Эффект Холла и его применение
МИНИСТЕРСТВО
ОБРАЗОВАНИЯ И НАУКИ РФ
ГОСУДАРСТВЕННОЕ
ОБРАЗОВАТЕЛЬНОЕ УЧРЕЖДЕНИЕ
ВЫСШЕГО
ПРОФЕССИОНАЛЬНОГО ОБРАЗОВАНИЯ
«ВОРОНЕЖСКИЙ
ГОСУДАРСТВЕННЫЙ ТЕХНИЧЕСКИЙ УНИВЕРСТЕТ»
Физико-технический
факультет
Кафедра
полупроводниковой электроники и наноэлектроники
КУРСОВАЯ
РАБОТА
по
дисциплине «Физика твердого тела»
Тема:
Эффект Холла и его применение
2012
Введение
Кинетические явления, возникающие в твердых
телах при совместном действии на них электрического и магнитного полей,
называются гальваномагнитными явлениями. Рассмотрим одно из наиболее изученных
гальваномагнитных явлений, получавшее название эффекта Холла.
Эффект открыт в 1879 г. американским физиком Э́двином
Ге́рбертом
Холлом (англ. Edwin Herbert Hall; 7 ноября 1855 - 20 ноября 1938), когда он
работал над своей докторской диссертацией. Свой эксперимент Холл проводил на
золотой пластинке, размещенной на стекле, при пропускании через которую
электрического тока возникала разность потенциалов на боковых краях пластины
(не обязательно золотой, использовались и полупроводниковые материалы). Разница
потенциалов возникала вследствие приложения магнитного поля перпендикулярно к
плоскости пластинки (холловского элемента).
В настоящее время на основе эффекта Холла
работают датчики Холла: приборы, измеряющие напряжённость магнитного поля.[1]
1. Теоретические сведения
Пусть по полупроводнику в форме параллелепипеда
течет ток вдоль оси x, а магнитное поле направлено вдоль y (рисунок 1).
Плотность тока:

(1)
Рисунок 1 - Геометрия эксперимента по наблюдению
эффекта Холла
Дрейфовая скорость электронов в направлении
против поля 
, а дырок - по
полю. При включении магнитного поля 
на носители
действует сила Лоренца:

(2)
так как 
, то

(4)
1. Таким образом, направление силы Лоренца
определяется только 
и 
и не зависит от
знака носителей заряда. Электроны и дырки отклоняются в одну сторону, если их
скорость определяется только электрическим полем.
. В бесконечном образце под действием 
и 
электроны и дырки
за счет столкновений движутся по траектории, усредняющей циклоиды под углом 
к исходному
вектору 
(рисунок 2а, б).
Рисунок 2 - Эффект Холла в образце: бесконечных
размеров (а, б); конечных размеров (в, г) (а, в n - тип; б, г p - тип)
3. В полупроводнике конечных размеров происходит
накопление носителей заряда на соответствующих гранях, избыточный заряд
порождает поперечное 
поле по отношению
к 
. Эффект Холла -
возникновение поля Холла под действием магнитного поля 
(рисунок 2в, г).
. Направление поля Холла зависит от знака
носителей заряда.

, суммарное поле 

(5)
Холл нашел эмпирическое соотношение:

(6)
5. Величину R можно найти из условия компенсации
полем Холла силы Лоренца:

(7)
Таким образом (рисунок 1),

(8)
где b и t - ширина и толщина образца,
соответственно.
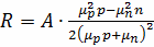
Коэффициент Холла обратно пропорционален
концентрации носителей заряда и его знак совпадает со знаком носителей заряда.
. Учет механизма рассеяния носителей заряда
требует включения в (8) коэффициентов 
(акустические
фононы), 
(рассеяние на
ионах), А = 1 (нейтральная примесь).

(9)
Учет носителей обоих знаков в собственном
полупроводнике уменьшает R:

(10)
7. Эффект Холла - нечетный (по отношению к 
) эффект, т.е. при
изменении направления поля 
меняется знак
эффекта Холла.
При измерении эффекта Холла необходимо учесть
посторонние э.д.с.: 1) неэквидистантности зондов; 2) эффект Нернста -
Эттингсгаузена и другие.
