Организация торговли

  • Вид работы:
    Ответы на вопросы
  • Предмет:
    Маркетинг
  • Язык:
    Русский
    ,
    Формат файла:
    MS Word
    204,77 Кб
  • Опубликовано:
    2012-05-11
Вы можете узнать стоимость помощи в написании студенческой работы.
Помощь в написании работы, которую точно примут!

Организация торговли

1.       Роль и задачи торговли на современном этапе


Торговля - предпринимательская деятельность торговых организаций и индивидуальных предпринимателей, в основе которой лежат отношения по продаже произведенных, переработанных или приобретенных товаров, а также по выполнению работ, оказанию услуг, связанных с продажей товаров.

Субъектами торговли являются торговые организации и индивидуальные предприниматели, осуществляющие торговлю на территории Республики Беларусь.

Объектами торговли являются товары, а также работы и услуги, связанные с продажей товаров.

Торговля подразделяется на следующие виды:

- оптовая торговля;

-        розничная торговля;

         общественное питание (торгово-производственная деятельность).

Оптовая торговля - вид торговли, осуществляемой в целях последующего использования товаров в предпринимательской деятельности или иных целях, не связанных с личным, семейным, домашним потреблением и иным подобным использованием.

Розничная торговля - вид торговли товарами, предназначенными для личного, семейного, домашнего потребления и иного подобного использования, не связанного с предпринимательской деятельностью.

Важная роль торговли заключается в следующем:

1)      осуществляет связь между производством и потреблением.

2)      удовлетворяет запросы людей и сокращает время на приобретение товаров;

3)      торговля является зеркалом экономики. В ней отражаются все изменения происходящие в экономической сфере;

4)      торговля является неотъемлемым условием производства. Обусловлено тем, что большая часть товаров личного потребления завозится через торговлю;

5)      торговля участвует в решении социальной задачи сближения уровня благосостояния различных групп населения.

Основные задачи торговли:

1)      снабжение населения товарами и сокращение затрат времени покупателями на приобретение товаров, повышение культуры обслуживания;

2)      совершенствование хозяйственных связей торговли с промышленностью;

3)      совершенствование торгово-технологических процессов;

4)      дальнейшее развитие рыночных отношений в торговле;

5)      социальная защита интересов различных слоёв потребителей;

6)      увеличение закупки высококачественных, соответствующих спросу населения товаров;

7)      создание торговых предприятий с разным уровнем цен (магазины для богатых и бедных);

Основные функции торговли:

.        изучение спроса потребителей

.        организация закупки товаров у поставщиков

.        контроль качества товаров

.        формирование торгового ассортимента

.        хранение и подготовка товаров к продаже

.        размещение и выкладка товаров в торговом зале

.        продажа товаров - основная функция розничных предприятий

.        оказание услуг

 

2. Понятие торгового предприятия


Основным организационно-хозяйственным звеном торговли является торговое предприятие.

Торговое предприятие - самостоятельный хозяйствующий субъект с правами юридического лица, не имеющий в своем составе других юридических лиц, осуществляющий торговую деятельность и оказывающий связанные с ней торговые услуги на принципах хозяйственного расчета.

Главной задачей торгового предприятия является хозяйственная деятельность, направленная на удовлетворение потребностей обслуживаемого населения и получение прибыли.




Экономические

Организационные

Правовые

ü выполнение полного цикла торгово-хозяйственной деятельности ü наличие обособленного имущества (основные фонды и оборотные средства) ü самостоятельный баланс ü деятельность осуществляется на основе хозяйственного расчета

ü наличие определенной организационной структуры ü наличие соответствующих органов управления ü организационное единство, закрепленное в учредительных документах (уставе, положении)

ü обладание правами юридического лица ü фирменное наименование


Классификация торговых предприятий

1. По структуре организации: - предприятия, принадлежащие одному владельцу; - товарищества или партнерства, основанные на паях; - корпорации, принадлежащие многим собственникам. 2. По формам организации: - арендные; - акционерные; - кооперативные; - народные; - государственные хозрасчетные.

3. В зависимости от размеров: - малые; - средние; - крупные. 4. По формам собственности: - государственные; - частные; - коллективные.


