Массообменные процессы

  • Вид работы:
    Контрольная работа
  • Предмет:
    Другое
  • Язык:
    Русский
    ,
    Формат файла:
    MS Word
    1,47 Мб
  • Опубликовано:
    2012-05-21
Вы можете узнать стоимость помощи в написании студенческой работы.
Помощь в написании работы, которую точно примут!

Массообменные процессы

Министерство образования и науки Российской Федерации

Государственное образовательное учреждение высшего

профессионального образования

«Волгоградский Государственный Технический Университет»








КОНТРОЛЬНАЯ РАБОТА

по дисциплине: Процессы и аппараты


Студент Абрамов Сергей Иванович

Группа ЭЗК-379к

Проверил работу________________________________






Волгоград 2012

Содержание

Вопрос № 1 Общая характеристика и классификация массообменных процессов

Вопрос № 30 Схема абсорбции с рециркуляцией жидкости и газа

Список литературы

1.      
Общая характеристика и классификация массообменных процессов

Процессы массообмена - процессы, в которых основную роль играет перенос вещества из одной фазы в другую. Движущая сила этих процессов - разность химических потенциалов. Как и в любых других процессах, движущая сила массообмена характеризует степень отклонения системы от состояния динамического равновесия. В пределах данной фазы вещество переносится от точки с большей к точке с меньшей концентрацией. Поэтому обычно в инженерных расчетах приближенно движущую силу выражают через разность концентраций, что значительно упрощает расчеты массообменных процессов.

Массообменные процессы широко используются в промышленности:

для разделения жидких и газовых гомогенных смесей,

для их концентрирования,

для защиты окружающей природной среды (прежде всего для очистки сточных вод и отходящих газов).

Классификация и общая характеристика. Наибольшее распространение получили следующие массообменные процессы:

. Абсорбция

. Перегонка и ректификация

. Экстракция (жидкостная)

. Адсорбция

. Ионный обмен

. Сушка

. Растворение и экстрагирование из твердых тел

. Кристаллизация

. Мембранные процессы

Во всех перечисленных выше процессах общим является переход вещества (или веществ) из одной фазы в другую.

Процесс перехода вещества (или нескольких веществ) из одной фазы в другую в направлении достижения равновесия называют массопередачей.

Перенос вещества внутри фазы - из фазы к границе раздела фаз или наоборот - от границы раздела в фазу - называют массоотдачей (по аналогии с процессом переноса теплоты внутри фазы - теплоотдачей).

Процессы массопередачи обычно обратимы. Причем направление перехода вещества определяется концентрациями вещества в фазах и условиями равновесия.

Основным кинетическим уравнением массообменных процессов является уравнение массопередачи, которое основано на общих кинетических закономерностях химико-технологических процессов.

Скорость процесса [в кг/(м2 • с)] равна движущей силе Δ, деленной на сопротивление R: dМ/dF = Δ/R, где dМ - количество вещества, перешедшего из одной фазы в другую в единицу времени; dF - поверхность контакта фаз.

Обозначив 1/R = К, получим основное уравнение массопередачи dМ =К ΔdF

Коэффициент К - коэффициентом массопередачи (по аналогии с процессом теплопередачи) характеризует скорость процесса переноса вещества из одной фазы в другую.

Размерность коэффициента массопередачи:

[К]= [dМ/ΔdF]= [кг/с·Δ·м2]

т. е. коэффициент массопередачи К показывает, какое количество распределяемого вещества переходит из фазы в фазу в единицу времени через единицу поверхности контакта фаз при движущей силе, равной единице. Размерность движущей силы Δ может быть различной, а от нее зависит и размерность К.

Обычно уравнение массопередачи применяют для определения поверхности F контакта фаз, а исходя из этой поверхности - размеров массообменных аппаратов.

=М / (КΔ)

Массообменные процессы подразделяют на: массопередачу в системах со свободной границей раздела фаз (газ-жидкость, пар-жидкость, жидкость-жидкость); массопередачу в системах с неподвижной поверхностью контакта фаз (системы газ - твердое тело, пар - твердое тело, жидкость - твердое тело); массопередачу через полупроницаемые перегородки (мембраны).

К процессам, для которых характерна свободная граница раздела фаз, относятся такие широко распространенные в технике процессы, как абсорбция, десорбция, перегонка и ректификация, жидкостная экстракция. В этих процессах граница контакта фаз обычно подвижна, величина поверхности контакта фаз зависит от гидродинамической обстановки, что существенно отличает механизм переноса масс в системах со свободной границей раздела фаз от механизма переноса для систем с твердой фазой.

