Расчет напряженно-деформированного состояния тела в потоке воздуха
К вопросу
расчета напряженно деформированного состояния тела в потоке воздуха
Рассматриваются особенности расчета напряженно-деформированного состояния
воздухоопорной оболочки методами теории открытых систем (OST) и методами
безмоментной теории оболочек (MTS). Результаты расчета сравниваются с
экспериментальными данными взаимодействия оболочки с потоком воздуха.
Исходные данные:
Масштабы:
линейные (
); углов
(рад); модулей, давлений и нагрузок (
); сил
(кг/м); перемещения- безразмерные (доли R). Система координат - сферическая.
Неподвижная
На оболочку действует поток воздуха переменной скоростью. Результатом
эксперимента являются:
-
начальное распределение 
частиц
системы в 6-мерном пространстве 
.
За
начальное распределение принимается выборка координат и импульсов 
.
конечное
распределение 
частиц
системы в 6-мерном пространстве 
.
Данные
распределения координат и импульсов и форма оболочки начальная и в потоке
воздуха получены экспериментальным путем. Погрешность измерений мне более 0,2%
За
конечное распределение принимается выборка координат и импульсов
соответствующая, например, скорости потока 
.
Для
краткости приводим сравнения только для главного меридиана оболочки.
Расчеты
методами OSP предполагают: изменение формы тела в потоке, необратимые по
времени процессы в виде учета трения и диффузии воздуха через материал.
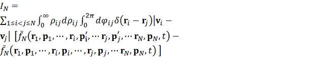
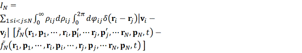
В
общем виде в открытых системах для описания неравновесных процессов
используется кинетическое уравнение движения частиц 
:

где:
сглаженное
распределение координат и импульсов. Распределение 
частиц в
6-мерном фазовом пространстве 
.
Рассмотрим

- мерное
фазовое пространство 
с
динамическим распределением

.
С
учетом усреднения по ансамблю Гиббса можно записать:


-
зависимость скорости движения и изменения функции распределения частицы по
координатам;

-
зависимость внешних сил, приведенных к срединной линии и изменения функции
распределения по импульсам;

-
интеграл взаимодействия, определяет изменения координат и импульсов частицы
(внутренние силы), вызванные изменением функции распределений и корреляции
функций распределения частиц и сил.

Уравнение
учитывает взаимодействия (столкновения) всех пар частиц 
.
Импульсы 
связаны
с импульсами 
законами
сохранения импульса и кинетической энергии пары частиц.
Функция
распределения 
определяется
в виде: 
.
Равновесным
решением уравнения Леонтовича в отсутствии внешних сил является распределение
Максвелла: 
.
Распределение Максвелла делает функцию распределения зависимой только от
импульсов. Этот прием используется в механике сплошной среды для уравнений
равновесия.
Для
статистического распределения 
уравнение
движения записывается в виде:
Если
положить 
, то
получим уравнение 
Лиувилля

.
Уравнение описывает движение частиц консервативной системы (обмен только
энергией).
Наряду
с этим уравнением можно использовать уравнения Гамильтона 
.
Решением
уравнения Леонтовича для известной функции распределения (экспериментальные
значения) является определение интеграла взаимодействий, затем определение
внутренних сил в безразмерном виде и определение перемещений.
В
настоящее время расчеты напряженно-деформированного состояния сооружений
(например, оболочек) под внешними воздействиями определяется методами механики
сплошной среды, в частности для тонких тел уравнениями равновесия безмоментной
теории оболочек 
.
Основные гипотезы (приближения), используемые для решения задач методами
классической механики.
Гипотезы
сплошной среды формулируются в виде: сплошности среды, метрического эвклидова
пространства, макроскопичности механических свойств материалов. Гипотезы
приводят к рассмотрению движения методами механики сплошной среды. Методы
сплошной среды рассматривают обратимые процессы по времени, для частиц в
состоянии равновесия и отсутствия обмена веществом и информацией. Для методов
механики сплошной среды характерным является соблюдение условий теории
возмущений. Форма оболочки считается квазистационарной, изменения внутреннего
давления малыми.
Для
рассмотрения напряженно-деформированного состояния объекта в условиях
равновесия методами MTS используется гипотезы: Кирхгофа - Лява, Тимошенко и
отсутствия взаимодействия между слоями. Дальнейшие приближения в виде физической
гипотезы и распределения деформаций по толщине приводят к теории тонких упругих
оболочек и, в частности безмоментной теории 
.
Следующие гипотезы 
об
отсутствии учета некомпенсированных сжимающих сил приводят к теориям мягких
оболочек 
.
Нормами

