Расчет и выбор посадок для стандартных соединений

  • Вид работы:
    Курсовая работа (т)
  • Предмет:
    Другое
  • Язык:
    Русский
    ,
    Формат файла:
    MS Word
    250,17 Кб
  • Опубликовано:
    2012-04-08
Вы можете узнать стоимость помощи в написании студенческой работы.
Помощь в написании работы, которую точно примут!

Расчет и выбор посадок для стандартных соединений

 

 

 

 

 

 

 

 

 

 

 

 

 

КУРСОВАЯ РАБОТА

Расчет и выбор посадок для стандартных соединений

Обозначения и сокращения

В данной курсовой работе используются условные обозначения, которые приведены в таблице 1.

Таблица 1 - Условные обозначения

Обозначения

Наименование

D d Dmax Dmin dmax dmin ES EI es ei TD Td Ec ec Nmax Nmin Smax Smin T

Номинальный размер отверстия Номинальный размер вала Наибольший предельный размер отверстия Наименьший предельный размер отверстия Наибольший предельный размер вала Наименьший предельный размер вала Верхнее отклонение отверстия Нижнее отклонение отверстия Верхнее отклонение вала Нижнее отклонение вала Допуск для отверстия Допуск для вала Координата середины поля допуска отверстия Координата середины поля допуска вала Наибольший (максимальный) натяг Наименьший (минимальный) натяг Наибольший зазор Наименьший зазор Обозначение допуска

TS TN Aj(ув) Aj(ум)    

Допуск зазора посадки с зазором Допуск натяга посадки с натягом Номинальный размер увеличивающего звена Номинальный размер уменьшающего звена Допуск зам ыкающего звена Номинальный размер замыкающего звена Предел текучести охватываемой детали Предел текучести охватывающей детали


Введение

подшипник качение посадка соединение

Взаимозаменяемость оказывает огромное влияние на экономику страны. Она является одной из важнейших предпосылок организации серийного и массового производства, способствует повышению эффективности труда и качества выпускаемой продукции. Достижение желаемого результата связано с выбором необходимой точности изготовления изделий, расчетом размерных цепей, выбором шероховатости поверхностей, а также выбором отклонения от геометрической формы и расположения поверхностей. Взаимозаменяемость позволяет не только улучшить качество изделий, но и сократить сроки их ремонта в процессе эксплуатации, не осуществляя дополнительных измерений.

Взаимозаменяемость обеспечивает высокое качество изделий и снижает их стоимость, способствуя при этом развитию прогрессивной технологии и измерительной техники. Без взаимозаменяемости невозможно современное производство. Взаимозаменяемость базируется на стандартизации - нахождении решений для повторяющихся задач в сфере науки, техники и экономики, направленной на достижение оптимальной степени упорядочения в определенной области.

1. Расчет посадок гладких цилиндрических соединений

.1      Аналитический расчет и выбор посадки с натягом

Исходные данные:

l=50 мм

Мкр=50 Н∙м

d=70 мм

d1=55

Материал деталей:

f=0,15

d2=140 мм

E1=E2=2·1011 Н/м2

μ1 = μ2 = 0,3

для вала используется сталь 45:=36·107H/м2; - для зубчатого колеса используется сталь 45:=36·107 H/м2.

Высота неровности поверхности:

вала =1,25 мкм

отверстия  =2,5 мкм

Определяем минимальное удельное давление на контактных поверхностях соединения:


где  - минимальное удельное давление поверхности, Н/м2;

Мкр - крутящий момент, Н·м;

d - номинальный диаметр соединения, м;

 - длина контакта сопрягаемых поверхностей, м;

f - коэффициент трения

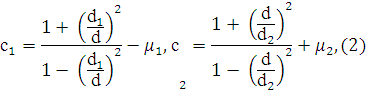
Определяем значение наименьшего расчётного натяга, предварительно определив коэффициенты Ляме с1 и с2:


где с1 и с2 - коэффициенты Ляме;

d1 - диаметр отверстия в вале (охватываемой детали);

d2 - наружный диаметр втулки (охватывающей детали);