Массообменные процессы со свободной границей раздела фаз по принципу участия фаз в массопереносе подразделяют на две группы.

-я группа - процессы, в которых участвуют как минимум 3 вещества: 1) распределяющее вещество (или вещества), составляющие 1-ю фазу Фу (например, при поглощении аммиака водой из аммиачно-воздушной смеси воздух не участвует непосредственно в массообмене); 2) распределяющее вещество (или вещества), составляющие 2-ю фазу Фх (вода в данном примере); 3) распределяемое вещество М, которое переходит из одной фазы в другую (процессы абсорбции, десорбции, экстракции).

-я группа процессов (перегонка и ректификация) - это процессы, в которых вещества, составляющие фазы, участвуют в массообменных процессах и не могут рассматриваться как носители распределяемого вещества. Направление процесса, его движущая сила зависят от соотношения рабочих и равновесных концентраций.

Концентрации участвующих в массообменных процессах фаз могут иметь различную размерность (кг/кг, кмоль/м3 и т.п.). Обычно состав фаз выражают в массовых или молярных долях, относительных или объемных концентрациях.

Концентрация

Обозначение концентрации компонента А



в жидкой фазе

в газовой (паровой) фазе

1

Мольная доля, кмоль А/кмоль(А+В)

х

у

2

Массовая доля, кг А/кг (А+В)

х

у

3

Относительная мольная концентрация (доля), кмоль А/кмольВ

Х

У

4

Относительная массовая концентрация (доля), кг А/кг В

Х

У

Объемная мольная концентрация,кмоль А/м3 (А+В)

Сх

Су

6

Объемная массовая концентрация, кг А/м3 (А+В)

Сх

Су


Связь между составом фаз при равновесии:

у* = f(х)

где у* - равновесная относительная мольная доля целевого компонента в газовой (паровой) фазе

График этой зависимости - линия равновесия.

у* = mр·х, где mр= у*/х - коэффициент распределения

Коэффициент распределения - отношение составов фаз при равновесии. Коэффициент распределения -tgα- угла наклона линии равновесия tgα= mр

Материальные балансы массообменных процессов зависят от способа их проведения. Различают однократное, непрерывное и ступенчатое взаимодействие фаз.

В массообменных аппаратах непрерывного действия процесс может происходить при непрерывном контакте фаз (например, в абсорбционных аппаратах пленочного типа, представляющих собой, по существу, кожухотрубчатый теплообменник, по внутренним поверхностям трубок которого течет пленка жидкости, а навстречу этой жидкости движется газ). При этом концентрации распределяемого вещества в фазах изменяются монотонно.

Рис.1. К составлению материального баланса при непрерывном контакте фаз в условиях противотока (а) и прямотока (б)

При непрерывном противотоке, наиболее часто используемом в технике (рис.1, а), материальный баланс для произвольного сечения аппарата при бесконечно малом пути выражается следующими соотношениями:

ун> ук - мольная доля компонента в газовой фазе

хк> хн - мольная доля компонента в жидкой фазе

М г = G(ун- ук) - мольный расход компонента, перешедшего из газовой фазы

М ж = L(хк- хн) - мольный расход компонента, перешедшего в жидкую фазу.

Поскольку один и тот же компонент переходит из газовой фазы в жидкую, то М г = М ж

(ун- ук) = L(хк- хн) (7.8)

Для произвольного сечения аппарата, в котором текущие составы целевого компонента равны Х и У, уравнение материального баланса для верхней части аппарата:

(ун- у) = L(хк- х)

При малом изменении величин G и L по высоте аппарата

у= ун -(L/ G) (хк- хн) (7.9)

Соотношение называют уравнением рабочей линии (уравнением линии рабочих концентраций) непрерывного противоточного массообменного процесса. Оно выражает связь составов взаимодействующих фаз в произвольном сечении аппарата. При L/ G = соnst. рабочая линия прямая. Если L/G ≠ соnst., то рабочая линия отклоняется от прямой.

В потоке идут два вида массопереноса - молекулярный и конвективный.

Молекулярная диффузия - переход распределяемого вещества в неподвижной среде из внутренних слоев данной (первой) фазы к поверхности раздела фаз и, пройдя ее, распределение по всему объему другой фазы, находящейся в контакте с первой. Она является следствием теплового движения молекул (ионов, атомов), которому оказывают сопротивление силы внутреннего трения.