Для уменьшения степени влияния токовых контактов
на величину эффекта Холла используют узкие и длинные образцы.
Эффект Холла - прямой метод определения n, m
и определения ширины зон (DЕ) и энергии активации
локальных уровней. [2]
2. Датчики Холла
Первые предложения по техническому использованию
эффекта Холла были высказаны на рубеже XIX и XX вв. Реальная база для этого
возникла, однако, значительно позднее, а именно со времени разработки
технологии получения полупроводниковых материалов, характеризующихся
значительными подвижностями носителей тока. К этим материалам относятся:
германий Ge, кремний Si, антимонид и арсенид индия InSb и InAs, арсенид - фосфид
индия InAsP, арсенид галлия GaAs, селенид и теллурид ртути HgSe и HgTe. За
последние годы в технологических лабораториях разработано несколько новых
материалов, например, кадмий-ртуть-теллур CdHgTe, арсенид кадмия Cd3As2,
которые также могут быть пригодны для технических применений эффекта Холла.
Одновременно с развитием технологии
полупроводниковых материалов, в которых эффект Холла проявляется в сильной
степени, отмечается прогресс и в области полупроводниковых приборов, работа
которых основана на этом эффекте. Для электродного элемента, в основе работы
которого лежит эффект Холла и который представляет собой полупроводниковую
пластину с выводами и защитной оболочкой, в русской литературе принято название
датчик Холла.
Требования, предъявляемые к датчикам Холла,
разнообразны и зависят от их назначения. До настоящего времени нет такого
материала, который обладал бы всеми требуемыми параметрами. Ряд материалов
отвечает только некоторым требованиям. Поэтому из множества полупроводниковых
материалов, в которых наблюдается эффект Холла, для датчиков Холла выбирается
тот или иной материал в зависимости от конкретной пели применения датчика.
Обычно для элементов Холла используются
материалы n-типа. т. е. с электронной проводимостью, так как подвижность
носителей тока в них в несколько раз (от двух до нескольких десятков) больше,
чем в материалах р-типа. Основными параметрами полупроводниковых материалов,
используемых для изготовления датчиков Холла, считаются: удельное сопротивление
(иногда удобно употреблять удельную электрическую проводимость 
), коэффициент
Холла и подвижность. Все эти параметры являются зависимыми от концентрации
носителей тока, температуры и магнитной индукции; может также проявляться
анизотропия этих зависимостей. Кроме того, существует целый ряд эффектов,
сопровождающих явления Холла таких как термо-э. д. с, гальвано- и
термомагнитные эффекты.
Идеальный датчик Холла должен обладать
следующими свойствами:
) большой чувствительностью;
) большим выходным напряжением;
) большим к.п.д. и большой мощностью, снимаемой
с электродов Холла;
) независимостью параметров от температуры;
) линейностью относительно Ix, Вz и R (активное
сопротивление нагрузки).
Из свойств полупроводниковых материалов,
следует, что перечисленные требования являются, в общем, противоречивыми и все
одновременно не могут быть выполнены. По этой причине проектирование датчиков
Холла необходимо проводить с учетом их конкретного назначения, не обращая
особого внимания на менее существенные параметры и стараясь получить
соответствующие значения заданных параметров.
В ряде конкретных применений появляются
дополнительные требования, такие как:
) малая толщина датчика Холла - в случае работы
в узких зазорах;
) малые размеры активной поверхности - в случаи
исследования распределения неоднородности магнитного поля.
2.1 Технология изготовления датчиков
Холла
Исходным материалом для изготовления датчиков
Холла может быть полупроводниковый материал поли - или монокристаллический. В
зависимости от способа получения материал может быть в виде слитка, принявшего
форму тигля, как это показано на рисунке 3а, если он получен в виде
поликристалла, либо в виде монокристалла, выращенного методом направленной
кристаллизации, если же это монокристалл, выращенный по методу Чохральского, то
слиток имеет вид неправильного цилиндра, как на рисунке 3б. Слиток может быть
также в виде длинного (20-30 см) цилиндра, если он получен методом
вертикального бестигельного плавления.
