некоторые характеристики пищевых эмульгаторов
|
Эмульгаторы
|
Код
|
ГЛБ
|
Растворимость
|
Мицелло-образование
|
|
|
|
в масле
|
в воде
|
|
|
Лецитин
|
Е322
|
3-4
|
Р
|
Д
|
Обратные мицеллы
|
|
Модифицированный лецитин
|
|
7-12
|
Р
|
Д
|
Мицеллы
|
|
Моно- и диглицериды
|
Е471
|
3-4
|
Р
|
Д
|
Обратные мицеллы
|
|
Ацетилированные
моноглицериды
|
Е472а
|
2-3
|
Р
|
Н
|
Тоже
|
|
Лактилированные эфиры моно-
и диглицеридов
|
Е472b
|
3-4
|
Р
|
Н
|
- " -
|
|
Эфиры диацетилвинной
кислоты с моно- и диглицеридами
|
Е472е
|
8-10
|
Р
|
Д
|
Мицеллы
|
|
Эфиры сахарозы
|
Е473
|
3-16
|
Д
|
Д
|
Мицеллы, обратные мицеллы
|
|
Стеароиллактат натрия
|
Е481
|
10-12
|
Р
|
Д
|
Мицеллы
|
|
Стеароиллактат кальция
|
Е482
|
5-6
|
Р
|
Д
|
Обратные мицеллы
|
|
Сорбитан моностеарат
|
Е491
|
3-6
|
Р
|
Д
|
Тоже
|
|
Полисорбат 60
|
Е435
|
14-15
|
Р
|
Р
|
Мицеллы
|
|
Полисорбат 65
|
Е436
|
10-11
|
Р
|
д
|
Тоже
|
|
Полисорбат 80
|
Е433
|
14-15
|
Р
|
Р
|
- " -
|
Примечания: Р - растворимо,Д - диспергируемо, Н - нерастворимо.
диспергирование, в частности эмульгирование и пенообразование;
солюбилизация;
комплексообразование с крахмалом;
взаимодействие с белками;
изменение вязкости;
модификация кристаллов;
смачивание и смазывание.
Липофильная (гидрофобная) часть дифильных молекул всех перечисленных в
таблице добавок имеет одинаковую химическую природу и сформирована ацилами
высших жирных кислот. Основные структурные отличия, обусловливающие различия
поверхностно-активных свойств, связаны с особенностями химического строения
гидрофильной (липофобной) части молекул представленных ПАВ, которые отражаются
в значениях гидрофильнолипофильного баланса.
Основные группы пищевых ПАВ
Моно-, диацилглицерины и их производные (Е471, Е472а-g). Они являются
наиболее известной группой эмульгаторов, промышленное производство которых
началось в 20-е гг. XX в. Сегодня их доля в общем потреблении пищевых
эмульгаторов составляет около 60%.
В группу пищевых добавок глицеридной природы входят неполные
ацилглицерины (глицериды), получаемые в промышленности глицеролизом жиров и
масел или этерификацией глицерина высокомолекулярными жирными кислотами, а
также продукты их этерификации по первичной гидроксильной группе пищевыми
низкомолекулярными кислотами - уксусной, молочной, винной, диацетилвинной,
лимонной.
Известны различные типы моноглицеридов, которые, в зависимости от вида
исходного жирового сырья и технологии получения, могут содержать от 40 до 60%
фракции моноэфира в смеси с ди- (34-50%) и триглицеридами (3,5-10%) со
значениями йодного числа от 1 до 100% иода и температурой плавления от 40 до
70°С.
При молекулярной дистилляции продуктов глицеролиза получают
дистиллированные моноглицериды, содержащие не менее 90% моноэфира,
представляющего собой смесь α- и β-кристаллических форм, из которых
наиболее активной с позиций функциональности является а-фор-ма. Содержание
а-формы может изменяться в интервале 40-90%.
Общая формула, объединяющая эту группу добавок, может быть представлена
следующим образом:
В качестве пищевых добавок разрешены 7 сложноэфирных модификаций неполных
ацилглицеринов, представленных в табл. 9.13.
Три из них, как и исходные моно- (МГ) и диглицериды (ДГ), относятся к
группе безопасных добавок, применяемых без ограничений. Для остальных
допустимая суточная доза составляет 30 мг/кг, а для добавки Е472е даже 50 мг/кг
массы тела человека.
Все добавки этой подгруппы являются липофильными неионогенными
эмульгаторами.
Модификация моно- и диацилглицеринов пищевыми кислотами (табл. 9.13)
позволяет направленно изменять ГЛБ молекул (см. табл. 9.12)
Таблица 9.13. Пищевые добавки глицеридной природы (R" - общей
формулы ацилглицеринов - см. стр. 404)
|
Код
|
Название
|
R''
|
ДСД
|
|
Е471
|
Моно- и диглицериды жирных
кислот
|
-Н
|
*
|
|
Е472а
|
Эфиры уксусной кислоты и
моно-, диглицеридов жирных кислот
|
|
*
|
|
Е472b
|
Эфиры молочной кислоты и
моно-, диглицеридов жирных кислот
|
|
*
|
|
Е472с
|
Эфиры лимонной кислоты и
моно-, диглицеридов жирных кислот
|
|
*
|
|
E472d
|
Эфиры винной кислоты и
моно-, диглицеридов жирных кислот
|
|
0-30
|
|
Е472е
|
Эфиры диацетилвинной
кислоты и моно-, диглицеридов жирных кислот
|
|
0-50
|
|
Е472Г
|
Смешанные эфиры винной и
уксусной кислот и моно-, диглицеридов
|
см. Е472а и E472d
|
0-30
|
|
E472g
|
Эфиры янтарной кислоты и
моноглицеридов
|
|
0-30
|
* совершенно безвредны, применяются без ограничений
и, следовательно, их поверхностную активность на границах раздела
различных фаз.
Фосфолипиды. Наиболее популярными в этой группе являются природные
лецитины (Е322), имеющие синтетический аналог под названием аммониевые
фосфатиды (Е442).
В соответствии с директивой Европейского Совета лецитины представляют
собой смесь фракций фосфатидов, полученную из животных или растительных
объектов физическими методами, включающими использование ферментов, в которой
содержание веществ, нерастворимых в ацетоне (собственно фосфолипидов),
составляет не менее 56-60%.
Основными фракциями коммерческих лецитинов являются фосфатидилхолины, т.
е. собственно лецитины (до 25%), фосфатидилэтаноламины (до 25%),
фосфатидилсерины (до 15%), фосфатидил инозиты, фосфатидовые (фосфатидные)
кислоты (5-10%).
Аммониевые фосфатиды представляют собой смесь аммониевых солей различных
фосфатидных кислот, являющихся продуктами взаимодействия ортофосфорной кислоты
с одним, двумя или тремя остатками ацетилглицеринов.
Общая формула и основные фракции природных и синтетических фосфолипидов
представлены ниже:
Основным источником промышленного получения лецитинов для пищевой
промышленности являются масличные культуры (главным образом, соя, реже -
подсолнечник), откуда их выделяют при гидратации масел.
Принципиально возможны два способа модификации стандартных фосфолипидов -
ферментативный и химический.
Продукты ферментативной модификации фосфолипазами А1 и А2 (гидролизованные
фосфолипиды) представляют собой лизоформы (лизофосфатидилхолин,
лизофосфатидилэтаноламин, и т. д.), полученные направленным отщеплением.
Под действием фосфолипазы В деэтерификация идет и в первом, и во втором
положении; фосфолипазы С и D, не затрагивая ацилов высших жирных кислот,
осуществляют гидролиз в фосфорнокислой группе и приводят к образованию
диацилглицеринов (фосфолипаза С) или фосфатидных кислот (фосфолипаза D):
Химическая модификация возможна по двум направлениям, к которым относятся:
- обработка пероксидом водорода в присутствии молочной кислоты с образованием
гидроксилированных лецитинов:
где - CH=CH-R - ацил кислоты, содержащий двойную связь; R' - ацил
кислоты.
получение ацетилированных производных:
где R и R' - ацилы кислот.
Все приемы модификации фосфолипидов приводят к изменению ГЛ Б, а,
следовательно, и поверхностной активности, определяющей технологические функции
фосфолипидов в различных пищевых системах. Значения ГЛБ для различных
модификаций лецитина приведены ниже:
|
Стандартный
|
4
|
|
Ацетилированный
|
6
|
|
Гидролизованный
|
8
|
|
Гидооксилиоованный
|
10
|
В основе получения синтетических аналогов лежит глицеролиз растительных
масел и жиров с последующим фосфорилированием образовавшихся неполных
ацилглицеринов фосфорным ангидридом и нейтрализацией кислотных форм
газообразным аммиаком:
В отличие от своих природных аналогов аммониевые фосфатиды не имеют
статуса совершенно безвредных, применение их в пищевых продуктах
регламентируется соответствующими директивами.
Особенности эмульгирующих свойств фосфолипидов обусловлены способностью
образовывать и поддерживать в однородном состоянии как прямые, так и обратные
эмульсии, что распространяет их использование на все виды пищевых эмульсий: от
майонезов и различных салатных соусов (прямые эмульсии) до маргаринов
различного жирнокислотного состава и разного содержания жировой фазы (обратные
эмульсии).
Другой отличительной особенностью фосфолипидов как пищевых эмульгаторов
является их способность образовывать липосомы - липидные везикулы: частицы,
формируемые концентрическими замкнутыми липидными бислоями с внутренним водным
слоем, изолированным от внешней среды и содержащим, в зависимости от назначения
липосом, различные включения, например, пептиды или белки. Использование
липосомальных систем в пищевых продуктах связано с функциями защиты отдельных
пищевых ингредиентов от внешнего воздействия (защита дрожжевых клеток от
охлаждения в замороженных мучных полуфабрикатах и пицце), сохранения влаги
(мороженое) или органических, например, вкусовых веществ (хлеб и бисквиты).
Поверхностная активность фосфолипидов на различных межфазных границах
(твердое вещество/жидкость, жидкость/газ и т. д.) обусловливает эффективность
их действия в многокомпонентных дисперсных системах, включая структурированные,
в которых дефиниции этих добавок сводятся к изменению реологических свойств.
В отличие от большинства других пищевых добавок препараты фосфолипидов
обладают высокой физиологической эффективностью, связанной с уменьшением уровня
холестерина, улучшением функции печени и состояния центральной и периферической
нервной системы, торможением процессов старения организма и нормализацией
иммунобиологической реактивности организма. И хотя диетологи не относят
фосфолипиды к незаменимым факторам питания, они являются физиологически ценными
компонентами пищи, суточная потребность в которых составляет около 5 г.
Эфиры полиглицерина (Е475) представляют собой сложные эфиры жирных кислот
с полиглицерином и могут быть описаны формулой:
Технология их получения основана на полимеризации глицерина с последующей
этерификацией пищевыми жирами или высшими жирными кислотами (пальмитиновой,
стеариновой, олеиновой).
Эфиры полиглицерина являются неионогенными ПАВ и могут проявлять как
гидрофильные, так и липофильные свойства со значениями ГЛБ от 5 до 13, что
зависит, в частности, от степени полимеризации (преимущественно, п = 1, 2, 3
или 4).
Их применение в пищевой промышленности связано с технологическими
функциями эмульгаторов, пеногасителей, замутнителей, смазочных материалов.
Основные объекты использования - хлебопекарные и кондитерские изделия, а также
маргариновая продукция. ДСД эфиров полиглицерина, в общем случае, не должна
превышать 25 мг на 1 кг массы тела человека в день.
Эфиры сахарозы (Е473) представляют собой смесь преимущественно моно-, ди-
и триэфиров сахарозы с природными высшими жирными кислотами:
Получение этих добавок основано на реакции между сахарозой и метиловыми
или этиловыми эфирами пищевых кислот жирного ряда в среде органического
растворителя (диметилсульфоксида или диметилформамида), остаточное содержание
которого в пищевой добавке не должно превышать 1 и 2 мг/кг (для
диметилформамида и диметилсульфоксида соответственно).
Общее содержание эфиров должно составлять не менее 80% при контролируемом
уровне содержания сахарозы, составляющем не более 5%. Добавки этой группы
являются неионогенными эмульгаторами и характеризуются различной
гидрофильностыб, зависящей от содержания моноэфира:
|
Содержание моноэфира
|
70
|
60
|
50
|
40
|
30
|
10
|
|
Значение ГЛБ
|
15
|
13
|
11
|
8
|
6
|
2
|
Эфиры сорбитана (Е491-Е496) - сложные эфиры шестиатомного спирта сорбита
в ангидроформе (ангидросорбит) с природными высшими жирными кислотами -
лауриновой, пальмитиновой, стеариновой, олеиновой. Сложные эфиры ангидросорбита
и жирных кислот (табл. 9.14) имеют название сорбитаны (спаны или спены):
где R', R'', R'''; - атомы водорода или ацилы высших жирных кислот (см.
табл. 9.14).
Статус пищевых добавок имеют шесть сорбитанов. Добавки этой подгруппы
являются липофильными неионогенными эмульгаторами. ГЛБ для сорбитанмоностеарата
лежит в интервале 3-6.
Таблица 9.14. Пищевые сорбитаны (см. формулу на с. 410)
|
Код
|
Название
|
R'
|
R'' и R'''
|
|
Е491
|
Сорбитанмоностеарат
|
|
Н
|
|
Е492
|
Сорбитантристеарат
|
|
|
|
Е493
|
Сорбитанмонолаурат
|
|
Н
|
|
Е494
|
Сорбитанмоноолеат
|
|
H
|
|
Е495
|
Сорбитанмонопальмитат
|
|
Н
|
|
Е496
|
Сорбитантриолеат
|
|
|
Основные области использования - производство мучных кондитерских
изделий, сливок для кофе, сухих дрожжей. В производстве маргаринов эти добавки
применяют для модификации кристаллов жира.
Эфиры полиоксиэтиленсорбитана (Е432-Е436) представляют собой
оксиэтилированные сорбитаны - эфиры ангидросорбита с жирными кислотами, в
молекулах которых свободные ОН-группы замещены группами О-[СН2-СН2-O]n-H
полностью или частично. В добавках для пищевых продуктов п равно 20. Общая
формула полиоксиэтиленсорбитанов сорбитановой части молекулы имеет вид:
где R', R'', R''' - атомы водорода или ацилы высших жирных кислот.
Коммерческие препараты добавок этой группы имеют название полисорбаты или
твины.
В перечень добавок, разрешенных к применению в производстве пищевых
продуктов, включены 5 полисорбатов.
Эти неионогенные эмульгаторы получают взаимодействием окиси этилена с
эфирами ангидросорбита и жирных кислот в среде 1,4-диоксана. Этоксилирование
молекул сорбитанов приводит к повышению гидрофильности ПАВ, которая зависит от
числа ацилов высших жирных кислот в структуре сорбитана. ГЛБ для
полиоксиэтиленсорбитанмоно-стеарата (полисорбата 60) составляет 14,4, а для
тристеарата (полисорбата 65) соответствует 10-11.
Основные области применения - мороженое, сливки для кофе, замороженные
десерты, кексы и другие кондитерские изделия.
Эфиры молочной кислоты (лактилаты, Е481 и Е482) - производные молочной
кислоты с высшими жирными кислотами (стеариновой или олеиновой) в виде их
натриевых или кальциевых солей.
Общая формула, описывающая структуру основного вещества:
где R - ацил стеариновой или олеиновой кислоты; Me - Na или 1/2Са.
В основе получения этих добавок лежит взаимодействие карбоксильной группы
стеариновой кислоты с гидроксильной группой пищевой молочной кислоты с
последующей нейтрализацией гидроксидом натрия или кальция свободных
карбоксильных групп в молекулах синтезированных эфиров.
Стеароиллактаты натрия и кальция могут быть отнесены к группе
анионактивных ПАВ с отрицательным зарядом на поверхностно-активной части
молекулы.
Значение ГЛБ для стеароиллактата натрия составляет 10-12, для кальциевой
соли - 5-6. Основные области использования - производство хлеба и хлебобулочных
изделий, пудингов, взбитых сливок и других продуктов.
Допустимая суточная доза лактилатов с пищевыми продуктами должна
составлять 0-20 мг на кг массы тела.
9.4 ВЕЩЕСТВА,
ВЛИЯЮЩИЕ НА ВКУС И АРОМАТ ПИЩЕВЫХ ПРОДУКТОВ
При оценке пищевых продуктов особое внимание потребитель уделяет их вкусу
и аромату. Большую роль тут играют традиции, привычки, ощущение гармонии,
которое возникает в организме человека при употреблении пищевых продуктов с
определенными приятными вкусом и ароматом. Неприятный, нетипичный вкус часто и
справедливо связывают с низким качеством продукта. Физиология питания
рассматривает вкусовые и ароматообразующие вещества как важные компоненты пищи,
улучшающие пищеварение за счет активации секреции пищеварительных желез,
различных отделов желудочно-кишечного тракта, повышения ферментной активности
выделяемых пищеварительных соков, способствующих процессу пищеварения и
усвоения пищи. По современным представлениям вкусоароматические вещества
способствуют оздоровлению микрофлоры кишечника, уменьшая дисбактериоз у
представителей различных групп населения. В то же время чрезмерное употребление
острых приправ и источников эфирных масел приводит к повреждению поджелудочной
железы, оказывает отрицательное влияние на печень. Острые и сладкие блюда,
несомненно, ускоряют процесс старения организма. "Люди, - отмечал А. А.
Покровский, - которые своевременно начинают заниматься воспитанием своего вкуса
и раньше переходят на рациональное, соответствующее возрасту питание, продляют
годы активной жизни".
Восприятие вкуса - крайне сложный, мало изученный процесс, связанный с
взаимодействием молекул, ответственных за вкус вещества, с соответствующим
рецептором. У человека сенсорная система имеет несколько типов вкусовых
рецепторов: соленый, кислый, горький и сладкий. Они расположены на отдельных
частях языка и реагируют на разные вещества. Отдельные вкусовые ощущения могут
оказывать влияние друг на друга, особенно при одновременном воздействии
нескольких соединений. Суммарный эффект зависит от природы соединений, которые
обусловливают вкусовые ощущения, и от концентраций применяемых веществ.
Не менее сложна проблема реакции организма на аромат (запах) пищевых
продуктов. Запах - это особое свойство веществ, воспринимаемое органами чувств
(обонятельными рецепторами), расположенными в верхних отделах носовой полости.
Этот процесс получил название обоняния. По мнению специалистов, на этот процесс
влияет ряд факторов (химические, биологические и другие). В пищевой
промышленности аромат является одним из важнейших факторов, определяющих
популярность того или иного продукта на современном рынке. Однако, в широком
смысле, слово "аромат" часто обозначает вкус и запах продукта. Пища,
попадая в полость рта, воздействует на различные рецепторы, вызывая смешанные
ощущения вкуса, запаха, температуры и другие, которые определяют желание
отведать, съесть этот продукт. Вкус и аромат - это часть сложной оценки
пищевого продукта, его "вкусность" (flavour).
Вкус и аромат продуктов питания определяются многими факторами. К числу
основных относятся следующие.
. Состав сырья, наличие в нем определенных вкусоароматических
компонентов.
. Вкусовые вещества, специально вносимые в пищевые системы в ходе
технологического потока. Среди них: подслащивающие вещества, эфирные масла,
душистые вещества, ароматизаторы, пряности, поваренная соль, пищевые кислоты и
подщелачивающие соединения, усилители вкуса и аромата ("оживители
вкуса").
. Вещества, влияющие, а иногда и определяющие вкус и аромат готовых
изделий и возникающие в результате разнообразных химических, биохимических и
микробиологических процессов, протекающих при получении пищевых продуктов под
влиянием различных факторов.
. Добавки, специально вносимые в готовые изделия (соль, подсластители,
специи, соусы и т. д.).
В соответствии с подразделением на основные функциональные классы к
пищевым добавкам по строгому определению относятся только некоторые из
перечисленных групп вносимых веществ: подсластители, ароматизаторы, усилители
вкуса и аромата, кислоты. Однако на практике все перечисленные специально
вносимые вещества относят к группе добавок, определяющих вкус и аромат пищевых
продуктов, поэтому мы подробно остановимся в этом разделе на главных представителях.
Кислоты и подщелачивающие вещества были рассмотрены в гл. 7.
Подслащивающие вещества
В пищевой промышленности, кулинарии, при приготовлении пищи в домашних
условиях с давних времен широко применяются вещества, обладающие сладким
вкусом, - подслащивающие вещества (подсластители). По строгому определению в
этот раздел пищевых добавок (функциональный класс 22) попадают вещества
несахарной природы, которые придают пищевым продуктам сладкий вкус, однако на
практике в эту группу часто включают все сладкие добавки (ингредиенты).
Существуют различные их классификации: по происхождению (натуральные и
искусственные), калорийности (высококалорийные, низкокалорийные, практически
некалорийные), степени сладости (подсластители с высоким или низким сахарным
эквивалентом), по химическому составу и т. д. Одна из возможных классификаций
приведена на рис. 9.8.
Первыми из сладких веществ, употребляемых человеком, были мед, соки и
плоды растений. Основное сладкое вещество, используемое нами, - сахароза.
Сахаристые крахмалопродукты
В пищевой промышленности возрастает производство и потребление
разнообразных сахаристых крахмалопродуктов, получаемых путем гидролиза крахмала
(частичного или полного), иногда с последующей модификацией отдельных
компонентов гидролиза. К первой группе традиционных подсластителей относятся
крахмальные патоки (мальтодекстрины, низкоосахаренная, карамельная,
высокоосахаренная, мальтозная, глкжозо-мальтозная и другие).
Продукты полного гидролиза крахмала, с возможной их модификацией,
включают моногидратную и ангидридную глюкозу, фруктозу, глюкозные,
глюкозно-фруктозные сиропы с различным содержанием фруктозы.
Все большее распространение получают сахаристые продукты, вырабатываемые
непосредственно из зернового сырья без выделения крахмала (зерновые сиропы,
сладкие углеводные добавки).
Значительный рост производства сахаристых крахмалопродуктов, особенно
глюкозно-фруктозных сиропов, связан с их сладким вкусом, усвояемостью,
экономической выгодой. Следует также помнить, что в пищевых продуктах они одновременно
выполняют функции структуро-образователей, наполнителей, источников сухих
веществ, а многие - и консервантов.
По традиции остановимся и на других известных с глубокой древности
подслащивающих продуктах: меде, солодовом экстракте, а также лактозе.
Мед - продукт переработки цветочного нектара медоносных цветов пчелами;
содержит более 75% моно- и дисахаридов (в том числе около 40% фруктозы, 35%
глюкозы и 2% сахарозы) и 5,5% крахмала. Из витаминов (мг на 100 г): С - 2,0; В6
- 0,1; фолацин - 0,015; в незначительном количестве - В1, В2. Из микроэлементов
(мкг): железо - 800; иод - 2,0; фтор - 100; остальные - в незначительном
количестве. Органических кислот - 1,2%. Состав, цвет, аромат меда во многом
определяются растениями, с которых был получен нектар пчелами. Мед еще в
глубокой древности использовался как продукт питания и как лекарство. Сегодня
он применяется в кондитерской и хлебопекарной промышленности, при изготовлении
напитков, употребляется непосредственно в пищу.
Солодовый экстракт - водная вытяжка из ячменного солода. Смесь, состоящая
из моно- и олигосахаридов (глюкоза, фруктоза, мальтоза, сахароза и другие),
белков, минеральных веществ, ферментов. Содержание сахарозы достигает 5%.
Используется в кондитерской промышленности, при приготовлении продуктов
детского питания.
Лактоза - молочный сахар, дисахарид, состоящий из остатков глюкозы и
галактозы. Используется в детском питании, для производства специальных
кондитерских изделий, в медицине.
Сахарозаменители и подсластители
В последнее время с учетом требований науки о питании получило
интенсивное развитие производство низкокалорийных продуктов, продуктов для
людей, страдающих рядом заболеваний (в первую очередь - диабетом), что
обусловило расширение выпуска заменителей сахарозы как природного происхождения
(в нативном или модифицированном виде), так и синтетического, в том числе
синтетических интенсивных подсластителей. Они могут обладать той же сладостью,
или быть более интенсивными подсластителями, отличаясь по сладости от сахарозы
в сотни раз. Не имея глюкозного фрагмента, заменители сахарозы могут успешно
использоваться при производстве продуктов питания и заменителей сахара для
больных сахарным диабетом. Высокий коэффициент сладости (Ксл) позволяет,
применяя их, производить низкокалорийные, дешевые диетические продукты,
полностью или частично лишенные легкоусвояемых углеводов.
Сравнительная оценка этих групп подсластителей по энергетическому уровню
и коэффициенту сладости приведена в табл. 9.15.
Таблица 9.15. Сравнительная оценка отдельных заменителей сахара и
подсластителей
|
Показатели
|
Сахар
|
Подсластители
|
Полиолы
|
Фруктоза
|
|
Энергетический уровень,
ккал/г
|
4,0
|
Фактически не имеют калорий
|
2,4
|
|
Коэффициент сладости
|
1,0
|
30-3500
|
0,5-0,7
|
1,2
|
|
Влияние на уровень инсулина
|
Сильное
|
Не влияют
|
Слабое
|
Слабое
|
|
Влияние на пищеварительную
систему
|
Нейтральное
|
Не влияют
|
Возможен слабительный
эффект
|
Нейтральное
|
|
Влияние на здоровье зубов
|
Может вызвать кариес
|
Не влияют
|
Не влияют
|
Может вызвать кариес
|
Как видно из этих данных, полиолы и подсластители по своим свойствам
существенно отличаются от сахарозы.
В России разрешены 12 интенсивных подсластителей и заменителей сахара, а
также растительная добавка стевия (порошок листьев и сироп из них). Перечень их
(по СанПиН 2.3.2.1078-01) приведен в табл. 9.16.
В то же время необходимо отметить, что исключение сахарозы из рецептур
мучных кондитерских изделий в технологическом отношении является часто сложной
задачей, так как сахароза выполняет роль не только подсластителя, но и влияет
на структурно-механические свойства тестовой заготовки, является
пластификатором: ограничивает набухаемость белков муки, оказывает влияние на
органолептические показатели готовой продукции, сроки ее хранения.
Подсластители. Рассмотрение отдельных подсластителей начнем с природных
продуктов, в том числе содержащих белок. Внимание к последним возросло с 60-х
гг. XX в. из-за их высокой сладости, низкой калорийности и возможной
безопасности. Остановимся только на отдельных представителях этой группы
природных продуктов.
Миракулин - гликопротеид; белковый компонент построен из 373 остатков 18
аминокислот; углеводный компонент содержит остатки глюкозы, фруктозы,
арабинозы, ксилозы и других моноз. Источник получения - плоды растения
Richazdella dulcifia (Африка). Термостабилен при рН 3-12.
Таблица 9.16. Подслащивающие вещества (подсластители)
|
Код
|
Название
|
Другое название
|
Технологические функции
|
|
Е420
|
Сорбит
|
-
|
Подсластитель,
влагоудерживающий агент
|
|
Е950
|
Ацесулъфам калия
|
Сунетт
|
Подсластитель
|
|
Е951
|
Аспартам
|
Санекта; нутрасвит; сладекс
|
Подсластитель, усилитель
вкуса и аромата
|
|
Е952
|
Цикламовая кислота и
|
Споларин,
|
Подсластитель
|
|
ее натриевая, калиевая и
кальциевая соли
|
цикломаты
|
|
|
Е953
|
Изомальтит
|
Изомальт
|
Подсластитель, добавка,
препятствующая слеживанию и комкованию, наполнитель, глазирующий агент
|
|
Е954
|
Сахарин и его натриевая,
калиевая и кальциевая соли
|
|
Подсластитель
|
|
Е955
|
Сукралоза
|
Трихлоргалактосахароза
|
Тоже
|
|
Е957
|
Тауматин
|
-
|
Подсластитель, усилитель
вкуса и аромата
|
|
Е958
|
Глицирризин
|
-
|
Тоже
|
|
Е959
|
Неогесперидин-дигидрохалкон
|
Неогесперидин ДС
|
Подсластитель
|
|
Е965
|
Мальтит и мальтитный сироп
|
-
|
Подсластитель,
стабилизатор, эмульгатор
|
|
Е966
|
Лактит
|
-
|
Подсластитель, текстуратор
|
|
Е967
|
Ксилит
|
|
Подсластитель,
влагоудерживающий агент, стабилизатор, эмульгатор
|
Монелин - белок, построенный из двух полипептидных цепей, содержащих 50
или 44 остатка аминокислот соответственно. Источник - ягода Dioscoreophyllum
cumminsii (Африка). В 1500-3000 раз слаще сахарозы. Стабилен при рН 2-9. При
нагревании, особенно при других значениях рН, - термолабилен, теряет сладкий
вкус.
Тауматин Е957 - подсластитель, усилитель вкуса и аромата. Белковый
продукт, выделенный из плодов Thaumatococus danielli (растения, произрастающего
в Западной Африке). Самое сладкое из известных природных веществ, слаще
сахарозы в 1600-2500 раз. Определяющим фактором сладкого вкуса является
четвертичная структура белка. Влияние температуры на степень сладости белка
неоднозначно и зависит от рН среды, наличия солей и кислорода. Очень сильное
влияние на степень сладости тауматинов оказывает присутствие в его молекуле
ионов алюминия. Ионный адцукт тауматин-алюминий обладает сладостью, в 3500 раз
превышающей сладость сахарозы (К^, 3500).
Сладкий вкус тауматина ощущается не сразу, но остается надолго. При
использовании тауматина для выпечки и жарения его сладость ослабевает, но
эффект усиления аромата остается без изменения.
Стевиозид - сладкий кристаллический гликозид, выделяемый из листьев
растения Stevia rebaudiana (Парагвай, Китай, Япония, Корея). Хорошо растворим в
воде, Ксл 300. Термолабилен. Небольшие количества вызывают ощущение приятного
сладкого вкуса, в больших количествах обладает горьким вкусом.
Созданы технологии получения мучных кондитерских изделий, мармелада,
желейных и сбивных конфет с использованием листа, стебля стевии.
Глицирризш Е958 (сладкое вещество, лакрица) - подсластитель, усилитель
вкуса и аромата. Одно из самых древних природных подслащивающих веществ в
Европе. Получают из корней сладкого дерева, произрастающего на юге Европы и в
Средней Азии. Корень содержит 6-14% глицирризина, крахмал, сахар, белок,
флавоны, соли. Основной сладкий компонент - глицирризиновая кислота - гликозид
тритерпенглицетиновой кислоты, связанной с D-β-D-глюкуронозил-(1,2)-β-D-глкжуроновой кислотой.
Глицирризин (глицирризиновая кислота) - бесцветное кристаллическое вещество,
нерастворимое в холодной, но хорошо растворимое в горячей воде, этиловом
спирте. Выделяется после обработки этиловым спиртом или уксусной кислотой в
виде глицирризиновой кислоты, калиевых или аммониевых солей.
Глицирризин в 50-100 раз слаще сахарозы (Ксл 50-100), но не имеет ярко
выраженного сладкого вкуса, обладает специфическим привкусом и длительным
послевкусием ("лакричный вкус") и запахом. В присутствии сахарозы
проявляет синергетический эффект. Экстракты из корней сладкого дерева применяются
в кондитерской и табачной промышленности.
Неогесперидин дигидрохалкон Е959 - подсластитель из кожуры цитрусовых.
Получают модификацией нарингина, выделенного из кожуры грейпфрутов. Ограниченно
растворим в воде, хорошо - в спирте. Высокая степень сладости неогесперидин
дигидрохалкона (Ксл 1800-2500) позволяет использовать его в очень
незначительных количествах. При применении с другими подсластителями его Ксл
значительно возрастает.
Он не токсичен и рекомендуется для применения в смеси с другими
подсластителями. Применяется при производстве алкогольных напитков (50 мг/кг),
жевательной резинки (20 мг/кг).
Сахарозаменители. Многоатомные спирты (полиолы) относятся к группе
сахарозаменителей. Среди них широкое применение в качестве подсластителей
(заменителей сахара) нашли: ксилит (Е967), сорбит (Е420) и лактит (Е966). Их
иногда называют сахарными спиртами:
Сладость ксилита и сорбита по сравнению с сахарозой 0,85 и 0,6
соответственно. Они практически полностью усваиваются организмом.
Ксилит, кроме того, является влагоудерживающим агентом, стабилизатором,
обладает эмульсионными свойствами, не оказывает отрицательного влияния на
состояние зубов, увеличивает выделение желудочного сока и желчи. Они не
оказывают влияния на процентное содержание сахара в крови. Применяются в
кондитерской промышленности, хлебопечении, при производстве безалкогольных
газированных напитков и других продуктов диетического и диабетического
назначения. Сорбит и сорбитный сироп часто относят не к пищевым добавкам, а к
новым видам пищевых продуктов.
Лактит Е966. Подсластитель, текстуратор. Многоатомный спирт, полученный
гидрированием природного молочного сахара - лактозы. Сладость 0,4 от сахарозы
(Ксл 0,4). Хорошо растворим в воде. Обладает чистым сладким вкусом и не
оставляет привкуса во рту. Обладает в два раза меньшей калорийностью, чем
сахароза, не вызывает кариеса зубов, может применяться в питании больных
диабетом. По своим физико-химическим свойствам он близок к сахарозе и не
требует технологических изменений при его использовании в производстве мучных
изделий.
На этикетки препаратов, содержащих многоатомные спирты (сорбит, ксилит и
др.), должна наноситься предупреждающая надпись: "Потребление более 15-20
г может вызвать послабляющее действие".
Малыпит и мальтитный сироп Е965. Подсластитель, стабилизатор, эмульгатор.
Изомальтит Е953. Подсластитель, добавка, препятствующая слеживанию и
комкованию, наполнитель, глазирующий агент.
Интенсивные синтетические подсластители. В последнее время особое
внимание уделяется интенсивным подсластителям синтетического происхождения.
Ацесульфам калия Е950 (другое название - сунетт) относится к группе
оксатиаци-нондиоксидов, синтезированных в 1973 г. Клаусом и Йенсеном.
Кристаллическое вещество, хорошо растворимое в воде, термически и химически
устойчивое соединение.
Ацесульфам калия нетоксичен, неканцерогенен, не обнаружено его мутагенное
и тератогенное действие. Не усваивается организмом человека, не накапливается и
выводится с мочой даже при многократном применении в первоначальной форме. ДСД
- 15 мг/кг веса тела. К^ 200. Применяется при производстве кондитерских
изделий, безалкогольных напитков, диетических хлебобулочных изделий,
мороженого. Максимальная концентрация, в зависимости от вида пищевого продукта,
колеблется от 300 до 2000 мг/кг готовой продукции.
Аспартам Е951 - один из наиболее рекламируемых в последнее время
подсластителей. Дипептид (соединение, молекула которого состоит из двух
остатков аминокислот). Синонимы: санекта, нутрасвит, сладекс. Открыт Дж.
Шлаттером в 1965 г.
В состав аспартама входят остатки аспарагиновой кислоты и фенилаланина.
Ксл200. Является усилителем вкуса и аромата. В процессе получения пищевых
продуктов, в присутствии влаги и при повышенной температуре (150°С), аспартам
частично превращается в дикетопиперазин. Он прошел тщательную проверку на
токсичность, канцерогенность и является безвредным. Учитывая, что аспартам
содержит остаток аминокислоты фенилаланина, он противопоказан больным
фенилкетонурией. Не способствует развитию кариеса зубов. Он удобен для
подслащивания пищевых продуктов, которые не требуют тепловой обработки
(например, кремов, мороженого), напитков, соков, а также продуктов лечебного
назначения. В продуктах, при получении которых сырье подвергается тепловой
обработке, а готовый продукт - длительному хранению, его применение
нецелесообразно из-за снижения степени сладости.
Цикламовая кислота и ее натриевая, калиевая и кальциевая соли (цикламаты)
E952.
Соединения с приятным вкусом, без привкуса горечи, стабильны при варке,
выпечке, хорошо растворимы в воде. Сладость в 30 раз выше, чем у сахарозы (Ксл
30). В ряде стран применяется в кондитерской промышленности, при производстве
напитков и некоторых других пищевых продуктов.
Цикламаты (были открыты в 1937 г. Сведой и Одристом в США) относятся к
подсластителям "старого" поколения, улучшают вкус классического
подсластителя сахарина (10 частей цикламата на 1 часть сахарина).
Сахарин (натриевая, калиевая и кальциевая соли) Е954. Из синтетических
подсластителей значительное применение находит сахарин- орто-сульфамид
бензойной кислоты (белое кристаллическое вещество с температурой плавления
228-229°С), а также его натриевая, калиевая и кальциевая соли. Подсластитель
"старого" поколения обладает "горьковатым" привкусом, это
неудобство может быть устранено путем смешения с цикламатами.
Слаще сахарозы в 300-500 раз и обычно употребляется в виде солей,
сладость которых в 500 раз больше сладости сахарозы (Ксл500). Поэтому его
дозировка может быть очень низкой. Сахарин быстро проходит через
пищеварительный тракт и 98% его выходит с мочой, обладает слабым мочегонным
действием. Однако его безвредность требует дальнейшего изучения, и ежедневное
применение нежелательно. При варке, особенно при рН ниже 7, сахарин частично
разлагается с отщеплением имидогруппы и образованием орто-сульфобензойной
кислоты, имеющей неприятный привкус фенола. Стабилен при замораживании и
нагревании. Используется при производстве пищевых продуктов для больных
диабетом, а также в диетических сырах, напитках, жевательной резинке и т. п.
Су/фа/юза (трихлоргалактосахароза) Е955- 1,6-дихлор-1,6-дигидрокси-β-D-фруктофуранозил-4-хлор-4-гидрокси-α-D-галактопиранозид. Интенсивный
подсластитель "нового" поколения. После многочисленных исследований
признан безопасным для организма человека.
Смеси подсластителей. В последнее время все большее внимание уделяется т.
н. "смесевым" подсластителям, представляющим собой смеси различных
подсластителей. При составлении смесей учитывают сладость смеси, возможное
улучшение вкуса, продолжительность ощущения сладости, синергетический эффект, технологические
характеристики, количество заменяемого сахара (полное или частичное), цену
смеси. Количество этих вариантов непрерывно растет, при этом их авторы и
производители стараются дать конкретные рекомендации по применению
"смесевых" подсластителей для отдельных видов пищевых продуктов.
Производство подсластителей, их ассортимент, в том числе
"смесевых" подсластителей, ассортимент продуктов с их использованием
непрерывно расширяются. Это связано с тенденциями здорового питания
(низкокалорийные продукты), нуждами больных диабетом, экономическими причинами.
Продолжаются поиски и новых подсластителей.
Ароматизаторы
Аромат пищевого продукта - интегральный фактор, обусловленный
присутствием в нем сложной смеси органических соединений, содержавшихся ранее в
сырье (I), образовавшихся под влиянием ряда факторов в ходе технологического
потока (II) и специально внесенных при его получении ароматизаторов (II, III)
(рис. 9.9).
Рис. 9.9. Формирование вкуса и аромата пищевых продуктов в ходе
технологического потока
На аромат и вкус готового продукта влияет большое число факторов: состав
сырья, характер и количество содержащихся в нем ароматообразующих веществ (I),
особенности технологического процесса его переработки (II) - продолжительность,
температура, наличие и активность ферментов, химизм протекающих процессов и
характер образующихся при этом соединений (например, реакция
меланоидинообразования), вносимые ароматизаторы, вкусовые и ароматообразующие
вещества, "оживители" вкуса и т. д. Вкус и аромат готового продукта
(III) - результат всего вышеперечисленного. Он создается совокупностью большого
числа соединений и оценивается с помощью "сенсорного анализа" и
аналитических методов. Большую роль играют "ключевые" соединения; примерами
их, определяющих основной "тон" аромата пищевого продукта, могут
служить: в лимонах - цитраль, в малине - "-гидроксифенил-3-бутанон, в
чесноке - аллилсульфид, в тмине - карвон, в ванили - ванилин. В таблице 9.17
приведены сведения о химической природе и количестве отдельных
ароматообразующих веществ, идентифицированных в пищевых продуктах и
определяющих их аромат.
Таблица 9.17. Количество ароматообразующих веществ в некоторых пищевых
продуктах [М. Pome, 1978]
|
Продукт
|
Общее количество
|
Углеводороды
|
Карбонильные соединения
|
Спирты и фенолы
|
Кислоты и лактоны
|
Эфиры
|
Серосодержащие соединения
|
Другие соединения
|
|
|
нормальные
|
гетероциклические
|
|
|
|
|
|
|
|
Земляника
|
256
|
31
|
5
|
47
|
40
|
36
|
94
|
3
|
-
|
|
Цитрусовые
|
157
|
49
|
-
|
31
|
35
|
10
|
29
|
-
|
3
|
|
Помидоры
|
113
|
12
|
3
|
51
|
26
|
10
|
6
|
4
|
1
|
|
Обжаренные земляные орехи
|
187
|
29
|
69
|
40
|
19
|
32
|
8
|
8
|
11
|
|
Кофе
|
370
|
40
|
16
|
136
|
56
|
21
|
33
|
21
|
47
|
|
Какао-продукты
|
201
|
21
|
29
|
37
|
23
|
28
|
35
|
9
|
19
|
|
Коньяк
|
128
|
-
|
-
|
12
|
27
|
13
|
76
|
-
|
_
|
|
Пиво
|
183
|
6
|
2
|
20
|
44
|
30
|
61
|
9
|
1
|
|
Хлеб
|
174
|
2
|
19
|
70
|
23
|
32
|
17
|
9
|
2
|
|
Мясо птицы
|
189
|
35
|
12
|
54
|
23
|
7
|
3
|
20
|
35
|
Содержание и состав ароматообразующих веществ меняются по мере созревания
растений, в ходе ферментативных и тепловых процессов, при разрушении плодов и
ягод (например, обработка кофе, ферментация чая, созревание сыров, выпечка
хлеба и т. д.). В то же время, при хранении, в ходе отдельных технологических
операций происходит частичная потеря аромата и вкуса. Все это делает
необходимым внесение в пищевые продукты ароматизаторов.
Пищевые ароматизаторы - это пищевые добавки, представляющие собой смеси
ароматических (душистых) веществ или индивидуальные ароматические (душистые)
вещества, с растворителем или сухим носителем или без них, и вводимые в
продукты с целью улучшения их аромата и вкуса.
В сочетании с другими веществами, обладающими запахом, входящими в состав
пищеывх систем, они придают готовому продукту специфический (привычный или
особенный) аромат.
К ароматизаторам не следует относить соки, сиропы, вина, пряности, т. к.
они могут использоваться в качестве пищевого продукта, хотя их использование
может оказать большое влияние на вкус и аромат продуктов питания.
Пищевые ароматизаторы подразделяют на натуральные, идентичные натуральным
и искусственные в соответствии с использованными при их получении компонентами
или способе получения. Основными потребителями ароматизаторов являются
производства безалкогольных напитков, мороженого, ликероводочных изделий,
жевательной резинки, широкого ассортимента кондитерских изделий; ароматизаторы
добавляют в сухие кисели, маргарины, сиропы, мучные кондитерские изделия,
молочные продукты, пудинги и мясопродукты и т. д.
Широкий ассортимент ароматизаторов, их различная природа, разнообразие
источников получения, их химический состав (большинство из них используется в
виде многокомпонентной смеси соединений), многообразие сочетаний отдельных
компонентов ставят очень сложные задачи при их гигиенической оценке.
Необходимость определения безвредности (безопасности) отдельных компонентов и
их смесей, определение перечня продуктов (или групп продуктов), в которых они
могут быть использованы, строгое соблюдение требований к чистоте отдельных
компонентов - все это привело к тому, что ароматизаторы не включены в
классификатор пищевых функциональных добавок, а Е-индексы им не присвваиваются.
В РФ возможность применения ароматизаторов устанавливается нормативной
документацией изготовителя, согласовывается при гигиенической сертификации и
регистрации Департаментом Госсанэпиднадзора Министерства здравоохранения.
Источники получения ароматических веществ, применяемых в пищевой
промышленности: эфирные масла и настои, пряности и продукты их переработки,
химический и микробиологический синтез.
Получаемые ароматообразующие вещества в большинстве случаев представляют
собой смесь соединений (природных или полученных искусственно), и только в отдельных
случаях это - индивидуальные соединения. Создание ароматообразующих композиций
может быть осуществлено различными способами. Учитывая, что в большинстве
случаев это - сложные смеси соединений, они требуют особых подходов к
гигиенической оценке, в основе которой в настоящее время приняты критерии,
соответствующие требованиям Директивы Совета Европы 88/388ЕЕС от 22.06.86 г.
Остановимся на основных источниках получения ароматообразующих соединений и
химических соединений, которые входят в их состав.
Эфирные масла и душистые вещества
Эфирные масла - пахучие жидкие смеси летучих органических веществ,
вырабатываемые растениями, обусловливающие их запах. Эфирные масла -
многокомпонентные смеси с преобладанием одного или нескольких ключевых
компонентов. Всего из эфирных масел выделено более тысячи индивидуальных
соединений. Химический состав эфирных масел непостоянен. Содержание отдельных
компонентов меняется в широких пределах даже для растений одного вида и зависит
от места произрастания, климатических особенностей, стадии вегетации и сроков
уборки сырья, особенностей послеуборочной обработки, длительности и условий
хранения сырья, технологии их выделения и переработки.
Химическая природа соединений, входящих в состав эфирных масел, весьма
разнообразна и включает соединения, относящиеся к разным классам: углеводы,
спирты, фенолы и их производные, кислоты, простые и сложные эфиры.
Основу их составляют терпеноиды - терпены и их кислородсодержащие
производные различного строения.
Содержание перечисленных, а также других химических компонентов в составе
эфирных масел, может быть различным, что зависит, в частности, от способа их
выделения из растений.
Основными способами выделения эфирных масел из исходного сырья являются:
отгонка с водяным паром;
холодное прессование;
экстракция органическими растворителями с последующей их отгонкой
(олеорезины);
поглощение свежим жиром ("анфлераж") или мацерация;
СО2-экстракция.
Каждый из этих способов имеет свои достоинства и недостатки и существенно
влияет на состав полученных продуктов. При выборе метода выделения учитывают
содержание и состав эфирных масел, особенности сырья. Для выделения эфирных
масел используют сырое (цветы лаванды, зеленую массу сирени), подвяленное
(мята), высушенное (ирис), подвергнутое ферментативной обработке (цветы розы)
сырье. Широкое распространение в последнее время получили экстракты пряных
растений, содержащие нелетучие вкусовые вещества и пигменты. Эфирные масла -
бесцветные или окрашенные (зеленые, желтые, желто-бурые) жидкости. Плохо
растворимы или нерастворимы в воде, хорошо - в неполярных или малополярных
органических растворителях. На свету и под действием кислорода воздуха легко
окисляются. Содержание эфирных масел в растениях меняется от 0,1% (цветы розы)
до 20% (почки гвоздики). Для анализа жирных масел в настоящее время
используются методы газожидкостной и жидкостной хроматографии.
Широкое развитие органической химии и химического синтеза в XX в.
позволило осуществить получение многих компонентов эфирных масел, сделать их
более доступными и дешевыми, создать большое разнообразие ароматических смесей
и комбинаций, часто с использованием природных эфирных масел.
Получение и применение эфирных масел имеют многолетнюю историю. В Древнем
Египте, странах Востока, Японии умели выделять эфирные масла, применяя их дня
получения благовоний, в косметике, медицине. Свои названия эфирные масла
получили по названию растений, из которых они были выделены, иногда по
содержанию основного компонента.
Эфирные масла являются важным компонентом пищевых ароматизаторов, их
качество зависит от состава, способа выделения и очистки.
Пищевые ароматизаторы идентичные натуральным
Пищевые ароматизаторы идентичные натуральным - сложные композиции
душистых веществ (природного, идентичного природному, в том чичле синтетического
происхождения) в соответствующем растворителе или смешанные с твердыми
носителями: крахмалом, лактозой, белками, поваренной солью и т. д.
В их состав может входить до 20-30 компонентов различной химической
природы.
Применение только природных ароматсодержащих источников для получения
ароматизаторов не рационально, поскольку требует большого количества исходного
материала, а выделяемые продукты характеризуются нестабильностью аромата (за
исключением эфирных масел). Наиболее эффективно применение ароматизаторов,
включающих натуральные и идентичные натуральным компоненты. Производство
идентичных натуральным ароматических веществ экономически целесообразно, по
своему строению они отвечают природным соединениям, а их композиции позволяют
получить комбинации веществ, отличающиеся стабильностью, заданным ароматом. Они
удобны в использовании.
Искусственные ароматизаторы (включающие компоненты, не имеющие природных
аналогов) требуют специального изучения и гигиенической оценки, они отличаются
высокой стабильностью, интенсивностью аромата, дешевизной.
Химическая природа ароматизаторов, учитывая набор компонентов, входящих в
их состав, широту источников, которые были использованы для их получения,
является весьма разнообразной и может быть представлена эфирными маслами,
альдегидами, спиртами, сложными эфирами и другими классами органических
соединений.
Сложный химический состав ароматизаторов, включающий компоненты различной
природы, формирует разнообразные запахи. Остановимся на некоторых наиболее
важных компонентах.
Изопреноиды и их производные: цитраль и цитронеллаль - обладают запахом
лимона; цитронеллилформиат - придает продуктам приятный фруктовый запах;
линаллилформиат - обладает запахом кориандра;
цитронеллилацетат - обладает запахом кориандра; линалилацетат - придает
продуктам бергамотный запах.
Ароматические соединения
Ванилин - кристаллическое вещество. Содержится в стручках ванили, в
перуанском и толуанском бальзамах, в бензойной смоле. Ограниченно растворим в
воде 10 г/л (20°С).
Выбор ароматизатора для получения конкретного пищевого продукта
определяется физико-химическими свойствами пищевых систем, технологией
производства, характером получаемого готового изделия.
Внесение ароматизаторов не усложняет технологию. Растворители: спирт,
масло, пропиленгликоль, триацетил (Е1518), вода. В мясные изделия, сыры, соусы
ароматизаторы добавляют с солью, в кремы, сухие напитки - с сахарной пудрой.
Внесенный ароматизатор должен быть равномерно распределен по всей пищевой
системе. Информация о внесенном ароматизаторе должна быть на этикетке
(натуральный, идентичный натуральному, искусственный).
Пряности и приправы
Пряности и другие вкусовые добавки объединяют вещества, компонентами
которых являются соединения, влияющие на вкус и улучшающие аромат пищи (перец,
лавровый лист, гвоздика, корица), и приправы (горчица, хрен, поваренная соль).
К пряностям относятся растительные продукты, отличающиеся своеобразием
вкусовых и ароматических свойств, обусловленных присутствием в них эфирных
масел, гликозидов, алкалоидов и некоторых других соединений. Применение
пряностей в пищевых продуктах для придания им аромата, остроты вкуса, особых
вкусовых ощущений, иногда для "исправления" запаха пищи имеет
многовековую историю. Использование пряностей не только улучшает органолептические
свойства пищи, но и повышает ее усвоение организмом. В качестве пряностей
обычно употребляют высушенные, а иногда и размолотые части растений, в которых
в наибольшей степени накапливаются вещества, обладающие вкусом и ароматом. В
соответствии с научным определением, пряности не являются пищевыми добавками,
но они нашли широчайшее применение в питании, при промышленном производстве
пищевых продуктов, на предприятиях общественного питания, в домашней кулинарии.
Значение и масштабы использования определяют необходимость рассмотрения этой
группы улучшителей вкуса и аромата.
В настоящее время известно более 150 видов пряностей, но наиболее широко
в качестве вкусовых веществ местного действия применяются около 40. В
зависимости от того, какую часть растения используют в пищу, их делят на
несколько групп. Классификацию пряностей можно представить в следующем виде.
. Семенные: горчица, мускатный орех, кардамон.
. Плодовые: анис, бадьян, тмин, кориандр, кардамон, перец, ваниль,
фенхель, перец красный стручковый (стручки).