Молекулярная диффузия описывается первым законом Фика:

dМ= -DdFdτдс /дп

Для всей поверхности F диффузии первый закон Фика выразится как

М =-DFτдс /дп

где D-коэффициент молекулярной диффузии; F - поверхность, нормальная к направлению диффузии; дс/дп- градиент концентраций вещества на единицу длины пути п диффундирующего вещества; знак минус связан с уменьшением градиента концентраций дс/дп по длине пути диффузии.

Коэффициент молекулярной диффузии D зависит от природы диффундирующего вещества. Поэтому он не связан с динамикой процесса и характеризует способность вещества проникать в какую-либо среду. Найдем его размерность из выражения: [D]= [м2/с ], откуда следует, что коэффициент молекулярной диффузии D показывает, какое количество вещества диффундирует в единицу времени через единицу поверхности при градиенте концентрации, равном единице. Коэффициент молекулярной диффузии D является аналогом коэффициента температуропроводности α.

Значения D находят по справочникам или рассчитывают. Коэффициент диффузии зависит от температуры (увеличивается с повышением температуры) и для газов - от давления (с увеличением давления D г снижается).

Для газовой среды D г ≈ 1 см2/с, для конденсированной (жидкой) средыж ≈ 1 с/сут, откуда следует, что молекулярная диффузия в жидкостях, а тем более в твердых телах - процесс очень медленный.

Конвективный перенос (конвективная диффузия) характеризуется перемещением (переносом) вещества движущимися частицами потока в условиях турбулентного движения фаз. Конвективный перенос вещества под действием турбулентных пульсаций иногда называют турбулентной диффузией.

Конвективный массоперенос - процесс переноса вещества при движении жидкости или газа. Этот процесс происходит как бы механически - макрообъемными частицами жидкостного или газового потока.

Массоотдачу, так же как и конвекцию, подразделяют на естественную и вынужденную, или принудительную. При естественной массоотдаче движение жидкости происходит вследствие разности плотностей в разных точках жидкости, а при вынужденной - вследствие затраты энергии на движение потока извне-с помощью насоса, мешалки и т.п. Очевидно, что естественная массоотдача- процесс медленный и в технике встречается редко, но часто является сопутствующим процессом вынужденной массоотдачи.

По аналогии с эмпирическим законом охлаждения Ньютона (или уравнением теплоотдачи) уравнение массоотдачи имеет следующи й вид:

М = β (хгр - х ) dFdτ

где β - коэффициент пропорциональности-коэффициент массоотдачи.

При установившемся процессе для всей поверхности F массоотдачи при τ = 1 с уравнение принимает вид М = β F (хгр-х).

Для фазы Фу уравнение массоотдачи будет аналогично уравнению М = β F (хгр-х), но с соответствующей заменой концентраций.

Размерность коэффициента массоотдачи: [β] = [М/ F (у-угр )] = [м /с].

Коэффициент массоотдачи, в отличии от коэффициента массопередачи, характеризует скорость переноса вещества внутри фазы конвекцией и молекулярной диффузией одновременно.


2. Схема абсорбции с рециркуляцией жидкости и газа

АБСОРБЦИЯ газов (лат. absorptio, от absorbeo-поглощаю), объемное поглощение газов и паров <#"553544.files/image003.gif">

где Р°2- давление <#"553544.files/image004.gif">

где КH - коэффициент Генри, изменяющийся с изменением температуры. Если абсорбция проводят под давлением, но х*2 ->0, растворимость газа можно рассчитать по уравнению Кричевского - Казарновского:

,

где Кф - коэффициент. физической растворимости, равный КH при х2-> 0 и Р-> -> 0; f*2-летучесть газа; -парциальный мольный объем растворенного газа в жидкой фазе при бесконечном разбавлении; R- универсальная газовая постоянная; Po1-давление насыщенных паров <#"553544.files/image007.gif">(0,05-0,1) молярной доли (разбавленные растворы), то при низких давлениях справедливо уравнение Сеченова:


где А1,2-коэф., не зависящий от состава растворабсорбция

Рис. 1. Зависимость растворимости х2* некоторых газов <#"553544.files/image010.gif">

где -тепловой эффект растворения газабсорбция. Если раствор при абсорбция нагревается, . С изменением температуры обычно либо остается постоянной, либо незначительно изменяется. Растворимость газа в смешанном растворителе (содержащем малополярные компоненты) можно оценить по соотношению:


где КН.си, КН.N- коэффициент Генри соотв. для газа в смеси растворителей и для растворов этого газа в чистых компонентах растворителя; - коэффициент активности компонентов растворителя (молярные доли относятся к смеси растворителей, свободной от растворенного газа).

