Планирование товарного ассортимента оборота торговли
ВВЕДЕНИЕ
При переходе к рыночным отношениям в России
планирование оказалось практически полузабытым. Между тем, планирование -
важная функция управления любым предприятием. Многолетний опыт зарубежных фирм
и российских предприятий показал, что недооценка планирования
предпринимательской деятельности в условиях рынка, сведение его к минимуму,
игнорирование или некомпетентное осуществление зачастую приводят к
неоправданным экономическим потерям. Грамотные руководители хорошо знают, что
все великие битвы сначала выигрывают на бумаге - на плане, а только потом в
реальной действительности. Рынок не подавляет и не отрицает планирование
вообще, а только перемещает эту работу в первичное производственное звено. Все
торговые предприятия независимо от формы собственности, масштабов и видов
деятельности организуют торгово-технологический процесс на плановой основе.
Назначение планирования состоит в стремлении максимально учесть все внутренние
и внешние факторы, обеспечивающие оптимальные условия для развития предприятия.
Тема выпускной квалификационной работы
«Планирование товарного ассортимента оборота торговли» актуальна на сегодня
тем, что рыночные отношения сложились в форму экономических отношений, ситуация
развития рынка стабилизировалась, каждый торговый субъект занял определенную
нишу в этих почти сложившихся отношениях и конкуренция за прибыльность ведения
деятельности становится как нельзя актуальнее. В сложившихся экономических
формах, не поддерживая теорию К.Маркса, я считаю, что могут работать все
субъекты, ведущие торговую деятельность, но вот об эффективности или развитии
стоит задуматься, взвесив свои силы. В настоящее время для развития торговой
деятельности необходимо использование всех ресурсов, и научный подход, в виде
планирования, имеет немаловажное значение. Задача каждого потребления. Для этой
задачи необходимо планировать не только общий объем оборота по реализации
товаров, но и сумму выручки от продажи отдельных товарных групп, поэтому цель
выпускной квалификационной работы - рассмотреть методы планирования наиболее
актуальные на сегодня, на конкретном примере торговой деятельности ИП Туговой
И.А., убедиться в целесообразности планирования структуры оборота.
Структура оборота используется для заключения
договоров на поставку товаров, определение необходимых товарных запасов,
издержкоемкости реализации отдельных товарных групп. Планирование товарной
структуры с учетом покупательского спроса и доходности является одним из
рычагов управления прибылью предприятия, поэтому задачей выпускной квалификационной
работы будет разработка плана наиболее эффективной товарной структуры оборота
торговли в торговой деятельности ИП Туговой И.А.
Актуальность темы исследования в том, что на
сегодняшний день на рынке присутствует огромное количество компаний. Каждая из них
занимается каким-либо видом деятельности производство, торговля, услуги и т.п.
Потребитель предъявляет всё новые, более изысканные требования к товарам.
Покупатели хотят, чтобы купленные ими товары были более практичными, красивыми,
долговечными. А производители вынуждены удовлетворять постоянно возрастающие
запросы своих клиентов. Вот почему коррекция ассортимента очень важна сегодня.
Сущность планирования, формирования и управления
ассортиментом заключается в том, чтобы производитель своевременно предлагал
определенную совокупность товаров, которые бы, соответствуя в целом профилю его
производственной деятельности, наиболее полно удовлетворяли требованиям
определенных категорий покупателей. Задача высшего руководства торгового
предприятия и состоит в том, чтобы, учитывая все эти факторы, обеспечить
наиболее полное соответствие товарного ассортимента запросам потребителей.
Такое соответствие обеспечивается благодаря планированию товарного
ассортимента.
Целью выпускной квалификационной работы является
комплексное исследование планирования товарного ассортимента оборота торговли
ИП Туговой И.А. и разработка предложений по оптимизации планирования товарного
ассортимента оборота торговли в условиях рынка.
Для достижения поставленной цели решены
следующие задачи:
исследованы теоретические и методические вопросы
планирования товарного ассортимента оборота на предприятии розничной торговли;
дана подробная характеристика объекта
исследования;
проведен анализ товарного ассортимента и методов
его планирования в предпринимательской деятельности ИП Туговой И.А;
разработаны направления планирования товарного
ассортимента ИП Туговой И.А., направленные на увеличение оборота торговли.
Объектом исследования выступает процесс
планирования товарного ассортимента в торговой деятельности ИП Туговой И.А.
Предметом исследования являются элементы
процесса планирования товарного ассортимента на предприятии розничной торговли
по месту осуществления торговой деятельности ИП Туговой И.А.
Теоретической и методической основой послужили
труды российских и зарубежных ученых по проблемам организации деятельности
торговых предприятий в части формирования и использования ассортимента и
планирования товарного ассортимента оборота торговли.
В работе применялись общие методы исследования -
системный подход, сопоставительный, экономический анализ, статистические
группировки, а также выборочные статистические обследования.
Разработанные в работе направления планирования
товарного ассортимента оборота торговли, позволят применительно к конкретным
организационно-техническим условиям торговой деятельности ИП Туговой И.А.
осуществить систему мер, направленных на рациональное использование оборотных
средств и получение маржинальной прибыли.
Структура работы включает теоретические вопросы
планирования товарного ассортимента оборота торговли, их сущность, цели и
значение, рассматриваются методы планирования оборота торговли и производится
экономический анализ товарной структуры оборота торговли ИП Туговой И.А. г.
Красноярска, производится экономическое обоснование товарной структуры оборота
торговли ИП Туговой И.А. и делается заключение о производимой деятельности по
этим вопросам в торговой деятельности ИП Туговой И.А.
ГЛАВА 1. ЗНАЧЕНИЕ, ЦЕЛЬ И ЗАДАЧИ
ПЛАНИРОВАНИЯ ТОВАРНОЙ СТРУКТУРЫ ОБОРОТА ПРЕДПРИЯТИЙ ТОРГОВЛИ
.1 Сущность, цель и значение
планирования оборота предприятий торговли
Все торговые предприятия независимо от формы
собственности, масштабов и видов деятельности - розничная, оптовая торговля,
общественное питание - организуют торгово-технологический процесс на плановой
основе.
Планирование представляет собой особую форму
деятельности, направленную на разработку и обоснование программы экономического
развития предприятия и его структурных звеньев на определенный (календарный)
период в соответствии с целью его функционирования и уровнем ресурсного
обеспечения.
В условиях хозяйствования предприятия широко
используют преимущества планирования в конкурентной борьбе. Поэтому важно
хорошо подготовится к началу ведения предпринимательской деятельности, уметь
составить продуманный и всесторонне обоснованный детальный план - документ,
определяющий стратегию и тактику ведения бизнеса, технологию, организацию
производства и реализацию продукции. Наличие такого плана позволяет активно
развивать предпринимательство, привлекать инвесторов, партнеров и кредитные
ресурсы, а также: максимально использовать конкурентные преимущества
предприятия, предотвращать ошибочные действия, использовать инновации в своей
деятельности, своевременно принимать защитные меры против разного рода рисков,
объективно оценивать результаты производственной и коммерческой деятельности
предприятия.
Стратегическое планирование деятельности
предусматривает разработку планов на долгосрочную перспективу ведения
предпринимательской деятельности, тактическое планирование предполагает
планирование мероприятий по ведению деятельности в текущем периоде.
Одновременно план является руководством к
действию. Он используется для проверки идей, целей, для управления предприятием
и прогнозирования результатов деятельности. Планирование представляет собой
процесс научного обоснования стратегических и тактических целей организации,
выбор оптимальных путей их достижения в соответствии с имеющимися ресурсами..
По мере реализации и при изменении обстоятельств план может уточняться путем
корректировки соответствующих показателей. План необходим не только крупным и
средним, но и малым предприятиям. Планирование охватывает все стороны жизни,
все этапы деятельности организации, позволяет определить все необходимые
параметры достижения целей, делает её более подготовленной и устойчивой к
изменениям внешней и внутренней среды. Оно побуждает руководителей организации
мыслить перспективно, способствует развитию их творческой инициативы,
обеспечивает четкую взаимосвязь специалистов всех уровней и повышает их
ответственность за достижение намеченных показателей. Начинать любое дело без
плана слишком рискованно. План - это образ, модель будущего; планирование -
умственный процесс обработки информации по обоснованию предстоящих действий.
Назначение планирования состоит в стремлении
максимально учесть все внутренние и внешние факторы, обеспечивающие оптимальные
условия для развития предприятия.
Главным в планировании становится разработка
плановой программы и способов ее выполнения.
Основное внимание в процессе планирования должно
быть уделено изучению факторов внешней среды, конъюнктуры рынка, тенденций
потребительского спроса, возможностей наиболее эффективного использования
ресурсного потенциала, что вызывает необходимость постоянного взаимодействия
планирования и маркетинга.
Большинство торговых предприятий, не располагая
возможностями в области роста, в целях повышения конкурентоспособности при
планировании своей деятельности основное внимание должны уделять вопросам развития,
связанным, прежде всего, с качеством работы предприятия. Развитие - это
постоянный процесс повышения эффективности хозяйственно-финансовой
деятельности, улучшения использования имущественного и трудового потенциала
предприятия, совершенствования форм и методов продажи товаров, повышения уровня
торгового обслуживания покупателей и т.п. Именно эти вопросы должны находить
всестороннее отражение в текущих и перспективных планах предприятия.
Планирование оборота торговли, являясь основой
эффективной деятельности торговых предприятий, решает следующие задачи:
устанавливает оптимальные показатели
хозяйственной деятельности с последующим контролем над их динамикой;
позволяет объективно оценить свой потенциал и
соотнести его с поставленными целями;
делает предприятие более подготовленным к
внезапным изменениям экономической ситуации; выявляет сильные и слабые стороны
его деятельности;
способствует более рациональному использованию
материальных, трудовых, финансовых ресурсов.
Главная цель торговли потребительскими товарами
- удовлетворение потребностей населения в товарах и услугах. Достижение этой
цели характеризуется общим объемом реализации товаров населению. При реализации
товаров потребителю произведенный продукт находит свое выражение в общественном
признании.
Оборот торговли характеризует объем потребления
материальных благ, выражает экономические отношения, возникающие в процессе
движения товаров из сферы производства и обращения в сферу личного потребления.
Сущность оборота торговли проявляется в экономических отношениях, связанных с
обменом товаров и услуг на рынке в процессе купли-продажи.
Оборот торговли характеризует процессы,
развивающиеся в сфере товарного обращения, и факторы, воздействующие на
формирование спроса и предложения, и отражает экономические отношения между
производителями и потребителями.
Оборот торговли позволяет определить условия,
при которых развивается соотношение между спросом и предложением на рынке. Это
позволяет установить, как реализуются на конкретном рынке отношения между производителями
и потребителями товаров, какие условия определяют тенденции формирования и
развития спроса и предложения в последующий период и на перспективу.
Оборот торговли отражает уровень развития
производительных сил, условия жизни, т.е. характеризует объем и структуру
общественных потребностей. Удовлетворение потребностей происходит путем
потребления (использования) конкретного продукта, приобретаемого в основном на
рынке. Оборот торговли характеризует объем продажи товаров, следовательно, по
его величине можно судить о масштабах и уровне удовлетворения спроса.
Оборот торговли позволяет оценить характер
распределения между участниками рыночного процесса, звенность и
последовательность этапов товародвижения, связи производственной сферы и
торговых посредников, уровни и длину каналов товародвижения. Оборот торговли
характеризует распределение реализации товаров по территориям и регионам
страны, по конкретным фирмам, занимающимся реализацией товаров, по отдельным
группам товаров.
Оборот торговли является важнейшим оценочным
показателем торгового предприятия, измерителем эффективности деятельности.
Объем продажи товаров характеризует конкурентные позиции предприятия на рынке,
его долю в общем объеме продаж и степень устойчивости положения на рынке,
способность продавать товары, пользующиеся спросом потребителей и
обеспечивающие получение намеченных и стабильных результатов.
Оценка конкурентоспособности торгового
предприятия на конкретном рынке или его сегменте основывается на тщательном
анализе оборота торговли и позволяет определить потенциальные возможности
предприятия на рынке. Результаты исследования берутся за основу при разработке
стратегии предприятия, его ассортиментной политики, принятии решений о
включении в ассортимент или снятии различных товаров с продажи, выработке
оптимальных пропорций оборота торговли.
Показатели оборота торговли дают возможность
выявить фактическую потребность в товарах, уровень покупательной способности
населения, требования покупателей к товарам, факторы предпочтения при выборе
товаров потребителями, а также перспективы изменения потребностей, выраженные
не только темпами изменения оборота торговли, но и характеристикой жизненного
цикла товара.
Потребности и требования потребителей к товару
постоянно меняются, поэтому успех на рынке имеет то торговое предприятие,
которое сумело наилучшим образом приспособиться к оптимальному удовлетворению
спроса. Зная объем и структуру оборота торговли, предприятие может
предугадывать смену фаз цикла спроса и жизненного цикла товара и пересматривать
стратегию в соответствии с меняющимися условиями конкуренции на рынке. Эти
тенденции отражаются в динамике и структуре оборота торгового субъекта.
Оборот торговли является показателем размера
предприятия, показателем денежной выручки за проданные товары, основой для
определения потребностей в материальных, трудовых и финансовых ресурсах. В нем
отражаются различные стороны хозяйственной деятельности предприятия и отдельных
его звеньев.
Оборот торгового предприятия осуществляется в
различных видах и формах. Прежде всего, он отражает два уровня продажи товаров:
розничный и оптовый оборот.
Розничный оборот торговли характеризует объем
продажи товаров населению для личного, семейного, домашнего использования; он
означает завершение процесса обращения товаров на потребительском рынке и
переход товаров в личное или коллективное пользование. Его величина учитывается
в розничных ценах, т.е. в ценах фактической реализации, включая все налоги,
входящие в состав розничной цены.
В процессе розничной реализации товары полностью
переходят из сферы обращения в сферу потребления.
Экономическая сущность розничного оборота
торговли проявляется в обмене денежных доходов потребителей на товары и услуги
в процессе купли-продажи и в экономических отношениях, связанных с этим
обменом.
Оборот торгового предприятия можно
рассматривать, во - первых, как результат деятельности предприятия торговли,
как его экономический эффект; во-вторых, в социально-экономическом аспекте как
показатель товарного снабжения населения, как один из показателей уровня жизни.
Оборот является валовым показателем реализации
стоимости товаров, он зависит от общего количества проданных товаров и цены
единицы товаров. Общий объем розничного оборота равен произведению
реализованного количества товаров каждого наименования на цену за единицу
товара.
Показатель розничного оборота (как и оптового)
имеет количественную и качественную характеристики.
Количественная характеристика оборота торговли -
объем реализации в денежном исчислении, качественная - связана со структурой
оборота. Структура (или ассортиментный состав) оборота торговли - это доля
отдельных товарных групп в общем объеме реализации.
Необходимо четко различать такие понятия, как
состав и величина оборота торговли: состав складывается из различных видов
продаж, а величина - из сумм торговой выручки, сданной в банк или кассу, объема
мелкооптовых продаж (по безналичному расчету), расходов, произведенных за счет
кассовой выручки (по документам).
Как экономический показатель розничный оборот
имеет ряд недостатков, его рост не всегда означает действительное
удовлетворение спроса. Это связано с тем, что величина объема оборота торговли
может значительно меняться под влиянием ценовых и структурных изменений.
Например, при росте объема реализации в стоимостных показателях может
наблюдаться его снижение в натуральном выражении.
Оптовая и розничная реализация товаров на
предприятиях торговли характеризуется тремя основными показателями, которые
являются важнейшими при разработке товарной стратегии, выработке оптимальных
пропорций оборота, при анализе и планировании оборота. Эти показатели
характеризуют процессы обмена товаров на деньги, переход товарной массы в сферу
потребления, формирование доходов. К этим показателям относятся:
) общий объем оборота торговли. Он характеризует
объем продажи товаров в стоимостном выражении за определенный период времени;
) состав оборота торговли. Этот показатель
характеризует соотношение отдельных видов и форм оборота в общем его объеме.
Например, в составе общего объема розничного оборота рассматривают объем
продажи товаров населению и объем мелкооптовой продажи, продажу товаров за
наличный и безналичный расчет и т.п. В составе оборота торговли изучают
реализацию товаров по структурным подразделениям (филиалам), отделам, секциям и
по другим наиболее характерным признакам, отражающим специфику работы фирмы;
) товарная структура оборота торговли. Это
качественный показатель оборота торговли, который характеризует соотношение
отдельных товаров и товарных групп в общем объеме оборота, выраженное в
процентах. Структуру оборота торговли изучают в целом по предприятию, филиалам,
отделам, секциям, временным периодам. Структура оборота позволяет
охарактеризовать процесс удовлетворения покупательского спроса, установить
тенденции его изменения, отражает распределение затрат покупателей на
приобретение различных товаров.
На объем и структуру оборота предприятий
торговли оказывают влияние различные факторы, но прежде всего экономические,
воздействующие на величину спроса.
Цены на товары растут с разной скоростью,
поэтому очень важно проанализировать воздействие различных показателей инфляции
на многообразные типы товаров, которые продает предприятие. Например, высокий
уровень инфляции на товары, цена на которые является определяющим фактором, может
привести к резкому сокращению объема продаж.
На оборот торговли влияют и многие условия:
месторасположение предприятия, интенсивность покупательских потоков,
организация товароснабжения, качество товаров, широта и глубина ассортимента,
реклама, квалификация персонала, культура обслуживания, внедрение новых
технологий, возрастная структура населения и тенденции ее изменения,
экономическая деятельность населения, географическое распределение населения и
др.
Общие условия деятельности торговых предприятий,
стратегия поведения на рынке, товарная и ценовая политика, организационная
структура, финансовое состояние, наличие ресурсов и эффективность их
использования определяют внутренние факторы, влияющие на оборот.
Прежде всего, следует изучать те факторы, которые
наиболее заметно влияют на потребительский спрос, принимая во внимание то, что
для различных торговых предприятий изменения, происходящие во внешней среде,
могут быть неоднозначными. Например, то, что одно предприятие воспринимает как
экономическую угрозу, другое воспринимает как благоприятную возможность.
Торговое предприятие для оценки результатов
своей деятельности в процессе анализа и планирования использует различные
количественные и качественные показатели оборота торговли. К этим показателям
относятся:
общий объем продажи товаров за отчетный и
прошлый периоды в текущих и сопоставимых ценах;
продажа товаров по видам, формам, по структурным
в разрезе отдельных фирм (магазинам, отделам, секциям и т.п.);
среднедневная продажа товаров;
товарная структура оборота;
розничные и оптовые цены на товары;
равномерность, ритмичность, сезонность
реализации товаров;
поступление товаров в покупных ценах;
наличие товаров на складе, соответствие их
нормативам;
время обращения товарных запасов;
издержкоемкость и рентабельность продаж
отдельных товаров и товарных групп;
оборот торговли на одного работника, на одного
продавца;
оборот торговли на 1 м2 торговой площади;
число покупателей за анализируемый период;
степень удовлетворения спроса (завершенность
покупки, ее средняя стоимость, интенсивность потока покупателей) и т.п.
Чем шире перечень анализируемых показателей, тем
больше возможностей для глубокого анализа тенденций развития оборота, изменения
структуры спроса покупателей, оценки эффективности использования ресурсов
предприятия. Это позволяет наиболее точно определять, что и в каких
количествах, по какой цене необходимо продавать на рынке, либо закупать то, что
будет пользоваться наибольшим спросом у потребителей. Изучение и сопоставление
издержкоемкости реализации товаров дают возможность выбрать те из них, которые
дают наибольшую прибыль, являются наиболее рентабельными.
Эти показатели - важнейшие инструменты
формирования и оптимизации ассортимента товаров. Они позволяют учесть изменения
спроса потребителей и своевременно принять решения о повышении эффективности
использования товарных ресурсов.
Анализ оборота торговли позволяет осуществлять
контроль за реализацией товаров, удовлетворением спроса потребителей,
определять тенденции изменения объема и структуры оборота, выявлять внутренние
резервы развития оборота, направления его оптимизации, оказывать оперативное
воздействие на торговый процесс.[2,с.87]
Цель анализа оборота - получение информации,
необходимой торговому предприятию для принятия решения о том, что и в каких
количествах ему следует продавать на рынке в будущем, чтобы обеспечить
