Прочность корпусов и подвески двигателя
Федеральное
агентство по образованию
Государственное
образовательное учреждение
высшего
профессионального образования
«МАТИ»
- Российский государственный технологический
университет
им. К. Э. Циолковского
Реферат
по
дисциплине:
«Прочность
и динамика авиационных ГТД и стационарных ГТУ»
на
тему:
«Прочность
корпусов и подвески двигателя»
Москва
2009 г.
Содержание
Введение
. Силовая схема корпуса. Условия
работы силовых корпусов
. Расчет напряжений в корпусных
деталях двигателя на основе модели осесимметричных оболочек
. Расчет напряженно-деформированного
состояния корпусов с помощью метода конечных элементов
. Устойчивость корпусных деталей
. Расчет корпусов на непробиваемость
. Расчет элементов подвески
Заключение
Список использованной литературы
Введение
Авиационные двигатели - классический пример
сложнейшего устройства, в котором строжайшие требования надежности сочетаются с
предельно тяжелыми нагрузками и условиями работы деталей и узлов, длительным
ресурсом. Именно этим определяется важнейшее место прочностных расчетов,
исследований и испытаний на всех этапах жизненного цикла двигателей:
проектировании, доводке, изготовлении, эксплуатации. Именно поэтому в
авиационном двигателестроении используются самые современные методы и средства прочностных
расчетов и экспериментальных исследований. Именно поэтому авиационное
двигателестроение, начиная с середины 20-го века было одним из важнейших
стимулов развития прочностной науки в целом. Тенденции развития авиационных
двигателей предполагают увеличение удельных параметров рабочего процесса,
нагрузок на детали, повышение их рабочих температур и, следовательно,
дальнейшее возрастание роли прочностных исследований и расчетов.
Специфика и сложность проблем обеспечения
прочностной надежности требуют от специалистов по авиационным двигателям все
более глубокой подготовки в области динамики и прочности. Применяемые в
авиационном двигателестроении методы прочностных расчетов уже давно вышли за
пределы традиционного для инженерной подготовки курса сопротивления материалов:
трехмерный анализ напряженно-деформированного состояния деталей, анализ
нестационарных полей температурных напряжений, детальный анализ процессов
ползучести, малоцикловой усталости, процессов развития трещин, моделирование
вибраций на основе трехмерных моделей с распределенными параметрами и т.д. Это
заставило ввести в программу подготовки инженеров-двигателистов отдельную
дисциплину «Динамика и прочность авиационных двигателей и энергетических
установок».
Реферат посвящен рассмотрению вопросов
обеспечения прочности корпусов и подвески двигателя. Изложены основы
прочностного расчета корпусов методом конечных элементов. Приведена постановка
задачи и методика расчета корпусов на непробиваемость.
Прочность корпусов и подвески двигателя
Корпуса газотурбинного двигателя - основа его
силовой схемы. Их прочность и жесткость во многом определяют работоспособность,
надежность и безопасность двигателя в целом. В работе рассмотрены расчетные
схемы и методы расчета корпусов на прочность, устойчивость, колебания. Кратко
изложены проблемы обеспечения непробиваемости корпусов и прочности подвески
двигателя.
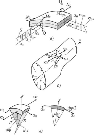
. Силовая схема корпуса. Условия работы
силовых корпусов
В силовую схему корпуса двигателя (см. Рис. 1)
входят силовые корпуса компрессора 1, камеры сгорания 3 и 6, турбины 4, а также
опоры ротора 8 и элементы, передающие усилия с опор на корпус 2, 5 и 7. Силовые
корпуса ГТД в рабочих условиях подвержены действию статических и динамических
(вибрационных) нагрузок. Вибрационные нагрузки, действующие на корпуса
двигателя, порождаются неуравновешенностью роторов, колебательными процессами в
проточной части двигателя, вибрацией агрегатов. Возникающие в корпусах
вибрационные напряжения обычно малы, однако, в сочетании со статической и
температурной нагрузкой в условиях концентрации напряжений могут привести к
появлению усталостных трещин. Динамические напряжения определяются
экспериментально.
Остановимся более подробно на статических
нагрузках (см. Рис. 2). Они включают в себя газодинамические и инерционные силы
и вес двигателя. Газодинамические силы распределены по поверхностям лопаток
статора, корпусов 2 и направлены по нормали к этим поверхностям.
Газодинамические нагрузки, действующие на лопатки статора, представляют в виде
осевых 1 и окружных 3 компонент равнодействующих. Они определяются по
результатам газодинамического расчета узлов двигателя. Газодинамические силы,
действующие на ротор двигателя, в виде сосредоточенных сил 5 передаются на
силовой корпус через подшипники.
Рисунок 1 Силовая схема корпуса ТРД
- корпус компрессора; 2 - лопатка спрямляющего
аппарата последней ступени компрессора; 3 - наружный корпус камеры сгорания; 4
- корпус турбины; 5 - лопатка направляющего аппарата первой ступени компрессора;
6 - внутренний корпус камеры сгорания; 7 - шпилька; 8 - корпуса опор роторов
Рисунок 2 Схема нагружения корпуса ТРД
Инерционная нагрузка обусловлена эволюциями
самолета и воздействует на корпуса в виде инерционных сил массы самих корпусов
и в виде инерционных сил и гироскопического момента вращающегося ротора,
которые передаются на корпуса через опоры роторов. Инерционная нагрузка
определяется перегрузками и угловыми скоростями, которые зависят от назначения
летательного аппарата и определяются нормативными требованиями для различных
полетных случаев. Реакции в узлах подвески 4 представляют силы,
уравновешивающие силу тяги двигателя, вес и инерционные нагрузки.
