Исследование частотного преобразования акустического сигнала
Содержание
Введение
1. Выбор метода реализации задачи
1.1 Оценка предметной области и выбора метода решения задачи
1.1.1 Физическая природа звуковых и ультразвуковых колебаний
1.1.2 Отражение и преломление звука. Прохождение звука через
границу раздела двух сред
1.1.3 Ультразвуковые методы контроля качества изделий и материалов
1.2 Выделение функциональных частей
1.3 Составление общего алгоритма
1.4 Обоснование алгоритмов отдельных функциональных частей
2. Разработка тестовых примеров
3. Разработка программы
4. Тестирование и анализ результатов
Заключение
Список использованной литературы
Введение
В настоящее время ультразвук получил широкое применение в
военной технике, технологии, а также в измерительных приборах, в средствах
технической и медицинской диагностики. Технические средства измерений, контроля
и диагностики на основе ультразвуковых колебаний были разработаны и получили
распространение на несколько десятилетий ранее, чем аналогичные средства,
работающие с использованием электромагнитных волн и полей.
Зависимость скорости распространения и затухания акустических
волн от свойств вещества и процессов в них происходящих, используется в таких
исследованиях:
o изучение молекулярных
процессов в газах, жидкостях и полимерах
o изучение строения
кристаллов и других твёрдых тел,
o контроль протекания
химических реакций, фазовых переходов, полимеризации и др.
o определение
концентрации растворов,
o определение прочностных
характеристик и состава материалов.
o определение
наличия примесей.
Большая группа методов измерения основана на отражении и
рассеянии УЗ волн на границах между средами. Эти методы позволяют точно
определять местонахождение инородных для среды тел и используются в таких
сферах как:
o гидролокация,
o неразрушающий
контроль и дефектоскопия,
o медицинская
диагностика,
o определения уровней
жидкостей и сыпучих тел в закрытых ёмкостях,
o определения
размеров изделий,
o визуализация звуковых
полей - звуковидение и акустическая голография.
o определение скорости
течения жидкости и газа
Недаром темой курсового проекта стало исследование частотного
преобразования акустического сигнала. Она является очень важной частью любого,
из приведённых выше, способа использования ультразвука, поскольку представляет
собой фундаментальные, теоретические принципы, лежащие в основе всех методов
использования ультразвука.
Перед нами лежала задача нахождения вида отражённого сигнала,
при заданном виде отражения, а также вычисления для результирующего импульса
различных информационных коэффициентов (динамики постоянной составляющей и
максимального отклонения от постоянной составляющей в сторону меньших
значений).
В проведении вычислений использовался математический пакет MatLab, предоставляющий весь
необходимый инструментарий для работы.
1. Выбор
метода реализации задачи
1.1 Оценка
предметной области и выбора метода решения задачи
.1.1
Физическая природа звуковых и ультразвуковых колебаний
Звуковые и ультразвуковые колебания - это продольные к
направлению распространения упругие колебания материальных частиц. Это означает,
что звук и ультразвук может возникать и распространяться только в материальных
средах и материалах. В вакууме ни звук, ни ультразвук существовать не могут.
Под ультразвуковыми колебаниями в акустике понимают такие
колебания, частота которых лежит за верхним пределом слышимости человеческого
уха, т.е. превосходит примерно 20 кГц.
Звуковые колебания, по частоте превышающие эту величину,
относят к ультразвуковым. В настоящее время удается получить ультразвуковые
колебания с частотой до 106 кГц и более.
Следовательно, область ультразвуковых колебаний превышает 16
октав. В длинах волн это означает, что ультразвуковые волны занимают очень
широкий диапазон, простирающийся:
в воздухе (скорость распространения звука с ≈ 330 м/с,
а длины волн соответственно от λ ≈ 1,6 до λ ≈ 0,3·10-4 см);
в жидкостях (скорость примерно с ≈ 1200 м/с, а длины
волн от λ ≈ 6 доλ ≈ 1,2·10-4 см);
в твердых телах (примерная скорость распространения с ≈
4000 м/с,
а длины волн, учитывая частотный диапазон в 16 октав, от λ ≈ 20 до λ ≈ 4·10-4 см).
Таким образом, длина наиболее коротких ультразвуковых волн по
порядку величины сравнима с длиной видимых световых волн. Именно малость длин
ультразвуковых колебаний и обусловила их применение во всех областях техники,
технологии, медицины.
Ультразвук является своеобразной физической основой получения
информации при различных измерениях, контроле и дефектоскопии. Заметим, что,
кроме распространяющихся в материальных средах чисто продольных волн, к
ультразвуковым колебаниям относятся колебания поперечные, поверхностные, изгиба
и сдвига. Эти виды ультразвуковых колебаний имеют ту же физическую природу
(т.е. колебания материальной среды или частиц материала).
