Графен и его свойства

  • Вид работы:
    Статья
  • Предмет:
    Физика
  • Язык:
    Русский
    ,
    Формат файла:
    MS Word
    311,83 kb
  • Опубликовано:
    2011-05-17
Вы можете узнать стоимость помощи в написании студенческой работы.
Помощь в написании работы, которую точно примут!

Графен и его свойства

МИНИСТЕРСТВО ОБРАЗОВАНИЯ И НАУКИ УКРАИНЫ

Славянский Педагогический Государственный университет

КАФЕДРА ФИЗИКИ









КУРСОВАЯ РАБОТА

По теме: Графен и его свойства. Нобелевская премия 2010 года по физике


Выполнила

студентка 3-го курса,

физико-математического факультета , группа 3

Щербина И.Л.

Преподаватель

Костиков А.П



Славянск 2011г.

Содержание

 

1. История открытия

. Получение

. Дефекты

. Возможные применения

. Физика

.1 Теория

.1.1 Кристаллическая структура

.1.2 Зонная структура

.1.3 Линейный закон дисперсии

.1.4 Эффективная масса

.1.5 Хиральность и парадокс Клейна

.2 Эксперимент

.2.1 Проводимость

.2.2 Квантовый эффект Холла

. Интересные факты

Литература

 


1. История открытия

Графен является двумерным кристаллом <#"513514.files/image001.gif">

Кристаллическая решётка <#"513514.files/image002.gif">, где m и n - любые целые числа) образует подрешётку из эквивалентных ему атомов, то есть свойства кристалла независимы от точек наблюдения, расположенных в эквивалентных узлах кристалла. На рисунке 3 представлены две подрешётки атомов, закрашенные разными цветами: зелёным и красным.

Расстояние между ближайшими атомами углерода в шестиугольниках, обозначенное a0, составляет 0,142 нм. Постоянную решётки <#"513514.files/image003.gif">, то есть 0,246 нм. Если определить за начало координат точку, соответствующую узлу кристаллической решётки (подрешётка A), из которой начинаются векторы трансляций <#"513514.files/image004.gif"> с длиной векторов, равной a, и ввести двумернуюдекартову систему координат <#"513514.files/image005.gif">

а соответствующие им вектора обратной решётки:


(без множителя 2π). В декартовых координатах положение ближайших к узлу подрешётки A (все атомы которой на рисунке 3 показаны красным) в начале координат, атомов из подрешётки B (показаны соответственно зелёным цветом) задаётся в виде:





5.1.2 Зонная структура

 

Кристаллическая структура материала находит отражение во всех его физических свойствах. В особенности сильно от порядка, в котором расположены атомы в кристаллической решётке, зависит зонная структура кристалла.

Зонная структура графена рассчитана в статье[1] <#"513514.files/image009.gif">

где коэффициент λ - некий неизвестный (вариационный) параметр, который определяется из минимума энергии. Входящие в уравнение волновые функции φ1 и φ2 записываются в виде суммы волновых функций отдельных электронов в различных подрешётках кристалла


Здесь  и  - радиус-векторы <#"513514.files/image014.gif"> и  - волновые функции электронов, локализованных вблизи этих узлов.

В приближении сильно связанных электронов интеграл перекрытия (γ0), то есть сила взаимодействия, быстро спадает на межатомных расстояниях. Другими словами - взаимодействие волновой функции центрального атома с волновыми функциями атомов, расположенных на зелёной окружности (см. Рис. 4), вносит основной вклад в формирование зонной структуры графена.

Энергетический спектр электронов в графене имеет вид (здесь учтены только ближайшие соседи, координаты которых задаются по формуле (1.3))


где знак «+» соответствует электронам, а «-» - дыркам.

5.1.3 Линейный закон дисперсии

 

Из уравнения (2.4) следует, что вблизи точек соприкосновения валентной зоны и зоны проводимости (K и K') закон дисперсии для носителей (электронов) в графене представляется в виде:


