Сопротивление материалов

  • Вид работы:
    Курсовая работа (т)
  • Предмет:
    Физика
  • Язык:
    Русский
    ,
    Формат файла:
    MS Word
    1,98 Мб
  • Опубликовано:
    2012-09-08
Вы можете узнать стоимость помощи в написании студенческой работы.
Помощь в написании работы, которую точно примут!

Сопротивление материалов

Министерство Образования и Науки Российской Федерации

Федеральное Агентство по Образованию

Новосибирский Государственный Технический Университет

Кафедра Прочности Летательных Аппаратов







Курсовая работа

по дисциплине "Сопротивление материалов"


Факультет: ЛА

Группа: ПС-91

Студент: Мехдиев Р.Р.

Преподаватель: Белоусова Е. Н.






Новосибирск 2011

СОДЕРЖАНИЕ

ВВЕДЕНИЕ

. РАСЧЁТ НА ИЗГИБ ДВУТАВРОВОЙ БАЛКИ

1.1 Условие задачи

1.2 Исходные данные

1.3 Определение перерезывающих сил и изгибающих моментов

1.4 Расчёт балки на полную статическую прочность при изгибе

1.5 Определение прогибов и углов поворота балки

2. РАСЧЁТ СТАТИЧЕСКИ НЕОПРЕДЕЛИМОЙ ПЛОСКОЙ РАМЫ

.1 Условие задачи

.2 Построение эпюр внутренних силовых факторов

2.3 Обоснование правильности раскрытия статической неопределимости рамы статической и кинематической проверками

.4 Подбор двутаврового профиля по ГОСТ 8239-72

2.5 Определение угла поворота заданного сечения

2.6 Исследование напряжённого состояния рамы в случае повреждения опор

3. РАСЧЁТ ПРОСТРАНСТВЕННОГО ЛОМАНОГО БРУСА

3.1 Условие задачи

3.2 Построение эпюр внутренних силовых факторов

3.3 Определение опасного сечения бруса

3.4 Определение рационального расположения поперечного сечения и допускаемой нагрузки

.5 Определение вертикального перемещения свободного конца бруса

ЗАКЛЮЧЕНИЕ

СПИСОК ИСПОЛЬЗУЕМОЙ ЛИТЕРАТУРЫ

ПРИЛОЖЕНИЕ

ВВЕДЕНИЕ

Цель данной курсовой работы состоит в том, чтобы студент получил основные навыки решения типовых задач по курсу сопротивления материалов.

В данной работе рассмотрены три задачи, отличающиеся друг от друга объемом работы и методами решения.

В первой задаче требуется рассчитать на изгиб двутавровую балку, для чего необходимо знание особенностей расчёта на полную статическую прочность при поперечном изгибе. Также необходимо определить прогибы и углы поворота балки с использованием универсального уравнения упругой линии.

Во второй задаче требуется провести расчет статически неопределимой плоской рамы. В этой задаче необходимо научиться строить эпюры внутренних силовых факторов для рам, а также раскрывать статическую неопределимость конструкций по методу сил. Правильность построения эпюр проверяется статической и кинематической проверками. Также необходимо исследовать напряжённое состояние рамы при повреждении каждой из шарнирных опор.

В третьей задаче требуется рассчитать пространственный ломаный брус. Необходимо построить эпюры всех внутренних силовых факторов, проверить их правильность, выбрать опасное сечение, определить рациональное положение опасного сечения исходя из условия прочности. Определить максимальную допускаемую нагрузку для рационально расположенного бруса. Также необходимо определить вертикальное перемещение свободного конца бруса.

Даная работа, также предусматривает умение работать на ПК, оформлять отчёты, а также иметь знания для написания программ и работы с приложениями позволяющими облегчить расчёт.

.        РАСЧЁТ НА ИЗГИБ ДВУТАВРОВОЙ БАЛКИ

1.1 Условие задачи

Двутавровая стальная балка закреплена на двух шарнирных опорах и нагружена в соответствии с заданной расчётной схемой. Допускаемые напряжения [σ]=160 МПа, модуль упругости Е=2.0∙105 МПа.