µ1 и µ2 - коэффициенты Пуассона


где Е1 и Е2 - модули упругости, Н/м2;

с1 и с2 - коэффициенты Ляме

Определяем минимальный допустимый натяг с учётом поправок:


где - минимальный допустимый натяг, мкм;

γш - поправка, учитывающая смятие неровностей контактных поверхностей деталей при образовании соединения

γt - поправка, учитывающая различие рабочей температуры деталей и температуры сборки, различие коэффициентов линейного расширения материалов соединяемых деталей;

γц - поправка, учитывающая ослабление натяга под действием центробежных сил;

γп - добавка, компенсирующая уменьшение натяга при повторных запрессовках.

;

Определяем наибольшее допустимое удельное давление на поверхности вала и втулки, соответствующие отсутствию пластической деформации на контактных поверхностях:

для вала


для втулки


В качестве [берется наименьшее из двух значений.

Определяем наибольший расчётный натяг:


Определяем максимальный допустимый натяг с учётом поправок:


где γуд - коэффициент увеличения удельного давления у торцов

охватывающей детали

Выбираем стандартную посадку, соблюдая условия:


Определяем необходимое максимальное усилие запрессовки, предварительно определив удельное давление  при максимальном натяге и коэффициент трения при запрессовке fп:

.2      
Выбор и расчет посадки с зазором

Исходные данные:

Данная посадка имеет номинальный размер 50 мм, поле допуска отверстия D9 и поле допуска вала m6.

Определяем предельные отклонения по таблице 1.29, стр. 79 [1]:

ES=+0,142 мм

EI= +0,080 мм

es=+0,025 мм

ei = +0,009 мм

Определяем предельные размеры:

Dmax=D + ES= 50+0,142=50,142 (мм)

Dmin=D + EI= 50+0,080=50,080 (мм)max=d + es=50+0,025=50,025 (мм)min=d + ei=50+0,009=50,009 (мм)

Определяем допуски для отверстия и для вала:

TD=Dmax - Dmin = 50,142 - 50,080 =0,062 (мм)

Td=dmax - dmin = 50,025 - 50,009 =0,016 (мм)

Определяем предельные зазоры:

Smax=Dmax - dmin =50,142 - 50,009 =0,133 (мм)

Smin=Dmin - dmax =50,080 -50,025 =0,055 (мм)

Определяем средний зазор:


Определяем допуск посадки:

TS=Smax - Smin=0,133 - 0,055 =0,078 (мм).

1.3    Выбор и расчет переходной посадки

Исходные данные:

Посадка 55H7/m6 имеет номинальный размер 55 мм, поле допуска отверстия H7 и поле допуска вала m6. Данная посадка представлена в системе отверстия.

Определяем предельные отклонения по таблице 1.29, стр. 79 [1]:

ES=+0,030 мм

EI= 0 мм

es =0,030 мм

ei=+0,011 мм

Определяем предельные размеры:

Dmax=D + ES= 55+0,030 =55,030 (мм)min=D + EI= 55+0=55 (мм)max=d + es=55+0,030=55,030 (мм)min=d + ei=55+0,011=55,011 (мм)

Определяем допуски для отверстия и для вала:

TD=Dmax - Dmin = 55,030 - 55=0,030 (мм)

Td=dmax - dmin = 55,030 - 55,011 =0,019 (мм)

Определяем наибольшие натяг и зазор:

Nmax=es - EI =0,03 - 0=0,03 (мм)max= ES - ei =0,03 - 0,011=0,019 (мм)

Определяем средний натяг:


Определяем допуск посадки:

 Smax + Nmax =0,019 + =0,049 (мм)

 

1.4    Выбор и расчет посадки с натягом

Исходные данные:

Посадка 70H7/u7 имеет номинальный размер 70 мм, с полем допуска отверстия H7, и полем допуска вала u7. Данная посадка представлена в системе отверстия и является посадкой с натягом.

