Распространение звуковых волн в воздушной среде. Скорость звука, число М

  • Вид работы:
    Реферат
  • Предмет:
    Физика
  • Язык:
    Русский
    ,
    Формат файла:
    MS Word
    492,87 Кб
  • Опубликовано:
    2012-04-17
Вы можете узнать стоимость помощи в написании студенческой работы.
Помощь в написании работы, которую точно примут!

Распространение звуковых волн в воздушной среде. Скорость звука, число М

МОСКОВСКИЙ АВИАЦИОННЫЙ ИНСТИТУТ

(ГОСУДАРСТВЕННЫЙ ТЕХНИЧЕСКИЙ УНИВЕРСИТЕТ)











РЕФЕРАТ

на тему: "Распространение звуковых волн в воздушной среде. Скорость звука, число М"









Москва, 2012 г.

Оглавление

Введение

1.  Звук. Как работает человеческое ухо

2.      Звук и звуковая волна

.        Распространение звуковых волн в воздушной среде

.        Скорость звука. Число М

Список использованных источников

Введение

Итак, что же такое звук?

Звук - это то, что слышит ухо.

Звук несет первичную информацию вселенной: "В начале было слово". Причем каждый звук живет своей жизнью и несет, соответственно, свою информацию. Молитва, мантры, заклятья действуют в первую очередь как звуковые образования, а не смысловые. Часто и смысла в них не улавливается, а эффект сильнейший.

Реально звук - это один из видов информации, который человек получает из окружающего мира, помимо других органов чувств (зрения, осязания). С древних времен человека окружали звуки, и большинство их неосознанно ассоциируются с определенными чувствами (представлениями). То есть звук тамтамов или вой волка ассоциируется со страхом; звук ручья, прилива моря, пения птиц ассоциируется с покоем.

Звуки разделяются у человека на положительные, отрицательные и нейтральные. Те, которые он ни разу не слышал, странные и необъяснимые вызывают страх и беспокойство.

У звуков, как волновых источников, есть спектр, частота, сила энергетического воздействия. Даже генотип, то есть ДНК зашифрован в виде букв и его можно пропеть звуками.

С философской точки зрения звук существует только в случае, если наличествует его восприятие: "Звук - это воздушные вибрации, передающиеся на наши чувства через ушную систему, и признающимся таковым только в наших нервных центрах. Падения дерева или другое механическое воздействие будет производить вибрацию воздуха. Если не будет ушей, чтобы слышать, не будет и звука" (1).

1. Звук. Как работает человеческое ухо

Наружное и среднее ухо проводят звук. Сначала звуковые волны приводят в движение барабанную перепонку. Барабанная перепонка, в свою очередь, приводит в движение цепочку слуховых косточек (молоточек, наковальня и стремечко). Подножная пластинка стремечка, расположенная в конце цепочки слуховых косточек, соединена с краями круглого окна внутреннего уха, или улитки, мембраной (7).

Внутреннее ухо представляет собой полость в форме улитки, заполненную жидкостью. Колебания подножной пластинки передаются в эту жидкость.

Механические колебания преобразуются в нервные импульсы чувствительными клетками внутреннего уха, так называемыми волосковыми клетками. Они вырабатывают электрические потенциалы действия, которые передаются от спирального ганглия в мозг по слуховому нерву. Мозг принимает нервные импульсы и формирует звуковой образ.

Рис. 1. Схема строения уха человека

. Звук и звуковая волна

Звук - это волновое распространение энергии в упругой среде в виде сжатия и растяжения среды (например, звуковые волны в воздушной среде), которую воспринимают слуховые органы человека.

Таким образом, звук, в широком смысле, - это упругие волны, распространяющиеся в какой-либо упругой среде и создающие в ней механические колебания; в узком смысле - субъективное восприятие этих колебаний специальными органами чувств животных или человека (1).





Рис. 2. Звуковые волны в воздухе - чередующиеся области сжатия и разрежения.

Физически звук - это колебания воздуха, которые может воспринимать человек. Как и любая волна, звук характеризуется амплитудой и спектром частот. Частотный диапазон звуковых колебаний, который воспринимается слуховым аппаратом человека, лежит в пределах от 16Гц до 20000Гц. Звук ниже диапазона слышимости человека называют инфразвуком; выше: до 1 ГГц, - ультразвуком, от 1 ГГц - гиперзвуком (1). Инфразвук и ультразвук не воспринимается человеческим ухом.

Частотный диапазон условно делится на три участка:

1.    Первый участок, прилегающий к границе инфразвука, называется низкими частотами (НЧ).

2.      Второй участок, лежащий между НЧ и ВЧ, называется средними звуковыми частотами (ЗЧ).

