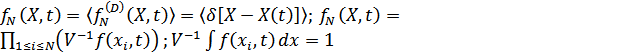
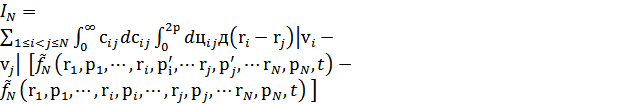
Надежность зданий и сооружений
Оглавление
1. Анализ
требований стандартов и нормативных документов к расчетам надежности.
.1 Требования
к предельным состояниям.
.2
Нормативные и расчетные значения характеристик материалов и нагрузок.
.
Кинетические уравнения движения и уравнения равновесия механики.
. Некоторые
виды необратимых процессов.
.1 Влияние
необратимых процессов.
.2 Надежность
систем с учетом необратимых процессов, вязкоупругих свойств материалов и
системами инженерного обеспечения объектов строительного назначения.
1. Анализ
требований стандартов и нормативных документов к расчетам надежности
.1 Требования
к предельным состояниям
Стандартами надежность определена как безотказность работы объектов в
течение определенного срока службы. Конструкции объектов должны рассчитываться
по предельным состояниям с учетом обмена веществ, изменения свойств нагрузок и
воздействий, геометрических и функциональных характеристик во времени. Иными
словами, стандарты предусматривают необходимость расчета объектов в составе
открытых систем по предельным состояниям.
Стандарты предельные состояния разделяют на две группы:
первая группа рассматривает состояния, наступления которых ведут к
полному отказу системы или к полной (частичной) потере несущей способности
объекта в целом:
В состав предельных состояний первой группы входят:
разрушения любого вида (например, прочность, пластичность, хрупкость,
усталость);
потеря устойчивости формы объекта, которая привела к полной непригодности
в эксплуатации;
потеря устойчивости положения;
переход в изменяемую систему;
качественные изменения конфигурации;
необратимые изменения материалов, конструкций объектов и состояний сред;
вторая группа рассматривает состояния, которые затрудняют эксплуатацию
объекта или изменяют (уменьшают) долговечность объекта по сравнению с
предусмотренным проектировщиком сроком службы.
В состав предельных состояний второй группы входят:
необратимые изменения предельных деформаций конструкций;
достижение предельных уровней колебаний;
образование и развитие локальных дефектов (например, трещин, раскрытие
трещин и т.д.);
необратимые изменения формы частей объекта, которые приводят к
затруднениям нормальной эксплуатации;
состояния, связанные с временным ограничением эксплуатации объекта,
вследствие неприемлемого снижения срока службы.
Таким образом, стандартами предусматривается рассмотрение открытых систем
(обмен энергией, веществом и информацией) в предельном состоянии для
стохастических процессов.
При расчете объектов стандартом предусмотрено рассматривать следующие
расчетные ситуации:
установившаяся, имеющая продолжительность того же порядка, что и срок
службы объекта;
переходная, имеющая продолжительность меньше, чем срок службы объекта;
аварийная, имеющая малую вероятность появления и небольшую
продолжительность, но являющаяся весьма важной с точки зрения последствий
достижения предельных состояний, возможных при ней.
Расчетные ситуации по стандарту характеризуются расчетной схемой объекта,
видами нагрузок, значениями коэффициентов условий работы и коэффициентов
надежности, перечнем предельных состояний, которые относятся ситуации.
На практике расчетная схема не обязательно является реальной схемой
объекта, что приводит к потере информации о состоянии объекта.
При расчете предельных состояний системы в настоящее время используется
система коэффициентов, отражающих вероятность изменения нормативных значений
параметров и отклонений условий работы от стандартных условий.
Система рассматривает:
коэффициенты надежности по материалу, отражающие вероятность изменения
прочностных характеристик по сравнению с их нормативными значениями (служит для
определения расчетных характеристик).
Изменения прочностных характеристик рассматриваются методами механики
сплошных сред (теориями упругости, пластичности, ползучести, усталости),
включая необратимые процессы механического характера;
коэффициенты надежности по нагрузке, отражающие вероятность изменения
нагрузок по сравнению с их нормативными значениями (служит для определения
расчетных характеристик).
Изменения нагрузок рассматриваются методами механики сплошных сред
(гидродинамики, теории упругости).
коэффициенты условия работ, отражающие влияние неблагоприятных флуктуаций
параметров на выполнение системы функций, для которых система предназначена.
коэффициенты надежности по ответственности системы, учитывающие уровень
ответственности объектов при расчете методом предельных состояний и
предназначены для определения предельных значений параметров;
коэффициенты, учитывающие вероятность одновременного действия сочетаний
нагрузок
Решение вопросов поведения системы (в предельных состояниях) решается
методом замыкания системы, который допускает возможность рассмотрения
статистически независимых процессов и последующего суммирования параметров
изменения системы. Для системы постоянной структуры и формы считается справедливым
закон сохранения количества движения:

.
Замкнутая
система (в механике) - совокупность физических тел, у которых воздействия с
внешними телами отсутствует или скомпенсирована. Механика предполагает для
Физических тел справедливым принцип суперпозиции (принцип наложения),
допущения, согласно которому если составляющие сложного процесса воздействия
взаимно не влияют друг на друга, то результирующий эффект представляет собой
сумму эффектов, вызываемых каждым эффектом в отдельности (применим к линейным
системам).
Метод
замыкания систем и суперпозиции допускает рассмотрение каждого эффекта в
отдельности с последующим суммированием параметров, вызванных отдельными
эффектами.
.2
Нормативные и расчетные значения характеристик материалов и нагрузок
Параметрами прочности материала являются нормативные значения его
характеристик.
Нормативные
значения характеристик материала определяются экспериментально и представляют
собой средние значения характеристик по наблюдениям с оценкой средних
квадратичных отклонений и точности измерения. Если прочностные характеристики
материалов прошли приемочный контроль и сортировку, то значения характеристик
умножаются на 
.
Возможные
отклонения характеристик материалов в неблагоприятную сторону от нормативных
значений учитываются коэффициентами надежности по материалу 
в
зависимости от вида предельного состояния. Где: 
-
коэффициент, учитывающий влияние отклонений свойств материала на надежность
объекта в целом, 
-
коэффициент, учитывающий влияние условий эксплуатации на свойства материала.
Расчетным значением характеристики материала является значение,
получаемое делением нормативного значения на коэффициент надежности по
материалу.
Основными характеристиками нагрузок являются их нормативные значения.
Нормативные значения нагрузок определяются:
для нагрузок от собственного веса - по проектным значениям геометрических
и конструктивных параметров и по средним значениям плотности;
для атмосферных нагрузок и воздействий - по наибольшим годовым значениям
и среднему периоду их превышения;
Нормативные значения нагрузок, которые могут вызывать в объекте
динамические усилия или деформации, должны определяться с учетом динамических
явлений и динамических характеристик конструкций;
для технологических статических нагрузок - по ожидаемым наибольшим
значениям для предусмотренных условий изготовления, эксплуатации или
производства работ, с учетом паспортных данных;
для технологических динамических нагрузок - по значениям параметров,
определяющим динамические нагрузки, или по значениям масс и геометрических
размеров движущегося механизма или частей машины в соответствии с ее
кинематической схемой и режимом работы;
для сейсмических и взрывных воздействий, а также для нагрузок, вызываемых
резкими нарушениями технологического процесса - в соответствии с требованиями
специальных нормативных документов.
Отклонение
нагрузок в неблагоприятную сторону от их нормативных значений вследствие
изменчивости нагрузок или отступлений от условий нормальной эксплуатации
учитывается коэффициентами надежности по нагрузке 
.
Величина 
зависит
от вида предельного состояния.
Расчетное
значение нагрузки определяется произведением нормативного значения на
соответствующий коэффициент надежности по нагрузке.
Если
нагрузки изменяются во времени, то их значения определяются для срока службы
объекта.
При
расчете объектов в составе систем учитываются неблагоприятные сочетания
нагрузок, относящихся к определенному периоду их действия. Уменьшение
вероятности одновременного превышения несколькими нагрузками их расчетных
значений учитывается коэффициентами сочетаний нагрузок 
.
Основную
роль при определении надежности системы при действии нагрузок и воздействий играет
расчетная модель системы и структурная схема надежности, определяющая
статистически независимые объекты в составе системы.
Отклонения
расчетной модели от условий работы реального объекта по видам нагрузок и
воздействий определяется коэффициентом условия работы 
.
Для
открытых систем коэффициенты условия работы должны учитывать вероятность
снижения надежности по необратимым процессам, связанным с обменом веществом и
информацией.
Надежность системы, состоящей из последовательно соединенных подсистем,
определяется соотношением