Определяем предельные отклонения по таблице 1.29, стр. 79 [1]:

ES +0,03 мм

EI=0 мм

es=+0,132 мм

ei =+ 0,102 мм

Определяем предельные размеры:

Dmax=D + ES= 70+0,03=70,03 (мм)min=D + EI= 70+0=70 (мм)max=d + es=70+0,132=70,132 (мм)min=d + ei=70+0,102=70,102 (мм)

Определяем допуски для отверстия и вала:

TD=Dmax - Dmin = 70,03 - 70=0,03 (мм)

Td=dmax - dmin = 70,132 - 70,102 =0,03 (мм)

Определяем предельные натяги:

Nmax=dmax - Dmin =70,132 -70 =0,132 (мм)

Nmin=dmin - Dmax =70,102 - 70,03 =0,072 (мм)

Определяем средний натяг:


Определяем допуск посадки:

=Nmax - Nmin=0,132 - 0,072=0,06 (мм)

2. Выбор и расчет посадки для резьбового соединения

.1 Исходные данные: М42-7G/8g

Производим расшифровку условного обозначения:

М - резьба метрическая;

- наружный диаметр резьбы D=d=42 мм;

Шаг крупный - определяется по таблице;

Резьба правая;

G - поле допуска на средний диаметр гайки (D2);

G - поле допуска на внутренний диаметр гайки (D1);

g - поле допуска на средний диаметр болта (d2);

g - поле допуска на наружный диаметр болта (d);

Длина свинчивания относится к нормальной N группе длин свинчивания.

Определяем шаг резьбы по таблице 4.10, стр. 674 [2]:

Р=4,5 мм

Определяем внутренний и средний диаметры резьбового соединения по формулам из таблицы 4.12, стр. 677, учитывая, что шаг резьбы Р=4,5:

- внутренний диаметр

D1=d1=d-5+0,129=42-5+0,129=37,129 (мм)

средний диаметр

D2=d2=d-3+0,077=42-3+0,077=39,077 (мм)

Определяем по таблице 4.17, стр. 686 [2] предельные отклонения для диаметров:

- болта

d2 (8g): es2=-0,063 мм

ei2=-0,438 мм

d1 (8g): es1=-0,063 мм

ei1-не нормируется

d (8g): es=-0,063 мм

ei=-0,863 мм

гайки

D2 (7G): ES2=0,463 мм

EI2=+0,063 мм

D1 (7G): ES1=0,913 мм

EI1=+0,063 мм

D (7G): ES-не нормируется

EI=+0,063 мм

Определяем предельные размеры диаметров:

- болта

d2max=d2+es2=39,077 +(-0,063)=39,014 (мм)

d2min=d2 +ei2=39,077 +(-0,438)=38,639 (мм)

d1max=d1+es1=37,129 +(-0,063)=37,066 (мм)

d1min - не нормируется

dmax=d+es=42+(-0,063)=41,937 (мм)

dmin=d+ei=42+(-0,863)=41,137 (мм)

 гайки

D2max=D2+ES2=39,077 +0,463=39,540 (мм)

D2min=D2+EI2=39,077 +0,063=39,140 (мм)

D1max=D1+ES1=37,129 +0,913=38,042 (мм)

D1min=D1+EI1=37,129 +0,063=37,192 (мм)

Dmax - не нормируется

Dmin=D+EI=42+0,063=42,063 (мм)

3. Выбор и расчет посадки для шпоночного соединения

.1 Определяем номинальные размеры шпонки для исполнения А, по таблице 4.52, стр. 773 [2]. Если диаметр вала равен d = 55 мм, то ширина шпонки b =16 мм и высота h =10 мм. Длину шпонки выбираем из ряда, указанного в примечании таблицы 4.52, стр. 773 [2], в интервале длин от 45 до 180 мм: мм.

Условное обозначение шпонки: Шпонка 16×10×50 СТ СЭВ 189-75.