Типовой технологический процесс пластины датчика
Холла состоит из следующих операций:
) вырезка пластины,
) обработка поверхности,
) пайка либо сварка электродов (в случае
датчиков Холла еще симметризация электродов),
) герметизация.
а) б)
Рисунок 3 - Внешний вид а) германиевого
поликристаллического слитка, полученного зонной плавкой б) монокристаллического
германия, полученного методом Чохральского
. Пластины вырезаются на типовых станках для
резки полупроводниковых материалов. Обычно это станки с вращающимся абразивным
кругом, которым режут при помощи карборундового или алмазного порошка.
Чтобы уменьшить потери полупроводникового
материала, применяют абразивные круги толщиной 0.2- 0,3 мм. Несмотря на это,
при толщине вырезаемых пластин в 200-300 мкм потери материала при резке
остаются очень большими. В равной степени сказанное относится также к резке при
помощи полотен или проволоки с использованием карборундового или алмазного
порошка. Из вырезанных брусков дальнейшей резкой получают прямоугольные
пластины с соотношением длин сторон (1:2) -(1:3), поступающие на дальнейшие
операции.
. Обработка поверхности пластин состоит из двух
этапов. Первый - это механическая шлифовка и полировка, имеющие целью
устранение дефектов, возникших при резке пластин, и одновременно доводку
толщины пластин до заданной величины. Толщина вырезанных пластин обычно бывает
не меньше чем 200-300 мкм (это обусловлено хрупкостью полупроводниковых материалов),
однако конечная толщина пластин находится в пределах от 60 до 200мкм, а в
некоторых случаях и тоньше. Примером является технология изготовления
кристаллического датчика Холла ВН201, фирмы Белл, который в корпусе достигает
толщины 130 мкм.
Шлифовка проводится типичным для полупроводников
способом при помощи порошков - карборундовых (SiC), алундовых (Al2O3) либо
алмазных с соответствующим диаметром зерен (от 30 до 0,1 мкм) на плитах
стеклянных, металлических, а в конце - на плитах, покрытых специальными
тканями. Если нужно шлифовать пластины до толщин, меньших чем 150 мкм, следует
предварительно приклеить пластины к керамическому элементу корпуса, чтобы
предохранить их от растрескивания, и дошлифовывать в сборке с керамикой. Затем
к пластинам на керамических подложках присоединяются остальные элементы
датчика.
Вторым этапом обработки поверхности, не всегда,
впрочем, применяемым, является химическое травление, имеющее своей целью
окончательную очистку поверхности пластин. Для травления германия и кремния
применяются типичная в технологии изготовления транзисторов травящая смесь СР4
(смесь HF: HNO3: СН3СООН: Вr), а также кипящая H2O2 и др. Однако с точки зрения
данных работы следует стремиться к тому, чтобы травление германия или кремния
не давало поверхности с малой скоростью поверхностной рекомбинации. Для
интерметаллических соединений травление является менее существенным процессом и
не всегда применяется.
. Следующей операцией является изготовление
контактов к пластине. Контакты металл - полупроводниковый материал должны
обладать следующими свойствами:
а) контакты должны обладать малым сопротивлением
по сравнению с сопротивлением пластины датчика,
б) контакты должны быть линейными по току,
в) холловские контакты при отсутствии магнитного
поля должны находиться на эквипотенциальной поверхности.
Первое условие может быть выполнено благодаря
соответствующему подбору материала контакта, а также технологии изготовления.
Для полупроводниковых материалов с большим удельным сопротивлением можно легко
выполнить это условие благодаря большой разнице в удельных сопротивлениях
полупроводника и металла контакта. Зато в случае антимонида и арсенида индия
это гораздо труднее, так как здесь разница в удельных сопротивлениях материалов
контакта и пластины в 1000-10 000 раз меньше, чем в случае германия и кремния.
Это приводит к значительно большему влиянию сопротивления контактов на общее
сопротивление датчика Холла, изготовленного из интерметаллических соединении,
по сравнению с датчиками Холла, изготовленными из германия и кремния. В
результате имеют место относительно большие потери входной и выходной мощности.