получение необходимой прибыли.
Для достижения поставленной цели необходимо
определить задачи анализа оборота. Они сводятся к следующим:
. Анализ оборота торговли в предплановом периоде,
проверка степени его выполнения по сравнению с планом или предыдущим периодом;
выявление всех изменений, происшедших в объеме, составе и структуре оборота за
этот период.
. Изучение, количественное измерение и обобщение
влияния факторов на динамику и изменение оборота торговли.
. Выявление внутренних резервов, путей и
возможностей оптимизации оборота торговли и совершенствования его
ассортиментной структуры.
Важное значение при проведении анализа имеет
выбор показателей и приемлемых методов, позволяющих получить более точные и
объективные результаты. При анализе оборота торговли используют показатели
динамики, абсолютные, относительные и средние показатели, стоимостные и
натуральные, балансовый метод, методы сравнения, цепной подстановки, метод абсолютных
и относительных разниц, индексный, интегральный, графический методы и др.
Анализу должна предшествовать работа по подбору
и подготовке информации. Информацией для анализа служат данные бухгалтерской,
статистической и оперативной отчетности, нормы и нормативы, разработанные на
предприятии, материалы наблюдений и опросов. Эти данные проверяются с точки
зрения правильности и сопоставимости отдельных показателей.
Анализ объема товарооборота проводится в
определенной последовательности:
) изучение объема товарооборота;
) анализ динамики товарооборота;
) анализ состава товарооборота;
) изучение структуры товарооборота.[2,с.88]
Сущность планирования товарооборота заключается
в определении его объема в стоимостном выражении на определенные периоды
времени в будущем. Планирование товарооборота служит инструментом выявления
будущей прибыли предприятия, позволяет улучшить контроль за размещением и
использованием всех его ресурсов.
Для того чтобы план оборота торговли содержал
достаточно точные и реальные показатели, при его разработке следует учитывать
определенные принципы. Во-первых, планирование должно основываться на учете и
анализе результатов предыдущей деятельности. Во-вторых, необходимо правильно
оценить любые тенденции, влияющие на осуществление процесса реализации товаров
и возникающие в рассматриваемый период времени. Рассматриваемый период может
охватывать временной интервал от нескольких месяцев до нескольких лет.
1.2 Методы планирования оборота
торговли
При разработке плана товарооборота необходимо определить
и выделить все специфические факторы, которые могут оказать влияние на
формирование будущих тенденций конъюнктуры рынка.
Выбор и рассмотрение факторов необходимо
осуществлять на основе анализа их надежности и достоверности. Не следует
учитывать при планировании факторы, не основанные на точных данных и не имеющие
надежного доказательства их достоверности. Такой подход позволяет следить за
возникающими возможностями и адаптироваться к изменениям, происходящим на
рынке. План оборота торговли должен основываться на достоверной информации.
План продажи должен быть реально осуществимым.
Это - управленческий инструмент, основа для планирования и разработки товарной
политики предприятия, основных показателей хозяйственной деятельности.
Планирование товарооборота может осуществляться
в соответствии с двумя подходами. Согласно первому подходу руководство
торгового предприятия определяет цели и задачи планирования и плановые
показатели товарооборота. Затем эти показатели в более детализированном виде
распределяются по структуре реализации и структурным подразделениям предприятия
(филиалам, секциям, отделам). Второй подход предполагает обратные действия. При
этом расчет показателей реализации проводится по структуре товарооборота и
структурным подразделениям, а затем эти данные сводятся в единый план
товарооборота предприятия.
На практике целесообразно использовать оба эти
подхода, поскольку планирование является текущим и непрерывным процессом, в
котором необходимо постоянно осуществлять координацию планов и их корректировку
в процессе реализации. [2,с.97]
Процесс планирования оборота состоит из
нескольких этапов (рис. 1.1).
Рис. 1.1 - Этапы планирования оборота
предприятия торговли [2,с.96]
Планирование объема товарооборота можно
проводить на основе использования количественных методов, путем выявления
тенденций изменения данных по реализации за прошлые периоды. Можно использовать
качественные методы, которые учитывают изменения в ближайшем окружении
торгового предприятия (например, действия конкурентов), а также
общеэкономические тенденции (например, повышение ставки рефинансирования,
влияющее на стоимость кредитов, снижение курса рубля).
Важно правильно выбрать метод планирования,
поскольку от этого зависит точность исполнения плана. Выбор метода планирования
зависит от: цели разработки плана; исходной информации, полученной в процессе
анализа товарооборота, ее точности и достоверности; периода, на который
рассчитывается план; опыта, имеющегося у предприятия в сфере планирования;
затрат, связанных с разработкой плана; наличия программного обеспечения и
вычислительной техники.[1,с.97]
В процессе планирования деятельности организации
используются различные методы. Методы планирования представляют собой
совокупность приемов, инструментов и средств изучения экономических процессов,
разработки и обоснования планов. Это система способов реализации принципов
планирования.
Система наиболее универсальных и
распространенных на всех уровнях управления методов планирования показана на
рис.1.2
Рис. 1.2
В целях получения более надежного плана
товарооборота целесообразно использовать различные методы, что обеспечит
многовариантность плановых расчетов. Наличие нескольких вариантов плана и
анализ расхождений между ними позволяют выбрать и обосновать наиболее реальный
и приемлемый вариант плана, соответствующий критерию оптимальности. Все расчеты
необходимо проводить в сопоставимых ценах, действующих на начало планового
периода.
При планировании общего объема оборота торгового
предприятия могут быть использованы различные методы:
опытно-статистический;
экономико-статистический;
экономико-математического моделирования;
комплексной увязки основных показателей
хозяйственной деятельности;
на основе показателя финансовой прочности;
на основе оценки эффективности использования
ресурсного потенциала предприятия.
Их использование, однако, имеет некоторые
ограничения.
Рассмотрим основные методы планирования оборота
торговли.
Экономико-статистические методы - это наиболее
распространенные методы планирования товарооборота. Их применение зависит от
определенных условий.
. Если предприятие располагает только рядом
статистических данных, характеризующих изменение товарооборота во времени, то
плановые показатели можно рассчитать путем экстраполяции. Экстраполяция осуществляется
различными приемами. Выбор метода экстраполяции зависит от особенностей
динамического ряда.
Плановый показатель рассчитывается по формуле
Оп = Оn-1 х Тс (1.1)
где Оп - плановый товарооборот;
Оn-1 - товарооборот последнего периода в ряду
динамики;
Тс - средний темп роста товарооборота.
Применение данного метода возможно тогда, когда
каждый член динамического ряда равен предыдущему, умноженному на средний темп.
Этот метод имеет свои недостатки. Товарооборот, рассчитанный с его помощью,
весьма условен, так как в его основе лежит предположение о неизменности условий
формирования товарооборота. План будет ошибочным, если, например, в месте, где
расположен магазин, открывается другой магазин с подобной специализацией. Это
изменение условий может вызвать значительное снижение планового объема
реализации.
Для определения объема товарооборота с
использованием этого метода необходимо, чтобы товарооборот за анализируемые
периоды был сопоставим, т.е. был выражен в одних и тех же ценах и охватывал
один и тот же состав торговой сети. Кроме того, необходимо учитывать как
внешние факторы, способствующие увеличению объема продажи в предыдущие периоды,
так и возможные условия, при которых этот уровень может упасть.[2,с.98]
. К экономико-статистическим методам планирования
общего объема товарооборота относится метод, основанный на сглаживании данных о
приросте товарооборота за ряд периодов, предшествующих плановому. С этой целью
рассчитывается прирост товарооборота в процентах к предыдущему периоду. Затем
производится сглаживание этих показателей методом скользящей средней для двух
или трех близлежащих периодов.
Значение прироста товарооборота на плановый
период t∆О определяется продолжением выравненного ряда средних на два
шага вперед, т.е. от отчетного года через текущий на расчетный:
t∆О =
+ 2∆.
Чтобы рассчитать скользящую сумму
товарооборота, нужно выбрать период, в котором она будет перемещаться. Чем
больше период охватывает скользящая сумма, тем более плавной будет прямая
тенденция продаж. Поэтому наиболее предпочтительной является годовая скользящая
средняя.
Одной из основных целей планирования
товарооборота является достижение высоких экономических результатов, что
позволяет сделать разработка плана товарооборота исходя из потребности в
прибыли.[2,с.100]
. Метод, основанный на получении
необходимой суммы прибыли, предполагает проведение плановых расчетов, которые
основываются на заранее рассчитанной целевой сумме прибыли и ряде других
финансовых показателей.[2,с.101]
Планирование объема продажи товаров
может проводиться методом технико-экономических расчетов, или нормативным. Для
его использования необходимо учитывать особенности работы торговой фирмы,
специфику торгово-технологического процесса и обслуживаемого контингента
покупателей, интенсивность покупательского потока, конъюнктурные колебания,
свойственные району деятельности данного магазина. Указанные особенности
учитываются путем применения поправочных коэффициентов к установленному
групповому нормативу. Корректировка производится по следующим коэффициентам: на
среднюю стоимость покупки, на интенсивность потока покупателей, на
завершенность покупки.
В реальной хозяйственной
деятельности часто возникают ситуации, когда важно знать, какое влияние на
прибыль окажет изменение объема реализации и какой объем продаж может покрыть
затраты на покупку и реализацию. (Объем реализации - один из важнейших факторов
изменения издержек обращения, прибыли.) С этой целью используют метод
планирования товарооборота на основе расчета точки безубыточности. Данная
методика построена на принципе достижения такого объема товарооборота, при
котором предприятие способно покрыть все расходы без получения прибыли, но и
без убытков. Для достижения безубыточности товарооборота доходы от реализации
должны покрыть затраты на приобретение товаров, налоги, вносимые в бюджет,
переменные и постоянные затраты, связанные с реализацией товаров.
. Следующий этап планирования
товарооборота - распределение товарооборота по отдельным товарным группам, т.е.
планирование структуры товарооборота. Товарная структура товарооборота -
соотношение отдельных товаров и товарных групп в общем объеме товарооборота.
Структура товарооборота отражается
на формировании доходов от реализации товаров, издержках, на удовлетворении
потребностей покупателей. Поэтому этот этап имеет важное значение при
планировании товарооборота.
Структура товарооборота отражает
ассортимент товаров, подлежащих продаже в плановом периоде. В связи с тем, что
условия работы торговых предприятий имеют свои особенности, в каждом из них
ассортимент товаров различен. При планировании товарооборота необходимо
предусмотреть его групповую и внутригрупповую структуры, при этом по каждой
группе товаров определяются сумма и доля реализации (в процентах к общему
объему товарооборота). В каждый период времени объем реализации будет зависеть
от спроса на товар, сезона, поставки товаров, состояния товарных запасов и
других причин.
При определении структуры
товарооборота принимаются во внимание данные об изменении удельного веса каждой
товарной группы в предшествующем периоде. Выявленные тенденции являются основой
для выбора метода планирования структуры товарооборота.
По тем товарам, удельный вес которых
в общем объеме реализации за анализируемый период характеризуется
стабильностью, плановый показатель удельного веса можно рассчитать с помощью
средней арифметической.
Для товарных групп, объем продажи
которых имеет тенденцию к колебаниям, можно использовать метод аналитического
выравнивания удельного веса товарной группы с помощью скользящей средней.
При планировании структуры
товарооборота необходимо принимать во внимание объективный фактор переключения
спроса на взаимозаменяемые товары, определить который можно с помощью
выборочного обследования, экспертных оценок, методом аналогий.[2,с.102]
. Для планирования структуры
товарооборота торгового предприятия может быть использован метод, основанный на
расчете коэффициентов эластичности, отражающих изменение оборота по отдельным
товарам в зависимости от изменения общего объема товарооборота торгового
предприятия.
Коэффициент эластичности показывает,
на сколько процентов изменяется товарооборот по товарной группе при изменении
общего объема товарооборота торгового предприятия на 1%. Причем, чем крупнее
берутся товарные группы, тем надежнее расчеты.
. Нормативный метод планирования
предусматривает использование показателей товарооборота на 1 м2 площади
торгового зала. Его можно применять, когда меняется ассортиментная политика
предприятия и имеются данные о нормативе товарооборота на 1 м2 площади
торгового зала по предприятию или данные о товарообороте на 1 м2 аналогичных
типов магазинов или конкурентов в районе деятельности торговой фирмы.
Основой расчета служит размер
площади торгового зала, предусматриваемый для размещения отдельных групп
товаров, и объем товарооборота, планируемый на 1 м2 этой площади (для новых
групп товаров этот показатель принимается на уровне сложившегося в других
аналогичных типах магазинов данного района деятельности).
Все рассмотренные методы предполагают
расчет товарооборота по каждому товару в отдельности с последующим выходом на
общий объем планового товарооборота. [2,с.104]
Следующий этап планирования - расчет
товарооборота по кварталам и месяцам.
Динамика квартальных и месячных
объемов реализации существенно отличается от динамики годовых показателей. Это
отличие проявляется прежде всего в том, что развитие годовых объемов
товарооборота носит более или менее монотонный характер, в то время как
изменения квартальных и месячных объемов товарооборота аналогичных товаров в
рамках года характеризуется, как правило, большей неравномерностью, резко
выраженными колебаниями.
Сезонность в торговле представляет
собой сложное социально-экономическое явление: смещаются периоды увеличения и
уменьшения ре- ализации, изменяется степень колебаемости «сезонной волны».
Поэтому для более обоснованного расчета товарооборота необходимо изучать
условия формирования сезонности в торговле и уметь прогнозировать ее.
При расчете товарооборота по
кварталам учитывается динамика удельных весов квартального товарооборота
соответствующих периодов с учетом изменения условий работы и структуры
товарооборота в планируемом периоде.
В настоящее время существует много
различных методов, с помощью которых осуществляются анализ и прогнозирование
квартальных и месячных объемов товарооборота. Наиболее простым и достаточно
надежным методом является метод относительной средней. При данном методе
допустима сопоставимость товарооборота только в течение года. Для расчета
необходимо использовать данные о квартальном (месячном) обороте не менее чем за
три года. При этом неважно, в каких ценах (сопоставимых или фактических)
ведутся расчеты, так как при данной методике влияние индекса цен нивелируется.
При любом варианте разработки плана
товарооборота следует проанализировать полученные результаты, выявить их
соответствие поставленным целям планирования, оценить возможные тенденции, при
необходимости провести корректировку и с учетом этого принять наиболее
оптимальный вариант.
После утверждения плана по общему
объему товарооборота, товарной структуре, структурным подразделениям
разрабатывают организационно-технические и экономические мероприятия по
реализации плана. Предприятие должно заключить договоры на поставку товаров в
необходимых объемах. Обеспечивая ритмичность и равномерность поставки, оно
должно осуществлять организацию торгово-технологического процесса, формировать
товарные запасы и т.п.[2,с.105]
1.3 Методика обоснования плана
товарной структуры оборота
Рынок потребительских товаров складывается
из рынков отдельных предметов потребления. Как и любой рынок, он состоит из
следующих элементов: спрос, предложение и цена.
В условиях товарно-денежных
отношений спрос является формой выражения потребностей. Платежеспособный спрос
означает возможность удовлетворения потребностей с учетом денежных доходов
населения и уровня розничных цен на предметы потребления. Поэтому можно
говорить о том, что потребности, как правило, растут более быстрыми темпами,
чем платежеспособный спрос населения. Подобное положение объясняется тем, что
спрос ограничен денежными доходами населения, которые могут быть направлены на
покупку товаров. Он может быть удовлетворен при наличии необходимых ресурсов,
предметов потребления, т.е.товарного предложения.
Различают макро- и микроспрос.[22,с.86]
Макроспрос на предметы потребления
определяется в целом по стране, отдельным городам и районам, а также по
укрупненным агрегированным группам товаров или по потребительскому назначению.
Макростпрос характеризует уровень
потребления в целом по стране или по регионам и он напрямую зависит от доходов
населения.
Микроспрос на уровне отдельных
предприятий торговли отражает структуру по реализации товаров с учетом их
профиля и ассортимента товаров. Микроспрос характеризуется и оборотом по продаже
отдельных наименований товаров.
Платежеспособный спрос населения
формируется под влиянием множества факторов и весьма подвижен. Этим объясняется
ориентировочный и прогнозный характер проводимых расчетов макро- и микроспроса.
В процессе прогнозирования макроспроса
на уровне отдельных регионов учитываются следующие факторы:
) Развитие производства предметов
потребления под влиянием научно-технического прогресса и выпуска новой
продукции.
) Тенденции изменения покупательных
фондов населения, имея в виду, что с увеличением реальных денежных доходов
населения увеличивается спрос на товары длительного пользования.
) Сложившийся уровень потребления и
реализации предметов потребления и их зависимости от покупательной способности
населения.
) Нормы потребления изделий легкой
промышленности, обеспеченности населения отдельными предметами.
) Уровень и изменения розничных цен
на предметы потребления. Так, повышение цен является фактором снижения спроса
на значительный перечень товаров для населения с низкими размерами доходов.
) Соотношения товарного и
нетоварного потребления.
) Изменения жилищно-бытовых условий
населения.
Величина макроспроса по стране и
отдельным регионам определяется научно-исследовательскими учреждениями и
государственными органами, которые занимаются изучением и регулированием
потребительского рынка. Но при планировании структуры оборота и выборе
направления деятельности необходимо и на уровне организации учитывать факторы
макроспроса, чтобы ориентировочно учитывать условия платежеспособного спроса
населения, например, тенденции моды, сезонность торговли, климатические условия
региона, экологию, увеличение или снижение доходов населения местности и др.
Важное место в обосновании расчетов
суммы оборота по продаже отдельных групптоваров на планируемый период занимают
перспективные нормы потребления. Они корректируются в регионах с учетом
платежеспособного спроса населения, сложившейся конъюнктуры потребления и
других конкретных местных условий.
Величина микроспроса на уровне
отдельных торговых организаций устанавливается маркетинговыми исследованиями.
Задача каждого торгового предприятия
- завоевание рынка, обеспечение конкурентоспособности реализации конкретных
предметов потребления. Для решения этой задачи торговые организации планируют
не только общий объем оборота по реализации товаров, но и сумму выручки от
продажи отдельных товарных групп.
Структура оборота используется для
заключения договоров на поставку товаров, определения необходимых товарных
запасов, издержкоемкости реализации отдельных групп товаров. Регулирование
товарной структуры с учетом покупательского спроса и доходности является одним
из рычагов управления прибылью предприятия.
Базой для экономического обоснования
структуры оборота служат материалы, разрабатываемые маркетинговыми службами.
Методика разработки структуры
оборота зависит от специфики отдельных групп товаров и конкретных условий
функционирования торговой организации. Необходимы различные методы расчета с
учетом тех факторов, которые оказывают решающее влияние на объем продажи тех
или иных товаров.
Можно выделить следующие общие
методические подходы, используемые для экономического обоснования реализации
отдельных групп товаров по торговой организации на планируемый период:
) Глубокое изучение показателей
структуры оборота за предшествующие периоды.
) Выявление экономических факторов,
повлиявших на изменение структуры оборота за ряд лет.
) Оценка намечаемых темпов развития
общего объема оборота торговой организации в планируемом периоде.
) Изучение прогнозируемых
показателей развития отдельных товарных групп. [22,с 94]
Изучение структуры товарооборота
позволяет установить изменения в характере потребительского спроса.
Изучение оборота торговли по
товарной структуре предполагает определение удельного веса каждой товарной
группы в общем объеме реализации. Изменение удельных весов за предшествующие
периоды позволяет выявить тенденции в развитии товарооборота. Анализ структуры
товарооборота следует проводить по кварталам и месяцам, что позволит изучить
равномерность реализации, сезонные колебания в торговле. Это необходимо для
правильного формирования ассортимента товаров, для формирования заказов
поставщикам.
Особая важность изучения структуры
оборота торговли связана с тем, что различные товары имеют различную
издержкоемкость и рентабельность. Изменение объемов реализации тех или иных
групп товаров непосредственно влияет на размер и уровень прибыли.
Уровень доходов от реализации
товаров является усредненным показателем доходности отдельных наименований
товаров и испытывает влияние структурных сдвигов. Влияние структурных сдвигов
на изменение уровня доходов от реализации товаров рассчитывается способом
разниц с использованием следующей факторной модели:
∆
(
) = 
, (1.10)
где ∆
(
) - изменение уровня доходов от
реализации i - й товарной группы под влиянием структурных сдвигов;