. Цветочные: гвоздика, шафран.
. Листовые: лавровый лист, донник (цветы и листья), мята перечная.
. Коровые: корица китайская, корица цейлонская.
. Корневые: имбирь, дягиль, куркума, зеодания, калчан, петрушка.
. Вся трава: майоран, душица, укроп, петрушка, полынь, эстрагон.
В связи с переходом на крупномасштабное производство, с расширением
ассортимента продуктов питания и изменением технологии их получения, за
последние годы произошли значительны"- изменения в производстве пряностей.
Традиционная технология использования в пищу молотых пряностей и трав уступает
место новым подходам и решениям. Это связано с необходимостью точной
количественной дозировки вносимых пряностей, стабильностью их вкуса и аромата
вне зависимости от географического места происхождения, времени года, изменения
качества при хранении, наличия ненужных тканей и волокон, высокой степени
механического и микробиологического загрязнения. Существовавшие ранее методы
обработки не устраняют этих недостатков. Предлагаемые новые методы переработки
дают возможность получить широкую гамму продуктов высокого качества и
стабильного состава (см. рис. 9.10).
Реализация этой технологии позволяет получить широкий спектр стабильных
по качеству продуктов, которые используются в современном крупномасштабном
пищевом производстве с использованием ароматизаторов. Следует также отметить,
что отдельные пряности обладают фармакологической активностью, что широко
используется в медицине.
Пищевые добавки, усиливающие и модифицирующие вкус и аромат
Пищевые добавки, усиливающие и модифицирующие вкус и запах продуктов
питания - функциональный класс 12 (табл. 9.1), включают соединения, усиливающие
и модифицирующие вкус пищевых продуктов, и вещества, усиливающие запах
природных продуктов. В РФ разрешено применение 22 таких соединений, их иногда
называют "оживители вкуса":
|
Глутаминовая кислота (Ц+)-)
|
. . . Е620
|
|
Глутамат натрия 1
-замещенный
|
. . . Е621
|
|
Глутамат калия 1
-замещенный
|
. . . Е622
|
|
Глутамат кальция
|
. . . Е623
|
|
Глутамат аммония 1
-замещенный
|
. . . Е624
|
|
Глутамат магния
|
. . . Е625
|
|
Гуаниловая кислота
|
. . . Е626
|
|
5'-Гуанилат натрия
2-замещенный
|
. . . Е627
|
|
5'-Гуанилат калия
2-замещенный
|
. . . Е628
|
|
5'-Гуанилат кальция
|
. . . Е629
|
|
Инозиновая кислота
|
. . . Е630
|
|
5'-Инозинат натрия
2-замещенный
|
. . . Е631
|
|
Инозинат калия
|
. . . Е632
|
|
5'-Инозинат кальция
|
. . . Е633
|
|
5'-Рибонуклеотиды кальция
|
. . . Е634
|
|
5'-Рибонуклеотиды натрия
2-замещенные .
|
. . . Е635
|
|
Мальтол
|
. . . Е636
|
|
Этилмальтол
|
. . . Е637
|
|
Глицин
|
. . . Е640
|
|
L-лейцин
|
. . . Е641
|
|
Лизин гидрохлорид
|
. . . Е642
|
|
Бензойная смола
|
. . . Е906
|
К этой группе относится сравнительно небольшое количество соединений,
принадлежащих к нескольким основным группам: производные глутаминовой,
гуаниловой, инозиновой кислот, рибонуклеотиды и производные мальтола. Их
внесение в продукты питания (на стадии технологического процесса или
непосредственно в пищу перед ее употреблением) восстанавливает природные
вкусовые свойства продуктов, которые могли быть частично утрачены при их
промышленном приготовлении или в ходе кулинарной обработки. Эти добавки как бы
"оживляют", "освежают" вкус, придают новые ощущения при
употреблении продуктов с их использованием. Отдельные из них, возможно,
оказывают консервирующее действие. Остановимся на некоторых соединениях подробнее.
Глутаминовая кислота Е620 и ее соли (однозамещенный глутамат натрия Е621;
однозамещенный глутамат калия Е622; глутамат кальция Е623; однозамещенный
глутамат аммония Е624; глутамат магния Е625), оказывая стимулирующее влияние на
окончания вкусовых нервов, усиливают вкусовые ощущения, появляется
"чувство удовлетворенности". Оно получило название "глутаминовый
эффект". Стимулирующее действие глутаминовой кислоты и ее солей носит
избирательный характер: в наибольшей степени усиливается горький и соленый вкус,
в наименьшей - сладкий.
"Глутаминовый эффект" проявляется в свежесобранных фруктах и
овощах, свежем мясе и некоторых других продуктах, т. к. присутствие в них даже
небольших количеств глутаминовой кислоты и ее солей влияет на особенности их
вкуса и аромата. Снижение содержания глутаминовой кислоты и ее производных при
хранении свежих продуктов, их переработке (в том числе кулинарной) сказывается
на вкусе и аромате этих продуктов. Дополнительное внесение глутаминовой
кислоты, и особенно ее натриевой соли, частично восстанавливает этот вкус.
Оптимальное влияние глутаминовой кислоты и ее солей проявляется в слабокислой
среде (рН 4-6,5), при дальнейшем снижении рН среды "глутаминовый
эффект" пропадает. Производные глутаминовой кислоты оказывают
стабилизирующее действие, замедляя окисление жиров в продуктах животноводства,
маргариновой продукции.
Глутаминовую кислоту и ее соли добавляют в концентраты и консервы,
кулинарные изделия, готовые блюда. Применение глутаминовой кислоты оказывает
положительный эффект в клинической практике при лечении атеросклероза сосудов
головного мозга. В продуктах детского питания ее применение недопустимо.
Гуаниловая кислота Е626 и ее соли (5'-гуанилат натрия 2-замещенный Е627;
5'-гуанилат калия 2-замещенный Е628; 5'-гуанилат кальция Е629) оказывают значительно
более сильное (в 200-250 раз) "вкусовое" влияние, чем производные
глутаминовой кислоты (наиболее эффективен 5'-динатрий гуанилат) и применяются
при производстве консервов, приправ, пряностей.
Инозиновая кислота Е630 и ее соли (5'-инозинат натрия 2-замещенный Е631;
инозинат калия Е632; 5'-инози-нат кальция Е633) обладают способностью усиливать
и модифицировать вкус и аромат. Их эффект напоминает эффект экстрактивных
веществ животных продуктов.
Инозиновая кислота, ее соли обладают более сильным "вкусовым
эффектом", чем соли глутаминовой кислоты. Наиболее сильный
"глутаминовый эффект" из производных инозиновой кислоты характерен
для динатрий 5'-инозината (приблизительно в 45-50 раз).
Способностью усиливать и модифицировать вкус и аромат пищевых продуктов
обладают ирибонуклеотиды: 5'-рибонуклеотиды кальция Е634; 5'-рибонуклеотиды
натрия 2-замещенные Е635.
Рассмотренные три группы модификаторов вкуса являются продуктами
гидролиза нуклеиновых кислот, имеющих сложную химию, которая подробно изучается
в курсе биохимии.
Малыпол Е636, этилмальтол Е637 - усилители вкуса и аромата,
ароматизаторы.
Мальтол - один из первых ароматизаторов, обнаруженных в хлебе, и в
настоящее время применяется в хлебопечении, мучных кондитерских изделиях.
Мальтол и этилмальтол - в большей степени ароматизаторы, чем усилители и
модификаторы вкуса.
Остальные соединения: глицин, L-лейцин, лизин и бензойная смола находят
пока ограниченное применение.
К соленым веществам относится хлористый натрий (поваренная соль) -
пищевая добавка, улучшающая вкусовые свойства пищевых продуктов. Консервант.
Находит широкое применение во многих отраслях пищевой промышленности. Играет
важную роль в поддержании водно-солевого обмена в организме. Потребность
организма человека в хлористом натрии составляет 10-15 г в сутки, из них до 5 г
организм человека получает в составе пищевых продуктов.
.5 ПИЩЕВЫЕ
ДОБАВКИ, ЗАМЕДЛЯЮЩИЕ МИКРОБИОЛОГИЧЕСКУЮ И ОКИСЛИТЕЛЬНУЮ ПОРЧУ ПИЩЕВОГО СЫРЬЯ И
ГОТОВЫХ ПРОДУКТОВ
Порча пищевого сырья и готовых продуктов является результатом сложных
физико-химических и микробиологических процессов: гидролитических,
окислительных, развития микробиальной флоры. Они тесно связаны между собой,
возможность и скорость их прохождения определяются многими факторами: составом
и состоянием пищевых систем, влажностью, рН среды, активностью ферментов,
особенностями технологии хранения и переработки сырья, наличием в растительном
и животном сырье антимикробных, антиокислительных и консервирующих веществ.
Порча пищевых продуктов приводит к снижению их качества, ухудшению
органолептических свойств, накоплению вредных и опасных для здоровья человека
соединений, резкому сокращению сроков хранения. В итоге продукт становится
непригодным к употреблению.
Употребление в пищу испорченных продуктов, атакованных микроорганизмами и
содержащих токсины, может привести к тяжелым отравлениям, а иногда и к
летальным исходам. Значительную опасность представляют живые микроорганизмы.
Попадая с пищей в организм человека, они могут привести к тяжелым пищевым
отравлениям. Порча пищевого сырья и готовых продуктов приводит к громадным
экономическим потерям. Поэтому обеспечение качества и безопасности пищевых
продуктов, увеличение сроков их хранения, уменьшение потерь имеют громадное
социальное и экономическое значение. Следует также помнить, что производство
основного сельскохозяйственного сырья (зерна, масличного сырья, овощей, фруктов
и т. д.) носит сезонный характер, оно не может быть сразу переработано в
готовые продукты и требует значительных усилий и затрат для сохранения.
Необходимость в сохранении (консервировании) собранного урожая, добычи,
полученной в результате охоты или рыболовства, собранных ягод и грибов, а также
продуктов их переработки, возникла у человека с давних времен. Он давно обратил
внимание на ухудшение орга-нолептических свойств хранящихся продуктов, их порчу
и стал искать пути эффективного их хранения и консервирования. Сначала это были
сушка и засолка, применение специй, уксуса, масла, меда, соли (соление
продуктов), сернистой кислоты (для стабилизации вина). В конце XIX - начале XX
в. с развитием химии начинается применение химических консервантов: бензойной и
салициловой кислот, производных бензойной кислоты. Широкое распространение
консерванты получили в конце XX в.
Другим важным направлением сохранения сырья и пищевых продуктов является
замедление окислительных процессов, протекающих в жировой фракции, с помощью
антиоксидантов.
Сохранность пищевого сырья, полупродуктов и готовых продуктов достигается
и другими способами: снижением влажности (сушкой), применением низких
температур, нагреванием, засолкой, копчением. В настоящей главе мы остановимся
только на применении пищевых добавок, которые защищают продукты от порчи,
продлевая срок их хранения.
Консерванты
Консерванты - вещества, продлевающие срок хранения продуктов, защищая их
от порчи, вызванной микроорганизмами (бактерии, плесневые грибы, дрожжи, среди
которых могут быть патогенные и непатогенные виды). Функциональный класс 18
(см. табл. 9.1).
В настоящем разделе мы остановимся только на химических консервантах,
добавляя которые удается замедлить или предотвратить развитие микрофлоры:
бактерий, плесневых грибов, дрожжей и других микроорганизмов, или замедлить
обмен веществ в них, а следовательно, продлить сохранность продуктов питания.
Антимикробные вещества могут оказывать бактерицидное действие (убивать,
уничтожать бактерии) или бактериостатическое (останавливать, замедлять рост и
размножение бактерий, не уничтожая в то же время их полностью),
фунгистатическое (угнетающее грибы) или фунгицидное (убивающее грибы) действие.
Список консервантов, разрешенных для применения в Российской Федерации,
приведен ниже:
|
Сорбиновая кислота
.........
|
Е200
|
|
Сорбат натрия
..............
|
Е201
|
|
Сорбат калия
...............
|
Е202
|
Е203
|
|
Гептиловый эфир
пара-гидроксибензойной кислоты .....
|
Е209
|
|
Бензойная кислота
..........
|
Е210
|
|
Бензоат натрия
.............
|
Е211
|
|
Бензоат калия
..............
|
Е212
|
|
Бензоат кальция
............
|
Е213
|
|
Этиловый эфир
пара-гидроксибензойной кислоты .....
|
Е214
|
|
Этиловый эфир
пара-гидроксибензойной кислоты натриевая соль ...........
|
Е215
|
|
Пропиловый эфир
парагидрокси бензойной кислоты .................
|
Е216
|
|
Пропиловый эфир
парагидрокси бензойной кислоты натриевая соль ....
|
Е217
|
|
Метиловый эфир
пара-гидроксибензойной кислоты .....
|
Е218
|
|
Метиловый эфир
пара-гидроксибензойной кислоты натриевая соль ............
|
Е219
|
|
Серы диоксид ..............
|
Е220
|
|
Сульфит натрия ............
|
Е221
|
|
Гидросульфит натрия .......
|
.Е222
|
|
Пиросульфит натрия .......
|
.Е223
|
|
Пиросульфит калия ........
|
Е224
|
|
Сульфит калия ............
|
.Е225
|
|
Сульфит кальция ..........
|
.Е226
|
|
Гидросульфит кальция ......
|
.Е227
|
|
Бисульфит калия ...........
|
.Е228
|
|
Дифенил ..................
|
.Е230
|
|
орто-Фенилфенол .........
|
.Е231
|
|
орто-Фенилфенола натриевая
соль ....................
|
.Е232
|
|
Низин ....................
|
Е234
|
|
Пимарицин ...............
|
Е235
|
|
Муравьиная кислота .......
|
.Е236
|
|
Формиат натрия ...........
|
.Е237
|
|
Формиат кальция ..........
|
.Е238
|
|
Гексаметилентетрамин ......
|
.Е239
|
|
Гваяковая смола ...........
|
.Е241
|
|
Диметилдикарбонат ........
|
.Е242
|
|
Нитрит калия ..............
|
.Е249
|
|
Нитрит натрия .............
|
.Е250
|
|
Нитрат натрия .............
|
.Е251
|
|
Нитрат калия ..............
|
Е252
|
|
Уксусная кислота ..........
|
Е260
|
|
Ацетат калия ..............
|
Е26П
|
|
Диацетат калия ............
|
Е26Ш
|
Их эффективность, способы применения зависят от их химической природы,
концентрации, часто от рН среды. Многие консерванты более эффективны в кислых
средах; для снижения рН среды иногда добавляют пищевые кислоты (уксусную,
яблочную, молочную, лимонную и другие). При низкой концентрации отдельных
консервантов они могут использoваться микроорганизмами в качестве
дополнительного источника углерода и, наоборот, способствовать размножению
последних.
Спектр антимикробного действия конкретного консерванта различен.
Эффективность некоторых консервантов по отношению к микроорганизмам приведена в
таблице 9.18.
Таблица 9.18. Эффективность некоторых консервантов по отношению к
микроорганизмам
|
Консервант
|
Бактерии
|
Дрожжи
|
Плесневые грибы
|
|
Нитриты
|
++
|
-
|
-
|
|
Сульфиты
|
++
|
++
|
+
|
|
Муравьиная кислота
|
+
|
++
|
++
|
|
Пропионовая кислота
|
+
|
++
|
++
|
|
Сорбиновая кислота
|
++
|
+++
|
+++
|
|
Бензойная кислота
|
++
|
+++
|
+++
|
|
Оксибензоаты
|
++
|
+++
|
+++
|
|
Дифенил
|
-
|
++
|
++
|
Примечание: - неэффективен; + малая эффективность; ++ средняя
эффективность; +++ высокая эффективность.
Учитывая разное отношение отдельных консервантов к плесневым грибам,
дрожжам и бактериям, в ряде случаев целесообразно использовать смесь нескольких
консервантов.
Практический интерес представляет сочетание бензойной и сорбиновой кислот
и сернистой кислоты, в первую очередь для продуктов растительного
происхождения. Необходимо также учитывать особенности пищевых продуктов, в
которые они вносятся. Нет универсальных консервантов, которые были бы пригодны
для всех пищевых продуктов.
Эффективность действия консерванта тесно связана с концентрацией; его
следует применять на начальной (линейной) стадии размножения микроорганизмов;
это позволяет снизить дозы его внесения и не создает иллюзий мнимосвежего
состояния уже испорченных продуктов. Применение консервантов недопустимо при
нарушении производственной гигиены, получения продуктов в антисанитарных
условиях.
В таблице 9.19 приводятся данные по применению консервантов в различных
продуктах.
Консерванты часто применяются в сочетании с физическими способами
консервирования (нагревание, сушка, низкие температуры, облучение и т. д.); это
приводит к экономии энергетических затрат. При
Таблица 9.19. Консерванты, обычно применяемые для наиболее важных групп
продуктов
|
Группа продуктов
|
Нитраты, нитриты
|
Диоксид серы
|
Сахароза
|
Гексаметилентетрамин
|
Уксусная кислота
|
Пропионовая кислота
|
Сорбиновая кислота
|
Бензойная кислота
|
n- Гидроксибензонаты
|
Дифенил, α-фенилфенол, тиабендазол
|
|
Жировые эмульсии
|
-
|
-
|
-
|
-
|
-
|
-
|
++
|
+
|
-
|
-
|
|
Сыры
|
(+)
|
-
|
-
|
(+)
|
-
|
+
|
++
|
(+)
|
(+)
|
-
|
|
Мясопродукты
|
++
|
(+)
|
-
|
-
|
-
|
-
|
+
|
-
|
(+)
|
-
|
|
Рыбопродукты
|
+
|
-
|
-
|
(+)
|
++
|
-
|
+
|
+
|
(+)
|
-
|
|
Овощная продукция
|
-
|
+
|
(+)
|
-
|
++
|
-
|
++
|
++
|
-
|
-
|
|
Фруктовая продукция
|
-
|
++
|
++
|
-
|
+
|
-
|
++
|
++
|
-
|
(+)
|
|
Безалкогольные напитки
|
-
|
++
|
++
|
-
|
-
|
-
|
++
|
++
|
-
|
-
|
|
Вино
|
-
|
++
|
-
|
-
|
-
|
-
|
++
|
-
|
-
|
-
|
|
Хлебобулочные изделия
|
-
|
-
|
++
|
-
|
-
|
++
|
++
|
-
|
-
|
-
|
|
Кондитерские изделия
|
-
|
-
|
++
|
-
|
-
|
-
|
++
|
(+)
|
(+)
|
-
|
Примечание: Консервант применяется: ++ часто; + реже; (+) в
исключительных случаях; - не приняется
выборе консерванта необходимо руководствоваться некоторыми общими
правилами.
Консервант должен:
иметь широкий спектр действия;
быть эффективным против микроорганизмов, содержащихся в данной пищевой
системе;
оставаться в продукте в течение всего срока хранения;
предупреждать образование токсинов;
не оказывать влияния на органолептические свойства пищевого продукта;
быть технологичным (простым в применении);
быть дешевым.
Консервант не должен:
быть физиологически опасным;
вызывать привыкания;
реагировать с компонентами пищевой системы;
создавать экологические и токсикологические проблемы в ходе
технологического потока;
влиять на микробиологические процессы, предусмотренные при производстве
отдельных пищевых продуктов данной технологией.
Остановимся подробнее на некоторых консервантах. Диоксид серы, соли
сернистой кислоты. Это одна из наиболее распространенных групп консервантов.
|
SO2 - диоксид серы,
сернистый газ, сернистый ангидрид
|
... Е220
|
|
Na2SO3 - сульфит натрия
|
... Е221
|
|
K2SO3 - сульфит калия
|
... Е225
|
|
CaSO3 - сульфит кальция
|
... Е226
|
|
NaHSO3 - гидросульфит
натрия, бисульфат натрия .
|
... Е228
|
|
KHSO3 - гидросульфит калия,
бисульфат калия
|
... Е227
|
|
Ca(HSO3)2 - гидросульфит
кальция
|
... Е222
|
|
Na2S2O 5 - пиросульфит
натрия, метасульфат натрия
|
... Е223
|
|
K2S2O 5 - пиросульфит калия
|
... Е224
|
- газ, хорошо растворимый в воде. Сульфиты - белые кристаллические
вещества, за исключением сульфита кальция, также хорошо растворимы в воде.
Использование сернистого газа для окуривания бочек и обработки вина
известно с давних времен.
Диоксид серы и соли сернистой кислоты проявляют антибактериальное
действие. Действие против дрожжей и плесневых грибов выражено слабее.
Применяется как промежуточный консервант при получении многих продуктов из
фруктов и ягод, с последующим удалением при нагревании и вакуумировании.
Используется для сохранения соков, плодоовощных пюре, повидла, в
виноделии и т. д. Сульфиты - ингибиторы дегидрогеназ. Применяются в качестве
отбеливающего материала, предохраняющего очищенный картофель, разрезанные плоды
и овощи от потемнения, тормозят реакцию Майяра. Сернистый газ разрушает витамин
В1 (тиамин) и биотин, поэтому применение его для стабилизации ряда продуктов
нежелательно. Допустимая суточная доза (в пересчете на SO2) - 0,35 мг, условно
допустимая - 0,35-1,5 мг/кг массы тела.
Сорбиновая кислота и ее соли. Сорбиновая кислота - белое кристаллическое
вещество со слабым запахом, трудно растворимое в воде, хорошо - в этиловом
спирте. Соли сорбиновой кислоты - сорбаты - хорошо растворимы в воде (за
исключением сорбата кальция - растворимость вводе 1,2 г).
|
СН3- СН=СН- СН=СН- СООН -
сорбиновая кислота
|
. . Е200
|
|
CH3-CH=CH-CH=CH-COONa
- сорбат натрия
|
. . Е201
|
|
СН3-СН=СН-СН=СН-СООК -
сорбат калия
|
. . Е202
|
|
(СН3-СН=СН-СН=СН-СОО)2Са -
сорбат кальция
|
. . Е203
|
Сорбиновая кислота и ее соли проявляют, в первую очередь, фунгистатическое
действие, подавляя развитие дрожжей и плесневых грибов, включая
афлатоксинообразующие, благодаря способности ингибировать дегидрокиназу. Она не
подавляет рост молочно-кислой флоры, поэтому часто используется в смеси с
другими консервантами.
Сорбиновая кислота и ее калиевые, натриевые и кальциевые соли применяются
в качестве консервантов при производстве фруктовых, овощных, рыбных и мясных
изделий, маргаринов, безалкогольных напитков, плодово-ягодных соков.
Антимикробные свойства этой добавки мало зависят от рН среды. Используются для
обработки материала, в который упаковывают пищевые продукты.
Бензойная кислота и ее соли (бензоаты). Бесцветные кристаллы или белые
порошки. Бензойная кислота С6Н5СООН ограниченно растворима в воде, бензоаты хорошо
растворимы.
Входит в состав некоторых плодов и является распространенным природным
консервантом. Бензойная кислота применяется при изготовлении плодово-ягодных
изделий, бензоаты - при производстве рыбных консервов, маргаринов, напитков.
Антимикробное действие связано со способностью подавлять ферменты,
осуществляющие окислительно-восстановительные реакции, и направлено, главным
образом, против дрожжей и плесневых грибов, включая афлатоксинообразующие.
Присутствие белков в пищевых системах ослабляет активность бензойной кислоты, а
фосфатов и хлоридов- усиливает. Бензойная кислота наиболее эффективна в кислой
среде; в нейтральных и щелочных растворах ее действие почти не ощущается. Для
облегчения введения бензойной кислоты в жидкие пищевые продукты используют ее
соли - бензоаты. При использовании бензоатов необходимо, чтобы рН пищевой
системы был ниже 4,5, при этом бензоаты превращаются в свободную кислоту.
К группе производных пара-гидроксибензойной кислоты (парабены) относятся
семь консервантов:
|
пара-гидроксибензойной
кислоты гептиловый эфир
|
Е209
|
|
пара-гидроксибензойной
кислоты этиловый эфир
|
Е214
|
|
пара-гидроксибензойной
кислоты этилового эфира натриевая соль
|
Е215
|
|
пара-гидроксибензойной
кислоты пропиловый эфир
|
Е216
|
|
пара-гидроксибензойной
кислоты пропилового эфира натриевая соль
|
Е217
|
|
пара-гидроксибензойной
кислоты метиловый эфир
|
Е218
|
|
пара-гидроксибензойной
кислоты метилового эфира натоиевая соль
|
Е219
|
Эти вещества входят в состав растительных алкалоидов и пигментов. Все
эфиры пара-гидроксибензойной кислоты обладают большим бактерицидным действием,
чем бензойная кислота, и значительно менее токсичны. Они не способны к
диссоциации, поэтому их антимикробное действие не зависит от рН среды.
Эффективны в нейтральной и слабокислой среде, эффективность растет с
увеличением алкильного радикала. Изменяют вкус пищевых продуктов, выраженные
спазмалитики. Их антимикробное действие основано на замедлении усвоения глюкозы
и про-лина, нарушении комплексной структуры клеточной мембраны. Допустимая
суточная доза - 10 мг/кг массы тела.
Муравьиная кислота (Е236) и ее соли (формиаты натрия Е237 и кальция Е238)
применяются также в качестве солезаменителей (вкусовых веществ). Консервирующее
действие муравьиной кислоты известно более ста лет. Для консервирования
применяют водные растворы кислоты и формиатов. Муравьиная кислота НСООН из-за
высокой константы диссоциации применяется для консервирования только
сильнокислых продуктов (рН ниже 3,5). В слабокислой и нейтральной среде
формиаты не оказывают антимикробного действия. Действует преимущественно против
дрожжей и некоторых бактерий. Плесневые грибы и молочные бактерии устойчивы к
действию муравьиной кислоты. Она заметно влияет на вкус и запах пищевых
продуктов, добавляется, главным образом, во фруктовые полуфабрикаты. В последнее
время ее использование значительно сократилось.
Уксусная кислота ледяная (Е260) и ее соли (ацетаты): ацетат калия Е261;
ацетат натрия Е262. Использование уксуса для консервирования пищевых продуктов
- один из наиболее старых способов консервирования. В зависимости от сырья, из
которого получают уксусную кислоту, различают винный, фруктовый, яблочный,
спиртовой уксус и синтетическую уксусную кислоту. Наряду с уксусной кислотой
СН3СООН и ее солями применение находят диацетаты натрия и калия. Эти вещества состоят
из уксусной кислоты и ацетатов в молярном соотношении 1:1. Уксусная кислота -
бесцветная жидкость, смешивающаяся с водой во всех отношениях. Диацетат натрия
- белый кристаллический порошок, растворимый в воде, с сильным запахом уксусной
кислоты.
Уксусная кислота не имеет законодательных ограничений, ее действие
основано, главным образом, на снижении рН консервируемого продукта, проявляется
при содержании выше 0,5% и направлено, главным образом, против бактерий.
Применяется в майонезах, соусах, при мариновании рыбной продукции и овощей,
ягод и фруктов. Уксусная кислота широко применяется как вкусовая добавка.
Пропионовая кислота СН3-СН2СООН (Е280) и ее соли (пропиона-ты натрия
Е281, калия Е283, кальция Е282). В пищевой промышленности используются, главным
образом, соли пропионовой кислоты. Антимикробное действие пропионовой кислоты
сильно зависит от рН консервируемого продукта; она может использоваться для
консервирования пищевых продуктов с высоким значением рН. Более слабое
антимикробное действие, по сравнению с другими консервантами. Применяется в
сыроделии, хлебопечении. Влияет на запах и вкус пищевых продуктов.
Уротропин (гексаметилентетрамин) C6H12N4(E239) - применяется для
консервирования ограниченного числа продуктов. В России - икра лососевых рыб.
ДСД - 0,15 мг/кг массы тела.
Дифенил С12Н10 (Е230). Обладает сильными фунгистатическими свойствами,
задерживает развитие плесневых грибов.
Применяют для продления срока хранения цитрусовых (погружение в 0,5-
1,0%-й раствор или пропитывание им оберточной бумаги). В РФ разрешена
реализация импортных цитрусовых плодов, обработанных этим консервантом.
Сантохин применяется для увеличения сроков хранения яблок, поверхность
которых обрабатывается 0,05-0,3%-м водно-спиртовым раствором сантохина.
Важным и широко применяющимся консервантом является хлористый натрий
(поваренная соль) NaCl, который используют для консервирования мяса, рыбы и
других продуктов.
Антибиотики
Особую группу пищевых добавок, замедляющих порчу пищевых продуктов (мяса,
рыбы, птицы, овощей и т. д.), составляют антибиотики. Антибиотики, разрешенные
для применения с медицинскими целями, не допускаются для использования при
изготовлении пищевых продуктов и полуфабрикатов. Применение антибиотиков
позволяет сохранить пищевое сырье и некоторые виды пищевых продуктов более
длительное время, иногда продлить их срок хранения в 2-3 раза. Вместе с тем,
использование антибиотиков может привести к нежелательным последствиям, в том
числе к нарушению нормального соотношения микроорганизмов желудочно-кишечного тракта.
Обычно антибиотики применяют для обработки свежих, скоропортящихся продуктов
(мясо, рыба, свежие растительные продукты).
Технологические приемы применения антибиотиков различны: погружение
пищевого продукта в раствор антибиотиков на ограниченный срок, орошение
поверхности пищевого продукта раствором антибиотиков различной концентрации,
введение антибиотиков перед забоем животных и т. д.
Определенное распространение в пищевой промышленности получили
антибиотики, добавляемые непосредственно в пищевой продукт: низин и пимарицин.
Низин (Е234) - C143H230 O37S7 - антибиотик полипептидного типа. Хорошо
сохраняется в сухом виде. Низин чувствителен к действию протеолитических
ферментов, ферментов слюны и пищеварительных ферментов, устойчив к сычужным
ферментам. Низин получают культивированием определенных штаммов бактерий
Lactococcus lactis. Низин имеет узкий спектр действия: эффективен исключительно
против грамположительных бактерий, стрептококков, бацилл и некоторых анаэробных
спорообразующих бактерий, снижает сопротивляемость спор термоустойчивых
бактерий к нагреванию, что позволяет снизить температуру стерилизации, повысить
качество пищевых продуктов. Применяется в сыроделии, при консервировании овощей
и фруктов, для удлинения сроков хранения стерилизованного молока.
Пимарицин (Е235) - C33H47NO13; другие названия- натамицин, митроцин.
Получают культивированием Streptomyces natalensis. Оказывает
антимикробное действие против дрожжей рода Candida, влияя на клеточные
мембраны. Действует против дрожжей, плесневых грибов и не действует против
бактерий, вирусов и актиномицетов, эффективен против грибков, поражающих кожу
человека. Применяется в сыроделии для защиты поверхности сыров, в колбасном
производстве.
Пищевые антиокислители
К пищевым антиокислителям (антиоксидантам) относятся вещества,
замедляющие окисление в первую очередь ненасыщенных жирных кислот, входящих в
состав липидов (функциональный класс 5). Этот класс пищевых добавок включает
три подкласса с учетом их отдельных технологических функций: 1) антиокислители;
2) синергисты антиокислителей; 3) комплексообразователи.
Ряд соединений: лецитины - Е322; лактаты - Е325, Е326; Е327 и некоторые
другие выполняют комплексные функции. Перечень антиокислителей, разрешенных для
применения в РФ (СанПиН 2.3.2.1078-01), приведен ниже:
|
Аскорбиновая кислота
|
Е300
|
Додецилгаллат
|
Е312
|
|
Аскорбат натрия
|
Е301
|
Гваяковая смола
|
Е314
|
|
Аскорбат кальция
|
Е302
|
Изоаскорбиновая кислота
|
Е315
|
|
Аскорбат калия
|
ЕЗОЗ
|
Изоаскорбат натрия
|
Е316
|
|
Аскорбилпальмитат
|
Е304
|
Изоаскорбат калия
|
Е317
|
|
Аскорбилстеарат
|
Изоаскорбат кальция
|
Е318
|
|
Концентрат смеси
токоферолов
|
Е306
|
Трет-бутилгидрохинон
|
Е319
|
|
Бутилгидроксианизол
|
Е320
|
Альфа-токоферол
|
Е307
|
|
Бутилгидрокситолулол
|
Е321
|
Гамма-токоферол
синтетический
|
Е308
|
|
Лецитины
|
Е322
|
Аноксамер
|
Е323
|
|
Дельта-токоферол
синтетический
|
Е309
|
Лактат натрия
|
Е325
|
|
Лактат калия
|
Е326
|
Пропилгаллат
|
Е310
|
|
Лимонная кислота
|
Е330
|
Окрилгаллат
|
Е311
|
|
Этилендиаминтетраацетат
кальция-натрия
|
Е385
|
Оксистеарин
|
Е387
|
|
Этилендиаминтетраацетат
динатрий
|
Е386
|
Глюкозооксидаза
|
Е1102
|
|
|
Дигидрокверцетин
|
-
|
|
|
Кверцетин
|
-
|
Использование антиокислителей дает возможность продлить срок хранения
пищевого сырья, полупродуктов и готовых продуктов, защищая их от порчи,
вызванной окислением кислородом воздуха.
Окисление масел и жиров - сложный процесс, идущий по радикально-цепному
механизму. Начальными (первичными) продуктами окисления являются разнообразные
по строению пероксиды и гидропероксиды. Они получили название первичных
продуктов окисления. В результате их сложных превращений образуются вторичные
продукты окисления: спирты, альдегиды, кетоны и кислоты с различной длиной
углеродной цепи, а также их разнообразные производные. На скорость окисления
влияют состав пищевых систем, в первую очередь - состав и строение липидной
фракции, влажность, температура, наличие металлов переменной валентности, свет.
Действие большинства пищевых антиокислителей основано на их способности
образовывать малоактивные радикалы, прерывая тем самым реакцию автоокисления.
Вещества, усиливающие действие антиокислителей, - синергисты - сами
обычно не обладают антиокислительными свойствами. К ним относятся вещества,
инактивирующие ионы тяжелых металлов с образованием комплексных соединений. В
пищевых системах обычно протекает комплекс реакций, при этом синергисты могут
проявлять свойства подлинных антиокислителей.
В общем виде механизм окисления жиров и действия антиокислителей может
быть представлен следующим образом: свободный радикал R', образовавшийся из
жирной кислоты или ее ацила, под влиянием ряда факторов, взаимодействуя с кислородом,
образует пероксид-радикал
' + O2 → ROO'
способный к взаимодействию с другой ненасыщенной жирной кислотой или ее
ацилом R-H; при этом образуется новый свободный радикал и гидропероксид
' + RH → ROOH + R'
Медленно протекающие на начальном этапе реакции по мере накопления
гидропероксидов и их распада с образованием новых радикалов резко ускоряются:
ROOH → ROO' + RO' + H2O
Введение антиоксиданта (АН) приводит к образованию новых радикалов А',
отличающихся значительно большей стабильностью, чем радикалы R', что приводит к
замедлению реакции, а в конечном итоге, при определенных условиях, к ее резкому
торможению:
АН + R'
→ A' +RH
АН +
ROO' → ROOH + А'
А' + R' → AR
Механизм действия конкретного антиокислителя представлен на рис. 9.12.
Синергисты SH2 обладают способностью восстанавливать радикалы А', не
реагируя с радикалами ROO'
+ 2А → S + 2АН
Из природных антиокислителей необходимо, в первую очередь, отметить
токоферолы (Е306-Е309), которые присутствуют в ряде растительных масел.
Токоферолы в виде смеси изомеров содержатся в растительных жирах (500-100
мг%): масле пшеничных зародышей, кукурузном, подсолнечном и других; в животных
жирах их содержание невысоко. Из смеси токоферолов наибольшую E-витаминную и
наименьшую анти-оксидантную активность проявляет α-токоферол, γ-токоферол - наоборот.
Токоферолы хорошо растворимы в маслах, устойчивы к действию высоких
температур, их потери при технологической обработке не велики. Они являются
важнейшими природными антиоксидантами.
Аскорбиновая кислота ЕЗОО, ее натриевая Е301, кальциевая Е302 и калиевая
ЕЗОЗ соли применяются в качестве антиокислителей и синергистов при производстве
различных пищевых продуктов.
Аскорбиновая кислота применяется для предотвращения окислительной порчи
жировых продуктов, в частности маргарина, топленых жиров, действуя не
непосредственно как антиоксидант, а, являясь в первую очередь синергистом, -
восстанавливая фенольные соединения и связывая металлы.
Введение водорастворимых аскорбиновой кислоты и ее солей в жировые и
другие пищевые продукты повышает, кроме того, их пищевую ценность.
Производные аскорбиновой кислоты - аскорбилпальмитат Е304 и
аскорбилстеарат ЕЗОЗ - жирорастворимые антиоксиданты с С-витаминной
активностью.
Эфиры аскорбиновой кислоты и высокомолекулярных жирных кислот эффективны
при совместном использовании с лецитинами, токоферолами. Не влияют на вкус,
запах и цвет пищевых продуктов.
Изоаскорбиновая (эриторбовая) кислота Е315 и ее натриевая, калиевая и
кальциевая соли (Е316, Е317, ЕЗ18) имеют более ограниченное применение, чем
аскорбиновая кислота и ее производные. Не обладают витаминной активностью.
Эриторбовая кислота и ее соли применяются в мясных продуктах из измельченного
мяса, ветчинных изделиях, консервах. Максимальный уровень содержания в этих
продуктах 500 мг в кг; в рыбных пресервах и консервах- 1500 мг/кг в пересчете
на кислоту.
Производные галловой кислоты: пропилгаллат Е310, октилгаллат ЕЗ 11,
додецилгаллат Е312.
Пропилгаллат - белый или светло-кремовый мелкокристаллический порошок без
запаха, горьковатый на вкус. В присутствии ионов железа цвет меняется на
сине-фиолетовый, окраска устраняется добавлением лимонной кислоты. Плохо
растворим в жирах. Октил- и додецилгаллаты - кристаллические вещества с горьким
вкусом, растворимы в жирах и маслах, нерастворимы в воде. Производные галловой
кислоты - хорошие анти-оксиданты. Основные синергисты- лецитин и лимонная
кислота.
Галлаты применяются при производстве растительных и животных масел
(используемых в приготовлении пищевых продуктов с применением высоких
температур), кулинарных жиров, лярда, животного и рыбьего жиров, сухого молока,
сухих смесей для тортов и кексов, сухих завтраков на зерновой основе, бульонных
кубиков.
Гваяковая смола (Е314) - нерастворимая в воде смесь альфа-,
бета-гваяковых кислот. Выделяется из произрастающего в тропиках дерева Guajacum
offinales L или Guajacum sanctum L. Применяется для стабилизации животных
жиров.
Широкое применение в качестве антиоксидантов нашли производные фенолов:
трет-бутилгидрохинон; бутилгидроксианизол; бутилгид-рокситолуол.
трет-Бутилгидрохинон(ТБГХ; TBHQ;2-третбутил-1,4 диоксибензол) Е319.
Бесцветное кристаллическое вещество, хороший антиоксидант, применяется для
стабилизации растительных жиров, топленого масла, кулинарных жиров.
Бутилгидроксианизол (БОА; ВНА) Е320. Состоит из смеси двух изомеров: 2- и
З-третбутил-4-гидроксианизолов. Один из наиболее часто применяемых
антиоксидантов. Устойчив к высоким температурам, не растворим в воде.
Применяется для стабилизации масел и жиров, топленых жиров, шпика соленого,
сухого молока, смесей для кексов, концентратов супов. Активность возрастает в
присутствии производных галловой кислоты, лимонной кислоты, аскорбиновой
кислоты.
Бутилгидрокситолуол (ионол; ВНТ; БОТ) Е321 один из наиболее
распространенных синтетических антиокислителей. Он применяется для стабилизации
растительных масел, топленого жира, кулинарных жиров. Ионол термостабилен и не
разрушается при выпечке изделий, обработке конфетных масс.
Использование производных фенолов в производстве жиров позволяет
значительно повысить их стойкость. Так, внесение бутилгидроксианизола в
количестве 0,01% от массы лярда повышает его стойкость в 5-13 раз, внесение
ионола в кулинарный жир повышает его стойкость в 10-12 раз. Производные фенолов
вносятся в пищевые продукты исключительно в малых количествах, их эффективность
тем больше, чем длинней индукционный период окисления. В то же время следует
помнить, что все они задерживают процесс окисления жиров только ограниченное
время.
Аноксомер Е323. Применяется для стабилизации топленого и растительных
масел, кулинарных жиров. Термостабилен. Разрешен для применения в России.
Лецитины Е322. Антиокислители, эмульгаторы. Их строение и свойства были
подробно рассмотрены ранее. Лецитины являются антиоксидантами и синергистами
окисления масел и жиров.
Лактат натрия Е325 - синергист антиокислителя, влагоудерживающий агент;
лактат калия Е326 - синергист антиокислителя, регулятор кислотности. Лактаты
применяются в кондитерском производстве, при производстве мороженого.
Этилендиаминтетраацетат кальция-натрия Е385 - антиокислитель, консервант,
комплексообразователь и Этилендиаминтетраацетат динатрий (трилон) Е386 -
антиокислитель, консервант, синергист, комплексообразователь.
Соли этилендиаминтетрауксусной кислоты (ЭДТА) - это хорошие
комплексообразователи, способные создавать стабильные комплексы с металлами,
что позволяет использовать их для связывания следовых количеств металлов.
Предупреждают окисление аскорбиновой кислоты в соках, потемнение картофеля,
применяются для осветления вина. Стабильность комплексов ионов металлов с ЭДТА
можно представить в виде следующего ряда:
Na+ < Са++
< Fe++< Co++< Zn++< Cu++< Pb++ < Fe+++
Кверцетин, дигидрокверцетин - производные флавонов, получают из коры
дуба, лиственницы и из некоторых других растений. Обладают сильными антиокислительными
свойствами, которые усиливаются в присутствии лимонной и аскорбиновой кислот.
Применяются при изготовлении специальных жиросодержащих продуктов, для пропитки
упаковочных материалов.
Лимонная кислота ЕЗЗО и ее соли - цитраты натрия Е331 (одно-, двух- и
трехзамещенные), калия Е332 (двух- и трехзамещенный), кальция ЕЗЗЗ являются
регуляторами кислотности, стабилизаторами и комплексообразователями.
Действие лимонной кислоты и ее солей основано на их способности связывать
металлы с образованием хелатных соединений. Лимонная кислота обладает приятным,
мягким вкусом; применяется в производстве плавленых сыров, кондитерских
изделий, майонезов, маргаринов, рыбных консервов.
Винная кислота Е334 - синергист антиокислителей, комплексообразователь,
соли винной кислоты - тартраты Е335, Е336, Е337 - комп-лексообразователи.
Глюкозооксидаза Е1102 - ферментный препарат, применяемый в качестве
антиоксиданта.
Антиокислительные свойства проявляют также некоторые пряности и их
экстракты: анис, кардамон, кориандр, укроп, фенхель, имбирь, красный перец.
Некоторые из них повышают стойкость жиров в два, три раза.
.6
БИОЛОГИЧЕСКИ АКТИВНЫЕ ДОБАВКИ
Биологически активные добавки (БАД) или food supplements - природные
(идентичные природным) биологически активные вещества, предназначенные для
употребления одновременно с пищей или введения в состав пищевых продуктов. Их
делят на нутрицевтики - БАД, обладающие пищевой ценностью, и парафармацевтики -
БАД, обладающие выраженной биологической активностью (см. рис. 9.13).
Нутрицевтики - эссенциальные нутриенты, являющиеся природными
ингредиентами пищи: витамины и их предшественники (см. гл. 6), полиненасыщенные
жирные кислоты, в том числе оз-З-полиненасыщенные жирные кислоты, фосфолипиды,
отдельные минеральные вещества и микроэлементы (кальций, железо, селен, цинк,
иод, фтор), незаменимые аминокислоты, некоторые моно- и дисахариды, пищевые
волокна (целлюлоза, пектин, гемицеллюлоза и др.).
Нутрицевтики позволяют каждому конкретному человеку, даже при стандартном
наборе продовольственной корзины, иметь свой индивидуальный рацион питания,
оптимальный состав которого зависит от потребностей организма в нутриентах. Эти
потребности формируются многими факторами, к которым относятся пол, возраст,
физические нагрузки, особенности биохимической конституции и биоритмы человека,
его физическое состояние (эмоциональный стресс, беременность женщины и т.п.),
экологические условия среды его обитания.
Потребление нутрицевтиков в составе пищевого рациона позволяет
сравнительно легко и достаточно быстро компенсировать дефицитные эссенциальные
пищевые вещества и обеспечить удовлетворение физиологических потребностей
человека, изменяющихся при его болезни, организовать лечебное питание.
Нутрицевтики, способные усилить элементы ферментной защиты клетки, способствуют
повышению неспецифической резистентности организма к воздействию на него
различных неблагоприятных факторов среды обитания человека.
К позитивным эффектам воздействия относятся способность нутрицевтиков
связывать и ускорять выведение из организма чужеродных и токсичных веществ, а
также направленно изменять обмен отдельных веществ, например, токсикантов,
воздействуя на ферментные системы метаболизма ксенобиотиков.
Рассмотренные эффекты применения нутрицевтиков обеспечивают условия
первичной и вторичной профилактики различных алиментарно зависимых заболеваний,
к которым относятся ожирение, атеросклероз и другие сердечно-сосудистые
заболевания, злокачественные новообразования и иммунно-дефицитные состояния.
В настоящее время выпускается большое количество фирменных препаратов,
содержащих отдельные группы нутрицевтиков и их комбинации.
К таким препаратам относятся витаминные и витаминно-минеральные
комплексы, препараты фосфолипидов, в частности, лецитина, и др. Более подробные
сведения об отдельных группах нутрицевтиков содержатся в соответствующих
разделах учебника (см. 4.4, 4.6, 5.1, 5.2, 6.1- 6.4, 12.4, 12.6).
Парафармацевтики - это минорные компоненты пищи. К ним могут быть
отнесены органические кислоты, биофлавоноиды, кофеин, регуляторы пептидов, эубиотики
(соединения, поддерживающие нормальный состав и функциональную активность
микрофлоры кишечника).
Подробную информацию об этих группах парафармацевтиков можно найти в
разделах 2.5, 11.4, 12.6.
К группе парафармацевтиков принадлежат также биологически активные
добавки, регулирующие аппетит и способствующие уменьшению энергетической
ценности рациона.
К эффектам, определяющим функциональную роль парафармацевтиков, относятся
(рис. 9.13):
регуляция микробиоценоза желудочно-кишечного тракта (ЖКТ);
регуляция нервной деятельности;
регуляция (в физиологических границах нормы) функциональной активности
органов и систем (секреторной, пищеварительной и др.);
адаптогенный эффект.
Следует подчеркнуть, что эффективность регуляторных и адаптоген-ных
эффектов парафармацевтиков ограничивается рамками физиологической нормы.
Эффекты воздействия, превышающие эти границы, относятся к лекарственным
препаратам.
Совокупность перечисленных эффектов обеспечивает организму человека
способность адаптироваться к экстремальным условиям. Применение
парафармацевтиков является эффективной формой вспомогательной терапии.
Почему в последнее время уделяется такое большое внимание БАДам? Тут и
достижения медицины, показавшие, что обеспечить полноценное питание возможно
только при широком использовании БАДов, которые могут быть получены из любого
биологического субстрата (животного, растительного, микробиологического), и
экономика (синтез лекарств дорог), и особенности развития человека. С
изменением образа жизни и характера питания человек, по-видимому, утратил
некоторые ферментные системы. Можно сказать, что пища сформировала человека, а
метаболический дисбаланс с природой стал следствием активной деятельности
человека. Эссенциальность пищевых веществ для сегодняшнего человека - отражение
пищевого статуса наших предков. Изменение образа жизни и питания привело к
резкому сокращению энергетических затрат, составляющих сегодня 2,2-2,5 тыс.
калорий в сутки. Малый объем натуральной пищи не позволяет даже теоретически
обеспечить организм всеми необходимыми веществами (белками, полиненасыщенными
кислотами, витаминами, минеральными веществами, в т. ч. селеном). Изменения в
структуре питания ("достижение" пищевой индустрии), отсекли поток
экзогенных регуляторов и лишили человека такой формы связи с природой. Широкое
применение БАДов при производстве продуктов питания может решить эти вопросы. В
то же время, если применение нутрицевтиков сегодня очевидно, применение
парафармацевтиков имеет много нерешенных вопросов химического, биохимического и
медицинского характера.
Контрольные вопросы
. Дайте характеристику понятия "пищевые добавки". Определите их
роль в создании продуктов питания. Приведите классификацию пищевых добавок с
различными технологическими функциями. Расскажите о рациональной системе цифровой
кодификации пищевых добавок с литерой "Е".
. Что понимают под гигиенической регламентацией пищевых добавок в
продуктах питания? Назовите главные условия, выполнение которых обеспечивает
безопасность применения пищевых добавок.
. Дайте классификацию пищевым красителям. Чем объясняется повышенное
внимание потребителей и технологов к окраске продуктов питания? Назовите
основные натуральные красители. Что представляют собой каротиноиды, хлорофиллы,
энокрасители? Какие другие представители натуральных красителей вам известны?
. Приведите примеры синтетических красителей. Их особенности по сравнению
с натуральными красителями. Дайте определение понятию цветорегулирующие
материалы. Назовите известных вам представителей этой группы соединений.
. Перечислите основные группы загустителей и гелеобразователей.
. Приведите несколько примеров пищевых эмульгаторов, опишите их смежные
функции.
. Какие группы соединений определяют вкус и аромат пищевых продуктов?
Какова их роль в технологии продуктов питания? Роль ароматообразующих веществ в
оценке пищевой ценности продуктов питания
. Дайте определение эфирным маслам. Назовите основных представителей
эфирных масел. Какие химические компоненты входят в состав эфирных масел? Дайте
определение понятия "пищевые эссенции". В чем отличие натуральных,
идентичных натуральным и синтетических ароматизаторов? Какие химические
компоненты входят в их состав? Какие пищевые добавки относятся к усилителям и
модификаторам вкуса? Приведите примеры.
. Дайте определение понятия "подслащивающие вещества"
(подсластители). На какие группы веществ их можно разделить? В чем причина
широкого применения интенсивных подсластителей в пищевой технологии? Какие
представители интенсивных подсластителей вам известны? Назовите их.
. Дайте определение понятия "консерванты". Их роль в сохранении
пищевого сырья и готовых продуктов. Приведите примеры основных консервантов.
Охарактеризуйте их. С чем связана необходимость применения консервантов?
. Дайте определение понятия "пищевые антиокислители". В чем
разница в поведении антиокислителей, синергистов антиокислителей,
комплексообразователей? Назовите основные антиокислители. Определите роль
антиокислителей в сохранении пищевых продуктов.
. Дайте определение понятия "биологически активные добавки".
Приведите их классификацию. Их роль в создании современных продуктов питания.
ГЛАВА 10.
ВОДА
Вода, не являясь собственно питательным веществом, жизненно необходима
как стабилизатор температуры тела, переносчик нутриентов (питательных веществ)
и пищеварительных отходов, реагент и реакционная среда в ряде химических
превращений, стабилизатор конформа-ции биополимеров и, наконец, как вещество,
облегчающее динамическое поведение макромолекул, включая проявление ими
каталитических (энзиматических) свойств.
Вода - важная составляющая пищевых продуктов. Она присутствует в
разнообразных растительных и животных продуктах как клеточный и внеклеточный
компонент, как диспергирующая среда и растворитель, обусловливая их
консистенцию и структуру и влияя на внешний вид, вкус и устойчивость продукта
при хранении. Благодаря физическому взаимодействию с белками, полисахаридами,
липидами и солями, вода вносит значительный вклад в текстуру пищи.