.        Третий участок, прилегающий к границе ультразвука, называется высокой частотой (ВЧ).

Физические параметры звука:

1.      Колебательная скорость измеряется в м/с или см/с. В энергетическом отношении реальные колебательные системы характеризуются изменением энергии вследствие частичной её затраты на работу против сил трения и излучение в окружающее пространство. В упругой среде колебания постепенно затухают. Это затухающие колебания. Если на колебательную систему с потерями действовать периодической силой, то возникают вынужденные колебания, характер которых в той или иной мере повторяет изменения внешней силы.

2.      Скорость звука (глава 4)

.        Громкость звука. Это субъективное восприятие силы звука (абсолютная величина слухового ощущения). Громкость главным образом зависит от звукового давления, амплитуды и частоты звуковых колебаний. Также на громкость звука влияют его спектральный состав, локализация в пространстве, тембр, длительность воздействия звуковых колебаний и другие факторы.

Для генерации звука обычно применяются колеблющиеся тела различной природы, вызывающие колебания окружающего воздуха. Примером такой генерации может служить использование голосовых связок, динамиков или камертона. Большинство музыкальных инструментов основано на том же принципе. Исключением являются духовые инструменты, в которых звук генерируется за счёт взаимодействия потока воздуха с неоднородностями в инструменте. Для создания когерентного звука применяются так называемые звуковые или фононные лазеры (1).

Различие в скоростях распространения звука наглядно, когда вдыхают вместо воздуха гелий, и говорят что-либо, выдыхая им, - голос становится выше. Если же газ - гексафторид серы, то голос звучит ниже. Связано это с тем, что газы примерно одинаково хорошо сжимаемы, поэтому в обладающем очень низкой плотностью гелии по сравнению с воздухом происходит увеличение скорости звука, и понижение - в гексафториде серы с очень высокой для газов плотностью. Размеры же ротового резонатора человека остаются неизменными, в итоге меняется резонансная частота, так как чем выше скорость звука, тем выше резонансная частота при остальных неизменных условиях.

Звуковые волны могут служить примером колебательного процесса. Всякое колебание связано с нарушением равновесного состояния системы и выражается в отклонении её характеристик от равновесных значений с последующим возвращением к исходному значению. Для звуковых колебаний такой характеристикой является давление в точке среды, а её отклонение - звуковым давлением.

Если произвести резкое смещение частиц упругой среды в одном месте, например, с помощью поршня, то в этом месте увеличится давление. Благодаря упругим связям частиц давление передаётся на соседние частицы, которые, в свою очередь, воздействуют на следующие, и область повышенного давления как бы перемещается в упругой среде. За областью повышенного давления следует область пониженного давления, и, таким образом, образуется ряд чередующихся областей сжатия и разрежения, распространяющихся в среде в виде волны. Каждая частица упругой среды в этом случае будет совершать колебательные движения.









Рис.3. Фронт звуковой волны

В жидких и газообразных средах, где отсутствуют значительные колебания плотности, акустические волны имеют продольный характер, то есть направление колебания частиц совпадает с направлением перемещения волны. В твёрдых телах, помимо продольных деформаций, возникают также упругие деформации сдвига, обусловливающие возбуждение поперечных (сдвиговых) волн; в этом случае частицы совершают колебания перпендикулярно направлению распространения волны. Скорость распространения продольных волн значительно больше скорости распространения сдвиговых волн.

Различают продольные и поперечные звуковые волны в зависимости от соотношения направления распространения волны и направления механических колебаний частиц среды распространения.

Характеристики звуковой волны:

Длина волны (м), - это расстояние, пройденное звуковой волной за одно полное колебание (период Т) в среде распространения звука.

Частота (Гц) - это количество колебаний (периодов Т) звука, совершаемых за одну секунду.

Скорость звуковой волны - это скорость (м/с) движения волны (сжатого или разреженного участка) в рассматриваемой среде.

Сила звука - это величина энергии звуковой волны, приходящейся на перпендикулярную, относительно направления распространения звука, площадку в 1 см2 в 1 секунду.

Звуковое давление - это избыточное (сверх атмосферное) давление, которое создает звуковая волна в среде распространения звука (сила звука и давление звука связаны между собой квадратичной зависимостью).

Звуковое давление - основная количественная характеристика звука (7).

3. Распространение звуковых волн в воздушной среде

Вибрация материалов вызывает явление звука. Если плоскость начинает вибрировать, то она толкает примыкающий к ней воздух в прямом и обратном направлениях. Если диапазон этой вибрации находится где-то между десятью и десятью тысячами колебаний в секунду, то воздушная среда обнаруживает некоторую эластичность, не заметную при малых скоростях.

