Квантовый размерный эффект для электронов и фононов
Введение
Нанотехнология - междисциплинарная область фундаментальной и прикладной
науки и техники, имеющая дело с совокупностью теоретического обоснования,
практических методов исследования, анализа и синтеза, а также методов
производства и применения продуктов с заданной атомарной структурой путём
контролируемого манипулирования отдельными атомами и молекулами.
Нано (от греч. nanos - карлик) - приставка, означающая 10 в минус девятой
степени, или одну миллиардную. То есть один нанометр - это величина, сопоставимая
с размерами отдельных молекул.
Многие источники, в первую очередь англоязычные, первое упоминание
методов, которые впоследствии будут названы нанотехнологией, связывают с
известным выступлением Ричарда Фейнмана «Там внизу много места», сделанным им в
1959 году в Калифорнийском технологическом институте на ежегодной встрече
Американского физического общества. Ричард Фейнман предположил, что возможно
механически перемещать одиночные атомы при помощи манипулятора соответствующего
размера, по крайней мере, такой процесс не противоречил бы известным на
сегодняшний день физическим законам.
Этот манипулятор он предложил делать следующим способом. Необходимо
построить механизм, создававший бы свою копию, только на порядок меньшую.
Созданный меньший механизм должен опять создать свою копию, опять на порядок
меньшую и так до тех пор, пока размеры механизма не будут соизмеримы с
размерами порядка одного атома. При этом необходимо будет делать изменения в
устройстве этого механизма, так как силы гравитации, действующие в макромире
будут оказывать все меньшее влияние, а силы межмолекулярных взаимодействий и
Ван-дер-Ваальсовы силы будут все больше влиять на работу механизма. Последний
этап - полученный механизм соберёт свою копию из отдельных атомов. Принципиально
число таких копий неограниченно, можно будет за короткое время создать любое
число таких машин. Эти машины смогут таким же способом, поатомной сборкой
собирать макровещи. Это позволит сделать вещи на порядок дешевле - таким
роботам (нанороботам) нужно будет дать только необходимое количество молекул и
энергию, и написать программу для сборки необходимых предметов. До сих пор
никто не смог опровергнуть эту возможность, но и никому пока не удалось создать
такие механизмы. Принципиальный недостаток такого робота - принципиальная
невозможность создания механизма из одного атома.
Изложенные Фейнманом в лекции идеи о способах создания и применения таких
манипуляторов совпадают практически текстуально с фантастическим рассказом
известного советского писателя Бориса Житкова «Микроруки», опубликованным в
1931. Но не только. В широко известном произведении русского писателя Н.
Лескова «Левша» есть любопытный фрагмент: если бы, - говорит, - был лучше
мелкоскоп, который в пять миллионов увеличивает, так вы изволили бы, - говорит,
- увидать, что на каждой подковинкемастерово имя выставлено: какой русский
мастер ту подковку делал.
Увеличение в 5 000 000 раз обеспечивают современные электронные и
атомно-силовые микроскопы, считающиеся основными инструментами нанотехнологий, таким
образом, литературного героя Левшу можно считать первым в истории
нанотехнологом.
Впервые термин «нанотехнология» употребил НориоТанигути в 1974 году. Он
назвал этим термином производство изделий размером несколько нанометров.
Часто употребляемое определение нанотехнологии как комплекса методов
работы с объектами размером менее 100 нанометров недостаточно точно описывает
как объект, так и отличие нанотехнологии от традиционных технологий и научных
дисциплин. Объекты нанотехнологий, с одной стороны, могут иметь
характеристические размеры указанного диапазона:
ü наночастицы, нанопорошки (объекты, у которых три
характеристических размера находятся в диапазоне до 100 нм);
ü нанотрубки, нановолокна (объекты, у которых два
характеристических размера находятся в диапазоне до 100 нм);
ü наноплёнки (объекты, у которых один характеристический размер
находится в диапазоне до 100 нм).
С другой стороны, объектами нанотехнологий могут быть макроскопические
объекты, атомарная структура которых контролируемо создаётся с разрешением на
уровне отдельных атомов.