Содержание влаги (%) в пищевых продуктах изменяется в широких пределах:
|
Мясо
|
65-75
|
Мука
|
12-14
|
|
Молоко
|
87
|
Кофе-зерна (обжаренный)
|
5
|
|
Фрукты, овощи
|
70-95
|
Сухое молоко
|
4
|
|
Хлеб
|
35
|
Пиво, соки
|
87-90
|
|
Мед
|
20
|
Сьш
|
37
|
|
Масло, маогаоин
|
16-18
|
Джем
|
28
|
Многие виды пищевых продуктов содержат большое количество влаги, что
отрицательно сказывается на их стабильности в процессе хранения. Поскольку вода
непосредственно участвует в гидролитических процессах, ее удаление или
связывание за счет увеличения содержания соли или сахара тормозит многие
реакции и ингибирует рост микроорганизмов, таким образом удлиняя сроки хранения
продуктов. Важно также отметить, что удаление влаги путем высушивания или
замораживания существенно влияет на химический состав и природные свойства
продукта. Это определяет интерес исследователей к изучению свойств и
особенностей поведения воды и льда в пищевых продуктах.
.1 ФИЗИЧЕСКИЕ
И ХИМИЧЕСКИЕ СВОЙСТВА ВОДЫ И ЛЬДА
Физические свойства воды и льда
Вода имеет молекулярную массу примерно равную 18,02 и может существовать
в состояниях жидкости, пара и льда, характеризующихся следующими показателями
фазовых переходов:
|
Точка при 101,3 кПа (1
атм), °С замерзания (плавления)
|
0,00
|
|
кипения
|
100,00
|
|
Тройная точка
|
|
|
температура, °С
|
0,0099
|
|
давление, Па (мм рт. ст.)
|
610,4 (4,579)
|
|
Теплота, кДж/моль
(ккал/моль)
|
|
|
плавления при 0°С
|
6,01 (1,435)
|
|
парообразования при 100°С
|
40,63 (9,704)
|
|
сублимации при 0°С
|
50,91 (12,16)
|
Как видно из этих данных, для воды характерны высокая температура кипения
и плавления, высокие значения теплоты фазовых переходов (плавления,
парообразования, сублимации). По этим свойствам вода существенно отличается от
гидридов некоторых элементов, расположенных близко к кислороду в периодической
системе (СН4, NH3, HF, H2S, HC1). Это иллюстрируется некоторыми сведениями,
представленными в табл. 10.1.
Вода обладает аномально высокой теплоемкостью. Это имеет большое значение
в жизни природы - в ночное время, а также при переходе
Таблица 10.1. Физические свойства некоторых гидридов
|
Вещество
|
Точка плавления, °С
|
Точка кипения, °С
|
Теплота парообразования при
100 °С, ккал/моль
|
|
CH4
|
-184
|
-161
|
2,20
|
|
NH3
|
-78
|
-33
|
5,55
|
|
HF
|
-92
|
+19
|
7,22
|
|
Н20
|
0
|
+100
|
9,70
|
от лета к зиме вода остывает медленно, а днем или при переходе от зимы к
лету так же медленно нагревается, являясь, таким образом, регулятором
температуры на земном шаре.
Вода обнаруживает необычное свойство расширяться при замерзании,
вследствие чего плотность льда ниже, чем воды при той же температуре (табл.
10.2), что нехарактерно для других веществ при переходе из жидкого состояния в
твердое. Среди других аномалий воды следует отметить высокое значение
поверхностного натяжения и диэлектрической постоянной и значительную
теплопроводность (табл. 10.2). Теплопроводность воды выше, чем других
жидкостей, а льда - больше, чем других неметаллических твердых веществ. Следует
также отметить, что теплопроводность льда при 0°С приблизительно в четыре раза
больше, чем воды при той же температуре, т. е. лед проводит тепло значительно
быстрее, чем иммобилизованная (неподвижная) вода, находящаяся в тканях. Если
при этом учесть, что температуропроводность льда на порядок выше, чем воды,
становится понятным, почему ткани замерзают быстрее, чем оттаивают, если
задается одинаковая (но обратная) разность температур.
Таблица 10.2. Влияние температуры на некоторые свойства воды и льда
|
Показатели
|
Вода при температуре, ° С
|
Лед при температуре, ° С
|
|
20
|
0
|
0
|
-20
|
|
Плотность, г/см 3
|
0,9982
|
0,9998
|
0,9168
|
0,9193
|
|
Давление водяного пара, Па
(мм рт. ст.)
|
2337 (17,53)
|
610,4 (4,58)
|
610,4 (4,580)
|
103,4 (0,77)
|
|
Вязкость, Па ∙ с
|
1,002 ∙ 10-3
|
1,787 ∙ 10-3
|
-
|
-
|
|
Поверхностное натяжение,
Н/мм
|
72,75 ∙ 10-3
|
75,6 ∙ 10 -3
|
-
|
-
|
|
Теплоемкость, Дж/кг ∙
К
|
4,18
|
4,22
|
2,10
|
1,95
|
|
Теплопроводность, Дж/м ∙
с ∙ К
|
5,98 ∙ 102
|
5,64 ∙102
|
22,40 ∙ 102
|
24,33 ∙ 102
|
|
Температуропроводность,
м2/с
|
1,4 ∙ 10-5
|
1,3 ∙ 10-5
|
1,1 ∙10-4
|
1,1 ∙10-4
|
|
Диэлектрическая постоянная
|
80,36
|
80
|
91
|
98
|
Диаграмма состояния воды
Диаграмма состояния (или фазовая диаграмма) представляет собой
графическое изображение зависимости между величинами, характеризующими
состояние системы, и фазовыми превращениями в системе (переход из твердого
состояния в жидкое, из жидкого в газообразное и т. д.).
Для однокомпонентных систем обычно используются диаграммы состояния,
показывающие зависимость фазовых превращений от температуры и давления; они
называются диаграммами состояния в координатах Р-t.
На рис. 10.1 приведена в схематической форме (без строгого соблюдения
масштаба) диаграмма состояния воды. Любой точке на диаграмме отвечают
определенные значения температуры и давления.
Рис. 10.1. Диаграмма состояния воды в области невысоких давлений
Диаграмма показывает те состояния воды, которые термодинамически
устойчивы при определенных значениях температуры и давления. Она состоит из
трех кривых, разграничивающих все возможные температуры и давления на три
области, отвечающие льду, жидкости и пару.
Кривая ОА представляет зависимость давления насыщенного водяного пара от
температуры: точки кривой показывают те пары значений температуры и давления,
при которых жидкая вода и водяной пар находятся в равновесии друг с другом.
Кривая ОА называется кривой равновесия жидкость - пар или кривой кипения.
Кривая ОС - кривая равновесия твердое состояние - жидкость, или кривая
плавления, - показывает те пары значений температуры и давления, при которых
лед и жидкая вода находятся в равновесии.
Кривая ОВ - кривая равновесия твердое состояние - пар, или кривая
сублимации. Ей отвечают те пары значений температуры и давления, при которых в
равновесии находятся лед и водяной пар.
Все три кривые пересекаются в точке О. Координаты этой точки - это
единственная пара значений температуры и давления, при которых в равновесии
могут находиться все три фазы: лед, жидкая вода и пар. Она носит название
тройной точки.
Тройная точка отвечает давлению водяного пара 0,610 кПа (4,58 мм рт. ст.)
и температуре О,О ГС.
Диаграмма состояния воды имеет значение при разработке технологических
режимов для получения пищевых продуктов. Например, как следует из диаграммы,
если лед нагревается при давлении меньше чем 0,610 кПа (4,58 мм рт.ст.), то он
непосредственно переходит в пар. Это является основой при разработке способов
получения пищевых продуктов сушкой замораживанием.
Одной из особенностей воды, отличающих ее от других веществ, является
понижение температуры плавления льда с ростом давления. Это обстоятельство отражается
на диаграмме. Кривая плавления ОС на диаграмме состояния воды идет вверх влево,
тогда как почти для всех других веществ она идет вверх вправо.
Превращения, происходящие с водой при атмосферном давлении, отражаются на
диаграмме точками или отрезками, расположенными на горизонтали, отвечающей
101,3 кПа (760 мм рт. ст.). Так, плавление льда или кристаллизация воды
отвечает точке D, кипение воды - точке Е, нагревание или охлаждение воды -
отрезку DE и т. п.
Строение молекулы и свойства воды
Аномальные свойства воды предполагают существование прочных сил между
молекулами воды. Это можно объяснить уже при рассмотрении природы единичной
молекулы воды, а затем и группы молекул. Шесть валентных электронов кислорода в
молекуле воды гибридизированы в четырех Sp3-орбиталях, которые вытянуты к
углам, образуя тетраэдр.
Две гибридные орбитали образуют О-Н ковалентные связи с углом 105°, тогда
как другие две орбитали имеют неподеленные электронные пары. Ковалентные О-Н
связи, благодаря высокой электроотрицательности кислорода, частично (на 40%)
имеют ионный характер.
Таким образом, молекула воды имеет два отрицательных и два положительных
заряда по углам тетраэдра. Вследствие этого, каждая молекула воды
тетраэдричес-ки координирована с четырьмя другими молекулами воды благодаря
водородным связям (см. рис. 10.2). Энергия диссоциации водородной связи ~25
кДж/моль.
Рис. 10.2. Тетраэдрическая координация молекул воды
Одновременное присутствие в молекуле воды двух доноров и двух акцепторов
делает возможной ассоциацию в трехмерную сеть, стабилизированную водородными
связями, что обеспечивает большую силу взаимодействия между молекулами. Эта
структура объясняет особые физические свойства воды, необычные для малых
молекул. Так, например, спирт и соединения с изоэлектрическими диполями, такие
как HF или NH3, образуют, в отличие от воды, только линейную или двухмерную
ассоциацию.
Частичная поляризация Н-О связи в дальнейшем усиливается за счет
образования водородных связей. Поэтому дипольный момент комплекса, состоящего
из увеличенного числа водных молекул (мультимолекулярный диполь), тем больше,
чем больше молекул ассоциировано и, естественно, больше дипольного момента
единичной молекулы. Как следствие, диэлектрическая постоянная воды оказывается
большой и превышает величину, которая может быть вычислена на основе дипольного
момента единичной молекулы.
Транспорт (перенос) протона осуществляется вдоль водородной связи. Это
поистине прыжок протона от одной молекулы воды к соседней молекуле воды.
Независимо от того, получен ли протон путем диссоциации воды или будет получен
от кислоты, он будет погружаться в орбита-ли неподеленных электронов молекулы,
образуя гидратированный ион водорода Н3О+(ион гидроксония) с исключительно
сильной водородной связью (энергия диссоциации - 100 кДж/моль):
Подобный механизм действует и в транспорте ионов ОН-, который
осуществляется вдоль водородных связей:
Переход протона от одного атома кислорода к другому осуществляется
чрезвычайно быстро (V>1012c-1), поэтому подвижность протона весьма велика.
Она превышает подвижность других ионов в 4-5 раз и соизмерима только с
подвижностью ионов ОН-, которая, однако, примерно на 40% меньше. При этом
скорость протонов во льду примерно в 100 раз больше, чем в воде.
Способность воды образовывать трехмерные водородные связи, для разрушения
которых необходима дополнительная энергия, объясняет рассмотренные выше
необычные свойства воды, например высокие значения теплоемкости, точек
плавления и кипения, поверхностного натяжения и теплот фазовых переходов.
Вода может влиять на конформацию макромолекул, если там имеют место
какие-либо нековалентные связи, которые стабилизируют конформацию большой
молекулы. Эти нековалентные связи могут быть трех видов: водородные, ионные и
неполярные связи. В белках существует конкуренция между CO...HN водородными
связями и вода-амид водородными связями. Чем больше способность растворителя к
образованию водородных связей, тем слабее CO...HN связь. В водной среде теплота
образования или разрыва этой связи равна 0. Это означает, что CO...HN
водородная связь не может обеспечить стабилизацию в водном растворе.
Конкурирующая водородная связь от Н2О ослабляет термодинамическую тенденцию к
образованию CO...HN водородных связей. Водные молекулы вокруг неполярных групп
(молекул) становятся более упорядоченными, приводя к потере энтропии, и в
результате возникает тенденция к ассоциации отдельных неполярных групп в водной
среде с другими, большими чем водные, молекулами (гидрофобное взаимодействие).
Концепция гидрофобной связи схематично показана на рис. 10.3.
Рис. 10.3. Образование гидрофобной связи
С химической точки зрения вода является весьма реакционноспособным
веществом. Она соединяется со многими оксидами металлов и неметаллов,
взаимодействует с активными металлами и вступает в различные другие реакции
самого разнообразного характера.
Превращения белков, Липидов, углеводов с участием воды имеют важное
значение в пищевых технологиях.
Помимо химических реакций, в которые вступает вода, при растворении
веществ в воде имеют место взаимодействия физико-химического характера. Ниже мы
кратко рассмотрим взаимодействие воды с ионами и ионными группами, группами,
обладающими способностью к образованию водородных связей, и с неполярными
веществами (группами). Эти взаимодействия необходимо принимать во внимание при
рассмотрении классификации видов влаги в пищевых продуктах и ее причастности к
химическим, биохимическим и микробиологическим изменениям в продукте при
хранении (см. раздел 10.3).
Взаимодействие вода - растворенное вещество
При добавлении различных веществ к воде изменяются свойства как самого
вещества, так и воды. Гидрофильные вещества взаимодействуют с водой путем
ион-дипольного или диполь-дипольного механизма, вызывая изменения в структуре
воды, ее подвижности, а также в структуре и реакционной способности
гидрофильных веществ. Гидрофобные группы добавленных веществ взаимодействуют с
близлежащей водой слабо, предпочитая неводное окружение. Молекулы около
гидрофобных групп становятся более упорядоченными, что приводит к уменьшению
энтропии. Чтобы уменьшить контакт с водой, гидрофобные группы агрегируются. Как
уже говорилось, этот процесс известен как гидрофобное взаимодействие.
Взаимодействие воды с ионами и ионными группами. Вода, взаимодействующая
с ионами и ионными группами, является наиболее прочно связанной в пищевых
продуктах. Нормальная структура чистой воды (основанная на водородных связях
тетраэдрическая конфигурация) нарушается при добавлении диссоциирующих веществ.
Для простых неорганических ионов, которые не обладают донорными или
акцепторными местами для образования водородных связей, связь просто полярна.
Простейший пример - гидратированные ионы хлорида натрия. Вода в мультислое
существует в структурно разрушенном состоянии из-за конкурирующего влияния, с
одной стороны, монослоя, с другой - внешней массы воды.
Способность ионов изменять структуру воды тесно связана с силой
электрического поля иона. Малые и (или) многовалентные (главным образом,
положительные) ионы, такие как Li+, Na+, Н3О+, Ca2+, Ba2+, Mg2+, А13+, F-, OH-,
имеют сильное электрическое поле и являются образова-телями сетчатой структуры.
Около каждого из этих ионов расположено от 4 до 6 молекул воды. Связанная вода
менее лабильна и обладает более плотной структурой по сравнению с чистой водой
(см. рис. 10.4).
Рис. 10.4. Структура связанной воды
Большие и моновалентные ионы (главным образом, отрицательно заряженные
ионы и большие положительные ионы), такие как К+, Cs+, NH4+, C1-, Br-, I-, NO,
имеют относительно слабое электрическое поле и являются разрушителями сетчатой
структуры, хотя для К+ этот эффект очень слаб.
Благодаря различной способности ионов гидратироваться, изменять водную
структуру, влиять на диэлектрическую постоянную водной среды и толщину двойного
электрического слоя около коллоидов, они сильно воздействуют на
суспендированные и другие растворенные вещества в среде. Поэтому, например,
конформация белков и стабильность коллоидов сильно зависят от вида и количества
присутствующих ионов.
Взаимодействие воды с нейтральными группами, обладающими способностью
образовывать водородные связи. Водородные связи вода - растворенное вещество
являются более слабыми, чем при вода - ион взаимодействиях. Тем не менее, вода,
связанная посредством водородных связей с растворенным веществом, может быть
классифицирована как "органически связанная" или
"близлежащая" и должна проявлять пониженную подвижность по сравнению
с водой в массе раствора (водной фазы).
Можно ожидать, что вещества, способные к образованию водородных связей,
не повышают или, по крайней мере, не разрушают нормальную структуру чистой
воды. Однако в ряде случаев отмечается ориентация водородных связей, отличная
от нормальной воды.
Водородные связи воды образуются с различными группами (гидроксил-,
амино-, карбонил-, амид- или имино-). Например, вода образует водородные связи
с двумя видами функциональных групп белков. Эти связи могут быть как в одной
макромолекуле между различными группами, так и между разными макромолекулами:
Взаимодействие вода - неполярное вещество. В системе вода - неполярное
вещество важны два аспекта структурных образований: образование клатратных
гидратов и гидрофобные взаимодействия в белках.
Клатратные гидраты являются соединениями включения, то есть это
соединения, имеющие молекулу-"хозяина", образующуюся за счет
водородных связей, и молекулу-"гостя". Образования такого типа имеют
место в биологических материалах.
"Гости" в клатратных гидратах являются низкомолекулярными
соединениями, а "хозяин" представляет собой "сетку" из
20-74 водных молекул.
Типичные "гости" - это низкомолекулярные углеводороды,
галогенуглеводороды, диоксид углерода, этиленоксид, этиловый спирт,
короткоцепочные первичные, вторичные и третичные амины, алкил-аммоний.
Взаимодействие между водой и "гостем" часто обусловлено слабыми
ван-дер-ваальсовыми силами, но может иметь место и электростатическое
взаимодействие.
Клатратные гидраты имеют важное значение, т. к. влияют на конфор-мацию,
реакционноспособность и стабильность таких молекул, как белки.
Гидрофобные взаимодействия в водном окружении также важны, т. к. примерно
40% общих аминокислот в большинстве белков имеют неполярные группы. Неполярные
группы других компонентов, таких как спирты, жирные кислоты, свободные
аминокислоты, также могут участвовать в гидрофобных взаимодействиях. Эти
взаимодействия являются слабыми, по силе они примерно такие же, как силы
Ван-дер-Ваальса. Гидрофобные взаимодействия важны для четвертичной структуры
многих белков, поэтому вода (и водная структура) играет важную роль в
конформации белка.
Структура и свойства льда
Молекула воды, кристаллизуясь, может связывать четыре других молекулы
воды в тетраэдрической конфигурации. Поэтому образующийся лед имеет
гексагональную кристаллическую решетку. Структура льда была установлена
методами дифракции рентгеновских лучей, нейтронов и электронов, ИК- и
Рамановской спектроскопии.
Обычный лед принадлежит к бипирамидальному классу гексагональных систем.
Кроме того, лед может существовать в девяти других кристаллических полиморфных
конфигурациях, а также в аморфном состоянии неопределенной структуры. Однако
только обычная гексагональная структура льда стабильна при нормальных условиях
(760 мм рт. ст., 0°С).
Надо отметить, что лед состоит не только из НОН-молекул, ориентированных
так, что один атом водорода расположен на линии между каждой парой кислородных
атомов. Чистый лед содержит также и ионы Н+ (Н3О+) и ОН-. Кроме того, кристаллы
льда не являются совершенными, и имеющие место дефекты связаны с изменением
положения протонов, сопровождаемым новой (нейтральной) ориентацией или
изменениями ионного характера (с образованием Н3О+ или ОН-). Наличием этих
дефектов можно объяснить большую мобильность протона во льду, чем в воде, и
небольшое увеличение электрической проводимости при замерзании воды.
Кроме того, каждая молекула воды может колебаться (предполагая, что она
колеблется как единое целое) с амплитудой около 0,4А при -10°С. Следует также
иметь в виду, что молекулы воды, которые, по-видимому, существуют в некоторых
образующих щели пространствах льда, могут медленно диффундировать через
решетку.
Вполне вероятно, что величина активности воды aw, (см. раздел 10.3) во
льду имеет определенное отношение к скорости порчи пищевых продуктов и биологических
веществ в условиях хранения при низких температурах.
На структуру кристаллов льда оказывают влияние растворенные вещества. Тем
не менее, для большинства пищевых продуктов и биологических материалов наиболее
характерна гексагональная структура. Она была обнаружена при замораживании
модельных водных растворов сахарозы, глицерина, альбумина и других соединений.
.2 СВОБОДНАЯ
И СВЯЗАННАЯ ВЛАГА В ПИЩЕВЫХ ПРОДУКТАХ
Вода в пищевых продуктах играет, как уже отмечалось, важную роль, т. к.
обусловливает консистенцию и структуру продукта, а ее взаимодействие с
присутствующими компонентами определяет устойчивость продукта при хранении.
Общая влажность продукта указывает на количество влаги в нем, но не
характеризует ее причастность к химическим, биохимическим и микробиологическим
изменениям в продукте. В обеспечении его устойчивости при хранении важную роль
играет соотношение свободной и связанной влаги.
Связанная влага - это ассоциированная вода, прочно связанная с различными
компонентами - белками, липидами и углеводами за счет химических и физических
связей.
Свободная влага - это влага, не связанная полимером и доступная для
протекания биохимических, химических и микробиологических реакций.
Рассмотрим
некоторые примеры.
При влажности зерна 15-20% связанная вода составляет 10-15%. При большей
влажности появляется свободная влага, способствующая усилению биохимических
процессов (например, прорастанию зерна).
Плоды и овощи имеют влажность 75-95%. В основном, это свободная вода,
однако примерно 5% влаги удерживается клеточными коллоидами в прочно связанном
состоянии. Поэтому овощи и плоды легко высушить до 10-12%, но сушка до более
низкой влажности требует применения специальных методов.
Большая часть воды в продукте может быть превращена в лед при -5°С, а вся
- при - 50°С и ниже. Однако определенная доля прочно связанной влаги не
замерзает даже при температуре - 60°С.
"Связывание воды" и "гидратация" - определения,
характеризующие способность воды к ассоциации с различной степенью прочности с
гидрофильными веществами. Размер и сила связывания воды или гидратации зависит
от таких факторов, как природа неводного компонента, состав соли, рН,
температура.
Что же такое связанная вода? Надо сказать, что в ряде случаев термин
"связанная вода" используется без уточнения его смысла, однако
предлагается и достаточно много его определений. В соответствии с ними
связанная влага:
характеризует равновесное влагосодержание образца при некоторой
температуре и низкой относительной влажности;
не замерзает при низких температурах (-40°С и ниже);
не может служить растворителем для добавленных веществ;
дает полосу в спектрах протонного магнитного резонанса;
перемещается вместе с макромолекулами при определении скорости
седиментации, вязкости, диффузии;
существует вблизи растворенного вещества и других неводных веществ и
имеет свойства, значительно отличающиеся от свойств всей массы воды в системе.
Указанные признаки дают достаточно полное качественное описание связанной
воды. Однако ее количественная оценка по тем или иным признакам не всегда
обеспечивает сходимость результатов. Поэтому большинство исследователей
склоняются к определению связанной влаги только по двум из перечисленных выше
признаков. По этому определению, связанная влага - это вода, которая существует
вблизи растворенного вещества и других неводных компонентов, имеет уменьшенную
молекулярную подвижность и другие свойства, отличающиеся от свойств всей массы
воды в той же системе, и не замерзает при - 40°С. Такое определение объясняет
физическую сущность связанной воды и обеспечивает возможность сравнительно
точной ее количественной оценки, т.к. вода, незамерзающая при - 40°С, может
быть измерена с удовлетворительным результатом (например, методом ПМР или
калориметрически). При этом действительное содержание связанной влаги изменяется
в зависимости от вида продукта.
Причины связывания влаги в сложных системах различны. Наиболее прочно
связанной является так называемая органически связанная вода. Она представляет
собой очень малую часть воды в высоковлажных пищевых продуктах и находится,
например, в щелевых областях белка или в составе химических гидратов. Другой
весьма прочно связанной водой является близлежащая влага, представляющая собой
монослой при большинстве гидрофильных групп неводного компонента. Вода,
ассоциированная таким образом с ионами и ионными группами, является наиболее
прочно связанным типом близлежащей воды. К монослою примыкает мульmислойная
вода (вода полимолекулярной адсорбции), образующая несколько слоев за
близлежащей водой. Хотя мультислой - это менее прочно связанная влага, чем
близлежащая влага, она все же еще достаточно тесно связана с неводным
компонентом, и потому ее свойства существенно отличаются от чистой воды. Таким
образом, связанная влага состоит из "органической", близлежащей и
почти всей воды мультислоя.
Кроме того, небольшие количества воды в некоторых клеточных системах
могут иметь уменьшенные подвижность и давление пара из-за нахождения воды в
капиллярах. Уменьшение давления пара и активности воды (aw) становится
существенным, когда капилляры имеют диаметр меньше, чем 0,1 цм. Большинство же
пищевых продуктов имеют капилляры диаметром от 10 до 100 ц,м, которые,
по-видимому, не могут заметно влиять на уменьшение aw в пищевых продуктах.
В пищевых продуктах имеется также вода, удерживаемая макромолекулярной
матрицей. Например, гели пектина и крахмала, растительные и животные ткани при
небольшом количестве органического Matериала могут физически удерживать большие
количества воды.
Хотя структура этой воды в клетках и макромолекулярной матрице точно не
установлена, ее поведение в пищевых системах и важность для качества пищи
очевидна. Эта вода не выделяется из пищевого продукта даже при большом
механическом усилии. С другой стороны, в технологических процессах обработки
она ведет себя почти как чистая вода. Ее, например, можно удалить при
высушивании или превратить в лед при замораживании. Таким образом, свойства
этой воды, как свободной, несколько ограничены, но ее молекулы ведут себя
подобно водным молекулам в разбавленных солевых растворах.
Именно эта вода составляет главную часть воды в клетках и гелях, и
изменение ее количества существенно влияет на качество пищевых продуктов.
Например, хранение гелей часто приводит к потере их качества из-за потери этой
воды (так называемого синерезиса). Консервирование замораживанием тканей часто
приводит к нежелательному уменьшению способности к удерживанию воды в процессе
оттаивания.
В таблицах 10.3 и 10.4 описаны свойства различных видов влаги в пищевых
продуктах.
Таблица 10.3. Категории свободной влаги в пищевых продуктах [Fennema,
1985]
|
Свойства
|
Свободная
|
Вода в макромолекулярной
матрице
|
|
Общее описание
|
Вода, которая может быть
легко удалена из продукта. Вода- вода-водородные связи преобладают. Имеет
свойства, похожие на воду в слабых растворах солей. Обладает свойством
свободного истечения
|
Вода, которая может быть
удалена из продукта. Вода-вода-водородные связи превалируют. Свойства воды
подобны воде в разбавленных солевых растворах. Свободное истечение затруднено
матрицей геля или ткани
|
|
Точка замерзания
|
Несколько ниже по сравнению
с чистой водой
|
|
Способность быть
растворителем
|
Большая
|
|
Молекулярная подвижность по
сравнению с чистой водой
|
Несколько меньше
|
|
Энтальпия парообразования
по сравнению с чистой водой
|
Без существенных изменений
|
|
Содержание в расчете на
общее содержание влаги в продуктах с высокой влажностью (90% Н2О),%
|
~ 96%
|
|
Зона изотермы сорбции (рис.
10.6)
|
Вода в зоне III состоит из
воды, присутствующей в зонах I и II, + вода, добавленная или удаленная внутри
зоны III
|
|
В отсутствие гелей и
клеточных структур эта вода является свободной, нижняя граница зоны III
нечеткая и зависит от продукта и температуры
|
В присутствии гелей или
клеточных структур вся вода связана в макромолекулярной матрице. Нижняя
граница зоны III нечеткая и зависит от продукта и температуры
|
|
Обычная причина порчи
пищевых продуктов
|
Высокая скорость
большинства реакций. Рост микроорганизмов
|
Таблица 10.4. Категории связанной влаги в пищевых продуктах [Fennema,
1985]
|
Свойства
|
Органически связанная вода
|
Монослой
|
Мультислой
|
|
Общее описание
|
Вода как общая часть
неводного компонента
|
Вода, которая сильно
взаимодействует с гидрофильными группами неводных компонентов путем вода-ион,
или вода - диполь ассоциации; вода в микрокапиллярах (d < 0, 1 μм)
|
Вода, которая примыкает к
монослою и которая образует несколько слоев вокруг гидрофильных групп
неводного компонента. Превалируют вода- вода и вода- растворенное вещество-
водородные связи
|
|
Точка замерзания по
сравнению с чистой водой
|
Не замерзает при - 40 °С
|
Большая часть не замерзает
при - 40 °С. Остальная часть замерзает при значительно пониженной температуре
|
|
Способность служить
растворителем
|
Нет
|
Нет
|
Достаточно слабая
|
|
Молекулярная подвижность по
сравнению с чистой водой
|
Очень малая
|
Существенно меньше
|
Меньше
|
|
Энтальпия парообразования
по сравнению с чистой водой
|
Сильно увеличена
|
Значительно увеличена
|
Несколько увеличена
|
|
Содержание в расчете на
общее содержание влаги в продуктах с высокой влажностью (90% Н2О), %
|
<0,03
|
0,1-0,9
|
1-5
|
|
Зона изотермы сорбции (рис.
10.6)
|
Органически связанная вода
показывает практически нулевую активность и, таким образом, существует в
экстремально левом конце зоны I
|
Вода в зоне I изотермы
состоит из небольшого количества органической влаги с остатком монослоя
влаги. Верхняя граница зоны I не является четкой и варьирует в зависимости от
продукта и температуры
|
Вода в зоне II состоит из
воды, присутствующей в зоне I, + вода добавленная или удаленная внутри зоны
II (мультислойная влага). Граница зоны II не является четкой и варьирует в
зависимости от продукта и температуры
|
|
Стабильность пищевых
продуктов
|
Самоокисление
|
Оптимальная стабильность
при aw = 0,2-0,3
|
Если содержание воды
увеличивается выше нижней части зоны II, скорость почти всех реакций
увеличивается
|
.3 АКТИВНОСТЬ
ВОДЫ
Давно известно, что существует взаимосвязь (хотя и далеко не совершенная)
между влагосодержанием пищевых продуктов и их сохранностью (или порчей).
Поэтому основным методом удлинения сроков хранения пищевых продуктов всегда
было уменьшение содержания влаги путем концентрирования или дегидратации.
Однако часто различные пищевые продукты с одним и тем же содержанием
влаги портятся по-разному. В частности, было установлено, что при этом имеет
значение, насколько вода ассоциирована с неводными компонентами: вода, сильнее
связанная, меньше способна поддержать процессы, разрушающие (портящие) пищевые
продукты, такие как рост микроорганизмов и гидролитические химические реакции.
Чтобы учесть эти факторы, был введен термин "активность воды".
Этот термин безусловно лучше характеризует влияние влаги на порчу продукта, чем
просто содержание влаги. Естественно, существуют и другие факторы (такие как
концентрация О2, рН, подвижность воды, тип растворенного вещества), которые в
ряде случаев могут сильнее влиять на разрушение продукта. Тем не менее, водная
активность хорошо коррелирует со скоростью многих разрушительных реакций, она
может быть измерена и использована для оценки состояния воды в пищевых
продуктах и ее причастности к химическим и биохимическим изменениям.
Активность воды (aw) - это отношение давления паров воды над данным
продуктом к давлению паров над чистой водой при той же температуре. Это
отношение входит в основную термодинамическую формулу определения энергии связи
влаги с материалом (уравнение Ребиндера):
ΔF = L = RT∙ln
где ΔF - уменьшение свободной энергии (при постоянной температуре); L
- работа отрыва 1 моля воды от сухого скелета материала (без изменения
состава); R - универсальная газовая постоянная.
По величине активности воды (табл. 10.5) выделяют: продукты с высокой
влажностью (aw= 1,0-0,9); продукты с промежуточной влажностью (aw= 0,9-0,6);
продукты с низкой влажностью (aw= 0,6-0,0).
Таблица 10.5. Активность воды (а ) в пищевых продуктах
|
Продукт
|
Влажность, %
|
aw
|
|
Продукт
|
Влажность, %
|
aw
|
|
Фрукты
|
90-95
|
0,97
|
|
Мука
|
16-19
|
0,80
|
|
Яйца
|
70-80
|
0,97
|
|
Мед
|
10-15
|
0,75
|
|
Мясо
|
60-70
|
0,97
|
|
Карамель
|
7-8
|
0,65
|
|
Сыр
|
40
|
0,92-0,96
|
|
Печенье
|
6-9
|
0,60
|
|
Джем
|
30-35
|
0,82-0,94
|
|
Шоколад
|
5-7
|
0,40
|
|
Хлеб
|
40-50
|
0,95
|
|
Сахар
|
0-0,15
|
0,10
|
|
Кекс
|
20-28
|
0,83
|
|
|
|
|
Изотермы сорбции
Кривые, показывающие связь между содержанием влаги (масса воды, г Н2О/г С
В) в пищевом продукте с активностью воды в нем при постоянной температуре,
называются изотермами сорбции. Информация, которую они дают, полезна для
характеристики процессов концентрирования и дегидратации (т.к. простота или
трудность удаления воды связана с aw), а также для оценки стабильности пищевого
продукта (что будет рассмотрено позже). На рис. 10.5 изображена изотерма
сорбции влаги для продуктов с высокой влажностью (в широкой области
влагосодержания).
Рис. 10.5. Изотерма сорбции влаги для продуктов с высокой влажностью
Однако, с учетом наличия связанной влаги, больший интерес представляет
изотерма сорбции для области низкого содержания влаги в пищевых продуктах (рис.
10.6).
Рис. 10.6. Изотерма сорбции влаги для области низкого содержания влаги в
пищевых продуктах
Для понимания значения изотермы сорбции полезно рассмотреть зоны I-III.
Свойства воды в продукте сильно отличаются по мере перехода от зоны I
(низкие влагосодержания) к зоне III (высокая влажность). Зона I изотермы
соответствует воде, наиболее сильно адсорбированной и наиболее неподвижной в
пищевых продуктах. Эта вода абсорбирована, благодаря полярным вода-ион и
вода-диполь взаимодействиям. Энтальпия парообразования этой воды много выше,
чем чистой воды, и она не замерзает при - 40°С. Она неспособна быть
растворителем, и не присутствует в значительных количествах, чтобы влиять на
пластичные свойства твердого вещества; она просто является его частью.
Высоковлажный конец зоны I (граница зон I и II) соответствует монослою
влаги. В целом зона I - соответствует чрезвычайно малой части всей влаги в
высоковлажном пищевом продукте.
Вода в зоне II состоит из воды зоны I и добавленной воды (ресорбция) для
получения воды, заключенной в зону II. Эта влага образует мультислой и
взаимодействует с соседними молекулами через вода-вода-водородные связи.
Энтальпия парообразования для мультислой-ной воды несколько больше, чем для
чистой воды. Большая часть этой воды не замерзает при -40°С, как и вода,
добавленная к пищевому продукту с содержанием влаги, соответствующим границе
зон I и И. Эта вода участвует в процессе растворения, действует как
пластифицирующий агент и способствует набуханию твердой матрицы. Вода в зонах
II и I обычно составляет менее 5% от общей влаги в высоковлажных пищевых
продуктах.
Вода в зоне III изотермы состоит из воды, которая была в зоне I и II, и
добавленной для образования зоны III. В пищевом продукте эта вода наименее
связана и наиболее мобильна. В гелях или клеточных системах она является
физически связанной, так что ее макроскопическое течение затруднено. Во всех
других отношениях эта вода имеет те же свойства, что и вода в разбавленном
солевом растворе. ВоДа, добавленная (или удаленная) для образования зоны III,
имеет энтальпию парообразования практически такую же, как чистая вода, она
замерзает и является растворителем, что важно для протекания химических реакций
и роста микроорганизмов. Обычная влага зоны III (не важно, свободная или
удерживаемая в макромолекулярной матрице) составляет более 95% от всей влаги в
высоковлажных материалах.
Состояние влаги, как будет показано ниже, имеет важное значение для
стабильности пищевых продуктов.
В заключение следует отметить, что изотермы сорбции, полученные
добавлением воды (ресорбция) к сухому образцу, не совпадают полностью с
изотермами, полученными путем десорбции. Это явление называется гистерезисом.
Изотермы сорбции влаги для многих пищевых продуктов имеют гистерезис (рис.
10.7). Величина гистерезиса, наклон кривых, точки начала и конца петли
гистерезиса могут значительно изменяться в зависимости от таких факторов, как
природа пищевого продукта, температура, скорость десорбции, уровень воды,
удаленной при десорбции.
Как правило, изотерма абсорбции (ресорбции) нужна при исследовании
гигроскопичности продуктов, а десорбции - полезна для изучения процессов
высушивания.
Рис. 10.7. Гистерезис изотермы сорбции влаги
Активность воды и стабильность пищевых продуктов
С учетом вышесказанного ясно, что стабильность пищевых продуктов и
активность воды тесно связаны.
На рис. 10.8 показано отношение между aw и скоростью различных реакций,
происходящих в пищевых продуктах при температуре 25-45°С. Для сравнения здесь
же представлена изотерма сорбции. Нужно помнить, что точная скорость реакции,
наклон кривых и т. д. могут несколько изменяться в зависимости от состава,
физического состояния, структуры образца, состава атмосферы (особенно
присутствия кислорода), температуры, эффекта гистерезиса.
В продуктах с низкой влажностью могут происходить окисление жиров,
неферментативное потемнение, потеря водорастворимых веществ (витаминов), порча,
вызванная ферментами. Активность микроорганизмов здесь подавлена. В продуктах с
промежуточной влажностью могут протекать разные процессы, в том числе с
участием микроорганизмов. В процессах, протекающих при высокой влажности,
микроорганизмам принадлежит решающая роль.
Для большинства химических реакций, показанных на рис. 10.8, большая или
максимальная скорость имеет место, как правило, в области aw, характерной для
продуктов с промежуточной влажностью (0,7-0,9). Минимальная скорость этих
реакций на кривой изотермы наблюдается на границе зон I и II (aw= 0,2-0,4), и
для всех реакций, кроме окисления липидов, скорость остается минимальной, если
aw еще меньше. Влагосодержание, соответствующее этому состоянию, составляет
мономолекулярный слой.
Окисление липидов начинается при низкой aw По мере ее увеличения скорость
окисления уменьшается примерно до границы зон I и II на изотерме, а затем снова
увеличивается до границы зон II и III. Дальнейшее увеличение aw снова уменьшает
скорость окисления (на рис. 10.8 не показано). Эти изменения можно объяснить
тем, что при добавлении воды к сухому материалу сначала имеет место
столкновение с кислородом. Эта вода (зона I) связывает гидропероксиды,
сталкивается с их продуктами распада и, таким образом, препятствует окислению.
Кроме того, добавленная вода гидратирует ионы металлов, которые катализируют
окисление, уменьшая их действенность.
Добавление воды за границей I-II приводит к увеличению скорости
окисления. Предполагается, что вода, добавленная в этой области изотермы, может
ускорять окисление путем увеличения растворимости кислорода и набухания
макромолекул. При еще больших значениях aw
Рис. 10.8. Влияние aw на скорость реакций в пищевых продуктах
(больше, чем 0,8) имеет место уменьшение скорости окисления, что можно
объяснить разбавлением катализаторов, приводящим к уменьшению их действия.
На модельных системах (глюкоза-глицин, глюкоза-лизин) показано влияние aw
на реакцию неферментативного потемнения. При aw=0,75 и температуре 40°С
продолжительность реакции потемнения составляет 40 часов (глюкоза-лизин); при
aw= 0,55 и температуре 40°С - 192 часа (глюкоза-глицин). Максимум потемнения
наблюдается при aw= 0,6-0,75.
Наблюдаемый максимум потемнения может объясняться наступлением равновесия
в процессе диффузии, которая регулируется величиной вязкости, степенью
растворения и массообменом. При низкой активности воды медленная диффузия
реагентов замедляет скорость реакции. По мере увеличения влагосодержания более
свободная диффузия ускоряет реакцию до тех пор, пока в верхней точке диапазона
влажности растворение реагентов снова не замедляет ее. Точно так же более
высокая концентрация воды замедляет ход реакции на тех обратимых стадиях, на
которых образуется вода.
Ферментативные реакции могут протекать при более высоком содержании
влаги, чем влага монослоя, т.е. тогда, когда есть свободная вода. Она
необходима для переноса субстрата. Учитывая это, легко понять, почему скорость
ферментативных реакций зависит от aw.
При aw, соответствующей влаге монослоя, нет свободной воды для переноса
субстрата. Кроме того, в ряде ферментативных реакций вода сама играет роль
субстрата. На рис. 10.9 показано влияние aw на ферментативные процессы в
сублимированной говядине при ее хранении. Распад АТФ и глюкоза-6-фосфата
существенно увеличивается при увеличении aw от 0,4 до 0,7. Ферментативные
процессы под действием липаз имели место даже при aw = 0,1-0,2. Это,
по-видимому, связано с тем, что липиды в меньшей степени нуждаются в воде как
транспортном средстве, ибо подвижность самих липидов достаточна, чтобы
образовать фермент-субстратный комплекс.
В табл. 10.6 приведены предельные значения aw для роста микроорганизмов
(средние данные по разным источникам). Для большинства бактерий предельное
значения aw= 0,9, но, например, для St.aureus aw= 0,86. Этот штамм продуцирует
целый ряд энтеротоксинов типа А, В, С, D, Е. Большинство пищевых отравлений
связаны с токсинами А и D. Дрожжи и плесени могут расти при более низких
значениях активности воды.
При хранении пищевых продуктов активность воды оказывает влияние на
жизнеспособность микроорганизмов (рис. 10.10). Поэтому активность воды в
продукте имеет значение для предотвращения его микробиологической порчи.
Рис. 10.9. Ферментативные процессы при хранении сублимированного мяса
Рис. 10.10. Жизнеспособность St. aureus в кубиках свинины (а) и Asp.
niger в куриных кубиках (б) при 25°С и разной активности воды
Таблица 10.6. Предельные значения aw для роста микроорганизмов,
встречающихся в пищевых продуктах
|
Минимальное значение aw
|
Бактерии
|
Дрожжи
|
Плесени
|
|
0,98
|
Pseudomonas
|
|
|
|
0,96
|
Klebsiella; Shigella
|
|
|
|
0,93
|
Clostridium; Lactobacillus
|
|
|
|
0,92
|
Salmonella
|
|
|
|
0,90
|
Vibrio; Pediococcus
|
Phodotorula; Saccharomyces*
|
|
|
0,88
|
|
Candida, Torulopsis;
Debariomyces
|
Clodosporium
|
|
0,86
|
Staphylococcus
|
|
|
|
0,80
|
|
Saccharomyces*
|
Penicillium; Aspergillus*
|
|
0,75
|
Hulophilic bacteria
|
|
|
|
0,65
|
|
|
|
|
0,62
|
|
Saccharomyces*
|
|
|
0,60
|
|
|
Aspergillus*
|
* Некоторые штаммы
В основном порчу продуктов с промежуточной влажностью вызывают дрожжи и
плесени, меньше - бактерии. Дрожжи вызывают порчу сиропов, кондитерских
изделий, джемов, сушеных фруктов; плесени - мяса, джемов, пирожных, печенья,
сушеных фруктов (табл. 10.7).
Эффективным средством для предупреждения микробиологической порчи и
целого ряда химических реакций, снижающих качество пищевых продуктов при
хранении, является снижение активности воды в пищевых продуктах (рис. 10.10).
Для снижения активности воды используют такие технологические приемы, как
сушка, вяление, добавление различных веществ (сахар, соль и др.),
замораживание. С целью достижения той или иной активности воды в продукте можно
применять такие технологические приемы, как:
адсорбция - продукт высушивают, а затем увлажняют до определенного уровня
влажности;
сушка посредством осмоса - пищевые продукты погружают в растворы,
активность воды в которых меньше активности воды пищевых продуктов (рис.
10.11).
Часто для этого используют растворы Сахаров или соли. В этом случае имеет
место два противотока: из раствора в продукт диффундирует
Таблица 10.7. Активность воды и рост микроорганизмов в пищевых продуктах
[Fennema, 1985]
|
Область aw
|
Микроорганизмы, которые
ингибируются при более низком значении aw, чем эта область
|
Пищевые продукты,
характерные для этой области aw
|
|
1,00-0,95
|
Pseudomonas;
Escherichia; Proteus; Shigella, Klebsiella; Bacillus; Clostridium perfingens;
некоторые дрожжи
|
Фрукты, овощи, мясо, рыба,
молоко, домашняя колбаса и хлеб, продукты с содержанием сахара (~40%) и
хлорида натрия (~7%)
|
|
0,95-0,91
|
Salmonella, Vibrio
parahaemolyticus, C. botulinum, Serratia Lactobacillus, Pediococcus,
некоторые грибы, дрожжи (Rhodotorula, Pichia)
|
Некоторые сыры,
консервированная ветчина, некоторые фруктовые концентраты соков, продукты с
содержанием сахара (~55%), хлорида натрия (~12%)
|
|
0,91-0,87
|
Многие дрожжи (Candida; Torulopsis, Hansenula)
Micrococcus
|
Ферментированная колбаса
типа салями, сухие сыры, маргарин, рыхлые бисквиты, продукты с содержанием
сахара (65%), хлорида натрия (15%).
|
|
0,87-0,80
|
Многие грибы
(микотоксигенные пенициллы Penicillia); Staphylococcus Aureus; большинство
Saccharomyces; Debaryomyces
|
Большинство концентратов
фруктовых соков, сладкое сгущенное молоко, шоколад, сироп, мука, рис, взбитые
изделия с содержанием влаги 15 - 17%, фруктовые пирожные, ветчина
|
|
0,80-0,75
|
Большинство галофильных
бактерий, микотоксигенные аспергиллы
|
Джем, мармелад,
замороженные фрукты
|
|
0,75-0,65
|
Ксерофильные виды плесеней
(грибов) (Asp. chevalieri; Asp. canidus; Wallemia sebi) Saccharomyces
bisporus
|
Патока, сухие фрукты, орехи
|
|
0,65-0,60
|
Осмофильные дрожжи
(Saccharomyces rouxii); некоторые плесени (Asp. echinulatus, Monascus
bisporus)
|
Сухофрукты, содержащие
15-20% влаги, карамель, мед
|
|
0,5
|
Нет микроорганизмов
|
Тесто с влажностью 12%,
специи с влажностью 10%
|
|
0,4
|
Нет микроорганизмов
|
Яичный порошок с влажностью
~5%
|
|
0,3
|
Нет микроорганизмов
|
Печенье, крекеры, сухари с
влажностью ~3-5%
|
|
0,2
|
Нет микроорганизмов
|
Сухое молоко с влажностью
~2 - 3%, сухие овощи с влажностью ~5%, зерновые хлопья с влажностью ~5%,
крекеры
|
Рис. 10.11. Потеря влаги и поглощение углеводов кусочками яблок в
процессе осмотической обработки: 1 - потеря влаги; 2 - увеличение содержания
сухих веществ в яблоках
растворенное вещество, а из продукта в раствор - вода. К сожалению,
природа этих процессов сложна, и в литературе нет достаточных данных по этому
вопросу.
Для достижения требуемой активности воды добавляют различные ингредиенты
в продукт, обработанный одним из указанных выше способов, и дают ему
возможность прийти в равновесное состояние, т.к. один лишь процесс сушки часто
не позволяет получить нужную консистенцию. Применяя увлажнители, можно
увеличить влажность продукта, но снизить aw. Потенциальными увлажнителями для
пищевых продуктов являются крахмал, молочная кислота, сахара, глицерин и др.
В табл. 10.8 приведены данные о содержании влаги в некоторых
потенциальных увлажнителях пищевых продуктов при трех уровнях активности воды.
Таблица 10.8. Содержание влаги в некоторых продуктах при комнатной
температуре
|
Продукт
|
Влажность, % СВ, при aw
|
|
0,7
|
0,8
|
0,9
|
|
Глицерин
|
64
|
108
|
215
|
|
Сахароза
|
38
|
56
|
77
|
|
Сахарный гидролизат
|
|
|
|
|
с глюкозным эквивалентом:
|
|
|
|
|
10
|
15
|
23
|
40
|
|
42
|
26
|
37
|
80
|
На рис. 10.12 показано влияние наличия увлажнителей, снижающих активность
воды, на реакцию неферментативного потемнения.
Помимо влияния на химические реакции и рост микроорганизмов, активность
воды имеет значение и для текстуры продуктов. Например, максимальная активность
воды, допустимая в сухих продуктах без потери желаемых свойств, может
изменяться в пределах 0,35-0,5 в зависимости от вида продукта (сухое молоко,
крекеры, инстант-продукты и т.п.).
Рис. 10.12. Неферментативное потемнение желатинированного картофельного
крахмала (λ = 420 нм):
- контроль; 2-е добавлением 10% глицерина; 3 - с добавлением 10% лактата
натрия#
Большая aw необходима для продуктов мягкой текстуры, которые не должны
обладать хрупкими свойствами.
.4 РОЛЬ ЛЬДА
В ОБЕСПЕЧЕНИИ СТАБИЛЬНОСТИ ПИЩЕВЫХ ПРОДУКТОВ
Замораживание является наиболее распространенным способом консервирования
(сохранения) многих пищевых продуктов. Необходимый эффект при этом достигается
в большей степени от воздействия низкой температуры, чем от образования льда.
Образование льда в клеточных структурах пищевых продуктов и гелях имеет два
важных следствия: а) неводные компоненты концентрируются в незамерзающей фазе
(незамерзающая фаза существует в пищевых продуктах при всех температурах
хранения) и б) вся вода, превращаемая в лед, увеличивается ~ на 9% в объеме.
Во время замораживания вода переходит в кристаллы льда различной,
недостаточно высокой степени чистоты. Все неводные компоненты поэтому
концентрируются в уменьшенном количестве незамерзшей воды. Благодаря этому
эффекту, незамерзшая фаза существенно изменяет такие свойства, какрН, титруемая
кислотность, ионная сила, вязкость, точка замерзания, поверхностное натяжение,
окислительно-восстановительный потенциал. Структура воды и взаимодействие
"вода-растворенное вещество" также могут сильно изменяться.
Эти изменения могут увеличить скорости реакций. Таким образом,
замораживание имеет два противоположных влияния на скорость реакций: низкая
температура как таковая будет ее уменьшать, а концентрирование компонентов в
незамерзшей воде - иногда увеличивать (табл. 10.9). Так, в раде исследований
показано увеличение при замораживании скорости реакций неферментативного
потемнения, имеющих место при различных реакциях.
Таблица 10.9. Влияние температуры и концентрирования растворенного
вещества при замораживании на скорость реакций
|
Опыт
|
Изменение скорости,
вызванное
|
Относительное влияние двух
эффектов
|
Общий эффект замораживания
на скорость реакции
|
|
понижением температуры (Т)
|
концентрированием
растворенных веществ и другими эффектами льда (S)
|
|
|
|
1
|
Уменьшение
|
Уменьшение
|
Кооперативное
|
Уменьшается
|
|
2
|
То же
|
Слегка увеличивается
|
T > S
|
Незначительно уменьшается
|
|
3
|
"
|
Средне увеличена
|
T ≈ S
|
Нет влияния
|
|
4
|
"
|
Значительно увеличивается
|
T < S
|
Увеличивается
|
Ускорение процессов неферментативного потемнения при замораживании
представлено ниже:
|
Тип реакции
|
Субстрат
|
|
Кислотный гидролиз
|
Сахароза
|
|
Окисление
|
Аскорбиновая кислота
|
|
Липиды сливочного масла
|
|
Липиды говядины
|
|
Токоферол в жареном
картофеле
|
|
β-
Каротин и витамин А в жирах
|
|
Инсолюбилизация<#"555891.files/image077.gif">
Рис. 10.13. Инсолюбилизация белка в течение 30 дней
При отрицательных температурах, достаточно близких к температуре
замерзания воды (0°С) имеет место увеличение доли несолюбили-зованного белка.
При температуре - 18°С инсолюбилизация белка уменьшается существенно, и это
создает оптимальные условия для хранения продуктов.
.5 МЕТОДЫ
ОПРЕДЕЛЕНИЯ ВЛАГИ В ПИЩЕВЫХ ПРОДУКТАХ
Определение общего содержания влаги
Высушивание до постоянной массы. Содержание влаги рассчитывают по
разности массы образца до и после высушивания в сушильном шкафу при температуре
100 - 105°С. Это - стандартный метод определения влаги в техно-химическом
контроле пищевых продуктов. Поскольку в основе метода лежит высушивание образца
до постоянной массы, метод требует много времени для проведения анализа.