,
стандартами 
и
специальной литературой 
предлагаются
различные эпюры распределения коэффициентов давлений по поверхности сооружений.
Эпюры описывают модельное распределение давлений, составленное из максимальных
величин коэффициентов, фактическое распределение давлений не учитывается. Для
расчета напряженно-деформированного состояния сооружения воспользуемся данными
экспериментальных исследований оболочки в потоке воздуха в аэродинамической
трубе Т101 ЦАГИ 
,
выполненными с участием автора.
Рассмотрим
взаимодействие мягкой оболочки с потоком воздуха 
.
Экспериментальными
исследованиями установлено:
существенное
отличие формы оболочки при больших скоростях потока от проектной формы
(сферическая поверхность);
наличие
в зоне активного действия потока областей складок в кольцевом направлении 
и
наличие складки у контура в меридиональном направлении для диапазонов 
(
-
избыточное давление в оболочке, 
-
скоростной напор потока).
Наличие
складчатых зон не позволяет для расчетов напряженно-деформированного состояния
использовать теорию мягких оболочек. Компенсация сжимающих усилий в кольцевом
направлении ведет к изменению объема, росту 
и поточной
формы оболочки, далекой от проектной, сферической.
Дискретные
значения распределения нагрузок в расчетах тонких оболочек по безмоментной
теории 
, а также
значения усилий и перемещений приводятся к безразмерному виду 

Из
экспериментальных исследований получаем распределение безразмерных коэффициентов

.
В
качестве примера рассмотрим распределение коэффициентов 
для
главного меридиана сферической оболочки при скорости потока 40м/с.
Распределение представлено Рис.1
Рис.1.
Распределение 
по
главному меридиану оболочки
Ось
абсцисс дренажные точки главного меридиана, ось ординат коэффициенты 
Нормальная
нагрузка от потока аппроксимируется рядом:

.


где:

- широта;

-
долгота,
- широта
края оболочки;
- модули
упругости.
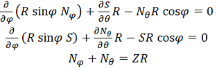
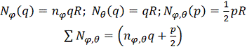
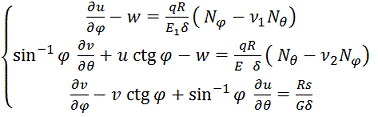
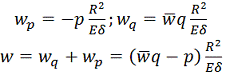
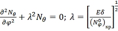
Уравнения
равновесия по методу MTS записываются в виде:

;

Уравнения
перемещений записываются в виде:

;

;
Уравнения
для усилий и перемещений после представления в нормальной форме Коши решаются
методом Рунге-Кутта. Решение по безмоментной теории не удовлетворяет краевым
условиям в отношении 
и 
. Для
краевой зоны необходимо использовать нелинейные уравнения 
для
уточнения значений 
в виде: 
, где 
-
значение усилия на краю.
В
результате решения уравнений равновесия для точек, лежащих на главном
меридиане, получаем распределение коэффициентов усилий 
и 
Распределениям

соответствует
распределение нормальных перемещений 
,
Рис. 2. Распределение коэффициентов усилий по главному меридиану (MTS)
Распределению
усилий соответствуют перемещения 
точек
меридиана Рис.3 (без учета избыточного давления). На диаграмме перемещений
приводятся экспериментальные значения перемещений, измеренные инструментально 