Помимо газовых и инерционных нагрузок статор
двигателя находится под воздействием неравномерных и нестационарных тепловых
полей, которые приводят к возникновению температурных деформаций корпусов.
Температурные напряжения возникают вследствие неравномерного нагрева в
радиальном направлении в корпусах камеры сгорания, стойках и тягах между
корпусами. Значительные температурные напряжения могут возникнуть в корпусах
из-за различия коэффициентов линейного расширения сопрягаемых узлов. В горячей
части двигателя температурные напряжения могут возникнуть в корпусах вблизи
фланцев, имеющих значительную высоту в радиальном направлении, и в самих
фланцах. Здесь возникает радиальный градиент температур, потому что внутренняя
поверхность фланца нагревается горячим газом, а наружная охлаждается воздухом
подкапотного пространства.
Под действием перечисленных нагрузок корпусные
детали двигателя могут испытывать деформации осесимметричные (см. Рис. 3, а),
кососимметричные (изгибные) (см. Рис. 3, б), овализацию (см. Рис. 3, в).
Следует отметить, что кососимметричная деформация, как и овализация,
сопровождается изменением формы поперечного сечения оболочки. Это приводит к
появлению окружной неравномерности зазора между ротором и корпусом.
Последствиями овализации может быть заклинивание ротора, повышение вибраций,
повышение потерь.
Среди всех деталей силовой схемы двигателя
выделяют группу так называемых основных деталей, поломка которых может
приводить к опасным последствиям - нелокализованному разрушению,
нелокализованному пожару или неуправляемости двигателя. В силовой схеме корпуса
к числу таких деталей относятся корпуса и элементы подвески двигателя.
Для обеспечения нормальной работы двигателя к
силовым корпусам предъявляются следующие требования.
·В
штатных условиях работы силовые корпуса должны обладать достаточной жесткостью,
т.е. иметь минимальные упругие деформации во время работы. Для большинства
силовых корпусов требование достаточной жесткости является основным критерием
проектирования.
·Высоконагруженные
силовые корпуса должны иметь достаточную прочность, как длительную статическую,
так и циклическую. Это требование особенно актуально для наружного корпуса
камеры сгорания.
·Конструкция
корпусов и подвески двигателя должна обеспечивать свободу тепловых деформаций
элементов силовой схемы для предотвращения температурных напряжений.
·В
соединениях корпусов и в элементах опор роторов необходимо обеспечить
сохранение в эксплуатационных условиях посадок сопрягаемых деталей во всех
условиях полета.

а) б) в)
Рисунок 3 Деформации корпусов
Корпуса авиационных ГТД должны иметь минимально
возможную массу.
Помимо перечисленных выше требований, которым
должны удовлетворять корпуса в штатных условиях работы двигателя, существует
особое требование локализации корпусами фрагментов роторов в маловероятной, но
потенциально возможной нештатной ситуации разрушения ротора или его части.
Таким образом, проектирование корпусов по
критериям прочности сводится к анализу жесткости, статической прочности,
циклического ресурса, а также к проверке непробиваемости корпусов.
Как правило, анализ прочности силовых корпусов
проводится отдельно для каждого элемента статора, выделяемого из системы
корпусов по фланцевым соединениям. При этом само фланцевое соединение
оценивается по критерию нераскрытия стыка. В качестве примера выделения
элемента статора для прочностного анализа на Рис. 4, а показана расчетная схема
наружного корпуса камеры сгорания. Он нагружен внутренним давлением p, а также
приложенных в крайних сечениях силами, со стороны соседних корпусов компрессора
и турбины. При расчете на прочность корпус камеры сгорания может быть
представлен двумя оболочками: конической и цилиндрической (см. Рис. 4, б).
а)
б)
Рисунок 4 Схема нагружения наружного корпуса
камеры сгорания
Каждая из оболочек рассчитывается отдельно по
известным в теории оболочек соотношениям. Возникающие на стыке оболочек силы Q
и N и момент M определяются из условия совместности деформаций.
Конструктивные элементы статора для расчета
напряжений схематизируются в виде различного типа оболочек постоянной или
переменной толщины, пластин, колец и стержней.
. Расчет напряжений в корпусных деталях
двигателя на основе модели осесимметричных оболочек
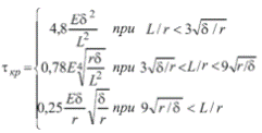
В сопротивлении материалов принято называть
оболочкой тело, одно из измерений которого (толщина) значительно меньше двух
других. Это позволяет при определении напряженного состояния пренебречь частью
компонент тензора напряжений.
Корпусные детали ГТД обычно
представляют собой оболочки вращения. В случае, когда нагрузка на такую
оболочку осесимметрична, напряженно-деформированное состояние также
осесимметрично (см. Рис. 5). Можно пренебречь частью компонент тензора
напряжений и считать, что напряженное состояние характеризуется только осевым
и окружным
нормальными
напряжениями и касательными напряжениями
.
Распределение компонент нормальных
напряжений по толщине оболочки обычно принимают линейным, и вместо напряжений
для характеристики напряженного состояния используют внутренние силовые
факторы: продольную и окружную силы
и
,, изгибающие моменты
и
, a также
перерезывающую силу Q (см. Рис. 5, а). Они представляют собой интегралы от
напряжений по толщине оболочки:
где δ - толщина
оболочки;- координата, отсчитываемая от срединной поверхности по толщине
оболочки.