Некоторые данные о растворимости газов <#"553544.files/image017.gif">и потенциала Леннард-Джонсабсорбция Эти параметры может быть использованы для приближенной оценки растворимости газов <#"553544.files/image019.gif">

где -растворимость в 1 м3 газа, приведенная к нормальным условиям (20 °С, 0,1 МПа) на 1 м3 абсорбента; kв- константа Больцмана; Р0, T0-соответственно давление <#"553544.files/image021.gif">

Ниже приведены значения параметров потенциала Лен-нард-Джонса (в К) для газов <#"553544.files/image023.gif">и жидкостей :


Тепловой эффект растворения газа АЯ линейно изменяется с увеличением ; соответственно растворимость плохо растворимых газов <#"553544.files/image027.gif">, в основном Не, Ne, H2, N2, CO, Аr, О2 и NO, с возрастанием температуры увеличивается (за исключением водных растворов), а растворимость хорошо растворимых газов <#"553544.files/image028.gif">уменьшается. Типичные примеры для бесконечно разбавленных растворов приведены на рис. 2. Растворимость таких газов, как H2S, COS, SO2, HC1, NH3, C12, обычно значительно выше, чем рассчитанная по уравнению (1), вследствие специфического взаимодействия с молекулами растворителя.

При химической абсорбция поглотительная способность абсорбента (емкость, соответствующая предельному кол-ву газа, который поглощается единицей объема абсорбента) и больше, чем при физической абсорбция При необратимой реакции (напр., при поглощении СО2 растворами NaOH с образованием Na2CO3) равновесное давление газа над раствором равно нулю, пока в растворе есть непрореагировавший абсорбент, и поглотительная способность определяется стехиометрией реакции. При обратимой реакции давление <#"553544.files/image030.gif">

массообменный процесс абсорбция жидкость газ

Увеличение и (иногда в несколько раз) может происходить под влиянием поверхностной конвекции, вызываемой локальными градиентами поверхностного натяжения, которые возникают в ряде случаев в результате массоотдачи, особенно при одновременном. протекании реакций (напр., при абсорбция СО2 водными растворами моноэтаноламина). Это необходимо учитывать при подборе новых хемосорбентов. Значение если реакция приводит к возникновению поверхностной конвекции, следует определять на основе коэффициент массоотдачи при физической абсорбция, найденного в условиях воздействия на процесс конвективных микропотоков вблизи границы раздела фаз.

При расчете скорости абсорбция часто используют коэффициент массо-передачи, определяемые по гипотетич. поверхностным составам и, следовательно, по гипотетич. движущим силам. Обычно принимают, что коэффициент массопередачи, отнесенный к концентрации в газе, Кг [кмоль/(м2 *МПа*с)] обусловлен движущей силой (у2-у*2), где у*2-молярная доля поглощаемого компонента в газе, которая отвечает равновесию с жидкостью, имеющей средний объемный состав х2; у2 -средний объемный состав газа в данном сечении аппаратабсорбция. Тогда получим:


Аналогично можно найти движущую силу (x*2 - х2) и коэффициент массопередачи Кж. Из выражений (2) и (3) следует:


где т = (y2,гр - y*2)/(x2,гр - х2)-наклон равновесной линии в интервале концентраций от х2, у2до x2,гр, y2,гр. Выражение (4) записано для локального коэффициент массопередачи и показывает, что этот коэффициент зависит от наклона линии равновесия. Наиболее удобно рассчитывать коэффициент массопередачи по уравнению (4) в случаях, когда наклон равновесной линии остается почти постоянным в рабочем интервале концентраций. При искривленной линии равновесия необходимо учитывать зависимость m от концентрации.