Второе требование к электродам - отсутствие
выпрямления и инжекции носителей тока - труднее всего реализовать в германии и
кремнии. На этих материалах сравнительно легко получить нелинейные контакты; в
то же время в антимониде индия, например, любой контакт будет выпрямляющим лишь
при температуре жидкого азота (78° К), тогда как при комнатной температуре тот
же самый контакт является уже линейным.
Простым и выгодным способом изготовления
контактов к датчикам Холла является непосредственное приваривание проводов к
пластине при помощи пропускания импульса тока от соответствующего источника.
Преимуществом этого метода является возможность получения симметричных холловских
контактов после приваривания двух проводов токовых и одного холловского.
2.2 Возможности применения датчиков
Холла
Быстрое и разностороннее развитие применения
датчиков Холла явилось результатом тех многочисленных преимуществ, которыми
обладают датчики Холла; важнейшие из них следующие:
) датчик Холла - в принципе статический элемент,
что, например, при выполнении измерений магнитной индукции даст ему
преимущества перед измерениями, проводимыми баллистическим или индукционным
методами;
) датчик Холла есть направленный элемент, так
как выходное напряжение пропорционально нормальной составляющей вектора
магнитной индукции; это позволяет определять экстремальные значения и
распределение магнитных полей в пространстве;
) датчик Холла может быть сделан и подвижным
элементом; это преимущество в связи со сказанным в п. 2 позволяет построить,
например, генератор синусоидальных колебаний инфранизких частот;
) малая площадь поверхности (минимальные размеры
кристаллических датчиков Холла 0,7x0,7 мм2, а пленочных порядка 10x10 мкм2),
позволяющая производить измерение в глубоких отверстиях малого диаметра;
) малая толщина (у кристаллических датчиков
Холла вместе с корпусом - порядка 1 мм, а у пленочных вместе с подложкой -
порядка 0,1 мм), позволяющая выполнять измерения в очень малых зазорах;
) линейная (в больших диапазонах) зависимость
выходного напряжения от управляющих величин (поля или тока);
) простая зависимость выходного напряжения от
произведения двух входных величии;
) передача сигналов без искажений;
) широкий частотный диапазон передаваемых
сигналов - теоретически от 0 до ~1012 гц;
) бесконтактная (с помощью магнитного поля)
передача сигналов;
) возможность применения управляющих полей и
токов постоянных, переменных или импульсных и получения соответствующего
напряжения или тока на выходе, что дает возможность детектировать, модулировать
и затем получать на выходе сигналы соответствующей формы и мощности, т. е.
преобразовывать сигналы;
) возможность разнообразного соединения датчиков
Холла (последовательного и параллельного, последовательного и встречного,
входными и выходными цепями, гальванического или с помощью магнитного поля);
) относительно простая и маломощная схема
электропитания (постоянным, переменным или импульсным током);
) практически неограниченный срок службы.
К числу главных недостатков относятся:
) относительно сложная технология (однородность
материала, контакты);
) большой разброс параметров в пределах одной
партии датчиков Холла, что вынуждает определять характеристики каждого датчика
в отдельности и усложняет взаимозаменяемость датчиков Холла;
) зависимость сопротивления и коэффициента Холла
от температуры;
) зависимость сопротивления и коэффициента Холла
от магнитного поля;
) наличие остаточного напряжения, в том числе
резистивного и термического, а также напряжения, наводимого в выводах
переменными полями;
) нестабильность нуля, как следствие пп. 3.-5;
) отсутствие общего заземления у входа и выхода
датчика Холла, что затрудняет его совместную работу с ламповыми (и
транзисторными) схемами;
) малая величина -к. п. д.; этот недостаток
существен лишь в некоторых случаях.
Недостатки эти, однако, в достаточной для
практических решений степени можно устранить соответствующим выбором
электрической схемы, систем компенсации и т. п.
В конце 1964 г. можно было назвать несколько
десятков различных применений датчиков Холла во многих отраслях науки и
техники.