Рисунок 5 Напряжения в оболочке
вращения при осесимметричной нагрузке
При линейном распределении
напряжений по толщине их можно представить (см. Рис. 5, а) в виде суммы
напряжений, равномерно распределенных по толщине оболочки (
и
), и
переменных по толщине (
и
). Первые
называют общими, вторые - местными Местные возникают в зонах влияния фланцев,
утолщений, силовых элементов и т.д.
Наиболее простой является модель
безмоментной оболочки, учитывающая только общие напряжения, т.е. построенная на
предположении, что напряжения по ее толщине распределены равномерно, и
изгибающие моменты равны нулю. Эта модель обеспечивает удовлетворительную
точность расчета напряженного состояния в зонах, удаленных от перечисленных
выше конструктивных элементов.
Рассмотрим общие напряжения в
оболочке вращения, нагруженной равномерным внутренним давлением p (см. Рис. 5,
б). Выделим в оболочке малый элемент сечениями в меридиональных плоскостях,
проходящих через ось вращения и образующих между собой угол
, и
плоскостями, перпендикулярными образующей, с углом
между ними.
В малом элементе образующая имеет радиус кривизны R, в плоскости, перпендикулярной
образующей - радиус r. На выделенный элемент со стороны остальной оболочки
действуют силы, которые вызывают в элементе окружные напряжения
и
меридиональные напряжения
(индекс 0 в
обозначении общих напряжений здесь и далее опущен). Условие равновесия элемента
выполняется, если сумма проекций всех сил на направление нормали к его
поверхности будет равна нулю:
а)
б)
Рисунок 6 Схема цилиндрической и конической
оболочек
При малых величинах углов можно принять
Разделив уравнение на
получим
:
(1)
Полученное уравнение - основное уравнение
безмоментной теории оболочек. Использовать его можно для участков оболочки,
расположенных на достаточном удалении от зон краевых эффектов.
Для цилиндрической оболочки (см. Рис. 6, а)
радиус образующей бесконечен (R =∞) и окружное напряжение равно:
(2)
При одном и том же давлении напряжения больше в
оболочке большего радиуса и меньшей толщины.
Осевые напряжения
определяются
через внешнюю продольную силу N и площадь сечения оболочки как:
(3)
В конических оболочках (см. Рис. 6,
б) напряжения вычисляются аналогично. Здесь так же, как в цилиндрической
оболочке, радиус образующей бесконечен, и окружные напряжения равны
, но радиус
r кривизны в произвольной точке A определяется через радиус окружности,
перпендикулярной оси оболочки a как
,
(4)
Для определения напряжения
,
действующего вдоль образующей, проведем через некоторую точку A сечение,
перпендикулярное оси оболочки, отбросим часть оболочки справа от сечения (см.
Рис. 6) и заменим действие отброшенной части напряжением
. Составим
уравнение равновесия в проекции на ось x :
(5)
где N - продольная внешняя сила, в
нее включена осевая составляющая давления.
Учитывая, что
получим:
Откуда
(6)
Рисунок 7 Напряженно-деформированное
состояние оболочки вблизи фланца под внутренним давлением
Соотношения (1) - (6) используются
на начальных этапах проектирования для определения общей конфигурации элементов
силовой схемы и предварительной оценки несущей способности и массы. По мере
оформления облика конструкции, введения в нее местных утолщений, фланцев и т.д.
проводятся уточняющие расчеты, в которых модель безмоментной оболочки не может
быть использована.
Модели оболочки, учитывающие местные
напряжения, разработаны в моментной теории оболочек. Их возможности ограничены
относительно узким кругом конструктивных элементов, для которых получены
расчетные соотношения.
Рассмотрим несколько ситуаций, когда
роль местных напряжений может оказаться существенной.
Первый пример - деформация
цилиндрической оболочки вблизи фланца (см. Рис. 7, а). Будем считать, что
фланец значительно жестче оболочки и его деформацией можно пренебречь. В
процессе деформации под действием давления радиус оболочки увеличивается везде,
кроме ее левого края, скрепленного с фланцем (см. Рис. 7, б).
Радиальное перемещение w на удалении
от фланца можно найти, используя соотношения для напряжения
(2),
соотношения для относительной окружной деформации
и закона
Гука
:
(7)
Действие жесткого фланца на оболочку
можно заменить распределенными по окружности оболочки изгибающим моментом M и
перерезывающей силой Q Их величины таковы, что левый край оболочки не
деформируется: радиальное перемещение и угол поворота сечения равны нулю. Эти
нагрузки и создают в оболочке местные напряжения. Характер распределения
суммарных (общих и местных) напряжений с внутренней стороны оболочки показан на
Рис. 7, в. Напряжение
,
действующие вдоль оси оболочки, имеет наибольшее значение в точке А и быстро
убывает с удалением от фланца. Это напряжение - изгибающее. Окружное суммарное
напряжение вблизи фланца также растягивающее, вблизи фланца оно меньше общего
напряжения
определяемого
соотношением (2), и по мере удаления от фланца постепенно приближается к нему.
Местные напряжения практически исчезают на расстоянии от фланца:
(8)
Именно это условие определяет размер
зоны действия местных напряжений, которую чаще называют зоной краевого эффекта.