- уровень доходов от реализации
товаров i - й товарной группы в предшествующем году;
,
- доля товарной группы в структуре
оборота в предшествующем и отчетном периодах соответственно [3стр 93].
В настоящее время самым часто
применяемым на практике стал метод АВС анализа совмещенный с XYZ-анализом.
Методика проведения АВС анализа
используется при проведении анализа ассортимента оборота торговли.
В условиях рыночной экономики нет
четкого мнения, каков должен быть ассортимент товаров, чтобы наилучшим образом
удовлетворить спрос покупателей. Каждое торговое предприятие ищет свою нишу на
рынке, исходя из сложившихся конъюнктурных условий. Поэтому руководители
торговых предприятий должны четко представлять, на каких покупателей они
рассчитывают, в какой конкурентной обстановке предстоит вести работу и др. Для
этого считается возможным использовать широко применяемый в рыночной экономике
метод АВС - анализ.
Данный метод позволяет определить
оптимальное соотношение групп и видов товаров в розничном торговом предприятии
с учетом основных требований для достижения поставленной цели. Метод
предусматривает многоступенчатое деление всего торгового ассортимента по
нескольким критериям на три категории по каждому критерию. Деление торгового
ассортимента основывается на ранжировании товарных групп по выбранному критерию
и определении категорий "А", "В", "С" в
соответствии с условиями АВС - анализа.
К категории "А" относятся
товары, составляющие около 70% значения критерия. К категории "В"
относятся товары, составляющие около 25% значения критерия, а к категории
"С" - около 5%. Причем, в первую категорию рекомендуется включать
примерно 15% наименований товаров от общего количества, во вторую группу 35%, а
в третью 50%.
Рекомендуемое распределение:
Группа А - объекты, сумма долей с
накопительным итогом которых, составляет первые 50 % от общей суммы параметров.
Группа В - следующие за группой А
объекты, сумма долей с накопительным итогом которых, составляет от 50 % до 80 %
от общей суммы параметров.
Группа С - оставшиеся объекты, сумма
долей с накопительным итогом которых, составляет от 80 % до 100 % от общей
суммы параметров.
Анализ результатов можно произвести
в следующей последовательности. Расположите товарные группы в порядке убывания
прибыли. В категорию "А" включите товарные группы, которые в сумме
дают около 70% прибыли, в категорию "В" - 25% прибыли, в категорию
"С" - 5% прибыли. Для каждой категории подсчитайте общее количество
входящих в нее ассортиментных позиций и определите их долю в номенклатуре
торгового ассортимента. В соответствии с этим можно сделать вывод о
достаточности количества ассортиментных позиций в каждой категории.
В дальнейшем, с каждой отдельно
взятой категорией, произведите подобные действия по другому критерию -
товарообороту, а каждые сформированные категории по товарообороту, в свою
очередь, проранжируйте и разбейте на категории по издержкам.
В то же время следует предусмотреть,
что торговый ассортимент должен содержать не только высокодоходные товары,
приносящие максимум прибыли, но и товары с меньшими показателями прибыльности,
для того, чтобы достичь максимального результата по привлечению покупателей и
наиболее полному удовлетворению их спроса.
Наличие товара определенного вида в
ассортименте желательно до тех пор, пока объем продаж не минует так называемую
"точку безубыточности".
АВС-анализ проводится на основе
статистических данных по торговому предприятию за год, полугодие, квартал.
Организация необходимых расчетов требует от коммерческих работников наличия
производительных вычислительных ресурсов с возможностью как табличного, так и
графического представления результатов. Следует отметить, что АВС - анализ
является инструментом совершенствования ассортимента товаров, а не формирования
его изначально.
При разделении всех товарных групп,
подгрупп, видов товаров по методу АВС - анализа составляются таблицы,
характеризующие степень вклада каждого оцениваемого вида или подгруппы товаров
в результат деятельности (критерий).
Сущность АВС - анализа строится на
основании принципа Парето: «за большинство возможных результатов отвечает
относительно небольшое число причин», в настоящий момент более известного как
«правило 20 на 80». Благодаря своей универсальности и эффективности данный
метод анализа получил большое развитие. Результатом АВС анализа является
группировка объектов по степени влияния на общий результат. Считается, что 20%
товарного ассортимента дают 80% общего объема продаж.
Метод АВС имеет существенный
недостаток, заключающийся в отсутствии учета динамики спроса. В этом случае его
необходимо дополнить данными XYZ-анализа. анализ позволяет классифицировать
товарные запасы в зависимости от характера спроса с учетом сезонной динамики.
Категория X - это группа товарных
запасов, которая характеризуется стабильной величиной потребления и высокой
точностью прогноза срока потребления.
характеризуется известными
тенденциями (например, сезонными колебаниями) и средними возможностями их
прогнозирования.
К категории Z относятся товарные
запасы, которые характеризуются нестабильным спросом и практически не поддаются
прогнозированию.
Рекомендуемые к категории Y
относятся товарные запасы, потребность в которых минимальна.
Распределение товарных запасов по
методу XYZ:
группа X - объекты, коэффициент
вариации по которым не превышает 10-15%.
группа Y - объекты, коэффициент
вариации по которым составляет 15-25%.
группа Z - объекты, коэффициент
вариации по которым превышает 25%.
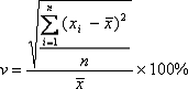
Расчет коэффициента вариации
осуществляется по следующей формуле:
, (1.11)
где
- товарооборот за i-й период;
х - средний объем товарооборотов за
n периодов; - число периодов исследования (месяцев, кварталов).[7]
Для проведения данного анализа в
информационной системе торговых предприятий создаются и настраиваются
специальные системы автоматизированной отчетности на базе решений одного из
ведущих системных интеграторов. Выделение групп проводится на основе
использования одного из следующих параметров:
товарооборота;
количество проданных единиц;
валовой прибыли.
Основные характеристики, выводящиеся
в отчете:
описание товара;
складские остатки;
сумма продаж;
количество проданных единиц товара;
валовая прибыль;
процент товара от суммы продаж/
количества проданных единиц/ валовой прибыли группы;
кумулятивный процент;
группировка объектов на основе АВС -
анализа.
Применение XYZ-анализа показывает,
насколько устойчив спрос на тот или иной товар.
Для проведения XYZ-анализа менеджеры
задают следующие параметры:
объект анализа - номенклатуру, товарную
группу;
параметры анализа - сумму продаж,
валовую прибыль, товарный запас, занимаемое полочное пространство и т. д.;
период и размерность периода -
исследование проводится по дням, неделям, месяцам и декадам.
Данный вид анализа позволяет
спрогнозировать спрос на товар при планировании нового объекта, а также оценить
успешность ввода новой позиции.
Итогом совмещения АВС- и XYZ-
анализа является получение девяти групп объектов анализа, по двум критериям,
которые позволяют оценить, степень влияния на конечный результат (АВС) и
стабильность/прогнозируемость этого результата (XYZ). Это незаменимый
инструмент для повышения эффективности системы товародвижения.
В практике АВС- и XYZ-анализ
позволяет оценивать товар не только с точки зрения его оборачиваемости или
прибыльности, но и эффективности использования полочного пространства, а также
складских площадей. Сопоставление результатов исследования по товарообороту и
занимаемому полочному пространству можно использовать при планировании новых
магазинов. А сравнение результатов анализа, проведенного по прибыли и складским
запасам, дает понимание, на каких продуктах компания зарабатывает, а на каких
теряет заработанное.
В современных условиях одним из
наиболее перспективных методов определения оптимальной структуры оборота
торгового предприятия является метод, одновременно ориентированный на изучение
покупательского спроса, то есть определение, при установлении каких цен будет
реализовано то или иное количество товаров, и объемов затрат, которые будет нести
предприятие при реализации определенного количества конкретного товара.
Если предположить, что цены на
реализуемые товары оставались неизменными, то объем товарооборота можно
представить следующим образом:
Р
× 
, (1.12)
где
- объем товарооборота по i -й
товарной группе, руб.; Р
- розничная
цена за единицу i -го товара, руб.; 
- физическая масса (количество)
реализации i -й товарной группы, шт.
Но поскольку цены постоянно
меняются, то розничная цена товара может быть определена на основе функции
спроса. Для этого необходимо иметь статистические данные по объемам продаж и
динамике цен за ряд периодов, лучше всего по месяцам за несколько лет.[1,с.14]
Розничная цена товара на основе
функции спроса может быть выражена следующим образом:
Р
= 
+ 
× 
, (1.13)
где 
и 
- параметры модели.
Прибыль от реализации какого-либо
товара выявляется через основные показатели хозяйственной деятельности
торгового предприятия по формуле:
- (
+ 
), (1.14)
где
- прибыль от реализации i -го
товара, руб.;
- объем
товарооборота по i -й товарной группе, руб.; 
- затраты на покупку (товарооборот
по покупным ценам) по i -й товарной группе, руб.; 
- издержки обращения по реализации
i -й товарной группы, руб.
Совокупные затраты по закупке и
реализации товара могут быть определены исходя из функции затрат:

=
+ 
= 
+ 
× 
, (1.15)
где 
- совокупные затраты по закупке и
реализации i -й товарной группы, руб.; 
и 
- параметры модели.
Тогда функция прибыли от реализации
будет иметь вид:
(
+ 
× 
)
- (
+ 
× 
). (1.16)
В точке экстремума производная
прибыли от реализации равна нулю, то есть прибыль максимальна, когда:

=
+ 2
× 
- 
= 0. (1.17)
Количество продаваемого товара,
позволяющее предприятию получить максимальную прибыль от реализации, может быть
рассчитано по формуле
(
- 
× 2
, (1.18)
где - оптимальная масса реализации i
-го товара, шт.
Розничная цена единицы i -го товара,
соответствующая найденной оптимальной массе продажи, равна:
Р = 
+ 
×. (1.19)
В вышеприведенных формулах
обозначены наиболее распространенные линейные зависимости розничной цены товара
и совокупности затрат по покупке и реализации товара от физической массы его
реализации. Но под воздействием индивидуальных особенностей функционирования
торгового предприятия, специфики некоторых товарных групп. Радикальных
изменений в товарной и ценовой политике за относительно короткие периоды
времени могут проявляться и зависимости другого типа, в основном
параболические:
Р
= 
+ 
× 
+ 
×
, (1.20)

= 
+ 
× 
+ 
×
. (1.21)
Рассмотрев теоретические вопросы и
методы планирования оборота торговли по ассортиментной структуре, перейдем к
практической части выпускной квалификационной работы - произведем экономический
анализ товарной структуры оборота торговли ИП Туговой И.А.г Красноярска.
ГЛАВА 2. ЭКОНОМИЧЕСКИЙ АНАЛИЗ
ТОВАРНОЙ СТРУКТУРЫ ОБОРОТА ТОРГОВЛИ ИП ТУГОВОЙ И.А.
.1 Экономическая характеристика
финансово-хозяйственной деятельности ИП Туговой И.А.
Индивидуальный предприниматель
Тугова И.А. осуществляет предпринимательскую деятельность - розничную торговлю
по адресу г.Красноярск, пр. Красноярский рабочий, 14, рынки «Содружество» и
«Восточный». Арендованные торговые площади находятся на торговой территории
указанных торговых комплексов и поэтому отвечает всем стандартам и требованиям
к данным типам торговых площадей. Общая арендуемая площадь - 30 м2.
С финансовой точки зрения,
формирование ассортимента происходит с учетом оборачиваемости товаров, размера
товарооборота и получаемой прибыли, а также с учетом внешней среды организации.
Организационная структура предприятия - пакет взаимных договоренностей о
разделении задач и полномочий внутри предприятия между его элементами.
Экономический анализ хозяйственной
деятельности начинается с комплексного обзора основных показателей,
характеризующих конечный результат работы предприятия, и заключается в
исследовании факторов, влияющих на размер балансовой прибыли, анализе
рентабельности, оценке эффективности хозяйственной деятельности и использования
основного и оборотного капитала.
Данные оценки
финансово-хозяйственной деятельности ИП Туговой И.А. за период с 2008 по 2010
годы (табл2.1.1,приложение1) свидетельствуют о стабильно развивающейся
деятельности предприятия, увеличению объемов оборота торговли, ИП Тугова И.А.
получает стабильную прибыль, которая в дальнейшем предполагается пойти на
расширение торговой деятельности предприятия, увеличении товарооборота. Рост фонда
оплаты труда соответствует росту объемов выручки предприятия, за исследуемый
период фонд оплаты труда вырос на 146,4%, а объем валовой прибыли в 2011 году
составил 146,4% от уровня 2008 года. Объем фонда заработной платы в издержках
предприятия остается постоянным. Без изменений остается торговая площадь,
численность работников, уровень затрат на оплату труда в общем объеме оборота
торговли. Возрос на 146,4% оборот торговли от уровня 2008года, валовая прибыль
возросла на 146,4% от уровня 2008 года и издержки возросли на 120,4% от уровня
2008 года, что является положительным результатом, так как растут переменные
издержки, связанные с увеличением объемов реализации, в основном это
транспортные расходы по доставке товара, так же НДС и таможенные пошлины. Стабильно
увеличивается объем оборота на одного работника и оборот на м2 торговой
площади. Чистая прибыль составила 174,6% от уровня 2008 года. Рентабельность
стабильно увеличивается (таблица 2.1.1).
Экономическая характеристика
финансово-хозяйственной деятельности базируется на анализе оборота торговли.
Анализ оборота розничной торговли
проводится в определенной последовательности.
Сначала проведем анализ оборота,
затем анализ товарной структуры оборота, далее состояние товарных запасов,
затем поступление товаров, в заключение проведем комплексный анализ этих
показателей, который позволит выявить факторы, повлиявшие на объем и структуру
торгового оборота и позволит провести плановые расчеты.
Во-первых, изучается динамика
оборота.
В процессе анализа динамики
товарооборота определяются:
сумма увеличения (уменьшения) объема
товарооборота в отчетном году по сравнению с прошлым годом:

, (2.1)
где
- сумма увеличения (уменьшения)
товарооборота, руб.;

- объем товарооборота в отчетном
году, руб.; 
- объем товарооборота в прошлом
году, руб.;

= 6150 - 5250 = 900 тыс. руб.
сумма увеличения объема оборота в
отчетном году по сравнению с прошлым годом составляет 900 тыс. рублей.
темп роста (уменьшения) объема
товарооборота в отчетном году по сравнению с прошлым годом:
%Р(У) =
(2.2)
где %Р (У) - темп роста (уменьшения)
объема товарооборота, %; 
- объем товарооборота в отчетном
году, руб.; 
- объем товарооборота в прошлом
году, руб.;
%Р(У) =
× 100 = 117,1
темп роста объема оборота в отчетном
году по сравнению с прошлым годом составляет 117,1%.
темп прироста (уменьшения) объема
товарооборота в отчетном году по сравнению с прошлым годом:
∆
- 100, (2.3)
где ∆ - темп прироста
(уменьшения) объема товарооборота, %.
∆
- 100 = 
× 100 - 100 = 17,4 %.
темп прироста объема оборота в
отчетном году по сравнению с прошлым годом составляет 17,4 %.
Рассчитаем темпы роста оборота
торговли базисные и цепные. Данные занесем в таблицу 2.1.1.
При анализе объема оборота в
динамике за ряд лет следует рассчитать цепные (в % к предыдущему году) и
базисные (в % к первому году в ряду динамики) темпы роста или снижения.
Из данных таблицы 2.1.1 видно, что
за анализируемый период с 2007 по 2010 год объем товарооборота торгового
предприятия увеличился на 1950 тыс. руб., или на 46,4 %. Наблюдается четкая
тенденция ежегодного увеличения объема товарооборота. Объем оборота торговли в
2008 году по сравнению с 2007 годом увеличился на 9,5%, в 2009 по отношению к
2008 году увеличение составило 14,1%, так и в отчетном - 2010 году по сравнению
с прошлым 2009 годом, объем товарооборота увеличился на 17,1%.
Таблица 2.1.1 - Анализ динамики
объема товарооборота торговой деятельности ИП Туговой И.А.за период с 2007
-2010 годы в фактических ценах
|
Годы
|
Объем
товарооборота, тыс. руб.
|
Темпы
роста, %
|
|
|
|
цепные
|
базисные
|
|
2007
|
4200
|
100,0
|
100,0
|
|
2008
|
4600
|
109,5
|
109,5
|
|
2009
|
5250
|
114,1
|
125,0
|
|
2010
|
6150
|
117,1
|
146,4
|
Среднегодовой темп изменения объема
товарооборота рассчитывается по средней геометрической:
×100, (2.4)
Где Р - среднегодовой темп изменения
объема товарооборота, %; 
- объем товарооборота отчетного
года, руб.; 
- объем товарооборота в первом ряду
динамики, руб.; n - количество лет в ряду динамики.
В анализируемом предприятии
среднегодовой темп роста объема товарооборота составил

×100 = 113,5%.
В условиях инфляции темпы изменения
объема товарооборота следует рассчитывать как в фактических ценах, так и в
сопоставимых ценах.
По данным органов статистики
Красноярского края уровень индекс цен на промышленные товары в категории
женская одежда составляет: в 2007 году - 1,067, в 2008 году - 1,064, в 2009
году - 1,085, в 2010 году - 1,075.
Пересчет объема товарооборота
отчетного года в сопоставимых ценах прошлого года производится по формуле:
, (2.5)
где - оборот отчетного года в
сопоставимых ценах прошлого года, руб.; Т - оборот отчетного года в фактических
ценах, руб.;
- индекс цен.
Данные заносим в таблицу 2.1.2.
Таблица 2.1.2 - Анализ динамики
объема товарооборота торговой деятельности ИП Туговой И.А.за период с 2007
-2010годы в сопоставимых ценах
|
Годы
|
Объем
товарооборота, тыс.руб.
|
Индекс
цен
|
Объем
оборота в сопоставимых ценах
|
Темпы
роста, %
|
|
|
|
|
|
цепные
|
базисные
|
|
2007
|
4200
|
1,067
|
3936,3
|
100,0
|
100,0
|
|
2008
|
4600
|
1,064
|
4323,3
|
102,9
|
|
2009
|
5250
|
1,085
|
4838,7
|
105,2
|
108,1
|
|
2010
|
6150
|
1,075
|
5720,9
|
108,9
|
136,2
|
Из данных таблицы 2.1.3 видно, что за
анализируемый период с 2007 по 2010 год объем товарооборота торгового
предприятия в сопоставимых ценах увеличился на 1520,9тыс. руб., или на 36,2 %.
Наблюдается четкая тенденция ежегодного увеличения объема оборота. Так в
отчетном 2010 году по сравнению с прошлым 2009 годом объем товарооборота в
сопоставимых ценах увеличился на 18,2 %.
Затем рассчитаем среднегодовой темп изменения
оборота.
Среднегодовой темп изменения оборота в
сопоставимых ценах рассчитывается по средней геометрической:

×100, (2.4)

×100 = 113, 27 %.
Общий объем оборота розничной
торговли колеблется внутри года. Важнейшей формой внутригодичных колебаний
являются сезонные колебания.
Внутригодичные (сезонные) колебания
в торговле - это из года в год повторяющиеся в одни и те же периоды подъемы и
спады продажи отдельных товаров, обусловленные сезонностью производства и
потребления.
Сезонные колебания характеризуются
индексами сезонности. Совокупность индексов сезонности отражает «сезонную
волну». Индексами сезонности являются процентные отношения фактических сумм
продажи товаров в отдельные месяцы к среднемесячной сумме реализации товаров за
год.
Расчет «сезонной волны» начнем с
того, что данные о фактическом обороте за каждый месяц суммируем за все годы и
эти суммы поделим на число лет - четыре года, в результате определяем средний
уровень продажи. Затем исчислим сезонную волну как процентное отношение средних
за каждый месяц к общей годовой средней (табл.2.1.4).
В торговой деятельности ИП Туговой
И.А. среднемесячный оборот торговли за четыре последних года составил 420,8
тыс. руб.:
тыс. руб. / 4 года × 12 мес.
Средний оборот за январь составил
365 тыс. руб.: 1460 / 4.
Определяем исходя из этого индекс
сезонности:
тыс. руб. / 420,8 тыс. руб. = 0,867 ×
100 = 86,7 %.
Проведенный анализ внутригодичных
колебаний выявляет определенные тенденции в развитии оборота. В торговой
деятельности ИП Туговой И.А. оборот превышает среднемесячный в месяцах: марте
(на 4,1%), мае (на 4,9%), июне(на 15,1%), августе(на17,9%), декабре(на 14,9%).
Самые низкие показатели оборота торговли приходятся на месяца: январь(86,7%),
октябрь(87,3%) и ноябрь(86,1%).
Эти данные будут применимы для
планирования оборота торговли на предстоящий период, так как дают точную
информацию о колебаниях оборота по отдельным месяцам. Данные сезонных колебаний
оборота торговли необходимы при планировании закупок, при планировании товарных
запасов сезонного накопления, страхового запаса и т.д.
Следующий этап анализа оборота
торговли торговой деятельности ИП Туговой И.А. - изучение структуры
товарооборота. Рассмотрим это в следующей главе.
.2 Оценка товарной структуры оборота
ИП Туговой И.А.
Успех в коммерческой деятельности
предприятия в значительной степени зависит от обоснованного формирования
ассортимента товаров, соответствующего требованиям покупателей. Общая величина
выручки складывается от продажи отдельных товаров, а их соотношение зависит от
социально-экономических факторов, влияющих на спрос населения. Управление
торговыми процессами требует не только изучение товарного состава объема
продаж, но и постоянного отслеживания структурных сдвигов, сезонных и других
циклических колебаний соотношений в продаже отдельных товаров. Все эти
обстоятельства должны учитывать коммерсанты и финансисты в силу того, что
различные товары имеют различную издержкоемкость и рентабельность. Потому
структура объема продаж оказывает влияние на размер и уровень прибыли.[3,с.
470]
Проведем анализ товарной структуры
оборота торговли в торговой деятельности ИП Туговой И.А.в периоде с 2008 по
2010 годы.
Анализ оборота торговли следует
проводить не только в целом по торговому предприятию, но и в разрезе отдельных
товарных групп, то есть по ассортиментной структуре.
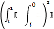
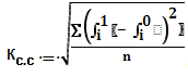
В ходе анализа структуры оборота
торговли определяется выполнение плана реализации по товарным группам,
определяется удельный вес реализации в общем объеме оборота, рассчитывается
коэффициент абсолютных структурных сдвигов в обороте в целом по торговому
предприятию:

, (2.7)
где - коэффициент абсолютных
структурных сдвигов в обороте, %; 
й товарной группы в общем объеме
оборота в отчетном году, %; удельный вес 
й товарной группы в общем объеме
оборота в прошлом году, %; 
- количество товарных групп.[1стр.108]
На примере данных таблицы 2.2.1
видно, что в 2009 году наибольший удельный вес в товарообороте торговой
деятельности ИП Туговой И.А. занимает оборот по товарной группе «сарафан
женский» - 23,8%, «платье женское» - 21,7%, «туники» - 14,5%, «юбки» - 11,3%. В
2009 году по сравнению с 2008 годом повысился удельный вес товарных групп -
«сарафан женский» - на 4,9%, «туники» - на 3,2%, «юбки» - на 0,1%. Снизился
удельный вес оборота торговых групп «платье женское» и «платье молодежное» - на
0,1%, «брюки женские» - на 3,9%, «блузы» - на 2,9%, «костюмы женские» - на 0,4%
и «прочих товаров» - на 3,8%.
Таблица 2.2.1 - Анализ структуры
оборота торговли ИП Туговой И.А. за 2008-2009 г.
|
Товарные
группы
|
Удельный
вес в обороте (%)
|
|
|
|
2008( 2009(
|
|
|
|
|
Платье
женское
|
21,8
|
21,7
|
-
0,1
|
0,01
|
|
Сарафан
женский
|
18,9
|
23,8
|
+4,9
|
24,01
|
|
Платье
молодежное
|
2,4
|
2,3
|
-
0,1
|
0,01
|
|
Туники
|
11,3
|
14,5
|
+3,2
|
10,24
|
|
Юбки
|
11,2
|
11,3
|
+0,1
|
0,01
|
|
Брюки
женские
|
8,5
|
7,6
|
-
3,9
|
15,21
|
|
Блузы
|
8,3
|
5,4
|
-
2,9
|
8,41
|
|
Костюмы
женские
|
6,6
|
6,2
|
-
0,4
|
0,16
|
|
Прочие
|
11,0
|
7,2
|
-
3,8
|
14,44
|
|
Всего
|
100,0
|
100,0
|
-
|
72,5
|