.        Виды торговых предприятий и их характеристика

Акционерные общества

Для успешного ведения торговой или любой другой деятельности часто бывает необходимо объединить капиталы разных предприятий (владельцев). Таким образом, возникают разнообразные союзы (ассоциации), общества, товарищества.

Возникают они на добровольной основе и действуют на основании устава. В республике существуют акционерные общества, общества с ограниченной ответственностью, общества с долевой ответственностью.

Акционерное общество - это уставное общество с правом юридического лица, создающееся в разрешительном порядке и обладающее основным капиталом, разделенным на число равных акций.

АО создается путем выпуска ценных бумаг, которые реализуются на рынке ценных бумаг ОАО или распространяется среди своих работников ЗАО.

Высшим органом АО является собрание акционеров. Акционеры избирают правление (Совет директоров) для управления предприятием. Если дела акционерного общества идут хорошо, то акционеры получают доход в виде дивидендов. Если предприятие работает неудачно, то акционеры теряют номинальную стоимость своих акций и другой ответственности не несут.

Акции бывают:

1.      Простые (обыкновенные) - обладателям представляется право на получение дивидендов, которые колеблются в зависимости от прибыли.

2.      Привилегированные - дают право на получение помимо гарантированного дивиденда дополнительного дивиденда. Могут быть безголосыми, т.е. без права участвовать в голосовании при управлении делами акционерного общества.

3.      Привилегированные конвертируемые - можно обменять через определенный срок на определенное количество простых акций.

4.      Кумулятивные - привилегированные, обладателям выплачиваются дивиденды, накопленные за ряд лет, которые акционерное общество не могло выплатить по различным причинам (плохое финансовое состояние).

5.      Именные.

6.      Золотая акция - обладатель имеет право решающего голоса.

Акционеры имеют право:

1.      Продать свои акции на рынке ценных бумаг.

2.      Получать дивиденды.

3.      Участвовать в собраниях акционерного общества и быть избранными в правление (каждая акция имеет право 1 голоса при управлении компанией).

4.      Претендовать на часть имущества после расплаты с кредиторами при банкротстве или ликвидации акционерного общества.

В настоящее время в мировой практике все современные промышленные, транспортные и банковские учреждения являются акционерными обществами. Наибольшее развитие акционерного общества наблюдается в сферах, требующих крупного вложения капитала.

Создание акционерного общества способствует демократизации управления экономикой, ускоряет инновационное развитие и значительно повышает конкурентоспособность предприятий, повышается производительность труда.

Преимущества АО:

- выпуск акций позволяет привлечь свободные денежные средства для ускорения экономического развития предприятия и социального развития коллектива работников;

-        появляется реальная возможность развития и модернизации производства, внедрения новой техники, установки нового торгового оборудования в крупных РТП за счет получения дополнительных инвестиций;

         позволяет опробовать новые формы хозяйствования, закрепить и стабилизировать кадры, подобрать более квалифицированный персонал, сплотить трудовой коллектив;

         акционерное общество долговечно, т.к. не зависит от судьбы его участников;

Ассоциации представляют добровольное объединение предприятий розничной, оптовой торговли, общественного питания в целях координации торгово-хозяйственной деятельности, углубления специализации и развития кооперации, организации совместных производств на основе объединения ресурсов для удовлетворения потребностей или оказания услуг.

Экономические взаимоотношения между участниками ассоциации строятся на договорной основе, все участники получают свою долю прибыли от совместной деятельности. Ассоциации могут вести различную деятельность, проводить исследовательские работы, создавать складские комплексы, центры по обработке информации.

Основными функциями ассоциации являются:

·        координация деятельности входящих предприятий;

·        защита и представление интересов в суде, органах гос.управления и т.д.;

·        исследование рынка;

·        анализ и обобщение передового опыта;

·        заключение договоров, экспертиза заключаемых сделок и соглашений;

·        подготовка кадров;

·        социальное развитие предприятий и т.д.

Торговые ассоциации могут создаваться по различным признакам:

·        по региональному (районные, областные и республиканские);

·        товарному (по товарным группам);

·        межотраслевому (оптовая и розничная торговля);

·        в зависимости от типа предприятий (ассоциации универмагов, универсамов);

·        в зависимости от формы собственности (ассоциации арендных, коллективных, частных предприятий);

·        в зависимости от размеров предприятий (ассоциации малых предприятий).