Так, например, из-за неоднородности среды отраженные волны
могут распространяться и в плоскости, перпендикулярной к начальному направлению
- это и будут поперечные волны. На поверхности раздела двух материальных сред
могут возникать и распространяться ультразвуковые волны, связанные с обеими
средами - это и есть поверхностные волны.
Однако все виды ультразвуковых колебаний объединяет один
физический факт - всегда направление переноса ультразвуковой энергии совпадает
с направлением, в котором колеблются материальные частицы среды или материала.
Реально в окружающем нас пространстве, в контролируемых с помощью ультразвука
изделиях, в анизотропных средах, на границах раздела сред и т.п. в силу
неоднородности последних всегда имеем дело с совокупностью видов звуковых и
ультразвуковых колебаний.
Кроме того, при некоторых условиях возможны резонансные
явления, а также явления сложения и вычитания (компенсация) колебаний. По этой
причине, по аналогии с электромагнитным полем, следует говорить об акустическом
поле.
Анализировать и аналитически описать звуковое поле весьма
сложно. Основополагающие законы ультразвука получены в результате исследования
одной продольной волны, но они как исходные, применяются и для анализа сложных
акустических полей.
Законы акустики слышимого диапазона действуют без изменения в
области ультразвука. Однако наблюдаются некоторые особые явления, не имеющие
места в слышимом диапазоне, и обусловленные очень малыми длинами волн
ультразвукового диапазона.
В первую очередь, это возможность визуального наблюдения
ультразвуковых волн оптическими методами, которая позволяет реализовать
многочисленные способы измерения различных констант материалов.
Ультразвуковой диапазон позволил создать новый класс
акустооптических приборов и новое научно-техническое направление -
акустооптику. Далее, благодаря малым длинам ультразвуковой волны допускают
отличную фокусировку и, следовательно, получение остронаправленного излучения.
Здесь можно говорить об ультразвуковых лучах и строить на их основе
звукооптические системы, обладающие повышенной локальностью при контроле и
диагностике изделий.
Сравнительно простыми техническими средствами удается
получить ультразвуковые колебания больших интенсивностей, которые трудно
получить в акустике слышимого диапазона. Последнее позволяет строить мощные
гидролокационные станции, и применять ультразвук в различных технологических
процессах в качестве своеобразного и эффективного инструмента при обработке
твердых материалов и изделий, а также при смешивании, или разделении
материалов, находящихся в жидкой фазе.
Прежде чем говорить о физических методах получения информации
с помощью ультразвука, необходимо рассматривать основные законы распространения
ультразвука и выявить величины, характеризующие звуковое поле и обладающие
признаками информативности.
Таким образом, теория ультразвуковых колебаний является
основой построения и применения ультразвуковых технических средств контроля,
измерений и диагностики, т.е. технических средств получения полезной информации
с использованием ультразвуковых колебаний.
1.1.2
Отражение и преломление звука. Прохождение звука через границу раздела двух
сред
При падении плоской звуковой волны на границу раздела двух
сред, обладающих различными плоскостями и скоростями звука (т.е. с разными
акустическими сопротивлениями), часть энергии отражается, а другая проходит во
вторую среду.
Причем, угол отражения равен углу падения, а энергия,
проходящая во вторую среду, подчиняется закону преломления Снеллиуса, который
гласит, что отношение синусов углов падения и отражения равно отношению
скоростей звука в обеих средах.
Здесь видна определенная внешняя аналогия с прохождением
раздела двух сред электромагнитными волнами, хотя физическая природа
акустического и электромагнитного полей принципиально различны.
Но общность в том, что отношение скоростей звука и
относительных диэлектрических проницаемостей сред, называют показателем, или
коэффициентом преломления первой среды по отношению ко второй.
Относительные интенсивности (по амплитуде, или по силе звука,
или по мощности) отраженной и преломленной звуковых волн определяются
известными соотношениями Релея.
Эти соотношения справедливы только для сред без потерь, в
которых отсутствует затухание, т.е. поглощение звука, а граница раздела сред
плоская, достаточно протяженная, микронеровности которой много меньше длины
звуковой волны. Такие условия, как правило, на практике выполняются только в
частных случаях. Поэтому подробно рассматривать соотношения Релея в общем виде
не будем, а остановимся на анализе частных случаев, которые характерны для
акустических средств измерений и дефектоскопии.
Таким частным, но важным случаем, в технике акустических
измерений является случай нормального падения звуковой волны на границу раздела
сред и материалов. Для этого варианта отражения от границы сред будут
отсутствовать при равенстве акустических сопротивлений сред, т.е. тогда, когда
(1.1)
Выражение определяет требование полного согласования сред,
которое всегда стремятся выполнить разработчики акустических средств измерений
при проектировании их измерительных каналов: источник ультразвука - объект контроля
- акустический приемный датчик-преобразователь, что гарантировало бы
максимальную энергетическую эффективность зондирующего излучения.