3.2 Предельные размеры фаски

 мм  мм

3.3    Определяем по таблице, 4.52, стр. 773 [2] глубину шпоночного паза на валу t1 и во втулке t2

t1 =6 мм; t2 =4,3 мм

3.4 Определяем размеры с учетом диаметра вала:

d - t1 = 55 - 6 = 49 (мм)

d + t2 = 55 + 4,3 = 59,3 (мм)

3.5 Радиусы закругления пазов:

r max = 0,4 ммmin = 0,25 мм

3.6 Принимаем нормальное соединение, а по таблице 4.53, стр. 775 [2]ь выбираем поля допусков в зависимости от назначения посадки:

Поле допуска на ширину шпонки - h9;

Поле допуска на ширину шпоночного паза на валу - N9;

Поле допуска на ширину шпоночного паза во втулке - Js9;

Поле допуска на высоту шпонки - h11;

Поле допуска на длину шпонки - h14.

3.7 Определяем предельные отклонения на размеры t1 и t2 по таблице 4.54, стр. 776 [2]:

d - t1 = 49-0,2

d + t2 = 59,3+0,2

 

 

4       
Выбор и расчет посадки для шлицевого соединения

Исходные данные: 8×36×40

Принимаем, что шлицевое соединение является прямобочным. Определяем размеры прямобочного шлицевого соединения по таблице 4.58, стр. 781 [2]:

число зубьев: z=8

внутренний диаметр: d=36 мм

наружный диаметр: D=40 мм

ширина шлица: b=7 мм

фаска: f=0,4+0,2 мм

радиус закругления: r=0,3 мм

Определяем подвижность соединения и способ центрирования вала и втулки:

Данное шлицевое соединение относится к легкой серии. Выбираем способ центрирования по внутреннему диаметру (d). Данный вид центрирования применяется в случаях повышенных требований к совпадению геометрических осей, если твёрдость втулки не позволяет обрабатывать деталь протяжкой или когда может возникнуть коробление валов после термообработки. Соединение является подвижным.

Определяем посадку на центрирующий диаметр d по таблице 4.60, стр. 785 [2]:

d - 36H7/g6.

Определяем посадку на нецентрирующий диаметр D по таблице 4.62, стр. 786 [2]:

D - 40 H12/a11.

Определяем посадку на ширину шлица по таблице 4.60, стр. 785 [2]:

b - 7D9/h9.

Записываем обозначение шлицевого соединения с учётом найденных посадок:


Определяем предельные отклонения и предельные зазоры для внутреннего диаметра:

H7 ES=+0,025 мм

EI=0 мм

g6 es=-0,009 мм

ei=-0,025 мм


Определяем предельные отклонения и предельные зазоры для наружного диаметра:

40H12 ES=+0,25 мм

EI=0 мм

a11 es=-300 мкм=-0,3 мм

ei=-430 мкм=-0,43 мм

Определяем предельные отклонения и предельные зазоры для шлица (зуба):

D9 ES=+0,076 мм

EI=+0,040 мм

h9 es=0 мм

ei=-0,036 мм



5. Расчет и выбор посадок для соединения с подшипником качения

Исходные данные:

D=90 мм

d=50 мм

В=20 мм

R=8000 H=8 кН

r =2 мм

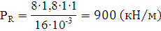
Определяем интенсивность нагрузки по формуле:


где

R - радиальная реакция опоры на подшипник, кН;

b - рабочая ширина посадочного места, м;

Kп - динамический коэффициент посадки, зависящий от характера нагрузки;

F - коэффициент, учитывающий степень ослабления посадочного натяга при полом или тонкостенном корпусе;

FA - коэффициент неравномерности распределения радиальной нагрузки R между рядами роликов в двухрядных конических роликоподшипниках или между сдвоенными шарикоподшипниками при наличии осевой нагрузки на опору.

b = B - 2r

Для радиальных и радиально-упорных подшипников с одним наружным или внутренним кольцом FA=1, при сплошном вале F=1. Принимаем Kп=1,8, т.к. возможны сильные удары и вибрации, перегрузка достигает 300%.


По таблице 4.82, стр. 818 [2] для заданных условий определяем поле допуска на вал, который сопрягается с внутренним кольцом подшипника - m6.