В Республике Беларусь созданы и эффективно действуют «Ассоциация универмагов и торговых домов», «Ассоциация кулинаров».

Концерн - это объединение предприятий, добровольно централизующих некоторые или все функции инвестиционной, финансовой, внешнеторговой деятельности. Предприятия-участники связаны между собой кооперационными, технологическими и другими хозяйственными связями.

Главная характеристика концерна - единство управления и контроля. В отличие от ассоциации в нем более широко централизованы функции управления и в большей степени утрачена экономическая самостоятельность.

Участники концерна лишаются права вступать в другие торговые объединения.

Основными функциями концерна являются:

· финансовый контроль за деятельностью входящих предприятий;

·        разработка стратегий поведения на рынке каждого участника и концерна в целом.

·        координация деятельности участников;

·        проведение единой ассортиментной, закупочной и торговой политики;

·        маневрирование товарными ресурсами;

·        создание фондов и резервов и т.д.

Организации розничной торговли входят в состав концернов производственного типа. Наиболее разветвленную розничную торговую сеть имеют концерны «Беллегпром», «Беллесбумпром», «Белгоспищепром» и др.

Совместное предприятие - предприятие, объединение или какие-либо другие организационные единицы, в которых принимает участие предприятие другой страны. Они могут создаваться на основе объединения имущества (собственности) учредителей, в числе которых есть иностранные юридические лица и граждане.

Создаются совместные предприятия для совместного производства, продажи товаров, проведения научно-исследовательских работ, строительства, сервиса, оказания услуг, обслуживания бытовой сферы.

Преимущества СП:

1.      Способствуют внедрению новых зарубежных технологий.

2.      Способствуют насыщению рынка товарами и услугами.

3.      Позволяют перенять опыт руководства и управления производством.

4.      Способствуют внедрению продукции совместного предприятия на мировой рынок.

Принципы создания совместных предприятий:

1.      Добровольность.

2.      Равноправие участников в совместной деятельности.

3.      Свобода выбора организационной формы объединения.

4.      Самостоятельность участников и объединения в целом.

Малые предприятия - могут создаваться на основе любых форм собственности. Основной критерий по которому предприятие можно отнести к малому является численность работников (15-25); для розничной торговли - численность не должна превышать 15 человек.

Небольшие предприятия являются более гибкими и восприимчивыми к рынку. Много малых предприятий образуется в сфере строительства, услуг, деревообработки, торговли. Малый бизнес способствует развитию конкурентных рыночных отношений, наполняет рынок товарами и услугами; создаются условия для проявления инициативы и предприимчивости граждан.

Развитие малого бизнеса позволяет создать дополнительные рабочие места, активизировать научно-технический прогресс, способствует формированию слоя собственников.

Аренда - имущественный наем, договор, по которому арендодатель предоставляет арендатору имущество во временное пользование и за определенную плату. Таким образом арендные предприятия - это предприятия, которые возникают в результате аренды трудовым коллективом имущества государственного или любого другого предприятия на условиях возмездного владения и пользования им в течение определенного срока.

Арендатор получает временные права собственника, за что и вносит арендную плату. Собственником имущества остается арендодатель. Собственностью арендатора является произведенная (закупленная) продукция, доходы, полученные в результате хозяйственной деятельности предприятия.

Арендное предприятие само определяет организационные формы управления и самоуправления, источники финансирования и самообеспечения, отвечает за обеспечение интересов трудового коллектива, за выполнение принятых на себя договорных обязательств. Арендное предприятие может осуществлять любые виды хозяйственной деятельности, если они не запрещены законодательными актами.

4. Фирменные магазины промышленных предприятий


Главной целью фирменной торговли является расширение рынков сбыта и увеличение объемов реализации продукции предприятия-изготовителя. Достижение данной цели способствует увеличению производства товаров и усилению позиций предприятия на потребительском рынке.

Фирменный магазин - это торговая организация любой организационно-правовой формы, предметом деятельности которой является розничная или мелкооптовая торговля товарами, соответствующими производственному профилю предприятия-изготовителя.