Введем коэффициент, определяющий отношение акустических
сопротивлений обеих сред (материалов),
(1.2)
тогда, исходя из соотношения Релея, можем найти коэффициент
отражения Г от границы раздела сред при нормальном падении волны
(1.3)
Формула дает значение коэффициента отражения Г по мощности,
т.е. по интенсивности звука, так как записаны квадраты отношений.
Следует отметить внешнюю схожесть соотношения с аналогичным
соотношением для определения коэффициента отражения по мощности в
электрорадиотехнике, хотя физическая сущность возникновения отражений в первом
и втором случае принципиально различны.
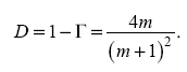
(1.4)
Видно, что значение Г, как и значение D, зависят только от
отношения акустических сопротивлений сред, образующих границу раздела.
Два предыдущих выражения формально не изменяться, если m заменить на 1/m, т.е. условно заменить
первую среду второй.
Подчеркнем, что коэффициенты Г и D являются чисто
энергетическими коэффициентами, показывающими относительные величины отраженной
и прошедшей энергии вне зависимости, с какой стороны границы раздела находится
исходная звуковая волна.
Однако некоторые другие параметры звуковых и ультразвуковых
волн оказываются зависящими от того, с какой стороны к границе раздела исходная
волна подходит. Эти особенности будут рассмотрены ниже.
На рис.1.1 представлены зависимости Г и D от m (или от 1/m, что равнозначно), так
как и m
и 1/m
показывают, как отличаются акустические сопротивления соприкасающихся сред или
материалов.
Рисунок 1.1 - Зависимости Г и D от m
Расчеты показывают, что при переходе звуковых волн из
жидкостей в воздух, или из воздуха в жидкость, а также на границе раздела
твердое тело, например, конструкционный материал в воздух - коэффициент
отражения по энергии звуковых волн приближается к 100%.
Последний факт дает отрицательный и положительный эффекты в
технике акустических измерений:
так, при измерении параметров материалов изделий приходиться
изыскивать способы согласования с тем, чтобы максимум зондирующего излучения
ввести в ОК и снять его на акустический датчик-преобразователь;
в акустической гидролокации - наоборот - получаем максимально
отраженный сигнал от подводных целей, внутренний объем которых заполнен
воздухом.
Рассмотрим теперь задачу отражения и прохождения звуковой
волны пластины материала, “акустическая" толщина которой (т.е. в долях
длины волны) соизмерима с длиной волны звуковых колебаний.
Решение подобной задачи в акустике актуально для двух
практических случаев: во-первых, когда необходимо создать для источника и
приемника звуковых колебаний “прозрачную" защитную, механически прочную
оболочку (например, обтекатель для гидроакустической станции, или акустически
прозрачное окно для датчика-преобразователя); во-вторых, при решении обратной
задачи - задачи создания практически непрозрачного для звуковых волн
конструктивного экрана, защищающего, например, измерительную аппаратуру, от
внутреннего или внешнего паразитного акустического излучения.
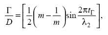
Все из тех же исходных соотношений Релея получим
(1.5)
где tГ - геометрическая толщина пластины материала; λ2 - длина звуковой волны в этой пластине.
Последнее выражение позволяет найти толщину пластины, при
которой она дает максимум отражения и обладает максимальной “акустической"
прозрачностью.
Исследуя формулу на максимум коэффициента отражения по
мощности Гmax,
(1.6)
при 
(n=1,2,3….), т.е. максимумы коэффициента
отражения звуковых волн будут, когда “акустическая" толщина пластины (т.е.
в долях длины звуковой волны в ее материале), равна нечетному числу четвертей
волны.
Отметим, что условия по нахождению Гmax и Dmax формально схожи с условиями
радиоволнового прохождения диэлектрических пластин, но с отличием, что в первом
случае имеем дело с “акустической" толщиной пластин из одного материала,
а, во-вторых, - с радиопрозрачными пластинами из диэлектрических материалов, и
с “электрической” толщиной пластин, т.е. в долях длины электромагнитной волны в
последних. Вернемся к исследованию “акустической" прозрачности пластин из
различных конструкционных материалов. На рис.1.2 дана зависимость коэффициента
пропускания D пластинок из алюминия (m ≈ 0,094) и из плексигласа (m ≈
0,454) в воде от их “акустической" толщины, т.е. от отношения tГ/λ2, которые рассчитаны по формуле (1.5).
Рисунок 1.2 - зависимость коэффициента пропускания D
Из графиков рис.1.2 сделаем два вывода:
во-первых, максимальное прохождение, равное 100%, при tГ/λ2= 0,5;
во-вторых, при всех других соотношениях tГ/λ2 акустическая прозрачность пластины будет возрастать с
приближением m к 1.