Абсорбция осуществляют в массообменных аппаратах, называют абсорберами,-тарельчатых, насадочных (устаревшее название-скрубберы), пленочных, роторно-пленочных и распылительных. Схема материальных потоков в абсорбере представлена на рис. 3. Связь между концентрациями поглощаемого компонента в газе у2 и в жидкости в любом горизонтальном сечении аппарата находят из уравнения материального баланса (т. наз. уравнение рабочей линии). В общем случае это уравнение имеет вид:


где L и G-расходы жидкости и газабсорбция. Когда объемы фаз в ходе абсорбция изменяются незначительно, рабочая линия-прямая:


Здесь индексом "н" обозначается нижнее сечение противоточного абсорбера или десорберабсорбция. Существенное влияние на ход рабочей и равновесной [у* =f(x*2)] линий могут оказать тепловые эффекты абсорбция. Ход рабочей линии может сильно зависеть от интенсивности испарения растворителя (особенно при десорбции). Если абсорбция сопровождается значительным выделением теплоты, а количество абсорбированного вещества достаточно велико, растворитель может сильно нагреваться при прохождении через колонну. Примеры-осушка воздуха с помощью концентрированного H2SO4, растворение <#"553544.files/image042.gif">

Рис. 3. Схема материальных потоков в абсорбере и хол рабочей и равновесной линий (а-при противотоке, 6-при прямотоке): ЛВ-рабочая линия; ОС-равновесная линия; и -движущая сила соотв. в газовой фазе в верх, и ниж. сечениях аосороера и в газовой и жидкой фазах на ступени.

При отсутствии внешнего подвода или отвода теплоты, при одинаковых температурах газа и жидкости и без учета испарения и конденсации абсорбента и теплоты растворения других газов <#"553544.files/image045.gif">, где Ср - теплоемкость раствора, -изменение концентрации газа в рассматриваемом сечении. Обычно принимают, что температура жидкости на межфазной границе и в объеме одинаковая. Поскольку наибольшая концентрация растворенного газа и соответственно наибольшее тепловыделение наблюдаются вблизи поверхности контакта фаз, температура межфазной поверхности, определяющая истинное равновесие, часто существенно отличается от температуры объема жидкости. Методы учета этого явления разрабатываются.

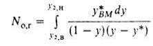
Чтобы вычислить поверхность массообмена F, необходимую для обеспечения желаемого изменения состава газа в абсорбере, можно использовать локальные значения скорости массопередачи [см. уравнение (3)1 совместно с уравнением материального баланса по абсорбируемому компоненту. При постоянстве коэффициента массопередачи по высоте аппарата:


где G-мольная массовая скорость газа, кмоль/(м2*с);

,r-общее число единиц переноса в газовой фазе:


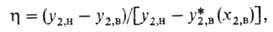
Этот важный параметр зависит только от технологического режима процесса, определяется положением рабочей и равновесной линий и показывает, как влияет движущая сила абсорбции <#"553544.files/image050.gif">. При увеличении габариты аппарата уменьшаются, но возрастают расход энергии и степень растворения плохо растворимых компонентов газовой смеси, что приводит либо к их потере и загрязнению извлекаемого газа, либо к дополнительным затратам на разделение растворенных газов. При расчете абсорберов, особенно тарельчатых, часто используют понятие эффективности ступени, или степени приближения к равновесию . Эту величину можно определить как отношение фактически реализованного изменения состава к изменению, которое произошло бы при достижении равновесия:


где индексом "в" обозначается верх. сечение противоточного аппаратабсорбция

Во многих типах ступенчатых контактных устройств достигнута . Это означает, что при материальном анализе таких устройств правомерно использовать понятие о равновесной ступени. Рассчитав число теоретических тарелок и зная эффективность ступени , можно определить число реальных ступеней, необходимых для обеспечения заданной степени разделения.

Основы технологии абсорбционных процессов. Абсорбция часто осуществляют в виде абсорбционно-десорбционного цикла (циклический процесс), однако стадия десорбции <#"553544.files/image056.gif">

Рис. 4. Принципиальная схема абсорбционно-десорбционного цикла: 1 -абсорбер; 2-насос; 3-десорбер; 4 - холодильник; 5-теплообменник; 6-кипятильник; 7 - конденсатор.

Физ. абсорбция осуществляют, как правило, при температуре окружающей среды (20-40°С) или при пониженных температурах, т.к. растворимость хорошо растворимых газов <#"553544.files/image057.gif">

где -степень приближения к равновесию на выходе газа из абсорбера, зависящая от скорости процессабсорбция. В общем случае:


где G2-кол-во извлекаемого газабсорбция При необратимой реакции минимальное количество циркулирующего поглотителя определяют из стехиометрического уравнения реакции и находят .

