Трансформатор ТМ 1800/б

  • Вид работы:
    Курсовая работа (т)
  • Предмет:
    Физика
  • Язык:
    Русский
    ,
    Формат файла:
    MS Word
    3,45 Мб
  • Опубликовано:
    2012-06-16
Вы можете узнать стоимость помощи в написании студенческой работы.
Помощь в написании работы, которую точно примут!

Трансформатор ТМ 1800/б

Министерство образования и науки РФ

сибирский федеральный университет

САЯНО-ШУШЕНСКИЙ филиал

ФГАОУ ВПО «сибирский федеральный университет»

Факультет Гидроэнергетический

Кафедра ГГЭЭС

Группа Э09-01





Курсовой проект

ТРАНСФОРМАТОР ТМ 1800/6

Пояснительная записка

Разработал студент

Нестеров Д. А.

Проверил преподаватель

Подборский Э. Н.






Саяногорск 2012

Содержание

Введение

1. Выбор основных размеров трансформатора

.1 Расчет основных электрических величин трансформатора

.2 Определение размеров главной изоляции обмоток

.3 Выбор материала магнитной системы

.4 Определение основных размеров трансформатора

. Расчет обмоток трансформатора

.1 Выбор материала и конструкции обмоток

.2 Расчет обмотки НН

.2.1 Общие замечания

.2.2 Расчёт катушечной обмотки НН

.3 Расчет обмоток ВН

.3.1 Общие замечания

.3.2 Расчёт катушечной обмотки ВН

. Определение параметров короткого замыкания

.1 Расчет потерь короткого замыкания

.2 Расчет напряжения короткого замыкания

.3 Проверка обмоток трансформатора на механическую прочность при коротком замыкании

. Расчет магнитной системы трансформатора

.1 Определение размеров и массы магнитной системы

.2 Определение потерь холостого хода трансформатора

.3 Определение тока холостого хода трансформатора

. Тепловой расчет трансформатора

.1 Тепловой расчет обмоток

.2 Тепловой расчет бака трансформатора

.2.1 Общие замечания

.2.2 Бак с охлаждающими трубами

.3 Окончательный расчет превышений температуры

Список литературы5

Вариант 66

Исходные данные представлены в таблице 1:

Таблица 1

Номинальная мощность Sн, кВА

Uн2 ВН, кВ

Uн1 НН, кВ

Схема и группа соединения обмоток

Потери, кВт

uкз, %

iоз, %

Допустимый материал обмоток









Cu

Al






х.х. Pхз

к.з. Pкз





66

1800

10

3,15

Y/Δ-11

2,8

16,5

5,5

1,3

да

да


Спроектированный трансформатор должен соответствовать требованиям ГОСТ 11677-85; ГОСТ 12022-76; ГОСТ 11920-85.

Пояснительная записка должна быть оформлена в строгом соответствии с ГОСТ 7.32-2001, ГОСТ 7.1-2003, ГОСТ 7.80-2000, ГОСТ 7.12-93, ГОСТ 7.88-2003, ГОСТ 7.82-2001.

Иллюстрации (рисунки, чертежи) должны соответствовать требованиями ЕСКД.

Дополнительные условия

Сталь электротехническая марки M4X.

Обмотки из медного провода.

Введение

Изучение электромеханики важно для всех электротехнических специальностей, потому что электромеханические преобразователи (электрические машины) являются основными источниками и потребителями электроэнергии. Почти вся электрическая энергия, используемая человечеством, вырабатывается синхронными генераторами, и львиная доля ее потребляется электрическими двигателями с целью преобразования в механическую энергию.

Трансформатор - это статическое (т. е. без механического движения) электромагнитное устройство для преобразования напряжения переменного тока одной величины в напряжение переменного тока другой величины.