По существу, в этой зоне имеет место концентрация напряжений, связанная с
резким местным изменением жесткости конструкции. В случае абсолютно жесткого
фланца напряжение
в точке А в
два с лишним раза превосходит напряжение в оболочке без фланца
,
рассчитываемое по соотношению (2). Напряженное состояние в точке А - плоское,
поэтому для оценки прочности используют эквивалентное напряжение:
(9)
Коэффициент концентрации по этому
напряжению в рассматриваемом случае оказывается около 2 (см. Рис. 7, г).
Величина местных напряжений и их
вклад в напряженное состояние оболочки зависит в наибольшей степени от
соотношения жесткостей оболочки и фланца. Дело в том, что на фланец со стороны
оболочки действуют перерезывающая сила Q и момент M (см. Рис. 7, б),
стремящиеся развернуть его и увеличить радиус. Они равны тем, которые действуют
на оболочку. Чем меньше жесткость фланца, тем меньшие усилия необходимы, для
того, чтобы согласовать деформацию оболочки и фланца, тем меньше оказываются
местные напряжения. В связи с этим, одним из путей снижения местных напряжений
в оболочках является снижение жесткости фланцев и местных утолщений.
Другой пример проявления краевого
эффекта - деформация цилиндрической оболочки с фланцем при ее равномерном
нагреве до некоторой одинаковой по длине температуры T (см. Рис. 8, а). Фланец
считаем не нагретым, пренебрегаем, как и в предыдущем примере, его деформацией,
считая его абсолютно жестким.
Радиальное перемещение w на удалении
от фланца можно найти, рассматривая увеличение длины окружности при нагреве:
Рисунок 8 Напряженно-деформированное состояние
оболочки вблизи фланца при нагреве оболочки
откуда
(10)
где
- коэффициент линейного расширения
материала оболочки.
Как и в предыдущем примере, действие
жесткого фланца на оболочку заменим распределенными по окружности оболочки
изгибающим моментом M и перерезывающей силой Q. Они обеспечивают согласование
перемещений оболочки и фланца при деформации. В частности, в рассматриваемом
примере - отсутствие перемещения левого конца оболочки (см. Рис. 8, б).
Характер распределения суммарных температурных напряжений с внутренней стороны
оболочки показан на Рис. 8, в, г. В целом, он такой же, как и в предыдущем
примере; отличие состоит в том, что за пределами зоны краевого эффекта в
оболочке отсутствуют и осевые и окружные напряжения, т.к. там отсутствует
стеснение теплового расширения. Напряженное состояние в опасной точке А -
плоское, осевое напряжение - растягивающее, окружное - сжимающее. При разнице
температур оболочки и фланца в 100 градусов при типичных для корпусов ГТД
размеров эквивалентное температурное напряжение составляет более 400 МПа. Зона
краевого эффекта определяется соотношением (8) и для оболочки диаметром 500 мм
и толщиной 1 мм составляет около 36 мм.
Рисунок 9 Напряженно-деформированное
состояние оболочки при неравномерном по толщине нагреве
Снижения температурных напряжений
можно добиться, снижая разницу температур между оболочкой и фланцем и уменьшая
жесткость фланца.
В качестве третьего примера
рассмотрим температурные напряжения в цилиндрической оболочке на достаточном
удалении от зон краевых эффектов при неравномерном нагреве стенки, одинаковом
по длине оболочки (см. Рис. 9). Пусть распределение температуры по толщине
оболочки подчиняется линейному закону, разница температур на внутренней и
внешней поверхности составляет ∆T, пусть, для определенности, на
внутренней поверхности температура выше.
В этом случае краевой эффект не
проявляется, однако, в оболочке возникает тепловая деформация и температурные
напряжения. Приведем без вывода соотношения для них:
(11)
где µ - коэффициент Пуассона.
Знак «+» соответствует наружной
(более холодной) поверхности оболочки, знак «-» - внутренней. Характер
распределения напряжений по толщине оболочки - линейный (см. Рис. 9). При
перепаде температур в 100 градусов температурные напряжения составляют в
стальной оболочке около 150 МПа.
Рассмотренные примеры не охватывают
всего круга задач по определению местных напряжений, а лишь иллюстрируют
проявления краевого эффекта.
3. Расчет напряженно-деформированного
состояния корпусов с помощью метода конечных элементов
В настоящее время для расчетов напряжений и
деформаций в корпусах ГТД используются трехмерные модели напряженного состояния
и метод конечных элементов. С помощью таких расчетов определяются местные
напряжения в зонах концентрации и проводится оптимизация геометрии и размещения
подкрепляющих элементов.
В качестве примера конечноэлементного расчета
корпуса рассмотрим корпус камеры сгорания. На Рис. 10 показан сектор камеры
сгорания, состоящей из наружного и внутреннего корпусов, соединенных между
собой стойками. В месте расположения стоек на обоих корпусах имеется утолщение
(ребро жесткости) для уменьшения местных напряжений в корпусах вблизи стоек.
Вокруг всех отверстий выполнены подкрепляющие фланцы.
При определении напряжений в такой конструкции
можно выделить и рассматривать только изображенный на рисунке сектор,
представляющий циклически симметричную часть конструкции. Корпуса нагружены
давлением внутри камеры сгорания, осевыми силами, действующими со стороны корпусов
компрессора и турбины. На Рис. 11 показана конечно-элементная модель корпуса. В
зонах концентрации напряжений для корректного решения задачи применена более
густая сетка.