Титрование по модифицированному методу Карла Фишера. Метод основан на
использовании реакции окисления-восстановления с участием иода и диоксида серы,
которая протекает в присутствии воды. Использование специально подобранных
органических реагентов позволяет достигнуть полного извлечения воды из пищевого
продукта, а использование в качестве органического основания имидазола
способствует практически полному протеканию реакции. Содержание влаги в
продукте рассчитывается по количеству иода, затраченному на титрование. Метод
отличается высокой точностью и стабильностью результатов (в том числе при очень
низком содержании влаги) и быстротой проведения анализа.
ГЛАВА 11.
БЕЗОПАСНОСТЬ ПИЩЕВЫХ ПРОДУКТОВ
Проблема безопасности продуктов питания - сложная комплексная проблема,
требующая многочисленных усилий для ее решения, как со стороны ученых -
биохимиков, микробиологов, токсикологов и др., так и со стороны производителей,
санитарно-эпидемиологических служб, государственных органов и, наконец,
потребителей.
Актуальность проблемы безопасности продуктов питания с каждым годом
возрастает, поскольку именно обеспечение безопасности продовольственного сырья
и продуктов питания является одним из основных факторов, определяющих здоровье
людей и сохранение генофонда.
Под безопасностью продуктов питания следует понимать отсутствие опасности
для здоровья человека при их употреблении, как с точки зрения острого
негативного воздействия (пищевые отравления и пищевые инфекции), так и с точки
зрения опасности отдаленных последствий (канцерогенное, мутагенное и
тератогенное действие). Иными словами, безопасными можно считать продукты
питания, не оказывающие вредного, неблагоприятного воздействия на здоровье
настоящего и будущих поколений.
С продуктами питания в организм человека могут поступать значительные
количества веществ, опасных для его здоровья. Поэтому остро стоят проблемы,
связанные с повышением ответственности за эффективность и объективность
контроля качества пищевых продуктов, гарантирующих их безопасность для здоровья
потребителя.
В начале 70-х гг. была разработана концепция критической контрольной
точки при анализе опасного фактора (ККТАОФ), которая призвана обеспечить
безопасность пищевых продуктов. Главные принципы, лежащие в сути этой
концепции, свидетельствуют о том, что основной акцент должен быть сделан на
предупредительный контроль "критических моментов" в производстве
продовольствия, а не на проверку готовой продукции. Согласно концепции ККТАОФ
ответственность за определение критических точек в технологии производства
безопасных пищевых продуктов возлагается на производителей. С другой стороны,
она дает производителям пищевых продуктов возможность повысить эффективность
контроля и, тем самым, обеспечить должную безопасность продуктов питания.
Выявление ККТАОФ складывается из двух основных операций.
Операция 1. Выявление опасных факторов и определение контрольных мер. При
этом необходимо изучить следующие важные обстоятельства:
· состав используемого сырья и компонентов, а также параметры,
которые могут оказывать влияние на безопасность и стойкость продукта;
· параметры и условия процесса производства, влияющие на
опасные факторы или их создающие;
· защита от повторного загрязнения химическими веществами и
микроорганизмами (целостность, проницаемость и безопасность упаковки);
· использование в потребительской практике (размораживание,
подогревание, варка и т. п.);
· группы риска (система общественного питания, дети, пожилые
люди, лица с нарушением иммунной системы, другие категории больных).
Операция 2. Установление критических контрольных точек. При этом
необходимо для каждого опасного фактора на каждой стадии ответить на следующие
вопросы:
· может ли изучаемый опасный фактор появиться в продукте из
сырья или при его переработке и на каком уровне (допустимом или недопустимом)?
· имеет ли состав сырья или рецептура продукта решающее
значение для безопасности продукта?
· обеспечивает ли технологический процесс безопасность готового
продукта за счет снижения уровня опасного фактора или за счет предотвращения
его возрастания до опасного уровня?
Кроме названных двух основных операций ККТАОФ включает также
спецификацию, систему мониторинга, системы устранения недостатков и проверки.
Концепция ККТАОФ за последние 15 лет постоянно уточнялась и недавно
Комиссия Codex Alimentarius опубликовала документ "Система анализа
опасного фактора и контрольной критической точки и руководство для ее
применения". Очевидно, что этот новейший документ будет рассматриваться
как стандарт, и остается надеяться, что внедрение данного подхода позволит
получать более точную, полную и объективную картину, что, в свою очередь,
обеспечит должный контроль качества пищевых продуктов.
.1
КЛАССИФИКАЦИЯ ЧУЖЕРОДНЫХ ВЕЩЕСТВ И ПУТИ ИХ ПОСТУПЛЕНИЯ В ПРОДУКТЫ
Чужеродные химические вещества (ЧХВ) могут попадать в пищу случайно в
виде контаминантов-загрязнителей, например, из окружающей среды или в процессе
технологической обработки при контакте с оборудованием; иногда их вводят
специально в виде пищевых добавок, когда это связано с технологической
необходимостью. Кроме того, в пищевом сырье и готовых продуктах питания могут
содержаться природные компоненты, оказывающие вредное влияние на здоровье
человека.
В целом, классификация вредных и посторонних веществ в сырье, питьевой
воде и продуктах питания может быть представлена в виде схемы (см. рис. 11.1).
Рис. 11.1. Классификация посторонних и вредных веществ пищи
Несмотря на то, что окружающая среда остается главным источником
загрязнения сырья и пищевых продуктов, в настоящее время появляются новые и
модифицируются традиционные технологии получения продуктов питания, которые
часто связаны с применением жестких видов воздействия на сырье и полупродукты,
что, в свою очередь, является не всегда оправданным и приводит в возникновению
токсичных веществ. Кроме того, получили широкое распространение разнообразные
виды непроверенных пищевых добавок и новых упаковочных материалов; появилось
большое число малых предприятий, технологический процесс и качество выпускаемых
продуктов питания на которых плохо контролируется или вообще не контролируется.
Нельзя забывать и об антиалиментарных факторах питания, содержащихся в сырье и
готовых пищевых продуктах и способных оказывать неблагоприятное воздействие на
организм человека.
.2 ОКРУЖАЮЩАЯ
СРЕДА - ОСНОВНОЙ ИСТОЧНИК ЗАГРЯЗНЕНИЯ СЫРЬЯ И ПИЩЕВЫХ ПРОДУКТОВ
Загрязнение продовольственного сырья и пищевых продуктов чужеродными
веществами или ксенобиотиками напрямую зависит от степени загрязнения
окружающей среды.
В результате хозяйственной деятельности человека в биосфере циркулирует
огромное количество различных ксенобиотиков как неорганической, так и
органической природы, обладающих исключительной токсичностью. Антропогенная
токсикация приобрела настолько значительные
Рис. 11.2. Схема поступления ксенобиотиков из окружающей среды в организм
человека по пищевым цепям
масштабы, что наносит ощутимый, реальный вред здоровью человека и грозит
перерасти в экологическую катастрофу.
Ксенобиотики, попадая в окружающую среду в результате антропогенной
деятельности человека, способны накапливаться в почвах, водоемах, с
атмосферными и водными потоками распространяться на тысячи километров.
Передвигаясь по пищевым цепям, ксенобиотики попадают в организм человека и
вызывают серьезные нарушения здоровья - от острых отравлений с летальным
исходом до заболеваний, проявляющихся порой только через годы (см. рис. 11.2).
Меры токсичности веществ
Количественная характеристика токсичности веществ достаточно сложна и
требует многостороннего подхода. Судить о ней приходится по результатам
воздействия вещества на живой организм, для которого характерна индивидуальная
реакция, индивидуальная вариабельность, поскольку в группе испытуемых животных
всегда присутствуют более или менее восприимчивые к действию изучаемого токсина
индивидуумы.
Существуют две основные характеристики токсичности - ЛД50 и ЛД100. ЛД -
аббревиатура летальной дозы, т. е. дозы, вызывающей при однократном введении
гибель 50 или 100% экспериментальных животных. Дозу обычно определяют в
размерности концентрации. Токсичными считают все те вещества, для которых ЛД
мала. Принята следующая классификация веществ по признаку острой токсичности
(ЛД50 для крысы при пероральном введении, мг/кг):
|
Чрезвычайно токсичные
|
< 5
|
|
Высокотоксичные
|
5-50
|
|
Умеренно токсичные
|
50-500
|
|
Малотоксичные
|
500-5000
|
|
Практически нетоксичные
|
5000-15 000
|
|
Практически безвредные
|
> 15 000
|
Величина t0,5 характеризует время полувыведения токсина и продуктов его
превращения из организма. Для разных токсинов оно может составлять от
нескольких часов до нескольких десятков лет.
Кроме ЛД50, ЛД100 и t0,5 в токсикологических экспериментах на животных
принято указывать еще и время 100 или 50% гибели объектов. Но для этого такие
эксперименты должны проводиться в течение многих месяцев и лет, а при
существующем непродолжительном контроле можно отнести к малотоксичным веществам
- высокотоксичные, но проявляющие свое негативное, губительное действие лишь
через длительное время.
Кроме этого, необходимо учитывать еще ряд факторов. Это и
индивидуальность различных экспериментальных животных, и различное
распределение токсинов в органах и тканях, и биотрансформация токсинов, которая
затрудняет их определение в организме.
При хронической интоксикации решающее значение приобретает способность
вещества проявлять кумулятивные свойства, т. е. накапливаться в организме и
передаваться по пищевым цепям. Необходимо также учитывать комбинированное
действие нескольких чужеродных веществ при одновременном и последовательном
поступлении в организм и их взаимодействие с макро- и микронутриентами пищевых
продуктов (т. к. человек может получать в течение всей жизни вместе с пищей
целый комплекс чужеродных веществ либо в виде контаминантов-загрязнителей, либо
в виде добавок к пищевым продуктам).
Комбинированный эффект является результатом физических или химических
взаимодействий, индукции или ингибирования ферментных систем, других
биологических процессов. Действие одного вещества может быть усилено или
ослаблено под влиянием других веществ. Различают два основных эффекта:
антагонизм - эффект воздействия двух или нескольких веществ, при котором одно
вещество ослабляет действие другого вещества (например, действие ртути и селена
в организме животных и человека); синергизм - эффект воздействия, превышающий
сумму эффектов воздействия каждого фактора (например, комбинированное
воздействие хлорсодержащих соединений, фосфорорганических пестицидов,
комбинированное воздействие ксенобиотиков и некоторых медикаментов).
В связи с хроническим воздействием посторонних веществ на организм
человека и возникающей опасностью отдаленных последствий, важнейшее значение
приобретают канцерогенное (возникновение раковых опухолей), мутагенное
(качественные и количественные изменения в генетическом аппарате клетки) и
тератогенное (аномалии в развитии плода, вызванные структурными,
функциональными и биохимическими изменениями в организме матери и плода)
действия ксенобиотиков.
На основе токсикологических критериев (с точки зрения гигиены питания)
международными организациями ООН - ВОЗ, ФАО и др., а также органами
здравоохранения отдельных государств приняты следующие базисные (основные)
показатели: ПДК, ДСД и ДСП (см. гл. 9).
ПДК (предельно-допустимая концентрация) - предельно-допустимые количества
чужеродных веществ в атмосфере, воде, продуктах питания с точки зрения
безопасности их для здоровья человека. ПДК в продуктах питания - установленное
законом предельно-допустимое с точки зрения здоровья человека количество
вредного (чужеродного) вещества. ПДК - это такие концентрации, которые при
ежедневном воздействии в течение сколь угодно длительного времени не могут
вызывать заболеваний или отклонений в состоянии здоровья, обнаруживаемых
современными методами исследований, в жизни настоящего и последующих поколений.
ДСД (допустимая суточная доза) - ежедневное поступление вещества, которое
не оказывает негативного влияния на здоровье человека в течение всей жизни.
ДСП (допустимое суточное потребление) - величина, рассчитываемая как
произведение ДСД на среднюю величину массы тела (60 кг).
Токсичные элементы
Токсичные элементы (в частности, некоторые тяжелые металлы) составляют
обширную и весьма опасную в токсикологическом отношении группу веществ. Обычно
рассматривают 14 элементов: Hg, Pb, Cd, As, Sb, Sn, Zn, Al, Be, Fe, Cu, Ba, Cr,
Tl. Разумеется, не все перечисленные элементы являются ядовитыми, некоторые из
них необходимы для нормальной жизнедеятельности человека и животных. Поэтому
часто трудно провести четкую границу между биологически необходимыми и вредными
для здоровья человека веществами.
В большинстве случаев реализация того или иного эффекта зависит от
концентрации. При повышении оптимальной физиологической концентрации элемента в
организме может наступить интоксикация, а дефицит многих элементов в пище и
воде может привести к достаточно тяжелым и трудно распознаваемым явлениям
недостаточности.
Зависимость вредного или полезного действия некоторых элементов от
концентрации показана на рис. 11.3.
Для веществ, относящихся к так называемым супертоксикантам, плато,
характеризующее норму, отсутствует (или очень короткое), а крутизна нисходящей
ветви характеризует токсичность вещества (рис. 11.4).
Рис. 11.3. Зависимость влияния некоторых элементов от концентрации на
организм человека:- угрожающее действие; II - дефицитное действие; III -
физиологическое действие; IV - токсичное действие; V - летальное действие
Рис. 11.4. Действие токсичных элементов
Загрязнение водоемов, атмосферы, почвы, сельскохозяйственных растений и
пищевых продуктов токсичными металлами происходит за счет:
· выбросов промышленных предприятий (особенно угольной,
металлургической и химической промышленности);
· выбросов городского транспорта (имеется в виду загрязнение
свинцом от сгорания этилированного бензина);
· применения в консервном производстве некачественных
внутренних покрытий и при нарушении технологии припоев;
· контакта с оборудованием (для пищевых целей допускается
весьма ограниченное число сталей и других сплавов).
Для большинства продуктов установлены предельно-допустимые концентрации
(ПДК) токсичных элементов, к детским и диетическим продуктам предъявляются
более жесткие требования.
Наибольшую опасность из вышеназванных элементов представляют ртуть (Hg),
свинец (Рb), кадмий (Cd).
Ртуть. Ртуть - один из самых опасных и высокотоксичных элементов,
обладающий способностью накапливаться в растениях и в организме животных и
человека, т. е. является ядом кумулятивного действия.
Токсичность ртути зависит от вида ее соединений, которые по-разному
всасываются, метаболизируются и выводятся из организма. Наиболее токсичны
алкилртутные соединения с короткой цепью - метилртуть, этилртуть, диметилртуть.
Механизм токсического действия ртути связан с ее взаимодействием с
сульфгидрильными группами белков. Блокируя их, ртуть изменяет свойства или
инактивирует ряд жизненно важных ферментов. Неорганические соединения ртути
нарушают обмен аскорбиновой кислоты, пиридоксина, кальция, меди, цинка, селена;
органические - обмен белков, цистеина, аскорбиновой кислоты, токоферолов,
железа, меди, марганца, селена.
Защитным эффектом при воздействии ртути на организм человека обладают
цинк и, особенно, селен. Предполагают, что защитное действие селена обусловлено
деметилированием ртути и образованием нетоксичного соединения - селено-ртутного
комплекса.
О высокой токсичности ртути свидетельствуют и очень низкие значения ПДК:
0",0003 мг/м3 в воздухе и 0,0005 мг/л в воде. Безопасным уровнем
содержания ртути в крови считают 50-100 мкг/л. Человек получает с суточным
рационом около 0,05 мг ртути, что соответствует рекомендациям ФАО/ВОЗ.
В организм человека ртуть поступает в наибольшей степени с
рыбопродуктами, в которых ее содержание может многократно превышать ПДК. Мясо
рыбы отличается наибольшей концентрацией ртути и ее соединений, поскольку
активно аккумулирует их из воды и корма, в который входят различные
гидробионты, богатые ртутью. Например, хищные пресноводные рыбы могут содержать
от 107 до 509 мкг/кг, нехищные пресноводные рыбы от 78 до 200 мкг/кг, а
океанские нехищные рыбы от 300 до 600 мкг/кг Hg. Организм рыб способен
синтезировать метил-ртуть, которая накапливается в печени. У некоторых видов
рыб в мышцах содержится белок - металлотионеин, который с различными металлами,
в том числе и с ртутью, образует комплексные соединения, способствуя тем самым
накапливанию ртути в организме и передаче ее по пищевым цепям. У таких рыб
содержание ртути достигает очень высоких концентраций: рыба-сабля содержит от
500 до 20 000 мкг/кг, а тихоокеанский марлин от 5000 до 14 000 мкг/кг. Для
других продуктов характерно следующее содержание ртути (мкг/кг). В продуктах
животноводства: мясо 6-20, печень 20-35, почки 20-70, молоко 2-12, сливочное
масло 2-5, яйца 2-15; в съедобных частях сельскохозяйственных растений: овощи
3-59, фрукты 10-124, бобовые 8-16, зерновые 10-103; в шляпочных грибах 6-447, в
перезрелых до 2000 мкг/кг, причем в отличие от растений в грибах может
синтезироваться метилртуть. При варке рыбы и мяса концентрация ртути в них
снижается, при аналогичной обработке грибов остается неизменной. Это различие
объясняется тем, что в грибах ртуть связана с аминогруппами азотсодержащих
соединений, в рыбе и мясе - с серосодержащими аминокислотами.
Свинец. Свинец один из самых распространенных и опасных токсикантов.
История его применения очень древняя, что связано с относительной простотой его
получения и большой распространенностью в земной коре (1,6 · 10-3%). Соединения
свинца - Рb3О4 и PbSO4 - основа широко применяемых пигментов: сурика и
свинцовых белил. Глазури, которые используются для покрытия керамической
посуды, также содержат соединения РЬ. Металлический свинец со времен Древнего
Рима применяют при прокладке водопроводов. В настоящее время перечень областей
его применения очень широк: производство аккумуляторов, электрических кабелей,
химическое машиностроение, атомная промышленность, производство эмалей,
замазок, лаков, хрусталя, пиротехнических изделий, спичек, пластмасс и т. п.
Мировое производство свинца составляет более 3,5 · 106т в год. В результате
производственной деятельности человека в природные воды ежегодно попадает
500-600 тыс. т, а в атмосферу в переработанном и мелкодисперсном состоянии
выбрасывается около 450 тыс. т, подавляющее большинство которого оседает на
поверхности Земли. Основным источником загрязнения атмосферы свинцом являются
выхлопные газы автотранспорта (260 тыс. т) и сжигание каменного угля (около 30
тыс. т). В тех странах, где использование бензина с добавлением тетраэтилсвинца
сведено к минимуму, содержание свинца в воздухе удалось многократно снизить.
Следует подчеркнуть, что многие растения накапливают свинец, который передается
по пищевым цепям и обнаруживается в мясе и молоке сельскохозяйственных
животных, особенно активное накопление свинца происходит вблизи промышленных
центров и крупных автомагистралей.
Ежедневное поступление свинца в организм человека с пищей - 0,1- 0,5 мг,
с водой - 0,02 мг. Содержание свинца (в мг/кг) в различных продуктах таково:
фрукты 0,01-0,6; овощи 0,02-1,6; крупы 0,03-3,0; хлебобулочные изделия
0,03-0,82; мясо и рыба 0,01-0,78; молоко 0,01-0,1. В организме человека
усваивается в среднем 10% поступившего свинца, у детей - 30-40%. Из крови
свинец поступает в мягкие ткани и кости, где депонируется в виде трифосфата.
Механизм токсического действия свинца имеет двойную направленность.
Во-первых, блокада функциональных SH-групп белков и, как следствие, -
инактивация ферментов, во-вторых, проникновение свинца в нервные и мышечные
клетки, образование лактата свинца, затем фосфата свинца, которые создают
клеточный барьер для проникновения ионов Са2+. Основными мишенями при
воздействии свинца являются кроветворная, нервная и пищеварительная системы, а
также почки. Свинцовая интоксикация может приводить к серьезным нарушениям
здоровья, проявляющимся в частых головных болях, головокружениях, повышенной
утомляемости, раздражительности, ухудшении сна, мышечной гипотонии, а в
наиболее тяжелых случаях к параличам и парезам, умственной отсталости.
Неполноценное питание, дефицит в рационе кальция, фосфора, железа, пектинов,
белков (или повышенное поступление кальциферола) увеличивают усвоение свинца, а
следовательно - его токсичность. Допустимая суточная доза (ДСД) свинца
составляет 0,007 мг/кг; величина ПДК в питьевой воде - 0,05 мг/л.
Мероприятия по профилактике загрязнения свинцом сырья и пищевых продуктов
должны включать государственный и ведомственный контроль за промышленными
выбросами свинца в атмосферу, водоемы и почву. Необходимо существенно снизить
или полностью исключить применение тетраэтилсвинца в бензине, свинцовых
стабилизаторах, изделиях из поливинилхлорида, красителях, упаковочных
материалах и т. п.
Кадмий. Кадмий широко применяется в различных отраслях промышленности. В
воздух кадмий поступает вместе со свинцом при сжигании топлива на ТЭЦ, с газовыми
выбросами предприятий, производящих или использующих кадмий. Загрязнение почвы
кадмием происходит при оседании кадмий-аэрозолей из воздуха и дополняется
внесением минеральных удобрений: суперфосфата (7,2 мг/кг), фосфата калия (4,7
мг/кг), селитры (0,7 мг/кг). Заметно содержание кадмия и в навозе, где он
обнаруживается в результате следующей цепи переходов:
воздух-почва-растения-травоядные животные-навоз. В некоторых странах соли
кадмия применяют в качестве антисептических и антгельминтных препаратов в
ветеринарии. Все это определяет основные пути загрязнения кадмием окружающей
среды, а следовательно, продовольственного сырья и пищевых продуктов.
Содержание кадмия (в мкг/кг) в различных продуктах выглядит следующим
образом. Растительные продукты: зерновые 28-95, горох 15- 19, фасоль 5-12,
картофель 12-50, капуста 2-26, помидоры 10-30, салат 17-23, фрукты 9-42,
растительное масло 10-50, сахар 5-31, грибы 100- 500; в продуктах
животноводства: молоко - 2,4, творог - 6,0, яйца 23- 250. Установлено, что примерно
80% кадмия поступает в организм человека с пищей, 20% - через легкие из
атмосферы и при курении. С рационом взрослый человек получает до 150 мкг/кг и
выше кадмия в сутки. В одной сигарете содержится 1,5-2,0 мкг Cd. Подобно ртути
и свинцу, кадмий не является жизненно необходимым металлом. Попадая в организм,
кадмий проявляет сильное токсическое действие, главной мишенью которого
являются почки. Механизм токсического действия кадмия связан с блокадой
сульфгидрильных групп белков; кроме того, он является антагонистом цинка,
кобальта, селена, ингибирует активность ферментов, содержащих указанные
металлы. Известна способность кадмия нарушать обмен железа и кальция. Все это
может привести к широкому спектру заболеваний: гипертоническая болезнь, анемия,
ишемическая болезнь сердца, почечная недостаточность и другие. Отмечены
канцерогенный, мутагенный и тератогенные эффекты кадмия. По рекомендациям ВОЗ
допустимая суточная доза (ДСД) кадмия - 1 мкг/кг массы тела.
Большое значение в профилактике интоксикации кадмием имеет правильное
питание (включение в рацион белков, богатых серосодержащими аминокислотами,
аскорбиновой кислоты, железа, цинка, селена, кальция), контроль за содержанием
кадмия (полярографический, атомно-абсорбционный анализы) и исключение из
рациона продуктов, богатых кадмием.
Алюминий. Первые данные о токсичности алюминия были получены в 70-х гг.
XX в., и это явилось неожиданностью для человечества. Будучи третьим по
распространенности элементом земной коры (8,8% массы земной коры составляет А1)
и обладая ценными качествами, металлический алюминий нашел широкое применение в
технике и быту. Поставщиками алюминия в организм человека является алюминиевая
посуда, если она контактирует с кислой или щелочной средой, вода, которая
обогащается ионами А13+ при обработке ее сульфатом алюминия на
водоочистительных станциях. Существенную роль в загрязнении окружающей среды
ионами А13+ играют и кислотные дожди. Не следует злоупотреблять содержащими
гидроксид алюминия лекарствами: противогеморроидальными, противоартритными,
понижающими кислотность желудочного сока. Как буферную добавку вводят гидроксид
алюминия и в некоторые препараты аспирина и в губную помаду. Среди пищевых
продуктов наивысшей концентрацией алюминия (до 20 мг/г) обладает чай.
Мышьяк. Мышьяк как элемент в чистом виде ядовит только в высоких
концентрациях. Он принадлежит к тем микроэлементам, необходимость которых для
жизнедеятельности организма человека не доказана, а его соединения, такие как
мышьяковистый ангидрид, арсениты и арсенаты, сильно токсичны. Мышьяк содержится
во всех объектах биосферы (в земной коре - 2 мг/кг, в морской воде - 5 мкг/кг).
Известными источниками загрязнения окружающей среды мышьяком являются
электростанции, использующие бурый уголь, медеплавильные заводы; он
используется при производстве полупроводников, стекла, красителей,
инсектицидов, фунгицидов и др.
Нормальный уровень содержания мышьяка в продуктах питания не должен
превышать 1 мг/кг. Так, например, фоновое содержание мышьяка (мг/кг): в овощах
и фруктах 0,01-0,2; в зерновых 0,006-1,2; в говядине 0,005-0,05; в печени 2,0;
яйцах 0,003-0,03; в коровьем молоке 0,005- 0,01. Повышенное содержание мышьяка
отмечается в рыбе и других гидробионтах, в частности в ракообразных и
моллюсках. По данным ФАО/ВОЗ, в организм человека с суточным рационом поступает
в среднем 0,05-0,45 мг мышьяка. ДСД - 0,05 мг/кг массы тела.
В зависимости от дозы мышьяк может вызывать острое и хроническое
отравление, разовая доза мышьяка 30 мг - смертельна для человека. Механизм
токсического действия мышьяка связан с блокированием SH-групп белков и
ферментов, выполняющих в организме самые разнообразные функции.
Радиоактивное загрязнение
Источники радиоактивности, как и другие загрязнители, являются
компонентами пищевых цепей:
атмосфера-ветер-дождь-почва-растения-животные-человек. Анализируя данные о
взаимодействии радионуклидов с компонентами природной среды и организмом
человека, необходимо отметить следующее. Радионуклиды естественного
происхождения постоянно присутствуют во всех объектах неживой и живой природы,
начиная с момента образования нашей планеты. При этом радиационный фон в
различных регионах Земли может отличаться в 10 и более раз. К радионуклидам
естественного происхождения относят, во-первых: космогенные радионуклиды,
главным образом 3Н, 7Ве, 14C,22Na, 24Na; во-вторых: радионуклиды,
присутствующие в объектах окружающей среды (среди них основными источниками
загрязнения пищевых продуктов и облучения человека являются 40К, 238U, 232Th).
Радон - один из первых открытых человеком радионуклидов. Этот благородный
газ образуется при распаде изотопа 226Ra и поступает в организм ингаляционным
путем. Человек контактирует с радоном везде, но главным образом в каменных и
кирпичных жилых зданиях (особенно в подвальных помещениях и на первых этажах),
поскольку главным источником является почва под зданием и строительные
материалы. Радиоактивность (мкЗв/год) строительных материалов такова: дерево 0;
известняк, песчаник 0-100; кирпич, бетон 100-200; естественный камень,
производственный гипс 200-400; шлаковый камень, гранит 400-2000. Высокое
содержание радона может быть в подземных водах. Доступным и эффективным
способом удаления радона из воды является ее аэрация.
В результате производственной деятельности человека, связанной с добычей
полезных ископаемых, сжиганием органического топлива, созданием минеральных
удобрений и т. п., произошло обогащение атмосферы естественными радионуклидами,
причем естественный радиационный фон постоянно меняется.
С момента овладения человеком ядерной энергией в биосферу начали
поступать радионуклиды, образующиеся на АЭС, при производстве ядерного топлива
и испытаниях ядерного оружия. Таким образом, встал вопрос об искусственных
радионуклидах и особенностях их влияния на организм человека. Среди
радионуклидов искусственного происхождения выделяют 21 наиболее
распространенный, 8 из которых составляют основную дозу внутреннего облучения
населения: 14C, 137Cs, 90Sr, 89Sr, 106Ru, 144Ce, 131I,95Zr.
Существуют три пути попадания радиоактивных веществ в организм человека:
а) при вдыхании воздуха, загрязненного радиоактивными веществами; б) через
желудочно-кишечный тракт - с пищей и водой; в) через кожу.
Для наиболее опасных искусственных радионуклидов, к которым следует
отнести долгоживущие 90Sr, 137Cs и короткоживущий 131I, в настоящее время
выявлены закономерности всасывания, распределения, накопления и выделения, а
также механизмы их связи с различными биологическими структурами. Одной из
главных задач по профилактике и снижению степени внутреннего облучения следует
считать уменьшение всасывания радиоактивных элементов при их длительном
поступлении в организм человека с пищевыми продуктами.
Эффект действия ионизирующих излучений на клетку и организм в целом можно
понять, проследив изменения, происходящие на всех этапах следующей цепи:
биомолекулы-клеточный компартмент-клетка-ткани-организм, и установив
взаимосвязь между ними.
Клетка - это слаженная динамическая система биологически важных
макромолекул, которые скомпонованы в компартменты (субклеточные образования),
выполняющие определенные физиологические функции.
Наиболее чувствительными к облучению органеллами клеток организма
млекопитающих являются ядро и митохондрии. Здесь повреждения проявляются в
малые сроки и при малых дозах. Наиболее всего угнетаются процессы
окислительного фосфорилирования, изменяются физико-химические свойства
нуклеопротеидов, в результате чего происходят количественные и качественные
изменения в ДНК, нарушаются процессы транскрипции и трансляции. Кроме этого,
угнетаются энергетические процессы, выброс в цитоплазму ионов К+ и Na+,
нарушаются функции мембран. Одновременно возможны все виды мутаций: геномные
мутации (кратные изменения гаплоидного числа хромосом), хромосомные мутации или
хромосомные аберрации (структурные или численные изменения хромосом), генные
или точковые мутации (изменения молекулярной структуры генов, в результате чего
синтезируются белки, утратившие свою биологическую активность).
Принято рассматривать три этапа радиационного поражения клетки.этап можно
назвать физическим. На этом этапе происходит ионизация и возбуждение
макромолекул; при этом поглощенная энергия реализуется в слабых местах (в
белках - SH-группы, в ДНК - хромофорные группы тимина, в липидах - ненасыщенные
связи).этап - химические преобразования. На этом этапе происходит
взаимодействие радикалов белков, нуклеиновых кислот, липидов с водой,
кислородом, с радикалами воды и т. п. Это в свою очередь приводит к образованию
гидроперекисей, ускоряет процессы окисления, вызывает множественные изменения
молекул. В результате этого начальный эффект многократно усиливается.
Разрушается структура биологических мембран, усиливаются другие процессы
деструкции, высвобождаются ферменты, наблюдается изменение их активности.этап -
биохимический. На этом этапе происходят нарушения, которые связаны с
высвобождением ферментов и изменением их активности. Различные ферментные
системы реагируют на облучение неоднозначно. Активность одних ферментов после
облучения возрастает, других
снижается, третьих - остается неизменной. К числу наиболее
радиочувствительных процессов в клетке относится окислительное
фосфорилирование. Нарушение этого процесса отмечается через 20-30 минут при
дозе облучения 100 рад. Оно проявляется в повреждении системы генерирования
АТФ, без которой не обходится ни один процесс жизнедеятельности.
Высокой чувствительностью обладают ДНК-комплексы (ДНК клеточного ядра в
комплексе со щелочными белками, РНК, ферментами). Предполагается, что в этом
случае в первую очередь поражаются связи белок-белок и белок-ДНК.
Облучение целостного организма приводит к снижению гликогена в скелетных
мышцах, печени и ряде других тканей в результате нейрогуморальной реакции на
облучение. Кроме этого обнаруживается нарушение процессов распада глюкозы
(гликолиз) и высокополимерных полисахаридов.
При действии ионизирующих излучений на липиды происходит образование
перекисей. Схема реакций в этом случае может быть представлена следующим
образом:
→ R и ROOH → ROO' - начальное образование радикалов;+ О2 →
RО2; и ROO + RH → ROOH + R - цепные реакции.
Этим процессам придают особое значение в развитии лучевого поражения, т.
к. это приводит к разрушению клеточных мембран и гибели клетки.
В организме при его облучении наблюдается снижение общего содержания
липидов, их перераспределение между различными тканями с увеличением уровня в
крови и печени (что, вероятно, связано с изменениями углеводного обмена). Кроме
того, наблюдается угнетение ряда антиоксидантов, что, в свою очередь, также
способствует образованию токсичных гидроперекисей.
По характеру распределения в организме человека радиоактивные вещества
можно условно разделить на следующие три группы.
. Отлагающиеся преимущественно в скелете (так называемые остеотропные
изотопы - стронций, барий, радий и другие).
. Концентрирующиеся в печени (церий, лантан, плутоний и другие).
. Равномерно распределяющиеся по системам (водород, углерод, инертные
газы, железо и другие). Причем одни имеют тенденцию к накоплению в мышцах (калий,
рубидий, цезий), а другие - в селезенке, лимфатических узлах, надпочечниках
(ниобий, рутений).
Особое место занимает радиоактивный иод - он селективно аккумулируется
щитовидной железой.
Если принять в качестве критерия чувствительности к ионизирующему
излучению морфологические изменения, то клетки и ткани организма человека по
степени возрастания чувствительности можно расположить в следующем порядке:
нервная ткань, хрящевая и костная ткани, мышечная ткань, соединительная ткань,
щитовидная железа, пищеварительные органы, легкие, кожа, слизистые оболочки,
половые железы, лимфоидная ткань, костный мозг.
Из вышесказанного вытекают следующие направления по профилактике
радиоактивного загрязнения окружающей среды: охрана атмосферы Земли как
природного экрана, предохраняющего от губительного космического воздействия
радиоактивных частиц; соблюдение глобальной техники безопасности при добыче,
использовании и хранении радиоактивных элементов, применяемых человеком в
процессе его жизнедеятельности.
Важнейшим фактором предотвращения накопления радионуклидов в организме
людей является питание. Это и употребление в пищу определенных продуктов и их
отдельных компонентов. Особенно это касается защиты организма от долгоживущих
радионуклидов, которые способны мигрировать по пищевым цепям, накапливаться в
органах и тканях, подвергать хроническому облучению костный мозг, костную ткань
и т. п. Установлено, что обогащение рациона рыбой, кальцием, фтором, витаминами
А, Е, С, которые являются антиоксидантами, а также неусвояемыми углеводами
(пектин) способствует снижению риска онкологических заболеваний, играет большую
роль в профилактике радиоактивного
Рис. 11.5. Современная концепция радиозащитного питания
воздействия наряду с радиопротекторами, к которым относятся вещества
различной химической природы, в том числе и серосодержащие соединения, такие
как цистеин и глутатион.
В настоящее время разработана современная концепция радиозащитного
питания (рис. 11.5), которая базируется на трех основных положениях:
а) максимально возможное уменьшение поступления радионуклидов с пищей;
б) торможение процессов сорбции и накопления радионуклидов в организме;
в) соблюдение принципов рационального питания.
Диоксины и диоксинподобные соединения
Диоксины - высокотоксичные соединения, обладающие мутагенными,
канцерогенными и тератогенными свойствами. Они представляют реальную угрозу
загрязнения пищевых продуктов, включая воду.
Диоксины
являются побочными продуктами производства пластмасс, пестицидов, бумаги,
дефолиантов.<#"555891.files/image083.gif">
Кроме
этих двух основных соединений возможны различные сочетания. Например:
В
родственных полихлорированных бифенилах два ароматических кольца связаны
обычной химической связью:
Таким
образом, под диоксинами следует понимать не какое-либо конкретное вещество, а
несколько десятков семейств, включающих трициклические кислородсодержащие
ксенобиотики, а также семейство бифенилов, не содержащих атомы кислорода. Это
75 полихлорированных дибензодиоксинов, 135 полихлорированных дибензофуранов,
210 веществ из броморганических семейств, несколько тысяч смешанных бром-и
хлорсодержащих соединений. Нельзя забывать и об изомерии: наряду с ТХДД
существует 22 изомера, для ТХДФ - 38 изомеров.
При
попадании в окружающую среду диоксины интенсивно накапливаются в почве,
водоемах, активно мигрируют по пищевым цепям (рис. 11.6).
Рис.
11.6. Поступление диоксинов и передача их по пищевым цепям
В
организм человека диоксины попадают в основном с пищей. Среди основных
продуктов опасные концентрации диоксинов обнаруживают в животных жирах, в мясе,
молочных продуктах, рыбе (содержание диоксина будет определяться жирностью этих
продуктов, т. к. диоксины - жирорастворимые соединения). В коровьем молоке
содержание диоксинов в 40-200 раз превышает их наличие в тканях животного.
Источниками диоксинов могут быть и корнеплоды (картофель, морковь и другие).
Для
диоксинов не существует таких норм как ПДК - эти вещества токсичны при любых
концентрациях, меняются лишь формы ее проявления. Диоксины обладают широким
спектром биологического действия на человека и животного. В малых дозах
вызывают мутагенный эффект, отличаются кумулятивными свойствами, ингибирующим
или индуцирующим действием на различные ферментные системы организма. Их
опасность очень велика и не случайно диоксины и диоксинподобные соединения
относят к группе суперэкотоксикантов.
В
целом, установление санитарных норм по диоксину в различных странах базируется
на разных критериях. В Европе как основной принят показатель онкогенности (то
есть за основу берут возможность возникновения раковых опухолей), в США -
показатель иммунотоксичности (то есть угнетение иммунной системы). Расчет ДСД
(допустимой суточной дозы) ведется таким образом, чтобы за 70 лет жизни в
организм человека поступило не больше 10-11 г/кг в день.
В
борьбе с диоксинами уже достигнуты определенные успехи. Это произошло благодаря
тому, что не только ученые, но и правительства многих стран осознали опасность
общепланетарного отравления среды диоксинами. Во многих странах мира (и в
России в том числе) проводится экологический мониторинг по диоксинам в
различных отраслях промышленности. В соответствии с полученными данными
решаются вопросы совершенствования тех или иных технологических процессов. В
США и в странах Западной Европы ведется кампания за сортировку бытовых отходов,
отделение пластмассовых изделий (в Швеции, например, это практикуется уже
многие годы). Кроме того, шведам удалось найти способ получения бездиоксиновой
бумаги. В ФРГ, США, Нидерландах, Японии после реконструкции мусоросжигательных
заводов удалось свести образование диоксинов до минимума, во Франции
разработаны антидиоксиновые фильтры.
В
заключение нельзя не отметить явление синергизма - эффекта воздействия,
превышающего сумму эффектов воздействия каждого из факторов. Такими
синергистами по отношению к диоксину могут являться: радиация, свинец, кадмий,
ртуть, нитраты, хлорфенолы, соединения серы (II).
<#"555891.files/image087.gif">
где R1 и R2 - алкильные, арильные, гетероциклические радикалы.
В зависимости от природы радикала могут образовываться разнообразные
нитрозоамины, 80% из которых обладают канцерогенным, мутагенным, тератогенным
действием, причем канцерогенное действие этих соединений определяющее.
Нитрозоамины могут образовываться в окружающей среде, так, с суточным
рационом человек получает примерно 1 мкг нитрозосоединений, с питьевой водой -
0,01 мкг, с вдыхаемым воздухом - 0,3 мкг, но эти значения могут значительно
колебаться в зависимости от степени загрязнения окружающей среды. В результате
технологической обработки сырья, полуфабрикатов (интенсивная термическая
обработка, копчение, соление, длительное хранение и т. п.), образуется широкий
спектр нитрозосоединений. Кроме этого, нитрозоамины образуются в организме
человека в результате эндогенного синтеза из предшественников (нитраты,
нитриты).
Наибольшее распространение получили такие нитрозосоединения как
N-нитрозодиметиламин (НДМА), N-нитрозодиэтиламин (НДЭА), N-нитрозодипропиламин
(НДПА), N-нитрозодибутиламин (НДБА), N-нитрозопиперидин (НПиП),
N-нитрозопирролидин (НПиР).
Основными источниками поступления нитратов и нитритов в организм человека
являются, в первую очередь, растительные продукты. И поскольку нитраты, как
отмечалось выше, являются нормальным продуктом обмена азота в растениях,
нетрудно предположить, что их содержание зависит от следующих факторов:
· индивидуальные особенности растений; существуют так
называемые "растения накопители нитратов", это, в первую очередь,
листовые овощи, а также корнеплоды, например свекла и др.;
· степень зрелости плодов; недозрелые овощи, картофель, а также
овощи ранних сроков созревания могут содержать нитратов больше, чем достигшие
нормальной уборочной зрелости;
· возрастающее и часто бесконтрольное применение азотистых
удобрений (имеется в виду неправильная дозировка и сроки внесения удобрений);
· использование некоторых гербицидов, например 2,4-D
(дихлорфеноксиуксусная кислота), и дефицит молибдена в почве нарушают обмен
веществ в растениях, что приводит к накоплению нитратов.
Помимо растений, источниками нитратов и нитритов для человека являются
мясные продукты, а также колбасы, рыба, сыры, в которые добавляют нитрит натрия
или калия в качестве пищевой добавки - как консервант или для сохранения
привычной окраски мясопродуктов, т. к. образующийся при этом NO-миоглобин
сохраняет красную окраску даже после тепловой денатурации, что существенно
улучшает внешний вид и товарные качества мясопродуктов.
Ниже представлены данные института питания РАМН [Рыбальский М. Г.,
Савицкий А. И. и др., 1994] по содержанию нитратов (мг/кг) в продовольственном
сырье и пищевых продуктах:
|
Овощи
|
|
Соки консервированные:
|
|
|
Свекла
|
39-7771
|
плодово-ягодные
|
0-56
|
|
Репа
|
82-5429
|
плодово-овощные
|
29-64
|
|
|
овощные
|
10-108
|
|
Редис
|
41-4527
|
|
|
|
Редька
|
98-2731
|
Фрукты и ягоды
|
|
|
Капуста свежая:
|
|
Яблоки
|
2,7-55,0
|
|
ранняя
|
509-1010
|
Груши
|
1,5-6,5
|
|
поздняя
|
14-3467
|
Слива
|
2,5-3,1
|
|
Картофель
|
4-1218
|
Хурма
|
2,9-4,3
|
|
Морковь
|
15-900
|
Облепиха
|
1,9-2,5
|
|
Огурцы:
|
|
Клюква
|
2,5-3,3
|
|
закрытый грунт
|
67-765
|
Черника
|
2,6-4,0
|
|
открытый грунт
|
48-258
|
Брусника
|
3,1-4,5
|
|
Кабачки
|
291-672
|
Рябина черноплодная
|
2,6-3,0
|
|
Перец сладкий
|
10-517
|
|
|
|
Томаты
|
3-365
|
Молочные продукты
|
|
|
Баклажаны
|
42-284
|
Молоко пастеризованное
|
1,1-14,0
|
|
Капуста квашеная
|
46-320
|
Кисломолочные продукты
|
0,5-6,0
|
|
Огурцы соленые
|
83-120
|
Творожные изделия
|
1,5-6,5
|
|
Лук репчатый
|
0-150
|
Молоко сухое, цельное
|
1,0-35
|
|
Укроп
|
30-4074
|
Сыры
|
1,5-2,0
|
|
Петрушка
|
388-2022
|
|
|
|
Лук перо
|
71-1486
|
Мясные продукты
|
|
|
Сельдерей
|
701-968
|
Говядина свежая
|
0-4,0
|
|
Шпинат
|
621-2417
|
Сосиски
|
2,5-3,9
|
|
Кинза
|
520-1240
|
Колбаса
"Докторская" .
|
2,4-5,8
|
|
Щавель
|
53-875
|
Свинина
|
1,4-5,4
|
|
Дыня
|
3-120
|
Мясо куриное
|
2,1-4,0
|
|
Арбуз
|
6-94
|
Рыба свежая:
|
|
|
Тыква
|
14-410
|
речная
|
3-43
|
|
Зерно: мягкой пшеницы
|
1,2-15
|
морская
|
14-21
|
|
твердой пшеницы
|
1,1-8,4
|
Макароны
|
1,5-7,7
|
|
Мука пшеничная
|
2,5-19,0
|
Хлеб: свежий
|
1,9-6,7
|
|
Консервы овощемясные
|
47-320
|
высушенный
|
0,9-8,1
|
Для предотвращения образования N-нитрозосоединений в организме человека
реально лишь снизить содержание нитратов и нитритов, т. к. спектр нитрозируемых
аминов и амидов слишком обширен. Существенное снижение синтеза
нитрозосоединений может быть достигнуто путем добавления к пищевым продуктам
аскорбиновой или изоаскорбиновой кислоты или их натриевых солей.
Регуляторы роста растений. Регуляторы роста растений (РРР) - это
соединения различной химической природы, оказывающие влияние на процессы роста
и развития растений и применяемые в сельском хозяйстве с целью увеличения
урожайности, улучшения качества растениеводческой продукции, облегчения уборки
урожая, а в некоторых случаях для увеличения сроков хранения растительных
продуктов.
К этой группе можно отнести и некоторые гербициды (например, 2,4-D),
которые в зависимости от концентрации могут проявлять и стимулирующее действие.
Регуляторы роста растений можно разделить на две группы: природные и
синтетические.
Природные РРР - это естественные компоненты растительных организмов,
которые выполняют функцию фитогормонов: ауксины, гиберрелины, цитокинины,
абсциссовая кислота, эндогенный этилен и др. В процессе эволюции в организме
человека выработались соответствующие механизмы биотрансформации, и поэтому
природные РРР не представляют какой-либо опасности для организма человека.
Синтетические РРР - это соединения, являющиеся с физиологической точки
зрения аналогами эндогенных фитогормонов, либо соединения, способные влиять на
гормональный статус растений. Их получают химическим или микробиологическим
путем. Наиболее важные РРР, выпускаемые промышленно под различными
коммерческими названиями, в своей основе являются производными арил- или
арилокси-алифатических карбоновых кислот, индола, пиримидина, пиридазина,
пирадола. Например, широко используются препараты - производные сульфанил
мочевины.
Синтетические РРР, в отличие от природных, оказывают негативное влияние
на организм человека как ксенобиотики. Однако степень опасности большинства РРР
до конца не изучена, предполагается возможность их отрицательного влияния на
внутриклеточный обмен за счет образования токсичных промежуточных соединений. Кроме
того, некоторые синтетические РРР сами могут проявлять токсические свойства.
Они обладают повышенной стойкостью в окружающей среде и сельскохозяйственной
продукции, где обнаруживаются в остаточных количествах. Это, в свою очередь,
увеличивает их потенциальную опасность для здоровья человека.
Загрязнение веществами, применяемыми в животноводстве
С целью повышения продуктивности сельскохозяйственных животных,
профилактики заболеваний, сохранения качества кормов в животноводстве широко
применяются различные лекарственные и химические препараты. Это
антибактериальные вещества (антибиотики, сульфаниламиды, нитрофураны),
гормональные препараты, транквилизаторы, антиоксиданты и другие.
Антибиотики. Встречающиеся в пищевых продуктах антибиотики могут иметь
следующее происхождение:
) естественные антибиотики;
) образующиеся в результате производства пищевых продуктов;
) попадающие в пищевые продукты в результате лечебно-ветеринарных
мероприятий;
) попадающие в пищевые продукты при использовании их в качестве биостимуляторов;
) применяемые в качестве консервирующих веществ.
К первой группе относятся природные компоненты некоторых пищевых
продуктов с выраженным антибиотическим действием. Например, яичный белок,
молоко, мед, лук, чеснок, фрукты, пряности содержат естественные антибиотики.
Эти вещества могут быть выделены, очищены и использованы для консервирования
пищевых продуктов и для лечебных целей.
Ко второй группе относятся вещества с антибиотическим действием,
возникающие при микробно-ферментативных процессах. Например, при ферментации
некоторых видов сыров.
Третья группа - антибиотики, попадающие в пищевые продукты в результате
лечебно-ветеринарных мероприятий. В настоящее время около половины производимых
в мире антибиотиков применяются в животноводстве. Антибиотики способны
переходить в мясо животных, яйца птиц, другие продукты и оказывать токсическое
действие на организм человека. Особое значение имеет загрязнение молока
пенициллином, который очень широко используется для терапевтических целей в
борьбе со стафилококковой инфекцией.
Четвертая группа - антибиотики-биостимуляторы, которые добавляют в корм
для улучшения усвояемости кормов и стимуляции роста. При этом улучшается баланс
азота и выравнивается дефицит витаминов группы В. В качестве биостимуляторов
чаще всего используют хлортетрациклин и окситетрациклин:
Действие антибиотиков заключается не в прямой стимуляции роста, а в
снижении различных факторов, препятствующих росту, например в подавлении
бактерий, мешающих усвоению кормов.
К пятой группе относятся антибиотики-консерванты, которые добавляют в
пищевые продукты с целью предупреждения порчи последних. Для этой цели, как
показали многочисленные исследования, наиболее приемлемы антибиотики из группы
тетрациклинов (хлортетрациклин, террамицин). Кроме того, предлагается
использовать пенициллин, стрептомицин, левомицитин, грамицидин при следующих
видах обработки:
· орошение или погружение мяса в раствор антибиотика (так
называемая акронизация);
· инъекции (внутривенно и внутримышечно);
· использование льда, содержащего антибиотик, - при
транспортировке и хранении (используется в основном для рыбной продукции);
· добавка растворов антибиотиков к различным пищевым продуктам
(молоку, сыру, овощным консервам, сокам, пиву);
· опрыскивание свежих овощей.
В некоторых странах применение антибиотиков в качестве консервантов
запрещено.
Сульфаниламиды. Антимикробное действие сульфаниламидов менее эффективно,
чем действие антибиотиков, но они дешевы и более доступны для борьбы с
инфекционными заболеваниями животных. Сульфаниламиды способны накапливаться в
организме животных и птицы и загрязнять животноводческую продукцию: мясо,
молоко, яйца.
Наиболее часто обнаруживаются следующие сульфаниламиды: сульфаметазин,
сульфадиметоксин, сульфаметозин, сульфахиноксазалин. Допустимый уровень
загрязнения мясных продуктов препаратами этого класса - менее 0,1 мг/кг, молока
и молочных продуктов - 0,01 мг/кг.
Нитрофураны. Наибольшую антибактериальную активность проявляют
5-нитро-2-замещенные фураны. Считается, что остатки этих лекарственных
препаратов не должны содержаться в пище человека. В связи с этим отсутствуют
ПДК этих препаратов. Однако имеются данные о загрязнении продуктов
животноводства такими препаратами, как фуразолидон, нитрофуран, нитрофазол.
Гормональные препараты. Гормональные препараты используют в ветеринарии и
животноводстве для улучшения усвояемости кормов, стимуляции роста животных,
ускорения полового созревания. Ряд гормональных препаратов обладают ярко
выраженной анаболитической активностью. Это и белковые, и полипептидные
гормоны, а также стероидные гормоны, их производные и аналоги. Естественным
следствием применения гормонов в животноводстве является проблема загрязнения
ими продовольственного сырья и пищевых продуктов.
В настоящее время созданы синтетические гормональные препараты, которые
по анаболитическому действию значительно эффективнее природных гормонов. Этот
факт, а также дешевизна их синтеза определили интенсивное внедрение этих
препаратов в практику животноводства. Однако, в отличие от природных аналогов,
многие синтетические гормоны оказались более устойчивыми, они плохо
метаболизируются, накапливаются в организме животных в больших количествах и
передаются по пищевым цепям. Следует особо отметить, что синтетические
гормональные препараты стабильны при приготовлении пищи и способны вызывать
дисбаланс в обмене веществ и физиологических функциях организма человека.