.
Надежность
системы, состоящей из параллельно соединенных подсистем, определяется соотношением

или
соотношением

в
случае наличия 
подсистем
дублирования.
Если
при резервировании элементы подсистемы дублируются 
раз, а
подсистемы соединяются последовательно, то надежность системы определяется
соотношением

(1.1)
Надежность
системы выражается через интенсивность отказов:

(1.2)
где:

-
условная вероятность отказа.
Если

, то
закон распределения надежности записывается в виде 
. (1.3)
Понятие
надежности 
связано
с понятием долговечности

(1.4)
где:

-
функция надежности системы, соответствующая функции распределения отказов 
при

: 
(1.5)
Надежность
системы по прочности (деформативности) определяется в виде
где:

-
суммарное значение математического ожидания сочетаний нагрузок и воздействий;

-
математическое ожидание несущей способности с учетом необратимых физических и
других процессов.
Направление
необратимых физических процессов определяют вероятностные законы статистики при
случайных взаимодействиях.
Таким
образом, существующие стандарты надежности систем требуют:
учета
изменения структуры и состава веществ на протяжении срока службы объекта
системы (учет необратимых процессов в течение срока службы);
описания
предельных состояний системы при случайных видах воздействий;
описание
распределений частиц системы в 6 - мерном фазовом пространстве с учетом
флуктуаций;
расчета
напряженно-деформированного в течение срока службы объекта и сравнение НДС с
характеристиками материалов, используемых для объектов;
описание
процесса обмена информацией о состоянии объекта и определение набора
параметров, выбранных в качестве управляющих параметров;
оценки
появления и изменения дефектов при эксплуатации системы с целью восстановления
надежности системы при эксплуатации.
Механикой
несущая способность определяется при следующих условиях:
нагрузки
и воздействия имеют детерминированные значения нагрузок с использованием
принципов суперпозиции;
форма
объектов, форма изменяется мало или вообще не изменяется при нагрузках;
движение
объекта и состояния равновесия соответствуют обратимым по времени процессам;
в
материале объекта и процессах использования объекта необратимые процессы не
учитываются;
для
объекта справедливы постулаты теории возмущений.
Состояние
системы описывается уравнением Гамильтона для детерминированных нагрузок и
воздействий или уравнениями Лиувилля для закрытых систем в случае случайных
нагрузок.
Рассмотрим
некоторые вопросы обеспечения надежности для систем, форма которых изменяется в
функции нагрузки, а материалы изменяют свойства с течение времени.
В
этой постановке каждой текущей форме объекта (координатам) соответствует
определенное значение распределения скоростей (импульсов).
Состояние
системы определяется динамическим распределением 
частиц
рассматриваемой системы в 6-мерном пространстве 
координат
и импульсов частиц:

(1.6)
где:

-
истинное число частиц около точки 
в
элементе объема 
в момент
времени 
.
Интеграл
по объему в пространстве 
определяет
полное число частиц.
Функция

, в
отсутствии полной информации о значениях 
,
является случайной функцией.
Поэтому
возникает необходимость рассмотрения ансамбля Гиббса в виде:

(1.7)
где:

-
средняя плотность числа частиц.
Если
рассматривается 
мерное
фазовое пространство 
, то
функция динамического распределения соответствует виду:
(1.8)
Аналогично
распределению частиц вводим ансамбль Гиббса. Функция распределения плотности
частиц в 
мерном
фазовом пространстве определяется первым моментом динамического распределения:

(1.9)
Выбор
масштабов длины 
и
времени 
отвечает
условиям:
величины

малы по
сравнению с масштабами задачи:
физически
бесконечно малый объем 
содержит
большое число частиц (элементарных объектов): 
.
Статистические
распределения - первых моментов случайных функций соответствуют выражениям:
где:

-
сглаженные функции распределений.
Флуктуации
сглаженных распределений соответствуют:

2.
Кинетические уравнения движения и уравнения равновесия механики
Известно уравнение баланса числа частиц (кинетическое уравнение
Леонтовича) или точнее, точек, изображающих состояние частиц:

(2.1)
где:

-
изменение функции распределения по времени;

-
изменение функции распределения перемещения частицы в пространстве;

-
изменение функции распределения от действия внешних сил (средней силы 
);

-
интеграл столкновений, определяет изменения координат и импульсов частицы
(внутренние силы), вызванные изменением функции распределений;

(2.2)

(2.3))
Уравнение
учитывает столкновения всех пар частиц 
Импульсы

связаны
с импульсами 
законами
сохранения импульса и кинетической энергии пары частиц.

(2.4)
Четыре соотношения позволяют определить соотношения:

(2.5}
где:

- угол
рассеяния;

- угол
цилиндрической системы координат с осью 
вдоль
относительной скорости взаимодействующих частиц 
(относительными
импульсами 
).
Зависимость
прицельного расстояния 
от угла
рассеяния 
определяется
решением уравнений движения двух частиц.
Функция
распределения 
определяется
в виде:

. (2.6)
Равновесным
решением уравнения Леонтовича в отсутствии внешних сил является распределение
Максвелла:

. (2.7)
Для
статистического распределения 
уравнение
Леонтовича записывается в виде:

(2.8)
Если
положить 
, то
получим уравнение Лиувилля 
, из
которого следуют уравнения равновесия механики сплошной среды с ограничениями
по теории возмущений.
Изменение
функции распределения, обусловленное взаимодействием частиц, связано с уходом
частиц из элемента фазового объема при прямом взаимодействии частиц и
пополнение объема частицами, испытавшими обратные столкновения.
Если
рассчитывать взаимодействие частиц по законам классической механики и считать,
что нет корреляции между динамическими состояниями взаимодействующих частиц, то

(2.9)
где:


-
импульсы частиц до взаимодействия, 
-
импульсы тех же частиц после взаимодействия;

-
относительный импульс частиц;

-
дифференциальное эффективное сечение рассеяния частиц в телесный угол;

- угол
между относительным импульсом и линией центров частицы.
Например,
в случае упругих сферических поверхностей радиуса 
значение
сечения 
для
частиц, взаимодействующих по закону центральных сил.

, (
-
прицельный параметр, 
-
азимутальный угол линии центров).
В
механике с ограничениями по теории возмущений прицельный параметр параллелен
невозмущенной скорости.

-
интеграл столкновений, определяемый коррелятором крупномасштабных флуктуаций.
Левая
часть уравнения определяет изменение функции 
вследствие
перемещения частиц и действия средней силы

: 
(2.10)
где:

-
внешняя сила;

- средняя
сила, определяемая одночастичным распределением 
,
изменение внешней силы, вызванное приведением к срединной поверхности оболочки.
Интеграл
столкновений 
определяет
изменение функции распределения за счет действия внутренних сил и вклада
взаимодействия в диссипацию. Без учета вклада в диссипацию уравнение остается
обратимым, т.е. 
.
Если
система находится в статистическом равновесии, то 
обращается
в нуль и решением КУ Больцмана является распределение Максвелла:

. (2.11)
Число
частиц, абсолютные значения скоростей которых лежат в единице объема в
интервале 
,
определяется соотношением:

(2.12)
Функция

при
наибольшей вероятной скорости

.
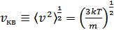
Средний
квадрат скорости 
, средняя
квадратичная скорость

,
средняя
арифметическая скорость

.
Средняя
арифметическая скорость 
больше 
в 
раза.
Распределение
Максвелла не зависит от взаимодействия частиц и справедливо при условии
возможности классического описания (имеет место поступательное движения частиц;
движение не зависит от внутримолекулярного движения и вращения).
КУ
Больцмана справедливо при условии:
пренебрежения
в интеграле столкновений корреляциями для сглаженного распределения:

; (2.13)
пренебрежения
в интеграле столкновений корреляциями в усредненном по ансамблю Гиббса
двухчастичном распределении:

(2.14)
Рассмотрим,
например, взаимодействие тонкостенной оболочки с потоком воздуха и сравним
данные экспериментальных исследований с результатами решения уравнений
равновесия.
Гипотезы
расчета тонких оболочек:
линейный
элемент, нормальный к срединной поверхности оболочки остается прямым и
нормальным к данной поверхности после деформации оболочки;
напряжения
на площадках, параллельных срединной поверхности, не учитываются.
характеристики
материалов остаются постоянными во времени.
В
соответствии с описанием функции распределения в составе функции должны быть
данные, связывающие координаты частицы 
и
характеристики силового воздействия на частицу со стороны потока 
:
Данные
о распределении координат и давлений на поверхности модели определяются
экспериментальными исследованиями и должны входить в состав стандартов или
норм.
В
настоящее время нагрузки, например, для объектов сферической формы определяются
данными:
приложения
4 схема 12аСНиП;
нормативных
материалов (например, СП) и/или 
.
Данные
о взаимодействии объекта с ветровой нагрузкой, приведенные в СП (В.1.11 Сфера),
относятся к возможному учету обобщенных аэродинамических характеристик 
в
функции числа 
и
относительной шероховатости 
поверхности
тела $
исследований
моделей в аэродинамических трубах закрытого типа.
Некоторые
результаты распределений коэффициентов давлений по главному меридиану
приводятся на Рис.2.1.
Распределения
1,2,3 считаются отнесенными к проектной форме (жесткой модели) оболочки
независимо от скорости потока в интервале скоростей 
м/с.
Распределения
2 и 5 относятся к форме, которую оболочка принимает в результате взаимодействия
с потоком и связаны с отношением 
:
распределение
4 принимается для соотношений 
;
распределение
5 принимается для соотношений 
;
Рис.2.1.
Распределение 
по
главному меридиану модели сферической формы для сферы с 
.
К
числу общих неточностей данных норм СНиП и экспериментальных исследований Beger
и IASS относятся:
распределения

включают
информации о коэффициентах давления (функция 
) отнесенные
к недеформированной сферической поверхности;
испытания

моделей
проводились без исследований турбулентности потока трубы, с перегрузкой ядра
сечения потока трубы, несоблюдением коэффициентов аэродинамического подобия и
отсутствием учета влияния экрана на распределения
Распределение

относится
к модели, максимальное перемещение которой 
для т3.
При
параметре 
точка
полного торможения потока единственная.
Распределение

относится
к модели, максимальное перемещение которой 
для т3.
При
параметре 
область
полного торможения потока соответствует углам φ
от оси
недеформированной модели и углу 
от оси
потока.
Распределение

относится
к модели, имеющей складчатую зону, соответствующую, углам φ
от оси
недеформированной модели и углу 
от оси
потока; максимальное перемещение которой 
для т3.
При значении параметра 
в
теневой области потока также имеет место зона складок у контура с углом 
от оси
потока.
Распределения

дают
возможность оценить математические ожидания нагрузок для каждой частицы на поверхности
тела и математическое ожидание изменения формы тела под нагрузкой.
Дискретные
значения распределения нагрузок в расчетах тонких оболочек по безмоментной
теории, а также значения усилий и перемещений приводятся к безразмерному виду:

(2.15)
Нормальная
нагрузка от потока аппроксимируется рядом:

.

(2.16)
где:

- широта;

-
долгота,
- широта
края оболочки;

- модули
упругости материала.
Уравнения
равновесия записываются в виде:

(2.17)
Уравнения перемещений записываются в виде:

(2.18)
Уравнения
для усилий и перемещений после представления в нормальной форме Коши решаются
методом Рунге-Кутта. Решение по безмоментной теории не удовлетворяет краевым
условиям в отношении

и 
. Для
краевой зоны необходимо использовать нелинейные уравнения Феппля и Кармана для
уточнения значений 
соотношением:

, где 
-
значение меридионального усилия на краю. В результате решения уравнений
равновесия для точек, лежащих на главном меридиане, получаем распределение
коэффициентов усилий

и 
Рис. 2.2. Распределение коэффициентов усилий по главному меридиану.
Распределениям

соответствует
распределение нормальных перемещений 
,
Сравнение
данных расчетов по безмоментной теории с расчетами по МКЭ показали завышенное
значение усилий в сходственных точках на 25-32% и заниженное значение
перемещений в активной зоне, по сравнению с безмоментным решением до 42%.
Оба
рассмотренных метода не дают адекватного значения усилий и перемещений в зонах
срыва потока, как с наветренной стороны, так и с подветренной стороны и не
позволяют оценить влияние кольцеобразных вихрей, образующихся в указанных
зонах. Кроме того значения усилий и перемещений в областях оболочки,
подверженных растяжению (в зонах отсоса ветрового давления) практически в 2-2,5
раза превышали данные, полученные экспериментально.
Аналогичные
картины наблюдались и при использовании для расчетов симплексных КЭ.
Рис.2.3. Сравнение теоретических и экспериментальных перемещений по
главному меридиану для сферической оболочки с отношением высоты к диаметру
0,85.
стандарт нагрузка
надежность нормативный
Рис.2.4. Изменение формы поверхности СМ1. H/D= 0,85; p/q =2,14; V45,5m/c
(эксперимент).
Форма поверхности изделия в потоке измерялась общим случаем
СФГМ

.
Рис.
2.5. Разность нормальных перемещений модели
.
Отрицательные
значения разностей вызваны причинами:
экспериментом
фиксируются пространственные (мгновенные) положения точек.
Нормальные
перемещения относятся к фактическому радиусу многофокусной поверхности и
случайным изменяемым модулям упругости материала. На экспериментальной эпюре относительных
перемещений показаны предельные случайные изменения формы.
Средние
значения относительных перемещений (с устранением "раскачки"
вследствие колебаний будут значительно меньшими);
расчетные
перемещения получены, исходя из аппроксимации эпюры давления, и отнесены к
проектному радиусу модели и постоянным значениям модулей упругости материала.
Из
сравнения значений разностей следует:
теоретическая
модель дает заниженные значения относительных перемещений в местах активного
действия потока, в местах срывов потока (нестационарных течений потока) и
довольно удовлетворительно согласуется с экспериментальными данными в
направлениях перпендикулярных потоку;
в
значениях экспериментальной модели необходимо учитывать точность измерения
(0,048%) и коэффициент доверия (0,9876).
При
измерении установлено, что точки поверхности изделия совершают практически
круговые движения относительно вертикальной оси, восстановленной к
соответствующей точке поверхности модели. Можно предположить, что с помощью
фильтров и подбора времени экспозиции можно определить средние значения
изменений формы. В качестве первого приближения можно считать, что изменения
формы в конкретной точке поверхности составляют
.
Отличия
изменений формы консервативной системы (безмоментная тонкая оболочка с
начальной формой, соответствующей определенному избыточному давлению)* и
изменения формы открытой системы заключаются в том, что:
в
консервативной системе деформированное состояние приписывается свойствам
материала и геометрии (проектной). Проектная форма считается постоянной.
Перемещения точек поверхности определяются в пределах толщины материала
(толщина материала постоянная);
в
расчетах не определяется пространственное положение полюса, который считается
особой тоской;
в
открытой системе поток формирует начальную форму системы, которая с учетом
свойств материала приобретает дополнительные изменения, соответствующие
напряженно-деформированному состоянию формы и материала. В консервативной
системе любое изменение формы (перемещения точек поверхности) объясняется
изменением напряженного состояния. В открытой системе допускается изменение
формы с незначительным изменением или напряженного состояния (практически без
изменения напряженного состояния);
различные
значения перемещений в полюсе объясняется движениями поверхности под действием
сил потока;
значительные
отклонения формы (К > 1,5) вызваны нестационарными воздействиями потока в
зонах срывов потока (т. 3,4,5,6);
значения
соответствуют высокой частоте колебаний модели изделия
в потоке.
Примечание:
Эквивалентными безмоментному состоянию являются расчеты с помощью
"технической теории мягких оболочек" и с помощью других теорий, в том
числе и "общей теории мягких оболочек". Не рассматриваются вопросы
достоверности теорий, эксперименты показывают только тот факт, что
теоретические предпосылки являются только расчетной "моделью"
фактического физического процесса и имеют значительные отклонения от модели
физического процесса. Расчеты с использованием МКЭ, МКР, МСЭ - являются
приближенными численными методами решения системы дифференциальных уравнений и
не вносят изменения в физику процесса.
Перемещения
точек поверхностей изделия в потоке для консервативной системы рассматриваются
в виде:
где:

в
пределах одного значения 
, что
соответствует постоянному объему модели.
В
соответствии с допущениями
Перемещения
точек поверхности изделия для открытой системы рассматриваются в виде:

(2.19)
где:
Объем
модели в пределах одного испытания является случайной величиной.
Для
определения напряженно-деформированного состояния модели можно использовать
уравнения Лиувилля для ангармонической модели твердого тела
Распределения
перемещений по поверхности модели позволяют определить математические ожидания
формы оболочки под нагрузкой 
.
В
расчетах надежности используются безразмерные значения параметров:
среднего
коэффициента запаса

;
коэффициенты
вариации 
, (
- средние
квадратичные отклонения)
Значения
математических ожиданий и дисперсия нагрузок и несущей способности позволяют
оценить вероятность неразрушения объекта при действии нагрузок и изменения
формы:

(2.20)
где:

коэффициент
корреляции параметров состояния несущих способностей и нагрузок;

- функция
нормального распределения.
Параметр
состояния объекта (тела) можно рассматривать как полуслучайную функцию:

(2.21)
где:

- случайные
функции; 
-
неслучайная функция времени, учитывающая необратимые процессы.
3. Некоторые
виды необратимых процессов
.1 Влияние
необратимых процессов
Практически любые вида материалов природные и искусственные (созданные
человеком) относятся к открытым системам. Речь идет только о скорости обмена со
средами и распределении макрочастиц в конкретном изделии.
Коэффициент, характеризующий долговечность (изменение прочности материала
во времени без внешних воздействий) материала определяется соотношением:

(3.1)
(3.2)
где:
- параметр, зависящий от химического состава материала
и массовых характеристик материала. Параметр переменный и является функцией
времени и соотношения массы слоя к общей массе материала
;
- время
экспозиции материала.
Показатель
является эмпирической величиной. Предельное значение
показателя
также является эмпирической величиной и
характеризуется временем полного распада материала.
Предельные
значения долговечности:
на
дату изготовления (использования) материала,
;
на
дату распада материала, -
.
Для
слоистых композиционных материалов, используемых при создании элементов мягких
оболочек, показатели
определены на основании опытных данных (таблица 3.1)
Таблица
3.1.
|
Тип компонента в материале
|
  , лет
|
|
|
|
PA
|
0,25
|
2
|
3
|
|
PES
|
0,09
|
0,495
|
9
|
|
PVC
|
0,05
|
0,425
|
13
|
|
AFC
|
0,0125
|
0,3
|
20
|
|
PVDF
|
0,00215
|
4,77
|
20
|
|
FG (алюмоборосиликатное)
|
0,0003
|
25,8
|
28
|
|
EC (алюмоборосиликатное)
|
0,00042
|
19,8
|
37
|
|
PVF
|
0,00047
|
26,7
|
20
|
|
PTFE
|
0,00039
|
16,8
|
48
|
|
PEP
|
0,00024
|
0,58
|
48
|
На каждый вид материала производителем предоставляются:
гарантии на время использования материала в изделиях по областям
применения;
кратковременные значения прочностных характеристик материалов;
толерантность изменения (допустимые пределы) показателей.
Отсюда можно сделать вывод, что на дату окончания гарантий прочностные
характеристики материала должны оставаться неизменными, соответствующими
показателям сертификата на материал.
Это
противоречит выражению
и возможно только в том случае, когда в материале, в
течение срока гарантии происходят химические превращения, компенсирующие
старение материала.
При
создании материала и использовании в изделии его компоненты проходят
многочисленные фазовые переходы.
Математическая
модель материала представляет собой объединение множеств. Объединение
выполняется с учетом массовых долей компонентов в структуре материала или его
части (как объединение может рассматриваться каждый отдельный слой материала
еще до их объединения в композиционный материал).
Изменение
прочности тканевых покрытых материалов без внешних воздействий (воздействий
сред, силовых, температурных воздействий и воздействий солнечной радиации без
учета оптических и спектральных характеристик) приводятся диаграммами.
Рис.
3.1. Изменение прочности материалов и веществ различных структур в функции
времени и отношения масс компонентов веществ.
Примечание:
* отмечены наиболее распространенные в России системы материалов (выделены
красным цветом с черными условными обозначениями).
Изменение
прочности веществ и систем (состоящих из объединений подсистем веществ) во
времени и функции масс веществ определяется соотношением:
(3.3)
где:
- показатель изменения прочности для материала
стандартной массы:
-
отношение масс стандартного и рассматриваемого материала.
Распределение
приводится для стандартного отношения масс веществ в объединении систем. В
случае отклонения массовых отношений, значения изменения прочности подлежат
пересчету.
Показатели
изменения прочности материалов стандартной массы приводятся на Рис. 3.2.
Рис.
3.2. Примеры значений показателей изменения прочности для некоторых видов
материалов.
для
силового слоя на основе PES:
;
для
силового слоя на основе EC (разновидность стекловолокна):
для
обобщенного слоя полимерного покрытия на основе PVC:
.
Значения
показателей
приводятся на Рис.3.3.
Рис. 3.3. Изменение показателя прочности для силового слоя на основе PES.
Стандартные
значения
(3.4)
(3.5)
где:
- начальная масса рассматриваемого силового слоя.
Рис.
3.4. Изменение показателя прочности для силового слоя на основе ЕС.
Рис. 3.5. Изменение показателя прочности для слоя покрытия на основе PVC.
Рис. 3.6. Изменение показателя прочности для слоя покрытия на основе
PTFE.
Изменение вещества силовой основы приводит к изменению показателя от
120-300 раз.
Изменение вещества покрытия приводит к изменению показателя от 52 до 122
раз.
Рис. 3.7. Изменение показателя прочности для слоя покрытия на основе PVF
и FEP.
Самоорганизация на стадии изделий из материала.
Рассматривается объединение множеств, состоящее из материала,
поддерживающих (контурных, граничных) систем и систем инженерного обеспечения
комплекса. Изделие работает на границах раздела сред.
В состав объединения множеств входят:
наружная среда (для наземных изделий, - атмосферная среда в конкретном
месте дислокации изделия);
внутренняя среда (для наземных изделий, - параметры климата в
локализованном изделием пространстве);
внутренние технологические процессы, оказывающие влияние на среды.
Степень воздействия наружной среды определяется климатическими условиями,
параметрами массовых сил, температурными и другими (электрическими, волновыми,
радиационными) воздействиями среды.
Степень воздействия внутренней среды также определяется массовыми силами
и температурными воздействиями микроклимата в локализованном пространстве и
влиянием на его параметры внутренних технологических процессов.
Параметры воздействия сред считаются случайными, непрерывно изменяющимися
величинами.
Под воздействием сред, в соответствии с конструктивными возможностями,
изделие приобретает соответствующую форму.
На материал изделия в соответствующей конструктивной форме среды
оказывают воздействия в виде эрозионных и диффузных процессов, в виде
температурных, радиационных и электромагнитных процессов. Форма изделия под
действием массовых сил (в том числе, аэрогидродинамических сил) оказывает
влияние на режимы обтекания изделия и турбулезации внешних потоков и величины
пограничных слоев.
Так случайные непрерывно изменяющиеся воздействия на изделие со стороны
сред и непрерывно дискретно изменяющиеся системы изделия через общее неравновесное
состояние приходят к локальному равновесию в различных точках координат
изделия. В равновесии принимают участие управляющие процессы со стороны систем
инженерного обеспечения, обеспечивающие, по замыслу разработчиков, поддержание
минимального уровня напряженного состояния в материале изделия для каждого
конкретного случая воздействия сред.
Степень воздействия среды характеризуется:
изменением толщины материала вследствие действия коррозионных и
эрозионных процессов (для слоистых композиционных материалов в частном случае,
- изменением толщины защитного слоя пленочного покрытия);
фазовыми переходами состава материалов при эксплуатации;
изменением характеристик материала за счет диффузии воздуха;
изменением оптических характеристик (энергий яркости, блеска и угла
преломления света);
изменением спектральных и радиационных характеристик.
Многообразие составов и компонентов материалов, а также случайные
отклонения в составах не позволяют вывести теоретические законы изменения
свойств. Поэтому следует ограничиться рассмотрением некоторых стандартных
смесей и компонентов, принятых промышленностью и на их базе с использованием
статистических зависимостей рассмотреть влияние на процессы долговечности
материала.
В практике проектирования конструкций (металлических, в том числе с
покрытиями) учитывались процессы обмена веществом за время эксплуатации.
Учитывались процессы, связанные с коррозией, эрозией и изменением цвета
материалов (или покрытий материалов).
Коррозия, - изменение параметров, связанное с образованием окислов.
Условно окружающую среду, для практических целей, разделяют на
континентальную и морскую.
Морская среда может быть просто морской и тропической. Наличие
циклического изменения температуры окружающей среды влияет на скорость
коррозии. Континентальную среду, по степени экологической загрязненности,
условно разделяют на среды сельскую, промышленную и городскую.
Таким образом, вводят в рассмотрение различные модели сред.
На практике скорость коррозии фиксируется максимальными значениями
статистической выборки:
Зависимость степени коррозии (мкм/год) металлов от вида среды.
Таблица 3.2.
|
Среда
|
Fe
|
Zn
|
Pb
|
Cu
|
Ni
|
Mg
|
|
Сельская
|
4 -6
|
1 -3,5
|
1,4
|
2,0
|
1,0
|
-
|
|
Городская
|
30 - 70
|
2,8 -6
|
2,0
|
3,0
|
2.,5
|
13 - 20
|
|
Промышленная
|
40 - 160
|
3,8 - 19
|
3,5
|
4,0
|
6,0
|
29 -30
|
|
Морская
|
60 - 170
|
2,5 - 15,0
|
1,8
|
4,8
|
3,0
|
-
|
|
Тропическая
|
0,8 - 70
|
0,5 - 15
|
-
|
-
|
-
|
-
|
Примечание: Степень коррозии в тропической среде зависит от температуры
влажности.
Промышленная среда характеризуется максимальной и минимальной
температурой - 14,6 и 7,5°С соответственно, относительной влажностью 79% и
количеством осадков 670 мм/год;
рН такой атмосферы 4-6. Количество пылевидных загрязнений составляет 64
г/м3, а количество SO2 - 0,1 мг/м3.
В морской среде максимальная температура 12,6°С, а минимальная 7,3°С.
Относительная влажность ее равна 84%, Количество осадков составляет 970 мм/год,
а ее рН = 5-7. Среднее количество пылевидных загрязнений у такой атмосферы не
лимитируется. Однако среднее количество выпадающих частиц хлоридов в морской
атмосфере 2 мг/дм2.
Сельская атмосфера (на высоте 100 м) имеет максимальную температуру 7,5
°С и минимальную 1,7°С. Относительная ее влажность составляет 77%, а количество
осадков 920 мм/год; рН = 5-7. Остальные параметры для сельской атмосферы не
лимитированы.
Степень воздействия коррозии на материал зависит от химических реакций,
протекающих при определенных соотношениях температур, влажности и окисляющих
компонентов среды.
Наиболее опасными окислителями и электролитами в воздухе являются
кислород и озон, оксиды азота и азотная кислота, органические перекиси, диоксид
серы и сернистая кислота, серная кислота и сероводород, соляная кислота,
углекислый газ, кислые продукты перегонки нефти, сульфат аммония, хлорид натрия
и щелочи.
Степень коррозии, например, меди в среде, содержащей влагу и сернистый
газ, зависит от концентрации газа, так как он является стимулятором, а влага -
ускорителем коррозии.
Скорость коррозии указанных металлов при испытании под навесом
(вентилируемом объеме), т. е. защищенных от прямого воздействия атмосферных
осадков, оказалась в среднем на 30% меньше, чем при открытой экспозиции, а при
испытаниях в контакте с пористыми строительными материалами - на 30-50% выше.
Скорость коррозии металлов в объемах с возможными повышениями влажности воздуха
(внутри изделий из непроницаемых по воздуху материалов) оказывается на 35-55%
выше, чем на открытом воздухе.