Рисунок 10 Расчетная схема корпусов камеры
сгорания
Рисунок 11 Конечно-элементная модель корпуса
камеры сгорания
Результаты расчета в виде распределения
интенсивности напряжений в наружном корпусе камеры сгорания приведены на Рис.
12. Отметим, что номинальные напряжения в гладкой части корпуса (σi
≈ 35 кгс/мм2) близки к напряжениям, рассчитанным для цилиндрической
оболочки по формуле (2): σu = 38,6
кгс/мм2. В зонах концентрации (отверстиях, выполненных в специально утолщенных
зонах корпуса - фланцах) напряжения, определенные по результатам
конечно-элементного расчета, примерно в три раза превышают номинальные
напряжения в оболочке.
силовой корпус деталь оболочка
4. Устойчивость корпусных деталей
В механике рассматривается понятие устойчивого
равновесия конструкции, при котором малым приращениям нагрузки соответствуют
малые деформации конструкции. Если конструкция имеет одну форму устойчивого
равновесия, потеря устойчивости произойти не может. Если же при данном типе
нагрузки возможно несколько форм устойчивого равновесия, возможен резкий
переход из одной устойчивой формы в другую, связанный со значительной
деформацией при незначительном увеличении нагрузки. Такой переход и есть потеря
устойчивости. Тонкостенные конструкции, в частности, оболочки, при таких типах
нагрузок, которые создают в них сжимающие напряжения, обычно имеют несколько
устойчивых форм, при которых конструкция находится в состоянии равновесия.
Например, при приложении внешнего давления p к цилиндрической оболочке радиуса
r и толщины δ, она может
сохранять цилиндрическую форму, и в ней возникают сжимающие окружные
напряжения:
(12)

Рисунок 13 Потеря устойчивости цилиндрической
оболочки под действием внешнего давления
Рисунок 14 Схемы нагружения цилиндрических
оболочек
При определенном значении внешнего давления,
которое называют критическим, форма оболочки, при которой снова наступает
устойчивое равновесие, уже не цилиндрическая (см. Рис. 13).
Критические нагрузки зависят от вида нагружения,
размеров и материала оболочки, способа закрепления ее краев, наличия
подкрепляющих элементов. Аналитические расчеты критических нагрузок сложны и
для большинства реальных конструкций деталей ГТД невозможны. В настоящее время
для таких расчетов успешно применяется метод конечных элементов.
Рассмотрим несколько случаев нагружения
цилиндрических оболочек, которые могут привести к потере устойчивости. Первый
случай - сжатие оболочки внешним давлением (см. Рис. 14, а). Для случая
шарнирного (т.е. не допускающего радиального перемещения, но допускающего
поворот) закрепления краев оболочки критическое давление можно оценить по
формулам:
(13)
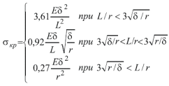
Критическое окружное напряжение, соответствующее
этой нагрузке, равно:
(14)
Из (13), (14) видно, что с увеличением толщины
оболочки, уменьшением ее радиуса и длины критическое давление увеличивается.
Единственная характеристика материала, влияющая на критическое давление -
модуль упругости - мало изменяется в рамках одной группы сплавов (сталей,
титановых сплавов и т.д.), но заметно уменьшается с увеличением температуры,
что необходимо учитывать в расчетах. Для размеров оболочки, характерных для
внутреннего кожуха камеры сгорания, например, критическое значение давления
примерно в 10 раз ниже давления, разрушающего оболочку из-за превышения
напряжениями предельного значения.
Второй случай - сжатие оболочки осевыми силами
(см. Рис. 14, б). Критическая сила для оболочки средней длины с шарнирным
закреплением краев может быть оценена по формулам:
(15)
И в этом случае критическая нагрузка уменьшается
с уменьшением толщины оболочки по сравнению с другими размерами.
При изгибе оболочки (см. Рис. 14, в) потеря устойчивости
может произойти в ее сжатых волокнах при достижении изгибающим моментом такого
значения, когда напряжения равны:
(16)
При кручении (см. Рис. 14, г) критическое
значение крутящего момента соответствует касательным напряжениям:
(17)
Повышение жесткости заделки краев оболочки
повышает критические нагрузки.
Потерю устойчивости оболочки может вызывать ее
нагрев, если не обеспечена свобода ее теплового расширения, и в ней могут возникнуть
сжимающие температурные напряжения. При нагреве на температуру T в оболочке
возникает температурное сжимающее напряжение:
(18)
где
- коэффициент линейного расширения.
Подставляя это выражение в (15) для
шарнирно опертой оболочки средней длины, например, получаем критическое
значение температуры, при нагреве до которой произойдет потеря устойчивости, и
оболочка начнет изгибаться:
(19)
Для стальной оболочки диаметром 600
мм и толщиной 1 мм эта температура составляет около 200 ̊С.
При совместном действии нагрузок
критические значения могут как уменьшаться, так и увеличиваться. Так,
совместное действие внешнего давления и сжимающей осевой силы снижает
критические нагрузки, а при действии растягивающей осевой силы критическое
давление увеличивается. Внутренне давление повышает устойчивость оболочки при
действии сжимающей осевой силы.
Растягивающая осевая сила и
внутреннее давление повышают устойчивость оболочки при действии крутящего
момента; именно такая схема соответствует нагружению наружного корпуса камеры
сгорания. Внутренний кожух камеры сгорания нагружен крутящим моментом, внешним
давлением и растягивающей осевой силой; в этом случае особенно необходим
тщательный анализ устойчивости.