Медико-биологическими требованиями определены следующие допустимые уровни
содержания гормональных препаратов в продуктах питания (мг/кг, не более): мясо
сельскохозяйственных животных, птицы (продукты их переработки) - эстрадиол 17(3
- 0,0005; тестостерон - 0,015; молоко, молочные продукты, казеин - эстрадиол
17(3 - 0,0002; масло коровье - эстрадиол 170 - 0,0005.
Транквилизаторы. Успокаивающие средства, бензгидрильные и бензгидроловые
транквилизаторы, седативные и гипнотические препараты применяются с целью
предупреждения стрессовых состояний у животных, например при транспортировке
или перед забоем. Их применение должно проводиться под строгим контролем, так
как они способны оказывать негативное воздействие на организм человека. Для
того чтобы мясо не содержало остатков этих препаратов, они должны быть отменены
не менее, чем за 6 дней до забоя животного.
Антиоксиданты в пище животных. Различные синтетические вещества добавляют
в корм животных для защиты окисляемых компонентов, причем в каждом конкретном
случае их выбирают специально в зависимости от особенностей корма и степени
окислительных процессов. Например: бутилгидроксианизол является наиболее применяемым
антиоксидантом в неевропейских странах. Так, 50% производимого в США свиного
жира содержит это вещество; его используют в качестве пропитывающего вещества
упаковочных материалов для хлопьев из зерновых, шоколадных изделий, кексов и
др. (0,5 г на 1 кг упаковочного материала). Нередко бутилгидроксианизол
применяют в смеси с другими антиокислителями: бутилгидрокситолуолом,
пропилгаллатом, лимонной кислотой. Экспертный комитет ФАО/ВОЗ по пищевым
добавкам установил ДСП (для группы из 4 антиоксидантов) - 3 г/кг массы тела.
Систематическое употребление продуктов питания, загрязненных
антибиотиками, сульфаниламидами, гормональными препаратами, транквилизаторами и
другими препаратами, ухудшает их качество, затрудняет проведение
санитарно-ветеринарной экспертизы этих продуктов, приводит к возникновению
резистентных форм микроорганизмов, является причиной дисбактериозов. Поэтому
очень важно обеспечить необходимый контроль остаточных количеств этих
загрязнителей в продуктах питания, используя для этого быстрые и надежные
методы.
.3 ПРИРОДНЫЕ
ТОКСИКАНТЫ
Природные токсины, не уступающие по канцерогенной активности
антропогенным ксенобиотикам, из-за своей широкой распространенности и очень
высокой степени нагрузки на организм человека представляют огромный риск для
здоровья населения планеты. Это касается не только развивающихся стран, но и
стран с развитой рыночной экономикой.
При остром воздействии наибольшую опасность представляют бактериальные
токсины. С точки зрения хронического воздействия и опасности отдаленных
последствий на первое место по степени риска выходят микотоксины.
Бактериальные токсины
Бактериальные токсины загрязняют пищевые продукты и являются причиной
острых пищевых интоксикаций. Рассмотрим наиболее часто регистрируемые
интоксикации, связанные с поражением пищевых продуктов некоторыми
бактериальными токсинами.aureus - грамположительные бактерии, являются причиной
стафилококкового пищевого отравления. Продуцируют семь энтеротоксинов: А, В,
С,, С2, D, Е, которые представляют собой полипептиды с молекулярной массой 26
360-28 500 дальтон. Энтеротоксины S. aureus термостабильны и инактивируются
лишь после 2-3 часового кипячения. Бактерицидным действием по отношению к
стафилококкам обладают уксусная, лимонная, фосфорная, молочная кислоты при рН
до 4,5. Кроме того, жизнедеятельность бактерий прекращается при концентрации
соли (NaCl) - 12%, сахара - 60-70%, вакуумная упаковка также ингибирует рост
бактерий. Все это необходимо учитывать в различных технологиях консервирования,
как в промышленном масштабе, так и в домашних условиях.
Наиболее благоприятной средой для роста и развития стафилококков являются
молоко, мясо и продукты их переработки, а также кондитерские кремовые изделия,
в которых концентрация сахара составляет менее 50%. Стафилококковые энтеротоксины
являются причиной 27- 45% всех пищевых токсикоинфекций.botulinum продуцирует
токсины, представляющие особую опасность для человека. Эти микроорганизмы
являются облигатными анаэробами с термостабильными спорами. Различают А, В, С,
D, E, F и G виды ботулотоксинов, причем наибольшей токсичностью обладают
токсины А и Е. Ботулотоксины имеют белковую природу, молекулярная масса порядка
150 кДа.
Они поражают рыбные, мясные продукты, фруктовые, овощные и грибные
консервы при недостаточной тепловой обработке и в условиях резкого снижения
содержания кислорода (герметично закупоренные консервы). Кроме того,
ботулотоксины характеризуются высокой устойчивостью к действию протеолитических
ферментов, кислот, низких температур, но инактивируются под влиянием щелочей и
высоких температур (80°С - 30 мин; 100°С - 15 мин).
Ботулизм встречается довольно часто (500-600 случаев в год), летальность
достигает порядка 7-9%.
К токсинообразующим микроорганизмам, вызывающим пищевые отравления у
человека, относятся также Clostridium perfringens - споро-образующие анаэробные
грамположительные бактерии, которые продуцируют большое число энтеротоксинов.
Патогенные штаммы Escherichia coli являются продуцентами термостабильных
токсинов полипептидной природы с молекулярной массой от 4 до 10 кДа и способны
вызывать как острые токсиноинфекции, так и являться причиной хронической
интоксикации, в частности, являться причиной хронической почечной
недостаточности.
Сырое молоко, мясо и мясные продукты, а также вода могут быть причиной
возникновения заболеваний, связанных с присутствием патогенных штаммов Е. coli.
Микотоксины
Микотоксины (от греч. mukes - гриб и toxicon - яд) - это вторичные
метаболиты микроскопических плесневых грибов, обладающие выраженными
токсическими свойствами. Они не являются эссенциальны-ми для роста и развития
продуцирующих их микроорганизмов.
В настоящее время из кормов и продуктов питания выделено около 250 видов
плесневых грибов, большинство из которых продуцирует высокотоксичные
метаболиты, в том числе около 120 микотоксинов. Предполагают, что с
биологической точки зрения микотоксины выполняют в обмене веществ
микроскопических грибов функции, направленные на выживание и
конкурентоспособность в различных экологических нишах.
С гигиенических позиций - это особо опасные токсические вещества,
загрязняющие корма и пищевые продукты. Высокая опасность микотоксинов
выражается в том, что они обладают токсическим эффектом в чрезвычайно малых
количествах и способны весьма интенсивно диффундировать в глубь продукта.
В настоящее время еще не сформирована единая классификация и номенклатура
микотоксинов. В одних случаях в основу группового деления микотоксинов положена
их химическая структура, в других - характер действия, в третьих - видовая
принадлежность грибов-продуцентов.
Афлатоксины. Афлатоксины представляют собой одну из наиболее опасных
групп микотоксинов, обладающих сильными канцерогенными свойствами.
Структура и продуценты афлатоксинов. В настоящее время семейство
афлатоксинов включает четыре основных представителя (афлатоксины В1, В2, G1,
G2) и еще более 10 соединений, являющихся производными или метаболитами
основной группы (М1, М2, В2а, G2a, GM1, Р1, Q1 и другие).
По своей химической структуре афлатоксины являются фурокумаринами. Это
видно из приведенных ниже структурных формул.
Продуцентами афлатоксинов являются некоторые штаммы 2 видов
микроскопических грибов: Aspergillus flavus (Link.) и Aspergillus parasiticus
(Speare).
Физико-химические свойства афлатоксинов. Афлатоксины обладают
способностью сильно флуоресцировать при воздействии длинноволнового
ультрафиолетового излучения. Афлатоксины В1 и В2 обладают сине-голубой
флуоресценцией, G1 и G2 - зеленой флуоресценцией, М1 и М2 - сине-фиолетовой.
Это свойство лежит в основе практически всех физико-химических методов их обнаружения
и количественного определения.
Афлатоксины слаборастворимы в воде (10-20 мкг/мл), нерастворимы в
неполярных растворителях, но легко растворяются в растворителях средней
полярности, таких как хлороформ, метанол и др. В химически чистом виде они
относительно нестабильны и чувствительны к действию воздуха и света, особенно к
ультрафиолетовому облучению. Растворы афлатоксинов стабильны в хлороформе и
бензоле в течение нескольких лет при хранении в темноте и на холоде.
Следует обратить особое внимание на то, что афлатоксины практически не
разрушаются в процессе обычной кулинарной и технологической обработки
загрязненных пищевых продуктов.
Факторы, влияющие на токсинообразование. Продуценты афлатоксинов -
микроскопические грибы рода Aspergillus могут достаточно хорошо развиваться и
образовывать токсины на различных естественных субстратах (продовольственное
сырье, пищевые продукты, корма), причем не только в странах с тропическим и
субтропическим климатом, как полагали ранее, но практически повсеместно, за исключением,
быть может, наиболее холодных районов Северной Европы и Канады.
Оптимальной температурой для образования токсинов является температура
27-30°С, хотя синтез афлатоксинов возможен и при более низкой (12-13°С) или при
более высокой (40-42°С) температуре. Например, в условиях производственного
хранения зерна максимальное образование афлатоксинов происходит при температуре
35-45°С, что значительно превышает температурный оптимум, установленный в
лабораторных условиях.
Другим критическим фактором, определяющим рост микроскопических грибов и
синтез афлатоксинов, является влажность субстрата и атмосферного воздуха.
Максимальный синтез токсинов наблюдается обычно при влажности выше 18% для
субстратов, богатых крахмалом (пшеница, ячмень, рожь, овес, рис, кукуруза,
сорго), и выше 9-10% - для субстратов с высоким содержанием липидов (арахис,
подсолнечник, семена хлопчатника, различные виды орехов). При относительной
влажности атмосферного воздуха ниже 85% синтез афлатоксинов прекращается.
Биологическое действие афлатоксинов. Действие афлатоксинов на организм
животных и человека может быть охарактеризовано с двух позиций. Во-первых, с
точки зрения острого токсического действия и, во-вторых, с точки зрения оценки
опасности отдаленных последствий. Острое токсическое действие афлатоксинов
связано с тем, что они являются одними из наиболее сильных гепатропных ядов,
органом-мишенью которых является печень. Отдаленные последствия действия
афлатоксинов проявляются в виде канцерогенного, мутагенного и тератогенного
эффектов.
Механизм действия афлатоксинов. Афлатоксины или их активные метаболиты
действуют практически на все компоненты клетки. Афлатоксины нарушают
проницаемость плазматических мембран. В ядрах они связываются с ДНК, ингибируют
репликацию ДНК, ингибируют активность ДНК-зависимой-РНК-полимеразы - фермента,
осуществляющего синтез матричной РНК, и тем самым подавляют процесс
транскрипции. В митохондриях афлатоксины вызывают повышение проницаемости
мембран, блокируют синтез митохондриальных ДНК и белка, нарушают функционирование
системы транспорта электронов, вызывая тем самым энергетический голод клетки. В
эндоплазматическом ретикулуме под воздействием афлатоксинов наблюдаются
патологические изменения: ингибируется белковый синтез, нарушается регуляция
синтеза триглициридов, фосфолипидов и холестерина. Афлатоксины оказывают прямое
действие на лизосомы, что приводит к повреждению их мембран и высвобождению
активных гидролитических ферментов, которые, в свою очередь, расщепляют
клеточные компоненты.
Все вышеперечисленные нарушения приводят к так называемому
метаболистическому хаосу и гибели клетки.
Одним из важных доказательств реальной опасности афлатоксинов для
здоровья человека явилось установление корреляции между частотой и уровнем
загрязнения пищевых продуктов афлатоксинами и частотой первичного рака печени
среди населения.
Загрязнение пищевых продуктов афлатоксинами. Как уже отмечалось,
продуценты афлатоксинов встречаются повсеместно и этим объясняются значительные
масштабы загрязнения кормов и пищевых продуктов и их существенная роль в
создании реальной опасности для здоровья человека.
Частота обнаружения и уровень загрязнения афлатоксинами в значительной
степени зависят от географических и сезонных факторов, а также от условий
выращивания, уборки и хранения сельскохозяйственной продукции.
В природных условиях чаще и в наибольших количествах афлатоксины
обнаруживаются в арахисе, кукурузе, семенах хлопчатника. Кроме того, в
значительных количествах они могут накапливаться в различных орехах, семенах
масличных культур, пшенице, ячмене, зернах какао и кофе.
В кормах, предназначенных для сельскохозяйственных животных, афлатоксины
также обнаруживаются достаточно часто и в значительных количествах. Во многих
странах с этим связано и обнаружение афлатоксинов в продуктах животного
происхождения. Например, в молоке и тканях сельскохозяйственных животных,
получавших корма, загрязненные микотоксинами, обнаружен афлатоксин М,. Причем
афлатоксин М, обнаружен как в цельном, так и в сухом молоке, и даже в молочных
продуктах, подвергшихся технологической обработке (пастеризация, стерилизация,
приготовление творога, йогурта, сыров и т. п.).
Детоксикация загрязненных пищевых продуктов и кормов. Установление
высокой токсичности и канцерогенности афлатоксинов и обнаружение их в значительных
количествах в основных пищевых продуктах во всем мире привело к необходимости
разработки эффективных методов детоксикации сырья, пищевых продуктов и кормов.
В настоящее время с этой целью применяют комплекс мероприятий, которые
можно разделить на механические, физические и химические методы детоксикации
афлатоксинов. Механические методы детоксикации связаны с отделением
загрязненного сырья (материала) вручную или с помощью
электронно-колориметрических сортировщиков. Физические методы основаны на достаточно
жесткой термической обработке материала (например, автоклавирование), а также
связаны с ультрафиолетовым облучением и озонированием. Химический метод
предполагает обработку материала сильными окислителями. К сожалению, каждый из
названных методов имеет свои существенные недостатки: применение механических и
физических методов не дает высокого эффекта, а химические методы приводят к
разрушению не только афлатоксинов, но и полезных нутриентов и, кроме этого,
нарушают их всасывание.
Согласно данным ВОЗ, человек при благоприятной гигиенической ситуации
потребляет с суточным рационом до 0,19 мкг афлатоксинов. В России приняты
следующие санитарно-гигиенические нормативы по афлатоксинам: ПДК афлатоксина В,
для всех пищевых продуктов, кроме молока, составляет - 5 мкг/кг, для молока и
молочных продуктов - 1 мкг/кг (для афлатоксина М1 - 0,5 мкг/кг). Допустимая
суточная доза (ДСД) - 0,005-0,01 мкг/кг массы тела.
Охратоксины. Охратоксины - соединения высокой токсичности, с ярко
выраженным тератогенным эффектом.
Структура и продуценты охратоксинов. Охратоксины А, В, С представляют
собой группу близких по структуре соединений, являющихся изокумаринами,
связанными с L-фенилаланином пептидной связью.
В зависимости от природы радикалов R′ и R″ образуются
охратоксины различных типов:
|
R′
|
R″
|
|
Охратоксин А
|
С1
|
Н
|
|
Охратоксин В
|
Н
|
Н
|
|
Охратоксин С
|
С1
|
С2Н5
|
Продуцентами охратоксинов являются микроскопические грибы рода
Aspergillus и Penicillium. Основными продуцентами являются A. ochraceus и P.
viridicatum. Многочисленными исследованиями показано, что природным
загрязнителем чаще всего является охратоксин А, в редких случаях охратоксин В.
Физико-химические свойства. Охратоксин А - бесцветное кристаллическое
вещество, слабо растворимое в воде, умеренно растворимое в полярных органических
растворителях (метанол, хлороформ), а также в водном растворе гидрокарбоната
натрия. В химически чистом виде он нестабилен и очень чувствителен к
воздействию света и воздуха, однако в растворе этанола может сохраняться без
изменений в течение длительного времени. В ультрафиолетовом свете обладает
зеленой флуоресценцией. Охратоксин В - кристаллическое вещество, аналог
охратоксина А, не содержащий атом хлора. Он примерно в 50 раз менее токсичен,
чем охратоксин А. В ультрафиолетом свете обладает голубой флуоресценцией.
Охратоксин С - аморфное вещество, этиловый эфир охратоксина А, близок к нему по
токсичности, но в качестве природного загрязнителя пищевых продуктов и кормов
не обнаружен. В ультрафиолетовом свете обладает бледно-зеленой флуоресценцией.
Биологическое действие. Охратоксины входят в группу микотоксинов,
преимущественно поражающих почки. При остром токсикозе, вызванном
охратоксинами, патологические изменения выявляются и в печени, и в лимфоидной
ткани, и в желудочно-кишечном тракте. В настоящее время уже доказано, что
охратоксин А обладает сильным тератогенным действием. Вопрос о канцерогенности
охратоксинов для человека остается нерешенным.
Механизм действия охратоксинов. Биохимические, молекулярные, клеточные
механизмы действия охратоксинов изучены недостаточно. В исследованиях in vitro
показано, что они активно связываются с различными белками: альбуминами
сыворотки крови, тромбином, альдолазой, каталазой, аргиназой,
карбоксипептидазой А. Некоторые моменты подтверждены и в исследованиях in vivo.
Результаты изучения влияния охратоксинов на синтез макромолекул свидетельствуют
о том, что охратоксин А ингибирует синтез белка и матричной РНК (токсин
действует как конкурентный ингибитор), но не действует на синтез ДНК.
Загрязнение пищевых продуктов. Основными растительными субстратами, в
которых обнаруживаются охратоксины, являются зерновые культуры и среди них, в
первую очередь, кукуруза, пшеница, ячмень. С сожалением приходится
констатировать тот факт, что уровень загрязнения кормового зерна и комбикормов
выше среднего во многих странах (Канада, Польша, Югославия, Австрия), в связи с
чем охратоксин А был обнаружен в животноводческой продукции (ветчина, бекон,
колбасы). С практической точки зрения весьма важно, что охратоксины являются
стабильными соединениями. Так, например, при длительном прогревании пшеницы,
загрязненной охратоксином А, его содержание снижалось лишь на 32% (при
температуре 250-300°С).
Все вышеперечисленное не оставляет сомнения в том, что охратоксины
создают реальную опасность для здоровья человека.
Трихотеценовые микотоксины. В настоящее время известно более 40
трихотеценовыхмикотоксинов (ТТМТ), вторичных метаболитов различных
представителей микроскопических грибов рода Fusarium.
Структура и продуценты ТТМТ. По своей структуре ТТМТ относятся к
сесквитерпенам. Они содержат основное ядро из трех колец, названное
трихотеканом. В зависимости от структуры трихотеценового ядра эти микотоксины
подразделяются на 4 группы: А, В, С, Д. Структура различных типов
трихотеценовых микотоксинонов очень сложна и имеет свои характерные
особенности, что наглядно демонстрируют приведенные ниже структурные формулы
ТТМТ.
В качестве природных загрязнителей пищевых продуктов и кормов к
настоящему времени выявлены только четыре: Т-2 токсин и диацетоксискирпенол,
относящиеся к типу А, а также ниваленол и дезоксиниваленол, относящиеся к типу
В. Природа радикалов у этих четырех природных загрязнителей такова:
|
R1
|
R2
|
R3
|
R4
|
R5
|
|
Тип А
|
|
|
|
|
|
|
Т-2 токсин
|
Н
|
ОСОСН3
|
ОСОСН3
|
Н
|
Н
|
|
Диацетоксискирпенол
|
ОН
|
ОСОСН3
|
ОСОСН3
|
Н
|
ОСОСН2СН(СН3)2
|
|
Тип В
|
|
|
|
|
|
|
Ниваленол
|
ОН
|
ОН
|
ОН
|
ОН
|
|
|
Дезоксиниваленол
|
ОН
|
Н
|
ОН
|
ОН
|
|
Продуцентами ТТМТ типа А и В, обладающих высокой токсичностью, являются
многие грибы рода Fusarium. Микроскопические грибы этого рода являются
возбудителями так называемых гнилей корней, стеблей, листьев, семян, плодов,
клубней и сеянцев сельскохозяйственных растений. Таким образом, поражаются
корма и пищевые продукты, и как следствие наблюдается возникновение
алиментарных токсикозов у животных и человека.
Физико-химические свойства. ТТМТ - это бесцветные кристаллические,
химически стабильные соединения, плохо растворимые в воде. ТТМТ типа А
растворимы в умеренно полярных растворителях (ацетон, хлороформ), типа В - в
более полярных растворителях (этанол, метанол и др.). Эти токсины, за
исключением некоторых, не обладают флюоресценцией. В связи с этим, для их
обнаружения, после разделения методом тонкослойной хроматографии, используют
различные способы (например, нагревание до 100- 150°С после обработки спиртовым
раствором серной кислоты) с целью получения окрашенных или флуоресцирующих
производных.
Биологическое действие ТТМТ. Алиментарные токсикозы, вызванные
потреблением в пищу пищевых продуктов и кормов, пораженных микроскопическими
грибами, продуцирующими ТТМТ, можно отнести к наиболее распространенным
микотоксикозам человека и сельскохозяйственных животных. Первые сведения о
такого рода заболеваниях появились более ста лет тому назад.
Хорошо известен токсикоз "пьяного хлеба" - заболевание человека
и животных, причиной которого послужило употребление зерновых продуктов
(главным образом хлеба), приготовленных из зерна, пораженного грибами Fusarium
graminearum (F. roseum). Кроме того, описан целый ряд тяжелых токсикозов, таких
как акабаби-токсикоз (вызывается красной плесенью и связан с поражением зерна
грибами F. nivale и F. graminearum); алиментарная токсическая алейкия - АТА
(токсикоз, связанный с употреблением в пищу продуктов из зерновых культур,
перезимовавших в поле под снегом и пораженных микроскопическими грибами F.
sporotri-chiella) и многие другие, приводящие к серьезному нарушению здоровья
людей и протекающие по типу эпидемий, т. е. характеризующиеся определенной
очаговостью, сезонностью, неравномерностью вспышек в разные годы и
употреблением продуктов из зерна, пораженного микроскопическими грибами.
Механизм действия ТТМТ. Многочисленными исследованиями in vitro и in vivo
было показано, что ТТМТ являются ингибиторами синтеза белков и нуклеиновых
кислот, кроме этого, вызывают нарушения стабильности лизосомных мембран и активацию
ферментов лизосом, что в конечном счете приводит к гибели клетки.
Загрязнение пищевых продуктов. Как отмечалось выше, в качестве природных
загрязнителей пищевых продуктов и кормов обнаружены лишь четыре из более чем
четырех десятков трихотеценовых микотоксинов. Чаще всего они обнаруживаются в
зерне кукурузы, пшеницы и ячменя. Микотоксины этой группы отличаются
повсеместным распространением, причем в большей степени это касается многих
стран Европы, Северной Америки, в меньшей - Индии, Японии, Южной Америки.
Необходимо отметить, что часто в одном и том же продукте обнаруживают два или
более микотоксинов.
Зеараленон и его производные. Зеараленон и его производные также
продуцируются микроскопическими грибами рода Fusarium. Он впервые был выделен
из заплесневелой кукурузы.
Структура и продуценты зеараленона. По своей структуре зеараленон
является лактоном резорциловой кислоты. Природный зеараленон имеет транс-
но" конфигурацию, его структурная формула имеет следующий вид.
Основными продуцентами зеараленона являются Fusarium graminea-rum и F.
roseum.
Физико-химические свойства. Зеараленон - белое кристаллическое вещество,
плохо растворимое в воде, но хорошо растворимое в этаноле, ацетоне, метаноле,
бензоле. Имеет три максимума поглощения в ультрафиолете (236 нм, 274 нм, 316
нм) и обладает сине-зеленой флуоресценцией.
Биологическое действие. Зеараленон обладает выраженными гормоноподобными
(экстрогенными) свойствами, что отличает его от других микотоксинов. Кроме
этого, в опытах на различных лабораторных животных было доказано тератогенное
действие зеараленона, хотя он и не обладает острым (летальным) токсическим
эффектом даже при введении его животным в очень больших дозах. Сведения о
влиянии зеараленона на организм человека отсутствуют, но, учитывая его высокую
экстрогенную активность, нельзя полностью исключить негативное воздействие
зеараленона на организм человека.
Загрязнение пищевых продуктов. Основным природным субстратом, в котором
наиболее часто обнаруживается зеараленон, является кукуруза. Поражение кукурузы
микроскопическими грибами рода Fusarium - продуцентами зеараленона - происходит
как в поле, на корню, так и при ее хранении. Высока частота обнаружения
зеараленона в комбикормах, а также в пшенице и ячмене, овсе. Среди пищевых
продуктов этот токсин был обнаружен в кукурузной муке, хлопьях и кукурузном
пиве.
С практической точки зрения интересными представляются данные по влиянию
переработки зерна кукурузы на степень загрязнения зеараленоном. В крупке и муке
грубого помола, без удаления отрубей, в муке, полученной при сухом помоле
кукурузы, содержание зеараленона составляло примерно 20% от его количества в
цельном зерне. При влажном помоле загрязненной кукурузы токсин концентрировался
во фракции клейковины, где его концентрация была выше, чем в отрубях и
зародыше; во фракции крахмала токсин не выявлялся.
Тепловая обработка в нейтральной или кислой среде не разрушает
зеараленон, но в щелочной среде при 100°С за 60 мин разрушается около 50%
токсина. К разрушению зеараленона приводит и обработка загрязненной кукурузы
0,03% раствором персульфата аммония или 0,01% раствором пероксида водорода.
Патулин и некоторые другое микотоксины. Микотоксины, продуцируемые
микроскопическими грибами рода Penicillium, распространены повсеместно и
представляют реальную опасность для здоровья человека. Патулин особо опасный
микотоксин, обладающий канцерогенными и мутагенными свойствами.
Структура и продуценты патулина. По своей химической структуре патулин
представляет 4-гидроксифуропиран. Он имеет один максимум поглощения в ультрафиолетовой
области при 276 нм.
Основными продуцентами патулина являются микроскопические грибы
Penicillium patulum и Penicillium expansu. Но и другие виды этого рода
микроскопических грибов, а также Byssochlamys fulva и В. nivea способны
синтезировать патулин. Максимальное токсинообразование отмечается при
температуре 21-30°С.
Биологическое действие. Биологическое действие патулина проявляется как в
виде острых токсикозов, так и в виде ярко выраженных канцерогенных и мутагенных
эффектов. Биохимические механизмы действия патулина изучены недостаточно.
Предполагают, что патулин блокирует синтез ДНК, РНК и белков, причем
блокирование инициации транскрипции осуществляется за счет ингибирования
ДНК-зависимой-РНК-полимеразы. Кроме этого, микотоксин активно взаимодействует с
SH-группами белков и подавляет активность тиоловых ферментов.
Загрязнение пищевых продуктов. Продуценты патулина поражают в основном
фрукты и некоторые овощи, вызывая их гниение. Патулин обнаружен в яблоках,
грушах, абрикосах, персиках, вишне, винограде, бананах, клубнике, голубике,
бруснике, облепихе, айве, томатах. Наиболее часто патулином поражаются яблоки,
где содержание токсина может доходить до 17,5 мг/кг. Интересно, что патулин
концентрируется Б основном в подгнившей части яблока, в отличие от томатов, где
он распределяется равномерно по всей ткани.
Патулин в высоких концентрациях обнаруживается и в продуктах переработки
фруктов и овощей: соках, компотах, пюре и джемах. Особенно часто его находят в
яблочном соке (0,02-0,4 мг/л). Содержание патулина в других видах соков:
грушевом, айвовом, виноградном, сливовом, манго - колеблется от 0,005 до 4,5
мг/л. Интересным представляется тот факт, что цитрусовые и некоторые овощные
культуры, такие как картофель, лук, редис, редька, баклажаны, цветная капуста,
тыква и хрен обладают естественной устойчивостью к заражению
грибами-продуцентами патулина.
Среди микотоксинов, продуцируемых микроскопическими грибами рода
Penicillium и представляющих серьезную опасность для здоровья человека,
необходимо выделить лютеоскирин, циклохлоротин, цитреовиридин и цитринин.
Лютеоскирин (продуцент Penicillium islandicum) - желтое кристаллическое
вещество, выделен из долго хранившегося риса, а также пшеницы, сои, арахиса,
бобовых и некоторых видов перца. Механизм токсического действия связан с
ингибированием ферментов дыхательной цепи (печени, почках, миокарде), а также в
подавлении процессов окислительного фосфорилирования.
Циклохлоротин (продуцент Penicillium islandicum) - белое кристаллическое
вещество, циклический пептид, содержащий хлор. Биохимические механизмы
токсического действия направлены на нарушение углеводного и белкового обмена и
связаны с ингибированием целого ряда ферментов. Кроме этого, токсическое
действие циклохлоротина проявляется в нарушении регуляции проницаемости
биологических мембран и процессов окислительного фосфорилирования.
Цитреовиридин (продуцент Penicillium citreo-viride) - желтое
кристаллическое вещество, выделен из пожелтевшего риса. Обладает
нейро-токсическими свойствами.
Цитринин (продуцент Penicillium citrinum) - кристаллическое вещество
желтого цвета, выделен из пожелтевшего риса. Цитринин часто обнаруживается в
различных зерновых культурах: пшенице, ячмене, овсе, ржи, а также в кукурузе и
арахисе. Кроме этого, незначительные количества цитринина были найдены в
хлебобулочных изделиях, мясных продуктах и фруктах. Обладает выраженными
нефротоксическими свойствами.
Методы определения микотоксинов и контроль за загрязнением пищевых
продуктов
Методы определения микотоксинов. Современные методы обнаружения и
определения содержания микотоксинов в пищевых продуктах и кормах включают
скрининг-методы, количественные аналитические и биологические методы.
Скрининг-методы отличаются быстротой и удобны для проведения серийных
анализов, позволяют быстро и надежно разделять загрязненные и незагрязненные
образцы. К ним относятся такие широко распространенные методы, как
миниколоночный метод определения афлатоксинов, охратоксина А и зеараленона;
методы тонкослойной хроматографии (ТСХ-методы) для одновременного определения
до 30 различных микотоксинов, флуоресцентный метод определения зерна,
загрязненного афлатоксинами, и некоторые другие.
Количественные аналитические методы определения микотоксинов представлены
химическими, радиоиммунологическими и иммуноферментными методами. Химические
методы являются в настоящее время наиболее распространенными и состоят из двух
стадий: стадии выделения и стадии количественного определения микотоксинов.
Стадия выделения включает экстракцию (отделение микотоксина от субстрата) и
очистку (отделение микотоксина от соединений с близкими физико-химическими
характеристиками). Окончательное разделение микотоксинов проводится с помощью
различных хроматографических методов, таких как газовая (ГХ) и газожидкостная
хроматография (ГЖХ), тонкослойная хроматография (ТСХ), высокоэффективная
жидкостная хроматография (ВЭЖХ) и масс-спектрометрия. Количественную оценку
содержания микотоксинов проводят путем сравнения интенсивности флуоресценции
при ТСХ в ультрафиолетовой области спектра со стандартами. Для подтверждения
достоверности полученных результатов применяют различные тесты, основанные на
получении производных микотоксинов с иными хроматографическими,
колориметрическими или флюорометрическими характеристиками.
Высокочувствительные и высокоспецифичные радиоиммуно-химические и
иммуноферментные методы обнаружения, идентификации и количественного
определения микотоксинов находят все более широкое применение и пользуются
повышенным вниманием со стороны исследователей. Эти методы основаны на получении
антисывороток к конъюгатам микотоксинов с бычьим сывороточным альбумином.
Основным преимуществом этих методов является их исключительная
чувствительность.
Биологические методы обычно не отличаются высокой специфичностью и
чувствительностью и применяются, главным образом, в тех случаях, когда
отсутствуют химические методы выявления микотоксинов или в дополнение к ним в
качестве подтверждающих тестов. В качестве тест-объектов используют различные
микроорганизмы, куриные эмбрионы, различные лабораторные животные, культуры
клеток и тканей.
Контроль за загрязнением микотоксинами. В настоящее время вопросы
контроля за загрязнением продовольственного сырья, пищевых продуктов и кормов
микотоксинами решаются не только в рамках отдельных государств, но и на международном
уровне, под эгидой ВОЗ и ФАО.
В системе организации контроля за загрязнением продовольственного сырья и
пищевых продуктов можно выделить два уровня: инспектирование и мониторинг,
которые включают регулярные количественные анализы продовольственного сырья и
пищевых продуктов.
Мониторинг позволяет установить уровень загрязнения, оценить степень
реальной нагрузки и опасности, выявить пищевые продукты, являющиеся наиболее
благоприятным субстратом для микроскопических грибов - продуцентов микотоксинов,
а также подтвердить эффективность проводимых мероприятий по снижению
загрязнения микотоксинами. Особое значение имеет контроль за загрязнением
микотоксинами при характеристике качества сырья и продуктов, импортируемых из
других стран.
С целью профилактики алиментарных токсикозов основное внимание следует
уделять зерновым культурам. В связи с этим необходимо соблюдать следующие меры
по предупреждению загрязнения зерновых культур и зернопродуктов.
. Своевременная уборка урожая с полей, его правильная агротехническая
обработка и хранение.
. Санитарно-гигиеническая обработка помещений и емкостей для хранения.
. Закладка на хранение только кондиционного сырья.
. Определение степени загрязнения сырья и готовых продуктов.
. Выбор способа технологической обработки в зависимости от вида и степени
загрязнения сырья.
Основные пути загрязнения продовольственного сырья и пищевых продуктов
токсичными штаммами микромицетов приведены на рис. 11.7.
.4
АНТИАЛИМЕНТАРНЫЕ ФАКТОРЫ ПИТАНИЯ
Помимо чужеродных соединений, загрязняющих пищевые продукты, так
называемых контаминантов-загрязнителей, и природных токсикантов, необходимо
учитывать действие веществ, не обладающих общей токсичностью, но способных
избирательно ухудшать или блокировать усвоение нутриентов. Эти соединения принято
называть антиалиментарными факторами питания. Этот терминраспространяется
только на вещества природного происхождения, которые являются составными
частями натуральных продуктов питания.
Перечень антиалиментарных факторов питания достаточно обширен. Остановимся
на рассмотрении некоторых из них.
Ингибиторы пищеварительных ферментов. К этой группе относятся вещества
белковой природы, блокирующие активность пищеварительных ферментов (пепсин,
трипсин, химотрипсин, а-амилаза). Белковые ингибиторы обнаружены в семенах
бобовых культур (соя, фасоль и др.), злаковых (пшеница, ячмень и др.), в
картофеле, яичном белке и других продуктах растительного и животного
происхождения.
К настоящему времени белковые ингибиторы достаточно хорошо изучены и
подробно охарактеризованы: расшифрована первичная структура, изучено строение
активных центров ингибиторов, исследован механизм действия ингибиторов и т. п.
На основании структурного сходства все белки-ингибиторы растительного
происхождения можно разделить на несколько групп, основными из которых являются
следующие.
. Семейство соевого ингибитора трипсина (ингибитора Кунитца).
. Семейство соевого ингибитора Баумана-Бирка.
. Семейство картофельного ингибитора I.
. Семейство картофельного ингибитора II.
. Семейство ингибиторов трипсина/а-амилазы.
Ингибитор Кунитца был впервые выделен из семян сои еще в 1946 г. Его
молекулярная масса 20 100 Да. Молекула ингибитора состоит из 181
аминокислотного остатка и содержит две дисульфидные связи в положении цис(39) -
цис(86) и цис(136) - цис(145). Трипсиносвязывающий реактивный центр включает
остаток аргинина, связанный пептидной связью с остатком изолейцина: арг(63) -
иле(64), поэтому ингибиторы этого семейства также называют трипсиновыми
ингибиторами аргининового типа.
Ингибитор Баумана-Бирка был впервые выделен также в 1946 г. из семян сои.
Ингибитор эффективно подавляет активность трипсина и химотрипсина, причем с
одной молекулой ингибитора могут связываться молекулы обоих ферментов.
Ингибитор Баумана-Бирка - первый описанный "двухглавый" (или двухцентровой)
ингибитор сериновых проте-
Его молекулярная масса примерно 8000 дальтон. Молекула ингибитора состоит
из 71 аминокислотного остатка. Особенностью аминокислотного состава является
высокое содержание остатков цистеина (7 на одну молекулу) и отсутствие остатков
глицина и триптофана. Обращает на себя внимание, что молекула ингибитора
Баумана-Бирка состоит из двух частей, сходных по структуре (доменов), которые
соединены между собой короткими полипептидными цепочками. Реактивный центр,
ответственный за связывание трипсина, локализован в первом домене и содержит
пептидную связь: лиз(16) - сер(17); а реактивный центр, ответственный за
связывание химотрипсина, находится во втором домене и содержит пептидную связь:
лей(43) - сер(44), поэтому ингибиторы этого семейства иногда называют
ингибиторами лизинового типа.
В клубнях картофеля содержится целый набор ингибиторов химотрипсина и
трипсина, которые отличаются по своим физико-химическим свойствам: молекулярной
массе, особенностям аминокислотного состава, изоэлектрическим точкам, термо- и
рН-стабильности и т. п. Кроме картофеля, белковые ингибиторы обнаружены в
других пасленовых, а именно - в томатах, баклажанах, табаке. Наряду с
ингибиторами сериновых протеиназ в них обнаружены и белковые ингибиторы
цистеиновых, аспартильных протеиназ, а также металлоэкзопептидаз.
Заслуживает внимания и тот факт, что в семенах растений и в клубнях
картофеля находятся "двухглавые" ингибиторы, способные одновременно
связываться и ингибировать протеазу и а-амилазу. Такие белковые ингибиторы были
выделены из риса, ячменя, пшеницы, тритикале, ржи.
Рассматриваемые белковые ингибиторы растительного присхождения
характеризуются высокой термостабильностью, что в целом не характерно для
веществ белковой природы. Например, полное разрушение соевого ингибитора
трипсина достигается лишь 20 минутным автоклавированием при 115°С, или
кипячением соевых бобов в течение 2-3 ч. Из этого следует, что употребление
семян бобовых культур, особенно богатых белковыми ингибиторами пищеварительных
ферментов, как для корма сельскохозяйственных животных, так и в пищевом рационе
человека, возможно лишь после соответствующей тепловой обработки.
Цианогенные гликозиды. Цианогенные гликозиды - это гликозиды некоторых
цианогенных альдегидов и кетонов, которые при ферментативном или кислотном
гидролизе выделяют синильную кислоту - HCN, вызывающую поражение нервной
системы.
Из представителей цианогенных гликозидов целесообразно отметить лимарин,
содержащийся в белой фасоли, и амигдалин, который обнаруживается в косточках
миндаля (до 8%), персиков, слив, абрикос (от 4 до 6%).
Амигдалин представляет собой сочетание дисахарида гентиобиозы и агликона,
включающего остаток синильной кислоты и бензальдегида.
Биогенные амины. К соединениям этой группы относятся серотонин, тирамин,
гистамин.
Серотонин, главным образом, содержится во фруктах и овощах. Например,
содержание серотонина в томатах - 12 мг/кг; в сливе - до 10 мг/кг. Тирамин чаще
всего обнаруживается в ферментированных продуктах, например в сыре до 1100
мг/кг. Содержание гистамина коррелирует с содержанием тирамина в сыре от 10 до
2500 мг/кг. В количествах более 100 мг/кг гистамин может представлять угрозу
для здоровья человека.
Алкалоиды. Алкалоиды - весьма обширный класс органических соединений,
оказывающих самое различное действие на организм человека. Это и сильнейшие
яды, и полезные лекарственные средства. Печально известный наркотик, сильнейший
галлюциноген - ЛСД - диэтил-амид лизергиловой кислоты, был выделен из спорыньи,
грибка, растущего на ржи, в 1943 г. швейцарским химиком А. Гофманом.
С 1806 г. известен морфин, он выделен из сока головок мака и является
очень хорошим обезболивающим средством, благодаря чему нашел применение в
медицине, однако при длительном употреблении приводит к развитию наркомании.
Хорошо изучены в настоящее время так называемые пуриновые алкалоиды, к
которым относятся кофеин и часто сопровождающие его теобромин и теофиллин.
Структурные формулы кофеина, теобромина и теофиллина представлены ниже.
Содержание кофеина в сырье и различных продуктах колеблется в достаточно
широких пределах. В зернах кофе и листьях чая, в зависимости от вида сырья, от
1 до 4%; в напитках кофе и чая, в зависимости от способа приготовления, до 1500
мг/л (кофе) и до 350 мг/л (чай). В напитках пепси-кола и кока-кола до 1000 мг/л
и выше. Здесь уместно подчеркнуть, что пуриновые алкалоиды при систематическом
употреблении их на уровне 1000 мг в день вызывают у человека постоянную
потребность в них, напоминающую алкогольную зависимость.
К группе стероидных алкалоидов будут относится соланины и чакони-ны,
содержащиеся в картофеле. Иначе их называют гликоалкалоидами, они содержат один
и тот же агликон (соланидин), но различные остатки Сахаров. В картофеле
обнаружены шесть гликоалкалоидов, одним из которых является α-соланин.
Особенности состава других гликоалкалоидов картофеля видны из
сопоставления их структурных компонентов:
α-соланин…соланидин + галактоза +
глюкоза + рамноза;
β-соланин …соланидин + галактоза +
глюкоза;
γ-соланин …соланидин + галактоза;
α-чаконин .... соланидин + глюкоза + рамноза
+ рамноза;
β-чаконин … соланидин + глюкоза +
рамноза;
γ-чаконин … соланидин + глюкоза;
Таким образом, гликоалкалоиды картофеля весьма близки по составу и
являются промежуточными продуктами при биосинтезе а-соланина. Это вещества
средней токсичности, их накопление в клубнях картофеля (в позеленевших частях
клубня их количество может увеличиваться более чем в 10 раз и достигать 500
мг/кг), придает горький вкус и вызывает типичные признаки отравления. Эти
соединения обладают антихолин-эстеразной активностью.
Соланины и чаконины могут содержаться в баклажанах, томатах, табаке.
Антивитамины. Согласно современным представлениям, к антивитаминам
относят две группы соединений.
-я группа - соединения, являющиеся химическими аналогами витаминов, с
замещением какой-либо функционально важной группы на неактивный радикал, т. е.
это частный случай классических антиметаболитов.
-я группа - соединения, тем или иным образом специфически инактивирующие
витамины, например с помощью их модификации, или ограничивающие их биологическую
активность.
Если классифицировать антивитамины по характеру действия, как это принято
в биохимии, то первая (антиметаболитная) группа может рассматриваться в
качестве конкурентных ингибиторов, а вторая - неконкурентных, причем во вторую
группу попадают весьма разнообразные по своей химической природе соединения и
даже сами витамины, способные в ряде случаев ограничивать действие друг друга.
Рассмотрим некоторые конкретные примеры соединений, имеющих ярко
выраженную антивитаминную активность.
Лейцин - нарушает обмен триптофана, в результате чего блокируется
образование из триптофана ниацина - одного из важнейших водорастворимых
витаминов - витамина PP.
Индолилуксусная кислота и ацетилпиридин - также являются антивитаминами
по отношению к витамину РР; содержатся в кукурузе. Чрезмерное употребление
продуктов, содержащих вышеуказанные соединения, может усиливать развитие
пеллагры, обусловленной дефицитом витамина PP.
Аскорбатоксидаза и некоторые другие окислительные ферменты проявляют
антивитаминную активность по отношению к витамину С. Аскобатоксидаза (Н. Ф.
1.10.3.3) катализирует реакцию окисления аскорбиновой кислоты в
дегидроаскорбиновую кислоту:
Содержание аскорбатоксидазы и ее активность в различных продуктах
неодинакова: наиболее активна аскорбатоксидаза в огурцах, кабачках, наименее -
в моркови, свекле, помидорах. При измельчении овощей за 6 часов хранения
теряется более половины витамина С, т. к. измельчение способствует
взаимодействию фермента и субстрата.
Тиаминаза (Н. Ф. 3.5.99.2) - антивитаминный фактор для витамина В1 -
тиамина. Она содержится в продуктах растительного и животного происхождения,
наибольшее содержание этого фермента отмечено у пресноводных и морских рыб,
кроме того, тиаминаза продуцируется бактериями кишечного тракта - Вас.
thiaminolytic и Вас. anekrinolytieny, что может являться причиной дефицита
тиамина. Ортодифенолы и биофлавоноиды (вещества с Р-витаминной активностью),
содержащиеся в кофе и чае, а также окситиамин, который образуется при
длительном кипячении кислых ягод и фруктов, проявляют антивитаминную активность
по отношению к тиамину.
Все это необходимо учитывать при употреблении, приготовлении и хранении
пищевых продуктов.
Линатин - антагонист витамина В6, содержится в семенах льна. Кроме этого,
ингибиторы пиродоксалевых ферментов обнаружены в съедобных грибах и некоторых
видах семян бобовых.
Авидин - белковая фракция, содержащаяся в яичном белке, приводящая к
дефициту биотина (витамина Н), за счет связывания и перевода его в неактивное
состояние.
Гидрогенизированные жиры - являются факторами, снижающими сохранность
витамина А (ретинола).
Говоря об антиалиментарных факторах питания, нельзя не сказать о
гипервитаминозах. Известны два типа: гипервитаминоз А и гипервитаминоз.
Например, печень северных морских животных несъедобна из-за большого содержания
витамина А.
Приведенные выше данные свидетельствуют о необходимости дальнейшего
тщательного изучения вопросов, связанных с взаимодействием различных природных
компонентов пищевого сырья и продуктов питания, влияния на них различных
способов технологической и кулинарной обработки, а также режимов и сроков
хранения с целью снижения потерь ценных макро- и микронутриентов, и обеспечения
рациональности и адекватности питания.
Факторы, снижающие усвоение минеральных веществ. К факторам, снижающим
усвоение минеральных веществ, в первую очередь следует отнести щавелевую
кислоту и ее соли (оксалаты), фитин (инозитолгекса-фосфорная кислота) и танины.
Наиболее изучена в этом плане щавелевая кислота:
НООС-СООН
Продукты с высоким содержанием щавелевой кислоты способны приводить к
серьезным нарушениям солевого обмена, необратимо связывать ионы кальция.
Установлено, что интоксикация щавелевой кислотой проявляется в большей степени
на фоне дефицита витамина D.
Известны случаи отравлений с летальным исходом, как от самой щавелевой
кислоты (при фальсификации продуктов, в частности вин, когда подкисление
проводили дешевой щавелевой кислотой), так и от избыточного потребления
продуктов, содержащих ее в больших количествах. Смертельная доза для взрослых
людей колеблется от 5 до 150 г и зависит от целого ряда факторов. Содержание
щавелевой кислоты в среднем в некоторых растениях таково (в мг/100 г): шпинат -
1000, ревень - 800, щавель - 500, красная свекла - 250.
Фитин, благодаря своему химическому строению, легко образует
труднорастворимые комплексы с ионами Са, Mg, Fe, Zn, и Си. Этим объясняется его
деминерализующий эффект.
Достаточно большое количество , фитина содержится в злаковых и бобовых
культурах: в пшенице, горохе, кукурузе его содержание примерно 400 мг/100 г
продукта, причем основная часть сосредоточена в наружном слое зерна. Хлеб,
выпеченный из муки высшего сорта, практически не содержит фитина. В хлебе из
ржаной муки его мало, благодаря высокой активности фитазы, способной расщеплять
фитин.
Дубильные вещества, кофеин, балластные соединения могут рассматриваться
как факторы, снижающие усвоение минеральных веществ.
Яды пептидной природы. Интересным и важным является тот факт, что многие
биологически активные вещества являются циклопептидами, т. е. имеют циклическое
строение. К таким циклопептидам относятся антибиотики, гормоны и токсины. Было
показано, что ядовитый гриб бледная поганка (Amanita phalloides) содержит не
менее десяти токсичных циклопептидов. Их молекулярная масса около 1000; они
содержат атом серы, принадлежащий к остатку цистеина, связанному с индольным
кольцом триптофана. Ниже представлена структура особенно ядовитого циклопептида
бледной поганки α-аманитина:
Из приведенной структуры видно, что сера цистеина, связываясь с остатком
триптофана, разделяет циклопептид на два кольца. Подобная бициклическая
структура свойственна всем циклопептидам бледной поганки.
Лектины. Лектины - группа веществ гликопротеидной природы с молекулярной
массой от 60 до 120 тысяч дальтон. Они широко распространены в семенах и других
частях растений. Лектины обнаружены в бобовых, арахисе, проростках растений, а
также в икре рыб.
Лектины обладают способностью повышать проницаемость стенок кишечника для
чужеродных веществ; нарушать всасывание нутриентов; вызывать агглютинацию
(склеивание) эритроцитов крови. С этим связано их негативное действие при
высоких концентрациях (см. также раздел Белки). Некоторые лектины токсичны,
например, лектин из семян клещевины (Ricinus communis) - рицин, а также лектины
некоторых животных и микроорганизмов, в частности холерный токсин.
Алкоголь. Алкоголь можно рассматривать как рафинированный продукт
питания, который имеет только энергетическую ценность. При окислении 1 г
этанола выделяется 7 ккал энергии; данная величина лежит между калорийностью
углеводов и жиров. Алкоголь не является источником каких-либо пищевых веществ,
поэтому его часто называют источником "холостых" калорий.
Попадая в организм человека, этанол под воздействием фермента -
алкогольдегидрогеназы окисляется до ацетальдегида, согласно уравнению:
Далее ацетоальдегид под воздействием другого фермента -
альдегид-дегидрогеназы окисляется до ацетата:
В результате этих двух реакций образуются две молекулы НАДН, которые
служат донорами водорода в дыхательной цепи митохондрий. В ходе последующего
переноса электронов к кислороду из АДФ и остатка фосфорной кислоты образуется 6
молекул АТФ. Образовавшийся из этанола ацетат в дальнейшем активируется и
переходит в ацетил-кофермент А:
Образовавшийся ацетил-КоА, в свою очередь, может окисляться в цикле
лимонной кислоты.
Алкоголь синтезируется ферментными системами организма для собственных
нужд и в течение дня организм человека способен синтезировать от 1 до 9 г
этилового спирта. Эндогенный алкоголь является естественным метаболитом, и
ферментных мощностей организма вполне хватает для его окисления в
энергетических целях. При потреблении алкоголя в больших количествах ферменты
не справляются, происходит накопление этилового спирта и уксусного альдегида,
что вызывает симптомы обширной интоксикации (головная боль, тошнота, аритмия
сердечных сокращений). Таким образом, алкоголь можно рассматривать как
антиалиментарный фактор питания, приводящий к специфическим нарушениям обмена
веществ.