Нанотехнологии качественно отличаются от традиционных дисциплин,
поскольку на таких масштабах привычные, макроскопические, технологии обращения
с материей часто неприменимы, а микроскопические явления, пренебрежительно
слабые на привычных масштабах, становятся намного значительнее: свойства и
взаимодействия отдельных атомов и молекул или агрегатов молекул, квантовые
эффекты.
В практическом аспекте это технологии производства устройств и их
компонентов, необходимых для создания, обработки и манипуляции атомами,
молекулами и частицами, размеры которых находятся в пределах от 1 до 100
нанометров. Однако, нанотехнология сейчас находится в начальной стадии
развития, поскольку основные открытия, предсказываемые в этой области, пока не
сделаны. Тем не менее проводимые исследования уже дают практические результаты.
Использование в нанотехнологии передовых научных результатов позволяет относить
её к высоким технологиям.
При работе с такими малыми размерами проявляются квантовые эффекты.
Нанотехнология и, в особенности, молекулярная технология - новые области, очень
мало исследованные. Развитие современной электроники идёт по пути уменьшения
размеров устройств. С другой стороны, классические методы производства подходят
к своему естественному экономическому и технологическому барьеру, когда размер
устройства уменьшается не намного, зато экономические затраты возрастают
экспоненциально. Нанотехнология - следующий логический шаг развития электроники
и других наукоёмких производств. Из выше сказанного можно поставить следующие
задачи курсовой работы:
ü рассмотреть такой класс веществ, как полупроводники,
ü определить сущность квантового размерного эффекта в
полупроводниках,
ü проиллюстрировать квантовый размерный эффект электронов и дырок,
ü схематически рассмотреть резонансное туннелирование через
квантовую яму с двойным барьером,
ü изучить вольт-амперные характеристики приборов с резонансным
туннелированием,
ü найти связанные решения и соответствующие им собственные
значения в случае прямоугольной ямы.
Раздел I. Полупроводники
Полупроводники - класс веществ, занимающий
промежуточное положение между веществами, хорошо проводящими электрический ток
(проводники, в основном металлы), и веществами, практически не проводящими
электрического тока (изоляторы или диэлектрики).
Для полупроводников характерна сильная зависимость их
свойств и характеристик от микроскопических количеств содержащихся в них
примесей. Изменяя количество примеси в полупроводнике от десятимиллионных долей
процента до 0,1 - 1%, можно изменять их проводимость в миллионы раз. Другое
важнейшее свойство полупроводников состоит в том, что электрический ток
переносится в них не только отрицательными зарядами - электронами, но и равными
им по величине положительными зарядами - дырками.
Если рассматривать идеализированный полупроводниковый
кристалл, абсолютно свободный от каких-либо примесей, то его способность
проводить электрический ток будет определяться так называемой собственной
электропроводностью. Атомы в кристалле полупроводника связаны между собой с
помощью электронов внешней электронной оболочки. При тепловых колебаниях атомов
тепловая энергия распределяется между электронами, образующими связи,
неравномерно. Отдельные электроны могут получать количество тепловой энергии,
достаточное для того, чтобы «оторваться» от своего атома и получить возможность
свободно перемещаться в кристалле, т. е. стать потенциальными носителями тока
(по-другому можно сказать, что они переходят в зону проводимости). Такой уход
электрона нарушает электрическую нейтральность атома, у него возникает
положительный заряд, равный по величине заряду ушедшего электрона. Это
вакантное место называют дыркой.
Так как вакантное место может быть занято электроном
соседней связи, дырка также может перемещаться внутри кристалла и являться уже
положительным носителем тока. Естественно, что электроны и дырки при этих
условиях возникают в равных количествах, и электропроводность такого идеального
кристалла будет в равной степени определяться как положительными, так и
отрицательными зарядами.
Если на место атома основного полупроводника поместить
атом примеси, во внешней электронной оболочке которого содержится на один
электрон больше, чем у атома основного полупроводника, то такой электрон
окажется как бы лишним, ненужным для образования межатомных связей в кристалле
и слабо связанным со своим атомом. Достаточно в десятки раз меньшей энергии,
чтобы оторвать его от своего атома и превратить в свободный электрон. Такие
примеси называют донорными примесями, т. е. отдающими «лишний» электрон. Атом
примеси заряжается, разумеется, положительно, но дырки при этом не появляется,
так как дыркой может быть только вакансия электрона в незаполненной межатомной
связи, а в данном случае все связи заполнены. Этот положительный заряд остается
связанным со своим атомом, неподвижным и, следовательно, в процессе
электропроводности участия принимать не может.