Рисунок 15 Усиление внутреннего
корпуса камеры сгорания ребрами жесткости (шпангоутами)
По найденным критическим значениям
определяется коэффициент запаса устойчивости ny как отношение критической
нагрузки к рабочей или как отношение критического значения напряжения к
расчетному. Например, для нагружения оболочки внешним давлением:
(20)
Нормативное значение коэффициента
запаса устойчивости составляет 1,5...2.
С целью возможно более точного учета
формы оболочки и условий ее взаимодействия с соседними деталями, учета
совместного действия нагрузок проводят уточненный расчет устойчивости методом конечных
элементов.
Если оказывается, что устойчивость
оболочки недостаточна, ее подкрепляют силовыми элементами: кольцевыми
(шпангоутами) и продольными (стрингерами). В случае, если сжимающее напряжение,
которое может вызвать потерю устойчивости, окружное - необходимы шпангоуты,
если осевое - стрингеры.
При действии на оболочку внешнего
давления, например, ее усиливают шпангоутами (см. Рис. 15). Критическое
давление для такой усиленной оболочки повышается по сравнению с (15) до
величины:
(21)
где Nш - число шпангоутов;ш - момент
инерции поперечного сечения шпангоута.
В этом случае в дополнение к
проверке общей устойчивости необходимо проверять оболочку на местную
устойчивость. При этом рассматривается не вся оболочка, а ее участки между
шпангоутами, критическое давление определяется соотношением (13). Количество и
расположение шпангоутов подбирают таким образом, чтобы коэффициенты запаса по
общей и местной устойчивости были близкими и удовлетворяли требованиям
нормативов.
Некоторые особенности имеет расчет
на устойчивость жаровых труб камер сгорания ГТД. Они представляют собой
оболочки сложной формы с многочисленными отверстиями для подвода вторичного
воздуха и охлаждения. Давление внутри жаровой трубы всегда несколько ниже, чем
снаружи, поэтому необходима проверка устойчивости на действие внешнего
давления. В приближенных расчетах жаровую трубу рассматривают как
цилиндрическую оболочку, пренебрегают наличием отверстий, утолщения в местах подвода
охлаждающего воздуха рассматривают как кольцевые ребра жесткости. Нагрев
жаровой трубы не вызывает появления температурных напряжений сжатия, если
обеспечена свобода ее теплового расширения.
5. Расчет корпусов на непробиваемость
Вероятность разрушения роторов авиационных ГТД
относительно мала по сравнению с вероятностью других отказов, однако
потенциальная возможность связанной с этим катастрофы заставляет специально
рассматривать эту проблему. Запас энергии, которым обладает фрагмент разрушившегося
ротора (лопатка, фрагмент диска и др.), может оказаться достаточным для того,
чтобы пробить корпус двигателя и повредить при этом системы жизнеобеспечения
самолета, вызвать пожар, попасть в кабину самолета и т.д. В связи с этим
возникает необходимость анализа прочности корпусов в случае удара разрушившейся
части ротора. Такой анализ называют расчетом корпуса на непробиваемость.
Рисунок 16 Схема пробивания корпуса по гипотезе
среза
Наиболее простая модель пробивания корпусов ГТД
(см. Рис. 16), основана на балансе кинетической энергии Ek фрагмента
разрушившегося ротора и работы A деформации и последующего разрушения корпуса.
Запас прочности по непробиваемости корпуса в рамках этой модели имеет вид:
(22)
Кинетическая энергия определяется через массу М
и скорость V фрагмента как
Работа деформации и разрушения A включает в себя
работу изгиба и среза. Работа изгиба определяется размерами оборвавшегося
фрагмента и жесткостью корпуса. Работа среза - площадью поверхности среза и
предельным напряжением сопротивления срезу. Она пропорциональна квадрату
толщины корпуса. В зависимости от материала, толщины корпуса и размеров
ударяющего в него
фрагмента ротора меняется преимущественный
механизм разрушения и соотношение долей работы среза и изгиба. Так, при низкой
жесткости корпуса доля деформации изгиба, предшествующего срезу, велика. В
расчетах это соотношение учитывается входящими в модель эмпирическими коэффициентами.
Для определения кинетической энергии Ek
необходимо обоснованно определить какая часть ротора при его разрушении может
отделиться и попасть в корпус. Анализ случаев нелокализованных разрушений,
происходивших в эксплуатации и в специальных экспериментах показывает, что
корпуса двигателя можно разделить на четыре участка, для которых опасность
нелокализованного разрушения и энергия разлетающихся фрагментов существенно
различны. Это зона вентиляторной ступени, зона компрессора, зона камеры сгорания,
зона турбины. Наибольшей кинетической энергией обладают нелокализованные
лопатки вентиляторных ступеней и фрагменты дисков турбин.
В расчетном анализе полагают, что при разрушении
вентиляторной ступени бесполочные лопатки отрываются в корневом сечении; лопатки,
имеющие полки, отрываются над полкой. При разрушении компрессора происходит
вырыв части обода диска. Опыт эксплуатации и эксперименты показали, что в
качестве фрагмента обода следует принимать часть диска от шейки до внешнего
радиуса. Причем в окружном направлении длина фрагментов должна быть такой,
чтобы она включила 3...5 замковых выступов. К массе фрагмента следует добавить
массу 3...5 лопаток соответственно.