Обычно вся электрическая энергия не может быть использована в месте ее производства - там нет достаточного количества мощных потребителей. И наоборот, в районах с развитой промышленностью возможности строительства новых гидравлических и тепловых электростанций в значительной степени уже исчерпаны. В то же время в Сибири и на Севере имеются огромные, еще не полностью используемые энергетические ресурсы рек и месторождений жидкого, газообразного и твердого топлива. Строящиеся в этих местах и проектируемые электростанции могут питать электрической энергией как ближайшие, так и отдаленные промышленные районы, для чего потребуется построить линии электропередачи длиной 3000-5000 км. Передача электрической энергии на расстояние, ее дробление на части с целью распределения потребителям не могут осуществляться без многократной трансформации напряжения.

Итак, напряжение, получаемое от генератора на электростанции, повышается трансформатором и передается на линию электропередачи. В районе использования напряжение должно быть понижено с помощью трансформатора. В распределительных сетях трансформаторы еще более понижают напряжение с одновременным дроблением мощности на части, соответствующие мощностям нагрузок. Таким образом, в процессе передачи электроэнергии производится 5-6 трансформаций напряжения.

Для энергетических систем характерны следующие основные особенности:

. Из-за наличия 5-6 ступеней трансформации напряжения трансформаторы являются самыми многочисленными элементами энергосистем.

. Суммарная мощность трансформаторов на каждой следующей ступени принимается большей, чем на предыдущей. Это объясняется тем, что трансформаторы следующей ступени не бывают все одновременно нагружены до номинальной мощности.

. Суммарная мощность всех трансформаторов в энергетической системе в среднем в 6-8 раз превышает суммарную мощность генераторов.

Изучение электрических машин, как правило, начинается с трансформатора, потому что происходящие в нем физические процессы имеют много общего с процессами во вращающихся машинах. Принцип работы и трансформатора, и электрической машины основан на явлении электромагнитной индукции. Затем, имея знания о теории трансформатора, намного проще изучить теорию электрических машин переменного тока.

1. Выбор основных размеров трансформатора

.1 Расчет основных электрических величин трансформатора

Мощность трансформатора на один стержень равна его мощности на одну фазу:


где - номинальная (полная) мощность трансформатора;

-число фаз трансформатора (в данном случае =3).

Номинальные линейные токи обмоток НН и ВН трехфазного трансформатора соответственно:


где  и - номинальные линейные напряжения обмоток НН и ВН.

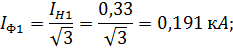
Фазные токи и напряжения обмоток НН и ВН трехфазного трансформатора соответственно:

Обмотка НН соединена в «треугольник» отсюда следует что:


Обмотка ВН соединена в «звезду» отсюда следует что:


Заданная активная составляющая напряжения короткого замыкания:

 ;

где  - заданные потери короткого замыкания.

Заданная реактивная составляющая напряжения короткого замыкания:

 ;

где  - заданное напряжение короткого замыкания.

Выбираем испытательные напряжения для обмоток в соответствии с их классами напряжения по таблице 2:

Таблица 2

Класс напряжения, кВ

До 1

3

6

10

15

20

35

Испытательное напряжение , кВ

5,0

18,0

25,0

35,0

45,0

55,0

85,0


Для обмоток ВН принимаю:

Для обмоток НН принимаю:

.2 Определение размеров главной изоляции обмоток

Выбираем соответствующие изоляционные расстояния между частями проектируемого трансформатора, исходя из его мощности и испытательных напряжений его обмоток.

Основные размеры указаны на рисунке 1.

Рисунок 1.