Деятельность фирменных магазинов регулирует Положение о фирменном магазине. Учредителем фирменных магазинов и секций является предприятие, производящее товары народного потребления; непродовольственные фирменные магазины в своем ассортименте должны иметь не мене 75% товаров учредителя; в продовольственных фирменных магазинах должно быть не менее 50% товаров учредителя.

Фирменные магазины являются частью розничной сети города, региона их товарная специализация определяется учредителем и согласовывается с местными исполнительными и распорядительными органами.

Любой фирменный магазин в своем наименовании должен иметь слово «Фирменный», а также в наименовании прописывается принадлежность и специализация. Фирменный магазин должен иметь фирменный знак, фирменную упаковку для продаваемых товаров, фирменную одежду для продавцов. Интерьер магазина оформляется с использованием элементов фирменного стиля предприятия-изготовителя товаров.

Основные задачи фирменных магазинов:

ü  изучение конъюнктуры рынка;

ü  изучение и формирование спроса на товары изготовителя;

ü  обеспечение высокого уровня обслуживания населения;

ü  реализация в широком ассортименте товаров учредителя;

ü  подготовка предложений учредителю по обновлению ассортимента и повышению качества товаров;

ü  внедрение прогрессивных форм и методов организации торговли;

ü  формирование положительного имиджа предприятия-изготовителя.

Для выполнения этих задач фирменные предприятия должны:

ü  обеспечить своевременный завоз товаров и бесперебойную торговлю;

ü  анализировать ход продажи товаров, учитывать предложения и пожелания покупателей, передавать всю информацию учредителю;

ü  обеспечивать предпродажную подготовку товаров, доставку крупногабаритных товаров на дом, обеспечивать при необходимости сборку и установку товаров;

ü  должен организовывать гарантийное и послегарантийное обслуживание;

ü  организовывать рекламные мероприятия;

ü  должны использовать современное торгово-технологическое оборудование.

5.      Предприятия оптовой торговли, их виды, задачи и функции


Оптовая торговля - вид торговли, осуществляемой в целях последующего использования товаров в предпринимательской деятельности или иных целях, не связанных с личным, семейным, домашним потреблением и иным подобным использованием.

Наличие оптовой торговли в условиях рыночных отношений - объективная реальность и необходимость, которая обусловлена следующими факторами:

.        производственные - специализация и размещение производства. Промышленным предприятиям легче и проще продавать свою продукцию крупными партиями оптовым покупателям, что способствует расширению ассортимента и улучшению качества выпускаемой продукции, снижению издержек производства;

.        торговые - преобразует узкий производственный ассортимент в широкий торговый, и обеспечивает поставку товаров розничным торговым предприятиям нужного качества, в нужном объеме и в нужные сроки.

Функции оптовой торговли:

.        организация хозяйственных связей между производителями и потребителями товаров;

.        организация рационального товародвижения, его финансовое обеспечение;

.        преобразование производственного ассортимента в торговый;

.        создание товарных запасов и их хранение;

.        доработка товаров, их фасовка и упаковка;

В последние годы значительно изменились функции оптовых предприятий, возросла роль функций, связанных с оказанием услуг, как производству, так и розничной торговле таких, как:

.        консультации по использованию товаров,

.        гарантийное обслуживание,

.        информационное обслуживание, страховое обслуживание,

.        оказание таможенных услуг,

.        транспортно-экспедиционное обслуживание.

Особая роль на современном этапе отводится информационному обеспечению. Собирая информацию о производителях, емкости рынка, потребностях потребителей, конкурентоспособности товара оптовые предприятия могут стать центрами деловой активности, привлечь к сотрудничеству промышленные и розничные предприятия.

Задачи оптовой торговли:

. создание развитой структуры каналов товародвижения;

. поддержание должной интенсивности товаропотоков;

. формирование резервных источников финансового обеспечения процесса товародвиженя;

. обеспечение экономии издержек обращения; усиление эффективности контроля за соблюдением ассортимента и качества товаров, поступающих от изготовителей;

. бесперебойное и ритмичное снабжение розничной торговой сети нужными товарами;

. развитие и укрепление материально-технической базы.