Требуется:

) записать выражения и построить эпюры для изгибающих моментов и перерезывающих сил по силовым участкам;

)из условия полной проверки на статическую прочность подобрать по ГОСТу требуемый номер двутаврового профиля;

)с использованием универсального уравнения упругой линии записать выражения для прогибов и углов поворота по силовым участкам;

)построить эпюры углов поворота (в градусах) и прогибов (в миллиметрах).

1.2 Исходные данные

Двутавровая балка закреплена на двух шарнирных опорах и нагружена в соответствии с расчётной схемой №7, как показано на рис. 1.1 Исходные данные и механические характеристики представлены в табл. 1.1.

Параметры

Значения параметров

M1, кНм

10,0

P1, кН

20,0

P2, кН

30,0

q, кН/м

40,0

a, м

0,4

σ, МПа

160

E, МПа

2∙105



1.3 Определение перерезывающих сил и изгибающих моментов

Выбираем систему координат (начало системы координат совмещено с левым по рис. 1.1 концом балки) и разбиваем балку на силовые участки.

.        Используя табл. 1.1, представим заданные усилия и моменты в безразмерном виде:

,, ,

, ,

.

Определяем реакции опор:

,

.

Из (1.1) находим

,

.

Проверка:

.

Последовательно рассматриваем силовые участки и записываем уравнения для Q и М, вычисляем значения M и Q в характерных точках.

Участок 1-2 (0≤х≤а)

Q12(x)=qx, Q12(0)=0, Q12(а)=qa;

, , .

Участок 2-3 (а≤х≤2а)

Q23(x)=R1-qa, Q23(a)= Q23(2а)=3.5781qa-qa=2.5781qa;

, ,

.

Участок 3-4 (2а≤х≤3а)

Q34(x)=R1-qa-P1, Q34(2a)= Q34(3а)=3.5781qa-qa-1.25qa=1.3281qa;

,

,

.

Участок 4-5 (3а≤х≤4а)

Q45(x)=-R1+qa+P1+P2, Q45(3a)= Q45(4а)=-3.5781qa+qa+1.25qa+1.875qa=0.5469qa;

,

,

,

.

Участок 5-6 (4а≤х≤5а)

Q56(x)=-R1+qa+P1+ P2+P1, Q56(4a)= Q56(5а)=-3.5781qa+qa+1.25qa+1.875qa+1.25qa =1.7969qa;

,

,

,

,

.

Участок 6-7 (5а≤х≤6а)

Q67(x)=R1-qa-P1- P2-P1+ R2-q(x-5a),(5a)= R1-qa-P1- P2-P1+ R2=3.5781qa-qa-1.25qa-1.875qa-1.25qa+2.7969qa=qa,(6a)= R1-qa-P1- P2-P1+ R2-qa=3.5781qa-qa-1.25qa-1.875qa-1.25qa+2.7969qa-qa=0;

-

,

,

,

,

.

Используя полученные результаты, строим эпюры Q и M (рис. 1.2). Используя правила проверки эпюр убеждаемся в правильности их построения.


1.4 Расчёт балки на полную статическую прочность при изгибе

. Номер двутаврового сечения балки определяем из расчёта на прочность по максимальным нормальным напряжениям.


В сечении с

 

должно выполняться условие , откуда находим потребный момент сопротивления балки

.

По ГОСТу 8239-72 выбираем ближайший по моменту сопротивления двутавровый профиль №18 с

.

Схематическое изображение сечения представлено на рис. 1.3. Геометрические и жесткостные параметры двутаврового профиля:

, , , ,

, , ,

.

2. Выполняем проверку по максимальным касательным напряжениям. В сечении с максимальным значением перерезывающей силы проверяем прочность в точке С (рис. 1.3) поперечного сечения балки

;

,

;

.

Прочность по максимальным касательным напряжениям обеспечена.

. Определяем опасные сечения в балке, таковыми являются сечения 3 и 4 (рис. 1.2), т. к. в них велики значения перерезывающих сил и изгибающих моментов.