При анализе непробиваемости корпуса турбины
рассматривают четыре вида схем: отрыв пера лопатки, отсоединение лопатки, отрыв
части обода диска, разрыв диска по радиальным сечениям. Лопатка турбины
отрывается по корневому сечению или по первому зубу елочного замка. Если
лопатка выполнена заодно с диском, то принимается вариант отрыва по корневому
сечению. Если лопатка имеет замок, то в расчетах принимается, что происходит
отрыв пера с частью замка по первому зубу или по наиболее нагруженному сечению.
При изломе замкового выступа диска или при раскрутке ротора турбины выше
рабочей скорости вращения и значительной вытяжке диска может иметь место
отделение лопатки вместе с замком.
При вычислении кинетической энергии фрагмента
следует иметь в виду, что скорость вращения вентилятора и компрессора, как
правило, не превышает максимальную рабочую. Скорость же вращения ротора турбины
может превысить максимальную рабочую, например, при нарушении кинематической
связи между турбиной и компрессором. В этом случае автомат защиты не всегда
предохраняет ротор турбины от заброса скорости вращения, и за доли секунды
может происходить разгон диска до разрушения. При этом происходит значительная
вытяжка полотна диска. Лопатки в связи с вытяжкой касаются корпуса и
отламываются на длине от 30 до 100% от внешнего радиуса профильной части.
Оставшейся длины обломков лопаток оказывается достаточно, чтобы разгон диска
продолжался до его разрушения, поскольку ротор турбины освобожден от
компрессорной нагрузки.
Рисунок 17 Моделирование последствий обрыва
рабочей лопатки вентилятора методом конечных элементов
Методика оценки непробиваемости корпусов по
соотношению (22) позволяет в явном виде получить соотношения для расчета
толщины корпуса, необходимой для удержания фрагмента заданных размеров при
известной скорости удара. В отсутствие опытных данных эта методика дает
завышенное значение толщины корпуса.
Для обеспечения требуемой безопасности полетов
кроме расчетов непробиваемости корпусов проводится экспериментальное
подтверждение локализации в корпусах двигателя фрагментов роторов. Так, одно из
наиболее дорогостоящих испытаний - проверка локализации разрушения при обрыве
вентиляторной лопатки. В виду высокой стоимости таких испытаний, они должны
носить именно подтверждающий характер и быть предварительно смоделированы.
Моделирование обрыва рабочей лопатки вентилятора
может быть проведено с применением метода конечных элементов. Для этого
требуется знание свойств материалов во всем диапазоне скоростей деформаций,
характерных для условий соударения. Моделирование позволяет непосредственно найти
траекторию движения оторвавшегося фрагмента лопатки, описать весь процесс ее
соударения с корпусом, другими лопатками, оценить в рамках применяемых моделей
возможность разрушения корпуса и выхода оторвавшегося фрагмента за пределы
двигателя. Пример конечно-элементного анализа процесса удара рабочей лопатки
вентилятора в корпус приведен на Рис. 17, где показано состояние системы в три
последовательных момента времени после обрыва лопатки.
. Расчет элементов подвески
Подвеска двигателя представляет собой пространственную
стержневую систему (см. Рис. 18), которая воспринимает вес и тягу двигателя,
реактивные крутящие моменты на корпусах, инерционные силы и гироскопические
моменты, вызванные перегрузками при эволюциях самолета и вследствие атмосферной
турбулентности. Элементы подвески также подвержены вибрационной нагрузке,
передаваемой от работающего двигателя, и пиковым перегрузкам при эволюциях
самолета, движении в турбулентном потоке, жесткой посадке.
Пример схемы подвески двигателя приведен на Рис.
18. Подвеска должна обеспечить свободу тепловых расширений, фиксацию двигателя
как жесткого целого, минимизировать усилия в стержнях подвески и в узлах ее
крепления к двигателю. Подвеска в 2-3 плоскостях представляет собой статически
определимую стержневую систему. Стержневые элементы соединяются между собой, с
двигателем и самолетной конструкцией шарнирно (см. Рис. 18, б), чтобы исключить
появление изгибающих моментов.
Проводят следующие расчеты элементов подвески:
·расчет
на статическую прочность и циклическую долговечность; этот вид расчетов
выполняется для медленноменяющихся нагрузок, которые повторяются в каждом
полете;
·расчет
на несущую способность; расчет проводится для предельно допустимых нагрузок,
которые могут возникнуть в особых полетных ситуациях, например, при жесткой
посадке;
·для
тех стержней подвески, которые испытывают сжимающие усилия, выполняется расчет
на устойчивость;
- оценка усталостной прочности; ее выполняют для
определяемых экспериментально динамических нагрузок, обусловленных вибрацией
двигателя и турбулентными явлениями в атмосфере.
Определение усилий в стержнях проводится
методами статики в предположении, что в стержнях могут возникать только
растягивающие или сжимающие усилия. Расчет сводится к решению системы линейных
алгебраических уравнений равновесия сил и моментов относительно усилий в
стержнях. Напряжения в каждом стержне определяются в рамках простейшей модели
растяжения делением полученной продольной силы на площадь поперечного сечения
стержня.
Наиболее нагруженными элементами стержней
подвески являются проушины шарнирных соединений (см. Рис. 19, а), с помощью
которых стержни соединяются с корпусами двигателя и пилоном самолета.