Попробуем помахать рукой в ту или другую сторону со скоростью один взмах в секунду; мы почувствуем, что с воздухом ничего не происходит, он просто, будто обтекая руку, возвращается на прежнее место. В этом случае мы не имеем резкого, скачкообразного возвращения частиц воздуха в прежнее положение. Но если проделать эти движения в сотни раз быстрее, воздушная среда будет вести себя совсем иначе. Она будет сжиматься под воздействием руки, двигающейся вперед, и разжиматься (или испытывать разрежение) при движении руки в обратном направлении. В этих случаях говорят, что мы имеем естественную эластичность воздушной среды (8).

Когда вибрирующая плоскость генерирует волны давления и разрежения, появляется звук. Камертон часто используется для демонстрации этого явления. Когда плоскость двигается вперед, каждая частичка воздуха толкает соседнюю, создавая при этом волну давления. Когда плоскость двигается назад, это давление заменяется разряжением, за которым следует другая волна давления и т.д.

В различных средах эти волны распространяются с разными скоростями, что и является характеристикой отдельной среды. Скорость распространения звука в воздушной среде зависит от его температуры и, для нормальных условий составляет примерно 340 м/сек.

Эта скорость не зависит от величины вибрации пластины, генерирующей колебания в прямом и обратном направлениях. Можно говорить о 100 перемещениях в секунду, однако результат будет аналогичен тому, были эти перемещения равны 20 или 20000 колебаниям. Величина скорости, с которой появляются волны воздушного давления, называется частотой и измеряется одним циклом в секунду, герцем (Гц): 1 Гц = 1 ц/с.

Еще раз обратимся к примеру с рукой, но уже перемещающейся с частотой в 100 Гц. Конечно, это не будет являться идеальным источником звука: некоторое количество воздуха просто обтекает ладонь при ее перемещении. Для того, чтобы устранить явление обтекания, для такой среды как воздух, источник звука должен быть намного больше, что-то вроде передней панели пианино, и иметь как можно меньше скругленных углов. Однако, если вибратор размером с человеческую руку заставить двигаться еще быстрее, у воздуха уже не будет возможности для простого обтекания руки. Даже совсем маленькие поверхности при очень высоких частотах вибрации, являются эффективными источниками звука.

В действительности, звуки порождаются источниками различных форм и размеров, которые воспроизводят вибрацию довольно сложным образом. Кроме того, волны воздушного давления способны отражаться от твердых поверхностей. Эти отражения складываются с волнами основного источника, создавая при этом сложное поле различных направлений.

4. Скорость звука. Число М

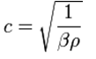
Скорость звука - скорость распространения упругих волн в среде - как продольных в газах, жидкостях и твердых телах, так и поперечных (сдвиговых) в твердой среде (7). Определяется упругостью и плотностью среды.

Как правило, в газах скорость звука меньше, чем в жидкостях, а в жидкостях скорость звука меньше, чем в твёрдых телах, что связано в основном с убыванием сжимаемости веществ в этих фазовых состояниях соответственно.

В среднем, в идеальных условиях, в воздухе скорость звука составляет 340-344 м/с

Скорость звука в любой среде вычисляется по формуле:

звук волна скорость мах

Число́ Ма́ха (М) - один из критериев подобия в механике жидкости и газа. Представляет собой отношение скорости течения в данной точке газового потока к местной скорости распространения звука в движущейся среде (3). Назван по имени австрийского ученого Эрнста Маха (нем. E. Mach).

Число Маха в газовой динамике:


где  - скорость потока, а  - местная скорость звука.

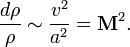
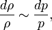
Число Маха является мерой влияния сжимаемости среды в потоке данной скорости на его поведение: из уравнения состояния идеального газа следует, что относительное изменение плотности (при постоянной температуре) пропорционально изменению давления:


из закона Бернулли разность давлений в потоке , то есть относительное изменение плотности:


Поскольку скорость звука , то относительное изменение плотности в газовом потоке пропорционально квадрату числа Маха:


Наряду с числом Маха используются и другие характеристики безразмерной скорости течения газа:

коэффициент скорости


и безразмерная скорость


где  - критическая скорость,

 - максимальная скорость в газе,

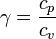
 - отношение удельных теплоемкостей газа при постоянных давлении и объёме соответственно.