Проверяем прочность (по четвёртой теории прочности) точки В (рис. 1.3) в поперечном сечении 3 балки, которая соответствует максимальному значению эквивалентного напряжения:

, , ,

, ,

;

,

,

,

.

Проверяем прочность (по четвёртой теории прочности) точки В (рис. 1.3) в поперечном сечении 4 балки:

, , ,

, ,

;

,

,

.

Напряжение  в сечении 4, а в сечении 3 перенапряжение δ % не превышает 5 %, поэтому выбранный двутавр №18 может быть использован в конструкции для данной системы нагрузок.

1.5 Определение прогибов и углов поворота балки

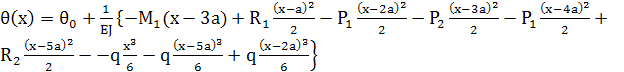
Для определения прогибов и углов поворота воспользуемся универсальным уравнением упругой линии, которое для балки с постоянной жёсткостью имеет вид:

,

, (1.2)

где V0 и θ0 - произвольные постоянные.

В (1.2) под знаками сумм следует учитывать силовые факторы, лежащие слева от рассматриваемого сечения, выражения в круглых скобках всегда больше или равны нулю. Распределённая нагрузка  должна заканчиваться на правом конце балки.

В данном случае будем иметь:

.

. (1.3)

Слагаемые в (1.3) следует учитывать для рассматриваемого сечения только тогда, когда выражение в круглых скобках неотрицательно.

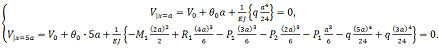
Произвольные постоянные V0 и θ0 определяются из граничных условий:


Вычисления по формулам (1.3) с учётом (1.4) удобно проводить с помощью ЭВМ. Текст программы на языке FORTRAN, приведён в приложении 1. Результаты Расчётов представлены в виде эпюр Q, M, θ и V на рис. 1.4.



. РАСЧЁТ СТАТИЧЕСКИ НЕОПРЕДЕЛИМОЙ ПЛОСКОЙ РАМЫ

2.1 Условие задачи

Плоская рама изготовлена из стальных балок двутаврового профиля. В точках 1, 2, 3 и 4 имеет опорные закрепления, расположение которых дано в табл. 2.1, схемы опор представлены на рис. 2.1. Рама нагружена в соответствии с заданной расчётной схемой рис. 2.2. Жёсткость на изгиб поперечного сечения горизонтальных стержней равна EJ, вертикальных - 2EJ. Допускаемое напряжение [σ]=140 МПа, модуль упругости Е=2.0∙105 МПа. Требуется:

)        раскрыв статическую неопределимость по методу сил, построить эпюры внутренних силовых факторов;

)        обосновать правильность раскрытия статической неопределимости рамы статической и кинематической проверками;

)        подобрать двутавровый профиль по ГОСТ 8239-72, сохранив заданное соотношение жёсткостей;

)        определить угол поворота сечения 2;

)        исследовать напряжённое состояние рамы при повреждении каждой из шарнирных опор.


Тип опоры





Параметр

1

2

3

4

M, qa2

P, qa

q, кН/м

a, м

Значение

2

3

1

2

1.0

3.0

10.0

2



2.2 Построение эпюр внутренних силовых факторов

Строим эквивалентную систему.

Определяем степень статической неопределимости Nx=6-3=3. Выбираем основную систему (рис. 2.3), отбрасывая три лишние связи - шарнирные опоры в точках 1, 2 и 4. Загружаем основную систему внешними нагрузками и лишними неизвестными Х1, Х2 и Х3, действующими в направлении отброшенных связей (рис. 2.4).


Эта схема, дополненная системой канонических уравнений метода сил

 

где  

и будет эквивалентной системой. На схеме (рис. 2.4) показаны номера силовых участков (цифры в скобках), для каждого стержня вводится своя локальная правая система координат с началом на одном из концов стержня и осью 0Х направленной вдоль стержня (рис. 2.5). Результаты сводим в табл. 2.2. Для вычисления коэффициентов δ в уравнениях системы строим эпюры безразмерных моментов (рис. 2.6 - 2.9): , .