6.      Предприятия потребительской кооперации

В РБ торговое обслуживание сельского населения в основном осуществляется потребительской кооперацией. В настоящее время подведомственные Белкоопсоюзу организации обслуживают примерно 40% населения республики, в том числе все сельское население.

Потребительская кооперация - система потребительских обществ, их союзов и созданных ими в целях удовлетворения материальных (имущественных) и иных потребностей членов потребительских обществ и населения Республики Беларусь унитарных предприятий и учреждений.

Потребительское общество - добровольное объединение граждан или юридических лиц в форме кооператива с целью удовлетворения материальных (имущественных) и иных потребностей, осуществляемое путем объединения его членами имущественных паевых взносов.

Союз потребительских обществ - добровольное объединение потребительских обществ, их союзов, созданное в целях координации деятельности и защиты общих имущественных интересов.

Задачи потребительской кооперации:

1)      развитие и совершенствование розничной торговли на селе;

2)      расширение и укрепление экономических связей между городом и деревней;

3)      закупка сельскохозяйственной продукции и сырья, изделий и продукции личных подсобных хозяйств, дикорастущих плодов и др.;

4)      производство сельскохозяйственной продукции, пищевых продуктов, непродовольственных товаров, продукции производственно-технического назначения;

5)      оказание платных услуг населению;

6)      организация рынков для торговли товарами;

7)      создание и развитие санаторно-курортных учреждений;

8)      создание и развитие учебных заведений в целях подготовки специалистов для потребительской кооперации;

9)      осуществление внешнеэкономической деятельности.

Основная сфера деятельности потребительской кооперации:

¨      торговое обслуживание населения - через торговую сеть потребительских обществ, райпотребсоюзов, городских и коопторгов;

¨      производственная деятельность (торговля);

¨      заготовительная деятельность.

Построение потребительской кооперации

Республиканский союз потребительских обществ (Белкоопсоюз)

Областные союзы потребительских обществ (ОПС)

Райпотребсоюзы (РПС)

Потребительские общества

Первичным звеном потребительской кооперации являются потребительское общество. Оно представляет собой добровольное объединение жителей сельской местности. Потребительское общество имеет сеть магазинов, предприятий общественного питания, производственных предприятий и т.д. Потребительское общество обладает правами юридического лица, имеет свои основные, оборотные средства. Членами потребительского общества могут быть граждане, достигшие 18 лет. Основу потребительского общества составляет кооперативная собственность.

Управление потребительскими обществами осуществляется общим собранием или собранием уполномоченных лиц. Избирается правление на 5 лет. Правление заключает договоры, хранит имущество, ценности общества. Кроме правления на собраниях избирают контрольно-ревизионную комиссию.

Потребительские общества объединяются в райпотребсоюзы. Райпотребсоюзы организуют хозяйственную деятельность входящих в его состав потребительских обществ, оказывает помощь или организацию коммерческой, заготовительной, производственной и финансовой работы. РПС ведут подготовку кадров, руководят работами по кооперированию населения, осуществляют контроль за работой потребительских обществ, ведет розничную торговлю. РПС ведут деятельность на основании устава, высшим органом является собрание уполномоченных, также избирается правление, контрольно-ревизионная комиссия и другие органы.

Все РПС объединяются в ОПС, где структура аналогична РПС, а высшим органом является съезд потребительской кооперации области.

РПСО, или Белкоопсоюз - высший орган потребительской кооперации республики. Он осуществляет общее руководство деятельностью потребительской кооперации республики. Высший руководящий орган - съезд уполномоченных потребительской кооперацией республики. Созывается один раз в пять лет. Избирается совет правлений и ревизионная комиссия. Белкоопсоюз входит в состав международного кооперативного альянса (объединения).

 

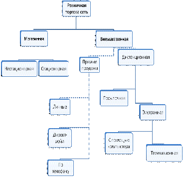
. Понятие розничной торговой сети


Розничная торговая сеть (РТС) - это совокупность торговых предприятий, расположенных в пределах конкретной территории или находящихся под общим управлением.

РТС - основное организационное и техническое звено, через которое доводятся до потребителей товары и удовлетворяются их потребности в разнообразных товарах народного потребления. Качество обслуживания зависит от того, сколько торговых предприятий, насколько правильно они размещены, каков их торговый ассортимент.