Для своего варианта по заданной мощности трансформатора и испытательному напряжению его обмоток НН и ВН основные параметры представлены в таблицах 3 и 4:

Таблица 3

Минимальные изоляционные расстояния обмоток НН

Мощность трансформатора Sн, кВА

Испытательное напряжение НН , кВ

НН от ярма l01, мм

НН от стержня, мм




δ01

ац1

а01

lц1

1000-2500

5

Принять равным l02 для обмоток ВН

4

6

15

18


Таблица 4

Минимальные изоляционные расстояния обмоток ВН

Мощность трансформатора Sн, кВА

Испытательное напряжение ВН , кВ

ВН от ярма, мм

Между ВН и НН, мм

Выступ цилиндра lц2, мм

Между ВН и ВН, мм



l02**

δш

а12

δ12










а22

δ22

1000-6300

18, 25 и 35

50

-

20

4

20

18

-


.3 Выбор материала магнитной системы

Выбираю марку и толщину стали, определяю коэффициент заполнения стали, коэффициент заполнения круга и общий коэффициент заполнения сталью площади круга, описанного вокруг сечения стержня.

Выбираю самую дешевую и принимаю:

Марка стали 3404 и толщина листов 0,3 мм (kзап=0,96).

Для своего варианта по заданной мощности трансформатора предварительно выбираю: диаметр, число ступеней стержня и коэффициент заполнения круга. Данные представлены в таблице 4:

Таблица 4

Мощность трансформатора Sн, кВА

Диаметр стержня dн, м

Без прессующей пластины



Число ступеней

Коэф. kкр

2500-6300

0,30-0,34

9

0,929


Выбираю прессовку без прессующей пластины.

Таким образом, общий коэффициент заполнения сталью площади круга, описанного вокруг ступенчатой фигуры сечения стержня:


.4 Определение основных размеров трансформатора

Определяю диаметр стержня, высоту обмоток и диаметр осевого канала между обмотками. Дополнительно определяю площади сечения стержня.

Диаметр стержня предварительно определяю по формуле:

где  - мощность трансформатора на один стержень или его мощности на одну фазу;  - заданный коэффициент приведения идеального поля рассеяния к реальному, предварительно ; реактивная составляющая напряжения короткого замыкания;  Гц;  заданная индукция в стержне, выбирается предварительно в пределах 1,60-1,65.

Заданная ширина приведенного канала рассеяния:


где:

-коэффициент, представленный в таблице 5:

Таблица 5.

Мощность трансформатора Sн, кВА

Материал обмоток


Медь

Алюминий


Класс напряжения (обмотки ВН), кВ


6 и 10

35 и 20

6 и 10

35 и 20


Коэффициент K

1000-6300

0,51-0,43

0,52-0,48

0,61-0,54

0,65-0,60


Принимаю материал обмотки медь и при классе напряжения ВН 10 кВ K=0,51.


-коэффициент, представленный в таблице 6:

Таблица 6.

Мощность трансформатора Sн, кВА

Материал обмоток


Медь

Алюминий


Класс напряжения трансформатора, кВ


6 и 10

35 и 20

6 и 10

35 и 20


Коэффициент

1000-6300

2,0-2,6

1,8-2,4

1,3-1,7

1,2-1,6


Принимаю материал обмотки медь и при классе напряжения ВН 10 кВ =2,6.

Тогда:

Полученный диаметр округляю до ближайшего нормализованного и принимаю:

Определяю коэффициент , соответствующий выбранному диаметру :


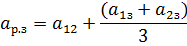
Заданный средний диаметр канала между обмотками:


Предварительно заданный:


где коэффициент =1,4.

Тогда:

Предварительно определяю заданную высоту обмоток:


где , а  и  найдены ранее.

Активное сечение стержня равно:



. Расчет обмоток трансформатора

.1 Выбор материала и конструкции обмоток

Рассматриваются типы применяемых проводов, типы обмоток и различия между ними. Определяется напряжение витка и средняя плотность тока в обмотках.

Заданная электродвижущая сила (напряжение) одного витка:


Средняя плотность тока в обмотках:


где коэффициент  (Ом·м)-1 для обмоток из медного провода;  коэффициент, учитывающий добавочные потери выбирается по таблице 7;

Таблица 7.

Мощность трансформатора Sн, кВА

Коэффициент

25-100

0,97

160-630

0,96-0,93

1000-6300

0,93-0,85


Тогда:

Полученное значение в моём случае должно быть в пределах 2,2-3,5 .