Номер участка

1

2.0

1.0

0.0

2

1.0

1.0

-1.0

3

1.0

1.0

-1.0

4

2.0

1.0

0.0

5

2.0

1.0

0.0

6

2.0

1.0

0.0



Проверяем правильность построения по правилам проверки эпюр.

Запишем систему канонических уравнений (2.1) в виде

 

 

 

Запишем выражения для безразмерных моментов  и  на участках (2) и (3) (рис. 2.6):

         участок 2 (0≤x≤a)

,

 ;

-        участок 3 (0≤x≤a)

,

, .

Вычисляем перемещения δ при помощи интегралов Мора по методу Верещагина (либо непосредственным интегрированием)

 

 

 

 

 

 

 

 

 

Вводя безразмерные неизвестные  и умножая все коэффициенты на общий знаменатель 24, запишем расширенную матрицу системы уравнений (2.2) в виде (2.3)

 (2.3)

Решая эту систему через обратную матрицу (здесь и далее для решения систем используется приложение 2), имеем

 

 

матрица значений Х

 

, , .

Выполним проверку решения системы, подставив полученные значения  в расширенную матрицу системы

,

,

.

Используя полученные значения, строим эпюры внутренних силовых факторов (рис. 2.11 - 2.13) в безразмерном виде. При построении эпюры М(х) используем формулу


2.3 Обоснование правильности раскрытия статической неопределимости рамы статической и кинематической проверками

Для статической проверки рассмотрим равновесие узлов расчётной схемы (сечений, где стыкуются силовые участки балки).


Из рис. 2.14 следует, что узлы расчётной схемы находятся в равновесии. Для выполнения кинематической проверки умножим эпюру М(х) (рис. 2.13) последовательно на эпюры от единичных сил (рис. 2.7 - 2.9), найдя тем самым перемещения в направлении этих сил, они должны быть равны нулю.

 

 

 

 

 

 

 

Как видим, найденные интегралы Мора равны нулю, следовательно, система (рис. 2.10) является эквивалентной заданной (рис. 2. 2).

2.4 Подбор двутаврового профиля по ГОСТ 8239-72

Для обеспечения заданного соотношения жёсткостей принимаем, что горизонтальные стержни выполнены из профиля двутаврового сечения с , а вертикальные из двух таких профилей, так что . Тогда должны выполняться соотношения:

 

 

Подставляя в значения M(x) из эпюры (рис. 2. 13) и учитывая заданные значения q=10кН/м, а=2 м, [σ]=140 МПа, получаем

 

 

Из двух значений выбираем наибольшее, соответствующее условию прочности на вертикальных стержнях. По ГОСТ 8239-72 выбираем двутавровую балку № 18 c

 ; .

При этом максимальные напряжения в раме будут составлять


2.5 Определение угла поворота заданного сечения

Для определения угла поворота сечения в точке 2 приложим в ней единичный момент и построим эпюру  (рис. 2. 15) для основной системы (рис. 2.3).

Перемножая эпюры  и  согласно рис. 2. 13, получаем


Так как в результате расчёта получилось положительное значение, то направление угла поворота сечения в точке 2 совпадает с направлением единичного момента на рис. 2.15.

2.6 Исследование напряжённого состояния рамы в случае повреждения опор

В процессе работы конструкции одна из опор может быть повреждена. Так как система является статически неопределимой, работоспособность конструкции будет сохранена, но при этом напряжения в раме перераспределятся и при заданном значении q могут превысить допускаемые.

Для оценки возможности работы рамы при повреждении, например шарнирной опоры в точке 2 (рис. 2.2), следует положить неизвестное  и вместо матрицы (2.3) рассматривать матрицу

 

Решая (2.4), получаем

, , .

Здесь верхний индекс у  указывает на номер повреждённой опоры.

Далее строим эпюру  (рис. 2.17). Нормальные напряжения в раме рассчитываются по формуле

 

значения моментов берутся с эпюры моментов, для вычисления напряжений составлена программа в Mathcad, текст программы приведён в приложении 3.