Таблица 11.1. Антиалиментарные вещества [Павлоцкая Л. Ф. и др., 1989]
|
№ п/п
|
Ингибируемое вещество
|
Природный антипищевой
фактор
|
Источники и условия
действия
|
Пути устранения влияния
|
|
1
|
Ферменты Трипсин,
химотрипсин, α-амилаза
|
Соответст-вующие белковые
ингибиторы
|
Бобовые злаковые, белок
куриного яйца в сыром виде
|
Тепловая обработка
|
|
2
|
Аминокислоты Лизин,
триптофан и др.
|
Редуцирующие сахара
|
Продукты, содержащие оба
вида нутриентов
|
Рациональное сочетание
продуктов, легкая тепловая обработка
|
|
Триптофан
|
Лейцин
|
Пшено при его избыточном
потреблении
|
Умеренное потребление пшена
|
|
3
|
Витамины Аскорбиновая
кислота
|
Аскорбато-ксидаза,
полифено-локсидаза, пероксидазы, хлорофилл
|
Фрукты и овощи при их
нарезании и хранении
|
Использование в целом виде,
бланшировка
|
|
|
Биофлавоноиды, ортодифенолы
|
Чай, кофе при избыточном
потреблении
|
Ограниченное потребление
|
|
Ниацин
|
Индолилуксусная кислота,
ацетилпиридин
|
Кукуруза при одностороннем
питании
|
Рациональное питание
|
|
Биотин
|
Авидин
|
Яичный белок в сыром виде
|
Тепловая обработка
|
|
Ретинол
|
Длительно нагревавшиеся
жиры, гидрогени-зированные жиры
|
Пищевые жиры
|
Легкая тепловая обработка,
дозированное потребление маргарина
|
|
Кальциферол
|
Недостаточно
идентифи-цированные вещества
|
Соя при недостаточной
тепловой обработке
|
Тепловая обработка
|
|
Токоферол
|
Полинена-сыщенные жирные
кислоты
|
Растительные масла при
избыточном потреблении
|
Потребление в пределах
рекомендуемых норм
|
|
4
|
Минеральные вещества Са, Mg
и некоторые другие катионы
|
Щавелевая кислота
|
Щавель, шпинат, ревень,
инжир, черника при избыточном потреблении
|
Увеличение потребления
кальция
|
|
|
Фитин
|
Бобовые, некоторые крупы,
отруби при недостаточной тепловой обработке
|
Тепловая обработка
|
|
|
|
Черный хлеб при избыточном
потреблении
|
Потребление в пределах
нормы
|
|
Са, Mg, Na
|
Кофеин
|
Кофеинсодержащие напитки
|
Умеренное потребление
|
|
Са
|
Избыток фосфора
|
Зерновые продукты
|
Продукты, содержащие
кальций - молоко, творог, сыр
|
|
Fe
|
Баластные вещества
|
Отруби, хлеб грубого
помола, многие крупы, овощи, фрукты при избыточном потреблении
|
Увеличение потребления
источников железа, витамина С, кальция и фосфора
|
|
|
Дубильные вещества
|
Чай при избыточном
потреблении
|
Умеренное потребление
|
|
I
|
Серосодержащие соединения
|
Капуста белокочанная,
цветная, кольраби, турнепс, редис, некоторые бобовые, арахис при избыточном
потреблении
|
Ограниченное потребление в
условиях недостатка иода в пище
|
У людей, потребляющих большие количества алкоголя, обнаруживается дефицит
незаменимых веществ. Примером могут служить тяжелые формы недостаточности
витаминов у алкоголиков: алкогольные формы полиневрита, пеллагры, бери-бери и
т. п., а также гипогликемия, т. к. этанол блокирует синтез глюкозы из лактата и
аминокислот.
Хроническое потребление алкогольных напитков приводит не только к
авитаминозам, но и к нарушению углеводного, жирового и белкового обмена и
заканчивается, как правило, биохимической катастрофой с тяжелыми патологиями.
Кроме того, совершенно очевидно, что алкоголь обладает наркотическим действием,
вызывая устойчивую зависимость, которая приводит к негативным изменениям
психики и, в конечном счете, к деградации личности.
В этом разделе приведены сведения о компонентах пищи, способных оказывать
неблагоприятное воздействие на организм человека. Эти данные свидетельствуют о
необходимости их учета при составлении рационов питания, при решении ряда
технологических вопросов в производстве продуктов питания, а также при их
кулинарной обработке.
В табл. 11.1 приведены антиалиментарные факторы питания и их основные
источники, а также возможные пути устранения их негативного влияния.
.5 МЕТАБОЛИЗМ
ЧУЖЕРОДНЫХ СОЕДИНЕНИЙ
Механизм детоксикации ксенобиотиков - две фазы. Изучение метаболизма
чужеродных соединений, превращений, которые они претерпевают, попадая в
организм человека, важны, в первую очередь, с точки зрения выяснения химических
и биохимических механизмов детоксикации, а также с точки зрения оценки
возможностей защитной системы организма по детоксикации чужеродных веществ.
Метаболизм чужеродных соединений в организме будет зависеть от множества
различных факторов. Путь ксенобиотика, его воздействие и ответную реакцию
организма можно представить в виде схемы (см. рис. 11.8).
Попадая в организм, определенная доза вещества всасывается в месте
контакта, разносится и распределяется в крови и органах. Вследствие
метаболистических изменений и ритмического протекания процессов детоксикации
уровень его содержания падает. В тканях и клетках ксенобиотик проходит через
одну или несколько мембран, взаимодействуя с рецепторами. В результате
возникает ответная реакция, включаются механизмы противодействия с целью
поддержания постоянства внутренней среды - гомеостаза.
Метаболизм ксенобиотиков протекает в виде двухфазного процесса: 1-я фаза
- метаболистические превращения; 2-я фаза - реакции конъюгации.
-я фаза (метаболистические превращения) - связана с реакциями окисления,
восстановления, гидролиза и протекает при участии ферментов, главным образом, в
эндоплазматическом ретикулуме печени и реже - других органов (надпочечниках,
почках, кишечнике, легких и т. д.).
Окисление. В осуществлении реакций окисления решающее значение имеют
микросомальные ферменты печени. Окислительная система состоит из системы
цитохрома Р-450, а также НАДФН- и НАДН-зависимых редуктаз. Система цитохрома
Р-450 представляет электрон-транспортную цепь, организованную в
белково-липидный комплекс, катализирующий окислительно-восстановительную
реакцию включения атома кислорода в молекулу гидрофобных соединений R-H. Эта
реакция протекает с использованием электронов, поступающих от доноров НАДФН и
НАДН к цитохромам Р-450 и b5 при участии редуктаз.
НАДФ → НАДФ-цитохром Р-450 редуктаза → цитохром Р-450 →
НАДФ → НАДФ-цитохром b5 редуктаза → цитохром b5 →
образование реакционноспособных функциональных групп
Микросомальные ферменты катализируют не только окисление жирных кислот,
гидроксилирование стероидов, окисление терпенов и алкалоидов, но и окисление
различных лекарств, пестицидов, канцерогенных ПАУ и других ксенобиотиков.
Такое многообразие субстратов, на которое воздействует цитохром Р-450,
является следствием множественных форм фермента, число которых достигает сотни.
В ответ на воздействие различных ксенобиотиков в печени и других органах
происходит индукция синтеза тех изоформ цитохрома Р-450, которые метаболизируют
данные токсиканты, что эквивалентно реакции иммунной системы организма на
воздействие чужеродных белков. Поэтому весь спектр этих ферментов обозначают
как генное суперсемейство цитохрома Р-450, для которого была предложена
специальная номенклатура. Например: цитохромы Р-450 1А1 и 1А2 - метаболизируют
полиароматические углеводороды (1-я арабская цифра обозначает генное семейство,
латинская буква - генное подсемейство, 2-я цифра - конкретный фермент);
цитохром Р-450 ЗА4 - афлатоксин В, цитохром Р-450 2Е1 - метаболизирует
нитрозоамины и т. п.
Восстановление. Чаще всего имеют место реакции восстановления нитро- и
азосоединений в амины, восстановление кетонов во вторичные спирты.
Гидролиз. Речь идет, главным образом, о гидролизе сложных эфиров и
амидов, с последующей деэтерификацией и дезаминированием.
-я фаза (реакции конъюгации) - это реакции, приводящие к детоксикации.
Наиболее важные из них - это реакции связывания активных -ОН, -NH2, -СООН и
-SH-групп и метаболита первичного ксенобиотика. Интересно, что некоторые
ксенобиотики, в частности лекарственные средства, могут стимулировать
активность ферментов, участвующих в метаболизме различных веществ (не только собственном).
Такая ферментативная индукция может считаться выгодной, т. к. метаболизм и
выведение токсических веществ ускоряется, если только промежуточные метаболиты
не окажутся более токсичными, чем исходные вещества.
Наиболее широка и многообразна активность ферментов семейства
глутатионтрансфераз. Они участвуют в реакциях конъюгации с восстановленным
глутатионом, которые могут протекать по следующей схеме:
+ Г-SH → HR-S-ГF-SH → R-SF + HX
Кроме того, глутатионтрансферазы восстанавливают органические гидроперекиси
в спирты.
Уридиндифосфат (УДФ) - глюкуронилтрансферазы присоединяют остаток
глюкуроновой кислоты к фенолам, спиртам, аминам. Эти ферменты метаболизируют,
например, анилин, фенол, морфин, левомецитин, парацетомол и др.
Ацетилтрансферазы присоединяют ацетил к N- или О-атомам, а метил
трансферазы метилируют ОН-, NH2- и SH-группы различных ксенобиотиков и
лекарственных средств.
К ферментам второй фазы относятся и некоторые другие ферменты, такие как:
сульфотрансфераза и метилтрансфераза.
Функционирование всех ферментов 2-ой фазы ограничивается тем, что они
метаболизируют только те вещества, которые имеют функциональные группы, поэтому
эти ферменты включаются после высвобождения или образования функциональных
групп ферментами первой фазы метаболизма ксенобиотиков. Однако трансферазы
имеют и важные достоинства: они присутствуют во всех клетках; функционируют при
любых путях поступления ксенобиотиков в организм; завершают детоксикацию, а
иногда исправляют ошибки первой фазы.
Факторы, влияющие на метаболизм чужеродных соединений. Чужеродные
соединения обычно метаболизируются различными путями, образуя множество
метаболитов. Скорость и направление этих реакций зависят от многих факторов,
результатом действия которых могут быть изменения в картине метаболизма и, как
следствие, возникают различия в токсичности.
Эти факторы по своему происхождению можно разделить на: а) генетические
(генетически обусловленные дефекты ферментов, участвующие в метаболизме
чужеродных соединений); б) физиологические (возраст, пол, состояние питания,
наличие различных заболеваний); в) факторы окружающей среды (облучение
ионизирующей радиацией, стресс из-за неблагоприятных условий, наличие других
ксенобиотиков).
Очень важно для процессов детоксикации, чтобы обе фазы детоксикации
функционировали согласованно, с некоторым доминированием реакций конъюгации,
особенно, если на первой стадии в результате метаболистических превращений из
первоначальных ксенобиотиков образуются вещества с выраженной токсичностью.
Принципиально важное значение для нормального функционирования обеих фаз
детоксикации имеет и соответствующий уровень эффективности антиоксидантной
системы клетки, что определяется активностью антиоксидазных ферментов и уровнем
низкомолекулярных анти-оксидантов: токоферолов, биофлавоноидов, витамина С и
других; поскольку хорошо известно, что функционирование системы цитохрома Р-450
связано с образованием активных форм кислорода: оксидрадикала, Н2О2, которые
вызывают деструкцию мембран, в том числе мембран эндоплазматического
ретикулума, и, тем самым, способны подавлять активность цитохром
Р-450-зависимых ферментов и частично ферментов конъюгации, которые встроены в
мембраны и активность которых связана с мембранным окружением.
Таким образом, антиоксидазная система функционирует как еще одна важная
система детоксикации, обеспечивающая защиту организма от агрессивных
органических свободных радикалов, перекисных производных, которые так же
являются опасными факторами онкогенности, как и рассматриваемые экзогенные
токсиканты.
.6
ФАЛЬСИФИКАЦИЯ ПИЩЕВЫХ ПРОДУКТОВ
Фальсификация: аспект безопасности
С точки зрения безопасности продуктов питания значительную опасность
могут представлять и некоторые виды фальсификации пищевых продуктов. Как
правило, это виды ассортиментной фальсификации, которые могут привести к
использованию опасных заменителей. Виды таких фальсификаций крайне разнообразны
(рис. 11.9).
Примерами могут служить: фальсификация алкогольных напитков путем
частичной или полной замены пищевого этилового спирта техническим спиртом,
содержащим вредные примеси; приготовление "искусственных" вин;
использование запрещенных пищевых добавок или применение их в повышенных
количествах; недостаточное отделение примесей в крупяных продуктах,
использование загрязненного растительного сырья, больных животных, испорченных
полуфабрикатов и т.д.
В каждом конкретном случае требуется специальная гигиеническая оценка,
основанная на современной нормативно-методической базе и осуществляемая
государственными органами надзора за качеством и безопасностью пищевых продуктов.
Последствия изготовления, реализации и потребления фальсифицированных
товаров связаны с риском и потерями, в первую очередь, со стороны потребителя.
При широком распространении фальсифицированной продукции возникает риск утраты
здоровья, снижается продолжительность жизни, увеличивается смертность от
болезней и пищевых отравлений, ухудшается структура питания, т. к. повышается
удельный вес низкокачественных и малоценных продуктов. Существенные потери, как
моральные, так и материальные несут и добросовестные производители.
Все это, в конечном счете, влияет на ухудшение качества жизни общества в
целом.
Генетически модифицированные продукты питания
Генетически модифицированные (трансгенные) продукты питания представляют
особый интерес. Сообщения о генетически модифицированных растениях и полученных
из них продуктах питания появились в начале 90-х гг. В настоящее время
генетическому изменению подвергается важнейшее растительное сырье, а без
использования растительного сырья получают лишь очень немногие продукты.
Успехи в области генной инженерии позволяют получать новые сорта растений
(причем в течение всего 2-3 лет) с заданными свойствами. За счет встраивания
генов, выделенных из одних организмов и несущих определенную генетическую
информацию (например, устойчивость к заморозкам, гербицидам, болезням и
паразитам, высокая урожайность, неполегаемость и др.) в ДНК других, были
получены растения, которые называют трансгенными, т. е. с перемещенными генами.
В США в настоящее время насчитывается более 150 наименований генетически
измененных продуктов, а площади в разных странах, на которых произрастают
трансгенные растения, составляют по разным оценкам от 10 до 25 млн га.
Трансгенные растения выращивают в США, Канаде, Японии, Китае, Бразилии,
Аргентине и многих других странах. Европейские государства занимают в этом
отношении более жесткую позицию. По прогнозам мировой рынок трансгенных культур
достигнет приблизительно 8 млрд долларов США к 2005 г. и 25 млрд долларов США к
2010 г.
В настоящее время среди промышленно выращиваемых трансгенных растений
доля устойчивых к гербицидам составляет 71%, устойчивых к вредителям - 22%,
устойчивых одновременно и к гербицидам, и к вредителям - 7%, устойчивых к
вирусным, бактериальным и грибным болезням - менее 1%.
К трансгенным продуктам можно отнести генетически измененную сою,
устойчивую к гербицидам. Как известно, соя используется для приготовления 30
000 пищевых продуктов: супов, детского питания, картофельных чипсов, маргарина,
салатных соусов, рыбных консервов и др. Кроме сои, наибольшее распространение
получили трансгенные помидоры, кукуруза, рис, картофель, клубника, а также
генетически модифицированные дрожжи и ферментные препараты, полученные из
трансгенных микроорганизмов.
Известны ферментные препараты, полученные из генетически модифицированных
микроорганизмов. Основными ферментными препаратами, полученными методами генной
инженерии, являются: а-амилаза из В. stearothermophilus, экстрессированная в В.
subtilis; а-амилаза В. megaterium, экстрессированная в В. subtilis; химозин А,
полученный их штамма Е. coli К-12, содержащего ген телячьего прохимозина А.
Кроме того, при производстве глюкозного сиропа из кукурузного крахмала
применяются ферменты из генетически измененных бактерий. В Германии получены
трансгенные пектиназы, используемые при производстве соков и вин. Генная
инженерия находит применение и в животноводстве, влияя на рост и продуктивность
сельскохозяйственных животных.
Возможны различные подходы к оценке генетически измененного сырья и
готовых пищевых продуктов из него. Это можно проиллюстрировать на примере
трансгенной сои и продуктов ее переработки (рис. 11.10).
Из трансгенного сырья (х) при технологической переработке (в зависимости
от способа) можно получить продукты как содержащие (х), так и не содержащие (о)
генетически измененные компоненты. Например, из сои получают масло, которое
может быть трансгенным (х), или нет (о). Соответственно продукты при
изготовлении которых используется соевое масло, будут трансгенными (х) или
обычными (о).
Безопасность генетически модифицированных продуктов питания остается все
еще под вопросом. Хотя нет конкретных примеров серьезной экологической
опасности трансгенных растений в природной среде, на сегодняшний день нет, и не
может быть однозначного ответа на вопрос о возможной опасности отдаленных
последствий таких продуктов, поскольку их потенциальная опасность не
подвергается сомнению (рис. 11.11).
Очевидно одно - трансгенная продукция должна проходить тщательную
многофакторную проверку на безопасность и иметь специальную маркировку. Однако
и в этом, пока больше вопросов, чем ответов.
Все бо́льшее число стран старается регламентировать продажу
"новых" пищевых продуктов. Так, в законе, принятом Европарламентом,
на упаковках нерафинированного масла и попкорна из генетически измененной
кукурузы должна быть соответствующая маркировка, а на упаковке с крахмалом или
полученным из него глюкозным сиропом подобная маркировка не требуется.
Маркировка не требуется на упаковке с рафинированным маслом или приготовленном
на его основе майонезе. Полученный из генетически измененного яблока мусс или
яблочный сок должны нести соответствующую маркировку, а яблочный уксус - нет.
Не фиксируется факт использования генетически измененного сырья при
изготовлении лецитина и получении с его помощью шоколада и крема. Должны иметь
соответствующую маркировку соевый шрот, белок, полученный их него, и готовые
супы с данным белком. Корма для животных, полученные из шрота генетически
измененной сои не маркируются.
В странах Евросоюза в настоящее время барьер перед генетически измененной
пищей сломан, однако, к потребителю допускается пища, в которой обнаруживаются
только следы генетических изменений.
В России с 1 июля 1999 г. вступило в силу постановление Министерства
здравоохранения РФ "О порядке гигиенической оценки и регистрации пищевой
продукции, полученной из генетически модифицированных источников".
Согласно этому документу гигиеническая экспертиза пищевых продуктов и
продовольственного сырья, а также компонентов (фрагментов) для их производства,
полученных из генетически модифицированных источников должна включать
определение вносимой последовательности генов, маркерных генов антибиотиков,
промотеров, стабильности генетически модифицированных организмов на протяжении
нескольких поколений, а также санитарно-химические показатели качества и
безопасности, результаты токсикологических исследований на лабораторных
животных, оценку аллергенных свойств продукта, возможных мутагенных,
канцерогенных и тератогенных эффектов. Кроме этого, обязательна технологическая
оценка пищевой продукции, полученной из генетически модифицированного сырья -
органолептических свойств и физико-химических параметров.
В начале XXI в. в различных регионах мира, в том числе и в нашей стране,
складывается сложная, часто парадоксальная экономическая ситуация. Перспектива
решения вопросов сельского хозяйства и обеспечения продовольствием жителей
планеты с помощью трансгенных культур сверх привлекательна, однако необходимо
помнить , что неправильно:
· эксплуатировать технологию, которая может непредвиденно
вызывать появление опасных для здоровья веществ, прежде чем не будет тщательно
изучена вероятность такого риска;
· эксплуатировать технологию, которая может оказать необратимое
воздействие на окружающую среду, прежде чем не будет доказано, что продукты
этой технологии не нанесут серьезного ущерба окружающей среде;
· подвергать людей и окружающую среду даже самой малой
опасности.
Контрольные вопросы
. Что такое безопасность продуктов питания? Из каких критериев она
складывается?
. Какова классификация вредных веществ, поступающих в организм человека с
пищей?
. Перечислите источники и пути загрязнения продовольственного сырья и
пищевых продуктов.
. Назовите основные группы ксенобиотиков из окружающей среды,
загрязняющих сырье и пищевые продукты.
. Какие контаминанты-загрязнители обладают способностью аккумулироваться
и передаваться по пищевым цепям?
. Назовите основные природные токсиканты, дайте оценку степени их
опасности для организма человека.
. Что такое антиалиментарные факторы питания? Назовите и дайте краткую
характеристику этим компонентам пищевого сырья и продуктов питания.
. Что такое генетически модифицированные продукты питания? В чем может
заключаться их опасность для здоровья человека?
. Назовите величины, характеризующие меру токсичности, и основные
параметры, регламентирующие поступление чужеродных веществ с пищей.
. В чем выражается сущность процесса детоксикации ксенобиотиков в
организме человека? Какие две основные фазы включает метаболизм чужеродных
соединений?
ГЛАВА 12. ОСНОВЫ РАЦИОНАЛЬНОГО ПИТАНИЯ
Нормальное функционирование организма человека определяется тремя
основными факторами, к которым относятся потребление пищи, воды и наличие
кислорода.
Совокупность процессов, связанных с потреблением и усвоением в организме
входящих в состав пищи веществ, называется питанием.
Питание включает последовательные процессы поступления, переваривания,
всасывания и усвоения в организме пищевых веществ, необходимых для покрытия его
энергозатрат, построения и возобновления клеток и тканей тела и регуляции
функций организма.
Вопросы, связанные с влиянием пищевых веществ на организм человека,
оптимальными условиями их переваривания и усвоения, потребностями организма в
пищевых веществах, изучает физиология питания.
.1
ФИЗИОЛОГИЧЕСКИЕ АСПЕКТЫ ХИМИИ ПИЩЕВЫХ ВЕЩЕСТВ
Продукты, употребляемые человеком в пищу в натуральном или переработанном
виде (пищевые продукты), представляют собой сложные системы с единой внутренней
структурой и общими физико-химическими свойствами. Они характеризуются
исключительным разнообразием химической природы и состава образующих их
компонентов.
В общем случае химический состав пищевого продукта формируют три основные
группы компонентов: а) продовольственное сырье, б) пищевые добавки, в)
биологически активные добавки.
Продовольственное сырье - объекты растительного, животного,
микробиологического, а также минерального происхождения, используемые для
изготовления пищевых продуктов.
Пищевые добавки - природные или синтезированные вещества, соединения,
специально вводимые в пищевые продукты в процессе изготовления последних в
целях придания пищевым продуктам определенных (заданных) свойств и (или)
сохранения их качества.
Биологически активные добавки - концентраты природных или идентичных
природным биологически активных веществ, предназначенные для непосредственного
приема с пищей или введения в состав пищевых продуктов.
Название пищевых получили химические вещества пищи, которые
ассимилируются в процессе обмена веществ организма.
В аспекте биохимии питания все вещества, которые могут быть обнаружены в
составе пищевого продукта, в обобщенном виде подразделяют натри основных
класса: два класса собственно пищевых (алиментарных: от англ, alimentary -
пищевой, питательный) веществ - макро- и микронутриенты и класс непищевых
(неалиментарных) веществ. Представители каждого из классов отличаются
химическим составом, особенностями физиологического действия и уровнем
содержания в пищевых продуктах. Модифицированный классификатор основных веществ
пищи, предложенный А. А. Покровским, представлен на рис. 12.1.
Макронутриенты (от лат. "nutritio" - питание) - класс главных
пищевых веществ, представляющих собой источники энергии и пластических
(структурных) материалов; присутствуют в пище в относительно больших
количествах (от 1 грамма). Представителями этого класса являются углеводы,
липиды и белки.
Микронутриенты - класс пищевых веществ, оказывающих выраженные
биологические эффекты на различные функции организма; содержатся в пище, как
правило, в небольших количествах (милли- и микрограммы). Класс микронутриентов
объединяет витамины, предшественники витаминов и витаминоподобные вещества, а
также минеральные вещества.
Помимо этих биологически активных компонентов пищи, к классу
микронутриентов (по А. А. Покровскому) относят некоторые пищевые вещества,
выделенные из отдельных групп макронутриентов. В их число входят: представители
группы липидов (полиненасыщенные жирные кислоты и фосфолипиды), представители
белков (некоторые аминокислоты), представители углеводов (отдельные
олигосахариды).
Физиологические аспекты основных представителей класса микронутриентов
разбирались в соответствующих разделах учебника.
В третий класс выделены вещества, обычно содержащиеся в пищевых
продуктах, но не используемые организмом в процессе жизнедеятельности. К таким
веществам, объединяемым термином "непищевые", принадлежат различные
технологические добавки (ароматизаторы, красители, консерванты, антиоксиданты и
др.), ядовитые вещества и т.п.
Однако в настоящее время роль многих неалиментарных веществ
пересматривается. Причиной тому послужили открытия у отдельных непищевых
веществ новых свойств, связанных с физиологией питания. К ним относятся
представлявшие группу балластных веществ пищевые волокна, предшественники
синтеза биологически активных веществ, ферменты и эубиотики (синоним термина
"пробиотики"). Последние представляют собой, в соответствии с
последней редакцией этого термина, пищевые добавки микробного и не микробного
происхождения, оказывающие позитивное действие на организм человека через
регуляцию кишечной микрофлоры (см. с. 602).
Все естественные биологически активные ингредиенты пищи II и III классов,
оказывающие выраженное влияние на многие функции организма, объединяются
термином "нутрицевтики" (см. 9.6).
Из класса микронутриентов в особую группу, объединяемую названием
"парафармацевтики", выделяют вещества пищи, оказывающие выраженное
фармакологическое действие (см. рис. 9.13). В группу парафармацевтиков входят
биофлавоноиды, гликозиды, алкалоиды, эфирные масла, органические кислоты и
многие другие (см. рис. 12.1).
Каждой группе пищевых веществ в процессах питания принадлежит своя особая
роль.
.2 ПИТАНИЕ И
ПИЩЕВАРЕНИЕ
Пищеварение является начальным этапом ассимиляции пищевых веществ,
который состоит в превращении исходных пищевых структур сложного химического
состава в компоненты, лишенные видовой специфичности, легко усваиваемые
организмом.
Другими словами, пищеварение представляет собой совокупность процессов,
связанных с расщеплением пищевых веществ на простые растворимые соединения,
способные легко всасываться и усваиваться организмом.
Сегодня доказано, что ассимиляция пищевых веществ осуществляется по
трехзвенной схеме, основанной на разных типах пищеварения:
полостное → мембранное (пристеночное) → внутриклеточное
(всасывание)
Полостным является пищеварение, происходящее в пищеварительных полостях -
ротовой, желудочной, кишечной, удаленных от секреторных клеток (слюнные железы,
желудочные железы), которые синтезируют пищеварительные ферменты. Этот вид
пищеварения обеспечивает интенсивное начальное переваривание.
Мембранное (пристеночное) пищеварение осуществляется с помощью ферментов,
локализованных на специальных структурах свободных поверхностей клеток
(микроворсинках) в тонком кишечнике. Мембранное пищеварение осуществляет
промежуточные и заключительные стадии гидролиза пищевых веществ, а также
сопряжение конечных этапов переваривания и начальных этапов всасывания.
Процессы пищеварения, объединяющие механические, физико-химические и
химические изменения пищевых веществ, осуществляются у человека специальными,
связанными между собой органами, совокупность которых образует пищеварительную
систему (аппарат).
Пищеварительный аппарат человека (рис. 12.2) включает пищеварительный
канал (желудочно-кишечный тракт) длиной 8-12 м, в который входят в
последовательной взаимосвязи ротовая полость, глотка, пищевод, желудок,
двенадцатиперстная
Рис. 12.2. Схема пищеварительного аппарата:
- глотка; 2- пищевод; 3- желудок; 4- тонкая кишка; 5- нисходящая часть
толстой кишки; 6- прямая кишка; 7- подвздошная кишка; <?- аппендикс; 9-
слепая кишка; 10- восходящая часть толстой кишки; 11 - ободочная кишка;
12-двенадцатиперстная кишка; 13 - поджелудочная железа; 14 - желчный проток; 15
- желчный пузырь; 16- печень; 17- ротовая полость; 18- слюнные железы
кишка, тонкий и толстый кишечник с прямой кишкой и основные железы -
слюнные железы, печень, поджелудочная железа.
Желудочно-кишечный тракт выполняет три основные функции:
· пищеварительную;
· экскреторную;
· регуляторную.
Пищеварительная функция желудочно-кишечного тракта объединяет четыре
процесса: процесс моторики, процесс секреции, процесс гидролиза, процесс
всасывания.
Различные процессы последовательной обработки пищи, приводящие к
физическим, физико-химическим или химическим изменениям, осуществляются по мере
ее перемещения по пищеварительному каналу, функции различных отделов которого
строго специализированы.
Основные пищеварительные процессы
В общем случае физические и физико-химические изменения пищи заключаются
в ее размельчении, перемешивании, набухании, частичном растворении, образовании
суспензий и эмульсий; химические изменения связаны с рядом последовательных
стадий расщепления основных нутриентов.
Процесс разрушения (деполимеризация) природных полимеров осуществляется в
организме путем ферментативного гидролиза с помощью пищеварительных
(гидролитических) ферментов, именуемых гидролазами.
Деполимеризуются только макронутриенты (белки, жиры, углеводы). В
деполимеризации участвуют три группы гидролаз: протеазы (ферменты, разрушающие белки),
липазы (ферменты, расщепляющие жиры), амилазы (ферменты, расщепляющие
углеводы).
Ферменты образуются в специальных секреторных клетках пищеварительных
желез и поступают внутрь пищеварительного тракта вместе со слюной и
пищеварительными соками - желудочным, поджелудочным и кишечным, объем выделения
которых составляет у человека около 7 литров в сутки.
Процесс образования и выделения специальными железами организма особых
активных веществ (секретов) называется секрецией.
Наряду с ферментами, являющимися катализаторами биохимических процессов
расщепления пищевых веществ, в состав пищеварительных соков входят вода,
различные соли, а также слизь, способствующая лучшему передвижению пищи.
Одной из ключевых биологических закономерностей, определяющих процессы
ассимиляции пищи, является правило соответствия: ферментные наборы организма
находятся в соответствии с химическими структурами пищи; нарушение этого
соответствия служит причиной многих заболеваний. Общие представления об этом
соответствии иллюстрирует таблица 12.1.
Таблица 12.1. Пищеварительные ферменты человека и их специфичность
|
Ферменты
|
Оптимальное значение рН
|
Соответствие видам пищи
|
|
|
соответствует
|
не соответствует
|
|
Переваривающие белки
(протеазы)
|
|
|
|
|
пепсин
|
1,0-1,5
|
Большинство белков
глобулярной природы
|
Кератины, эластины,
коллагены - плохо перевариваются из-за особенностей третичной структуры
|
|
гастриксин
|
2,0-3,0
|
Тоже
|
Тоже
|
|
трипсин
|
8,0
|
" "
|
" "
|
|
химотрипсин
|
8,0
|
" "
|
" "
|
|
аминопептидазы
|
8,0
|
Пептиды (с N-концевого
аминокислотного остатка)
|
" "
|
|
карбоксипептидазы
|
8,0
|
Пептиды (с С-концевого
аминокислотного остатка)
|
" "
|
|
дипептидазы
|
8,0
|
Дипептиды
|
|
|
Переваривающие углеводы
(амилазы)
|
|
|
|
|
α-амилаза(птиалин)
|
7,0
|
Крахмал, гликоген, другие α-полисахариды
|
Целлюлоза и гемицеллюлозы
из-за наличия β-ГЛИКОЗОИДНОЙ связи
|
|
дисахаридазы
|
6,5-7,5
|
Сахароза, мальтоза, лактоза
|
Тоже
|
|
Переваривающие жиры
(липазы)
|
8,0
|
Ацилглицерины
|
Воски
|
В действительности, для эффективного пищеварения необходим набор
обеспечивающих комплексное действие ферментов, которые вырабатываются пищеварительными
железами в зависимости от состава поглощаемой пищи.
Основные отделы пищеварительного канала (пищевод, желудок и кишечник)
имеют три оболочки:
· внутреннюю слизистую, с расположенными в ней железами,
выделяющими слизь, а в отдельных органах - и пищеварительные соки;
· среднюю мышечную, сокращение которой обеспечивает прохождение
пищевого комка по пищеварительному каналу;
· наружную серозную, которая выполняет роль покровного слоя.
Последовательные этапы переваривания и всасывания макронутриентов в желудочно-кишечном
тракте представлены на рис. 12.3.
В ротовой полости основными процессами переработки пищи являются
измельчение, смачивание слюной и набухание. В результате этих процессов из пищи
формируется пищевой комок. Продолжительность переработки пищи в полости рта
15-25 с. Помимо указанных физических и физико-химических процессов, в ротовой
полости под действием слюны начинаются химические процессы, связанные с
деполимеризацией.
В слюне человека, представляющей собой пищеварительный сок с близким к
нейтральному значением рН, содержатся ферменты, вызывающие расщепление
углеводов (см. табл. 12.1).
Из-за слишком короткого пребывания пищи во рту, полного расщепления
крахмала до глюкозы здесь не происходит, образуется смесь, состоящая, главным
образом, из олигосахаридов.
Пищевой комок с корня языка через глотку и пищевод попадает в желудок,
который представляет собой полый орган объемом в норме около 2 л со складчатой
внутренней поверхностью, вырабатывающей слизь и поджелудочный сок.
В желудке пищеварение продолжается в течение 3,5-10,0 ч. Здесь происходят
дальнейшее смачивание и набухание пищевого комка, проникновение в него
желудочного сока, свертывание белков, створаживание молока. Наряду с
физико-химическими, начинаются химические процессы, в которых участвуют
ферменты желудочного сока.
Чистый желудочный сок, выделение которого зависит от количества и состава
пищи и соответствует 1,5-2,5 л/сут, представляет собой бесцветную прозрачную
жидкость, содержащую соляную кислоту в концентрации 0,4-0,5% (рН 1-3).
Функции соляной кислоты связаны с процессами денатурации и разрушения
белков, создания оптимума рН для пепсиногенов, подавления роста патогенных
бактерий, регуляции моторики, стимуляции секреции энтерокиназы.
Процессы денатурации белков в последующем облегчают действие протеаз.
В желудке работают три группы ферментов: а) ферменты слюны - амилазы,
которые действуют первые 30-40 с - до появления кислой среды; б) ферменты
желудочного сока - протеазы (пепсин, гастриксин, желатиназа), расщепляющие
белки до полипептидов и желатина; в) липазы, расщепляющие жиры.
Расщеплению в желудке подвергается примерно 10% пептидных связей в
белках, вследствие чего образуются продукты, растворимые в воде.
Продолжительность и активность действия липаз невелики, поскольку они обычно
действуют только на эмульгированные жиры в слабощелочной среде. Продуктами
деполимеризации являются неполные глицериды.
Из желудка пищевая масса, имеющая жидкую или полужидкую консистенцию,
поступает в тонкий кишечник (общая длина 5-6 м), верхняя часть которого
называется двенадцатиперстной кишкой (в ней процессы ферментативного гидролиза
наиболее интенсивны).
В двенадцатиперстной кишке пища подвергается действию трех видов
пищеварительных соков, которыми являются сок поджелудочной железы (поджелудочный
или панкреатический сок), сок, вырабатываемый клетками печени (желчь) и сок,
вырабатываемый слизистой оболочкой самой кишки (кишечный сок). В состав
поджелудочного сока входят комплекс ферментов и бикарбонаты, создающие щелочную
среду (рН 7,8 - 8,2).
По мере поступления в двенадцатиперстную кишку поджелудочного сока, в ней
идет нейтрализация соляной кислоты и повышение рН. У человека рН среды в
двенадцатиперстной кишке колеблется в пределах 4,0-8,5. Здесь работают ферменты
поджелудочного сока, к которым относятся протеазы, расщепляющие белки и
полипептиды (трипсин, химотрипсин, карбоксипептидазы, аминопептидазы), липазы,
расщепляющие жиры, эмульгированные желчными кислотами, амилазы, заканчивающие
полное расщепление крахмала до мальтозы, а также рибонуклеаза и
дезоксирибонуклеаза, расщепляющие РНК и ДНК.
Секреция поджелудочного сока начинается через 2-3 мин после приема пищи и
продолжается 6-14 ч, т. е. в течение всего периода пребывания пищи в
двенадцатиперстной кишке.
Установлено, что ферментный состав поджелудочного сока изменяется в
зависимости от характера питания, например при жирной пище увеличивается
активность липазы и наоборот.
Помимо поджелудочного сока, в двенадцатиперстную кишку из желчного пузыря
поступает желчь, которую вырабатывают клетки печени. Она имеет слабощелочное
значение рН и поступает в двенадцатиперстную кишку через 5-10 мин после приема
пищи. Суточное выделение желчи у взрослого человека составляет 500-700 мл.
Желчь обеспечивает эмульгирование жиров, растворение продуктов их гидролиза,
активацию панкреатических и кишечных ферментов, регуляцию моторики и секреции
тонкого кишечника, регуляцию секреции поджелудочной железы, регуляцию
желчеобразования, нейтрализацию кислой среды и инактивацию трипсина. Кроме
того, она участвует во всасывании жирных кислот, образуя с ними растворимые в
воде комплексы, которые всасываются в клетки слизистой кишечника, где
происходит распад комплексов и поступление кислот в лимфу.
Третьим видом пищеварительного сока в двенадцатиперстной кишке является
сок, вырабатываемый ее слизистой оболочкой и называемый кишечным соком.
Ключевым ферментом кишечного сока является энтерокиназа, которая
активизирует все протеолитические ферменты, содержащиеся в поджелудочном соке в
неактивной форме. Помимо энтерокиназы, в кишечном соке содержатся ферменты,
расщепляющие дисахариды до моносахаридов.
Итак, в полости двенадцатиперстной кишки под действием ферментов,
секретируемых поджелудочной железой, происходит гидролитическое расщепление
большинства крупных молекул - белков (и продуктов их неполного гидролиза),
углеводов и жиров. Из двенадцатиперстной кишки пища переходит в конец тонкого
кишечника.
В тонком кишечнике завершается разрушение основных компонентов пищи.
Кроме полостного пищеварения, в тонком кишечнике происходит мембранное
пищеварение, в котором участвуют те же группы ферментов, расположенные на
внутренней поверхности тонкой кишки. В состав панкреатических ферментов в
пристеночном пищеварении входят амилазы, трипсин и химотрипсин. Особую роль
этот вид пищеварения играет в процессах расщепления дисахаридов до
моносахаридов и пептидов до аминокислот. В тонком кишечнике происходит
заключительный этап пищеварения - всасывание питательных веществ (продуктов
расщепления макронутриентов, микронутриентов и воды).
На внутренней поверхности кишечника расположено множество складок с
большим количеством пальцевидных выступов - ворсинок, каждая из которых покрыта
эпителиальными клетками, несущими многочисленные микроворсинки. Такое строение,
увеличивающее площадь поверхности тонкого кишечника до 180 м2, обеспечивает
эффективное всасывание образовавшихся низкомолекулярных соединений. Через
поверхность ворсинок продукты пищеварения транспортируются в эпителиальные
клетки, а из них - в капилляры кровеносной системы и в лимфатические сосуды,
расположенные в стенках кишечника.
Представление о строении ворсинок, расположенных на внутренней
поверхности тонкого кишечника, можно составить с помощью схемы, изображенной на
рис. 12.4.
Подсчитано, что за час в тонком кишечнике может всасываться до 2-3 л
жидкости, содержащей растворенные питательные вещества.
Рис. 12.4. Схема строения ворсинок слизистой тонкого кишечника:
- ворсинка; 2 - слой клеток, через которые происходит всасывание; 3 -
начало лимфатического сосуда в ворсинке; 4 - кровеносные сосуды в ворсинке; 5-
кишечные железы; 6 - лимфатический сосуд в стенке тонкой кишки; 7- кровеносные
сосуды в стенке тонкой кишки; 8 - часть мышечного слоя в кишечной стенке
Подобно пищеварительным, транспортные процессы в тонком кишечнике
распределены неравномерно. Всасывание минеральных веществ, моносахаридов и
частично жирорастворимых витаминов происходит уже в верхнем отделе тонкого
кишечника. В среднем отделе всасываются водо- и жирорастворимые витамины,
мономеры белков и жиров, в нижнем - происходит всасывание витамина В12 и солей
желчных кислот.
В толстом кишечнике, длина которого составляет 1,5-4,0 м, пищеварение
практически отсутствует. Здесь всасываются вода (до 95%), соли, глюкоза,
некоторые витамины и аминокислоты, продуцируемые кишечной микрофлорой
(всасывание составляет всего 0,4-0,5 л в сутки). Толстый кишечник является
местом обитания и интенсивного размножения различных микроорганизмов,
потребляющих неперевариваемые остатки пищи, в результате чего образуются
органические кислоты (молочная, пропионовая, масляная и др.), газы (диоксид
углерода, метан, сероводород), а также некоторые ядовитые вещества (фенол,
индол и др.), обезвреживающиеся в печени.
Кишечная микрофлора является важным органом вторичного переваривания пищи
и формирования каловых масс, который, в соответствии с теорией адекватного
питания, во многом обеспечивает возможность широкого варьирования рациона
питания и устойчивость к новым видам пищи.
Ключевыми функциями кишечной микрофлоры являются:
· синтез витаминов группы В, фолиевой и пантотеновой кислот,
витаминов Н и К;
· метаболизм желчных кислот с образованием, в отличие от
патогенной микрофлоры, нетоксичных метаболитов;
· утилизация в качестве питательного субстрата некоторых
токсичных для организма продуктов пищеварения;
· стимуляция иммунной реактивности организма.
Схемы процессов переваривания макронутриентов
Основными конечными продуктами гидролитического расщепления
высокомолекулярных веществ, содержащихся в пище, являются мономеры. Каждый из
трех видов макронутриентов имеет свою схему процесса переваривания.
Переваривание углеводов. Из углеводов у человека перевариваются, в
основном, полисахариды - крахмал, содержащийся в растительной пище, и гликоген,
содержащийся в пище животного происхождения. Этапы переваривания этих
полисахаридов сходны и иллюстрируются на примере переваривания крахмала:
Оба полисахарида полностью расщепляются ферментами желудочно-кишечного
тракта до составляющих их структурных блоков, а именно до свободной D-глюкозы.
Процесс начинается во рту под действием амилазы слюны с образованием смеси,
состоящей из мальтозы, глюкозы и олигосахаридов, а продолжается и заканчивается
в тонком кишечнике под действием амилазы поджелудочной железы, поступающей в
двенадцатиперстную кишку.
Гидролиз пищевых дисахаридов - сахарозы, лактозы и мальтозы -
катализируют ферменты, находящиеся в наружном слое эпителиальных клеток,
выстилающих тонкий кишечник:
У многих взрослых азиатов и африканцев с возрастом часто пропадает
лактазная активность. В этом случае молочный сахар не расщепляется в кишечнике,
а частично сбраживается микроорганизмами с образованием газов, что вызывает
диарею.
В эпителиальных клетках тонкого кишечника D-фруктоза, D-галактоза, а
также D-манноза частично превращаются в D-глюкозу. Смесь простых гексоз
поглощается выстилающими тонкий кишечник эпителиальными клетками и доставляется
кровью в печень.
Переваривание белков. Белки пищи расщепляются ферментами в
желудочно-кишечном тракте до составляющих их аминокислот:

Пепсин, трипсин, химотрипсин и карбоксипептидаза секретируются в
желудочно-кишечный тракт в виде неактивных зимогенов. Активация пепсина в
желудочном соке происходит путем автокатализа. Активация трипсина
осуществляется в тонком кишечнике под действием фермента энтерокиназы,
содержащегося в кишечном соке. Трипсин в активной форме активирует в тонком
кишечнике другие зимогены протеаз.
В здоровом организме зимогены, выделяемые поджелудочной железой,
активируются только в тонком кишечнике, в противном случае возникает
заболевание, именуемое острый панкреатит.
Переваривание жиров. Этот процесс осуществляется, главным образом, в
тонком кишечнике липазой поджелудочной железы, поступающей в виде зимогена
(пролипазы), который только в кишечнике превращается в активную липазу.
В присутствии желчных кислот и специального белка, имеющего наименование
колипаза, активная липаза катализирует гидролиз триацилглицерина с отщеплением
крайних ацилов и образованием смеси свободных высших жирных кислот в виде мыл
(калиевых и натриевых солей) и 2-моноацилглицеринов, которые эмульгируются при
помощи желчных кислот и всасываются кишечными клетками. Процесс может быть
описан следующей схемой:
Соли желчных кислот (производные холевой кислоты) поступают из печени в
желчь, а с ней - в верхнюю часть тонкого кишечника. После всасывания кислот и
2-моноацилглицеринов из эмульгированных капелек жира в нижнем отделе тонкого
кишечника происходит обратное всасывание солей желчных кислот, которые
возвращаются в печень и используются повторно. Таким образом, желчные кислоты
постоянно циркулируют между печенью и тонким кишечником. Причем, они играют
важную роль в усвоении не только триацилглицеринов, но и всех других
жирорастворимых компонентов пищи. Так, недостаток желчных кислот может привести
к пищевой недостаточности витамина А. Желчные кислоты нужны также для
всасывания ионов Са2+, Mg2+, Fe2+.
Кроме указанных, продуктами переваривания липидов являются легко
всасывающиеся глицерин, фосфорная кислота, холин и другие растворимые
компоненты. Продукты деполимеризации всасываются в лимфу, а оттуда попадают в
кровь.
Водорастворимые витамины всасываются из тонкого кишечника в кровь, где
образуют комплексы с соответствующими белками, и в таком виде транспортируются
к различным тканям.
Во всасывании воды и минеральных веществ значительную роль играет их
активный транспорт через мембраны кишечной стенки, составляющий 8-9 л воды.
Основной источник воды - пищеварительные соки пищеварительной системы и лишь
1,5 л воды поступает извне. Это важный путь сохранения водного баланса в
организме.
За исключением большей части триацилглицеринов, питательные вещества,
поглощенные в кишечном тракте, поступают в печень, которая является основным
центром распределения питательных веществ, где сахара, аминокислоты и некоторые
липиды подвергаются дальнейшим превращениям и распределяются между разными
органами и тканями.
Метаболизм макронутриентов
Основными конечными продуктами гидролитического расщепления содержащихся
в пище макронутриентов являются мономеры (сахара, аминокислоты, высшие жирные
кислоты), которые, подвергаясь всасыванию на уровне пищеварительно-транспортных
комплексов, являются, в большинстве случаев, основными элементами метаболизма
(промежуточного обмена) и из которых в различных органах и тканях организма вновь
синтезируются сложные органические соединения.
Под метаболизмом (от греч. metaboli - перемена) подразумевают в данном
случае превращение веществ внутри клетки с момента их поступления до
образования конечных продуктов. При этих химических превращениях освобождается
и поглощается энергия.
Основная масса питательных веществ, поглощенных в пищеварительном тракте,
поступает в печень, представляющую собой главный центр их распределения в
организме человека. Возможны пять путей метаболизма в печени основных питательных
веществ, схематичное отображение которых представлено на рис. 12.5-12.7.
Метаболизм углеводов связан с образованием глюкозо-6-фосфата,
происходящим при фосфорилировании с помощью АТФ поступающей в печень свободной
D-глюкозы.
Основной путь метаболизма через D-глюкозу-б-фосфат связан с его
превращением в D-глюкозу, поступающую в кровь, где ее концентрация должна
поддерживаться на уровне, необходимом для обеспечения энергией мозга и других
тканей. Концентрация глюкозы в плазме крови в норме должна составлять 70-90
мг/100 мл. Глюкозо-6-фосфат, который не был использован для образования глюкозы
крови, в результате действия двух специфических ферментов превращается в
гликоген и запасается в печени.
Избыток глюкозо-6-фосфата, не преобразованный в глюкозу крови или
гликоген, через стадию образования ацетил-КоА может быть преобразован в жирные
кислоты (с последующим синтезом липидов) или холестерин, а также подвергнуться
распаду с накоплением энергии АТФ или образованием пентозофосфатов.
Метаболизм аминокислот может происходить по путям, включающим:
· транспорт через систему кровообращения в другие органы, где
осуществляется биосинтез тканевых белков;
· синтез белков печени и плазмы;
· преобразование в глюкозу и гликоген в процессе
глюконеогенеза;
· дезаминирование и распад с образованием ацетил-КоА, который
может подвергаться окислению с накоплением энергии, запасаемой в форме АТФ,
либо превращаться в запасные липиды; аммиак, образующийся при дезаминировании
аминокислот, включается в состав мочевины;
· превращение в нуклеотиды и другие продукты, в частности
гормоны.
Метаболизм жирных кислот по основному пути предусматривает их
использование в качестве субстрата энергетического обмена в печени.
Свободные кислоты подвергаются активации и окислению с образованием ацетил-КоА
и АТФ. Ацетил-КоА окисляется далее в цикле лимонной кислоты, где в ходе
окислительного фосфорилирования вновь образуется АТФ.
Избыток ацетил-КоА, высвобождаемый при окислении кислот, может
превращаться в кетоновые тела (ацетоацетат и β-D-гидроксибутират), представляющие
собой транспортную форму ацетильных групп к периферическим тканям, или
использоваться в биосинтезе холестерина - предшественника желчных кислот,
участвующих в переваривании и всасывании жиров.
Два других пути метаболизма жирных кислот связаны с биосинтезом
липопротеинов плазмы крови, функционирующих в качестве переносчиков липидов в
жировую ткань, или с образованием свободных жирных кислот плазмы крови,
транспортируемых в сердце и скелетные мышцы в качестве основного "топлива".
Таким образом, выполняя функции "распределительного центра" в
организме, печень обеспечивает доставку необходимых количеств питательных
веществ в другие органы, сглаживает колебания в обмене веществ, обусловленные
неравномерностью поступления пищи, осуществляет превращение избытка аминогрупп
в мочевину и другие продукты, которые выводятся почками.
Помимо превращения и распределения макронутриентов, в печени активно
протекают процессы ферментативной детоксикации инородных органических
соединений (неалиментарных веществ) -лекарств, пищевых добавок, консервантов и
других потенциально вредных веществ, не имеющих пищевой ценности. Представления
об этих превращениях иллюстрирует схема на рис. 12.8.
Детоксикация состоит в том, что относительно нерастворимые соединения
подвергаются биотрансформации, в результате чего становятся более растворимыми,
легче расщепляются и выводятся из организма. Большинство процессов
биотрансформации связано с реакциями ферментативного окисления с участием
фермента цитохрома Р 450. В общем виде процесс биотрансформации включает две
фазы: образование метаболитов и их последующее связывание в различных реакциях
с образованием растворимых конъюгатов.
.3 ТЕОРИИ И
КОНЦЕПЦИИ ПИТАНИЯ
Формирование научных представлений о питании и роли пищевых веществ в
процессах жизнедеятельности началось лишь в середине XIX в. с появлением
классической парадигмы питания, которой предшествовал ряд научных открытий,
непосредственно или опосредованно связанных с питанием. К ним относятся
открытие витаминов, ионов микроэлементов, научные достижения, связанные с
выяснением структуры белков, жиров, углеводов и нуклеиновых кислот, роли
микроэлементов в жизнедеятельности организма, структуры и организации
биологических систем, научные данные, связанные со строением организма на
клеточном уровне. Впервые за всю историю эволюции цель питания стали связывать
со здоровьем человека.
Суть первой научной парадигмы питания сводилась к необходимости
обеспечения организма питательными веществами, которые требуются для его
нормального функционирования и освобождения от балластных компонентов.
Концентрированным выражением классической парадигмы явилась окончательно
сформировавшаяся в конце XIX - начале XX в. теория сбалансированного питания, в
основе которой лежаттри главных положения.
. При идеальном питании приток веществ точно соответствует их потере.
. Приток питательных веществ обеспечивается путем разрушения пищевых
структур и использования организмом образовавшихся органических и
неорганических веществ.
. Энергетические затраты организма должны быть сбалансированы с
поступлением энергии.
Согласно этой теории, нормальное функционирование организма
обеспечивается при его снабжении не только необходимыми энергией и белком, но
также при соблюдении определенных соотношений между многочисленными
незаменимыми факторами питания, каждый из которых выполняет свою специфическую
функцию в обмене веществ.
В основе концепции сбалансированного питания лежит определение пропорций
отдельных пищевых веществ в рационе, отражающих сумму обменных реакций, которые
характеризуют химические процессы, обеспечивающие в итоге жизнедеятельность
организма. Одной из главных биологических закономерностей, на которых
базируется теория, является правило соответствия ферментных наборов организма
химическим структурам пищи, о котором упоминалось в разделе "Питание и
пищеварение" (см. раздел 12.2).