Слоистые пористые материалы, как правило, изготавливают на фенольной
связке; средняя скорость коррозии металлов во влажной плите слоистой структуры
характеризуется следующими данными: стали углеродистой - 70 мкм/год; цинка - 15
мкм/год и алюминия - 0,5 мкм/год. Необходимо учитывать, что ряд элементов
конструкции фасада (кронштейны, головки болтов, тарельчатые дюбели) находятся в
непосредственном контакте с утеплителем.
Принято различать прямые виды коррозии:
межкристаллитную;
наружную поверхностную;
внутреннюю поверхностную.
Обычно прямые виды коррозии представляются в виде циклической скорости
обмена веществом за определенный интервал времени (год). Считается, что обмен
происходит равномерно всего срока службы и зависит от вида покрытия металла.
Коррозионному воздействию подвержены не только металлические конструкции, но и
композиционные материалы, в составе которых присутствуют соли металлов. В этом
случае, процесс обмена веществом зависит от концентрации металла в растворе.
Межкристаллитная коррозия (М.к.), интеркристаллитная коррозия, вид,
поражающий поверхностные слои зёрен (кристаллитов) и распространяющийся вглубь
металлического тела по межкристаллитным границам (поверхностям). М. к. приводит
к разрушению изделий вдоль границ зёрен.
Наружная и внутренняя виды коррозии связаны с наружными и внутренними
флуктуациями поверхностных слоев конструкций и изделий.
Как правило, действие коррозии оценивается через изменение толщины
металла.
Воздействия прямых видов коррозии оцениваются суммарной скоростью
коррозии.
Скорость коррозии является функцией химического состава, температуры и
влажности окружающей среды, и способности материала (композиции) удерживать
влагу.
Коррозия металлов, разрушение металлов вследствие химического или
электрохимического взаимодействия их с внешней (коррозионной) средой.
Причина коррозии: термодинамическая неустойчивость системы, состоящей из
металла и компонентов окружающей (коррозионной) среды. Мерой термодинамической
неустойчивости является свободная энергия, освобождаемая при взаимодействии
металла с этими компонентами. Но свободная энергия сама по себе ещё не
определяет скорость коррозионного процесса, т. е. величину, наиболее важную для
оценки коррозионной стойкости металла. В ряде случаев адсорбционные или фазовые
слои (плёнки), возникающие на поверхности металла в результате начавшегося
коррозионного процесса, образуют плотный и непроницаемый барьер, что коррозия
прекращается или очень сильно тормозится. Поэтому в условиях эксплуатации
металл, обладающий большим сродством к кислороду, может оказаться не менее, а
более стойким (так, свободная энергия образования окисла у Cr или Al выше, чем
у Fe, а по стойкости они часто превосходят Fe).
Коррозионные процессы классифицируют:
по виду (геометрическому характеру) коррозионных разрушений на
поверхности или в объёме металла;
по типу коррозионной среды,
по механизму реакций взаимодействия металла со средой (химическая и
электрохимическая коррозия);
по характеру дополнительных воздействий, которым подвергается металл
одновременно с действием коррозионной среды.
Численное значение скорости коррозионных процессов первых двух типов
представлены в таблице 3.3.
Таблица 3.3.
|
Вид материала
|
Предельное значение
коррозии мкм/год от места дислокации
|
|
сельская
|
городская
|
Промышленная
|
морская
|
морская тропическая
|
|
Без защиты покрытиями
|
|
односторонняя
|
6,5
|
70
|
160
|
170
|
190
|
|
двухсторонняя
|
13
|
140
|
320
|
340
|
360
|
|
межкристаллитная
|
55
|
55
|
55
|
55
|
55
|
|
с защитой ЛКМ
|
|
односторонняя
|
4,7
|
50
|
128
|
135
|
155
|
|
двухсторонняя
|
9,5
|
97
|
260
|
270
|
305
|
|
межкристаллитная
|
55
|
55
|
55
|
55
|
55
|
|
С защитой покрытием Zn
|
|
односторонняя
|
4,5
|
50
|
112
|
125
|
132
|
|
двухсторонняя
|
9
|
105
|
230
|
260
|
290
|
|
межкристаллитная
|
55
|
55
|
55
|
55
|
55
|
|
C дополнительной защитой
ЛКМ
|
|
односторонняя
|
2,7
|
30
|
80
|
90
|
105
|
|
двухсторонняя
|
5,5
|
62
|
170
|
190
|
210
|
|
межкристаллитная
|
55
|
55
|
55
|
55
|
55
|
|
В контакте с пористым
утеплителем для сэндвич панелей трехслойных
|
|
односторонняя
|
8,2
|
82
|
215
|
360
|
390
|
|
двухсторонняя
|
15
|
167
|
425
|
702
|
865
|
|
межкристаллитная
|
65
|
65
|
65
|
65
|
65
|
Прочность конструкций для первых двух типов коррозий описывается
выражением:
(3.6)
где:
- скорость коррозионного процесса, мм/год;
- время
дислокации изделия;
- толщина
материала изделия.
Механизм
реакций взаимодействия материала со средой учитывается дополнительно в
зависимости от химического состава материала и вида обмена (химическая или
электрохимическая коррозии). Для определения численных значений скорости
коррозии необходимо знание состава материала. Скорости коррозии по составу
приводятся в таблице 3.3.
Изменение
прочности конструкций вследствие химической коррозии определяется выражением:
(3.7)
где:
- скорость химической реакции в функции температуры и
влажности;
-
отношение масс химического компонента к массе материала.
Коррозия
является химической, если после разрыва металлической связи атомы металла
непосредственно соединяются химической связью с теми атомами или группами
атомов, которые входят в состав окислителей, отнимающих валентные электроны
металла.
Химическая
коррозия возможна в любой коррозионной среде, однако чаще всего она наблюдается
в тех случаях, когда коррозионная среда не является электролитом (газовая
коррозия, коррозия в неэлектропроводных органических жидкостях).
Скорость
коррозии чаще всего определяется диффузией частиц металла и окислителя через
поверхностную плёнку продуктов коррозии.
Явления
диффузии, конвекции и внутреннего трения относятся к явлениям направленного
переноса массы. В результате беспорядочного движения микрочастиц и соударений
между микрочастицами происходит непрерывное изменение энергии микрочастиц. Если
существует пространственная неопределенность плотности, температуры или
скорости упорядоченного движения отдельных слоев вещества, то на тепловое
движение накладывается упорядоченное движение, которое выравнивает
неоднородности вещества. Упорядоченное движение относят к явлениям переноса.
Явление
теплопроводности описывается уравнениями Фурье:
(3.8)
где:
- изменение количества тепла в единицу времени;
-
коэффициент теплопроводности;
-
градиент температуры по нормали к поверхности;
-
площадка, через которую происходит перенос тепла.
Согласно
элементарной кинетической теории значение коэффициента теплопроводности
определяется выражением:
(3.9)
где:
- средняя скорость теплового движения молекул вещества;
- средняя
длина свободного пробега молекул вещества;
-
плотность вещества;
-
удельная теплоемкость вещества при постоянном объеме.
В
результате можно определить скорость изменения массы в единицу времени.
Изменение
прочности конструкций вследствие химической теплопроводности определяется
выражением:
(3.10)
где:
- скорость изменения массы в функции температуры и
влажности;
-
отношение массы вещества к начальной массе материала.
Явление
внутреннего трения связаны с внешними и внутренними процессами движения.
Подробно влияние внутреннего трения рассматривалось в разделе неравновесная
термодинамика. Внутреннее трение также приводит к процессам потери массы.
Изменение
прочности конструкций вследствие внутреннего трения определяется выражением:
(3.11)
где:
- скорость изменения массы в результате внутреннего
трения в функции температуры и влажности;
-
отношение массы текущей вещества к начальной массе материала.
Диффузия
частиц вещества происходит:
вследствие
температурного окисления большинства металлов газами и жидкостями;
вследствие
растворения или испарения поверхностной плёнки (высокотемпературное окисление W
или Mо), её растрескивания (окисление Nb при высоких
температурах);
вследствие
конвективной доставки окислителя из внешней среды (при очень малых его
концентрациях).
Процессы
диффузии неразрывно связаны с определениями химических превращений,
Как
и в предыдущих случаях, диффузия приводит к изменению массы материала, а в
конструкциях к изменению прочности в единицу времени
.
Коррозия является электрохимической, если при выходе из металлической
решётки образующийся катион вступает в связь не с окислителем, а с другими
компонентами коррозионной среды; окислителю же передаются электроны,
освобождающиеся при образовании катиона.
Если поверхность однородна, то катодные и анодные процессы равновероятны
по всей её площади; в таком идеальном случае коррозию называют
гомогенно-электрохимической (отмечая, таким образом, отсутствие какой-либо
неоднородности в распределении вероятности электрохимических процессов в любой
точке поверхности, что, конечно, не исключает термодинамической гетерогенности
взаимодействующих фаз). В действительности на металлических поверхностях
существуют участки с различными условиями доставки реагирующих компонентов, с
разным энергетическим состоянием атомов или с различными примесями. На таких
участках возможно более энергичное протекание либо анодного, либо катодного
процессов, и коррозия становится гетерогенно-электрохимической.
Проводимость металла очень высока, и при возникновении избыточного заряда
электроны практически мгновенно перераспределяются, так что плотность заряда и
электрического потенциал металла меняются одновременно по всей его поверхности
независимо от того, в каких её точках электроны освободились после ухода
катионов, а в каких захватываются окислителем. В частности, это означает, что
от мест, где преимущественно осуществляется анодная реакция, электроны
перемещаются в металле к местам протекания катодной. Соответственно раствор
вблизи анодных участков принимает избыточный положительный заряд растворившихся
катионов, а вблизи катодных заряжается отрицательно в результате захвата
электронов растворённым окислителем. В растворе эти заряды не
перераспределяются так легко, как в металле. Поэтому с повышением скорости
процесса потенциал раствора в непосредственной близости от анодных участков
становится положительным. Это затрудняет дальнейший выход из металла
положительно заряженных катионов, а вблизи катодных участков отрицательно
заряженных частиц, что затрудняет катодный процесс.
Коррозия под напряжением развивается в зоне действия растягивающих или
изгибающих механических нагрузок, а также остаточных деформаций или термических