Последние данные имеют большое практическое значение при выборе
звукопроницаемых окон в жидкостях; для увеличения D в широком диапазоне отношений 
материал следует выбирать так, чтобы параметр m приближался к 1.
Таким образом, проектируются защитные обтекатели гидроакустических
станций и глубиномеров.
Эти же условия также всегда принимаются во внимание при
проектировании защитных оболочек приемно-передающих устройств акустических
измерительных приборов, работающих в воздухе.
Но в этом случае, необходимо “акустически” согласовать защитную
оболочку с воздушной средой.
1.1.3
Ультразвуковые методы контроля качества изделий и материалов
С помощью ультразвука можно получать полезную информацию о
качестве изделий и материалов. Положительную роль ультразвуковые методы
контроля играют при обеспечении точности и устойчивости специальных
технологических процессов изготовления изделий аэрокосмической техники.
Одна из причин широкого распространения акустических методов
заключается в том, что свойства контролируемых материалов и изделий,
определяющих возбуждение и распространение механических (ультразвуковых)
колебаний, тесно связаны с физико-механическими характеристиками последних.
В основе всех разработанных на сегодняшний день
ультразвуковых методов контроля качества изделий и материалов лежит теория
ультразвуковых колебаний. В соответствии с ГОСТ 23829-79 “Контроль
неразрушающий акустический.
Термины и определения" акустические методы делятся на
две основные группы:
. Активные методы, использующие излучение и прием
акустических колебаний и волн.
. Пассивные методы, основанные только на приеме колебаний и
волн от ОК.
Активные методы подразделяются на две подгруппы,
использующие, соответственно, прохождение и отражение ультразвуковых волн. В
методах, использующих прохождение волн, применяются два пьезопреобразователя:
излучающий и приемный, располагаемые по разные стороны ОК, или контролируемого
его участка. При работе на отражение применяется один пьезопреобразователь,
который и излучает зондирующий сигнал, и принимает отраженный от дефекта ОК
акустический сигнал.
В обоих случаях возможно использование как непрерывного, так
и импульсного излучения, а также модуляция основной ультразвуковой частоты
низкими частотами.
Рассмотрим основные активные ультразвуковые методы.
акустический сигнал ультразвуковой программа
Рисунок 1.3 - Методы активные, ультразвуковые
Теневой метод основан на уменьшении амплитуды (мощности
или энергии) прошедшей волны под влиянием дефекта. Как видно из рис.1.3 А,
наличие дефекта в ОК в зоне излучения уменьшает сигнал, попадающий в приемник.
При этом уменьшение принимаемой энергии (т.е. образование “тени" от
дефекта) может происходить по двум причинам: как за счет отражений от дефекта,
так и за счет поглощения части энергии акустического излучения самим дефектом.
Временной теневой метод основан на измерении
времени запаздывания зондирующего импульса при его огибании или прохождении
дефекта; дефект при этом не должен иметь значительных акустических потерь.
Структура используемой при этом аппаратуры та же, что и при
классическом
теневом методе (рис.1.3 А), но отличие - в необходимости
измерения приборной частью разности времени прохождения зондирующим импульсом
бездефектной области и области ОК с дефектом.
В активных методах работы на отражение используется как один,
так и два пьезопреобразователя, и импульсный режим работы. Имеются следующие активные
методы работы на отражение.
Эхо-метод регистрирует эхо-сигналы, отраженные от дефекта.
Это простейший вариант работы на отражение, но регистрирующая эхо-сигналы
электронная аппаратура, должна быть способна разделять эхо-сигналы, отраженные
от дефекта и от донной поверхности ОК (рис.1.3 В).
Эхо-зеркальный метод используется для обнаружения
дефектов, ориентированных вертикально к поверхности, на которой ведется
контроль. В отличие от эхо-метода этот метод более сложен технически:
необходимо иметь устройства ввода в ОК и съема ультразвуковых колебаний под
постоянным углом к поверхностям ОК (рис.6), а также устройство
синхронного перемещения обоих пьезопреобразователей А и Б по поверхностям ОК.
Рисунок 1.4 - Эхо-зеркальный метод
Заметим, что в эхо-зеркальном методе пьезопреобразователи
размещаются по разные стороны от ОК (рис.1.4). Отраженный сигнал, но более
слабый, будет приниматься преобразователем Б, размещенным рядом с излучающим
преобразователем А.
Реверберационный метод предназначен для контроля сложных
конструкций изделий, состоящих из различных материалов, имеющих неодинаковые
значения акустических сопротивлений, а главное - неодинаковые коэффициенты
затухания ультразвуковых колебаний. Это активный метод контроля качества,
физическая сущность которого состоит в определении длительности и интенсивности
многократного переотраженных в ОК ультразвуковых колебаний.