РТС в зависимости от форм продажи делятся на:

1.      Магазинную розничную торговую сеть:

¨    Стационарная - магазины и торговые центры, через которые реализуется основная масса потребительских товаров;

¨     Нестационарная - это мелкорозничная торговая сеть, представленная киосками, палатками, павильонами, разносная и развозная торговля.

2.      Внемагазинную розничную торговую сеть:

¨    прямые продажи (личные, по телефону);

¨     дистанционная (посылочная, электронная).

 

Виды розничной торговой сети



8. Типизация розничной торговой сети

Типизация - это система мероприятий, направленных на отбор технически совершенных и экономически эффективных типов магазинов для массового распространения.

Преимущества типизации:

улучшается материально-техническая база торговли,

способствует рациональному размещению торговой сети на территории города или района,

способствует удовлетворению спроса населения

повышается культура обслуживания

удешевляется строительство магазинов, сокращаются сроки строительства за счет применения типовых проектов.

Тип торгового предприятия определяют следующие основные признаки:

·        мощность предприятия, выраженная в размерах торговых и подсобных помещений;

·        формы и методы торгового обслуживания - заключается в выборе наиболее оптимальных форм обслуживания при реализации товаров;

·        район деятельности предприятия - определяется с учетом частоты спроса на товары, затрат времени на покупку, требований покупателей к ассортименту, культуры торговли.

Все типы магазинов сведены в номенклатуру. Согласно ей все магазины делятся на:

.        Основные типы магазинов предназначены в основном для нового строительства в районах жилой застройки и частично при реконструкции городов, поселков городского типа. Для них установлены определенные размеры торговой площади (свыше 400 м2).

.        Дополнительные типы магазинов используются преимущественно в районах старой застройки, при реконструкции и расширении действующей розничной торговой сети. Размер торговой площади составляет 50-400 м2.

Характеристика основных типов магазинов:

)        универмаг - крупное розничное предприятие (более 600 м2) с универсальным ассортиментом промышленных товаров, имеющие специализированные секции, оказывающие дополнительные услуги населению;

)        супермаркет - розничное торговое предприятие (более 250 м2) с универсальным ассортиментом продовольственных товаров и ограниченным ассортиментом промышленных товаров преимущественно повседневного спроса;

)        минимаркет - небольшое розничное предприятие (30-150 м2) с ассортиментом продовольственных и непродовольственных товаров повседневного спроса;

)        продтовары - розничное предприятие по реализации продуктов питания (70-200 м2);

)        промтовары - розничные торговые предприятия (100-400 м2) по продаже промышленных товаров преимущественного массового спроса;

)        специализированные магазины по продаже отдельных групп продовольственных товаров - небольшие розничные предприятия (30-100 м2), реализующие отдельные группы продтоваров;

)        специализированные магазины по продаже отдельных групп непродовольственных товаров - розничные предприятия, реализующие отдельные группы промтоваров. Можно поделить на 2 группы: площадью 150-400 м2 (мебель, стройматериалы и т.д.) и площадью до 150 м2 (книги, обувь и т.д.);

)        дом торговли - комплексное предприятие (более 1000 м2), состоящее из нескольких обособленных магазинов, с единой дирекцией, размещенных в одном здании;

)        фирменный магазин - небольшое розничное торговое предприятие (до 150 м2), находящееся в подчинении того предприятия, товарами которого торгует;

)        удобный (дискаунтный) магазин - небольшое розничное торговое предприятие (до 100 м2) с ассортиментом продовольственных и непродовольственных товаров повседневного спроса. Отличительная черта - это создание в нем дополнительных удобств для покупателей (круглосуточный режим работы, более низкие цены, месторасположение на автозаправочных станциях, автомагистралях, зонах отдыха и т.д.)

9.      
Специализация розничной торговой сети

Специализация - это форма разделения труда между торговыми объектами по розничной продаже отдельных групп товаров для наиболее полного удовлетворения спроса населения.

Специализация способствует значительному расширению ассортимента той или иной группы товаров, улучшению работы с поставщиками, обеспечению высокого уровня культуры обслуживания, расширению дополнительных услуг, а также снижения затрат времени покупателей на поиск нужных товаров.