Внутреннее кольцо воспринимает радиальную нагрузку последовательно всей окружностью дорожки качения и передает ее последовательно всей посадочной поверхности вала. Следовательно, внутреннее кольцо испытывает циркуляционный вид нагружения.

Выбираем поле допуска для отверстия в корпусе, поверхность которого сопрягается с наружным кольцом подшипника:

Корпус неподвижен, поэтому наружное кольцо воспринимает радиальную нагрузку, постоянную по направлению, лишь ограниченным участком окружности дорожки качения и передает ее соответствующему ограниченному участку посадочной поверхности корпуса. Следовательно, наружное кольцо имеет местное нагружение. По таблице 4.84, стр. 821 принимаем поле допуска для установки подшипника качения в корпус (под наружное кольцо) - Н7.

Определяем предельные отклонения на наружный и внутренний диаметры:

90H7 ES=+0,035 мм

EI=0 мм

50m6 es=+0,025 мм

ei=+0,009 мм.

Для подшипника принимаем 0 класс точности из ряда 0,6,5,4,2.

Поле допуска на посадочный диаметр внутреннего кольца L0;

Поле допуска на наружный диаметр подшипника l0.

Определяем предельное отклонение на наружный и внутренний диаметры подшипника:

 es=0 мм

ei=-0,015 мм

 ES=0 мм

EI=-0,012 мм.

Проверим правильность назначения поля допуска m6 на вал:

определяем средний натяг для выбранной посадки


определяем наименьший расчетный натяг


где  - наименьший расчетный натяг, мм;

R - наибольшая радиальная нагрузка на подшипник, кН;

k - коэффициент, принимаемый приближенно для подшипников

легкой серии - 2,8, м;

 - рабочая ширина кольца подшипники (за вычетом фасок), м.

проверяем выполнимость условия

23 мкм  18 мкм

Условие выполнено, следовательно, поле допуска m6 для вала выбрано верно.

6. Расчет размерной цепи методом максимума-минимума

Исходные данные:

А1 = 22 мм

А2 = 7 мм

А3 = 55 мм

А=0,4…0,9 мм

Выполняем схему размерной цепи и определяем увеличивающие и уменьшающие звенья:

Рисунок 1 - Схема размерной цепи

Размеры А1, А2, А3 являются увеличивающими, т.к. при их увеличении исходное звено Аувеличивается; размер А4 - уменьшающим, т.к. при его увеличении исходное звено Ауменьшается.

Определяем предельные отклонения исходного звена. Принимаем номинальный размер А=0 мм:

ES А = Аmax - А=0,9 (мм);

EI А= Аmin - А=0,4 (мм).

Определяем допуск исходного звена:

ТАmax - Аmin=0,9 - 0,4=0,5 (мм)=500 (мкм).

Таким образом, исходное звено можно представить в виде:

А=

Определяем координату середины поля допуска исходного звена:


Определяем номинальное размер звена А4:

 (8)

где m - число увеличивающих звеньев;

n - число уменьшающих звеньев.

А= (А123) - А4;

А4=(А123) - А=(22+7+55) - 0=84 (мкм).

Находим число единиц допуска, содержащихся в допуске исходного звена:

 (9)

где  - число единиц допуска;

 - известный допуск j-го составляющего звена;

 - единица неизвестного допуска j-го составляющего звена.


Принимаем 10 квалитет, т.к. арасч = 81,13 находится между 64 и 100, что соответствует 10 и11 квалитетам.

Назначаем поля допусков на составляющие звенья:

А2 = 7Js 10 (±0,029) ТА2=58 мкм EсА2 = 0 мкм

А3 = 55 В10 () ТА3=120 мкм EсА3 = 250 мкм

Принимаем размет А4 за А¢4.