Например, длительность и интенсивность реверберации будет
возрастать, если в ОК имеется дефект в виде воздушного зазора (расслоения), и
реверберация будет гаситься в бездефектном изделии, состоящем из слоев
материала со значительными акустическими потерями.
Существует ряд активных методов, в которых одновременно
используются принципы, как прохождения, так и отражения ультразвука. К ним
относятся следующие методы.
Зеркально-теневой метод, основанный на измерении
“донного” сигнала, отраженного от противоположной поверхности ОК. Он позволяет
фиксировать относительное ослабление сигнала, дважды прошедшего в прямом и
обратном направлении дефектную и бездефектную области ОК.
Эхо-теневой метод основан на измерении и
сравнительном анализе, как прошедших дефекты, так и отраженных от дефектов
ультразвуковых сигналов.
В эхо-сквозном методе фиксируется сквозной
сигнал, однократно прошедший ОК и многократно отраженный от противоположной
поверхности. Метод обладает повышенной чувствительностью, так как многократно
прошедший дефект сигнал, ощутимо изменяется по своей интенсивности, что и
упрощает его сравнение со сквозным сигналом. Техническая реализация этого
метода весьма сложна.
Среди всех активных методов ультразвуковой дефектоскопии
оригинальным оказывается импедансный метод, основанный на измерениях
“механического импеданса" участка поверхности ОК, с которым взаимодействует
пьезопреобразователь.
Об изменении импеданса судят по характеристикам колебаний
преобразователя: частоте, амплитуде, фазе.
Как правило, в импедансных дефектоскопах преобразователь
имеет форму стержня, массивность стержня ограничивает реализацию этого метода
на ультразвуковых частотах (рис.1.5). Понятно, что вносимый в колеблющийся
стержень “механический импеданс” - есть реакция небольшой области ОК. Поэтому
импедансный метод применяют только для контроля качества поверхностного слоя и
для обнаружения дефектов, прилегающих к поверхности ОК.
Рисунок 1.5 - Эхо-сквозной метод
Отметим определенную схожесть метода “механического
импеданса" по принципу действия с вихретоковым методом, при котором в
электрический контур, накладываемый на поверхность ОК, вносится проводящей
поверхностью омическое сопротивление за счет чего и контролируется ее качество.
К активным методам контроля относятся также методы,
основанные на использовании стоячих акустических волн в ОК, если ОК возбуждается
целиком, то это интегральный метод. Если же ОК возбуждается частично, то это
локальный метод. При этом внешнее возбуждение как при интегральном, так и при
локальном методах может быть “свободным” (например, за счет механического
удара) и тогда в ОК возникают свободные колебания, определяемые его
механическими свойствами; или вынужденные, т.е. воздействием “гармонической
силы”, интенсивность и частота которой могут изменяться.
Состояние ОК оценивается по собственной частоте свободных
колебаний, либо по резонансным вынужденных колебаний. На использовании стоячих
волн в ОК основаны следующие активные методы.
Методы свободных колебаний. При применении
локального метода свободных колебаний в ОК возбуждаются колебания с помощью
удара механического вибратора и анализируется спектр возбужденных частот.
В дефектных областях ОК спектр собственных колебаний, как
правило, смещается в высокочастотную область. Этим же методом контролируются
отдельные участки стенок изделий, которые после внешнего механического воздействия
продолжают колебаться в свободном режиме. По частоте этих колебаний с высокой
точностью измеряют геометрическую толщину контролируемого участка стенки, а по
уходу частоты - отклонения по толщине и наличие дефектов в материале стенки.
В интегральном методе посредством ударов возбуждаются
свободные вибрации во всем объеме ОК, а результаты спектрального анализа и его
сравнение со спектром эталонного изделия, позволяют сделать заключение о том, -
годное оно или бракованное.
Эти методы обычно применяются для контроля тонкостенных
изделий. На контролируемом участке стенки с помощью пьезопреобразователя
возбуждают ультразвуковые волны. Модулируют частоту вынужденных колебаний и
фиксируют частоты, на которых возникают акустические резонансы (т.е. когда по
толщине стенки укладывается целое число полуволн ультразвука). По резонансным
частотам определяют толщину стенки, а дефекты в стенке фиксируют по резкому
изменению “измеряемой” толщины, или по пропаданию резонанса.
Интегральный резонансный метод применяется для определения
модулей упругости материала по резонансным частотам продольных, изгибных или
крутильных колебаний образцов простой геометрической формы. Появление дефектов
или изменение свойств материалов определяется по отклонениям резонансных частот
образцов. Понятно, что
возможны различные модификации и комбинации активных методов
акустического контроля - все определяется конкретными техническими задачами,
которые необходимо решить.
Пассивные акустические методы. Метод акустической
эмиссии.
Этот метод основан на фиксации акустических колебаний,
возникающих в материале ОК в результате локальных динамических перегрузок или в
результате локальных изменений структуры материала под влиянием, например,
термообработки или полимеризации.