Эти применения можно систематизировать по
нескольким критериям, а именно:
. По характеру непостоянства величины
управляющего тока 
и магнитной
индукции B:
) 
, а B - меняется,
например, при изменении магнитного поля;
) B = const, а 
- меняется ,
например, в гираторах;
) 
и B изменяются,
например, при измерениях мощности и в множительных устройствах.
. По роду 
B (постоянный,
переменный):
1) 
;
) 
;
) 
;
) 
или 
.
3. По относительному положению датчика Холла
относительно источника магнитного поля:
) датчик Холла неподвижен, например, в
сердечнике при измерении больших постоянных токов;
) положение датчика Холла можно менять
произвольным способом, например, при измерениях магнитного поля;
) датчик Холла вращается в магнитном поле либо
источник поля (постоянный магнит) вращается вокруг датчика Холла, например, в
генераторах низкочастотных колебаний;
) датчик Холла или источник магнитного поля
двигается вдоль «прямой линии, например, в измерителях перемещений;
) датчик Холла или источник поля колеблются,
например, при измерениях вибраций (виброускорений).
. В соответствии с конкретными применениями,
как, например:
) измерение магнитных величин;
) измерение электрических величин;
) измерение неэлектрических величин и т.п.[3]
2.3 Применение датчиков Холла
Датчики Холла являются основой многих типов датчиков,
таких как датчики линейного или углового перемещения, датчики магнитного поля,
датчики тока, датчики расхода и др. Удобство бесконтактного срабатывания
(полное отсутствие механического износа), низкая стоимость, простота
использования делают их незаменимыми в приборостроении, автомобильной,
авиационной и других отраслях промышленности. Интегральные датчики Холла
производят такие фирмы, как Honeywell, Melexis, Allegro Microsystems, Micronas
Intermetall, Siemens, Analog Devices и др.
Первая группа интегральных датчиков Холла - это
линейные устройства, применяющиеся в измерителях напряжённости магнитного поля.
Как правило, эти устройства содержат схемы усиления сигнала датчика.
Необходимая предварительная обработка сигнала обычно заключается в усилении и
температурной компенсации. Может понадобиться также стабилизация питающего
напряжения. При отсутствии магнитного поля выходное напряжение датчика должно
быть равно нулю, поэтому требуется дифференциальный усилитель (рисунок 4).
Рисунок 4 - Внутренняя схема ИМС линейного
датчика Холла (а) и график его характеристики преобразования (б)
Вторая группа включает в себя микросхемы
компараторного типа с логическими уровнями напряжения на выходе. Эта группа
более многочисленна в силу большего числа возможных применений. Микросхемы с
логическим выходом (рисунок 5а) делятся на две подгруппы: переключатели и
триггеры. Униполярный переключатель срабатывает только при наличии магнитного
поля одной полярности и гарантирует выключенное состояние в отсутствие
магнитного поля; магнитное поле противоположной полярности не оказывает на него
никакого влияния (рисунок 5б). Биполярный триггер, напротив, реагирует на обе
полярности: включается при приближении северного или южного полюсов магнита и
выключается только в том случае, если поле с противоположным знаком достигнет
определенного уровня. Термин «биполярный переключатель» обычно применяется к
триггерам, реагирующим на пропадание поля. Такие переключатели переходят во
включённое состояние при наличии магнитного поля, а выключаются при снижении
уровня той же полярности, отсутствии поля, или в присутствии поля с
противоположным знаком (рисунок 5в). Наличие ступени гистерезиса, которая
является разностью между величинами магнитного поля в точках включения и
выключения, повышает помехозащищенность устройства.
Рисунок 5 - Логический датчик Холла
Линейные датчики Холла:
датчики тока;
приводы переменной частоты вращения;
схемы управления и защиты электродвигателей;
датчики положения;
датчики расхода;
бесколлекторные двигатели постоянного тока;
бесконтактные потенциометры;
датчики угла поворота;
детекторы ферромагнитных тел;
датчики вибрации;
тахометры.
Логические датчики Холла:
датчики частоты вращения;
устройства синхронизации;
датчики систем зажигания автомобилей;
датчики положения (обнаруживают перемещение
менее 0,5 мм);
счётчики импульсов (принтеры,электроприводы);
датчики положения клапанов;
блокировка дверей;
бесколлекторные двигатели постоянного тока;
измерители расхода;
бесконтактные реле;
детекторы приближения;
считыватели магнитных карточек или ключей;
датчики бумаги (в принтерах).