.2 Расчет обмоток НН

.2.1 Общие замечания

Определяется число витков обмотки с уточнением напряжения витка и индукции в стержне. Определяется ориентировочное сечение витка. Выполняется глубокий анализ всех вариантов и выбирается тип провода и тип обмотки.

Число витков обмотки НН на одну фазу:


Уточняется напряжение одного витка:


Уточняем действительную индукцию стержня:


Заданное ориентировочное сечение витка обмотки:


Для уменьшения потерь мощности и нагрева выбираю обмотку НН прямоугольного сечением несколько большим, чем ориентировочное и принимаю: b=0,016 мм, a=0,004 мм.

Выбираю в качестве обмотки НН катушечную обмотку.

.2.2 Расчет катушечной обмотки НН

Определяется число реек, выбираются провода нужного размера. Уточняется сечение витка и находится реальная плотность тока в обмотке. Находятся высота катушки, ориентировочное число катушек и число витков в катушке. Уточняется радиальный размер обмотки. Находится плотность теплового потока обмотки, уточняется осевой размер обмотки и находятся ее внутренний и наружный диаметры.

На рисунке 2 представлена непрерывная катушечная обмотка НН.

Рисунок 2.

На рисунке 3 представлено расположение катушек, реек и меж катушечных прокладок в обмотке НН.

Размеры провода в изоляции:


где  из справочных таблиц.

Подобранные размеры проводов:

То есть, выбран медный провод с числом параллельных проводов равным 1, и поперечными размерами без изоляции с изоляцией

Полное сечение витка обмотки из  параллельных проводов:


Реальная плотность тока в обмотке НН:


Принимаем заданную высоту обмотки НН  Кроме того уменьшим  на 1 см. .

Число катушек на одном стержне:

Для случая, когда каналы сделаны между всеми катушками:


Округляем =24

Число витков в катушке:

Округляем:

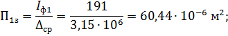
Радиальный размер обмотки:


Плотность теплового потока:


Осевой размер обмотки, опрессованной после сушки трансформатора:


 увеличиваем на 1 см, полученное значение должно быть близко  но не должно превышать его:.

Внутренний диаметр обмотки:

 м.

Наружный диаметр обмотки:


.3 Расчет обмоток ВН

.3.1 Общие замечания

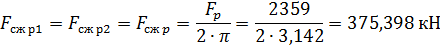
Число витков, необходимых для получения номинального напряжения:


Число витков на одной ступени регулирования напряжения:


Число витков обмотки на ответвлениях будет равно:

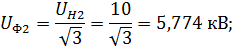
на верхней ступени:

при номинальном напряжении:

на нижней ступени:

Плотность тока в обмотке ВН:


Ориентировочное сечение витка ВН:


Для уменьшения потерь мощности и нагрева выбираю обмотку ВН прямоугольного сечением несколько меньшим, чем ориентировочное и принимаю: b=9,0 мм, a=3,55 мм.

.3.2 Расчет катушечной обмотки ВН

Размеры провода в изоляции:


где  из справочных таблиц.

То есть, выбран медный провод с числом параллельных проводов равным 1, и поперечными размерами без изоляции  с изоляцией .

Полное сечение витка обмотки из  параллельных проводов:

электрический трансформатор обмотка замыкание

Реальная плотность тока в обмотке НН:


Высота катушки в этой обмотке равна большему размеру провода в изоляции:

Примем заданную высоту обмотки BН равной:


Число катушек на одном стержне:


Округляем до

Число витков в катушке:


Округляем до

Число витков с усиленной изоляцией:


Число витков в основных катушках обмотки:


Радиальный размер обмотки:

=0,00405 · 8 = 0,0324

Плотность теплового потока:


Осевой размер обмотки, опрессованной после сушки трансформатора


должно превышать его: .