напряжений и, как правило, ведёт к транскристаллитному коррозионному растрескиванию.
Коррозионная эрозия (или коррозия трения) представляет собой ускоренный
износ металла при одновременном воздействии взаимно усиливающих друг друга
коррозионных и абразивных факторов (трение скольжения, поток абразивных частиц
и т. п.).
Родственная ей кавитационная коррозия возникает при кавитационных режимах
обтекания изделий агрессивной средой, когда непрерывное возникновение и
«захлопывание» мелких вакуумных пузырьков создаёт поток разрушающих
микрогидравлических ударов, воздействующих на поверхность изделия.
Близкой разновидностью можно считать и фреттинг коррозию, наблюдаемую в
местах контакта плотно сжатых или катящихся одна по другой деталей, если в
результате вибраций между их поверхностями возникают микроскопические смещения
сдвига.
Утечка электрического тока через границу металла с агрессивной средой
вызывает в зависимости от характера и направления утечки дополнительные анодные
и катодные реакции, могущие прямо или косвенно вести к ускоренному местному или
общему разрушению металла (К. блуждающим током). Сходные разрушения,
локализуемые вблизи контакта, может вызвать соприкосновение в электролите двух
разнородных металлов, образующих замкнутый гальванический элемент (контактная
коррозия).
В узких зазорах между деталями, а также под отставшим покрытием или
наростом, куда проникает электролит, но затруднён доступ кислорода,
необходимого для пассивации материала, может развиваться щелевая коррозия, при
которой растворение металла в основном происходит в щели, а катодные реакции
частично или полностью протекают рядом с ней на открытой поверхности.
Принято выделять также коррозии:
биологическую, идущую под влиянием продуктов жизнедеятельности бактерий и
др. организмов;
радиационную при воздействии ультрафиолетового и радиоактивного
излучения.
Все виды коррозии являются необратимыми процессами, связанными с обменом
веществом. Только незначительное количество видов коррозии можно замедлить
использованием ремонтных и регламентных работ и восстановлением поверхностного
защитного слоя. Все виды коррозий являются последовательными независимыми
процессами.
Изменение прочности конструкции в результате коррозионных воздействий
соответствует выражению:
(3.12)
Коррозионным
процессам подвержены металлы и композиционные материалы, в том числе материалы,
содержащие соли металлов.
Эрозией
называется невосстановимое и непроводящее изменение поверхности изделия,
происходящее в результате утраты материала. Эрозия может быть равномерной,
локализованной или древоподобной. Виды эрозии: водная, воздушная, ветровая,
температурная, радиационная, электрическая, химическая. Прочность материала
покрытия поверхностного слоя зависит:
от
вида материала поверхностного слоя;
от
толщины поверхностного слоя.
Для
защиты поверхностных слоев используются пленочные материалы, наносимые с
помощью каландрирования или методом напыления с последующим отверждением.
Экспериментальные
зависимости для некоторых видов пленочных и лакокрасочных материалов приводятся
на Рис.3.8.
Рис.
3.8. Изменение толщины покрытия материала (предельные значения) в течение
времени экспозиции.
Из
представленных диаграмм следует, что изменение толщины покрытия:
является
процессом случайным циклическим. Размах цикла зависит от вида материалов,
толщины покрытия и способов нанесения покрытия (пленочное или лакокрасочное
отверждаемые);
зависит
от скорости (нормальной и касательной) обтекания потоком поверхности изделия,
концентрации абразивного вещества в потоке и влажности окружающей среды
(степени запыленности воздуха среды). Концентрация абразивного вещества в среде
зависит от температуры и влажности окружающей среды (наружной и внутренней):
зависит
от химических превращений в материале защитного покрытия (химического
сродства).
Концентрация
абразивного вещества в наружном воздухе определяется экологическими
исследованиями района дислокации или рассчитывается для конкретного
технологического процесса. Концентрация абразивного вещества внутреннего воздуха
определяется санитарными нормами или расчетными характеристиками внутренних
технологических процессов.
Скорости
потоков на наружной и внутренней поверхности (нормальные и касательные)
определяются аэродинамическим расчетом обтекания изделия или принимаются в
соответствии с экспериментальными данными по распределению аэродинамических
коэффициентов (действие нормального давления на поверхность).
Значение
нормальной составляющей аэродинамической скорости в рассматриваемой точке
изделия для турбулентного потока определяется соотношением:
(3.13)
где:
- аэродинамический коэффициент в рассматриваемой точке
изделия.
Значение
касательной составляющей скорости на наружной поверхности определяется
соотношением (подробно. НИР 4 [18]):
(3.14)
где:
- кинематическая вязкость вещества потока;
- местные
значения скорости потока в рассматриваемой или предыдущей точке потока;
-
соответственно толщина турбулентного (Т) или ламинарного (Л) гидродинамического
пограничного слоя (ГПС);
-
значение форм фактора поверхности в рассматриваемой точке;
-
абсцисса точки от границы обтекания изделия потоком.
Значение
изменения толщины покрытия в результате химических реакций определяется
соотношениями:
(3.15)
где:
- химическое сродство;
-
универсальная газовая постоянная;
-
температура в 0К;
-
скорости прямой и обратной химической реакции;
-
скорость изменения прочностных характеристик (толщины покрытия) за время
экспозиции;
-
расчетное значение вероятности изменения прочности;
- время
изменения прочностных показателей.
Значение
химического сродства показывает уровень равновесия химических процессов в
веществе. Для А =0 вещество находится в состоянии химического равновесия. Так
как значение химических реакций зависит от температуры, то величина химического
сродства является функцией температуры и, следовательно, рассматривается
вещество в состоянии локального равновесия, т.е. имеет место неравновесная
система.
Рассмотрим
изменение химического сродства при постоянной температуре равной температуре,
при которой изготавливается материал. Рассмотрим материал с покрытием PVF.
Рис. 3.9. Скорость изменения химического сродства А.
Скорость изменения химического сродства А оценивается выражением:
(3.16)
Из
диаграммы следует, что состояние близкое к равновесию А=0 для данного типа
материала наступает в интервале (8;15] лет. Отсюда следует, что оптимальный
срок гарантии на материал должен быть равен 15 лет.
Из
диаграммы следует, что состояние равновесия (сродство А=0) для рассматриваемого
материала наступает при сроке экспозиции 27 лет.
Одним
из составных необратимых процессов являются оптические и цветовые
характеристики материала. Характеристики цвета влияют на спектральные
характеристики (отражающую, пропускающую и поглощающую) и тепловые процессы в
изделии.
Основными
для материалов (композиционных и металлических с покрытиями) являются изменение
энергии яркости, блеск (отражение видимого и невидимого частей спектра цвета).
Яркость
и блеск являются поверхностными характеристиками материала, которые влияют не
только на зрительские ощущения, но и длительную прочность материала.
Яркость
характеристика светящихся тел, равная отношению силы света в каком-либо
направлении к площади проекции светящейся поверхности на плоскость, перпендикулярную
этому направлению. В системе СИ измеряется в канделах на м2.
Яркость,
L, световая величина, равная отношению светового потока
(светового потока
) к
фактору геометрическому
.
(3.17)
где:
, - заполненный излучением телесный угол;
, -
площадь участка, испускающего или принимающего излучение;
, - угол
между перпендикуляром к этому участку и направлением излучения.
Из
общего определения яркости следуют два практически частных определения:
яркость,
- отношение силы света
элемента поверхности к площади его проекции,
перпендикулярной рассматриваемому направлению:
(3.18)
яркость,
- отношение освещенности. Е в точке плоскости, перпендикулярной направлению на
источник, к элементарному телесному углу, в котором заключён поток, создающий
эту освещённость:
(3.19)
Из всех световых величин яркость наиболее непосредственно связана со
зрительными ощущениями, так как освещённости изображений предметов на сетчатке
пропорциональны яркостям этих предметов. В системе энергетических
фотометрических единиц аналогичная яркости величина называется энергетической
яркостью и измеряется в вт·ср-1·м-2 (ср - стерадиан, -
единица измерения телесного угла, т. е. части пространства, ограниченного
конической поверхностью (w = S' / r2.))
Для покрытых материалов (металлических и композиционных) изменение
прочности материала в функции энергии яркости оценивается методами
статистической физики.
(3.20)
где:
- вероятность изменения прочности материала вследствие
изменения энергии яркости;
-
изменение энергии яркости в течение интервала времени
.
В
качестве примера приведем некоторые экспериментальные зависимости, полученные
для композиционных покрытых материалов.
Рассматриваются
материалы светлых тонов с глянцевым покрытием лаками или пленочными
материалами.
Данные
изменения яркости могут быть перенесены на металлические покрытые
лакокрасочными пленками материалы пропорционально отношению площади поверхности
металлических конструкций к площади поверхности изделия.
Блеск,
- качественная характеристика свойств поверхности, отражающей свет. Показатель
блеска характеризуется изменением от стандартного угла отраженного светового
луча. За стандартный угол принимается угол 600.
Статистические
характеристики показателя блеска (вероятность изменения блеска) покрытия
описываются выражением:
(3.21)
где:
- время эксплуатации и срок службы изделия;
-
отношение функций стандартного угла и отраженного луча;
- угол
наклона отраженного света.
Рис.
3.10 Вероятность изменения энергии яркости в функции изменения энергии яркости
наружной поверхности за срок службы.
Экспериментальные
зависимости вероятности изменения блеска в функции срока службы приводятся на
Рис.3.11.
Рис. 3.11. Изменение характеристик угла отражения в функции срока службы.
Характеристика вероятности изменения угла преломления в зависимости от
срока службы.
Рис. 3.12. Вероятность изменения блеска наружной поверхности материала в
течение срока экспозиции изделия.
Изменение
цвета защитной поверхности материала изделия под воздействием напряжения и