Где vF - скорость Ферми <#"513514.files/image019.gif"> отсчитанного от K или K ' точек Дирака,  - постоянная Планка <#"513514.files/image021.gif">) в графене обладают нулевой эффективной массой. Скорость Ферми vF играет роль «эффективной» скорости света. Так как электроны и дырки - фермионы, то они должны описываться уравнением Дирака, но с нулевой массой частиц и античастиц (аналогично уравнениям для безмассовых нейтрино). Кроме того, так как графен - двухдолинный полуметалл, то уравнение Дирака должно быть модифицировано для учёта электронов и дырок из разных долин (K, K'). В итоге мы получим восемь дифференциальных уравнений первого порядка, которые включают такие характеристики носителей, как принадлежность к определённой подрешётке (A, B) кристалла, нахождение в долине (K, K') и проекцию спина. Решения этих уравнений описывают частицы с положительной энергией (электроны) и античастицы с отрицательной энергией (дырки). Обычно спин электрона не принимают во внимание (когда отсутствуют сильные магнитные поля) и гамильтониан уравнения Дирака записывается в виде:


где  - вектор-строка, состоящая из матриц Паули <#"513514.files/image024.gif">

где выражение под интегралом и есть искомая плотность состояний (на единицу площади):


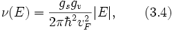
Где gs и gv - спиновое и долинное вырождение соответственно, а модуль энергии появляется, чтобы описать электроны и дырки одной формулой. Отсюда видно, что при нулевой энергии плотность состояний равна нулю, то есть отсутствуют носители (при нулевой температуре).

Концентрация электронов задаётся интегралом по энергии



Где EF - уровень Ферми <#"513514.files/image027.gif">

Концентрацией носителей управляют с помощью затворного напряжения. Они связаны простым соотношением  (при толщине диэлектрика 300 нм).

Здесь также следует обратить внимание на тот факт, что появление линейного закона дисперсии при рассмотрении гексагональной решётки не является уникальной особенностью для данного типа кристаллической структуры, а может появляться и при существенном искажении решётки вплоть до квадратной решётки <#"513514.files/image029.gif">

где «±» соответствует спиновому расщеплению. Плотность состояний <#"513514.files/image030.gif">

Где S(E) = πk2 - площадь орбиты в пространстве волновых векторов на уровне Ферми. Осциллирующий характер плотности состояний приводит к осцилляциям магнетосопротивления, что эквивалентно -эффекту Шубникова  де Гааза <#"513514.files/image031.gif">

Циклотронная масса <#"513514.files/image032.gif">

Если принять во внимание линейный закон дисперсии для носителей в графене (3.1), то зависимость эффективной массы от концентрации задаётся формулой


Согласие этой корневой зависимости с экспериментальными результатами стало доказательством линейности закона дисперсии в графене

5.1.5 Хиральность и парадокс Клейна

Рассмотрим часть гамильтониана для долины K (см. формулу (3.2)):


Матрицы Паули здесь не имеют отношения к спину электрона, а отражают вклад двух подрешёток в формирование двухкомпонентной волновой функции частицы. Матрицы Паули являются операторами псевдоспина по аналогии со спином электрона. Данный гамильтониан полностью эквивалентен гамильтониану для нейтрино <#"513514.files/image035.gif"> в единицах 4e2 / h (множитель 4 появляется из-за четырёхкратного вырождения энергии), то есть Это квантование согласуется с теорией квантового эффекта Холла для дираковских безмассовых фермионов <#"513514.files/image037.gif">

Рис. 6. a) Квантовый эффект Холла в обычной двумерной системе. b) Квантовый эффект Холла в графене. G = gsgv = 4 - вырождение спектра

В современных образцах графена (лежащих на подложке) вплоть до 45 Т невозможно наблюдать дробный квантовый эффект Холла <#"513514.files/image038.gif">

Где ν и ν' - факторы заполнения в n- и p- области соответственно (p-область находится под верхним затвором), которые могут принимать значения  и т. д. Тогда плато в структурах с одним p-n переходом наблюдаются при значениях 1, 3/2, 2, и т. д.

Для структуры с двумя p-n переходами соответствующие значения холловской проводимости равны



6. Интересные факты


Со. 7. Для получения нанотрубки (n, m), графитовую плоскость надо разрезать по направлениям пунктирных линий и свернуть вдоль направления вектора R

В статье, опубликованной 10 ноября 2005 года в журнале Nature, Константин Новосёлов <#"513514.files/image042.gif">между первым и нулевым уровнями Ландау равно 1200 K при магнитном поле 9 Т).

При сворачивании графена в цилиндр (см. Рис. 7) получается одностенная нанотрубка. В зависимости от конкретной схемы сворачивания графитовой плоскости, нанотрубки могут обладать или металлическими, или полупроводниковыми свойствами.