Кроме того, наиболее характерными источниками акустической
эмиссии - это возникновение и развитие трещин, движение дислокаций и т.п.
Поэтому метод акустической эмиссии чаще всего применяется для
контроля качества высокопрочных изделий, находящихся в процессе изготовления.
Контактирующие с ОК пьезопреобразователи, работающие на прием, воспринимают
собственные упругие колебания ОК и позволяют установить источники эмиссии в ОК,
и, если это необходимо, то и скорректировать технологический процесс его
изготовления.
Вибрационно-диагностический и шумодиагностический методы. В
первом пассивном методе анализируются параметры вибраций изделий или отдельные
узлы с помощью специальной вибродиагностической аппаратуры. Типовая структура
этой аппаратуры такая: пьезопреобразователь, работающий на прием, усилитель,
анализатор, записывающее устройство. По результатам измерений и диагностируется
ОК по интересующим признакам качества.
Во втором, т.е. в шумодиагностическом методе, анализируется
спектр шумов, образующихся при работе ОК (например, двигателя внутреннего
сгорания), и устанавливаются возможные отклонения от режима нормальной работы.
Здесь структура применяемой акустической аппаратуры та же, что и в первом
методе.
Оба пассивных метода - вибрационно-диагностический и
шумодиагностический относятся к низкочастотным, так как вибрации и шумы - это
звуковые низкочастотные колебания.
В заключение раздела следует сказать, что акустические методы
и аппаратура их реализующая, базируются на теории ультразвуковых колебаний. В
полном смысле можно утверждать, что теория звуковых колебаний - это основа
построения и применения акустических средств получения информации. Теория
ультразвуковых колебаний в виде ее основных выводов и рекомендаций позволяет находить
оптимизированные методики применения акустических средств измерений,
обеспечивающих их повышенную точность и эффективность.
1.2 Выделение
функциональных частей
Программу, которая должна выполнить поставленную задачу можно
схематически представить в следующем виде (рис.1.6):
Рисунок 1.6 - Схематическое представление алгоритма
Как видно из схемы алгоритма, первое, что нам предстоит
сделать - получить исходный сигнал, затем провести над ним прямое преобразование
Фурье для получения спектра сигнала. Затем формируем функцию отражения и
перемножаем её со спектром исходного сигнала. От получившегося выражения берём
обратное преобразование Фурье для получения вида отражённого сигнала. В конце
мы получаем динамику среднего выпрямленного значения и коэффициента формы.
1.3
Составление общего алгоритма
В основном тексте программы, которая будет исследовать
частотное преобразование акустического сигнала, необходимо будет прежде всего
указать временные и частотные интервалы в пределах которых будет обрабатываться
сигнал. Заданные интервалы позволят составить исходный импульс. После ввода
данных перейдем к их обработке воспользовавшись частотным преобразованием
Фурье. Полученный в результате спектр импульса помножим на генерируемую
программой функцию отражения. Созданный, таким образом спектр преобразованного
сигнала подвергнем обратному преобразованию Фурье. Это позволит получить график
измененного сигнала. Повторив описанные действия для различных исходных
установок исследования можно будет проследить динамику изменений параметров
исходного импульса. Для наглядного представления получаемой таким образом
информации добавим в программу вывод графиков зависимостей итоговых и некоторых
промежуточных результатов.
1.4
Обоснование алгоритмов отдельных функциональных частей
Из-за модульности программы, были выделены следующие
отдельные функциональные части: функция, вычисляющая интеграл; функции прямого
и обратного преобразования Фурье; функция, эмулирующая преобразование акустического
сигнала (наклонное отражение). Кратко опишем каждую из них: функция,
вычисляющая интеграл, реализует математический способ вычисления интеграла
методом прямоугольника:

(1.7)
Функция прямого преобразования Фурье вычислялась по следующей
формуле:

(1.8)
Для реализации функции обратного преобразования Фурье применил
следующее выражение:

(1.9)
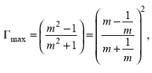
Функция релаксационного отражения:
(1.10)
(1.11)
акустические импедансы граничащих сред в отсутствии диссипации;

(1.12)
эффективная частота, характеризующая МЖ;
Число Деборы:
D = ωτ, (1.13)
- скорость
звука (при ω→0);
ρ -
плотность среды; τ - время релаксации напряжений; b2 - параметр диссипативных потерь; c2 - упругий модуль;
акустический импеданс оргстекла Z1=3.1∙106 кг/ (м2∙с);
акустический импеданс эпоксидной смолы Z2=3.25∙106 кг/ (м2∙с);
характеристическая частота эпоксидной смолы предположительно wc=2π∙107
Гц;
2. Разработка
тестовых примеров
Наша задача состоит в том, чтобы показать, как изменится
акустический сигнал (входной сигнал симметричный импульс), при прохождении
границы разделения сред и получить динамики постоянной составляющей и
максимального отклонения от постоянной составляющей в сторону меньших значений,
для различных значений коэффициента отражения.