Введение в полупроводник примесей, внешняя электронная
оболочка которых содержит меньшее количество электронов, чем в атомах основного
вещества, приводит к появлению незаполненных связей, т. е. дырок. Как было
сказано выше, эта вакансия может быть занята электроном из соседней связи, и
дырка получает возможность свободного перемещения по кристаллу. Иными словами,
движение дырки - это последовательный переход электронов из одной соседней
связи в другую. Такие примеси, «принимающие» электрон, называют акцепторными. С
увеличением количества примесей того или иного типа электропроводность
кристалла начинает приобретать все более ярко выраженный электронный или
дырочный характер. В соответствии с первыми буквами латинских слов negativ и
positiv электронную электропроводность называют электропроводностью n-типа, а
дырочную - р-типа, отмечая этим, какой тип подвижных носителей заряда для данного
полупроводника является основным, а какой - неосновным.
При электропроводности, обусловленной наличием
примесей (т. е. примесной), в кристалле по-прежнему остается два типа
носителей: основные, появляющиеся главным образом за счет введения в полупроводник
примесей, и неосновные, обязанные своим появлением тепловому возбуждению.
Следует отметить, что содержание в 1 см3 (концентрация) электронов n
и дырок р для данного полупроводника при данной температуре есть величина
постоянная:
∙р = const.
Это значит, что, увеличивая за счет введения примесей
в несколько раз концентрацию носителей данного типа, мы во столько же раз
уменьшаем концентрацию носителей другого типа.
Следующее важное свойство полупроводников, вытекающее
из вышеизложенного, - их сильная чувствительность к температуре и облучению. С
ростом температуры повышается средняя энергия колебания атомов в кристалле, и
все большее количество связей будет подвергаться разрыву. Будут появляться все
новые и новые пары электронов и дырок. При достаточно высоких температурах
собственная (тепловая) проводимость может сравняться с примесной или даже
значительно превзойти ее. Чем выше концентрация примесей, тем при более высоких
температурах будет наступать этот эффект.
Разрыв связей может осуществляться также за счет
облучения полупроводника, например, светом, если энергия световых квантов
достаточна для разрыва связей. Энергия разрыва связей у разных полупроводников
различна, поэтому они по-разному реагируют на те или иные участки спектра
облучения.
Эти важнейшие свойства полупроводников используются
для создания самых различных по своему назначению и областям применения
полупроводниковых приборов.
Первым полупроводниковым материалом, нашедшим свое
практическое применение, был селен. В настоящее время чаще всего используют
кремний, вытеснивший в значительной мере такой полупроводник, как германий.
Селен, германий и кремний относятся к так называемым элементарным
полупроводникам, т. е. к полупроводникам, являющимся элементами периодической
системы Д. И. Менделеева.
Наряду с германием и кремнием все более широкое
распространение начинают получать сложные соединения элементов III и V, II и
IV, II и VI групп периодической системы, обладающие полупроводниковыми
свойствами. Здесь следует упомянуть, например, соединения галлия и мышьяка
(арсенид галлия), галлия и фосфора, кадмия, ртути и теллура и т. п. В качестве
примесей используют бор, фосфор, индий, мышьяк, сурьму и многие другие
элементы, сообщающие полупроводникам необходимые свойства. Типичные значения
вводимых в полупроводник примесей заключены между десятыми и стотысячными
долями процента.
Получение полупроводниковых кристаллов с правильной
кристаллической решеткой (монокристаллов) и заданным содержанием и
распределением строго контролируемых примесей представляет собой сложнейший
технологический процесс, проводимый в особо чистых условиях с использованием
оборудования высокой точности и сложности. Все описанные выше процессы могут
быть объяснены также с помощью зонной теории.
Раздел II.