Рис.3.
Теоретическое и экспериментальное (фактическое) распределения перемещений 
(без
учета действия внутреннего давления) на нормальные перемещения
Из
диаграммы следует, что безмоментная теория оболочек (МТS) даже без учета
влияния избыточного давления, дает значения перемещений в активной зоне
существенно меньшее экспериментальных значений. Данные MTS применимы только для
недеформируемых тел и/или как средство методологического обучения. Практически
любые виды объектов, связанные с упругими изменениями формы, должны учитывать
изменения коэффициентов давлений, изменения формы и изменения избыточного
давления. Расчета открытых систем с использованием уравнений Леонтовича или
закрытых систем с использованием уравнений Лиувилля (ангармоническая модель
твердого тела) приводят к существенным отличиям распределения перемещений Рис.4.
Рис.
4. Диаграммы коэффициентов нормальных перемещений 
,
полученных по MTS, OST и experiment
Условия
q=100; 
; 
,
В
расчетах методом MTS считаются: форма тела квазистационарная, R-const.
В
расчетах методом OST считается: форма тела изменяемая, допускаются складчатые
зоны, R -
В
качестве необратимого процесса в расчетах OST учитывается переменное трение
(тело рассматривается как осциллятор) при обтекании и изменение пограничного
слоя, в том числе в складчатых зонах.
Для
распределений давлений 
текущими
значениями формы приводятся статистические распределения вида 
, которые
позволяют определить распределения:
первого
момента случайной плотности 
;
-
функции 
в 
мерном
фазовом пространстве 
;
значения
энтропии Шеннона 
для
дискретного набора переменных.
Сравнение
данных теоретических и экспериментальных показывает, что безмоментная теория (и
теория мягких оболочек) не описывают поведение объекта в зоне активного
давления потока и зоне теневого контура. Автором показано, что с использованием
теории открытых систем можно оценить процесс образования складчатых зон.
Складки увеличивают жесткость оболочки в направлении потока и ведут к
управляемому пограничному слою, существенно уменьшающему и усилия в материале
объекта и перемещения точек объекта.
Автором
впервые для пространственных конструкций проведены экспериментальные
исследования и теоретические обоснования, позволяющие использовать теорию
открытых систем с экспериментальными доработками для расчета пространственных
конструкций и сооружений.
По
выполненным экспериментальным и теоретическим исследованиям можно придти к
выводам:
наибольшая
сходимость с экспериментальными исследованиями достигнута с использованием
методов теории открытых систем (необратимого кинетического уравнения М.А.
Леонтовича).
Уравнение
связано с исследованиями открытых систем в неравновесном термодинамическом
состоянии. Показано, что для его решения достаточно только одно приближение
(гипотеза). Уравнение позволяет оценить диссипативные структуры и становление
порядка через флуктуации.
Уравнение
учитывает динамические распределения частиц в фазовом пространстве,
крупномасштабные флуктуации и два значения интеграла взаимодействия
(столкновения) частиц. Интеграл взаимодействия распадается на два значения:
индуцированный (отвечающий за взаимоотношение частиц со средой) и внутренний (определяется
коррелятором крупномасштабных флуктуаций)
Равновесным
решением уравнения в отсутствии внешних сил является распределение Максвелла;
если
значение одного (индуцированного) из интегралов столкновения равно нулю и
отпадает необходимость оценки части необратимых процессов, осуществляется
переход к уравнениям Лиувилля.
При
переходе происходит потеря информации, связанные с внешними факторами
взаимодействия частиц и учетом средней силы (силы Власова А.А.).
при
приближении к мало деформированному телу методами механики сплошной среды
вводятся гипотезы, характерные для классической механики (принципы замыкания и
суперпозиции, законы сохранения энергии и импульса, сплошности и т.д.).
Гипотезы