Внутренний диаметр обмотки:


Наружный диаметр обмотки:



3. Определение параметров короткого замыкания

.1 Расчет потерь короткого замыкания

Средние диаметры обмоток НН:


Средние диаметры обмоток ВН:


Масса металла обмоток НН:


Масса металла обмоток ВН:


Основные потери в обмотки НН:


Основные потери в обмотки ВН:


Число проводов в осевом направлении НН:


Число проводов в осевом направлении ВН:


Коэффициент заполнения высоты обмотки НН:


Коэффициент заполнения высоты обмотки ВН:


Число проводников в радиальном направлении НН:


Число проводников в радиальном направлении ВН:


Коэффициент учитывающий добавочные потери НН:

1,048

Коэффициент учитывающий добавочные потери ВН:


1,027

Общая длина проводов:

 м

Массы металла отводов обмоток НН:


Массы металла отводов обмоток ВН:


Потери в отводах обмоток НН:


Потери в отводах обмоток ВН:


Потери в стенках бака:


Полные потери короткого замыкания:


кВт.

.2 Расчет напряжений короткого замыкания

Активная составляющая напряжения короткого замыкания:


Средний диаметр канала между обмотками:


Коэффициент:


Коэффициент учитывающий отклонение реального поля рассеяния от идеального:


Высота для обмоток НН и ВН:


Ширина приведённого канала рассеяния:


Коэффициент, учитывающий взаимное расположение обмоток НН и ВН:


Реактивная составляющая напряжения короткого замыкания:


Напряжение короткого замыкания:


.3 Проверка обмоток трансформатора на механическую прочность при коротком замыкании

Действующее значение установившегося тока короткого замыкания обмоток НН:


Действующее значение установившегося тока короткого замыкания обмоток ВН:


Апериодическая составляющая:


Максимальные мгновенные значения токов короткого замыкания НН:


Максимальные мгновенные значения токов короткого замыкания ВН:


Радиальные силы, действующие на обмотки НН и ВН:


Осевые силы, действующие на обмотки НН и ВН:


Расстояние от стержня магнитопровода до стенки бака трансформатора:


Дополнительные осевые силы:


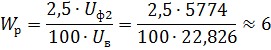
Сила, сжимающая внутреннюю обмотку и разрывающая внешнюю обмотку:


Напряжение сжатия в проводе внутренней обмотки:


Напряжение сжатия в проводе внешней обмотки:

Температуры обмоток через  секунд после возникновения короткого замыкания:

196,31

222,02

4. Расчет магнитной системы трансформатора

.1 Определение потерь холостого хода трансформатора

Без прессующей пластины для диаметра dн=0,3 м

nc=8; ккр=0,930; nя=6; ая=175; Пф.с=0,06572 м2; Пф.я=0,06752 м2; Vу=0,016556 м3.


Активное сечение стержня и ярма:

 м2

 м2

Длина стержня трансформатора:

 см

Расстояние между осями соседних стержней:

м

Масса стали угла:

кг

Масса стали ярма:


кг

Масса стали стержня:


 кг

Полная масса магнитной системы трансформатора:

 кг

.2 Определение потерь холостого хода трансформатора

Магнитная индукция в ярме:


Марка стали: М4Х(0,28 мм)

Вт/кг

Вт/кг

.

.


Значение  не превышает  более чем на 7,5%.

.3 Определение тока холостого тока трансформатора

Активная составляющая тока холостого хода:


 -коэффициент, учитывающий влияние резки уклона стали на пластины и срезание заусенцев;

- коэффициент, учитывающий форму сечения ярма;

- коэффициент, учитывающий увеличение намагничивания мощности в углах магнитной системы;

 - коэффициент, учитывающий увеличение намагничивания мощности в углах магнитной системы в зависимости от ширины пластины второго пакета стержня или ярма;

nкос=6 qя=1,560 qзпр=26700 Пзпрс=0,063

nпр=0 qс= 1,560 qзкос=3700 Пзкосс=0,089

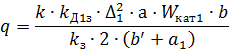
Полная намагничивающая мощность:


Реактивная составляющая тока холостого хода:


Полный ток холостого хода:


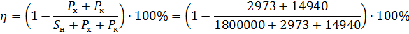
Значение  не превышает .