= 2,83
Эти структурные сдвиги говорят о
существенных изменениях в структуре оборота, для подтверждения рассчитываем
коэффициент структурных сдвигов, он равен 2,83%. Этот коэффициент говорит о
нестабильности структуры, так как производится смена ассортимента на более
доходные группы товаров.
Аналогично проводим анализ структуры
товарооборота за 2010 год (табл.2.2.2)
Наибольший структурный вес в
товарообороте торговой деятельности ИП Туговой И.А. в этот период занимал
оборот по реализации женских сарафанов - 27,8%, женских платьев - 21,6%, туник
- 17,9% и юбок - 11,4%. В 2010 году по сравнению с 2009 годом повысился
удельный вес товарных групп «сарафан женский» - на 4%, «туники» - на 3,4%,
«юбки» - на 0,1%. Снизился удельный вес реализации платьев женских и платьев
молодежных на 0,1%, брюк женских и блуз на 0,9%, костюмов женских на 0,3% и
прочих товаров на 5,2%.
Таблица 2.2.2 - Анализ структуры
оборота торговли ИП Туговой И.А. за 2009 -2010г
|
Товарные
группы
|
Удельный
вес в обороте (%)
|
|
|
|
2009( 2010(
|
|
|
|
|
Платье
женское
|
21,7
|
21,6
|
-
0,1
|
0,01
|
|
Сарафан
женский
|
23,8
|
27,8
|
+
4
|
16
|
|
Платье
молодежное
|
2,3
|
2,2
|
-
0,1
|
0,01
|
|
Туники
|
14,5
|
17,9
|
+
3,4
|
11,56
|
|
Юбки
|
11,3
|
11,4
|
+0,1
|
0,01
|
|
Брюки
женские
|
7,6
|
6,7
|
-
0,9
|
0,81
|
|
Блузы
|
5,4
|
4,5
|
-
0,9
|
0,81
|
|
Костюмы
женские
|
6,2
|
5,9
|
-
0,3
|
0,09
|
|
Прочие
|
7,2
|
2,0
|
-
5,2
|
27,04
|
|
Всего
|
100,0
|
100,0
|
-
|
56,34
|

= 2,5
Рассчитав коэффициент структурных
сдвигов можем сделать выводы о методах планирования по структуре ассортимента.
В данном случае будут возможны опытно - статистический и экономико -
статистический методы.
Коэффициент структурных сдвигов по
сравнению с 2009 годом снизился, но тем не менее остается достаточно высоким и
стабильным, на уровне 2,5%, что свидетельствует о структурных сдвигах в
ассортименте. Необходимо учитывать структурные сдвиги при заказах товара, так
как по тем товарным группам, по которым наблюдается рост, увеличение оборота и
их доли в товарообороте, необходимо увеличение товарных запасов.
На следующем этапе анализа структуры
оборота торговли рассмотрим динамику реализации основных групп товаров в
фактических и сопоставимых ценах за период 2008-2009 годы и период 2009-2010
годы.
Для этого анализа используем
вышеуказанный индекс цен, который в 2009 году составил 1,085, а в 2010 году -
1,075.
Данные заносим в таблицы и проведем
аналитические наблюдения (табл.2.2.3 и табл. 2.2.4).
Данные об изменении структуры
оборота соответствуют рассмотренным ранее в анализе структурных сдвигов.
Анализируя оборот торговли по
товарным группам, отметим, что за период с2008 по 2010 год включительно
наибольший удельный вес в реализации занимают такие товарные группы как «платье
женское», «сарафан женский» и «туники». По таким товарным группам как «сарафан
женский», «туники» и «юбки», которые занимают наибольшие доли в товарной
структуре оборота торговли (27,8%,17,9%,11,4% соответственно, в 2010 году),
отмечаем постоянное увеличение доли в обороте торговли, по товарной группе
«платье женское», которая занимает в оборота более 20% отмечается снижение,
необходимо оценить на какой стадии жизненного цикла находится эта товарная
группа или пересмотреть товары по покупательским свойствам, тенденции моды и
т.д., так как эта группа является одной из основных. По остальным товарным
группам, происходит снижение доли, но исключать эти торговые группы из оборота
нельзя, так как они сформированы с учетом спроса для ассортимента предложения и
отказ от них не только повлечет за собой уменьшение оборота торговли и дохода,
но и потерю постоянных покупателей.
2.3 Резервы увеличения оборота ИП
Туговой И.А.
На объем товарооборота торгового
предприятия оказывает влияние большое число факторов. В практике экономического
анализа их принято подразделять на три группы:
факторы, связанные с товарными
ресурсами;
факторы, связанные с численностью
работников и производительностью их труда;
факторы, связанные с наличием и
эффективностью использования основных фондов торгового предприятия и режимом
его работы.
Факторы, связанные с товарными
ресурсами, влияют на объем товарооборота через изменение величины запасов
товаров на начало и конец года, поступление товаров и их выбытие. Между
указанными величинами имеется определенная взаимосвязь, выражаемая формулой
товарного баланса:
П = Р + В + 
, (2.8)
где
- запасы на начало года, руб.; П -
поступление товаров, руб.; Р - объем товарооборота, руб.; В - выбытие товаров,
руб.;
- запасы на
конец года, руб.
Преобразуя данную взаимосвязь можно
получить балансовую формулу товарооборота:
Р = 
+ П - В - 
. (2.9)
Изменение каждого из слагаемых
соответствующим образом влияет на объем товарооборота. Увеличение начальных
запасов и поступления товаров оказывает положительное влияние на сумму
реализации товаров. Их уменьшение, наоборот, способствует сокращению объема
товарооборота.
Уменьшение выбытия товаров,
сокращение их конечных запасов повлияет положительно на сумму реализации;
увеличение же отрицательно сказывается на величине объема товарооборота.
Рассматривая направления влияния (+;
-) данных факторов, необходимо учитывать доброкачественность поступающих
товаров во всем ассортименте и требуемых количествах. Тот же подход соблюдается
в отношении товаров в запасах. При нарушении этих условий фактор, оказывающий
положительное влияние, может перейти в разряд отрицательных.
Влияние на объем товарооборота
торгового предприятия факторов, связанных с товарными ресурсами, определяется
способом разниц или цепных подстановок.
В первом случае находятся отклонения
между показателями отчетного и прошлого года, а затем определяется направление
влияния фактора на увеличение или уменьшение объема товарооборота. Причем
следует учитывать, что направление влияния на объем товарооборота изменения выбытия
товаров и запасов товаров на конец года меняется на противоположное.
Из данных табл.2.3.1 видно, что в
2010 году по сравнению с 2009 годом объем товарооборота торговой деятельности
ИП Туговой И.А.:
за счет увеличения запасов на начало
года возрос на 60,0 тыс. руб.;
за счет увеличения поступления
товаров возрос на 877,5 тыс. руб.;
за счет увеличения выбытия товаров
уменьшился на 1,5 тыс. руб.;
за счет увеличения запасов на конец
года уменьшился на 40,0 тыс. руб.
При анализе объема оборота торговли
и выявления резервов для будущего планирования используются показатели
эффективности использования ресурсного потенциала предприятия. Под
эффективностью ресурсного потенциала в данном случае понимается эффективность
использования численности работников (трудовые ресурсы), торговых площадей
(материальные ресурсы), оборотных средств (финансовые ресурсы).
Таблица 2.3.1 - Расчет влияния на
объем оборота торговой деятельности ИП Туговой И.А. факторов, связанных с
товарными ресурсами, способом разниц (тыс. руб.)
|
Показатели
|
2009
год
|
2010
год
|
Отклонение
в сумме (+; -)
|
Влияние
на объем товарооборота (+; -)
|
|
Объем
товарооборота
|
5250,0
|
6150,0
|
+
900,0
|
+
900,0
|
|
Запасы
товаров на начало года
|
420,0
|
480,0
|
+
60,0
|
+
60,0
|
|
Поступление
товаров
|
5322,0
|
6203,5
|
+
877,5
|
+
877,5
|
|
Выбытие
товаров
|
12,0
|
13,5
|
+
1,5
|
-
1,5
|
|
Запасы
товаров на конец года
|
480,0
|
520,0
|
+
40,0
|
-
40,0
|
Значительное влияние на объем товарооборота
торгового предприятия оказывают трудовые факторы: численность работников и
производительность их труда. Модель имеет вид:
Т = В × Ч,
(2.11)
где Т - объем товарооборота, руб.; Ч -
среднесписочная численность работников, чел.; В - производительность труда
одного работника, руб.
В условиях инфляции такой анализ целесообразно
проводить по товарообороту и производительности труда (выработке на одного
работника) в сопоставимых ценах.
В отчетном году по сравнению с прошлым годом
среднесписочная численность работноков торгового предприятия ИП Туговой И.А. не
изменилась, производительность труда на одного работника в фактических ценах
возросла на 300 тыс. руб., или на 17,1%, а в сопоставимых ценах прошлого года
соответственно на 156,9 тыс. руб., или на 8,9%.
Таким образом, изменение производительности
труда одного работника за счет повышения интенсивности труда (увеличение
товарооборота) - 156,9 тыс. руб.(1906,9 - 1750,0).
Изменение производительности труда одного
работника за счет роста цен на товары - 143,1 тыс. руб.(2050,0 -1906,9).
Отсюда следует, что в отчетном году за счет
повышения производительности труда одного работника объем товарооборота возрос
на 470,7 тыс. руб.(156,9 × 3),
а за счет повышения цен на товары объем товарооборота увеличился на 429,3 тыс.
руб.(143,1 × 3)(табл.2.3.2).
Таблица 2.3.2 - Показатели по труду торговой
деятельности ИП Туговой И.А.
|
Показатели
|
2009
год
|
2010
год
|
Изменение
|
|
|
|
в
сумме(+; -)
|
%
|
|
Объем
оборота в фактических ценах, тыс. руб.
|
5250,0
|
6150,0
|
+
900,0
|
+
17,1
|
|
Индекс
цен
|
-
|
1,075
|
0,075
|
+
7,5
|
|
Объем
оборота в сопоставимых ценах прошлого года, тыс. руб.
|
5250,0
|
5720,9
|
+
470,9
|
+
8,9
|
|
Среднесписочная
численность работников, чел.
|
3
|
3
|
0
|
0
|
|
Производительность
труда одного работника в фактических ценах, тыс. руб.
|
1750,0
|
2050,0
|
+
300,0
|
+17,1
|
|
Производительность
труда одного работника в сопоставимых ценах, тыс. руб.
|
1750,0
|
1906,9
|
+
156,9
|
+
8,9
|
Одним из определяющих факторов развития объема
оборота торговли является использование оборотных средств и величина
устанавливаемых торговых наценок. Ускорение оборачиваемости оборотных средств
позволяет соответственно увеличивать объем продаж или освобождать собственные
оборотные средства и использовать их для дальнейшего развития.
Рассмотрим влияние на величину продаж
использования оборотных средств:
В 2009 году сумма оборотных средств, вложенных в
торговлю ИП Туговой И.А., составила 301,5 тыс. руб., оборачиваемость в днях
составила 34 дня, средний размер торговых надбавок составил 66,6 %. В 2010 году
вложено оборотных средств 330,8 тыс. руб., оборачиваемость в днях составила 32
дня, средний размер торговых надбавок - 66,6 %. Товарные запасы на начало 2009
года составляли 420 тыс. руб., на конец 2009 года - 480 тыс. руб., и на конец
2010 года 520 тыс. руб. Выбытие товаров в 2009 году составило 12 тыс. руб., в
2010 году - 13,5 тыс. руб.(табл. 2.3.1).
Объем продаж за 2009 год составил:
301,5 × (360 / 34) = 3192,8
тыс. руб.
П = 3192,8 × 1,666 = 5322 тыс.
руб. в продажных ценах.
Р = 
+ П - В - 
. (2.9)
Р = 420 + 5322 - 12 - 480 = 5250
тыс. руб.
Объем продаж за 2010 год составил:
330,8 × (360 / 32) =
3722 тыс.руб.
П = 3722 × 1,666 =
6203 тыс.
руб.
Р = 480 + 6203 - 13,5 - 520 = 6150
тыс.руб.
Рассчитаем влияние основных факторов
на изменение объема продаж 2010 года по сравнению с 2009 годом:
динамика объема продаж составила
6150 / 5250 ×
100 = 117,14%;
прирост объема продаж под влиянием
всех факторов составил 6150 - 5250 = 900 тыс.руб.;
изменение запасов на начало и конец
2009 года оказало влияние на уменьшение объема продаж на 60 тыс. руб.(420 -
480), в 2010 году изменение запасов на начало и конец оказало влияние на
уменьшение объема продаж на 40 тыс.руб.(480 -520);
прирост оборотных средств оказал
влияние на увеличение объема продаж на 48,8 тыс. руб. (330,8 - 301,5) × 1,666;
за счет ускорения оборачиваемости
оборотных средств объем продажи возрос на 365 тыс. руб.
330,8 × 360 / 32 - 330,8 ×
360 /
34 = 3721,5 - 3502,5 = 219 тыс. руб.× ×1,666 = 365 тыс.руб.
Уровень доходов от реализации
товаров является усредненным показателем доходности отдельных наименований
товаров и испытывает влияние структурных сдвигов.[4,с.93]
Оценка изменения доходов от
реализации произведем на основе данных таблицы 2.3.3.
На изменение суммы доходов от
реализации товаров влияние оказало увеличение объема продаж. Влияние изменения
объема оборота в текущих ценах на доходы от реализации товаров рассчитываем по
следующей формуле:
∆
=, (2.12)
где ∆
- изменение доходов от реализации
товаров за счет изменения размера оборота;
объем оборота в предшествующем и
отчетном периодах;

- уровень доходов от реализации
товаров за предшествующий год.[4,с.91]
В 2010 году по сравнению с 2009
годом доходы от реализации товаров торговой деятельности ИП Туговой И.А. за
счет изменения оборота в текущих ценах возросли на 540 тысяч рублей:
∆
= 
= + 540 тыс.руб.(табл.2.3.3)
Изменение объема продаж в
сопоставимых ценах (физического объема оборота) на доходы от реализации товаров
определяем по формуле:

, (2.13)
где - изменение доходов от
реализации товаров за счет изменения объема продаж в сопоставимых ценах
(физического объема оборота);

- сопоставимый оборот.
, (2.14)
где 
- индекс цен.[4,с.92]
Таблица 2.3.3 - Доходы от реализации
товаров за 2010 год торговой деятельности ИП Туговой И.А.
|
Показатель
|
2009
год
|
2010
год
|
Темп
роста %
|
Отклонение(+;
-)
|
|
|
|
|
%
|
в
абсолютной оценке
|
|
Доходы
от реализации в сумме
|
3150,0
|
3690,0
|
117,1
|
-
|
+
540,0
|
|
Уровень,
% к обороту
|
60,0
|
60,0
|
-
|
-
|
0,0
|
|
Оборот
розничной торговли
|
5250,0
|
6150,0
|
117,1
|
-
|
+
900,0
|
В 2010 году по сравнению с 2009 годом цены
возросли на 7,5%.
Изменение физического оборота торговли ИП
Туговой И.А. способствовало росту доходов от реализации товаров на 282,5
тыс.руб.

= 
=5720,9 тыс. руб.