Приближенный расчет проушины может быть проведен в предположении одноосного
напряженного состояния и равномерного распределения напряжения по сечению
проушины, без учета концентрации напряжений. Напряжение растяжения в проушине
определяются выражением:
(23)
а)
б)
Рисунок 18 Пример схемы подвески двигателя (а) и
конструктивного исполнения узла подвески (б)


Рисунок 19 Схема приложения нагрузки для расчета
напряженного состояния проушины и конечно-элементная модель
- площадь поперечного сечения проушины. Для
оценки запаса по несущей способности напряжения (23) сравнивают с пределом
прочности материала.
При действии нагрузки в штатных условиях полета
распределение напряжений в проушине неравномерно. Наиболее полный учет
особенностей геометрии проушин (сферических поверхностей, буртов и пр.) и
контактного взаимодействия деталей под нагрузкой возможен при расчете методом
конечных элементов. На Рис. 19 показана геометрия (а) и конечно-элементная
модель (б) для расчета НДС проушины с втулкой. Результаты расчета напряжений в
проушине тяги представлены на Рис. 19, в. Максимальные напряжения, полученные с
помощью конечно-элементного расчета, имеют место на внутренней сферической
поверхности проушины и превышают среднее значение по (23) примерно в два раза.
Заключение
Стремление к повышению экономичности двигателей,
предопределенное жесткой конкуренцией в области газотурбинных технологий, ведет
к постоянному повышению температур и нагрузок, действующих на детали и узлы
ГТД. В этих условиях обеспечение высоких показателей надежности, безопасности
эксплуатации, ресурса должно идти как по пути разработки новых материалов и
технологий, так и по пути совершенствования методов прочностного анализа и
ресурсного проектирования.
С появлением современных численных методов
расчет напряженно-деформированного состояния деталей ГТД может проводиться с
достаточно высокой точностью, однако это не означает автоматически решения с
такой же точностью всей задачи прочностного анализа. Должны быть решены еще две
проблемы.
Первая из них - точное определение исходных
данных для расчета напряженного состояния - нагрузок и температур. Детальный
пространственно-временной анализ нагрузок, особенно динамических, представляет
собой сложную мультидисциплинарную задачу, требующую тщательного исследования
взаимодействия газодинамических и тепловых процессов. Расчет температурных
полей, определяющих температурные напряжения, должен проводиться с высокой
точностью, что также требует подробного газодинамического анализа. Во многих
случаях для решения этих задач недостаточно только расчетов, требуется
проведение сложных дорогостоящих экспериментов.
Вторая проблема - выбор критериев прочности и
оценка надежности и ресурса по имеющимся напряжениям. Проблема состоит в
недостаточном объеме информации о поведении материалов, процессах разрушения
при реальных условиях нагружения и эксплуатации. Единственным, по существу,
путем решения этой проблемы является проведение большого объема
экспериментальных исследований.
Традиционная методология обеспечения прочностной
надежности и обоснования ресурса ГТД всегда включала в себя большой объем
экспериментальных исследований на натурном полноразмерном двигателе в условиях
стендовых и летных испытаний. В частности, проводился большой объем
дорогостоящих эквивалентно-циклических испытаний. Это - так называемая первая
стратегия управления ресурсом. При ресурсах в десятки тысяч часов эта стратегия
становится неприемлемо дорогой. Поэтому в мировой практике двигателестроения в
последние годы основной объем ресурсных испытаний переносится на испытания
отдельных узлов и деталей на специальных установках (вторая стратегия). В
перспективе предполагается еще более радикальное изменение методологии -
постепенная замена испытаний натурных деталей и узлов расчетами и испытаниями
материала на образцах (третья стратегия). Новая методология предполагает также
эксплуатацию двигателя по техническому состоянию (а не по выработке
назначенного ресурса), когда решение о продлении ресурса принимается на
основании периодического контроля состояния основных деталей.
Реализация второй, а тем более третьей стратегии
управления ресурсом предполагает решение ряда научных задач, обеспечивающих
принципиальное повышение достоверности и точности информации о реальных
условиях работы деталей и узлов, разработку математических моделей высокого
уровня для анализа теплового и напряженного состояния, накопления повреждений и
разрушения, развитие методов эксплуатационной диагностики. Развитие этих
направлений определяет перспективы прочностной надежности и ресурса,
перспективы газотурбинных двигателей в целом.
Перечень использованной литературы
1. А.А.
Иноземцев. Основы конструирования авиационных двигателей и энергетических
установок. В 5 т. Т. 4. Динамика и прочность авиационных двигателей и
энергетических установок. М., ООО «Издательство машиностроение», 2008, 192 с.
. Биргер
И.А., Шорр Б.Ф., Иосилевич Г.Б. Расчет на прочность деталей машин. М.,
Машиностроение, 1979г. - 702 с.
. Хронин
Д.В. Колебания в двигателях летательных аппаратов. М., Машиностроение, 1980,
296с.
. Котеров
Н.И., Даревский В.М., Никулин М.В., Гой В.Ф. Методы расчета на прочность
корпусов, оболочек, направляющих и сопловых аппаратов газотурбинного двигателя.
Отв. ред. Биргер И.А. Труды ЦИАМ ¹769,
М., ЦИАМ, 1977, 344 с.
. Скубачевский
Г.С. Авиационные газотурбинные двигатели. Конструкция и расчет деталей. М.,
Машиностроение, 1981г. - 550 с.
. Зальцман
М.М., Нихамкин М.А. Статическая прочность элементов конструкции ГТД. Пермь,
1989.- 80 с.
. Нихамкин
М.А., Зальцман М.М. Конструкция основных узлов двигателя ПС-90А. Пермь,
2002.-120 с.