Результатом выполнения моей программы будут являться 3 группы
графиков:
Первая группа графиков будет отображать исходный сигнал и его
спектр, полученный после прямого преобразования Фурье.
Вторая группа будет содержать набор рядов графиков для
нескольких различных коэффициентов отражения, где в один ряд будут входить 3
графика: функция отражения; спектр акустического сигнала после воздействия на
него функции отражения и, собственно, преобразованный акустический
сигнал-выходной.
Третья группа будет содержать графическое представление
зависимости параметров преобразованного сигнала от коэффициента отражения.
3. Разработка
программы
Основной модуль - содержит основной текст программы, вызовы
необходимых функций (вычисления прямого и обратного преобразования Фурье,
вычисление интегралов методом прямоугольника), а также вычисление динамики
постоянной составляющей и максимального отклонения от постоянной составляющей в
сторону меньших значений.
clear;
n=10^ (-5); %коэффициент
dt=0.01. *n; %шаг приращения времени
t1=-3. *n: dt: 0; %Задание интервала времени для отрицательного промежутка
t2=0: dt: 3. *n; %Задание интервала времени для
положительного промежутка
t=-3. *n: dt: 3. *n; %Задание общего интервала времени
dw=0.5001. * (1. /n); %Задание шага
приращения частоты
w=- (100. * (1. /n)): dw: 100. * (1. /n); %Задание интервала
частоты
dwc= (10^7-10^5). /49; wc=10^5: dwc: 10^7; % Задание
интервала частоты
n_v_gr= [1,17,34,50]; %Номера выводимых графиков
n_str_g=size (n_v_gr,2) +1; n_g=1; sch=1; %Вспомогательные
переменные для построения графиков
u1t=10. *exp (25. *t1. / (2. *pi. *n)). *sin (35.
*t1. /n); %Задание исходного
сигнала для промежутка t1
u2t=10. *exp (-25. *t2. / (2. *pi. *n)). *sin
(35. *t2. /n); %Задание исходного
сигнала для промежутка t2
for i=1: size (t1,2) ut (i) =u1t (i); end %Занесение в единый массив для импульса
составляющей промежутка t1
for i=1: size (t2,2) ut (size (t1,2) +i-1) =u2t (i); end %Занесение в единый массив для импульса
составляющей промежутка t2
ut_sr=integral (ut,t). / (t (size (t,2)) - t
(1));
fw=priam_pr_fur (w,t,ut); %Вызов функции прямого преобразования Фурье
subplot (n_str_g,2,n_g); n_g=n_g+1; plot (t,ut); grid on; %Построение
исходного сигнала
subplot (n_str_g,2,n_g); n_g=n_g+2; plot (w,abs (fw)); grid on; %Построение
преобразованного сигнала
for i=1: size (wc,2) %Цикл с количеством итераций равным
количеству частот
R=relax _otr (w, wc (i)); %Вызов функции задающей функцию отражения
fw_n=fw. *R; %Перемножение спектра и функции отражения
ut_n=obr_pr_fur (t,w,fw_n); %Обратное
преобразование Фурье
if n_v_gr (sch) ==i; %Проверка необходимости построения графика
subplot (n_str_g,3,n_g); n_g=n_g+1; plot (w,abs (R)); grid on; %Построение функции
отражения
subplot (n_str_g,3,n_g); n_g=n_g+1; plot (w,abs (fw_n)); grid on; %Построение спектра
умноженного на функцию отражения
subplot (n_str_g,3,n_g); n_g=n_g+1; plot (t,ut_n); grid on; %Построение импульса
после обратного преобразования Фурье
sch=sch+1;_post (i) = integral (ut_n,t). / (t
(size (t,2)) - t (1)); % Вычисление постоянной составляющей
ut_otcl_min (i) =min (real (ut_n-ut_sr)); % Вычисление максимального отклонения в сторону меньших
значений
subplot (n_str_g,1,n_str_g. *2-1); plot (wc,ut_post); grid on; %Построение динамики
постоянной составляющей
subplot (n_str_g,1,n_str_g. *2); plot (wc,ut _otcl_min); grid on; %Построение динамики
максимального отклонения от постоянной составляющей в сторону меньших значений
Модуль integral. Вычисление интеграла методом прямоугольника.
Содержит цикл для последовательного сложения вычисленных значений функции на
определённом промежутке.
%Вспомогательная функция вычисления интеграла
переданной функции
%методом прямоугольника
function vozvr=integral (y,x)
dx= (x (size (x,2)) - x (1)). / (size (x,2) -
1);=0;i=1: size (x,2)=sum+y (i). *dx;=sum;
Модуль priam_pr_fur. Вычисление прямого
преобразования Фурье. Содержит два цикла для вычисления преобразования Фурье
при заданной частоте. В функцию передаётся интервал частоты, интервал времени и
сама функция, зависящая от времени.