= 282,5 тыс. руб.
За счет роста цен в 2010 году по
сравнению с 2009 годом ИП Тугова И.А. получила дополнительный доход от
реализации на сумму 257,5 тыс. руб.
∆
= ∆
-, (2.15)
где ∆
- изменение доходов от реализации
за счет изменения цен.
∆
= 540 - 282,5 = 257,5 тыс.руб.
Таким образом, прирост доходов от
реализации товаров за счет объема продаж достигнут за счет изменения цен на
257,5 тыс. руб. и за счет увеличения объемов продаж на 282,5 тыс.руб.
На сумму валового дохода (валовой
прибыли) влияет изменение их среднего уровня. В этом факторе находит отражение
воздействие уровня цен, структуры оборота, источников поступления товаров,
эффективности заключенных коммерческих сделок.
Уровень доходов от реализации товаров
является усредненным показателем доходности отдельных наименований товаров и
испытывает влияние структурных сдвигов.
Расчеты влияний изменений в
структуре оборота торговли в деятельности ИП Туговой И.А. рассчитаем и
представим в таблице 2.3.4.
Изменения в структуре оборота
торговли ИП Туговой И.А. позволили сохранить стабильное финансовое состояние.
За счет роста доли таких доходных товарных групп « сарафан женский», «юбки» и
«туники» уровень дохода возрос, а за счет снижения доли доходных товарных групп
«брюки» и « платье женское» уровень дохода снизился. В целом же доходность в
2010 году осталась на уровне 2009 года.
По всем остальным товарным группам
(платье молодежное, костюмы женские, прочие товары, блузы), наблюдается
снижение удельного веса в обороте торговли, у этих товарных групп низкий
уровень доходов от реализации, отсюда можно сделать вывод, что эти товары
занимают второстепенное место в обороте торговли и представляют товарные
группы, созданные для ассортимента оборота торговли, учитывая спрос
покупателей.
Таблица 2.3.4 - Влияние структурных
сдвигов на уровень доходов от реализации товаров в торговой деятельности ИП
Туговой И.А.
|
Товарные
группы
|
Удельный
вес в обороте, %
|
Уровень
доходов от реализации в 2009 году,%
|
Процентные
числа
|
|
2009
год
|
2010год
|
|
2009
год
|
2010год
|
|
1
|
2
|
3
|
4
|
5
= 2 × 4
|
6
= 3 × 4
|
|
1.Платье
женское
|
21,7
|
21,6
|
1367,1
|
1360,8
|
|
2.Сарафан
женский
|
23,8
|
27,8
|
65
|
1547,0
|
1807,0
|
|
3.Платье
молодежное
|
2,3
|
2,2
|
56,2
|
129,2
|
123,6
|
|
4.Туники
|
14,5
|
17,9
|
64,8
|
939,6
|
1159,9
|
|
5.Юбки
|
11,3
|
11,4
|
60
|
678,0
|
684,0
|
|
6.Брюки
женские
|
7,6
|
6,7
|
59
|
448,4
|
395,3
|
|
7.Блузы
|
5,4
|
4,5
|
59
|
318,6
|
265,5
|
|
8.Костюмы
женские
|
6,2
|
5,9
|
57
|
353,4
|
336,3
|
|
9.Прочие
товары
|
7,2
|
2,0
|
56
|
403,2
|
112,0
|
|
Всего
|
100,0
|
100,0
|
60,0
|
6000
|
6000
|
Анализ валового дохода является составной частью
оценки финансовых результатов хозяйственной деятельности предприятия. Его
значение определяется той ролью, которую он выполняет, выступая в качестве
главного источника финансирования торговой деятельности и формирования прибыли.
К задачам, решаемым в ходе данного анализа, относят оценку принятой на
предприятии ценовой политики, тенденций ее изменения и соответствия этой
политики сложившемуся на рынке соотношения спроса и предложения; выявление
наиболее доходных, а потому предпочтительных с экономической точки зрения
товаров и товарных групп.
В таблице 2.3.5 рассчитаем как изменение уровня
дохода по каждой товарной группе сказывается на сумме валового дохода торговой
деятельности ИП Туговой И.А.
Таблица 2.3.5 - Влияние изменения потоварных
уровней дохода на доход от реализации товаров в торговой деятельности ИП
Туговой И.А.
|
Товарные
группы
|
Уровень
доходов от реализации
|
Удельный
вес в обороте за 2010 год
|
Процентные
числа
|
|
2009
год
|
2010
год
|
|
2009
год
|
2010
год
|
|
1
|
2
|
3
|
4
|
5
= (2×4)
|
6
= (3×4)
|
|
1.Платье
женское
|
63,0
|
62,0
|
21,6
|
1360,8
|
1339,2
|
|
2.Сарафан
женский
|
65,0
|
64,0
|
27,8
|
1807,0
|
1779,2
|
|
3.Платье
молодежное
|
56,2
|
57,2
|
2,2
|
123,6
|
125,8
|
|
4.Туники
|
64,8
|
63,8
|
17,9
|
1159,9
|
1142,0
|
|
5.Юбки
|
60,0
|
59,0
|
11,4
|
684,0
|
672,6
|
|
6.Брюки
женские
|
59,0
|
61,0
|
6,7
|
395,3
|
408,7
|
|
7.Блузы
|
59,0
|
58,0
|
4,5
|
265,5
|
261,0
|
|
8.Костюмы
женские
|
57,0
|
58,0
|
5,9
|
336,3
|
342,2
|
|
9.Прочие
товары
|
56,0
|
57,0
|
2,0
|
112,0
|
114,0
|
|
Всего
|
60,0
|
60,0
|
100,0
|
6000
|
6000
|
Анализ суммы и уровня валового дохода
представляет для предприятия торговли практический интерес, поскольку, изменяя уровень
его валового дохода, можно увеличивать или сокращать объем покупательского
спроса, выбирая тем самым оптимальные сочетания цены и спроса и добиваясь
максимального дохода от продажи товаров.
Существуют два способа анализа валового дохода,
так как эти два способа базируются на анализе структуры оборота торговли,
используем и второй метод для доказательства правильности наших расчетов.
Анализ валового дохода проводится в следующей
последовательности:
анализ динамики валового дохода;
анализ факторов, определяющих сумму и уровень
валового дохода;
определение резервов роста валового дохода и
эффективности торговли.
При изучении динамических изменений необходимо
не только выявлять и оценивать тенденцию развития валового дохода, но и
сопоставлять эти изменения с динамикой товарооборота и издержек обращения
торгового предприятия. Это позволяет определить эффективность торговли по
указателю валового дохода, которая измеряется отношениями (уровнями) валового
дохода к обороту торговли и издержкам обращения.
Таблица 2.3.6 - Информация о динамике валового
дохода торговой деятельности ИП Туговой И.А. за 2009-2010 г.
|
Наименование
показателей
|
2009год
|
2010год
|
Отклонение
2010г. от 2009г.
|
2010г.
в процентах к 2009г.
|
|
Розничный
товарооборот, тыс. руб.
|
|
|
|
|
|
-
в действующих ценах
|
5250,0
|
6150,0
|
900,0
|
117,1
|
|
-
в сопоставимых ценах
|
5250,0
|
5720,9
|
470,9
|
108,9
|
|
Валовой
доход от реализации товаров, тыс. руб.
|
3150,0
|
3690,0
|
540,0
|
117,1
|
|
Издержки
обращения, тыс. руб.
|
1180,0
|
1265,0
|
85,0
|
107,2
|
|
Уровень
валового дохода в процентах к товарообороту в действующих ценах, %
|
60,0
|
60,0
|
0
|
-
|
|
Уровень
валового дохода в процентах к издержкам обращения,%
|
266,9
|
291,7
|
24,8
|
-
|
Из данных таблицы 2.3.6 следует, что валовой
доход торговой деятельности ИП Туговой И.А. в 2010 году возрастал теми же
темпами что и розничный товарооборот и возрастал более высокими темпами, чем
издержки обращения. Этому способствовало увеличение массы реализованных
товаров, рост розничных цен и соблюдение режима экономии. Уровень торговых
надбавок оставался на уровне 2009 года. Сложившиеся соотношения в темпах
изменения анализируемых показателей обеспечили ИП Туговой И.А. увеличение
уровня валового дохода в процентах к издержкам обращения на 24,8%, то есть
эффективность торговой деятельности возросла.
Сумма валового дохода торгового предприятия
складывается под воздействием таких факторов, как объем и структура оборота
торговли, уровень торговых надбавок по отдельным товарам, динамика розничных и
покупных цен.
Таблица 2.3.7 - Алгоритм расчета влияния
факторов на изменение суммы валового дохода торговой деятельности ИП Туговой
И.А., 2009-2010 г.
|
Факторы
|
Порядок
расчета
|
Сумма,
тыс. руб.
|
|
1.Изменение
объема товарооборота в действующих ценах, всего, тыс. руб., в том числе за
счет:
|
900,0
× 60 / 100
|
540,0
|
|
1.1
увеличения массы реализованных товаров
|
470,9
× 60 / 100
|
282,54
|
|
1.2
роста цен
|
6150
- 5720,9 × 60 /100
|
257,46
|
|
2.Изменение
среднего уровня валового дохода в процентах к обороту
|
6160
× 0 / 0
|
0
|
|
Итого
|
540,0
+ 0
|
540
|
Увеличение объема розничного оборота торговли на
900,0 тыс. руб. обеспечило ИП Туговой И.А. получение дополнительной суммы
валового дохода в размере 540,0 тыс. руб., что составляет 60% от суммы прироста
оборота, следовательно, этот прирост был получен за счет увеличения физической
массы реализации товаров (52% = 282,5/ 540 ×100) и
роста цен.
Изменение среднего уровня валового дохода в
целом по предприятию происходит под влиянием изменения структуры товарооборота
и уровня валового дохода по отдельным товарам и товарным группам. Анализ
проводится с помощью способа процентных чисел.
Для определения влияния изменения структуры
товарооборота на средний уровень валового дохода расчет процентных чисел (∑%Ч)
производится путем умножения отклонения удельного веса товарной группы
отчетного года от показателей прошлого года на уровень валового дохода данной
товарной группы, сложившийся в прошлом году:
∆
= = 
. (2.18)
Для определения влияния изменения
уровня валового дохода товарной группы на средний по предприятию уровень дохода
расчет процентных чисел (∑%Ч) производят умножением отклонения уровня
валового дохода товарной группы отчетного года от прошлого на удельный вес этой
товарной группы в товарообороте отчетного года:
∆
= = 
, (2.19)
где ∆
- изменение среднего уровня
валового дохода предприятия за счет изменения структуры товарооборота, %; ∆
- изменение среднего уровня
валового дохода предприятия за счет изменения уровня дохода по отдельным
товарным группам, %;
удельный вес
в товарообороте соответственно отчетного и базисного года i - й товарной
группы, %; уровень валового дохода i - й товарной группы соответственно в
отчетном и базисном году, %; n - количество товарных групп.
Анализ влияния этих факторов на
уровень валового дохода представлен в табл. 2.3.8 и 2.3.9.
Расчеты показали, что увеличение
удельного веса в товарообороте торговой деятельности ИП Туговой И.А. товарных
групп с самым высоким уровнем валового дохода (сарафаны женские и туники)
обусловили прирост на 0,6% к товарообороту среднего уровня валового дохода в
целом по торговой деятельности. Это обеспечило получение дополнительной суммы
валового дохода в размере 36,9 тыс. руб.(6150 × 0,6 /100).
Уменьшение уровня валового дохода на
1% по товарным группам: сарафаны женские,туники, платья женские и юбки, имеющих
самый большой удельный вес в обороте торговли ИП Туговой И.А. в 2010 году,
понизило средний уровень валового дохода на 0,6% к товарообороту,а сумму дохода
на 36,9 тыс. руб. (6150
× 0,6/100). Совокупное
влияние факторов на сумму и уровень валового дохода торговой деятельности ИП
Туговой И.А. обобщаем в сводной таблице (табл.2.3.10).
Уменьшение уровня валового дохода на
1% по товарным группам: сарафаны женские, туники, платья женские и юбки,
имеющим самый большой удельный вес в обороте торговли ИП Туговой И.А. в 2010
году произошло ввиду конкурирования с аналогичным предприятием торговли, чтобы
удержать свои лидирующие позиции в ценовом предложении и сохранить объем
товарооборота на прежнем уровне.
Факторный анализ показывает, что
управление товарооборотом путем оптимизации его структуры, способно обеспечить
существенное увеличение дохода. Сопоставив удельный вес отдельных товарных
групп в сумме валового дохода и в товарообороте предприятия, можно предположить
целесообразность, с экономической точки зрения, расширения ассортимента и
объема реализации по какой-либо группе или, наоборот, сокращения закупок и
продаж ее. [1,с.210]
Рассмотрим широко применяемый в
рыночной экономике метод АВС-анализа.
Метод предусматривает
многоступенчатое деление всего торгового ассортимента по нескольким критериям
на три категории по каждому критерию.
Рекомендуемое распределение:
Группа А - объекты, сумма долей с
накопительным итогом которых, составляет первые 50 % от общей суммы параметров.
Группа В - следующие за группой А
объекты, сумма долей с накопительным итогом которых, составляет от 50 % до 80 %
от общей суммы параметров.
Группа С - оставшиеся объекты, сумма
долей с накопительным итогом которых, составляет от 80 % до 100 % от общей
суммы параметров.
В качестве параметра будем
использовать объем оборота по товарным группам.
В то же время следует предусмотреть,
что торговый ассортимент должен содержать не только высокодоходные товары,
приносящие максимум прибыли, но и товары с меньшими показателями прибыльности,
для того, чтобы достичь максимального результата по привлечению покупателей и
наиболее полному удовлетворению их спроса.
Наличие товара определенного вида в
ассортименте желательно до тех пор, пока объем продаж не минует так называемую
«точку безубыточности».
Все товары объединяем в укрупненные
товарные группы и ранжируем по шаблону. В практике для этого анализа
используется автоматизированные системы с возможностью как табличного, так и
графического представления результатов, но при необходимости можно рассчитать
основные параметры математически.
Следует отметить, что АВС - анализ
является инструментом совершенствования ассортимента товаров, а не формирования
его изначально.
Из данных таблицы 2.2.3 и таблицы
2.2.4 рассмотрим суммы оборота по каждой укрупненной товарной группе за период
2009 - 2010 годы и систематизируем эти данные по системе АВС - анализа.
Метод АВС имеет существенный
недостаток, заключающийся в отсутствии учета динамики спроса. В этом случае его
необходимо дополнить данными XYZ-анализа. анализ позволяет классифицировать
товары в зависимости от характера спроса с учетом сезонной динамики.
Категория X - это группа товарных
запасов, которая характеризуется стабильной величиной потребления и высокой
точностью прогноза срока потребления.
Характеризуется известными
тенденциями (например, сезонными колебаниями) и средними возможностями их
прогнозирования.
К категории Z относятся товарные
запасы, которые характеризуются нестабильным спросом и практически не поддаются
прогнозированию.
Рекомендуемые к категории Y
относятся товарные запасы, потребность в которых минимальна.
Распределение товарных запасов по
методу XYZ:
группа X - объекты, коэффициент
вариации по которым не превышает 10-15%.
Группа Y - объекты, коэффициент
вариации по которым составляет 15-25%.
Группа Z - объекты, коэффициент
вариации по которым превышает 25%.
Выявим наиболее стабильные товарные
группы ассортимента торговой деятельности ИП Туговой И.А. - проведем XYZ-
анализ.
Первый шаг - определение объектов
анализа: товарные группы ассортимента оборота торговли торговой деятельности ИП
Туговой И.А.: платья женские, сарафаны женские, юбки, брюки женские, блузы,
прочие товары, костюмы женские, платья молодежные, туники.
Второй шаг - определение параметра,
по которому будет проводиться анализ объекта: объем продаж, тыс. руб.
Третий шаг - определение периода, по
которому будет проводиться анализ: 3 года (2008 - 2010 гг.).
Четвертый шаг: определение
коэффициента вариации для каждого объекта анализа (табл.2.2.5).
Расчет коэффициента вариации
осуществляется по следующей формуле:
, (1.11)
Рассмотрим расчет по каждой товарной
группе.
.«Сарафан женский»:
,4 + 1249,5 + 1709,7 = 3829 / 3 =
1276

+ 
+ 
/ 3 = 
+ 
+ 
/ 3 = 165323,6 + 702,2 + 188095,7 /
3 =354121,5 / 3 = 
=343,5 / 1276 × 100% = 26,9%
= 27%.
.«Платье женское»:
,8 + 1139,2 + 1328,4 = 3470 / 3 =
1157

+ 
+ 
/ 3 = 
+ 
+ 
/ 3 = 23777,6 + 316,84 + 29377,96 /
3 = 53472,4 / 3 = 
= 133,5 / 1157 × 100% = 11,54% =
12%.
3.«Туники»:
,8 + 761,2 + 1100,8 = 2382,0 / 3 =
794,0

+ 
+ 
/ 3 = 
+ 
+ 
/ 3 = 75185,6 + 1075,8 + 94126,2 /
3 = 170387,64 / 3 = 
= 238,3 / 794,0 × 100% = 30%.
4.«Юбки»:
,2 + 593,2 + 701,1 = 1810,0 / 3 =
603,0

+ 
+ 
/ 3 = 
+ 
+ 
/ 3 = 7708,8 + 96,04 + 9623,6 / 3 =
17428,4 / 3 = 
= 76,21 / 603,0 × 100% = 12,6% =
13%.
.«Брюки женские»:
,0 + 399,0 + 412,1 = 1202,0 / 3 =
401,0

+ 
+ 
/ 3 = 
+ 
+ 
/ 3 = 100 + 4 + 123,2 / 3 = 227,2 /
3 = 
= 8,7 / 401,0 × 100% = 2,2% = 2%.
6.«Блузы»:
,8 + 283,5 + 276,7 = 942,0 / 3 =
314,0

+ 
+ 
/ 3 = 
+ 
+ 
/ 3 = 4596,8 + 930,25 + 1391,3 / 3
= 6918,3 / 3 = 
= 48,02 / 314,0 × 100% = 15,3% =
15%.
7.«Костюмы женские»:
,6 + 325,5 + 362,8 = 992 / 3 = 331,0