Как видно из рис. 2.18, максимальные напряжения в раме достигают 160.2797 МПа, что в 160.2797/140=1.1449 раза превышает допускаемые напряжения. Следовательно, для безопасной эксплуатации повреждённой конструкции необходимо во столько же раз снизить эксплуатационную нагрузку. При этом она будет


При повреждении опоры в точке 1 (рис. 2.2), следует положить неизвестное  и вместо матрицы (2.3) рассматривать матрицу

 

Решая (2.5), получаем

, , .

Далее строим эпюру  (рис. 2.20), рассчитываем напряжения в повреждённой конструкции, строим эпюру  (рис. 2.21).


Из рис. 2.21 видно, что максимальные напряжения в раме достигают 480.8392 МПа, что в 480.8392/140=3.4346 раза превышает допускаемые напряжения. Следовательно, для безопасной эксплуатации повреждённой конструкции необходимо во столько же раз снизить эксплуатационную нагрузку. При этом она будет

При повреждении опоры в точке 4 (рис. 2.2), следует положить неизвестное  и вместо матрицы (2.3) рассматривать матрицу

 

Решая (2.6), получаем

, , .

Далее строим эпюру  (рис. 2.23), рассчитываем напряжения в повреждённой конструкции, строим эпюру  (рис. 2.24).


Из рис. 2.24 видно, что максимальные напряжения в раме достигают 419.5804 МПа, что в 419.5804/140=2.9970 раза превышает допускаемые напряжения. Следовательно, для безопасной эксплуатации повреждённой конструкции необходимо во столько же раз снизить эксплуатационную нагрузку. При этом она будет

. РАСЧЁТ ПРОСТРАНСТВЕННОГО ЛОМАНОГО БРУСА

3.1 Условие задачи

Пространственный ломаный брус (рис. 3.1) жёстко заделан одним концом и состоит из трёх прямолинейных участков. Участки перпендикулярны между собой, имеют одинаковую длину a и постоянное по длине бруса поперечное сечение в виде прямоугольника (bxh). Брус изготовлен из алюминиевого сплава с механическими характеристиками , ,  и нагружен силами в соответствии с заданной расчётной схемой (табл. 3.1).

Значения силовых факторов

Длина

Размеры сечения

P/qa

M/qa2

a, м

b, м

h, м

1.0

2.0

0.3

0.04

0.08



Требуется:

)        построить эпюры внутренних силовых факторов;

)        установить опасное сечение;

)        определить допускаемые нагрузки  для двух положений прямоугольного сечения из условия прочности в характерных точках опасного сечения. При вычислении эквивалентных напряжений использовать третью теорию прочности. Указать рациональное расположение сечения и соответствующую ему допускаемую нагрузку ;

)        определить вертикальное перемещение свободного конца бруса при действии заданной нагрузки , при рациональном расположении сечения. Учесть влияние всех силовых факторов. Дать анализ влияния каждого силового фактора на величину полученного перемещения.

3.2 Построение эпюр внутренних силовых факторов

При построении эпюр используем подвижную систему координат. Для этого в пределах каждого прямолинейного участка выбираем локальную прямоугольную систему координат xyz, у которой ось x всегда направлена вдоль бруса от заделки в сторону свободного конца, оси y, z ориентированы так, чтобы образуемая система xyz была бы правой и чтобы оси y, z были ориентированы одинаково для всех сечений: ось y направлена везде вдоль большей стороны прямоугольника, а ось z - вдоль наименьшей стороны или наоборот.


Правило знаков у Qy, Qz берётся аналогичным правилу знаков для перерезывающих сил при построении эпюр у плоской рамы. У нормальных сил и крутящих моментов правило знаков аналогично правилу знаков для балки. Положительные значения Qy, Qz откладываются на прямолинейных участках бруса в сторону положительных направлений осей y, z, а эпюры изгибающих моментов My, Mz строятся на сжатых волокнах в соответствующих плоскостях.



3.3 Определение опасного сечения бруса

Для выявления наиболее опасных сечений составляем табл. 3.2 значений силовых факторов на концах прямолинейных участков бруса.