Формула сбалансированного питания по А. А. Покровскому представляет собой
таблицу, включающую перечень пищевых компонентов с потребностями в них в
соответствии с физиологическими особенностями организма. В сокращенном виде
средняя потребность взрослого человека в пищевых веществах (формула
сбалансированного питания взрослых по А. А. Покровскому) представлена ниже.
|
Вода, г
|
1750-2200
|
|
в том числе:
|
|
|
питьевая (вода, чай, кофе и
др.)
|
800-1000
|
|
в супах
|
250-500
|
|
в продуктах питания
|
700
|
|
Белки, г
|
80-100
|
|
в том числе животные
|
50
|
|
Незаменимые аминокислоты, г
|
|
|
триптофан
|
1
|
|
лейцин
|
4-6
|
|
изолейцин
|
3-4
|
|
валим
|
4
|
|
треонин
|
2-3
|
|
лизин
|
3-5
|
|
метионин
|
2-4
|
|
фенилаланин
|
2-4
|
|
Заменимые аминокислоты, г
|
|
|
гистидин +
|
2
|
|
аргинин +
|
6
|
|
цистин +
|
2-3
|
|
тирозин +
|
3-4
|
|
аланин
|
3
|
|
серин
|
3
|
|
глутаминовая кислота
|
16
|
|
аспарагиновая кислота
|
6
|
|
пролин
|
5
|
|
глицин
|
3
|
|
Углеводы, г
|
400-500
|
|
в том числе: крахмал
|
400-450
|
|
сахар
|
50-100
|
|
Органические кислоты
(молочная, лимонная и т. д.), г
|
2
|
|
Балластные вещества
(клетчатка, пектин), г
|
25
|
|
Жиры, г
|
80-100
|
|
в том числе:
|
|
|
полиненасыщенные
|
|
|
жирные кислоты, г
|
3-6
|
|
растительные
|
20-25
|
|
холестерин +
|
0,3-0,6
|
|
фосфолипиды +
|
5
|
|
Минеральные вещества, мг
|
|
|
кальций
|
800-100
|
|
фосфор
|
1000-1500
|
|
натрий
|
4000-6000
|
|
калий
|
2500-5000
|
|
хлориды
|
5000-7000
|
|
магний
|
300-500
|
|
железо
|
15
|
|
цинк
|
10-15
|
|
марганец
|
5-10
|
|
хром
|
2-2,5
|
|
медь
|
1
|
|
кобальт
|
0,1-0,2
|
|
молибден
|
0,5
|
|
селен +
|
0,5
|
|
фториды
|
0,5-1,0
|
|
иодиды
|
0,1-0,2
|
|
Витамины, мг
|
|
|
С (аскорбиновая кислота)
|
70-100
|
|
В1 (тиамин)
|
1,5-2,0
|
|
В2 (рибофлавин)
|
2,0-2,5
|
|
В2 (различные формы)
|
0,04 (300-400 MEдля детей)
|
|
РР (никотиновая кислота)
|
15-25
|
|
В3 (пантотенат)
|
5-10
|
|
А (различные формы)
|
1,5-2,5
|
|
В6 (пиридоксин)
|
2-3
|
|
В12 (кобаламин)
|
0,005-0,08
|
|
В15 (пангамовая кислота)
|
2,5
|
|
Р (рутин)
|
25
|
|
В9 (фолиевая кислота)
|
0,1-0,5
|
|
Е (различные формы)
|
2-6
|
|
К (различные формы)
|
2
|
|
биотин
|
0,15-0,3
|
|
холин
|
500-1000
|
|
липоевая кислота +
|
0,5
|
|
инозит, г +
|
0,5-1,0
|
Примечание: + означает факторы питания, которые либо могут частично
замещать незаменимые вещества, либо их незаменимость не может считаться
окончательно установленной.
Формула составлена на общую энергетическую ценность суточной нормы
пищевых веществ, равную 3000 ккал.
В соответствии с тенденциями к снижению энергетических потребностей современного
человека нормы потребления макронутриентов (источников энергии) также
пересматриваются.
Исходя из формулы сбалансированного питания, полноценный рацион (от
латинского слова ratio - расчет, мера - порция пищи определенного состава на
известный срок) должен содержать питательные вещества пяти классов:
· источники энергии - белки, жиры, углеводы;
· незаменимые аминокислоты;
· витамины;
· незаменимые жирные кислоты;
· неорганические элементы.
Вода, хотя и не является питательным веществом в прямом смысле слова,
также необходима человеку для воспроизведения потерь в различных процессах,
например при дыхании, потоотделении и т. п.
Обычно организмом используется 300-400 мл метаболической (эндогенной)
воды, освобождающейся в процессе биологического окисления; остальное
количество, обеспечивающее суточную потребность (1750-2200 г), должно
поставляться в организм с жидкими продуктами питания.
Вещества каждого из указанных классов играют свою особую роль, которая
подробно рассматривалась в соответствующих главах учебника.
Таким образом, сбалансированное питание связано с учетом всех факторов
питания, их взаимосвязи в обменных процессах, а также соответствия
ферментативных систем химическим превращениям в организме. Но балансовый подход
к питанию привел к ошибочному заключению, что ценными являются только
усваиваемые организмом компоненты пищи, остальные же относятся к балласту.
Был сделан опрометчивый вывод о том, что повышение качества пищи связано
с удалением балластных веществ и обогащением ее нутриентами (питательными
веществами). Однако обобщение последующего опыта, связанного с созданием и
потреблением такой пищи, а также изучение роли балластных веществ и кишечной
микрофлоры в процессах пищеварения показали, что выводы теории
сбалансированного питания требуют корректировки. В 80-е гг. XX в. была
сформулирована новая теория питания, представляющая собой развитие теории
сбалансированного питания с учетом новейших знаний о функциях балластных
веществ и кишечной микрофлоры в физиологии питания.
Эта теория, автором которой явился российский физиолог академик А. М.
Уголев, была названа теорией адекватного питания. В основе теории лежат четыре
принципиальных положения:
· пища усваивается как поглощающим ее организмом, так и
населяющими его бактериями;
· приток нутриентов в организме обеспечивается за счет
извлечения их из пищи и в результате деятельности бактерий, синтезирующих
дополнительные питательные вещества;
· нормальное питание обусловливается не одним, а несколькими
потоками питательных и регуляторных веществ;
· физиологически важными компонентами пищи являются балластные
вещества, получившие название "пищевые волокна".
Под термином "пищевые волокна" объединяют биополимерные
компоненты растительной пищи, к которым относятся неперевариваемые
полисахариды, включающие целлюлозу, теми целлюлозы, пектины (в нативном виде
протопектины) и соединения полифенольной природы - лигнины. Целлюлозы и
гемицеллюлозы являются практически нерастворимыми компонентами, тогда как
пектиновые вещества и лигнины относятся к растворимым полимерам.
Эти компоненты, составляющие структурную основу клеточных стенок и
оболочек плодов, при технологической переработке растительного сырья в пищевые
продукты в основной массе удаляются. Примерами могут являться технология
переработки зерна в муку, шлифование риса, отжим сока из плодов, различные
процессы экстракции. В соответствии с теорией сбалансированного питания эти
компоненты считались балластными веществами, их удаление из пищи в ходе
технологических процессов признавалось необходимым, что привело в итоге к
значительному сокращению их содержания в традиционном рационе питания и, как
следствие, отрицательно сказалось на здоровье населения.
Хотя ферментные системы человека не содержат ферментов, соответствующих
структурам пищевых волокон, и последние не могут усваиваться и являться
источником энергии и пластических материалов для организма, они представляют
собой единый физиологически активный комплекс, обеспечивающий ряд важных
функций, связанных с процессами пищеварения и обмена веществ в целом.
Специфические физиологические свойства пищевых волокон включают:
· стимуляцию кишечной перистальтики;
· адсорбцию различных токсичных продуктов, в т.ч. продуктов
неполного переваривания, радионуклидов, некоторых канцерогенных веществ;
· интенсификацию обмена желчных кислот, регулирующего уровень
холестерина в крови;
· снижение доступности макронутриентов (жиров и углеводов)
действию пищеварительных ферментов, предотвращающее резкое повышение их
содержания в крови;
· доступность действию кишечной микрофлоры (в качестве
постоянного питательного субстрата), деятельность которой обеспечивает
поступление в организм ценных вторичных нутриентов (витаминов группы В и
других) и проявляется в различных иных позитивных эффектах воздействия на обмен
веществ.
Функции растворимых и нерастворимых пищевых волокон имеют различия:
целлюлозы и гемицеллюлозы оказывают, в основном, действие стимуляторов
перистальтики, а пектины являются сорбентами и питательным субстратом для
кишечной микрофлоры.
Роль кишечной микрофлоры в процессах пищеварения и обмена веществ
подробно рассматривалась в разделе 12.2.
Теория адекватного питания формулирует основные принципы, обеспечивающие
рациональное питание, в котором учитывается весь комплекс факторов питания,
взаимосвязи этих факторов в обменных процессах и соответствие ферментных систем
организма индивидуальным особенностям протекающих в нем химических превращений.
Основу рационального питания составляют три главных принципа.
. Баланс энергии, который предполагает адекватность энергии, поступающей
с пищей, и энергии, расходуемой в процессах жизнедеятельности.
. Удовлетворение потребности организма в оптимальном количестве и
соотношении пищевых веществ.
. Режим питания, подразумевающий соблюдение определенного времени и числа
приемов пищи, а также рационального распределения пищи при каждом ее приеме.
Первый принцип рационального питания
Пища для человеческого организма, прежде всего, является источником
энергии. Именно при ее превращениях - окислении и распаде сложных веществ на
более простые - происходит выделение энергии, необходимой организму в процессах
жизнедеятельности, и, именно энергия, содержащаяся в пищевых веществах,
является мерой потребности человека в пище. Энергию выражают в килокалориях
(ккал) или килоджоулях (кДж); 1 ккал соответствует 4,18 кДж. Роль основных
источников энергии принадлежит макронутриентам - белкам, жирам и углеводам.
Доля энергии, которая может высвободиться из макронутриентов в ходе
биологического окисления, характеризует энергетическую ценность (калорийность)
продукта.
Количество энергии, которое образуется при окислении компонентов пищи,
определяют по количеству тепла, выделяющегося при сжигании продукта в атмосфере
кислорода внутри калориметрической бомбы. При этом происходит повышение
температуры воды, заполняющей пространство вокруг бомбы. Принцип устройства
калориметрической бомбы, которая используется для измерения калорийности пищи,
поясняется рисунком 12.9. Образец пищевого продукта известной массы помещается
в цилиндр, выдерживающий высокое давление и погруженный в сосуд, заполненный
известным количеством воды; образец поджигается электрическим разрядом и
сжигается под давлением в избытке кислорода, что сопровождается выделением
тепла, нагревающего воду.
Количество выделившегося тепла рассчитывают с учетом того, что для
нагрева 1 кг воды на нужна 1 ккал. Другими словами, 1 ккал соответствует
количеству тепловой энергии, необходимой для нагревания 1,0 кг воды на ГС (от
15° до 16°С).
Энергетическая ценность 100 г продукта, исходя из его состава и теплоты
сгорания отдельных компонентов, может быть рассчитана по формуле
E =Σ eimi,
где еi- теплота сгорания компонента (коэффициент энергетической
ценности), ккал/г;
тi - массовая доля компонента в продукте, г/100 г.
Коэффициенты энергетической ценности основных пищевых компонентов с
учетом их средней усвояемости, зависящей, в частности, от химического состава,
способа кулинарной обработки пищи, которой она подвергалась, и т. п.,
представлены в таблице 12.2.
Таблица 12.2. Коэффициенты энергетической ценности макронутриентов
|
Компоненты
|
Усвояемость, %
|
Коэффициент энергетической
ценности, ккал/г
|
|
Белки
|
84,5
|
4
|
|
Жиры
|
94,0
|
9
|
|
Углеводы
|
95,6
|
4
|
По энергетической ценности (калорийности) пищевые продукты делятся на 4
группы:
. Особо высокоэнергетичные: шоколад, жиры, халва …400-900
. Высокоэнергетичные: мука, крупа, макароны, сахар …250-400
. Среднеэнергетичные: хлеб, мясо, колбаса, яйца, яичный ликер,
водка…100-250
. Низкоэнергетичные: молоко, рыба, картофель, овощи, фрукты, пиво, белое
вино …до 100
Энергетическая ценность является одним из основных свойств пищевого
продукта, определяющих его пищевую ценность.
Пищевая ценность продукта - совокупность свойств пищевого продукта, при
наличии которых удовлетворяются физиологические потребности человека в
необходимых веществах и энергии.
Энергия, которой обеспечивается организм при потреблении и усвоении
питательных веществ, расходуется на осуществление трех главных функций,
связанных с жизнедеятельностью организма. К ним относятся основной обмен,
переваривание пищи, мышечная деятельность.
Основной обмен - это минимальное количество энергии, необходимое человеку
для поддержания жизни в состоянии полного покоя (во время сна в комфортных
условиях).
Энергия, необходимая человеку для обеспечения основного обмена, зависит
от возраста, пола, внешних условий и т.п. Считают, что за 1 час человек
среднего возраста расходует 1 ккал на 1 кг массы тела. У детей этот расход в
1,3- 1,5 раза выше. Для мужчины в возрасте 30 лет при среднем весе 65 кг
(условно принят за стандарт) он составляет 1570 ккал, для женщины (30 лет, 55
кг) - 1120 ккал.
Переваривание пищи, связанное с ее специфическим динамическим действием в
отсутствии мышечной активности, также требует энергии. Установлено, что
поступление пищи в пищеварительный тракт на определенный период увеличивает
энергию, характерную для основного обмена. Наибольший расход энергии требуется
для переваривания белковой пищи, наименьший - для переваривания углеводов.
Считается, что при оптимальном количестве потребляемых веществ в условиях
смешанного питания увеличение основного обмена за счет специфического
динамического действия пищи составляет в среднем 10-15%, что соответствует
140-160 ккал в сутки.
Мышечная деятельность, определяемая активностью образа жизни человека,
требует различной энергии, которая зависит от вида физической активности и
прямо связана с характером работы. Даже самые простые, легкие движения
увеличивают расход энергии сверх основного обмена - об этом свидетельствуют
данные по энергетическим затратам человека (в ккал/час) при разных видах
деятельности (сверх основного обмена):
|
Работа на пишущей машинке
|
20-40
|
|
Сидя: чтение вслух,
разговор, письмо
|
20
|
|
Стояние
|
20-30
|
|
Ходьба
|
130-200
|
|
Восхождение на гору
|
200-960
|
|
Работа домашняя
|
87-174
|
|
Стирка белья домашняя
|
130
|
|
Работа:
|
|
|
текстильщика
|
150-200
|
|
каменщика
|
300-330
|
|
столяра
|
137-176
|
|
химика
|
170-250
|
|
Плавание
|
200-700
|
|
Бег
|
500-930
|
|
Езда на велосипеде
|
180-300
|
В среднем на мышечную деятельность требуется ежедневно 1000- 2500 ккал.
Расход энергии при различных видах нагрузки, включая основной обмен,
представлен в табл. 12.3.
Объективным физиологическим критерием, определяющим количество энергии,
адекватное характеру деятельности, является соотношение общих энергозатрат на
все виды жизнедеятельности с величиной основного
Таблица 12.3. Расход энергии при различных видах нагрузки (в ккал)
|
Вид деятельности
|
Энергозатраты
|
|
в минуту на 1 кг массы тела
|
в час на человека (вес 70
кг)
|
|
Бег со скоростью 8 км/ч
|
0,1357
|
570
|
|
Гребля
|
0,1100
|
462
|
|
Езда на автомашине сидя
|
0,0267
|
112
|
|
Езда на лошади верхом, походным
маршем
|
0,0619
|
260
|
|
Езда на велосипеде со
скоростью 13-21 км/ч
|
0,1285
|
540
|
|
Копание рва
|
0,1157
|
486
|
|
Катание на коньках
|
0,1071
|
450
|
|
Лыжный спорт
|
0,2086
|
876
|
|
Передвижение по
пересеченной местности
|
0,0343
|
144
|
|
Мытье посуды
|
0,0281
|
118
|
|
Надевание обуви и одежды
|
0,0264
|
111
|
|
Отдых
|
|
|
|
стоя
|
0,0229
|
96
|
|
сидя
|
0,0183
|
77
|
|
лежа
|
0,0402
|
169
|
|
Подметание пола
|
0,1190
|
500
|
|
Плавание
|
0,0290
|
122
|
|
Пение
|
0,0236
|
99
|
|
Прием пищи сидя
|
0,0333
|
140
|
обмена, которое названо коэффициентом физической активности (КФА). В
зависимости от этого показателя все трудоспособное мужское население
дифференцировано на пять групп (табл. 12.4). Физическая активность, которая
оценивается коэффициентом 2,4, касается, как правило, только мужчин (женское
население в зависимости от энергозатрат дифференцируется только на четыре
группы).
Суммарный расход энергии на выполнение всех функций, обеспечивающих
процессы жизнедеятельности работающего человека с учетом пола и вида его
профессиональной деятельности, приведен в табл. 12.5.
У детей в возрасте до 18 лет и пожилых людей старше 60 лет средний
энергетический обмен меньше по сравнению со среднестатистическими данными: у
детей - из-за меньшей массы тела, у пожилых людей - из-за общего снижения
интенсивности обменных процессов и физической деятельности.
Таблица 12.4. Основные группы интенсивности труда
|
Группы
|
Физическая активность
|
Коэфффициент физической
активности
|
Профессии
|
|
Первая
|
1,4
|
Работники умственного
труда, студенты, педагоги
|
|
Вторая
|
Легкая
|
1,6
|
Водители транспорта,
работники сферы обслуживания, медсестры, продавцы промтоваров и т. п.
|
|
Третья
|
Средняя
|
1,9
|
Слесари, буровики, водители
автобусов и экскаваторов, врачи-хирурги, продавцы продтоваров, работники
химзаводов, металлурги-доменщики
|
|
Четвертая
|
Высокая
|
2,2
|
Доярки, строительные
рабочие, металлурги -литейщики
|
|
Пятая
|
Очень высокая
|
2,4
|
Механизаторы, землекопы,
каменщики
|
Таблица 12.5. Среднеэнергетический обмен в сутки (в ккал)
|
Пол
|
Физическая работа
|
Умственная работа
|
|
Мужчины
|
2750-3000
|
2550-2800
|
|
Женщины
|
2350-2550
|
2200-2400
|
Итак, для обеспечения нормальной жизнедеятельности человека необходимо
создание условий относительного равновесия между энергией, которую человек
расходует, и энергией, которую он получает с пищей. Баланс энергии означает
соотношение между энергией потребляемой и расходуемой. В случае положительного
баланса энергии, который будет сохраняться в течение определенного периода
времени, избыток энергии будет аккумулироваться в виде жира в жировой ткани,
что в конечном итоге может привести к избыточной массе тела, а затем - к ожирению.
Расчеты показывают, что при длительном ежедневном превышении калорийности
пищи над энергозатратами организма на 300 ккал, т. е. десятой доли суточной
энергетической потребности, накопление резервного жира увеличивается на 15-30 г
в день, что в год составит около 5,4- 10,8 кг. Энергетическая ценность рациона
человека, как уже известно, складывается из энергетической ценности белков,
жиров и углеводов при их различных комбинациях в составе разнообразных пищевых
продуков.
При этом функции макронутриентов в организме различаются. Тогда как
основная функция углеводов связана с обеспечением организма энергией, жиры и,
особенно, белки, наряду с функцией поставщиков энергии, являются также
источниками пластических материалов для постоянно протекающих процессов
обновления клеточных и субклеточных структур. Кроме того, различным клеткам и
тканям организма необходимы разные источники энергии. Например, в скелетных
мышцах и клетках нервной системы в качестве источника энергии используется
глюкоза, входящая в состав углеводов, а для сердечной мышцы в значительном
количестве необходимы жирные кислоты, входящие в состав жиров. При этом в
соответствии с теорией адекватного питания нормальный ход обмена веществ
обеспечивается не одним потоком макронутриентов, а несколькими потоками
питательных и регуляторных веществ, функции которых выполняют микронутриенты -
витамины и минеральные вещества.
Для нормальной жизнедеятельности человека необходимо определенное
соотношение макро- и микронутриентов, что регулируется вторым принципом
рационального питания.
Второй принцип рационального питания
В соответствии со вторым принципом рационального питания, должно быть
обеспечено удовлетворение потребности организма в основных пищевых веществах,
включающих источники энергии (белки, жиры, углеводы), незаменимые аминокислоты,
незаменимые высшие жирные кислоты, витамины, минеральные вещества.
Итак, в состав полноценного рациона должны входить питательные вещества
пяти классов, каждый из которых выполняет в организме свои специфические функции.
Обобщенно физиологическое значение основных групп питательных веществ можно
представить следующим образом.
Углеводы являются наиболее распространенными питательными веществами: в
результате окисления углеводов в организме человека образуется основная часть
энергии. Коэффициент энергетической ценности - 4 ккал/г. Кроме того, они служат
предшественниками в биосинтезе многих компонентов клеток.
Сами по себе углеводы не являются незаменимыми нутриентами в составе пищи
человека. Однако продукты, богатые углеводами, более доступны и дешевы по
сравнению с продуктами, содержащими большое количество белков и жиров, поэтому
именно они составляют основную часть продуктов питания в большинстве стран.
Четыре пятых населения земного шара питаются, в основном, растительной
пищей, в которой на долю углеводов приходится 70, а иногда и 90% суммарной
калорийности. В развитых странах, где население потребляет в сравнительно
больших количествах мясные и молочные продукты, на долю углеводов приходится
лишь 45% калорийности дневного рациона.
В соответствии с основами рационального питания, суточная потребность
организма человека в углеводах составляет 400-500 г, что соответствует 53-58%
калорийности дневного рациона. При этом, на долю сахара должно приходиться
всего 10-20%, т. е. 50-100 г. Большое количество сахарозы и других
низкомолекулярных Сахаров оказывает неблагоприятное воздействие на зубы.
Основная доля углеводной пищи приходится на крахмал - высокомолекулярный
полисахарид, состоящий из молекул D-глюкозы. К классу углеводов относятся также
пищевые волокна, суточная потребность в которых достигает 25 г (в том числе,
пектиновых веществ - 5-6 г).
Жиры или триацилглицерины - продукты животного и растительного
происхождения. Как и углеводы, они являются одним из основных источников
энергии (коэффициент энергетической ценности - 9 ккал/г), а кроме того, служат
источником углеродных атомов в биосинтезе холестерина и других стероидов.
Триацилглицерины растительного происхождения являются также источником
незаменимых жирных кислот. Показатель качества жировых компонентов, отражающий
содержание в них полиненасыщенных жирных кислот, называется биологической
эффективностью.
В отличие от углеводов, жиры задерживаются и перевариваются в желудке
обычно медленнее, в связи с чем они лучше, чем углеводы, способствуют
насыщению.
По последним данным суточная потребность организма в жирах составляет
60-80 г, что соответствует 30-35% от общей энергетической ценности рациона.
Оптимальное соотношение растительных и животных жиров соответствует 7 : 3,
т. е. на долю животных жиров в дневном рационе должно приходиться 30, а на долю
растительных - 70%. Такое соотношение обеспечивает при утилизации жиров в
процессе пищеварения поступление различных видов высших жирных кислот в
следующих пропорциях: 30% - насыщенных, 60% - мононенасыщенных, 10% - пол и
ненасыщенных, что признано оптимальным с позиций рационального питания.
Отклонение в течение длительного времени содержания жиров в дневном
рационе от оптимального (особенно насыщенных жиров животного происхождения)
способствует развитию таких заболеваний, как атеросклероз и ишемическая болезнь
сердца. Кроме того, подавляющим большинством эпидемиологических исследований
доказана пропорциональная зависимость между потреблением жиров и степенью
ожирения. Для профилактики ожирения необходимо соблюдение баланса жира. Тогда
как углеводный и белковый балансы устанавливаются в течение 24 час, жировой
требует большего времени, поэтому именно он является критическим параметром
регулирования массы тела. Существуют две возможности избежать положительного
баланса жира, способствующего увеличению веса. Это умеренное потребление жира
при компенсирующем увеличении доли углеводов в рационе, или его интенсивное
окисление, которое обеспечивается повышением уровня и интенсивности физических
нагрузок. Причем нашло признание утверждение, что наиболее эффективны
физические упражнения меньшей интенсивности, но большей продолжительности,
поскольку именно они способствуют мобилизации жира жировой ткани.
Физиологически ценными компонентами липидной природы являются
фосфолипиды, содержащиеся в растительных жирах, которые необходимы для
обновления клеток и внутриклеточных структур. Суточная потребность организма в
фосфолипидах в соответствии с формулой А. А. Покровского соствляет 5 г.
Белки, поступающие с пищей, выполняют три основные функции: 1)они
являются источником 8 незаменимых и 12 заменимых аминокислот, которые
используются в качестве строительных блоков в ходе биосинтеза белка не только у
детей (в т. ч. и новорожденных), но и у взрослых, обеспечивая постоянное
возобновление белков и их кругооборот;
) аминокислоты служат предшественниками гормонов, порфиринов и многих
других биомолекул;
) окисление углеродного скелета аминокислот вносит хотя и небольшой, но
важный вклад в ежедневный общий расход энергии, хотя, в принципе, использование
белков в качестве энергетического материала является для организма процессом
маловыгодным, поскольку белки представляют собой наиболее дефицитное и ценное
пищевое вещество, а кроме того, их окислению с выделением энергии сопутствует
образование некоторых токсических для организма веществ. Суточная потребность в
белках 85-90 г.
Показатель качества пищевого белка, отражающий степень соответствия его
аминокислотного состава потребностям организма в аминокислотах для синтеза
белка, получил название биологической ценности.
Самыми полноценными являются белки животного происхождения, поскольку они
содержат незаменимые аминокислоты в количестве, приближающем их к идеальному
белку, т.е. белку, аминокислотный состав которого отражает необходимое
соотношение аминокислот для организма человека.
Для нормального питания количество незаменимых аминокислот должно
составлять 36-40%, что обеспечивается при соотношении белков растительных к
животным, равном 45 : 55 %.
Витамины являются незаменимыми компонентами специфических коферментов или
ферментов, участвующих в метаболизме и других специализированных реакциях.
Они являются органическими микропитательными веществами, ежедневная
потребность в которых не превышает нескольких миллиграммов и даже микрограммов.
В соответствии с последними рекомендациями ВОЗ, она должна удовлетворяться,
прежде всего, за счет потребления натуральных продуктов.
Неорганические вещества и микроэлементы необходимы для нормального
питания. Их можно разделить на две группы: а) макроэлементы, то есть те,
которые требуются в граммовых количествах (кальций, фосфор, магний); б)
микроэлементы, потребность в которых не превышает миллиграммов или даже
микрограммов (железо, иод, цинк, медь и другие).
Неорганические вещества выполняют различные функции. Они являются
структурными компонентами костей и зубов, электролитами при поддержании
водно-солевого баланса крови и тканей, а также простетическими группами
ферментов. Содержание в пищевом рационе основных минеральных веществ должно
обеспечивать физиологические потребности человека, отраженные в формуле
сбалансированного питания А. А. Покровского. Оптимальное соотношение основных
макроэлементов - кальция, фосфора и магния - должно составлять 1 : 1,3:0,5.
Третий принцип рационального питания
Согласно третьему принципу рационального питания, принципиальным для
нормального функционирования организма является не только какие продукты
питания и в каком количестве потребляет человек, но и то, как и когда
происходит это потребление. В основу третьего принципа рационального питания
положены четыре основных правила:
· регулярность питания, которая учитывает комплекс факторов,
обеспечивающих нормальное пищеварение;
· дробность питания в течение суток, которая должна составлять
не менее 3-4 раз в день;
· рациональный подбор продуктов при каждом приеме;
· оптимальное распределение пищи в течение дня, при котором
ужин не должен превышать одной трети дневного рациона.
Рекомендуемый режим питания приведен в табл. 12.6.
Таблица 12.6. Суточное распределение пищевого рациона (в %)
|
Режим питания
|
1-й завтрак
|
2-й завтрак
|
Обед
|
Ужин
|
|
4-х разовое питание
|
20-30
|
15-20
|
15-20
|
15-20
|
|
3-х разовое питание
|
30
|
-
|
45-50
|
20-25
|
|
Питание при малом обеденном
перерыве и в летние месяцы в жарком климате
|
35
|
-
|
23
|
42
|
|
Питание при работе в ночную
смену
|
20
|
-
|
40-45
|
25-30
|
Регулярность питания связана с соблюдением времени приема пищи, при
котором у человека формируется рефлекс выделения пищеварительного сока, что
обеспечивает нормальное пищеварение и усвоение пищи.
Рациональное распределение пищи в течение дня (дробность питания) по
количеству потребляемой пищи и ее энергетической ценности обеспечивает
равномерную нагрузку на пищеварительный аппарат и создает условия для
своевременного обеспечения организма необходимой энергией и питательными
веществами.
Формирование подбора продуктов при каждом приеме должно обеспечивать
оптимальные условия для усвоения пищи. Продукты, содержащие белки животного
происхождения, рациональнее потреблять в первой половине дня, а молочную и
растительную пищу - во второй. В любом случае, при составлении меню необходимо
обеспечить разнообразие блюд с учетом сезонных продуктов (зелени, свежих овощей
и фруктов).
Оптимальное распределение пищи в течение дня дифференцируется в
зависимости от возраста, характера физической активности, распорядка дня. Для
людей среднего возраста наиболее рациональным принято четырехразовое питание,
для пожилых людей - пятиразовое с промежутками между приемами в 4-5 ч. Менее
рациональным является трехразовое питание, при котором увеличивается объем
потребляемой пищи и нагрузка на пищеварительный аппарат.
Официальная статистика свидетельствует о тенденции к увеличению числа
приемов пищи в течение дня. Эти тенденции особенно ярко проявляются в развитых
странах и обусловлены изменениями образа жизни современного человека. У
французов, например, количество дневных приемов пищи возросло сегодня до 6, а у
некоторых американцев - до 20. Эти тенденции повлекли за собой изменения в
упаковке продуктов: наряду с крупной упаковкой появились различные виды мелкой
(порционной) расфасовки продуктов, готовых к употреблению, создающие
возможность "перекусить" в любое время и в любом месте.
.4
РЕКОМЕНДУЕМЫЕ НОРМЫ ПОТРЕБЛЕНИЯ ПИЩЕВЫХ ВЕЩЕСТВ И ЭНЕРГИИ
Согласно принципам рационального питания, чтобы сохранить здоровье на
многие годы, человек должен поддерживать баланс энергии, потреблять
разнообразный и сбалансированный рацион, соблюдать режим питания.
Разнообразный и сбалансированный рацион не создает проблем в отношении
безопасности питания, связанных, главным образом, с определенным дефицитом или
избытком отдельных питательных веществ или их комбинаций.
Дисбаланс питательных веществ занимает второе по значимости место (после
микробного заражения) среди наиболее важных потенциальных источников вреда в
пищевых продуктах.
Сегодня продолжительное неправильное питание рассматривается как фактор
повышения риска наиболее типичных для нашей цивилизации заболеваний взрослого
населения. К этим болезням, возникновение и развитие которых связывают с
неправильным питанием, относятся:
· раковые заболевания (рак желудочно-кишечного тракта и
молочной железы), алиментарными факторами риска которых являются повышенное
потребление жиров и соли, а также присутствие в продуктах канцерогенных добавок
(нитратов, нитрозаминов, бензопиренов и др.);
· сердечно-сосудистые заболевания, которые связывают с
повышенным содержанием холестерина в крови;
· нарушение функций желудочно-кишечного тракта, обусловленное
отклонениями в функциях кишечной микрофлоры, низким содержанием в продуктах
пищевых волокон;
· остеопорозы - изменение состава костей в преклонном возрасте,
связанное с потерей кальция;
· ожирение, обусловленное повышенным потреблением жиров,
алкоголя на фоне низкой физической активности.
Анализ основных проблем здоровья, связанных с питанием, свидетельствует о
том, что наиболее распространенными являются заболевания, обусловленные
дисбалансом основных питательных веществ.
Мероприятия по мониторингу питания различных групп населения России
показывают, что в настоящее время основными нарушениями пищевого статуса по
макронутриентам являются:
· избыточное потребление животных жиров;
· дефицит полиненасыщенных жирных кислот;
· дефицит полноценных (животных) белков.
Главной стратегией здравоохранения, которая рекомендуется для решения
этой проблемы, является разработка национальных норм потребления пищевых
веществ и энергии с учетом пищевого статуса, уровня жизни и других национальных
и государственных особенностей конкретной страны.
В России такие нормы были разработаны Институтом питания РАМН и
утверждены Главным государственным санитарным врачом. Нормы физиологических
потребностей для взрослого населения дифференцированы в зависимости от пола,
возраста и коэффициента физической активности.
Нормативы физиологических потребностей в основных пищевых веществах
(макронутриентах) и энергии, утвержденные в 1991 г., представлены в табл. 12.7.
Из данных таблицы следует, что потребность представителей различных групп
в основных питательных веществах, являющихся источниками энергии и пластических
материалов, неодинакова и увеличивается от первой к четвертой группе для всех
возрастных категорий трудоспособного мужского и женского населения.
Физиологические потребности в пищевых веществах и энергии у лиц престарелого и
старческого возраста существенно снижены.
С повышением уровня жизни энергетические затраты, а следовательно, и
потребность в основных макропитательных веществах должны снижаться. По этой
причине нормы физиологических потребностей для жителей, например, Восточной и
Западной Европы и жителей Америки отличаются.
Наряду с болезнями, обусловленными дисбалансом основных питательных
веществ, даже в развитых странах Европы пока сохраняются болезни
недостаточности, обусловленные дефицитом в продуктах питания некоторых
микронутриентов. К их числу относятся:
· дефицит большинства витаминов, в том числе провитамина А -β-каротина;
· дефицит минеральных веществ - кальция и железа;
· дефицит микроэлементов - иода, фтора, селена, цинка;
· дефицит пищевых волокон.
Одной из основных причин повышения риска возникновения дефицита
микронутриентов является тенденция к снижению потребностей в энергии в связи со
снижением уровней физической активности. Как следствие, для поддержания массы
тела и предотвращения ожирения человек стремится есть меньше, изменяет
сложившийся рацион питания, что влечет за собой снижение общего содержания
витаминов и минеральных веществ и возникновение их недостатка.
Для обеспечения здоровья содержание в рационе минеральных веществ и
витаминов должно поддерживаться на уровне, соответствующем физиологическим
потребностям человека (см. формулу сбалансированного питания).
Таблица 12.7. Суточные нормы физиологических потребностей для взрослого
населения
|
Группа
|
Коэффициент физической
активности
|
Возраст
|
Энергия, ккал
|
Белки, г
|
Жиры, г
|
Углеводы, г
|
|
|
|
|
всего
|
в т.ч. животные
|
|
|
|
Мужчины
|
|
I
|
1,4
|
18-29
|
2450
|
72
|
40
|
81
|
358
|
|
|
30-39
|
2000
|
68
|
37
|
77
|
335
|
|
|
40-59
|
2100
|
65
|
36
|
70
|
303
|
|
II
|
1,6
|
18-29
|
2800
|
80
|
44
|
93
|
411
|
|
|
30-39
|
2650
|
77
|
42
|
88
|
387
|
|
|
40-59
|
2500
|
72
|
40
|
83
|
366
|
|
III
|
1,9
|
18-29
|
3300
|
94
|
52
|
110
|
358
|
|
|
30-39
|
3150
|
89
|
49
|
105
|
335
|
|
|
40-59
|
2950
|
84
|
46
|
98
|
303
|
|
IV
|
2,2
|
18-29
|
3850
|
108
|
59
|
128
|
411
|
|
|
30-39
|
3600
|
102
|
56
|
120
|
387
|
|
|
40-59
|
3400
|
96
|
53
|
113
|
366
|
|
V
|
2,4
|
18-29
|
4200
|
117
|
64
|
154
|
484
|
|
|
30-39
|
3950
|
111
|
61
|
144
|
462
|
|
|
40-59
|
3750
|
104
|
57
|
137
|
432
|
|
Женщины
|
|
I
|
1,4
|
18-29
|
2000
|
61
|
34
|
67
|
289
|
|
|
30-39
|
1900
|
59
|
33
|
63
|
274
|
|
|
40-59
|
1800
|
58
|
32
|
60
|
257
|
|
II
|
1,6
|
18-29
|
2200
|
66
|
36
|
73
|
318
|
|
|
30-39
|
2150
|
65
|
36
|
72
|
311
|
|
|
40-59
|
2100
|
63
|
35
|
70
|
305
|
|
III
|
1,9
|
18-29
|
2600
|
76
|
42
|
87
|
378
|
|
|
30-39
|
2550
|
74
|
41
|
85
|
372
|
|
|
40-59
|
2500
|
72
|
40
|
83
|
366
|
|
IV
|
2,2
|
18-29
|
3050
|
87
|
48
|
102
|
462
|
|
|
30-39
|
2950
|
84
|
46
|
98
|
432
|
|
|
40-59
|
2850
|
82
|
45
|
95
|
417
|
|
Лица пожилого возраста
|
|
Мужчины
|
60-74
|
2300
|
68
|
37
|
77
|
335
|
|
≥ 75
|
1950
|
61
|
33
|
65
|
280
|
|
Женщины
|
60-74
|
1975
|
61
|
33
|
66
|
284
|
|
≥75
|
1700
|
55
|
30
|
57
|
242
|
В связи с этим, с уменьшением потребности организма в энергии и
сокращением количества потребляемой для восстановления энергозатрат пищи должна
увеличиваться плотность питательных веществ (отношение витаминов и минеральных
веществ в продукте к его энергетической ценности).
К числу приемов поддержания необходимого уровня потребления
микронутриентов
· относятся:
· обогащение нутриентами традиционных продуктов питания
(например, витаминизация);
· потребление с пищей мультивитаминных и витаминно-минеральных
комплексов.
По последним рекомендациям ВОЗ в обычных условиях наиболее эффективна
стратегия первичной профилактики, связанной с увеличением потребления пищевых
источников микронутриентов - овощей и фруктов - на фоне повышения физической
активности.
.5 ПИЩЕВОЙ
РАЦИОН СОВРЕМЕННОГО ЧЕЛОВЕКА. ОСНОВНЫЕ ГРУППЫ ПИЩЕВЫХ ПРОДУКТОВ
Пищевой рацион современного человека, определяющий в итоге его здоровье,
формируется на базе физиологических потребностей в энергии, макро- и
микронутриентах с учетом трех принципов рационального питания. При этом, он так
или иначе отражает индивидуальные особенности, экономические возможности и
пищевые привычки человека.
По сути, сегодня не существует строгих, нормативно закрепленных правил
составления пищевого рациона. Пожалуй, единственным правилом является разнообразие
рациона, обеспечивающее все физиологические потребности человека. Общие
рекомендации специалистов по формированию пищевого рациона включают:
· потребление разнообразных пищевых продуктов;
· поддержание идеальной массы тела;
· снижение потребления жиров, насыщенных жиров и холестерина;
· повышение потребления углеводов (крахмала, клетчатки);
· сокращение потребления сахара;
· сокращение потребления натрия (NaCl).
В общем случае в ежедневный рацион должны входить следующие четыре группы
продуктов питания:
) мясо, рыба, яйца - источники белков и минеральных веществ;
) картофель, хлеб, крупы и другие продукты из зерновых - источники
белков, углеводов;
) молоко и молочные продукты (в т. ч. йогурты, сыры) - источники белков,
углеводов, кальция, витаминов группы В;
) фрукты и овощи - источники витаминов и минеральных веществ. Примерный
набор традиционных пищевых продуктов, обеспечивающий физиологические
потребности организма в энергии и основных пищевых веществах, приведен в табл.
12.8.
С изменением потребности в энергии составление рациона должно
предусматривать необходимость соответствия уровня микронутриентов
физиологическим нормам.
Установлено, что при длительном потреблении пищевого рациона, имеющего
энергетическую ценность менее 1500 ккал, оптимальное снабжение организма
питательными веществами нарушается.
Таблица 12.8. Рекомендуемый набор продуктов для полного удовлетворения
потребности организма в энергии и основных веществах
|
Основные продукты
|
Количество продуктов
|
|
г/день
|
кг/год
|
|
Все хлебопродукты (в
переводе на муку)
|
330
|
120,4
|
|
Картофель
|
265
|
96,7
|
|
Овощи и бахчевые
|
400
|
146,0
|
|
Фрукты свежие
|
260
|
94,9
|
|
Сухофрукты
|
10
|
3,6
|
|
Сахар
|
100
|
36,5
|
|
Масло растительное
|
20
|
7,3
|
|
Мясо и мясопродукты (в
товарном виде)
|
205
|
74,8
|
|
Рыба и рыбопродукты (в
товарном виде)
|
50
|
18,2
|
|
Сало
|
5
|
1,8
|
|
Молоко
|
450
|
164,2
|
|
Масло животное
|
15
|
5,5
|
|
Творог
|
20
|
7,3
|
|
Сметана
|
18
|
6,6
|
|
Сыр
|
18
|
6,6
|
|
Молоко и молочные продукты
(в переводе на молоко)
|
1090
|
390,0
|
|
Яйца
|
40
|
14,6
|
С учетом тенденций к дальнейшему снижению потребностей человека в
энергии, пищевой рацион должен обеспечивать необходимый уровень эссенциальных
микронутриентов.
В этом аспекте предполагаемая формула пищи XXI века, обеспечивающая
оптимальное питание, заключается в постоянном использовании в составе рациона
традиционных натуральных пищевых продуктов, продуктов из генетически
модифицированных источников с улучшенными потребительскими свойствами и
повышенной пищевой ценностью, продуктов с заданными свойствами (функциональных
пищевых продуктов), биологически активных добавок к пище - концентратов
микронутриентов и ряда минорных непищевых компонентов пищи (нутрицевтиков и
парафармацевтиков):
Традиционные продукты (натуральные) + Натуральные продукты
модифицированного и заданного состава + Биологически активные добавки
(нутрицевтики, парафармацевтики)
Практическим решением этой формулы является концепция здорового питания.
.6 КОНЦЕПЦИЯ
ЗДОРОВОГО ПИТАНИЯ. ФУНКЦИОНАЛЬНЫЕ ИНГРЕДИЕНТЫ И ПРОДУКТЫ
Концепция здорового (позитивного, функционального) питания была
сформулирована в начале 80-х гг. в Японии, где приобрели большую популярность
так называемые функциональные продукты (сокращенное название термина
"физиологически функциональные пищевые продукты"), т. е. продукты
питания, содержащие ингредиенты, которые приносят пользу здоровью человека,
повышают его сопротивляемость заболеваниям, способны улучшить многие
физиологические процессы в организме человека, позволяя ему долгое время
сохранять активный образ жизни. Положительное влияние функциональных продуктов
питания на здоровье включает:
· уменьшение уровня холестерина в крови;
· сохранение здоровых зубов и костей;
· обеспечение энергией;
· уменьшение заболеваний некоторыми формами рака.
Эти продукты предназначены широкому кругу потребителей и имеют вид
обычной пищи. Они могут и должны потребляться регулярно в составе нормального
рациона питания.
Потребительские свойства функциональных продуктов включают три
составляющие: пищевую ценность, вкусовые качества, физиологическое воздействие.
Традиционные продукты, в отличие от функциональных, характеризуются только
первыми двумя составляющими. По сравнению с обычными повседневными продуктами,
функциональные должны быть полезными для здоровья, безопасными с позиций
сбалансированного питания и питательной ценности продуктов. Важно отметить, что
эти требования относятся к продукту в целом, а не только к отдельным его
ингредиентам.
Продукты здорового питания не являются лекарствами и не могут излечивать,
но помогают предупредить болезни и старение организма в сложившейся
экологической обстановке. Место позитивного питания исследователи определяют
как среднее между обычным, когда человек ест то, что он хочет или может с целью
насытить организм, и лечебным питанием, предназначенным для больных людей.
Функциональные ингредиенты. Все продукты позитивного питания содержат
ингредиенты, придающие им функциональные свойства. По теории Д. Поттера на
сегодняшнем этапе развития рынка эффективно используются следующие основные
виды функциональных ингредиентов:
· пищевые волокна (растворимые и нерастворимые);
· витамины (А, группа В, D и т. д.);
· минеральные вещества (кальций, железо);
· полиненасыщенные жиры (растительные масла, рыбий жир, ω-3-
и ω-6-жирные кислоты);
· антиоксиданты: β-каротин, витамин С (аскорбиновая
кислота) и витамин Е (α- токоферол);
· пробиотики (препараты живых микроорганизмов);
· пребиотики (олигосахариды как субстрат для полезных
бактерий).
Представление о физиологическом воздействии основных видов функциональных
ингредиентов дает табл. 12.9.
Функциональные свойства пищевых волокон связаны, в основном, с работой
желудочно-кишечного тракта. Специфические физиологические свойства пищевых
волокон описаны на стр. 581. Пища, богатая волокнами, оказывает положительное
воздействие на процессы пищеварения и, следовательно, уменьшает риск
возникновения заболеваний, связанных с этими процессами, например рака
кишечника. Развитие рака - комплексный процесс с многочисленными факторами.
Пищевые волокна увеличивают объем каловых масс посредством разбавления их
содержимого. Это ведет к уменьшению взаимодействия канцерогенных продуктов
метаболизма со слизистой оболочкой кишечника.
Растворимые и нерастворимые волокна увеличивают ощущение сытости, т. к.
пища, обогащенная волокнами, требует более длительного времени для
пережевывания и переваривания, тем самым вызывая большее выделение слюны и
желудочного сока. Удовлетворение чувства голода предотвращает избыточное
потребление пищи, связанное с ожирением.
Таблица 12.9. Эффекты физиологического воздействия функциональных
ингредиентов
|
Факторы риска
|
Возрастные заболевания
|
Пищевые ингредиенты с
защитными функциями
|
|
Курение; повышенное
давление; повышенное содержание холестерина; низкий уровень антиоксидантов
(витаминов Е и С) в пище
|
Сердечно-сосудистые
|
Линолевая кислота; ω-3-жирные кислоты; витамины- антиоксиданты ;
флавоноиды; фолаты; пищевые волокна; минеральные вещества
|
|
Потребление сверхжирной
пищи, вяленого, соленого, копченого мяса, содержащих нитрозамины,
полициклические углеводороды; недостаточное количество фруктов и овощей
(витаминов, пищевых волокон)
|
Рак
|
Витамин С; β-каротин; пищевые волокна; фотоэлементы; витамин D;
кальций
|
|
Наследственность,
избыточный вес, вирусная инфекция; потребление избыточного количества сахара,
молочных белков
|
Сахарный диабет
|
Пищевые волокна; витамин D;
хром
|
|
Повышенное давление;
избыточное количество поваренной соли, насыщенных жирных кислот в пище
|
Инсульт
|
Витамин Е; ω- 3 -жирные кислоты; витамин А; флавоноиды
|
|
Солнечная радиация, плохая
экология; диабет, галактоземические расстройства; употребление некоторых
лекарств
|
Катаракта
|
Витамин С; каротиноиды;
витамины группы В
|
|
Недостаток физической
активности; пониженное содержание эстрогена, кальция в организме
|
Остеопороз
|
Кальций; витамин К;
витамины С, В6, D; фосфор, бор, магний
|
|
Свободные радикалы,
алюминий, пестициды; употребление некоторых лекарств
|
Болезни мозга и нервной
системы, (в т. ч. болезнь Паркинсона)
|
Витамины-антиоксиданты
|
|
Избыточное потребление
высококалорийной пищи, нарушение оптимального соотношения нутриентов
|
Ожирение
|
Пищевые волокна; витамины;
минеральные вещества
|
Установлено, что растворимые волокна, особенно пектин, оказывают
положительное действие на обмен холестерина в организме. Одним из возможных
объяснений эффекта снижения уровня холестерина является то, что растворимые
волокна способствуют экстрагированию желчных кислот и увеличивают их выделение
из организма.
Волокна имеют большое практическое значение при профилактике такого
заболевания, как сахарный диабет. Употребление жирной и сладкой пищи, что
типично для нашего общества, ведет к повышению массы тела, предваряя развитие
диабета.
Употребление в пищу продуктов, содержащих волокна, положительно влияет на
состояние зубов и полости рта. Более длительный процесс пережевывания такой
пищи способствует удалению бактериального налета, имеющегося на зубах.
Высоковолокнистая пища содержит меньшее количество Сахаров, чем продукты,
богатые углеводами и жирами, что также способствует уменьшению риска
образования кариеса.
Витамины и антиоксиданты , к которым относятся витамины А, С, Е, витамины
группы В и провитамин А - β-каротин, являясь функциональными
ингредиентами, играют важную роль в позитивном питании.
Они участвуют в метаболизме, укрепляют иммунную систему организма,
помогают предупредить такие заболевания, как цинга и бери-бери.
К антиоксидантам относятся β-каротин и витамины С и Е.
Антиоксиданты замедляют процессы окисления ненасыщенных жирных кислот,
входящих в состав липидов, путем взаимодействия с кислородом, а также
разрушают уже образовавшиеся пероксиды.
Действие пищевых антиоксидантов основано на их способности образовывать
малоактивные радикалы, прерывая реакцию автоокисления по схеме: АН + R →
А· + RH, А· + R· → AR (см. с. 451).
Таким образом, антиоксиданты защищают организм человека от свободных
радикалов, проявляя антиканцерогенное действие, а также блокируют активные
перекисные радикалы, замедляя процесс старения.
Функциональные свойства антиоксидантов и витаминов показаны на рис.
12.11.
Минеральные вещества как функциональные ингредиенты обладают следующими свойствами:
· натрий стабилизирует осмотическое давление межклеточной
жидкости, улучшает работу мышц;
· калий играет важную роль в метаболизме клетки, способствует
нервно-мышечной деятельности, регулирует внутриклеточное осмотическое давление,
улучшает работу мышц;
· магний активизирует деятельность ферментов и нервно-мышечную
деятельность, снижает риск атеросклероза;
· кальций способствует работе клеточных мембран, ферментативной
активности, участвует в строении костной ткани;
· фосфор участвует в строении костных тканей, способствует
функционированию нервных клеток, работе ферментов и метаболизму клетки;
· цинк способствует росту организма, участвует в работе
металлоферментов;
· селен активизирует иммунную систему, является детоксикантом,
участвует в контроле свободных радикалов;
· иод регулирует количество гормонов щитовидной железы
(противозобное средство);
· железо участвует в кроветворении, переносит кислород.
Полиненасыщенные жирные кислоты особенно усиленно изучались учеными в
течение последних 20 лет.
Установлено, что наиболее эффективными функциональными ингредиентами этой
группы являются ненасыщенные жирные кислоты с расположением первой двойной
связи, считая от СН3-группы, между третьим и четвертым углеродными атомами -
омега-3-жирные кислоты. К таким кислотам относятся линоленовая,
эйкозапентаеновая и докозагексаеновая.
Ненасыщенные жирные кислоты получаются при расщеплении липопротеинов
низкой плотности, холестерина, предотвращают агрегацию кровяных тел и
образование тромбов, снимают воспалительные процессы и т. д. Функциональные
свойства полиненасыщенных жирных кислот показаны на рис. 12.12.
Пробиотики - препараты и продукты питания, в состав которых входят
вещества микробного и немикробного происхождения, оказывающие при естественном
способе введения (с пищей) благоприятные эффекты на физиологические функции и
биохимические реакции организма человека через оптимизацию его
микроэкологического статуса (кишечную микрофлору).
Пробиотическими эффектами обладают, в частности, различные виды бифидо- и
лактобактерий.
Пробиотики принадлежат к функциональным ингредиентам комплексного
воздействия. Система "организм человека-кишечная микрофлора" способна
к саморегуляции. Однако в настоящее время известно большое число факторов,
превышающих компенсаторные возможности микроэкологической системы. К их числу
относятся фармакологические препараты, промышленные яды, пестициды, радиация,
стрессовые состояния и т. п.
Дисбаланс микробной экологии человека приводит к тяжелым заболеваниям как
желудочно-кишечного тракта, так и организма в целом.
Пробиотики помогают восстановить и поддерживать нормальную микрофлору
организма, обладают многофакторным регулирующим и стимулирующим воздействием,
они являются для организма источником незаменимых аминокислот, в том числе
триптофана, снижают уровень холестерина в крови.