+ 
+ 
/ 3 = 
+ 
+ 
/ 3 = 750,7 + 30,25 + 1011,2 / 3 =
1792,0 / 3 = 
= 24,44 / 331,0 × 100% = 7,4% = 7%.
.«Прочие товары»:
,0 + 378,0 + 123,0 = 1007 / 3 =
336,0

+ 
+ 
/ 3 = 
+ 
+ 
/ 3 = 28900,0 + 1764,0 + 45369,0 /
3 = 30664,0 / 3 = 
= 101,0 / 336,0 × 100% = 30%.
9. «Платье молодежное»:
110,4 + 120,7 + 135,3 = 366,0 / 3 =
122,0

+ 
+ 
/ 3 = 
+ 
+ 
/ 3 = 134,56 + 1,69 + 176,89 / 3 =
313,14 / 3 = 
= 10,21 / 122,0 × 100% = 8,37% =
8%.
Итогом совмещения АВС- и XYZ-
анализа является получение девяти групп объектов анализа, по двум критериям,
которые позволяют оценить, степень влияния на конечный результат (АВС) и
стабильность/прогнозируемость этого результата (XYZ). Это незаменимый
инструмент для повышения эффективности системы товародвижения.
По результатам АВС- анализа
определили в группу А товарные группы: сарафан женский и платье женское, их
доля в обороте торговли ИП Туговой И.А.за период с 2008 по 2010 годы самые
наибольшие (24% и 22% соответственно). В группу В включаем товарные группы:
туники(15%), юбки(11%), брюки женские(8%). Остальные товарные группы включаем в
группу С и D,эти товарные группы имеют небольшой удельный вес в объеме
реализации и являются сопутствующими товарными группами в ассортименте оборота
торговли торговой деятельности ИП Туговой И.А.
После расчета коэффициента вариации
сформируем товарные группы в анализе XYZ:
группа X: костюмы женские, платья
молодежные -это самые стабильные группы в ассортименте торговли;
группа Y: платья женские, юбки,
блузы - наименее стабильные товарные группы;
Остальные товарные группы мы отнесем
в группу Z - они самые нестабильные.
ГЛАВА 3. ЭКОНОМИЧЕСКОЕ ОБОСНОВАНИЕ
ТОВАРНОЙ СТРУКТУРЫ ОБОРОТА ТОРГОВЛИ ИП ТУГОВОЙ И.А.
.1 Планирование товарной структуры
оборота
Опытно-статистический метод
планирования позволяет определить объем товарооборота на будущий год исходя из
объема товарооборота за отчетный год и среднегодового темпа изменения
товарооборота за 3-5 лет.
При условии, что товарооборот в
отчетном году составляет 6150 тыс. руб., а среднегодовой темп его роста 113,5%
(смотри табл.2.1.3), тогда объем товарооборота на планируемый год составит:
6980,25 тыс. руб.
Одним из методов расчета
товарооборота торгового предприятия является экономико-статистический,
основанный на сглаживании данных о приросте товарооборота за ряд предшествующих
планируемому году лет.
Произведем такой расчет.
Сглаживание производится с помощью
скользящей средней для трех близлежащих лет:

= = 
= 7, 2 %,

= = 
= 10 %,

= = 
= 13,6 %.
Таблица 3.1.1 - Исходные данные для
планирования объема товарооборота ИП Туговой И.А. экономико-статистическим
методом
|
Годы
|
Прирост
товарооборота
|
|
условные
обозначения
|
в
% к предыдущему году
|
|
n
+ 1
|
|
5,8
|
|
n
+ 2
|
|
6,4
|
|
n
+ 3
|
|
9,5
|
|
прошлый
год
|
|
14,1
|
|
отчетный
год
|
|
17,1
|
∆ = 
= 3,2%.
Значение прироста товарооборота на
планируемый год (
) определяется продолжением
выравненного ряда средних на 2 шага вперед, т.е. начиная от прошлого года (
2 × 3,2 = 13,6 %.
Таким образом, в планируемом году по
сравнению с отчетным годом объем товарооборота торгового предприятия увеличится
на 13,6 % и составит: = 6986,4
Таблица 3.1.2 - Объем товарооборота
ИП Туговой И.А. на планируемый 2011 год
|
Метод
|
Объем
товарооборота на 2011 год, тыс. руб.
|
Планируемый
год в % к 2010 году
|
|
1.Опытно-статистический
|
6980,25
|
113,5
|
|
2.Экономико-статистический
|
6986,4
|
113,6
|
На мой взгляд, объем товарооборота на
планируемый год следует установить в размере средней величины: 6983,325
тыс.руб.
В соответствии с полученным расчетом, объем
товарооборота в планируемом году по сравнению с отчетным годом увеличится на
13,55%, что соответствует основной тенденции развития оборота торговли и
реально для выполнения.
Планирование общего объема товарооборота
торгового предприятия должно дополняться расчетами товарооборота по отдельным
товарным группам и товарам. Этот этап имеет важное значение, так как от
реальности плана товарооборота по товарным группам зависит реальность плана по
прибыли и другим показателям финансовой деятельности, поскольку:
различны издержкоемкость и рентабельность
реализации отдельных товаров;
размер торговых надбавок по отдельным видам
товаров неодинаков.
Все методы планирования структуры товарооборота
можно объединить в две группы:
-я группа - методы, в которых в качестве основы
расчетов лежит исходная информация об удельных весах реализации отдельных
товаров;
-я группа - методы, в которых в качестве основы
расчетов используются данные об объеме реализации отдельных товаров.
Удельный вес реализации товарной группы в общем
объеме товарооборота торгового предприятия в планируемом году можно определить
в зависимости от сложившихся тенденций их изменения с учетом перспектив
торговли этой товарной группой.
По товарным группам, удельный вес которых в
общем объеме товарооборота в течение анализируемого периода характеризуется
стабильностью или изменяется незначительно, показатель удельного веса на
планируемый год можно определить по средней арифметической или принять на
уровне отчетного года (опытно - статистический метод планирования структуры
товарооборота торгового предприятия).
По товарным группам, удельный вес оборота
которых имеет тенденцию к росту или снижению либо имеет существенные колебания,
показатель на планируемый год определяется с учетом среднегодового изменения
удельного веса оборота, рассчитываемого с помощью скользящей средней для двух
ближайших лет (экономико - статистический метод планирования структуры
товарооборота торгового предприятия).
Во вторую группу методов планирования структуры
товарооборота торгового предприятия, основанных на расчете объема реализации
отдельных товаров, входят:
опытно-статистический;
экономико-статистический;
метод, основанный на расчете коэффициентов
эластичности;
метод экономико-математического моделирования.
При анализе динамики структуры оборота торговли
ИП Туговой И.А., данные в таблице 3.1.3, ровную тенденцию в развитии удельного
веса в общем объеме товарооборота торговой деятельности ИП Туговой И.А. имеют
товарные группы «Платье женское», «Платье молодежное» и «Юбки».
Поэтому удельный вес оборота этих товарных групп
в общем объеме товарооборота торговой деятельности ИП Туговой И.А. в
планируемом году следует рассчитать опытно - статистическим методом, используя
арифметическую среднюю:
«Платье женское» = (21,8+21,7+21,6) / 3 = 21,7
%,
«Платье молодежное» = (2,4+2,3+2,2) / 3 = 2,3 %,
«Юбки» = (11,2+11,3+11,4) / 3 =11,3%.
Таблица 3.1.3 - Динамика структуры оборота
торговли ИП Туговой И.А.
|
Товарные
группы
|
Удельный
вес в общем объеме товарооборота (%) по годам
|
|
2007
|
2008
|
2009
|
|
Платье
женское
|
21,8
|
21,7
|
21,6
|
|
Сарафан
женский
|
18,9
|
23,8
|
27,8
|
2,4
|
2,3
|
2,2
|
|
Туники
|
11,3
|
14,5
|
17,9
|
|
Юбки
|
11,2
|
11,3
|
11,4
|
|
Брюки
женские
|
8,5
|
7,6
|
6,7
|
|
Блузы
|
8,3
|
5,4
|
4,5
|
|
Костюмы
женские
|
6,6
|
6,2
|
5,9
|
|
Прочие
|
11,0
|
7,2
|
2,0
|
|
Всего
|
100,0
|
100,0
|
100,0
|
По остальным товарным группам для нахождения
удельного веса оборота на планируемый год следует использовать
экономико-статистический метод.
Рассмотрим на примере товарной
группы «Сарафан женский». Определим скользящие средние для двух близлежащих
лет:
=
,9 + 23,8 / 2 =21,35%,
23,8 + 27,8 / 2 = 25,8%,
21,35 + 25,8 / 2 = 23,57%.
Рассчитаем среднегодовое изменение
удельного веса:
,57 - 21,35 / 2 = 1,11%.
Тогда удельный вес оборота товарной
группы «Сарафан женский» в общем объеме товарооборота торговой деятельности ИП
Туговой И.А. в планируемом году составит:
,8 + 1,11 = 28,91%.
Аналогичные расчеты проводим по
остальным товарным группам:
«Туники»:
11,3 + 14,5
/ 2 =12,9%,
Обосновав плановые суммы по всем
укрупненным товарным группам торгового ассортимента оборота торговли ИП Туговой
И.А. и проведя планирование товарооборота на плановый 2010 год необходимо
провести анализ плановых мероприятий, для выявления недостатков плановой работы,
что предполагает следующий раздел выпускной квалификационной работы.
3.2 Совершенствование планирования
товарной структуры оборота ИП Туговой И.А.
Эффективная ассортиментная политика
в основном зависит от умения планировать ассортимент, прогнозировать с высокой
вероятностью структуру потребительского спроса.
В торговой деятельности ИП Тугова
И.А. при планировании ассортимента опирается в основном на простые
экономико-статистические методы. В то же время наиболее точный прогноз
структуры потребительского спроса, а значит и плановая структура товарного
ассортимента, формируются только при одновременном использовании различных
подходов и методов к прогнозированию.
Генетический подход к
прогнозированию потребительского спроса основывается на инерционном характере
его развития, т.е. на оценках устойчивых тенденций развития потребительского
спроса, перенесения зависимостей прошлого и настоящего на будущее. Он
объединяет экономико-статистические модели: трендовые и факторные модели оценки
и прогнозирования спроса.
При использовании одних трендовых
моделей прогнозирования спроса предприятие не сможет вскрыть внутренние
взаимосвязи процесса изменения спроса и факторов, формирующих его уровень и
динамику. Поэтому они должны быть дополнены использованием факторных моделей
оценки и прогнозирования спроса, при этом предпочтение лучше отдавать именно
многофакторным моделям. В качестве особого инструмента моделирования и
прогнозирования потребительского спроса необходимо использовать коэффициенты
эластичности спроса. При выполнении прогнозных расчетов спроса на товары на
предстоящий год принятая величина коэффициента эластичности спроса умножается
на прогнозируемый темп прироста денежных доходов на душу населения или другого
фактора спроса.
Нормативное прогнозирование
необходимо для определения стратегических задач на основе заранее заданных
критериев и норм. Данным метод ориентирован на долгосрочную перспективу. Он
заключается в стохастическом программировании личного спроса, исходя из
нормативных предположений о склонности к потреблению, уровня личных доходов, с
учетом прошлых и настоящих тенденций, рациональных норм потребления. Однако
нестабильность развивающейся экономики делает невозможным обоснование нормы
потребления.
Для использования методов экспертных
оценок необходимо рационально организовать проведение экспертизы проблемы
прогнозирования спроса и обработку результатов индивидуальных экспертных
оценок. Обобщенная оценка индивидуальных результатов принимается в качестве
прогноза спроса. Здесь можно применять различные методы опросов: анкетирование,
интервьюирование, метод Дельфи, «мозговую атаку», дискуссию. Однако недостатком
этих методов является их субъективность. Поэтому их необходимо применять только
тогда, когда отсутствует информация о прогнозируемом спросе.
Таким образом, существуют
разнообразные методы прогнозирования товарно-групповой структуры
потребительского спроса. Однако применение каждого метода в отдельности, как
правило, малоэффективно. Современная практика свидетельствует об эффективности
многовариантных расчетов прогнозов структуры потребительского спроса на основе
сочетания различных методов. Этим достигается синтез генетических прогнозов,
основанных на использовании сложившихся закономерностей развития спроса, и
нормативных прогнозов, ориентированных на рациональную структуру потребления и
спроса. В результате будет обеспечен комплексный подход и активная роль
прогнозирования спроса, а значит и ассортимент, при котором предприятие будет
функционировать устойчиво и эффективно.
Существующие в настоящее время
методы определения перечня наименований и соответствующих объемов продаваемых
товаров с некоторой долей условности можно разделить на две группы:
классический (традиционный) подход;
решение на основе маржинальной
прибыли.
Классический, традиционный подход
предполагает нахождение оптимального ассортимента товаров по критерию
максимизации прибыли. Этот метод используется в торговой деятельности ИП
Туговой И.А..
Так, в процессе анализа ассортимента
мы выяснили, что наибольшую часть прибыли торгового предприятия составляет
прибыль от реализации сарафанов женских (27,8%). Также существенную часть
прибыли приносят продажи женских платьев и туник (21,6% и 17,9%
соответственно). Согласно данной методике, продажи брюк, женских костюмов и
прочих товаров необходимо сокращать, так как вклад этих ассортиментных групп в
общую прибыль предприятия незначителен.
С математической точки зрения такая
постановка задачи абсолютно верна, но с экономической она не может быть
признана правильной, по крайней мере, по двум причинам. Во-первых, этот подход
подразумевает, что прибыль зависит исключительно от внутренних ресурсов
предприятия, что справедливо только при прочих равных условиях. Рынок в этом
случае не учитывается.
Во-вторых, традиционный подход не
учитывает различное поведение постоянных и переменных издержек при изменении
объема продаж. Исходя из поведения себестоимости, известно, что величина
прибыли, как и себестоимость, изменяется с изменением объема производства
(продаж), и поэтому исчисленный оптимальный вариант на основе прибыли для
одного объема может быть не оптимальным при реальной прибыли.
При этом ассортимент товаров состоит
из дополняющих ассортимент товаров товарных групп, а не взаимозаменяемых,
следствием этого является привлечение покупателей широким ассортиментом.
Второй подход к решению
ассортиментной задачи основан на системе «директ-костинг». Сущность системы
состоит в организации раздельного учета переменных и постоянных затрат и
использование его преимущества в целях повышения эффективности управления.
Директ - костинг представляет собой метод калькулирования себестоимости
продукции, основанной на разделении всех затрат на постоянные и переменные, с
отнесением постоянных на реализованную продукцию [5,с.907]
Методики управления ассортиментом предприятия,
основанные на системе «директ-костинг», в качестве критерия финансовой
привлекательности продаж того или иного вида товара используют не прибыль от ее
реализации, а показатель, рассчитываемый как разница между ценой изделия и его
переменными затратами (валовая маржа или маржинальный доход).
Проблему формирования ассортимента
необходимо рассматривать с учетом всех трех переменных - целей бизнеса, его
ресурсов и внешних условий. Поскольку существующие методики ориентируются
только на первую из них, то возникла потребность создать комплексную методику,
учитывающую все переменные.
Для этого имеет смысл ввести новый
показатель - коэффициент адекватности рынку. Он характеризует степень
приближения анализируемого товара к некоему эталонному образцу, который по
своей сути будет соответствовать наиболее конкурентоспособному на рынке
изделию.
Он может быть определен по формуле:
, (3.4)
где
и
- нормативные и фактические значения
показателей, принятых для расчета;- количество показателей, принятых для
расчета.
Интерпретация показателя уровня
адекватности рынку следующая: данная позиция ассортимента тем больше развита и
тем более эффективна для предприятия, чем ближе значение ее показателя
адекватности рынка к эталону.
Рассматривая динамику уровня
адекватности за определенный период времени, можно определить, ухудшаются или
улучшаются показатели конкретного товара или ассортиментной группы, оценить их
значения по отношению другим товарам (ассортиментным группам). Это даст
возможность выявить лидеров и аутсайдеров ассортимента и предпринять
корректирующие действия, в зависимости от стадии жизненного цикла.
Учитывая, что коэффициент
адекватности рынку по своей сути характеризует степень приближения продукции
предприятия к некому эталонному образцу ассортимента, который наилучшим образом
соответствует целям бизнеса, ресурсам предприятия и факторам внешней среды,
можно считать, что чем ближе к единице коэффициент адекватности рынку по каждой
ассортиментной позиции предприятия, тем более устойчиво оно функционирует.
При принятии решения о новом
товарном направлении, оно более перспективно для предприятия, если у него
высокий коэффициент адекватности рынку. И чем ниже коэффициент адекватности,
тем быстрее у предприятия возникнут проблемы, которые приведут к необходимости
замены товарного направления, инвестирования в новые технологии или отказа от
его продажи.
Таким образом, можно сформировать
такую структуру ассортимента, при которой предприятие будет функционировать
достаточно устойчиво.
Эффективная реализация предложенной
методики возможна только при наличии в организации системы раздельного учета
постоянных и переменных расходов.
Таким образом, методы планирования
ассортимента оборота торговли в торговой деятельности ИП Туговой и.А.
трудоемки, ограничены и требуют совершенствования. Это касается в первую
очередь финансового обоснования ассортимента. Традиционный подход,
использующийся при обосновании ассортимента, основывается на принципе
максимизации прибыли. Основные его недостатки заключаются в том что, при его
использовании практически не учитываются рыночные факторы, а также различное
поведение постоянных и переменных издержек при изменении объема продаж.
Предложенный метод «директ-костинга» является более подходящим в этих условиях
и исключает данные недостатки. Он учитывает цели бизнеса, его ресурсы и внешние
условия. Для учета последних в методике «директ-костинга» используется
показатель адекватности рынку. Он характеризует степень приближения
анализируемого товара к некому эталонному образцу, который соответствует
наиболее конкурентоспособному на рынке изделию.
Данная методика эффективна только
при наличии в организации системы раздельного учета постоянных и переменных
расходов.
Предложенная методика поможет
сформировать такую структуру ассортимента, при которой предприятие будет
функционировать достаточно устойчиво.
Необходимо добавить, что
планирование ассортимента можно проводить не только по укрупненным товарным
группам, но и по каждому наименованию товара, учитывая натуральные показатели.
Все эти недостатки планирования эффективно
раскрывают компьютерные программы для автоматизации бизнеса и ведения
бухгалтерского учета. Необходимо автоматизировать данные ведения
предпринимательской деятельности и для планирования структуры оборота
пользоваться программным обеспечением «1С Бухгалтерия»,7-я и 10-я версии.
Необходимо так же совершенствовать знания логистики, которые непосредственно
являются частью экономической науки, изучающей процесс организации
рационального продвижения товаров от производителей к потребителям.
ЗАКЛЮЧЕНИЕ
В настоящей работе проведено
исследование управления ассортиментом на примере торговой деятельности ИП
Туговой И.А. в г.Красноярске. По результатам работы можно сделать следующие
выводы.
Методы планирования ассортимента
оборота торговли в торговой деятельности ИП Туговой И.А. трудоемки и требуют
совершенствования. Это касается в первую очередь финансового обоснования
ассортимента. Традиционный подход, использующийся при обосновании ассортимента,
основывается на принципе максимизации прибыли. Основные его недостатки
заключаются в том что, при его использовании практически не учитываются
рыночные факторы, а также различное поведение постоянных и переменных издержек
при изменении объема продаж. Необходимо автоматизировать данные ведения
предпринимательской деятельности и для планирования структуры оборота
пользоваться программным обеспечением. При использовании программного
обеспечения будут учитываться цели бизнеса, его ресурсы и внешние условия.
Анализ ассортимента дает наиболее
точные данные только при использовании различных методик анализа. Поэтому
наряду с проведением операционного анализа необходимо проводить ABC и XYZ
анализ в комплексе.
Аргументы, что предприятие ИП
Туговой И.А.небольшого размера несущественны, критика объективна, необходимо
работать и совершенствовать методы планирования товарного ассортимента оборота
торговли.
Анализ ассортимента показал, что он
является достаточно широким, глубоким, устойчивым. Общая тенденция для всего
ассортимента торгового предприятия - рост объемов продаж по всем товарным
группам ассортимента и снижение рентабельности по ключевым товарным группам.
Это объясняется усилением конкурентной борьбы на товарном рынке в связи со
значительным увеличением количества новых конкурирующих торговых организаций.
Снижение рентабельности вызвало
необходимость снижения цены продукции до конкурентоспособного уровня. Тем не
менее, продукция компании остается конкурентоспособной, совокупный товарооборот
из года в год увеличивается.
Наиболее стабильными группами
являются брюки женские, платья молодежные, костюмы женские, которые наименее
рентабельны и весомы в объеме выручки. Относительная стабильность этой группы в
общей динамике продаж объясняется относительным постоянством спроса,
предъявляемого со стороны покупателей. Спрос на сарафаны женские, платья
женские, туники и юбки более значителен по объему, более чувствителен к
качественным характеристикам продукции, ко времени года, поэтому они подвержены
большим колебаниям, чем спрос на другие группы ассортимента продукции ИП
Туговой И.А. Это наиболее весомая и прибыльная часть ассортимента, поэтому она
должна подвергаться более тщательному контролю управления.
Планирование ассортимента на
рассматриваемом торговом предприятии ИП Туговой И.А. организовано по упрощенной
схеме. Это связано с упрощенностью структуры организации и ее небольшими
размерами. Управлением ассортиментной политикой занят сам индивидуальный
предприниматель. Тугова И.А. полностью берет на себя функции организации и
координации ассортимента.
Необходимо отметить, что планирование
ассортимента на данном предприятии требует совершенствования, так как при
прогнозировании объемов продаж по ассортиментным группам используются
упрощенные методы, не учитывающие множества факторов, в результате прогноз
является излишне оптимистическим. Неточность прогнозирования сказывается на
ухудшении управления товарными запасами и снижении эффективности их
использования.
Существуют разнообразные методы
прогнозирования товарно-групповой структуры потребительского спроса. Однако
применение каждого метода в отдельности, как правило, малоэффективно.
Современная практика свидетельствует об эффективности многовариантных расчетов
прогнозов структуры потребительского спроса на основе сочетания различных
методов. Этим достигается синтез генетических прогнозов, основанных на
использовании сложившихся закономерностей развития спроса, и нормативных
прогнозов, ориентированных на рациональную структуру потребления и спроса. В
результате будет обеспечен комплексный подход и активная роль прогнозирования
спроса, а значит и ассортимент, при котором предприятие будет функционировать
устойчиво и эффективно. Поэтому для объекта анализа было рекомендовано
использование комплексной методики планирования ассортимента в целях повышения
точности прогнозирования объема продаж по товарным группам. Использование
комплексной методики рекомендовано с применением компьютерных программ ведения
бухгалтерского учета.
В рамках координации ассортимента ИП
Тугова И.А. ведет стратегическое управление ассортиментными группами, следит за
сбалансированностью ассортиментного портфеля на основе анализа состояния и
развития существующих сегментов рынка и финансовых изменений, происходящих
внутри организации. Политика управления ассортиментом базируется на
горизонтальной диверсификации в рамках торговли женской одеждой, а также поиске
и выходе на новые рынки сбыта. Как показал анализ, ассортиментный портфель
организации является сбалансированным, он состоит из товаров, обеспечивающих
как свободные денежные средства, так и долгосрочные интересы предприятия.
БИБЛИОГРАФИЧЕСКИЙ СПИСОК
товарный ассортимент оборот торговля
1.
Экономика, анализ и планирование на предприятии торговли: Учебник для вузов./
под ред. А.Н.Соломатина - СПб.: Питер, 2009. - 560 с.
.
Экономика предприятий торговли и общественного питания: Учебное пособие / кол.
авторов; под ред. Т.И. Николаевой и Н.Р. Егоровой.- 2-е изд., стер. - М.:
КНОРУС, 2008. - 400 с.
.
Фридман А.М. Экономика предприятий торговли и питания потребительского
общества: Учебник.- 2-е изд. - М.: Издательско-торговая корпорация «Дашков и
К», 2008. - 624 с.
.
Комплексный анализ финансово-хозяйственной деятельности районной кооперативной
организации: Учебное пособие. - 2-е изд. исправл. / Авт. колл. под рук. д.э.н.,
проф. З.А. Капелюк. - Новосибирск. СибУПК,2001.-212 с.
.
Раицкий К.А. Экономика предприятия: Учебник для вузов.- 3-е изд., перераб и
доп.- М.: Издательско-торговая корпорация «Дашков и К»,2002. - 1012 с.
.
Абрютина А.В. Экономический анализ торговой деятельности - М.: Финансы и
статистика, 2004. - 416 с.
.
АВС-анализ в правлении товарными запасами //
http://www.simplesoft.ru/articles/abc.htm
.
Арефьева Е. Ассортиментная политика: слабое звено в формировании прибыли //
http://marketing.spb.ru
.
Игнатова А.В. Анализ рентабельности продаж по видам товаров и торговли //
Журнал «Маркетинг в России и зарубежом», №1, 2010. - С. 70-81.
.
Ильин А.И. Планирование на предприятии: Учебник / А.И. Ильин. - Мн.: Новое
знание, 2009. - 258 с.
.
Варламов А.С. Совершенствование управления ассортиментом на современных предприятиях
// Известия Челябинского научного центра, вып.4, 2006 г. - С. 123-127.
.
Коммерческая деятельность и предпринимательство: Сб. науч. трудов / Под ред.
В.П. Попкова. - СПб.: СПбГИЭА, 2005. - 376 с.
.
Коммерческая деятельность предприятия: Стратегия, организация, управление:
Учеб. пособие / В.К. Козлов, С.А. Уваров, Н.В. Яковлева и др.; Под ред. В.К.
Козлова, С.А. Уварова. - СПб.: Политехника, 2006. - 232 с.
.
Бланк И.А. Управление торговым предприятием - К: Украинско-Финский институт
менеджмента и бизнеса, 2005. - 501с.
.
Организация коммерческой деятельности: Справ. Пособие / С.Н. Виноградова, С.П.
Гурская, О.В. Пигунова и др.; Под общ. Ред. С.Н. Виноградовой. - Минск: Высшая
школа, 2006. - 278 с.
.
Памбухчиянц О.В., Дашков Л.П. Коммерция и технология торговли. - М.: Маркетинг,
2005. - 324 с.
.
Петров П.В., Соломатин А.Н. Экономика товарного обращения: Учеб. для вузов. -
М.: ИНФРА-М, 2008. - 127 с.
.
Половцева Ф.П. Коммерческая деятельность: Учебник. - М.: ИНФРА-М, 2009. - 348
с.
.
Попова Л.В., Маслова И.А., Ханенко М.Е. Аналитическая система материальных
запасов на предприятиях промышленности // Финансовый менеджмент, №3, 2009. - С.
9-15.
.
Рзахлищева И.Ш. Методика оценки конкурентоспособности услуги с розничной
торговой сети // Журнал «Маркетинг в России и зарубежом», №3, 2010. - С. 44-66.
.
Смирнов В. Снижение затрат как элемент стратегии предприятия // Экономическая
газета. - №321 от 8 мая. - 2008. - С. 14-15
.
Торговое дело: экономика и организация / Под ред. Брагина Л.А., Данько Т.П. -
М.: Инфра-М, 2003. - 344 с.
.
Щур Д.Л., Труханович Л.В. Основы торговли. Розничная торговля: Настольная книга
руководителя, главного бухгалтера и юриста. - 2-е изд., доп. - М.: Дело и
Сервис, 2006. - 412 с.
ПриложениЯ
|
Показатели
|
Годы
|
Темпы
прироста показателей
|
|
2007
|
2008
|
2009
|
2010
|
2008/
2009
|
%
|
2009/
2010
|
%
|
|
1.
Розничный товарооборот, тыс.руб.
|
4200
|
4600
|
5250
|
6150
|
650
|
114,1
|
900
|
117,1
|
|
2.
Валовая прибыль, тыс. руб.
|
2520
|
2760
|
3150
|
3690
|
390
|
114,1
|
540
|
117,1
|
|
3.
Издержки обращения, тыс. руб.
|
1050
|
1100
|
1180
|
1265
|
80
|
107,2
|
85
|
107,2
|
|
4.
Ср/списочная численность работников, чел.
|
3
|
3
|
3
|
3
|
0
|
0
|
0
|
0
|
|
5.
Фонд оплаты труда, тыс.руб.
|
504
|
552
|
630
|
738
|
78
|
114,1
|
108
|
117,1
|
|
6.Объем
оборота на 1 работника в год, тыс.руб.
|
1400
|
1533
|
1750
|
2050
|
217
|
114,1
|
300
|
117,1
|
|
7.
Уровень затрат на оплату труда в общем объеме товарооборота, %
|
12
|
12
|
12
|
12
|
0
|
100
|
0
|
100
|
|
8.Торговая
площадь,м2
|
30
|
30
|
30
|
30
|
0
|
100
|
0
|
100
|
|
9.Товарооборот
на 1м2 торговой площади, тыс.руб.
|
140
|
153
|
175
|
205
|
22
|
114,3
|
30
|
117,1
|
|
10.Чистая
прибыль, тыс.руб.
|
966
|
1108
|
1340
|
1687
|
232
|
120,9
|
317
|
125,9
|
|
11.Рентабельность,
%
|
23
|
24
|
25,5
|
27,4
|
1,5
|
106,2
|
1.9
|
107,4
|
Оборот торговли ИП Туговой И.А. за
период 2007-2010 годы (по месяцам)
|
Год
|
Единицы
измерения
|
Месяц
|
Итог
за год
|
|
|
Январь
|
Февраль
|
Март
|
Апрель
|
Май
|
Июнь
|
Июль
|
Август
|
Сентябрь
|
Октябрь
|
Ноябрь
|
Декабрь
|
|
|
1
|
2
|
3
|
4
|
5
|
6
|
7
|
8
|
9
|
10
|
11
|
12
|
13
|
14
|
15
|
|
2007
|
тыс.
руб.
|
290
|
340
|
370
|
320
|
380
|
420
|
320
|
420
|
330
|
300
|
280
|
430
|
4200
|
|
2008
|
тыс.руб.
|
320
|
350
|
400
|
360
|
390
|
465
|
365
|
470
|
360
|
330
|
320
|
470
|
4600
|
|
2009
|
тыс.руб.
|
390
|
430
|
455
|
410
|
457
|
470
|
418
|
495
|
420
|
405
|
390
|
510
|
5250
|
|
2010
|
тыс.руб.
|
460
|
496
|
527
|
488
|
540
|
583
|
510
|
600
|
490
|
472
|
460
|
524
|
6150
|
|
Итого
|
тыс.руб.
|
1460
|
1616
|
1752
|
1578
|
1767
|
1938
|
1613
|
1985
|
1600
|
1470
|
1450
|
1934
|
20200
|
|
Средний
уровень
|
тыс.руб.
|
365
|
404
|
438
|
394,5
|
441,8
|
484,5
|
403,2
|
496,3
|
400
|
367,5
|
362,5
|
483,5
|
420,8
|
|
Сезонная
волна
|
%
|
86,7
|
104,1
|
93,8
|
104,9
|
115,1
|
95,8
|
117,9
|
95,1
|
87,3
|
86,1
|
114,9
|
100
|
Оборот торговли ИП Туговой И.А. по
товарным группам за 2008-2009годы
|
Товарные
группы
|
2008г.
|
2009г.
|
Изменения
структуры (+или -)%
|
Индекс
цен
|
Оборот
2009г. в сопоставимых ценах, тыс.руб.
|
Динамика
оборота, %
|
|
Сумма,
тыс.руб
|
Доля,%
к итогу
|
Сумма,
тыс.руб
|
Доля,%
к итогу
|
|
|
|
в
фактичес-ких ценах
|
в
сопоставимых ценах
|
|
Платье
женское Сарафан женский Платье молодежное Туники Юбки Брюки женские Блузы
Костюмы женские Прочие
|
1002,8
869,4 110,4 519,8 515,2 391,0 381,8 303,6 506,0
|
21,8
18,9 2,4 11,3 11,2 8,5 8,3 6,6 11,0
|
1139,2
1249,5 120,7 761,2 593,2 399,0 283,5 325,5 378,0
|
21,7
23,8 2,3 14,5 11,3 7,6 5,4 6,2 7,2
|
-
0,1 + 4,9 - 0,1 + 3,2 + 0,1 - 0,9 - 2,9 - 0,4 - 3,8
|
1,085
1,085 1,085 1,085 1,085 1,085 1,085 1,085 1,085
|
1049,9
1151,6 111,2 701,6 546,7 367,7 261,3 300,0 348,4
|
113,6
143,7 109,3 146,4 115,1 102,0 74,3 107,2 74,7
|
104,7
132,5 100,7 134,9 106,1 94,0 68,4 98,8 68,8
|
|
Всего
|
4600,0
|
100,0
|
5250,0
|
100,0
|
х
|
1,085
|
4838,7
|
114,1
|
105,2
|