В графене отсутствует вигнеровская кристаллизация <http://ru.wikipedia.org/wiki/%D0%92%D0%B8%D0%B3%D0%BD%D0%B5%D1%80%D0%BE%D0%B2%D1%81%D0%BA%D0%B8%D0%B9_%D0%BA%D1%80%D0%B8%D1%81%D1%82%D0%B0%D0%BB%D0%BB>.

В графене нарушается приближение Борна-Оппенгеймера <http://ru.wikipedia.org/wiki/%D0%9F%D1%80%D0%B8%D0%B1%D0%BB%D0%B8%D0%B6%D0%B5%D0%BD%D0%B8%D0%B5_%D0%91%D0%BE%D1%80%D0%BD%D0%B0-%D0%9E%D0%BF%D0%BF%D0%B5%D0%BD%D0%B3%D0%B5%D0%B9%D0%BC%D0%B5%D1%80%D0%B0> (адиабатическое приближение), гласящее, что в силу медленного движения ионных остовов решётки их можно включить в рассмотрение как возмущение, известное как фононы решётки, - основное приближение, на котором строится зонная теория твёрдых тел.

За получение и исследование свойств графена, Нобелевская премия 2010 года по физике присуждена Андрею Гейму <http://ru.wikipedia.org/wiki/%D0%93%D0%B5%D0%B9%D0%BC,_%D0%90%D0%BD%D0%B4%D1%80%D0%B5%D0%B9_%D0%9A%D0%BE%D0%BD%D1%81%D1%82%D0%B0%D0%BD%D1%82%D0%B8%D0%BD%D0%BE%D0%B2%D0%B8%D1%87> и Константину Новосёлову <http://ru.wikipedia.org/wiki/%D0%9D%D0%BE%D0%B2%D0%BE%D1%81%D1%91%D0%BB%D0%BE%D0%B2,_%D0%9A%D0%BE%D0%BD%D1%81%D1%82%D0%B0%D0%BD%D1%82%D0%B8%D0%BD_%D0%A1%D0%B5%D1%80%D0%B3%D0%B5%D0%B5%D0%B2%D0%B8%D1%87>.

 


Литература


1.       Novoselov K.S. et al. «Electric Field Effect in Atomically Thin Carbon Films», Science 306, 666 (2004)

2.       Bunch J.S. et. al. Electromechanical Resonators from Graphene Sheets Science 315, 490 (2007)

.        Chen Zh. et. al. Graphene Nano-Ribbon Electronics Physica E 40, 228 (2007)

.        Novoselov, K. S. et al. «Two-dimensional atomic crystals», PNAS 102, 10451 (2005)

.        Rollings E. et. al. Synthesis and characterization of atomically thin graphite films on a silicon carbide substrate J. Phys. Chem. Solids 67, 2172 (2006)

6.       Hass J. et. al. Highly ordered graphene for two dimensional electronics Appl. Phys. Lett. 89, 143106 (2006)

7.       Novoselov K.S. et al. «Two-dimensional gas of massless Dirac fermions in graphene», Nature 438, 197 (2005)

.        Shioyama H. Cleavage of graphite to graphene J. Mat. Sci. Lett. 20, 499-500 (2001)

.        Ландау Л.Д., Лифшиц Е.М. Статистическая физика. - 2001.

10.     Zhang Y. et al. Fabrication and electric-field-dependent transport measurements of mesoscopic graphite devices Appl. Phys. Lett. 86, 073104 (2005)

11.     Parvizi F., et. al. Graphene Synthesis via the High Pressure - High Temperature Growth Process Micro Nano Lett., 3, 29 (2008)

.        Sidorov A.N. et al.,Electrostatic deposition of graphene Nanotechnology 18, 135301 (2007)

.        J. Hass et. al. Why Multilayer Graphene on 4H-SiC(000-1) Behaves Like a Single Sheet of Graphene Phys. Rev. Lett. 100, 125504 (2008).

14.     S.R.C. Vivekchand; Chandra Sekhar Rout, K.S. Subrahmanyam, A. Govindaraj and C.N.R. Rao (2008). "Graphene-based electrochemical supercapacitors". J. Chem. Sci., Indian Academy of Sciences 120, January 2008: 9−13.

15.     Статья Графен из Википедии, свободной энциклопедии. Доступно под лицензией Creative Commons Attribution-Share Alike

Похожие работы на - Графен и его свойства

 

Не нашли материал для своей работы?
Поможем написать уникальную работу
Без плагиата!
Без нейросетей!