Определяем допуск составляющего звена А¢4:

ТА= ТА1+ТА2+ТА3+ ТА¢4

Т А¢4 = ТА-ТА1-ТА2-ТА3 = 500-120-58-120 = 202 (мкм)

Определяем координату середины поля допуска размера А¢4:

ЕсА= (ЕсА1 + ЕсА2 + ЕсА3) - Ес А¢4

Ес А¢4 = (ЕсА1+ЕсА2 +ЕсА3) - ЕсА= -60+0+250-650=-460 (мкм)

Определяем верхнее и нижнее предельные отклонения размера А¢4:

ЕSА¢4 = ЕсА¢4 + ТА¢4/2 = -460+202/2= - 359 (мкм)

ЕIА¢4 = ЕсА¢4 - ТА¢4/2 = - 460 - 202/2=-561 (мкм)

Выбираем ближайшее стандартное поле допуска на размер А4 по таблице 1.9, стр. 48:

А4 = 84а10 ()

ТА4 = 140 мкм

ЕсА4 = -450 мкм

Выполняем проверочный расчет размерной цепи методом максимум - минимум (обратная задача)

Определяем номинальный размер замыкающего звена:

А= (А123) - А4=(22+7+55) - 84= 0 (мм)

Определяем допуск замыкающего звена:

ТА= ТА1+ТА2+ТА3+ТА4=120+58+120+140=438 (мкм).

Определяем координату середины поля допуска замыкающего звена:

ЕсА= (ЕсА1 + ЕсА2 + ЕсА3) - Ес А4=-60-0+250+450=640 (мкм)

Определяем верхнее и нижнее предельные отклонения замыкающего звена:

ЕSА= ЕсА+ ТА/2 = 640+438/2=859 (мкм)

ЕIА= ЕсА- ТА/2 = 640-438/2=421 (мкм)

Определяем наибольший и наименьший предельные размеры замыкающего звена:

Аmax = А+ ESА = 0+0,859=0,859 (мм)

Аmin = А+ EIА = 0+0,421=0,421 (мм)

Проверяем выполнение условий:

 

,859 мм <0,9 мм 0,421 мм >0,4 мм

Условие выполнено, поэтому поля допусков на составляющие звенья назначены правильно.

7. Расчет размерной цепи вероятностным методом

Исходные данные:

А1 = 22 мм

А2 = 7 мм

А3 = 55 мм

А=0,4…0,9 мм

Выполняем схему размерной цепи и определяем увеличивающие и уменьшающие звенья:

Рисунок 2 - Схема размерной цепи

Размеры А1, А2, А3 являются увеличивающими, т.к. при их увеличении исходное звено Аувеличивается; размер А4 - уменьшающим, т.к. при его увеличении исходное звено Ауменьшается.

Определяем предельные отклонения исходного звена. Принимаем номинальный размер А=0 мм:

ES А = Аmax - А=0,9 (мм);

EI А= Аmin - А=0,4 (мм).

Определяем допуск исходного звена:

ТАmax - Аmin=0,9 - 0,4=0,5 (мм)=500 (мкм).

Таким образом исходное звено можно представить в виде:

А=

Определяем координату середины поля допуска исходного звена:


Определяем номинальное размер звена А4:

А= (А123) - А4;

А4=(А123) - А=(22+7+55) - 0=84 (мкм).

Находим число единиц допуска, содержащихся в допуске исходного звена:

 (10)

где t - коэффициент, принимаемый в зависимости от допускаемого процента риска, t=3;

- коэффициент относительного рассеяния каждого из составляющих размеров, λj =1/3;

 - единица допуска j-го составляющего звена.


Принимаем 11 квалитет, т.к. арасч = 153 находится между 100 и 160, что соответствует 11 и 12 квалитетам.

Назначаем поля допусков на составляющие звенья:

А1= 22 -0,12 ТА1=120 мкм EсА1 = -60 мкм

А2 = 7h 11 (-0,09) ТА2=90 мкм EсА2 = -45 мкм

А3 = 55 С11 () ТА3=190 мкм EсА3 = 235 мкм

Принимаем размет А4 за А¢4.