2.3.1 Датчики тока
Линейные датчики Холла могут быть использованы в
составе измерителей силы тока в пределах от 250 мА до тысяч ампер. Важнейшим
достоинством таких датчиков является полное отсутствие электрической связи с
измеряемой цепью. Линейные датчики позволяют измерять постоянные и переменные
токи, в том числе токи довольно высокой частоты. Если линейный датчик Холла
расположен вблизи проводника с током, то выходное напряжение датчика
пропорционально индукции магнитного поля, окружающего проводник. Величина
индукции, в свою очередь, пропорциональна току. В простейшем случае датчик тока
представляет собой конструкцию, в которой датчик Холла устанавливается около
провода, по которому течёт измеряемый ток (рисунок 6а).
Рисунок 6 - Конструкции датчиков тока
Такие датчики используются для измерения больших
токов, особенно в линиях электропередач. Индукция В определяется по формуле:
где r - расстояние от центра чувствительной
области датчика до оси симметрии проводника в метрах. Чувствительность датчика
тока может быть значительно увеличена путём использования концентратора
магнитного потока в виде магнитопровода с прорезью, в которую помещается
линейный датчик Холла (рисунок 6б). В этом случае индукция магнитного потока
через датчик
2.3.2 Расходомер
Существуют различные методы измерения расхода с
использованием цифровых датчиков Холла, но принцип у них, как правило, общий:
каждое изменение магнитного потока через датчик соответствует некоторой порции
жидкости или газа, прошедшей через трубопровод. В примере, показанном на
рисунке 7, магнитное поле создаётся постоянными магнитами, установленными на
лопастях рабочего колеса.
холл эффект датчик расходомер
Рисунок 7 - Датчик расхода
Рабочее колесо вращается потоком воды. Датчик
выдаёт два импульса за оборот колеса. [4]
Заключение
Теория эффекта Холла достаточно разработана и
даже обобщена на случай зонной структуры твердого тела, и вплоть до 1980 года
казалось, что никаких открытий в этой области физики твердого тела не
предвидится. Однако в 1980 году немецкий физик Клаус фон Клитцинг с соавторами
(Klaus von Klitzing, G.Dorda, M.Pepper), измеряя Э.Д.С. Холла и магнитосопротивление
в поперечном магнитном поле в гетероструктурах, обнаружили, что в сильных полях
(~5-10 Тл) холловская проводимость квантуется. Открытый эффект назвали целым
квантовым эффектом Холла (аббревиатура IQHE - Integer Quantum Hall Effect), а
Клаусу фон Клитцингу с соавторами в 1985 году была присуждена Нобелевская
премия.
В 1983 году Р.Лафлин предположил, что электроны
в двумерном слое вследствие сильного кулоновского отталкивания образуют
несжимаемую квантовую жидкость - жидкость Лафлина, которая оказалась новым, не
известным ранее, квантовым состоянием двумерной взаимодействующей системы. Она
несжимаема и имеет энергетическую щель D в спектре возбуждений (по оценкам, D
~4-5K, что вполне соответствует эксперименту). За это открытие в 1998 году
Лафлину, Штермеру и Тсуи была вручена нобелевская премия по физике.
В настоящее время проблема двумерной электронной
жидкости по прежнему актуальна в современной физики.
Список литературы
1.
http://ru.wikipedia.org/wiki/Эффект_Холла
.
Рембеза С.И., Каргин Н.И. Физика твердого тела. Оптические, диэлектрические и
магнитные свойства твердых тел: Курс лекций. Ставрополь: Изд-во СевКавГТУ,
2003. Ч. III.
.
А. Кобус, Я. Тушинский Датчики Холла и магниторезисторы. Пер. с польск. В.И.
Тихонова и К. Б. Макидонской, под ред. О.К. Хомерики, М., «Энергия», 1971.
4
Георгий Волович Интегральные датчики Холла. Современная электроника, СТА-ПРЕСС
Декабрь 2004.