ведут: к потере информации, к обратимости по времени, к постоянству формы и
характеристик материала. Нефизические процессы не учитываются.
при
использовании аппарата теории оболочек, дополнительно к приближениям сплошной
среды, принимаются приближения срединной поверхности, игнорирования действия
погранслоя, нерастяжимость нормального волокна.
Гипотезы
ведут к потере информации и пренебрежению рядом процессов.
при
использовании аппарата теории мягких оболочек, в дополнении к гипотезам
сплошной среды и теории оболочек принимается гипотеза отсутствия сопротивления
сжимающим силам без предварительного натяжения. Это практически ликвидирует
область применения мягких оболочек как обитаемых защитных сооружений.
Гипотезы
(приближения) ведут к весьма ограниченной информации о взаимодействии тела и
окружающей среды и к неправильной оценке напряженно-деформированного состояния.
Это не означает, что расчеты, методами механики сплошной среды (включая
безмоментную теорию оболочек) не должны использоваться при изучении
взаимодействий тела с нагрузками и воздействиями. Виды теоретического
исследования методами механики сплошной среды можно считать первыми
приближениями к изучению напряженно-деформированного состояния тела. Вид
приближения, основанный на теориях мягких оболочек, по потерям информации в
результате гипотез можно считать нулевым приближением.
Описанная
иерархическая структура требует аналогичного похода к материаловедению и
описанию сред, в частности к описанию необратимых процессов. К наиболее
существенным погрешностям методы механики сплошной среды приводят в зоне
полного торможения потока (активная зона обтекания).
Для
реально разрабатываемых объектов и при определении надежности объекта в течение
срока службы использование методов расчета, основанные на гипотезах механики
сплошной среды ведут к потере информации по характеристикам процесса и ошибкам
в значении функций распределения усилий и перемещений.
Использование
методов статистической физики открытых систем предоставляет возможность
создавать сооружения с управляемыми параметрами надежности и прочности в
течение срока службы и определить предельные состояния сооружений в течение
всего срока службы.
Особенно
важно то, что методы физики открытых систем позволяют создавать конструкции и
сооружения с регулируемой по срокам службы надежностью систем.
Список
литературы.
деформированный воздух
поток оболочка
1. М.А. Леонтович. Введение в термодинамику. Статистическая
физика. М.,Наука.1983.
. И.Р. Пригожин. Неравновесная статистическая механика.
М.,УРСС.2007.
. Л.Д. Ландау. Е.М. Лифшиц. Механика, т. I. М.,Физматлит.2004.
. А.Л. Гольденвейзер. Теория упругих тонких оболочек. М.,
ГИТЛ. 1953.
. Р.П. Кузьмина. Мягкие оболочки. М., Факториал Пресс. 2005.
. С.А. Алексеев. Основы общей теории мягких оболочек. В сб.
РПК XI с. 5-37. М., Стройиздат. 1967.
. СП 20.13330.2011. Нагрузки и воздействия, (П3.1.11. Сфера).
М., 2011
. DIN 4134-1983, DIN V ENV 1991-2-4=1996
. Э.Симиу. Р. Сканланд. Воздействия ветра на здания и
сооружения. М., Стройиздат, 1984.
. Отчет ЦАГИ №2412. М., 1980г
. В.П.Поляков. Взаимодействие модели мягкой воздухоопорной
оболочки с потоком воздуха. В сборнике Теория мягких оболочек. Издательство
Ростовского университета. 1976.
. Д.А. Бейлин. В.П. Поляков. О взаимодействии мягких оболочек
сферической формы с потоком воздуха. Труды XII конференции по теории оболочек и пластин. Ереван.
Издательство Ереванского университета.,1980, с138-143
. В.М. Никиреев, И.А. Даниляк. Расчет мягкой сферической
оболочки на ветровую нагрузку. В сборнике Теория мягких оболочек. Издательство
Ростовского университета. 1976.
. Ю.Н.Работнеов. Некоторые решения безмоментной теории
оболочек. ПММ т.1, вып.5-6. ИПМ. М.,1946.
. Д.А. Бейлин, В.П. Поляков и др. Использование
стереофотограмметрического метода для исследования напряженно-деформированного
состояния мягкой оболочки сферической формы в потоке воздуха. М.,Ученые записки
ЦАГИ том XII, №6. Стр.66-76. 1982.