Определяем допуск составляющего звена А¢4:

=437 (мкм)

Определяем координату середины поля допуска размера А¢4:

ЕсА= (ЕсА1 + ЕсА2 + ЕсА3) - Ес А¢4

Ес А¢4 = (ЕсА1+ЕсА2 +ЕсА3) - ЕсА= -60+(-45)+235-650=-520 (мкм)

Определяем верхнее и нижнее предельные отклонения размера А¢4:

ЕSА¢4 = ЕсА¢4 + ТА¢4/2 = -520+437/2= - 302 (мкм)

ЕIА¢4 = ЕсА¢4 - ТА¢4/2 = - 520 - 437/2=-739 (мкм)

Выбираем ближайшее стандартное поле допуска на размер А4 по табл. 1.9, 1.8 (стр. 44 - 48):

А4 = 84а11 ()

ТА4 = 220 мкм

ЕсА4 = -450 мкм

Выполняем проверочный расчет размерной цепи вероятностным методом (обратная задача)

Определяем номинальный размер замыкающего звена:

А= (А123) - А4=(22+7+55) - 84= 0 (мм)

Определяем допуск замыкающего звена:

 =327 (мкм)

Определяем координату середины поля допуска замыкающего звена:

ЕсА= (ЕсА1 + ЕсА2 + ЕсА3) - Ес А4=-60+(-45)+235 - (-450)=580 (мкм)

Определяем верхнее и нижнее предельные отклонения замыкающего звена:

ЕSА= ЕсА+ ТА/2 = 580+327/2=744 (мкм)

ЕIА= ЕсА- ТА/2 = 580-327/2=417 (мкм)

Определяем наибольший и наименьший предельные размеры замыкающего звена:

Аmax = А+ ESА = 0+0,744=0,744 (мм)

Аmin = А+ EIА = 0+0,417=0,417 (мм)

Проверяем выполнение условий:

 

0,744 мм <0,9 мм 0,417 мм >0,4 мм

Условие выполнено, поэтому поля допусков на составляющие звенья назначены правильно.

8. Определение комплекса контрольных параметров для зубчатого колеса по требованиям к точности изготовления

Исходные данные:

посадочный диаметр отверстия зубчатого колеса: d=70 мм

Принимаем диаметр делительной окружности:

d =mz, (11)

где m - модуль зубчатого колеса;

z - число зубьев

d=140 мм                                            

Принимаем модуль m зубчатого колеса по таблице 5.3, стр. 836 [2]:

m=2

z=d/m=140/2=70 зубьев

Определяем высоту ножки зуба:

hf =1,25 m = 1,25·2=2,5 (мм)

Определим высоту головки зуба:

ha=m=2 мм

Определяем окружность вершин:                

da=d+2ha=140+2·2=144 (мм)

Определяем окружность впадин:

d1f =d - 2hf =140 - 2·2,5=135 (мм)

Пользуясь рекомендациями степеней точности и методов обработки для зубчатых колёс при m >1 мм таблицы 5.12, стр. 856 [2], выбираем степень по нормам кинематической точности - 8 (средняя точности) - зубчатые колёса общего машиностроения, не требующие особой точности.

Так как m > 1, то нормы плавности работы зубчатого колеса могут быть не более чем на две степени точнее или на одну степень грубее норм кинематической точности, поэтому выбираем 7-ую степень.

Нормы контакта зубьев могут назначаться по любым степеням, более точным, чем нормы плавности работы зубчатых колёс, поэтому выбираем 7-ую степень.

Вид сопряжения - В-нормальный боковой зазор. Вид допуска бокового зазора - b.

Устанавливаем класс отклонений межосевого расстояния - V.
Записываем обозначение зубчатого колеса:

8-7-7-В

Определяем показатели кинематической точности зубчатого колеса, по таблице 5.4, стр. 842 [2]. Принимаем комплекс III, согласно которому для зубчатого колеса выбираем следующие показатели:

Fvwr-колебания длины общей нормали;

Frr-радиальное биение зубчатого венца.