Таким образом, при обычных условиях в атмосфере скорость звука составляет примерно 331 м/сек. Более высокие скорости выражаются в числах Маха и соответствуют сверхзвуковым скоростям, при этом гиперзвуковая скорость является частью этого диапазона. НАСА определяет "быстрый" гиперзвук в диапазоне скоростей 10-25 М, где верхний предел соответствует первой космической скорости. Скорости выше считаются не гиперзвуковой скоростью, а "скоростью возврата" космических аппаратов на Землю.

Сверхзвукова́я ско́рость - скорость частиц вещества выше скорости звука для данного вещества или скорость тела, движущегося в веществе с более высокой скоростью, чем скорость звука для данной среды (5).

При движении в среде со сверхзвуковой скоростью тело обязательно создаёт за собой звуковую волну. При равномерном прямолинейном движении фронт звуковой волны имеет конусообразную форму, с вершиной в движущемся теле. Излучение звуковой волны обуславливает дополнительную потерю энергии движущимся телом (помимо потери энергии вследствие трения и прочих сил).

Аналогичные эффекты испускания волн движущимися телами характерны для всех физических явлений волновой природы, например: черенковское излучение, волна, создаваемая судами на поверхности воды.

Самолёт, способный совершать полёт со скоростью, превышающей скорость звука в воздухе (полёт с числом Маха M=1,2-5), называется сверхзвуковым самолётом (2). Полёт на сверхзвуковой скорости, в отличие от дозвукового, протекает по другим законам, поскольку при достижении объектом скорости звука качественно меняется аэродинамическая картина обтекания, из-за чего резко возрастает аэродинамическое сопротивление, увеличивается кинетический нагрев конструкции, смещается аэродинамический фокус, что ведёт к утрате устойчивости и управляемости самолёта. Кроме того, появилось такое доселе неизвестное явление как "волновое сопротивление".

Рис.4. Сверхзвуковой истребитель-перехватчик Су-27

Поэтому раньше достижение скорости звука и эффективный полёт были невозможны простым увеличением мощности двигателей, требовались новые конструктивные решения. Следствием стало изменение внешнего облика самолёта - появились характерные прямые линии, острые углы, в отличие от "гладкой" формы дозвуковых самолётов.

Следует отметить, что задачу создания эффективного сверхзвукового самолёта нельзя считать решённой до сих пор. Создателям приходится идти на компромисс между требованием увеличения скорости и сохранением приемлемых взлётно-посадочных характеристик. Таким образом, завоевание авиацией новых рубежей по скорости и высоте связано не только с использованием более совершенной или принципиально новой двигательной установки и новой компоновки самолётов, но также с изменениями их геометрии в полёте. Такие изменения, улучшая характеристики самолёта при больших скоростях, не должны ухудшать их качеств на малых скоростях, и наоборот.

Существует еще один тип летательного аппарата - гиперзвуковой. Это летательный аппарат, способный осуществлять полет в атмосфере с гиперзвуковой скоростью (бо́льшей или равной 5М) и маневрировать с использованием аэродинамических сил (4). Крылатый летательный аппарат, обладающий такой скоростью полета, может планировать на значительно бо́льшие дальности, чем обычный, так как планирование становится "динамическим".

Рис.5. Космолёт Rockwell X-30 на орбите в представлении художника

Учитывая огромный потенциал технологии, организации по всему миру осуществляют исследования в области гиперзвукового полета. Такой авиалайнер должен значительно сократить время путешествия из одной точки в другую, потенциально сделав достижимой любую точки Земли в пределах 90 мин. Однако, при этом остаются вопросы, смогут ли такие аппараты перевозить на себе достаточно топлива для совершения полетов на большие расстояния и смогут ли они летать на достаточной высоте, чтобы избежать связанных со сверхзвуковым полетом звуковых эффектов. Также остаются неопределенными вопросы, связанные с общей стоимостью таких полетов и возможностью многократного использования аппаратов после гиперзвукового полета.        

Список использованных источников

1.  http://ru.wikipedia.org/wiki/Звук

2.      http://ru.wikipedia.org/wiki/Сверхзвуковой_самолёт

.        http://ru.wikipedia.org/wiki/Число_Маха

.        http://ru.wikipedia.org/wiki/Гиперзвуковой_летательный_аппарат

.        http://ru.wikipedia.org/wiki/Сверхзвуковая_скорость

.        http://ru.wikipedia.org/wiki/Скорость_звука

.        http://magicflora.sitecity.ru/ltext_2108232322.phtml?p_ident=ltext_2108232322.p_0610011258

.        http://www.zharanightclub.ru/djinfo/zvukovaya-sreda-chast-1

Похожие работы на - Распространение звуковых волн в воздушной среде. Скорость звука, число М

 

Не нашли материал для своей работы?
Поможем написать уникальную работу
Без плагиата!
Без нейросетей!