Сечение

N

Qy

Qz

Mкр

My

Mz

x1=0

-qa

0

-qa

-qa2/2

qa2

qa2

x1=a

-qa

0

-qa

-qa2/2

0

qa2

x2=0

0

qa

-qa

0

qa2/2

qa2

x2=a

0

qa

0

0

0

0

x3=0

0

0

0

-2qa2

0

0

x3=a

0

0

0

-2qa2

0

0


Из таблицы видно, что наиболее опасными являются сечения x1=0 и x2=0.

3.4 Определение рационального расположения поперечного сечения и допускаемой нагрузки

Рассмотрим сечение x1=0 (рис.3.9, 3.10), в нём действуют следующие внутренние силовые факторы:

=-qa, Qz=qa, Mкр=qa2/2, My=qa2, Mz=qa2.

Рассмотрим первое положение прямоугольного сечения, когда высота h ориентирована вдоль оси y1 (рис. 3.9). Для удобства расположим сечение в вертикальной плоскости.


Расчёт напряжений в сечении

 

 

 

 

 

 

При определении α и η использовались данные из справочника:

 

В нашем случае опасными являются точки A, B и C (рис. 3.9). Вычисляем эквивалентные напряжения в этих точках.

Точка A

 

 

 

Точка B

 

 

 

Точка C

 

 

 

Наиболее опасной из всех точек расчётного поперечного сечения является точка C. Из условия , найдём допускаемую нагрузку

 

Рассмотрим второе положение прямоугольного поперечного сечения, когда высота h ориентирована вдоль оси z1 (рис. 3.10).


Расчёт напряжений в сечении

 

 

 

 

 

 

В нашем случае опасными являются точки A1, B1 и C1 (рис. 3.9). Вычисляем эквивалентные напряжения в этих точках.

Точка A1

 

 

 

Точка B1

 

 

 

Точка C1

 

 

 

Наиболее опасной из всех точек расчётного поперечного сечения является точка A1. Из условия , найдём допускаемую нагрузку

 

Рассмотрим сечение x2=0 (рис.3.11, 3.12), в нём действуют следующие внутренние силовые факторы:

Qy =qa, Qz=-qa, My= qa2/2, Mz=qa2.

Рассмотрим первое положение прямоугольного сечения, когда высота h ориентирована вдоль оси y2 (рис. 3.11).


Расчёт напряжений в сечении

 

 

 

 

В нашем случае опасными являются точки A2, B2 и C2 (рис. 3.9). Вычисляем эквивалентные напряжения в этих точках.

Точка A2

 

 

 

Точка B2

 

 

 

Точка C2

 

 

 

Наиболее опасной из всех точек расчётного поперечного сечения является точка B2. Из условия , найдём допускаемую нагрузку

 

Рассмотрим второе положение прямоугольного поперечного сечения, когда высота h ориентирована вдоль оси z2 (рис. 3.10).


Расчёт напряжений в сечении

 

 

 

 

В нашем случае опасными являются точки A3, B3 и C3 (рис. 3.12). Вычисляем эквивалентные напряжения в этих точках.

Точка A3

 

 

 

Точка B3

 

 

 

Точка C3

 

 

 

Наиболее опасной из всех точек расчётного поперечного сечения является точка B3. Из условия , найдём допускаемую нагрузку

 \


Сравниваем значения допускаемых нагрузок , , и . В сечении x2=0 значения допускаемых нагрузок для обоих положений сечения получились больше значений нагрузок для сечения x1=0, значит, следует рассматривать сечение x1=0. В этом сечении наибольшей является нагрузка , что соответствует положению, при котором высота h ориентирована вдоль оси y1. Таким образом, при рациональном расположении сечения (рис.3.13) допускаемая нагрузка равна

 

3.5 Определение вертикального перемещения свободного конца бруса

Вертикальное перемещение свободного конца бруса под действием заданной нагрузки есть

 

где

 

Для определения перемещения прикладываем к концу бруса единичную силу в направлении оси y3 (рис. 3.2). Строим эпюры внутренних силовых факторов.