факторов окружающей среды свидетельствует о начальной стадии старения изделия.
Как правило, фиксируется только поверхностное изменение цвета или появление на
поверхности муаровой сетки (появление и развитие поверхностных трещин с
заполнением пылью окружающей среды). Изменение цвета также происходит
вследствие температурных, химических или электрических воздействий. Изменение
цвета является необратимым процессом, связанным с длиной монохроматической
волны (
) и обобщенным показателем черноты (В) поверхности
материала.
Рис.
3.13. Зависимость отношения длин монохроматических волн для цветного материала
и материала черного цвета от отношения обобщенных показателей черноты цветного
материала к материалу черного цвета.
Вероятность
сохранения цвета материала можно выразить зависимостью:
(3.22)
Эта
зависимость для основных монохроматических цветов может быть представлена в
виде Рис. 3.14.
Рис. 3.14. Зависимость вероятности сохранения цвета от отношения длин
волн, рассматриваемого цвета к длине волны черного цвета.
Рассмотрены случайные необратимые процессы, связанные с воздействием сред
на систему и не связанные с воздействием массовых сил и тепловым воздействиям.
К таким процессам относятся (по мере воздействия, начиная с процесса
изготовления):
химические превращения в материалах изделия;
воздействия внешней и внутренней среды в виде:
коррозионных процессов любых видов;
эрозионных процессов;
контактных химических реакций и превращений;
изменение оптических характеристик (яркости, блеска, цвета);
циклические температурные и влажностные воздействия и т.д.
Кроме этих процессов протекают процессы, связанные с усталостными
напряжениями в поле циклических воздействий массовых сил.
Случайные (по характеру проявления и величине) необратимые процессы
являются независимыми процессами, к действию которых можно применить
закономерности статистической физики.
Различают влияние необратимых процессов, происходящих в системах
комплекса, и влияние необратимых процессов на элементы или подсистемы одной из
систем комплекса. Для комплекса вероятность сохранения свойств составных
(вероятность безотказной работы) систем может быть выражена зависимостью:
(3.23)
где:
- вероятность безотказной работы комплекса;
- вероятность
безотказной работы системы комплекса.
Для
каждой отдельной системы в свою очередь можно записать:
(3.24)
Выражение
(3.24) может использоваться для описания изменений прочности материала системы
совместно с выражениями изменения характеристик системы при длительном (в том
числе, циклическом) действии силовых факторов и уровней состояния системы при
мгновенном приложении внешних сил.
Остановимся
на рассмотрении только тех систем, состояние которых непосредственно влияет на
напряженно-деформированное состояние изделия. К таким системам, в первую
очередь, относятся системы ограждающих поверхностей и системы поддерживающие. В
составе систем обратим внимание только на характеристики силового слоя, который
является определяющим для прочности системы. В этом случае учитывается
вероятность изменения характеристик силового слоя, находящегося под действием
защитных факторов поверхностных слоев. Отсюда только часть необратимых
процессов может изменять работоспособность силовых слоев (относиться к
прочностным характеристикам - деформативности). В то время как полные
воздействия на систему в целом определяют изменение несущей способности во
времени.
Для
рассмотрения вопросов прочности обратимся к модели прочности материала изделия.
Вопросы прочности традиционных видов материалов и изделий из этих материалов
рассматриваются в соответствующих курсах материаловедения, теории упругости,
поэтому не будем останавливаться на этих материалах. Поэтому в первом
приближении ограничимся рассмотрением композиционных материалов, обладающих
свойствами вязкоупругости.
.2 Надежность
систем с учетом необратимых процессов, вязкоупругих свойств материалов и
системами инженерного обеспечения объектов строительного назначения
Надежность систем составляющих комплекс определена в соответствии со
структурной схемой надежности систем НЕДИС диссипативной структуры.
При определении надежности систем, подсистем и элементов использовались:
статистические характеристики систем и комплектующих элементов и
оборудования;
статистические характеристики нагрузок и воздействий случайного
характера;
приспособляемость систем, элементов и материалов к непрерывному
дискретному изменению нагрузок и воздействий.
Случай №1.
Ограждающие поверхности в сооружениях, рассматриваемых вариантов,
выполнены из материала:
случай № 1:структуры PES+PVC+2/2AFC;
случай № 2:структуры PES+PVC+2/2PVDF;
Коэффициент надежности по ответственности, принимается (требования СНиП
2.01.07-85*):
для I уровня ответственности - более 0,95, но не более 1,2;
для II уровня - 0,95;
для III уровня - менее 0,95, но не менее 0,8.
Случай №1.
Рис.3.15.
Изменение функционального коэффициента надежности, рассматриваемых вариантов по
срокам службы.
Случай
№2.
Рис.3.16.
Изменение функционального коэффициента надежности, рассматриваемых вариантов по
срокам службы.
Примечание:
Вар. А.1 учитывает только потерю прочности ограждающих поверхностей.
Вар.
А-2 учитывает потерю прочности + потери в покрытиях материала (эрозию лакового
покрытия + потерю блеска + потерю яркости + изменение угла преломления +
изменение спектральных характеристик и т.д.)
Окончание
кривой графика по оси абсцисс соответствует сроку службы сооружения.
На
Рис. 16-17 приводятся функциональные надежности ограждающих поверхностей
рассматриваемых вариантов.
Замена
тканевого материала в воздухоопорных сооружениях в пределах требуемых значений
коэффициентов функциональной надежности (до величины 0,8) эффекта не приносит.
Вывод:
воздухоопорные сооружения могут использоваться только для сооружений III класса
ответственности.
В
каркасных тканевых сооружениях замена материала не повышает класс
ответственности сооружения в целом, но приводит к возможному увеличению срока
эксплуатации в пределах требований для сооружений III класса ответственности.
Сооружения
типа ИСТДм можно использовать в качестве сооружений i и II классов
ответственности.
Для
определения функциональной надежности комплекса необходимо рассмотреть
совместную надежность работы всех систем в составе комплекса.
Информационная
база по надежностям отдельных систем (без тканевых ограждений) приводится на
Рис. 3.17.
Надежность
комплектующих систем комплексов.
Рис.3.17. Исходная информация о надежности комплектующего оборудования
СИО для рассматриваемых вариантов сооружений с учетом восстановления и
регламентного обслуживания.
Примечание:
. В расчете надежности СП и контурных, надежности шлюзов транспортных
принято, что проектировщик учел изменение толщин вследствие коррозии металла по
зонам эксплуатации;
. В расчете надежности конструкций железобетонных и стилобата принято,
что проектировщик учел требования по трещиностойкости элементов и зависимости
структуры конструкции от эрозионных и коррозионных воздействиях среды, а также
учел анизотропные характеристики материалов и их приспособляемость к
климатическим воздействиям.
. Характеристики надежности систем оснований считаются стационарными,
т.е. исключается влияние осадков на физико-механические свойства оснований.
Зависимости составлены с учетом ресурсов, регламентных работ и замены
оборудования, исчерпавшего ресурс без учета резервирования систем. Время
восстановления условно растянуто на период кратный 1,3 года.
Надежность сочетаний режимов работы систем инженерного оборудования с
учетом специфики сооружений по вариантам.
Рис.
3.18. Требуемая надежность систем инженерного оборудования с учетом специфики
сооружений по вариантам.
Расчеты
показывают обязательность наличия для сооружения воздухоопорного типа
стационарной сети + автономный источник питания + АВР.
Расчеты
функциональной надежности сооружений по вариантам, выполненных из AFM структуры
PES + PVC +2/2 AFC (структура № 1).
Рис.
3.19. Функциональная надежность сооружений с тканевыми ограждениями
рассматриваемой структуры № 1.
Абсцисса
окончания кривой соответствует предельному сроку службы сооружения.
Вариант
№ 1 (воздухоопорное сооружение + стилобат) в пределах срока гарантии может быть
отнесено к сооружениям III класса ответственности. За пределами гарантии (3
года) сооружение использовать в качестве обитаемого не рекомендуется (для
материала рассматриваемой структуры).
Расчеты
функциональной надежности сооружений по вариантам, выполненных из AFM структуры
PES + PVC +2/2 PVDF (структура № 2).
Рис.
3.20. Функциональная надежность сооружений с тканевыми ограждениями
рассматриваемой структуры.
Литература
1. ГОСТ
27751-88. Надежность строительных конструкций и оснований.
. Под
редакцией И.А. Ушакова. Надежность технических систем. Справочник. М., Радио и
связь. 1985.
. В.В.
Болотин. Применение методов теории вероятностей и теории надежности в расчетах
сооружений. М., ИЛ по С. 1971.
.
Ю.Л.Климонтович. Турбулентное движение и структура хаоса. М., Ком. Книга. 2007.
. М.А.
Леонтович. Введение в термодинамику. Статистическая физика. М.,Наука.1983.
. СНиП
2.01.07.85*(2002). Нагрузки и воздействия (0тменен).
. СП
20.13330.2011 (П3.1.11. Сфера)
. DIN
4134-1983, DIN V ENV 1991-2-4=1996
. F.G.Macher.
Wind load on basic dome shapes. Proceedings of the ASCE. Oct. 1956.No ST5.
. IASS.
Recommendations for air supported structures. WG7. Madrid, 1985.
.
В.П.Поляков. Взаимодействие модели мягкой воздухоопорной оболочки с потоком
воздуха. В сборнике Теория мягких оболочек. Издательство Ростовского
университета. 1976.
. Д.А.
Бейлин. В.П. Поляков. О взаимодействии мягких оболочек сферической формы с
потоком воздуха. Труды XII конференции по теории оболочек и пластин. Ереван.
Издательство Ереванского университета.,1980, с138-143
. А.Л.
Гольденвейзер. Теория упругих тонких оболочек. ГИТТЛ. М.,1953
. В.М.
Никиреев, И.А. Даниляк. Расчет мягкой сферической оболочки на ветровую
нагрузку. В сборнике Теория мягких оболочек. Издательство Ростовского
университета. 1976.
.
Ю.Н.Работнов. Некоторые решения безмоментной теории оболочек. ПММ т.1, вып.5-6.
ИПМ. М.,1946.
. В.В.Поляков.
В.П. Поляков. Мягкие оболочки (эксперимент, теория, эффективность, практика).
Chiton.org.ru. 2005.
. И.Р.
Пригожин. Неравновесная статистическая механика. УРСС. М.,2007