Допуски на вышеуказанные показатели точности по таблице 5, стр. 431-432 [3]:

Fvw=50 мкм        

Fr =63 мкм                                          

Выбираем показатели, характеризующие плавность работы зубчатого конического колеса по таблице 7, стр. 435 [3]. Принимаем VII комплекс, которому соответствуют такие показатели:

fPbr - отклонение шага зацепления

fPtr-отклонение шага

Допуски указанных показателей определяем по таблице 10, стр. 439-440 [3]:

FPb=± 15 мкм                        

FPt=±16 мкм                                            

Показатели, характеризующие полноту контакта зубьев, выбираем по таблицам 12 и 13, стр. 444-445 [3]. Определяем относительные размеры суммарного пятна контакта по высоте зубьев не менее 45%, по длине зубьев не менее 60%.

Определяем величину гарантированного зазора по таблице 17, стр. 451 [3]:

jn min= 160 мкм

Определяем предельные отклонения межосевого расстояния:

fa=±80 мкм

Определяем наименьшее дополнительное смещение исходного контура по таблице 19, стр. 454 [3]:

EHS= -180 мкм                                 

Допуск на смещение исходного контура:

ТН=200 мкм

Наименьшее отклонение длины общей нормали, а также средней длины общей нормали, определяем по таблице 23, стр. 457 [3] и по таблице 27, стр. 461 [3]:

ЕW - наименьшее отклонение длины общей нормали

ЕWm-наименьшее отклонение средней длины общей нормали.

EW= -120 мкм

EWm=EWmI + EWmII = - (120+18) = -138 (мкм)

Определяем допуск на длину общей нормали по таблице 25, стр. 459 [3]:

ТW=140 мкм

Допуск на среднюю длину общей нормали по таблице 29, стр. 462 [3]:

ТWm=100 мкм

Наименьшее отклонение толщины зуба по таблице 29, стр. 463 [3]:

ЕcS=-140 мкм                                            

Допуск на толщину зуба таблица 30, стр. 464 [3]:

Тс=140 мкм

Определяем длину общей нормали по формуле:

W=W1m, (12)

где W1 - значение длины общей нормали (определяем по таблице 5.30, стр. 884 [1]);

m - модуль

W=23,12134246,243 (мм) W=46,24

Определяем радиальное биение наружного цилиндра заготовки по таблице 5.26, стр. 878 [2]:

Fd a=0,6·Fr=0,6·63=37,8 (мкм)

Биение базового торца определяем по таблице 5.27, стр. 879 [2]: для 7 - степени точности по нормам контакта ширине зубчатого колеса b=55 мм, отклонение наружного цилиндра E принимаем по полю допуска h 14.

FT=24=24 (мкм)


Заключение

В ходе выполнения данной курсовой работы приобретены навыки в выборе и расчете посадок для стандартных соединений в зависимости от их назначения и оказываемых на них нагрузок.

Кроме того, в ходе выполнения работы были затронуты вопросы нормирования точности элементов деталей в машиностроении, приобретены навыки работы с нормативно-технической и справочной документацией. Изучены условные обозначения предельных отклонений и допусков, параметров шероховатости, резьбового и шлицевого соединений.

Список использованных источников

1   Допуски и посадки. Справочник. В 2-х ч. Ч. 1 / Под ред. В.Д. Мягкова. Л: Машиностроение. Ленингр. отд-ние, 1979-с. 1-544, ил.

2        Допуски и посадки. Справочник. В 2-х ч. Ч. 2 / Под ред. В.Д. Мягкова. Л: Машиностроение. Ленингр. отд-ние, 1979-с. 544-1032, ил.

         И.М. Белкин. Допуски и посадки (основные нормы взаимозаменяемости). М.: Машиностроение, 1992-528 с., ил.

         Курсовое проектирование деталей машин. С.А. Чернавский. - М.: Машиностроение, 1988. - 416 с.: ил.

5  Курсовое проектирование деталей машин. В.Н. Кудрявцев,

Ю.А. Державец. Л.: Машиностроение. Ленингр. отд-ние, 1984. 400 с., ил.

Похожие работы на - Расчет и выбор посадок для стандартных соединений

 

Не нашли материал для своей работы?
Поможем написать уникальную работу
Без плагиата!
Без нейросетей!