Коэффициент полезного действия трансформатора:


5. Тепловой расчёт трансформатора

.1 Тепловой расчет обмоток

Внутренние перепады температур:


В итоге средний внутренний перепад температуры обмотки:


Перепад температуры на поверхности катушечных обмоток:


Среднее превышение температуры обмотки над средней температурой охлаждающего масла:



5.2 Тепловой расчет бака трансформатора

.2.1 Общие замечания

Размеры бака зависят от габаритных размеров активной части и минимально допустимых изоляционных расстояний от обмоток и отводов до стенок бака.

Размеры бака:


Минимальные длина A и ширина B бака трехфазного трансформатора:


Высота активной части трансформатора:


Глубина бака ():


Среднее превышение температуры масла, омывающего обмотки, над воздухом должно быть не более величины:

Среднее превышение температуры бака над воздухом:


Предварительное значение необходимой поверхности конвекции бака:


.2.2 Бак с охлаждающими трубами

Выбираем бак с охлаждающими трубами.

Этот тип бака в течение десятилетий применялся в трансформаторах мощностью до 1600 кВ∙А, но в последние годы был заменен на более технологичный тип бака с навесными радиаторами из прямых труб. Коэффициент теплоотдачи стенки с трубами выше, а удельный расход материалов ниже, чем у радиатора с прямыми трубами. Поэтому не исключен возврат к типу бака с трубами при возможном совершенствовании технологии его изготовления.

Рисунок 6

Для бака выберем овальные трубы. Данные приведены в таблице 4.

Таблица 4

Форма трубы

Размеры сечения, , мм

Толщина стенки, мм

Поперечное сечение в свету, мм2

Поверхность 1 м трубы , м2

Масса в 1 м, кг






металла

масла в трубе

овальная

72×20

1,5

890

0,1600

1,820

0,79

Форма трубы

Шаг

Радиус изгиба , мм

Число рядов труб при мощности, кВ×А


между рядами, , мм

в ряду , мм







63-160

250-630

1000-1600

овальная

100

50

188

1

1

1-2


Расстояния между осями труб на стенке бака:


Развернутая длина трубы:


Посчитаем фактическую поверхность теплоотдачи самого бака:


где

Необходимая поверхность конвекции труб:


Необходимая реальная поверхность труб:


где  - коэффициент, учитывающий улучшение теплоотдачи конвекцией с поверхности труб по сравнению с вертикальной гладкой стенкой,

Необходимая общая длина всех труб:


Число труб в каждом ряду:


Округляем до ближайшего четного числа;

Шаг труб в ряду:


Фактическая поверхность труб:


Фактическая поверхность конвекции бака с трубами:


Поверхность излучения бака с трубами:



.3 Окончательный расчет превышений температуры

Среднее превышение температуры стенки бака над температурой окружающего воздуха:


Среднее превышение температуры масла вблизи стенки над температурой стенки бака:


Превышение температуры масла в верхних слоях над температурой окружающего воздуха:


Превышение температуры обмоток над температурой окружающего воздуха подсчитывают отдельно для обмоток НН и ВН:

=29,71+ = 61,34

== 24,18+= 55,81 .

Список литературы:

1. Э.Н. Подборский «Проектирование трансформаторов»: учебное пособие. Абакан: ХТИ - филиал КГТУ, 2003г., 128с.

. Тихомиров П.М. «Расчет трансформаторов»: учебное пособие для вузов.-5е изд. перераб. и доп. - М.: Энергоатомиздат, 1986-528с.

.Иванов - Смоленский А.В. Электрические машины: Учебник для вузов. - М.:Энергия, 1980. - 928 с., ил.


Не нашли материал для своей работы?
Поможем написать уникальную работу
Без плагиата!
Без нейросетей!