%Функция прямого преобразования Фурье
function vozvr=priam_pr_fur (w,t,ut)
dt= (t (size (t,2)) - t (1)). / (size (t,2) - 1);
for i1=1: size (w,2)=0;i2=1: size (t,2)=sum+ut
(i2). *cos (w (i1). *t (i2)) - j. *ut (i2). *sin (w (i1). *t (i2));(i1) =sum.
*dt;=fw;
Модуль obr_pr_fur. Вычисление обратного преобразования Фурье.
Содержит 2 цикла для вычисления обратного преобразования Фурье. В функцию
передаётся интервал частоты, интервал времени и сама функция, зависящая от
частоты.
%Функция обратного преобразования Фурье
function vozvr=obr_pr_fur (t,w,fw)
dw= (w (size (w,2)) - w (1)). / (size (w,2) -
1);i1=1: size (t,2)=0;i2=1: size (w,2)=sum+ (fw (i2)). * (cos (w (i2). *t (i1))
+j. *sin (w (i2). *t (i1)));(i1) =sum. *dw. / (2. *pi);=ut;
Модуль relax_otr. Нахождение вида функции релаксационного
отражения. Содержит вспомогательные переменные для вычисления вида функции
релаксационного отражения, а также составление самой функции.
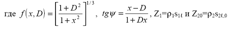
%Получение функции релаксационного отражения
function vozvr=relax_otr (w,wc)
Z1=3.1 *10. ^6; Z2=3.25. *10. ^6;=w. /
(wc-10000);=w. /wc;=atan ( (x-D). / (1+D. *x));= (Z1. * ( ( (1+D. ^2) / (1+x.
^2)). ^1/4). *exp (j. *psi. /2) - Z2). / (Z1. * ( ( (1. +D. ^2) / (1. +x. ^2)). ^1/4). *exp (j. *psi. /2) +Z2);
vozvr=R;
4.
Тестирование и анализ результатов
В результате выполнения программы были получены следующие результаты:
На рис.4.1 представлен исходный сигнал и его спектр.
Рисунок 4.1 - График А - исходный сигнал.; график В -
результат прямого преобразования Фурье
На рис.4.2 набор рядов графиков промежуточных результатов для
нескольких различных коэффициентов отражения.
Рисунок 4.2 - Столбец А - графики функций отражения; столбец
В - спектр умноженный на функцию отражения; столбец С - обратное преобразование
Фурье преобразованного спектра
Рис 4.3 - результат выполнения данной программы, коим
является графическое представление зависимости параметров преобразованного
сигнала от коэффициента отражения.
Строкам 1-4 соответствуют значения
wc=
,
,
,
соответственно.
Столбец А: Вид функции отражения при значениях wc указанных выше.
Столбец В: Вид спектра отражённого сигнала, при wc равными указанным выше.
Столбец С: Вид отражённого сигнала после обратного преобразования
Фурье, при значениях wc приведённых
выше.
Рисунок 4.3 - График А - динамика постоянной составляющей при
изменении wc от
до
; график В - динамика максимального
отклонения в сторону меньших значений wc от
до
Заключение
В процессе изучения проблемы исследования частотного преобразования
акустического сигнала (ультразвука) нами была выбрана методика теоретической
обработки акустических импульсов с помощью математического пакета MatLab. Поскольку эта среда
предоставляет удобные и достаточно простые средства для написания функций
различных преобразований, анализа и визуализации полученных результатов в виде
графического изображения массивов результатов работы написанной функции.
В непосредственно поставленной перед нами задаче, мы,
воспользовавшись, редактором m-файлов, представленным MatLab, реализовали программу
для моделирования процессов происходящих при отражении акустического сигнала
(ультразвука), от границы разделения сред (например, воздух-вода). В частности,
были разработаны вспомогательные функции для прямого и обратного преобразования
Фурье, вычисления интегралов (методом прямоугольников) и получения функции
отражения (релаксационного отражения).
В основной части программы, воспользовавшись разработанными
ранее вспомогательными функциями, реализовали алгоритм получения интересующих
нас результатов, а именно построение результирующего импульса динамики
постоянной составляющей, максимального отклонения от постоянной составляющей в
сторону меньших значений.
Список
использованной литературы
1. Встроенная
справочная документация по программному пакету MatLab версии 6.5.
2. Воробьёв
Е.А. Теория ультразвуковых колебаний как основа для построения и применения
технических средств получения информации: учебное пособие - СПБГУАП., 2002 г.
. Сергеенко
А.Б. Цифровая обработка сигналов. - СПб.: Питер, 2002. - 608с