Определяем геометрические характеристики поперечного сечения бруса. Так как на всех участках высота поперечного сечения h ориентирована вдоль оси z, то все главные центральные моменты инерции Jy, Jz постоянны для всех участков бруса:

 

 

 

 

Для прямоугольного сечения

Определяем вертикальное перемещение с помощью интегралов Мора и метода Верещагина. Приняв нагрузку q равной допускаемой величине при рациональном расположении сечения , вычисляем интегралы по методу Верещагина. Для этого перемножим эпюры, приведённые на рис.3.3 - 3.8 и 3.15 - 3.19.

 

 

 

 

 

 

Так как полученное значение , то действительное направление вертикального перемещения совпадает с предполагаемым, т.е. с направлением единичной силы.

ЗАКЛЮЧЕНИЕ

В процессе выполнения данной работы были получены навыки решения типовых задач изучаемых в курсе сопротивления материалов. Освоены:

принципы построения эпюр внутренних силовых факторов для сложных балочных конструкций;

расчёт конструкций по допускаемым напряжениям как при простом, так и при сложном напряжённо-деформированных состояниях;

подбор профиля сечения из условия прочности по допускаемым напряжениям;

основные методики определения перемещений в интересующих точках конструкции;

исследование напряжённого состояния в плоских рамах в случае повреждения опоры (опор);

определение опасных сечений и опасных точек в них для пространственных ломаных брусьев.

Также рассмотрено применение программных продуктов Mathcad и Fortran в решении задач по курсу сопротивления материалов, что существенно облегчило математические расчёты.

СПИСОК ИСПОЛЬЗУЕМОЙ ЛИТЕРАТУРЫ

1. Феодосьев В.И. Сопротивление материалов. - М.: Наука, 1986

. Темников А.И., Расторгуев Г. И., Пель А.Н., Белоусова Е.Н. "Сопротивление материалов". Методические указания и варианты исходных данных к курсовому проекту.

. В.Г. Атапин, А.Н. Пель, А.И. Темников. Сопротивление материалов. - Новосибирск: Изд-во НГТУ, 2006

ПРИЛОЖЕНИЕ 1

Программа для расчёта многопролётной балки

Ниже приводится текст программы на языке FORTRAN.

Ввод данных

sopr::p1=20.,M1=10.,p2=30.,r1,r2,q=40.,a=0.4,EI=2580,parameter::n=6,m=5,nm=n*m !разбиение балки на точки

real::x(nm)tet(i,j)=0; if (i>=j) tet=1

Задание функций распределения внешней нагрузки

w(i)sopr=-M1*(x(i)-x(3*m+1))**2/2*tet(i,3*m+1)+r1*(x(i)-x(m+1))**3/6*tet(i,m+1)+r2*(x(i)-x(5*m+1))**3/6*tet(i,5*m+1)&

p1*(x(i)-x(2*m+1))**3/6*tet(i,2*m+1)-p2*(x(i)-x(3*m+1))**3/6*tet(i,3*m+1)&

p1*(x(i)-x(4*m+1))**3/6*tet(i,4*m+1)-q*x(i)**4/24+q*(x(i)-x(m+1))**4/24*tet(i,m+1)&

q*(x(i)-x(5*m+1))**4/24*tet(i,5*m+1)w1(i)sopr=-M1*(x(i)-x(3*m+1))*tet(i,3*m+1)+r1*(x(i)-x(m+1))**2/2*tet(i,m+1)+r2*(x(i)-x(5*m+1))**2/2*tet(i,5*m+1)&

p1*(x(i)-x(2*m+1))**2/2*tet(i,2*m+1)-p2*(x(i)-x(3*m+1))**2/2*tet(i,3*m+1)&

p1*(x(i)-x(4*m+1))**2/2*tet(i,4*m+1)-q*x(i)**3/6+q*(x(i)-x(m+1))**3/6*tet(i,m+1)&

q*(x(i)-x(5*m+1))**3/6*tet(i,5*m+1)w2(i)sopr=-M1*tet(i,3*m+1)&

+r1*(x(i)-x(m+1))*tet(i,m+1)+r2*(x(i)-x(5*m+1))*tet(i,5*m+1)-p1*(x(i)-x(2*m+1))*tet(i,2*m+1)&

p2*(x(i)-x(3*m+1))*tet(i,3*m+1)-p1*(x(i)-x(4*m+1))*tet(i,4*m+1)-q*x(i)**2/2&

+q*(x(i)-x(m+1))**2/2*tet(i,m+1)-q*(x(i)-x(5*m+1))**2/2*tet(i,5*m+1)w3(i)sopr=r1*tet(i,m+1)&