Основные физико-химические эффекты пробиотиков включают:
· профилактику и лечение инфекционных заболеваний кишечника;
· профилактику ревматоидных артритов;
· профилактику аллергических заболеваний;
· предупреждение стрессовых состояний;
· проявление гипохолестеринемической эффективности.
Максимальный положительный эффект на организм человека оказывают
продукты, содержащие живые бифидобактерии в количестве не менее 107 КОЕ/мл.
К важнейшим свойствам пробиотиков относятся их антиканцерогенная и
антимутагенная активность.
Пребиотики - пищевые добавки немикробного происхождения, неперевариваемые
в кишечнике человека и способные оказывать благоприятный эффект на его организм
через селективную стимуляцию роста и активности микрофлоры (бифидогенные
факторы).
К бифидогенным факторам относятся различные олигосахариды (углеводы,
содержащие от 2 до 10 остатков моносахаридов) из медового сиропа, хлопковых
семян, различных зерен.
Максимальный физиологический эффект достигается при комбинации
пробиотиков и пребиотиков.
Требования к функциональным ингредиентам. Ингредиенты, придающие
продуктам функциональные свойства, должны соответствовать следующим
требованиям:
· быть полезными для питания и здоровья (полезные качества
должны быть научно обоснованы, а ежедневные дозы одобрены специалистами);
· быть безопасными с точки зрения сбалансированного питания;
· иметь точные физико-химические показатели и точные методики
их определения;
· не снижать питательную ценность пищевых продуктов;
· употребляться перорально (как обычная пища);
· иметь вид обычной пищи (не выпускаться в таких лекарственных
формах, как таблетки, капсулы, порошки);
· быть натуральными.
Функциональные продукты. В настоящее время выпускаются четыре группы
продуктов функционального питания: зерновые завтраки, молочные продукты,
жировые эмульсионные продукты и растительные масла, безалкогольные напитки.
Содержание в этих продуктах функциональных ингредиентов показано в табл. 12.10.
Таблица 12.10. Пищевые продукты - природные источники функциональных
ингредиентов
|
Продукт
|
Ингредиенты
|
|
Природные злаки
|
Пищевые волокна; витамины
А, Е, В; кальций; фитоэлемекты
|
|
Молочные продукты
|
Кальций; рибофлавин
(витамин В); молочнокислые штаммы ацидофшюв и бифидум лактобактерий; пептиды;
линолевая кислота
|
|
Растительные жиры
|
Линолевая кислота;
линоленовая кислота; омега-3-жирные кислоты; витамины
|
|
Натуральные соки и напитки
|
Витамины С и В; β-каротин; растворимые пищевые волокна; фотоэлементы
|
Продукты на основе злаков полезны для здоровья благодаря содержанию в них
растворимых и нерастворимых пищевых волокон, которые, уменьшая уровень
холестерина, способствуют снижению риска сердечно-сосудистых заболеваний, а
также стабилизируют пищеварительные функции организма, предупреждая заболевания
желудочно-кишечного тракта.
Молочные продукты - ценный источник таких функциональных ингредиентов,
как кальций и рибофлавин. Их функциональные свойства могут быть повышены
добавлением витаминов A, D, Е, β-каротина и минеральных веществ
(магния), а также пищевых волокон (пектина) и бифидобактерий. Функциональные
молочные продукты могут быть эффективны при предупреждении сердечно-сосудистых,
желудочно-кишечных заболеваний, остеопороза, рака и других заболеваний.
Растительные масла, масла на негидрированной растительной жировой основе,
эмульсионные масложировые продукты различного типа - главные источники
полиненасыщенных жирных кислот. Они способствуют предупреждению
сердечно-сосудистых заболеваний. Для усиления функционального действия в их
состав могут быть введены такие ингредиенты, как витамин D, некоторые
триацилглицерины. Эти продукты, при снижении массовой доли жира в их составе,
эффективны также для предупреждения ожирения.
Напитки являются самым технологичным продуктом для создания новых видов
функционального питания, поскольку введение в них новых функциональных
ингредиентов не представляет большой сложности. Обогащенные витаминами,
микроэлементами, пищевыми волокнами напитки могут использоваться для
предупреждения сердечно-сосудистых и желудочно-кишечных заболеваний, рака и
других болезней, а также интоксикаций разного вида.
Контрольные вопросы
. Как и по какому принципу подразделяют основные вещества, входящие в
состав пищевых продуктов?
. Опишите основные этапы пищеварения.
. Дайте характеристику основных физических и химических изменений пищи на
разных этапах пищеварения.
. Какие органы пищеварительного аппарата выделяют пищеварительные соки?
Каков состав последних?
. Сформулируйте правило соответствия, приведите примеры, иллюстрирующие
его.
. Расскажите о механизме всасывания питательных веществ.
. Составьте краткую схему метаболизма основных питательных веществ.
. Составьте краткую хронологию развития науки о питании, перечислите
основные теории и концепции.
. Сформулируйте основные принципы рационального питания.
. Как формируются основные энергозатраты? Приведите их краткий анализ для
людей разного возраста.
. Прокомментируйте понятие "болезнь цивилизации".
СПИСОК
ИСПОЛЬЗОВАННОЙ ЛИТЕРАТУРЫ
К главе 1
. Федеральный
Закон "О качестве и безопасности пищевых продуктов". Принят
Государственной Думой Российской Федерации 1 декабря 1998 г., одобрен Советом
Федерации 23 декабря 1999 г.
. Концепция
Государственной Политики в области здорового питания населения Российской
Федерации на период до 2005 года. Постановление РФ от 10 августа 1998г. №917.
. Основы
управления инновациями в пищевых отраслях АПК (наука, технология, экономика)/
Под ред. В.И. Тужилкина - М.: МГУПП, 1998. - 842 с.
. Богатырев
А. Н., Нечаев А. П., Панфилов В. А., Тужилкин В. А. и др. Система научного и
инженерного обеспечения пищевых и перерабатывающих отраслей АПК России. - М.:
Пищевая промышленность, 1995. - 525 с.
. Голубев В.
Н. Основы пищевой химии. - М.: Биоинформсервис, 1997. - 223 с.
. Нечаев А.
П., Траубенберг С. Е., Попов М. П. и др. Пищевая химия: Курс лекций: В 2 ч. -
М.: МГУПП, 1998. - 258 с.
. Скурихин И.
М., Нечаев А. П. Все о пище с точки зрения химика. - М.: Высшая школа, 1991. -
287с.
. Тупгельян
В. А., Суханов Б. Н., Андриевских А. Н., Поздняковский В. М. Биологически
активные добавки в питании человека. - Томск: Научно-техническая литература,
1999. - 229 с.
9.
Baltes W. Lebensmittel-chemie. - Springer, 1995. - 476 p.
К главе 2
. Березов Т.
Т., Коровкин Б. Ф. Биологическая химия. Учебник. / Под ред. Дебова С. С. - М.:
Медицина, 1990. - 528 с.
. Вакар А. Б.
Белковый комплекс клейковины. / В кн. Растительные белки и их биосинтез. - М.:
Наука, 1975. - С. 38 - 58.
. Дудкин М.
С., Щелкунов Л. Ф. Новые продукты питания. - М.: Наука, 1998. - 304с.
. Конарев В.
Г. Белки пшеницы. - М.: Колос, 1980. - 351 с.
. Мак-Мюррей
У. Обмен веществ у человека. / Пер. с англ. Горкина В.З. - М.: Мир, 1980.-368с.
. Марри Р.,
ГреннерД., Мейес П., Родуэлп В. Биохимия человека. / В 2-х томах. / Пер. с
англ. - М.: Мир., 1993.
. Мосолов В.
В., Валуева Т. А. Растительные белковые ингибиторы протеолитических ферментов.
- М.: Наука, 1993. - 414 с.
. Нечаев А.
П., Попов М. П., Траубенберг С. Е. Пищевая химия. Курс лекций. /В 2-х
частях./Ч. 1. - М.: ИКМГУПП, 1998.-131с.
.
Практическая химия белка. / Пер. с англ. / Под ред. Дарбре А. - М.: Мир,
1989.-623с.
.
Растительный белок. / Пер. с фр. Долгополова В. Г. / Под ред. Микулович Т. П. -
М.: Агропромиздат, 1991. - 684 с.
.
Растительный белок: новые перспективы. / Под ред. Браудо Е. Е. - М.:
Пищепромиздат, 2000. - 180 с.
. Толстогузов
В. Б. Новые формы белковой пищи. - М.: Агропромиздат, 1987. - 303с.
. Труфанов В.
А. Клейковина пшеницы. - Новосибирск: Наука, 1994. - 165 с.
. Химия пищи.
/ В 2 книгах. / Книга 1. Белки: структура, функции, роль в питании. / Рогов И.
А., Антипова Л. В., Дунченко Н. И. и др. - М.: Колос, 2000. - 384с.
. Щербаков В.
Г., Лобанов В. Г., Прудникова Т. Н. и др. Биохимия растительного сырья. / Под
ред. Щербакова В. Г. - М.: Колос, 1999. - 376 с.
. Горбатова
К. К. Химия и физика белков молока. - М.: Колос, 1993. - 192 с.
Прокомментируйте понятие "болезнь цивилизации".
К главе 3
. Березов Т.
Т., Коровкин Б. Ф. Биологическая химия. - М.: Медицина, 1998. - 520с.
. Витол И.
С., Кобелева И. Б., Траубенберг С. Е. Ферменты и их применение в пищевой
промышленности - М.: ИК МГУПП, 2000. - 80 с.
. Голубев
В.Н. Основы пищевой химии. - М.: Биофармсервис, 1997. - 223 с.
. Грачева И.
М., Кривова А. Ю. Технология ферментных препаратов. - М.: Элевар, 2000. - 512с.
. Кретович В.
Л. Биохимия растений. - М.: Мир, 1980. - 368 с.
. Кретович В.
Л., Казаков Е.Д. Биохимия зерна и продуктов его переработки. - М.:
Агропромиздат, 1989. - 368 с.
. Нечаев А.
П., Попов М. П., Траубенберг С. Е. и др. Пищевая химия ч. 2 - М.: ИК МГУПП,
1998.-288с.
. Павлоцкая
Л. Ф., Дуденко Н. В., Эйделъман М. М. Физиология питания. - М.: Высшая школа,
1989. - 368 с.
. Руководство
по методам анализа качества и безопасности пищевых продуктов / Под ред. И. М.
Скурихина, В. А. Тутельяна. - М.: Брандес-Медицина, 1998. - 341 с.
. Скурихин И.
М., Нечаев А. П. Все о пище с точки зрения химика. - М.: Высшая школа, 1991. -
288с.
. Тюкавкина
Н.А., Бауков Ю.И. Биоорганическая химия. - М,: Медицина, 1991.-527 с.
. Щербаков В.
Г., Лобанов В. Г. и др. Биохимия растительного сырья / Под ред. В.Г. Щербакова. - М.: Колос, 1999. - 376 с.
.
BelitzH. D., Grosch W., Food Chemistry. - Berlin; New York; London; Paris;
Tokyo: Springer-Verlag, 1987. - 635 p.
.
De Man J. M. Principles of Food Chemistry. - Westport, Conn: Avi Publish Co
Inc., 1976.-426 p.
.
Fennema O. R. (ed.). Food chemistry. - New York; Basel; Marcel: Denker Inc.,
1985. - 991 p.
.
Garardl. D. Introductory Food Chemistry. - Westport, Conn: Avi Publish Co Inc.,
1976.-312 p.
.
NarzissL. die Bierbrauerei, Band II Technologie der Wurzebereitung Stuttgart:
Enke, 1992. - 402 p.
.
Pearson D. The chemical analisis of Food. - Edinburgh, 1976. - 575 p.
К главе 4
. Тютюнников
Б. Н. и др. Химия жиров. - М.: Колос, 1992. - 447 с.
. Евстигнеева
Р. П., Звонкова Е. Н., Серебренникова Г. А., Швец В. И. Химия липидов. - М.:
Химия, 1983. - 296 с.
. Стопский В.
С., Ключник В. В., Андреев Н. В. Химия жиров и продуктов переработки жирового
сырья. - М.: Колос, 1992. - 286 с.
. Арутюнян Н.
С., Корнена Е. П. Фосфолипиды растительных масел. - М.: Агропромиздат, 1986. -
255 с.
. Бергельсон
Л. Д. и др. Препаративная химия липидов. - М.: Наука, 1984. - 243 с.
. Скурихин И.
М., Нечаев А. П. Все о пище с точки зрения химика: Справочное издание. - М.:
Высшая школа, 1991. - 288 с.
. Тутелъян В.
А., Суханов Б. П., Австриевских А. Н., Поздняковский В. М. Биологически
активные добавки в питании человека. - Томск: Издательство научно-технической
литературы, 1999. - 2294 с.
8.
Baltes W. Lebensmittel-chemie. - Springer, 1995. - 476 p.
К главе 5
.
Александрович Ю., Гумовска И. Кухня и медицина - М.: Наука, 1991. - 224 с.
. Алиев С.
Д., Такдиси, Исмайлов Т. А. и др. Об основных механизмах действия ряда
микроэлементов на здоровый и больной организм. // Микроэлементы в биологии и их
применение в сельском хозяйстве и медицине. - Самарканд, 1990. - С. 405-407.
. Буглович С.
Ю., Дублецкая М. М. Химические вещества и качество продуктов. - Минск: Ураджай,
1986.
. Введение в
общую микронутриентологию / Под ред. Ю. П. Шчева, Э. Огановой. - Новосибирск:
1998. - 216 с.
. Кукушкин Ю.
Н. Химические элементы в организме человека // Соровский образовательный
журнал. 1998. № 5. - С. 54 - 58.
. Павлоцкая
Л. Ф., Дуденко Н. В., Эйдельман М. М. Физиология питания. - М.: Высшая школа,
1989. - 367 с.
. Попадич И.
А., Маслова Л. Г., Тесслер Т. В. и др. Оптические методы анализа: Лабор.
практикум. - М.: МГАПП, 1992. - 131 с.
. Росивал Л.,
Энгст Р., Сокалай А. Посторонние вещества и пищевые добавки в продуктах. - М.:
Легкая и пищевая промышленность, 1982. - 263 с.
. Руководство
по контролю качества питьевой воды // Гигиенические критерии и другая
релевантная информация. Т. 2. Всемирная организация здравоохранения. Женева,
1987 / Пер. с англ. - М.: Медицина, 1987. - 325 с.
. Скурихин И.
М., Нечаев А. П. Все о пище с точки зрения химика. - М.: Высшая школа, 1991. -
285с.
. Траубенберг
С. Е., Лысюк Ф. А., Осташенкова Н. В. и др. Электрохимические методы анализа. -
М.: ИК МГУПП, 1999. - 139 с.
. Химический
состав пищевых продуктов / Под ред. И. М. Скурихина, М. Н. Волгарева. - М.:
Агропромиздат, 1987. - 360 с.
. Уайт А.,
Хендлер Ф., Смит Э., Хилл Р., Леман И. Основы биохимии. Т. 3. - М.: Мир, 1981.-
547с.
. Шеина Н.
М., Шведене Н. В. Применение иодоселективных электродов // Метод, указания. -
М.: МГУ, 1991. - 68 с.
15.
Medina D., Morrison D. G. Current ideas on Selenium as a chemoprotective agent
// Patoll. Immunopathol. Res. 1998. - p. 187 - 199.
.
Prasad A. S.,Oberleas D. (eds.). Trace Elements in Human Health and Disease).
Vols. 1, 2 //Academic Press, Inc., New York, 1976. - P. 57-60
.
Underwood E. J. Trace elements in human and animal nutrition // Academic Press,
New York, 1977. - P. 87-92.
К главе 6
. Строев А.
Е. Биологическая химия. - М.: Высшая школа, 1986. - 339 с.
. Овчинников
Ю.А. Биоорганическая химия. - М.: Просвещение, 1987. - 668 с.
. Тутельян В.
А., Суханов Б. П., Австриевский А. Н., Поздняковский В. М. Биологически
активные добавки в питании человека. - Томск: Издательство научно-технической
литературы, 1999. - 294 с.
. Идз Мэри
Ден. Витамины и минеральные вещества: Полный медицинский справочник. - СПб.:
Комплект, 1995. - 503 с.
5.
Baltes W. Lebencmittel-chemie. - 1992. - 471 p.
6. Спиричев
В. Б. Сколько человеку витаминов надо. - М., 2000. - 185 с.
К главе 7
. БулдаковА.
С. Пищевые добавки: Справочник. - СПб.: "Ut". 1996. - 240 с.
. Шобингер У.
Плодово-ягодные и овощные соки. - М.: Легкая и пищевая промышленность, 1982. -
472 с.
. Колесное А.
Ю. Биохимические системы в оценке качества продуктов питания. - М.: Пищевая
промышленность, 2000. - 414 с.
4.
Food Additive user's Handbook / Edited by Jim Smith. - Chapman and Hall, 1996.
К главе 8
. Берхард С.
Структура и функции ферментов. - М.: Мир, 1971. - 334 с.
. Витол И.
С., Кобелева И. Б., Траубенберг С. Е. Ферменты и их применение в пищевой
промышленности - М.: ИК МГУПП, 2000. - 80 с.
. Диксон М.,
УэббЭ. Ферменты: В 3 т., 3-е изд. - М.: Мир, 1982. - 1120 с.
. Кретович В.
Л. Введение в энзимологию. - М.: Наука, 1986. - 332 с.
. Бекер М. Е.
Введение в биотехнологию. - М.: Пищевая промышленность, 1978.-229 с.
. Тривен М.
Иммобилизованные ферменты. - М.: Мир, 1983. - 213 с.
.
Номенклатура ферментов. Рекомендации Международного Биохимического Союза. - М.,
1979. - 319 с.
. Рид Д.
Ферменты в пищевой промышленности. - М.: Пищевая промышленность, 1971. - 414с.
. ЛенинджерА.
Основы биохимии: В 3 т., 3-е изд. - М.: Мир, 1985. - 1056 с.
. Колесное А.
Ю. Ферментативный анализ качества продуктов питания // Вопросы питания. - 1997.
№ 3. - С. 21 - 25.
. Колесное А.
Ю. Биохимические системы в оценке качества продуктов питания (ферментативный
анализ). - М.: Пищевая промышленность, 2000. - 416 с.
. УэспглиДж.
Ферментативный катализ. - М.: Мир, 1972. - 270 с.
. Мосолов В.
В. Протеолитические ферменты. М.: Наука, 1976. - 104 с.
. Грачева И.
М., КривоваА. Ю. Технология ферментных препаратов. - М.: Элевар, 2000.-512с.
. Микробные
ферменты и биотехнология / Под ред. М. В. Фогарти. - М.: Агропромиздат, 1986. -
318 с.
. Техническая
биохимия / Под ред. В. Л. Кретовича. - М.: Высшая школа, 1973.-456 с.
. Ферментные
препараты в пищевой промышленности / Под ред. В. Л. Кретовича, В. Л. Яровенко.
- М.: Пищевая промышленность, 1975. - 535 с.
. Жеребцов
Н.А., Корнеева О. С., Фараджаева Е.Д. Ферменты: их роль в технологии пищевых
продуктов: Учебное пособие. - Воронеж: Изд-во ВГУ, 1999. - 120с.
К главе 9
. Скурихин И.
М., Нечаев А. П. Все о пище с точки зрения химика. - М.: Высшая школа, 1991. -
286с.
. Орещенко А.
В., Берестень А. Ф. О пищевых добавках и продуктах питания // Пищевая
промышленность. - 1996. - № 6. - С. 4.
. Нечаев А.
П., Смирнов Е. В. Пищевые ароматизаторы // Пищевые ингредиенты (сырье и
добавки). - 2000. - № 2. - С. 8.
. Лукин Н.Д.
Пищевые добавки на основе сахаристых кразхмалопродуктов //Пищевая
промышленность. - 1996. - № 6. - С. 14.
.
Позняковский В. М. Гигиенические основы питания и экспертизы продовольственных
товаров. - Новосибирск: Издательство Новосибирского Университета, 1999. - 431с.
. Тужилкин В.
И., Кочеткова А. А., Колесное А. Ю. Пектины. Теория и практика применения//
Известия ВУЗов. Пищевая технология. 1995. № 1 - 2. - С. 78- 83.
. Сарафанова
Л. А. Применение пищевых добавок: Практические рекомендации. - СПб.: ГИОРД,
2002. - 160 с.
8.
Clars J. Natural and artifical food additives. Harper Collens Publisher, 1991.
. Россивал
Л., Энгст Р., Соколай А. Посторонние вещества и пищевые добавки в продуктах. -
М.: Легкая и пищевая промышленность, 1982. - 264 с.
. БулдаковА.
Пищевые добавки: Справочник. - СПб.: "Ut", 1996. - 240 с.
. Лиме Э.,
Ягер М. Консерванты в пищевой промышленности. - СПб.: ГИОРД, 2000. - 236 с.
. Нечаев А.
П. Пищевые добавки. Пищевые ингредиенты (сырье и добавки). - М.: 1999. - С. 2.
.
Гигиенические требования безопасности и пищевой ценности пищевых продуктов.
(СанПиН 2.3.2.1078-01). Приложение 7. - М.: Минздрав России, 2002. -166с.
. ЗимонА.Д.,
ЛещенкоА.Д. Коллоидная химия. - М.: Химия, 1995.
. Нечаев А.
П., Болотов В. М. Пищевые красители. Пищевые ингредиенты (сырье и добавки). -
М.: 2001. - 214с.
. Тутельян В.
А., Суханов Б. П., Австриевских А. Н., Поздняковский В. М. Биологически
активные добавки в питании человека. - Томск: Издательство научно-технической
литературы, 1999. - 294 с.
. БулдаковА.
С. Пищевые добавки. Справочник - М.: ДеЛиПринт, 2001. - 435 с.
18.
Imeson A. Thickening and gelling agents for food. - London: Chapman and Hall,
1992.
.
Food additive user's handbook / Edited by I. Smith - Canada: Blacking and Son
Ltd, 1996.
.
IgolRoberts., Hui Y. H. Dictionary of food ingredients. - USA: Chapman and
Hall, 1996.
.
Whistler Roy L., Bemiller Tames N. Carbohydrate chemistry for scientists. -
USA: Eagan press, 1997.
.
Paskins-Hurlburt. A. J. et al. The binding of lead by pectic polyelectrolyte //
Environ. Res., 1977. 14.
P. 128-140.
К главе 10
. Вода в
полимерах / Под ред. Роуленда. - М.: Мир, 1984. - 315 с.
. Значение
показателя "активность воды" в оценке сельскохозяйственного сырья. -
М: АГРОНИИТЭИММП, 1987. - 36 с.
. Пищевые
продукты с промежуточной влажностью /Под ред. Р. Дэвиса, Г. Берга, К. Паркера.
- М.: Пищевая промышленность, 1980. - 208 с.
4.
BelitzH.-D.,Grosch W. Food chemistry. - Berlin; New York; London; Paris; Tokyo:
Springer Verlag, 1987. - 635 p.
.
De Man J. M. Principles of Food Chemistry, - Westport, Connecticut Avi. Publish
Co Inc., 1976. - 426 p.
.
Fennema O. R. (ed.). Food chemistry. - New York; Basel; Marcel: Denker Inc.,
1985.-991 p.
.
Karel M., Pong S. Antioxidation initiated reactions // Food Water Activity Influenceon
Food Quality (Ed. L. B. Rockland. - New York, 1981. P. 551 - 629.
.
Luyet B. J., Anatomy of the freezing process in physical systems in Cryobiology
/ Ed. H.T. Meryman. - New York, Acad. Press: 1986. P. 115 - 138.
.
Labuza T. P. et al. Water content & stability of low moisture &
intermediatemoisture foods// Food Technology. 1970. w 24. P. 543 - 551.
К главе 11
. АрчаковА.
И. Оксигеназы биологических мембран. - М., Наука, 1983. - 54 с.
. Богатырев
А. И., Васильев А. В. Есть ли свет в конце продовольственного туннеля ведущего
из XX века в XXI? / Ваше питание. - 2001. - № 3. - С. 32 - 36.
.
БудниковГ.К. Диоксины и родственные соединения как экотоксиканты //Соросовский
образовательный журнал. - 1997. - № 8. - С. 38 - 94.
. Габович Р.
Д., Припутина Л. С. Гигиенические основы охраны питания от вредных химических
веществ. - Киев: Здоровье, 1988. - 158 с.
.
Гигиенические требования безопасности и пищевой ценности пищевых продуктов.
(СанПиН 2.3.2.1078-01). Приложение 7. - М.: Минздрав России, 2002. - 166 с.
. Данченко Л.
В., Надыкта В.Д. Безопасность пищевой продукции. - М.: Пищепромиздат, 2001. -
525 с.
. ЖербинЕ.А.
, Комар В. Е., ХансонК.П., ЧухловинА.Б. Радиация, молекулы, клетки - М.,
Знание, 1984. - 150 с.
. Казаков
Е.Д. Основные сведения о зерне. - М.: Зерновой союз, 1997. - 144 с.
.
Канцерогенные вещества: Справочник. Материалы Международного агентства по
изучению рака / Пер. с англ, под ред. проф. В. С. Турусова. - М.: Медицина,
1987. - 333 с.
.
Ю.КоломиецА. Ф. Полихлорполициклические ксенобиотики // Успехи химии. 1991.
№3.-С. 536-544.
. Кретовин В.
Л. Биохимия растений. - М.: Высшая школа, 1980. - 445 с.
. Куликовский
В. И. Обезвреживание ксенобиотиков / Соровский образовательный журнал. - 1999.
- № 1. - С. 8 - 12.
.
.ЛенинджерА.Л. Основы биохимии: В 3 т. / Пер. с англ. - М.: Мир, - 1056 с.
. Майстренко
В. И., Хамитов Р. 3., Будников Г. К. Эколого-экономический мониторинг
суперэкотоксикантов. - М.: Химия, 1996. - 320 с.
. Мельников
Н. Н., Волков А. И., Короткое О. А. и др. Пестициды и окружающая среда. - М.:
Химия, 1977. - 240 с.
. Меркурьева
Р. В., Судаков К. В., Бонащевская Г. И., Журков В. С. Медико-биологические
исследования в гигиене. - М.: Медицина, 1986. - 266 с.
. П. Нейман
И. М. Канцерогены и пищевые продукты. - М.: Медицина, 1972. - 152с.
. Нечаев А.
П., Скурихин И. М. Все о пище с точки зрения химика. - М.: Высшая школа, 1991.
- 286 с.
. Николаева
М. Н., ЛычниковД. С., Неверов А. Н. Идентификация и фальсификация пищевых
продуктов. - М.: Экономика, 1996. - 107 с.
. Овчинников
Ю.А. Биоорганическая химия. - М.: Просвещение, 1987. - 668 с.
. Островский
Ю. М. Антивитамины в экспериментальной и лечебной практике. - Минск, 1973. - 75
с.
. Павлоцкая
Л. Ф., Дуденко Н. В., Эйдельман М. М. Физиология питания. - М., 1989.
. Парк Д. В.
Биохимия чужеродных соединений. - М.: Медицина, 1973. - 287 с.
. Проблемы
загрязнения окружающей среды и токсикологии / Под ред. Дж. Уэра. - М.: Мир,
1993. - 192 с.
. Пурмаль А.
П. Антропогенная токсикация планеты // Соросовский образовательный журнал.
1998. № 9. - С. 39-51.
.
Радиоактивность и пища человека / Под ред. Р. Рассела, пер. с англ, - М.:
Атомиздат, 1971. - 375 с.
. Силаева Т.
П., Кочеткова А. А., Колесное А. Ю. Трансгенные пищевые продукты: риски
перспектива/ Пищевая промышленность. - 1999. - № 10. - С. 14.-15;№ 11.-С.
11-12.
. РосивалЛ.,
Энгст Р., СоколайА. Посторонние вещества и пищевые добавки в продуктах / Пер. с
нем. - М.: Легкая и пищевая пром., 1982. - 264 с.
. Рыбальский
Н. Г., Савицкий А. И., Малярова М.А., Горбатовский В. В. Экология и
безопасность: Справочник: В Зт. - М.: ЭКИП Ауто, 1994. - Т. 1, ч. 1, - С.
58-73; Ч. 2.-С.43-118.
. Тутельян В.
А., Кравченко Л. В. Микотоксины. - М.: Медицина, 1985. - 307 с.
. Федоров Л.
А. Диоксины как экологическая опасность: ретроспектива и перспектива. - М.:
Наука, 1993. - 266 с.
. Фрункин М.
Л., Ковальская Л. П., Гельфранд С. Ю. Технологические основы радиационной
обработки пищевых продуктов. - М.: 1973. - 407 с.
. Эйхлер В.
Яды в нашей пище / Пер. с нем. - М.: Мир, 1985. - 213 с.
К главе 12
. Справочник
по диетологии / Под ред. М. А. Самсонова, А. А. Покровского - М.: Медицина,
1992. - 464 с.
. Справочник
предельно допустимых концентраций средних веществ в пищевых продуктах и среде
обитания. - М. 1993. - 142 с.
. Скурихин И.
М., Нечаев А. П. Все о пище с точки зрения химика. - М.: Высшая школа, 1991. -
286с.
. ПавлоцкаяЛ.
Ф., Дуденко Н. В., Эдельман М. М. Физиология питания. - М.: Высшая школа, 1989.
- 368 с.
. ЛенинджерА.
Основы биохимии: В 3 т. - М.: Мир, 1985. - 974 с.
.
Поздняковский В. М. Гигиенические основы питания и экспертизы продовольственных
товаров. - Новосибирск: Новосибирский университет, 1996. - 431 с.
. Матюхина 3.
П. Основы физиологии питания, гигиены и санитарии. - М.: АСАДЕМАИРПО, 1999. -
181 с.
. Большая
медицинская энциклопедия / Под ред. Б. П. Петровского. Т. 17, 19. - М.:
Советская энциклопедия, 1989.
. Введение в
общую нутриентологию (биологически активные добавки) / Под ред. Ю. П. Гичева,
Э. Огановой. - Новосибирск: Академмед, 1998. - 216 с.
.
Сравнительный анализ политики в области питания в Европейских государствах -
членах ВОЗ. Документ Всемирной организации Здравоохранения. От 05.10.1998.
. Тутельян В.
А. Биологически-активные добавки - неизбежный элемент пищи XXI века. В кн.
Биологически-активные добавки - нутрицевтики и их использование с
профилактической и лечебной целью при наиболее распространенных заболеваниях.
III межд. симпозиум. - Тюмень, 1997. - С 7 8
. Княжев В.
А., Войткевич Н.Д., Большаков О. В., Тутельян В. А. О здоровом питании // Ваше
питание. 2000.
№ 1. - С. 57.
.
Functional Foods/ Ed. by I. Goldberg. Chapman & Hall, 1994. - 572 p.
14.
КочетковаА.А., Колесное А. Ю., Тужилкин В. Им др. Современная теория
позитивного питания и функциональные продукты // Пищевая промышленность. -
1999. - № 4. - С. 7 - 10.
. Покровский
В. И., Романенко Г. А., Княжев В. А. и др. Политика здорового питания.
Федеральный и региональный уровни. - Новосибирск: Сиб. унив. изд-во, 2002. -
344 с.
. Шендоров Б.
А. Медицинская микробная экология и функциональное питание, Т. 3. - М.: Гранть,
2001. - 287 с.
АЛФАВИТНО-ПРЕДМЕТНЫИ УКАЗАТЕЛЬ
А
ААТТ (аденин) 25
Авенин 58
Авитаминоз 40
Агар (агар-агар) 393
Агглютинация 71
АДФ 34, 80, 124
Адипиновая кислота 273
Адреналин 39
Азорубин (кармуазин) 37 1
Азот 21,57,76-78, 103, 119
Актин 80
Алании 35, 38, 46, 65, 68, 76
Алейрины 72
Алиментарные соединения 14,561
Алкалоиды 541
Алканин 367
Алкогольдегидрогеназа 295, 342
Аллергия пищевая 28
Альбумины 18, 27, 56-59, 77, 83
Альгинаты 392-393
Альгиновая кислота 391
Аманитин 547
Амарант 359
Амигдалин 540 - 541
α-Амилаза 71, 84, 135, 137, 296, 306,
324
β-Амилаза 64-65, 71, 135, 137, 308
Амилоза 126-129, 171, 309, 377
Амилопектин 126-129, 171, 309, 377
Аминокислотный скор (а. с.) 40
Аминокислоты 17, 28, 42, 88
Аминопептидазы 315, 368
Аммиак 3 1 , 65
Аммониевые фосфатиды 405
АМФ 46, 547
Ансерин 46
Антагонизм 497
Антиалиментарные соединения 14, 69, 293, 497, 548-550, 566, 581
Антибиотики 30, 45, 49, 293, 448, 520-521
Антивитамины 543
Антиокислители (антиоксиданты) 354, 449-455, 522, 600
Антоциановые красители 367
Антрахиноновые красители 366
Апамин 49
АПБ 38
β-Апо-8'-каротиновой кислоты 364
β-Апокаротиновый альдегид 364
Арабиноза 124
Арахидоновая кислота 218
Аргинин 34, 39-40, 45, 53, 65, 68, 79, 106
Ароматизаторы 425 - 436
Ароматические эссенции 430
Аскорбатоксидаза 544
Аскорбилпальмитат 452
Аскорбилстеарат 452
Аскорбиновая кислота 51, 108, 250, 263, 452, 544
Аспарагин 3 1
Аспарагиновая кислота 35, 39, 54, 57, 65, 68, 104
Аспартам 48, 422
АТФ (аденозинтрифосфорная кислота) 31, 34, 46, 80-81, 124, 231, 483, 547,
574-576
Афлатоксины 525
Ацесульфам калия 422
Ацетилпиридин 510
Ацетилхолин 39
Ацилглицерины 189, 199-203,404-405
реакции с участием радикалов 194-201
реакции с участием сложно-эфирных групп 190-193
Б
БАД (биологически активные добавки) 12-13, 15, 359, 456-457, 561
БВК 24
Бактериальные токсины 523
Безопасность пищевых продуктов 492-559
Белки 12, 17-121,571
биологическая ценность 42
бобовых культур 66
злаков 32, 52, 56-65
картофеля, овощей и плодов 76 - 78
масличных культур 72
мяса и молока 79 - 85
определение 1 12
превращения в технологическом потоке 101
строение 44
функциональные свойства 91
Бензоаты 445
Бензойная кислота 33, 445
Бензойная смола 437
Бетаин 35
Бетанин 368
Биогенные амины 541
Биотин 256
Биофлавоноиды 261, 544
БОА (Бутилгидроксианизол, ВНА) 207,454
БОТ (Бутилгидрокситолуол, ВНТ) 207,454
Брожение 163
Бромат калия 373
Бромелаин 318
Буферы (см. Пептиды) 45
В
Вазопрессин 44, 46
Валин31,39,41,55,65,68
Ванилин 433
Винная кислота 273, 456
Виолоксантин 364
Витаминизация 262
Витаминоподобные соединения 248, 260-261
Витамины 10, 21, 246-262, 593, 579, 600, 604
водорастворимые 248, 250 - 256
жирорастворимые 248, 257 - 259
Вицилин 66, 77
Влага (см. также Вода)
близлежащая 473
методы определения 490
мультислойная 473
органически связанная 472 - 473
свободная 471
связанная 47 1,469
ВНТ (см. БОТ)
Вода 46 1-491
активность (aw) 165, 473, 476-486
свойства 462-468
ВНА (см. БОА)
ВОЗ 2 1,40, 352,497, 595
Воски 191, 195
Высаливание 115
Вязкость 455
Г
Галактоманнаны 390, 453
Галактоза 123, 161
β-Галактозидаза 312
Галловая кислота 453
Галлаты 453
ГАМ К 39
Гваяковая смола 454
Гексоза 162, 164
Гелеобразователи 354, 374
Гемоглобин 18, 27, 40, 55
Гемицеллюлозы 181, 185
Гидрогенизированные жиры 544
Гидролазы 296, 306
Гидролиз 79, 106, 111,135
крахмала 136
сахарозы 135
триацилглицеринов 1 99
Гидролитические ферменты 303
Гидрофильность 164
Гиппуровая кислота 39
Гистамин 39, 541
Гистидин 46, 65, 68, 76
ГИУК (гидрооксииндолилуксусная кислота) 37 - 38
Глазирователи 354
ГЛБ (гидрофильно-липофильный баланс) 213, 400, 408-409, 412
Глиадины 18,57,60,63
Гликаны (полисахариды) 375
Гликоген 47, 126, 135, 179
Гликозиды 129
Гликолипиды 191
Глицериды (см. Ацилглицерины)
Глицерин 200, 209
Глицерофосфолипиды 211
Глицин 33, 39, 45, 65, 68, 104, 437
Глицирризин 419-420
Глобулины 57, 60-61, 66, 72
Глутамин31,35, 39
Глутаминовая кислота 30, 39, 54, 57, 65, 68, 76, 437
Глутатион 39, 51, 64, 507
Глюкоамилаза 309
Глюкоза 129, 132, 135, 144-146, 302, 396
β-Глюкозидаза 315
Глюкозооксидаза 156, 162-163, 168, 302, 456
Глюкуроновая кислота 396
Глютелины 18, 56-59, 62, 72
Глютенин 18, 58, 61-63
Гормональные препараты 522
Гормоны 2 1,3 1,44-45
Госсипол 76, 196, 207
Грамицидин S 50
Гуанидинуксусная кислота 34
Гуаниловая кислота 438
Гуаран 390
ГУМ К 38
Гумми 127
Гуммиарабик 97
ГЭ (глюкозный эквивалент) 136, 141
Д
Да (Дальтон) 17
Декстраны 127
Денатурация белков 101
Десмозин 83
Дигидрокверцетин 455
Диоксид серы 373, 443
Диоксины и диоксинподобные соединения 508-509
Дипептидазы 316, 367
Дисахариды 126
Дифенил 447
ДНК (дезоксирибонуклеиновая кислота) 17-18, 25, 54, 78, 104, 124, 568
Додецилгаллат 452
ДОФА 36
ДСД 353, 359,497, 501,509
ДСП 353, 497
Ж
Желатин 83, 376, 398-399, 469
Желтый "солнечный закат" 370
Жиры (см. Липиды)
Загрязнение (пищевых продуктов)
веществами, применяемыми в животноводстве 520
веществами, применяемыми в растениеводстве 513
контроль 536
радиоактивное 503
Загустители 354, 374
Зеараленон 533
Зеин 57-58, 77
Зеленый S 371
Зеленый прочный FCF 371
И
Изоаскорбиновая кислота 453
Изодесмозин 83
Изоляты 94
Изомальтит 422
Изомальтол 436, 439
Изопреноиды 43 1
Изотермы сорбции 477
Иммуноглобулины 86
Ингибиторы
пищеварительных ферментов 539
протеаз 69
Индигокармин (индиготин) 369
Индол 38
Индолилуксусная кислота 543
Инозиновая кислота 438
Инсулин 18, 45
Инулаза 127
Инулин 120, 127
Ионол 207, 454
Ионометрия 244
ИЭТ 86
К
Кадаверин 38
Казеин 42, 51,83-86
Камеди 127-128, 390, 397
Кантаксантин 364
Карамелизация 147
Карбоксипептидазы 53, 316, 367
Кармины 366
Карнозин 46
Каротиноиды (в т. ч. р-каротин) 362
Каррагинаны 394 - 396
Катал аза 299, 345
Катехины 260
Кафирин 58
Квашиоркор 27
Кверцетин 456
КДБ 88, 92
Кислотообразователи 354
Кислоты пищевые 263 - 277
Кислые протеиназы 316, 369, 373
ККТАОФ 492
Клейковина 31-32, 35, 51-52, 62-63, 88, 94, 109
Клейстеризация 172 - 176
Клетчатка 127, 134-135, 186
КМЦ (карбоксиметилцеллюлоза) 86,97,115,180
КоА(коферментА) 38, 547, 574-576
Кокарбоксилаза 25 1
Колипаза 572
Коллаген 19, 82-83
Консерванты 354, 440-447
Коричневый НТ 371
Кофеин 542
Кофейная кислота 76
КРА 88, 92
Красители пищевые 354, 360-372
натуральные (природные) 362 - 369
синтетические 369 - 372
Красный очаровательный АС 371
Крахмалопродукты сахаристые 415, 483
Крахмалы 122, 126, 133-141, 171-179
клейстеризация 172
производство 326
Крахмалы модифицированные 176 - 179, 376-383, 439
набухающие 379
расщепленные 379 - 380
стабилизированные 380 - 381
сшитые 382-383
Креатин 31, 34, 39
Креатинин 34
Креатинфосфат 34
Крезол 38
Криптоксантин 364
Ксантан 397
Ксенобиотики (чужеродные соединения) 494-495, 550
Ксилан 181
Ксилита 421
Куркумин 367
КЭБ (коэффициент эффективности белка) 4 1,90
КЭМ (коэффициент эффективности метаболизации ж. к.) 219
Л
Лактальбумин 83-85
Лактат калия 454
Лактат натрия 454
Лактит421
ЛактазаЗП
Лактоглобулин 83 - 85, 102
Лактоза 125, 312, 416
ЛД50 (доза вещества, вызывающая гибель 50% подопытных животных) 496
Легумин 66-68, 77
Лед 470, 487
Лейкозин 111
Лейцин 39, 55, 65, 68, 543
Лектины 69, 71, 404, 546
Лецитины 33, 405, 455
Лизин 23, 39, 42, 53, 55-57, 68, 76, 90, 438
Лизосомы 73
Ликопин 362
Лимарин 540
Лимонная кислота 265, 456
Линатин 544
Л инолевая кислота 208, 217
Линоленовая кислота 217 - 218
Липаза 304
Липиды 10, 31, 44, 187-222, 572
пищевая ценность 216 - 219
превращения 220 - 221
строение и состав 187 - 198
ЛМН91
ЛНП (липопротеид низкой плотности) 27
ЛСД 54 1-542
Люлиберин 47
Лютеин 364
Лютеоскирин 535
М
Макронутриенты 561, 570, 593
Макроэлементы 10, 227-231
Мальтит и мальтитный сироп 422
Мальтоза 125, 164
Мальтол 436, 439
Масла (см. Липиды)
Маслосмолы 363
Меланин 31, 36
Меланоидины 102, 153
Меры токсичности веществ 496
Метаболизм
аминокислот 575
жирных кислот 576
чужеродных соединений 550-553
Металлопротеиназы 316, 369
Метионин 32, 34, 39, 45, 57, 65, 68
Миелин 18, 20
Микотоксины 524
Микронутриенты 562
Микроэлементы 10, 233-240, 593
Минеральные вещества 10, 21, 223-245, 593, 601
влияние обработки 240 - 241
методы определения 242 - 244
Минеральные пигменты 373
Миоглобин 18,55,81
Миозин 19, 80
Миракулин415
Многоатомные спирты 421
Молочная кислота 164, 272
Монелин418
Моноацилглицерины 403
Моносахариды 123, 164, 184
Морфин 541-542
Мочевина 31, 39, 67
МСГ (меланотропин) 47
Мультислойная вода 463
Муравьиная кислота 446
Мутагенное 560
Н
Набухающие крахмалы 379
НАД, НАД+ (никотинамидадениндинуклеотид) 37, 124, 253, 281, 288,
346,547,551
НАДФ, НАДФ+ (никотинамидадениндинуклеотидфосфат) 37, 51, 253,
281,346,551,577
Наполнители 354
Натуральные (природные) красители 362
Нейропептиды 45, 47
Нейтральные протеиназы 373
Неогесперидин дигидрохалкон 420
Непищевые вещества 561-562
Неусваиваемые углеводы 186
Низин 448
Нитраты 78, 373, 516
Нитрозамины 516 - 517
Нитрофураны 521
Норадреналин 39
Нуклеозиды 28 1
Нуклеотиды 31,281
Нутриенты 13-14, 223, 461, 561
Нутрицевтики 457, 562, 597
О
Окисление 160, 205
Оксид оредуктазы 79, 298
-Оксилизин 36
-Оксипролин 36
Окситетрациклин 488, 521
Окситиамин 544
Окситоцин 44, 46
Октилгаллат 452
Олигосахариды 122, 124, 135, 184,603
Органически связанная вода 472
Оризенин 58
Оризин 58
Орнитин 34
Орсеил 370
Ортодифенолы 544
Охрана 573
Охратоксины 529
П
ПААГ (полиакриламидные гели) 59 - 60,63,67, 117,119,391
ПАВ (поверхностно-активные вещества) ПО, 348, 399-401, 404,
,472
Пантотеновая кислота 253
Папаин317-318
Парабены 445
Пара-гидроксибензойной кислоты 445
Парафармацевтики 456 - 459, 561 - 562, 597
Патулин 534
ПАУ (полициклические ароматические углеводороды) 5 1 1
ПДК (предельно-допустимая концентрация) 353, 359, 497, 499, 508
Пектины 86, 182, 185, 385-389, 447
комплексообразующая способность 399
образование гелевой структуры 398-399
растворимость 398
Пектиновая кислота 386
Пектиновые вещества 182
Пектинэстераза 142, 305
Пенициллин 488, 520
Пеногасители 354
Пенообразователи 354
Пепсин 45, 321
Пептидазы 1 1 1
Пептиды 31, 44, 52
антибиотики 49 - 50
буферы 45 - 46
вазоактивные 48
вкусовые 50 - 5 1
гормоны 46 - 47
протекторные 51
Пептозаны 127
Переваривание макронутриентов 570
Переэтерификация 201
Пероксидаза 299, 346
Пестициды 512
Пимарицин 448
Пиримидин 35, 39
Пиродоксин 255
Питание
здоровое (концепция) 590 - 597
и пищеварение 563
рацион 595
теории (три принципа рационального питания) 576
Пищеварение 563
Пищевые добавки 12, 15, 349 - 455, 561
Плазмин 70
Подсластители 354, 415-425, 486
Подслащивающие вещества 414
Полисахариды 124-129, 168, 185
-го порядка 126
морских растений 391, 455
Полифенолоксидаза 298
ПоллуланазаЗЮ
Понсо4К371
Порфирин 3 1
Пребиотики 603
Пробиотики 562, 602
Продукты (см. Загрязнение)
Амадори 152
основные группы 596
фальсификация 557
Проламин 56-58, 61, 72
Пролин31,65, 68
Пропелленты 354
Пропилгаллат 452
Пропионовая кислота 447
Протеазы 64, 98, 106, 317-323
Протеиназы щелочные 372
Протеин (см. Белки)
Протекторы 45
Протеолитические ферменты 316
Протопектин 385
Пряности 434, 456, 504
Пурины 39
Пуриновые алкалоиды 543
Путресцин 38
Р
Радиоактивное загрязнение 503
Разрыхлители 354
Распад по Стреккеру 154-155
Реакция Майяра 102, 148-160, 162
Регуляторы кислотности 271, 354
Реннин 321
Рибонуклеотиды 438
Рибофлавины 259, 369
Рицин 75
РНК (рибонуклеиновая кислота) 78,
, 567
Родоксантин 364
РРР (регуляторы роста растений) 519
Рубиксантин 364
С
Саломас 203
Сантохин 447
Сахарин 424
Сахарный колер 368
Сахароза 50, 125, 133, 135, 140, 312,414
Сахарозаменители 42 1
Свекольный красный 368
СВЧ (сверхвысокие частоты) 42
СЗ (степень замещения) 178, 181
Секалин 57
Серии 31, 55, 65, 68
Сериновые протеиназы 317, 368
Серотонин 37-39, 541
Синергизм 497, 556
Синий блестящий FCF 371
Синий патентованный V 371
Синтетические красители 370
Скатол 38
Склеропротеины 57
Сладость 167- 168
Слизи 127
Смеси подсластителей 424
Соланины 542-543
Солодовый экстракт 416
Сорбиновая кислота 444
Сорбит 421
Стевиозид419
Стерины 195, 197
Стигмастерин 198
Сукралоза 424
Сульфаниламиды 521
Сурфактин 50
Т
ТАГ (триацилглицерины) 189, 199-200,209,214
Танины 547
Тартразин 370
Тартраты 456
Тауматин418
ТБГХ (трет-Бутилгидрохинон, TBHQ) 53
ТГФК 33
Текстураторы 354
Теобромин 541-542
Теофиллин 541-542
Тиаминаза 545
Тиоловые (цистеиновые) протеиназы 317,369
Тирамин 541
Тирозин 36, 37, 39, 65, 68
Тирозиназа 36
Тироксин 39
Тиролиберин 47
Тиротропин 47
Токоферолы 259, 452
Токсиканты природные 523
Токсины
бактериальные 523
микотоксины 524
пептидные 45, 48-49
Токсичные элементы 498
Трансаминаза 37
Треонин 31, 39, 42, 57, 68, 90
Трилон 455
Трипсин 53, 70, 79, 320
Триптофан 23, 28, 37, 57, 68, 90
ТТАА (тимин) 25
ТХУ113
У
Углеводороды ароматические, полициклические 511-512
Углеводы 31, 44, 122-186, 570
методы определения 184-186
реакции 135-164
функции 164-183
УДФ (уридиндифосфат) 553
Уксусная кислота 272, 447
Уреаза 75
Уротропин 447
Ф
ФАД, ФАДН 162
ФАО 2 1,40, 352,497
Фенилаланин 36-37, 39, 54, 68, 76
Фенилпировиноградная кислота 37
Фенол 38
Ферменты 18, 26, 65, 79, 98, 106, 278-348
иммобилизованные 337
класификация и номенклатура 295
применение 323
протеолитические 316
свойства 279
целлюлолитические 314
Фитин 547
Фицин318
Флавоксантин 364
Фолиевая кислота 255
Фосфатиды (см. Фосфолипиды)
Фосфолипазы 21 1, 406
Фосфолипиды 32, 64, 192-195, 211, 405
Фосфопротеиды 33
Фосфорная кислота 266
Фосфосерин 33
Фруктоза 124
β-Фруктофуранозидаза 310
Фумаровая кислота 265
Фурфурол 143
Химопапаин 317-318
Химотрипсин 53, 70, 79, 320
Хинолиновый желтый 370
Хлористый натрий 438
Хлорофиллы 365
Хлортетрациклин 489, 521
Холевая кислота 33
Холестерин 42, 91, 133, 198
Холин (холинхлорид) 31, 39, 261
Ц
Цветокорректирующие материалы 373
Целлобиогидролаза 314
ЦеллюлазаЗИ
Целлюлоза 126, 180, 314-315, 383, 446
Цианогенные гликозиды 539
Цикламовая кислота 423
Циклохлоротин 535
Цистеин 32, 39, 499, 507
Цистеиновая кислота 104
Цистин32,41,65.68
Цитреовиридин 535
Цитринин 535
ЦНС46
Э
Эдестин 68
Эдитин 67
ЭДТА (этилендиаминтетрауксусная кислота) 455
Экзо- 1 ,4-р-глюконаза 3 1 5
Экзопептидазы 315
Экзополигалактуроназа 313
Эластин 18, 82-83
Эмульгаторы 399 - 41 1, 354
Эндо- 1 ,4-р-глюконаза 3 1 5
Эндопептидазы 317
Эндополигалактуроназа 3 1 3
Эндорфины 48
Энкефалины 48
Энтеротоксины 49
Эритрозин 372
Эстеразы 304
Этанол амин 38
Этилендиаминтетраацетат динат-рий 455
Этилендиаминтетраацетат кальция-натрия (соли этилендиаминтетрауксусной
кислоты) 455
Этилмальтол 438
Эубиотики (см. Пробиотики)
Эфирные масла и душистые вещества 427, 500
Эфиры молочной кислоты 412
Эфиры полиглицерина 409
Эфиры полиоксиэтиленсорбитана 41 1
Эфиры сахарозы 410
Эфиры сорбитана 410
Я
Яблочная кислота 273
Яды пептидной природы 548
ЯМР (ядерный магнитный резонанс) 491
Янтарная кислота 273
Похожие работы на - Пищевая химия
|