Специализация розничной торговой сети может осуществляться по 2 признакам:

1)      товарно-отраслевому;

2)      по комплексности спроса.

При специализации по товарно-отраслевому признаку деятельность магазинов ограничивается продажей товаров определенных групп и отраслей. Специализация магазинов осуществляется по следующим товарным группам:

1)         предметы одежды, обуви, туалетные принадлежности (ткани, обувь, трикотаж, галантерея, парфюмерия и т.д.);

2)         предметы культурно-бытового назначения (школьные, канцелярские, музыкальные, фото-, радио- и спорттовары);

3)         предметы домашнего и хозяйственного обихода (мебель, электротовары, хозяйственные товары и т.д.);

4)         предметы производственно-хозяйственного назначения (строительные материалы, бытовая химия, сельскохозяйственный инвентарь и т.д.);

5)         прочие (цветы, автомобили, топливо и т.д.).

По степени специализации магазины подразделяются на:

1)         узкоспециализированные - реализуют отдельные товары той или иной товарной группы («Колбасы», «Женская обувь» и т.д.);

2)         специализированные - осуществляют продажу товаров одной товарной группы («Промтовары», «Продукты», «Книги», «Мебель»);

3)         комбинированные - имеют в ассортименте товары нескольких товарных групп, объединенных комплексностью спроса (овощи-фрукты, галантерея-парфюмерия);

4)         универсальные - торгуют несколькими товарными группами (универмаг, универсам).

При специализации по комплексности спроса ассортимент реализуемых товаров формируется по потребительским комплексам («Товары для детей», «Товары для дома», «Сделай сам»). Преимущество этой формы специализации заключается в том, что покупатели легче ориентируются в торговой сети города, меньше затрачивают времени на поиск нужных товаров, более полно удовлетворяется спрос.

Перспективные направления специализации РТС:

- развитие сетей небольших продовольственных магазинов возле дома;

расширение сети плодоовощных магазинов;

строительство крупных супер- и гипермаркетов;

- расширение сетей небольших узкоспециализированных магазинов с глубоким ассортиментом товаров (в центре города).

 

. Принципы и виды размещения розничных торговых предприятий


При размещении магазинов необходимо учитывать следующие факторы:

.        градостроительные - величина города, плотность населения, размещение административных и культурных зданий;

.        транспортные - основные направления и интенсивность транспортных потоков, рост численности индивидуального транспорта, наличие остановок общественного транспорта;

.        социальные - демография населения, снижение затрат времени на приобретение товаров, создание условий для высокой культуры обслуживания;

.        экономические -эффективность использования торговых и складских помещений, повышение доходности магазинов, материальные стимулы для персонала.

Существует 3 принципа размещения РТС:

1)         равномерное размещение - характерно для продовольственных магазинов (универсам, продтовары, мини-маркеты). Покупатель должен тратить на дорогу в магазин 5-10 мин);

2)         групповое размещение - предполагает, что магазины разного профиля должны располагаться недалеко друг от друга;

3)         функциональное размещение - согласно ему выделяются магазины общегородского значения (универмаг, торговый дом) и магазины местного значения.

Месторасположение оказывает большое влияние на деятельность торгового предприятия. От этого зависят размер, тип магазина, специализация, особенности организации торгово-технологического процесса.

В настоящее время, когда торговля развивается быстрыми темпами, торговая сеть становится все более насыщенной и территориально концентрированной.

В зависимости от уровня территориальной концентрации возможны следующие варианты расположения торговых точек:

1)         изолированные торговые точки (пространственно удалены от других точек розничной торговли);

2)         сгруппированные точки розничной торговли (находятся рядом одна с другой или в тесном соседстве). Совместная группировка большого числа магазинов способствует тому, что каждый из них привлекает больше покупателей.

К сгруппированным торговым форматам разного профиля относятся торговые центры, торговые комплексы, молы, торговые галереи и т.п.

Сегодня теория приближения мелких магазинов к месту жительства себя не оправдывает.

Похожие работы на - Организация торговли

 

Не нашли материал для своей работы?
Поможем написать уникальную работу
Без плагиата!
Без нейросетей!