Квантовый размерный эффект
полупроводник квантовый электрон резонансный
Исследуем свойства электронов и фононов в кристалле,
который конечен и существуют два бесконечно высоких барьера на расстоянии L
друг от друга, которые могут отражать блоховские волны вдоль направления z. Классическим
примером волн, ограниченных в одном измерении двумя непроницаемыми барьерами,
является колеблющаяся струна с двумя фиксированными концами.
Хорошо известно, что нормальные колебательные моды
такой струны представляют собой стоячие волны с длиной волны λ,
принимающей дискретные
значения вида
λn=2L/n, n=1,2,3,… (2.1)
Другим классическим примером является интерферометр
Фабри-Перо. В результате многократных отражений в концевых зеркалах, образующих
резонатор, в спектре пропускания прошедших через интерферометр электромагнитных
волн появляются максимумы и минимумы при дискретных длинах волн. Если
пространство внутри резонатора заполнено воздухом, условием конструктивной
интерференции будет выражение (2.1). В минимуме пропускания волну можно считать
«запертой» в интерферометре.
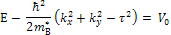
Для свободной частицы с эффективной массой m*,
движение которой в кристалле в направлении z ограничено непроницаемыми
барьерами (т.е. барьерами с бесконечной потенциальной энергией), разрешенные
значения волновых векторов kz блоховских волн имеют вид
zn= 2π/λn = nπ/L, n=1,2,3,… (2.2)
а энергия основного состояния по сравнению с
состоянием без ограничения возрастает на величину
∆E = ħ2k2z1/2
m* = ħ2π2/2 m*L2 (2.3)
Это увеличение энергии называется энергией размерного
квантования частицы. Энергия размерного квантования является следствием
принципа неопределенности в квантовой механике. Если частица ограничена в
пространстве в пределах расстояния L (вдоль направления z), неопределенность
z-компоненты ее импульса возрастает на величину порядка ħ/L.
Соответствующее увеличение кинетической энергии частицы дается тогда выражением
(2.3). Поэтому данный эффект часто называют квантовым размерным эффектом. Кроме
увеличения минимальной энергии частицы квантовый размерный эффект приводит также
к квантованию энергий ее возбужденных состояний.
Важно проводить различие между ограничением,
обусловленным барьерами, и локализацией вследствие рассеяния на примесях. В
полупроводниках свободные носители заряда рассеиваются на фононах и дефектах со
средним временем рассеяния ⧼τ⧽. Можно определить их среднюю длину
свободного пробега ⧼l⧽ как произведение средней скорости на ⧼τ⧽. Подобное рассеяние также может
уменьшить неопределенность в положении частицы и, следовательно, увеличить
неопределенность ее импульса. Последнее приводит к неопределенности в энергии
частицы на величину, задаваемую выражением (2.3) с L2≃ ⧼l2⧽. Этот эффект обычно связан с
дефектами или беспорядком в твердых телах и отличается от эффектов квантового
ограничения («конфайнмента»). Одним из способов провести различие между двумя
указанными случаями является исследование волнового вектора kz вдоль
направления ограничения. Волновой вектор частицы, движение которой происходит
без рассеяния, но ограничено квантовой ямой, дискретен, поскольку он
соответствует стоячей волне и дается выражением (2.2). Рассеяние на дефектах
приводит к нарушению фазы волны, так что ее амплитуда экспоненциально убывает в
пределах длины свободного пробега ⧼l⧽. Фурье-преобразование такой
затухающей волны показывает, что в рассматриваемом случае kz не
является дискретным, а имеет лоренцево распределение с шириной, равной 1/⧼l⧽. Тионг и др. предложили модель для
оценки ⧼l⧽ для фононов по сдвигу частоты и
уширению оптического фонона, локализованного на дефектах, введенных путем
ионной имплантации.
Большинство возбуждений имеют конечное время жизни.
Например, оптические фононы затухают вследствие взаимодействия с другими
фононами (посредством ангармонизма) или взаимодействия с дефектами. В
результате их энергии имеют мнимую часть, описываемую постоянной затухания Г.
Роль Г сводится к уширению энергетических уровней. Поэтому для возникновения
эффектов размерного квантования необходимо, чтобы энергия квантования была по
крайней мере равна Г. Это, как следует из (2.3), эквивалентно существованию
максимального размера L, при котором еще возможно наблюдение подобных эффектов.