+r2*tet(i,5*m+1)-p1*tet(i,2*m+1) -p2*tet(i,3*m+1)-p1*tet(i,4*m+1)-q*x(i)+q*(x(i)-x(m+1))*tet(i,m+1)&

q*(x(i)-x(5*m+1))*tet(i,5*m+1)

Головная программа для вычисления значений функций и построения эпюр

program sopr2sopr(8)::V(nm),t(nm),mom(nm),sil(nm)(1)=0;h=a/(m-1) !задание сетки x

do i=2,nm;if(((i-1)/m)*m==i-1) then(i)=x(i-1); else; x(i)=x(i-1)+h

!print*,x!=(4*q*a**2+p1*4*a+M1+p2*2*a)/(4*a)=(4*q*a**2+4*p1*a-M1+p2*2*a)/(4*a)*,r1*,r2=-2*q*a+r1+r2-2*p1-p2*,prov=(x(m+1)*w(5*m+1)-x(5*m+1)*w(m+1))/((x(5*m+1)-x(m+1))*EI)=(w(m+1)-w(5*m+1))/((x(5*m+1)-x(m+1))*EI)*,V0,t0

!print*, t0

do i=1,nm !цикл для вычисления значений функций

V(i)=V0+t0*x(i)+w(i)/EI;t(i)=(t0+w1(i)/EI)*180/3.14159;mom(i)=w2(i)/EI;sil(i)=w3(i)/EIi=1,nm; print*,i,t(i);enddocls(0) !построение эпюрplot(dble(x),sil,nm,0,0,500,100)plot(dble(x),mom,nm,0,130,500,230)plot(dble(x),t,nm,0,260,500,360)plot(dble(x),v,nm,0,390,500,520)

print*,v ! вывод значений прогибов**,t ! вывод значений углов поворота

Для построения эпюр используется подпрограмма построения графиков

subroutine cls(isc)dflib(qwinfo) qww(isc,file='user'); qww.type=2=setwsizeqq(qwin$framewindow,qww)=setbkcolor(15);call clearscreen(0)=setwsizeqq(isc,qww)=settextcolor(0);i=setbkcolor(7)

$real:8plot(x1,y1,n1,jlp,ilp,jrp,irp)dflib::x1(n1),y1(n1); type(wxycoord) wxy=setcolor(0)setviewport(jlp,ilp,jrp,irp)=minval(x1);xrw=maxval(x1)=min(minval(y1),0.);ylw=max(maxval(y1),0.)=setwindow(.true.,xlw,ylw,xrw,yrw)=RECTANGLE_w(0,xlw,ylw,xrw,yrw)!(2,xlw,ylw,xrw,yrw)moveto_w(x1(1),0d0,wxy)i=1,n1-1=lineto_w(x1(i),y1(i));dum=lineto_w(x1(i+1),y1(i+1));dum=lineto_w(x1(i+1),0d0);=setcolor(0)moveto_w(x1(1),0d0,wxy);dum=lineto_w(x1(n1),0d0);

end

ПРИЛОЖЕНИЕ 2

Программа для решения систем канонических уравнений

Ниже приводится программа в Mathcad для решения систем канонических уравнений записанных в матричном виде, по методу обратной матрицы.

.

ПРИЛОЖЕНИЕ 3

прогиб балка эпюра профиль

Программа для расчёта нормальных напряжений в плоской раме

Ниже приведена программа в Mathcad для расчёта нормальных напряжений в плоской раме при чистом изгибе.


Не нашли материал для своей работы?
Поможем написать уникальную работу
Без плагиата!
Без нейросетей!