Соотношение расходов жидкости и газа определяется уравнением:


При разомкнутых процессах обычно , при циркуляционных - х2,в х2,р (концентрация газа в регенерированном растворе). В простейшем случае (при и ) имеем: . Если растворимость описывается законом Генри, то .При этом количество циркулирующего абсорбента не зависит от кол-ва извлекаемого газабсорбция При достижении равновесия на выходе из абсорбера


Важный параметр процесса - т. наз. абсорбционный фактор:


который при полном извлечении газа 1. Этот фактор равен отношению тангенсов углов наклона рабочей и равновесной линий, которые выражают зависимость соответственно реальной и равновесной концентраций извлекаемого компонента в газовой фазе от его концентрации в жидкости. Параметр А одновременно характеризует избыток количества циркулирующего абсорбента по сравнению с минимально необходимым для полного извлечения растворимого газабсорбция.

Режим десорбции <#"553544.files/image071.gif">определяют из условия равновесия на выходе из абсорбера (при противотоке). Минимально достижимую концентрацию газа в том же растворе при д.сорбции <#"553544.files/image073.gif">,

где Р и Рпар- общее давление <#"553544.files/image074.gif">находят из условия соблюдения уравнения (5) не только на выходе раствора из десорбера, но и в любом его сечении. Верхнее сечение противоточного аппарата, где газ выходит из оегенератора, часто является лимитирующим. Тогда = G2Ф*, где Ф* = р*пар/p2*(t,x2,в)-отношение давления паров <#"553544.files/image076.gif">,

где -сумма давлений растворенных газов. Режим десорбции <#"553544.files/image078.gif">

Построение рабочей линии при десорбции <#"553544.files/image079.gif">

Рис. 5. Равновесная (/) и рабочие (2, 3) линии д.сорбции <#"553544.files/image080.gif">

где и -тепловые эффекты соотв. испарения абсорбента и десорбции; -разность температур регенерированного и насыщенных растворов на холодном конце теплообменникабсорбция. Давление десорбции <#"553544.files/image084.gif">

то с увеличением температуры Qотд возрастает. В противном случае Qотд уменьшается и при заданном расходе теплоты с увеличением давления десорбции регенерация не ухудшается, а улучшается, однако до некоторого предела, определяемого термохимическую устойчивостью абсорбента и возрастанием Qнагр. Энергетические затраты на десорбцию газов <http://www.chemport.ru/data/chemipedia/article_729.html> (регенерацию абсорбентов), как правило, значительно превышают расход энергии на абсорбция

Список литературы

1.   Кафаров В. В., Основы массопередачи, 3 изд., М., 1979 г.

2.       Рудобашта С. П., Массоперенос в системах с твердой фазой, М., 1980 г.

.        Шервуд Т. К., Пигфорд Р., Уилки Ч., Массопередача, пер. с англ., М., 1982 г.

.        Плановский А. Н., Николаев П. И., Процессы и аппараты химической и нефтехимической технологии, 3 изд., М., 1987 г.

.        Броунштейн Б. И., Щеголев В. В., Гидродинамика, массо- и теплообмен в колонных аппаратах, Л., 1988 г.

.        Рамм В. М., Абсорбция газов, 2 изд., М., 1976 г.

.        Очистка технологических газов, абсорбция под редакцией Т.А.Семеновой И. Л. Лайтеса, 2 изд., М., 1977 г.

.        Кафаров В.В. - Основы массопередачи, 3-е изд. М.: Высшая школа, 1979 г. 439с.

.        Шервуд Т., Пигфорд Р., Уилки Ч., Массопередача, пер. с англ., М., 1981г.

.        Касаткин А.Г. Основные процессы и аппараты химической технологии. - М: Химия, 1971 г. - 832с.

.        Иоффе И.Л. Проектирование процессов и аппаратов химической технологии: учебник для техникумов. - Л: Химия, 1991 г. - 352с.

.        Александров И.А. Ректификационные и абсорбционные аппараты - М.: Химия, 1978 г. - 277с.

.        Дытнерский Ю.И. Процессы и аппараты химической технологии. - М.: Химия 1995 г. - 368с.

.        Для подготовки данной работы были использованы материалы с сайта http://www.xumuk.ru/

Похожие работы на - Массообменные процессы

 

Не нашли материал для своей работы?
Поможем написать уникальную работу
Без плагиата!
Без нейросетей!