Другими словами, если L слишком велико, то произойдет затухание возбуждения до
того, как оно достигнет барьера. Поскольку энергия размерного квантования обратно
пропорциональна m*, эти эффекты труднее наблюдать для тяжелых частиц.
Необходимо охладить образец до низких температур (для уменьшения Г), чтобы
иметь возможность фиксировать малые энергии квантования.
Квантовый размерный эффект не только изменяет энергии
возбуждений, но также модифицирует их плотность состояний (ПС). В общем случае
ее уменьшение приводит к «усилению» сингулярности в ПС в критической точке.
Например, при уменьшении размерности от трех в объемных образцах до двух в
квантовых ямах электронная ПС вблизи запрещенной зоны Еg меняет вид
от функции с порогом, зависящей от энергии фотона ħω
как (ħω
- Eg)1/2,
до функции в виде ступеньки. Поскольку вероятности переходов, вычисляемых с
помощью Золотого правила Ферми, зависят от плотности конечных состояний,
квантовый размерный эффект существенно влияет на динамику процессов рассеяния в
полупроводниковых приборах. Лазерные диоды, изготовленные на основе КЯ,
обладают большей эффективностью и меньшим пороговым током, чем соответствующие
объемные лазерные диоды. Предсказывается, что лазеры на квантовых точках
(нуль-размерные) должны иметь еще меньшие пороговые токи. Кроме того, их
частоты генерации будут значительно менее чувствительны к изменениям
температуры.
II.1 Квантовый размерный эффект электронов и дырок
Для иллюстрации квантового размерного эффекта
электронов в полупроводниках рассмотрим случай одиночной КЯ. Ее структура
представляет собой «сэндвич», состоящий из тонкого слоя (с толщиной L)
полупроводникового материала (обозначенного А) между двумя слоями другого
полупроводника В (с равными толщинами L'). Направление, перпендикулярное к этим
слоям, примем за ось z. Существуют более сложные структуры, состоящие из
периодически повторяющихся слоев типа В/А/В/А/В/А/В/А. . . (где L' >> L).
Такие структуры называются многократно повторяющимися квантовыми ямами или МКЯ.
Сверхрешетки и МКЯ имеют одинаковую структуру за исключением того, что в МКЯ
расстояние между ямами достаточно велико для того, чтобы исключить возможность
туннелирования электронов из одной ямы в другую. Ширина барьера L' в СР
достаточно мала для обеспечения электронам возможности туннелирования, так что
электроны «видят» чередующиеся слои как периодический потенциал, который
добавляется к потенциалу кристалла.
Предположим, что в одиночной КЯ ширина запрещенной
зоны ямы A (EgА) меньше, чем у барьеров В (EgB > EgА).
Вследствие такого различия в ширине запрещенных зон не происходит выравнивания
краев зон проводимости и валентных зон для А и В. Разность между их краями
называется разрывом зон. Разрыв зон создает потенциал, ответственный за
квантовое ограничение (конфайнмент) носителей только в одном слое, в результате
чего и возникает квантовый размерный эффект. Таким образом, знание величины
разрыва зон и его контроль играют решающую роль при изготовлении приборов с
квантовым размерным эффектом. В технике изготовления и контроле формы разрыва
зон достигнут большой прогресс. Например, в хорошо изученной системе GaAs(=
A)/GaAlAs(= В) толщина интерфейсов между А и В составляет всего один монослой,
что было показано с помощью просвечивающей электронной микроскопии высокого
разрешения (рис. II.1).
Рис. 2.1. Просвечивающая электронная микроскопия
высокого разрешения. На микрограмме показана сверхрешетка GaAs/AlAs для луча,
падающего в направлении [110].
Многочисленные сравнения экспериментальных результатов
и теоретических расчетов показали, что разрывы краев зон могут быть весьма
резкими. Последнее делает простую прямоугольную яму хорошим приближением для большинства
КЯ. В качестве способа характеризации разрыва зон Дингл и др. ввели множитель
Q, равный отношению между разрывом зон проводимости (∆Еc) и
разностью между шириной запрещенных зон (∆Eg). Например, было
найдено, что в технологически важных КЯ GaAs/GaAlAs и InGaAs/InP значения Q
равны 0,6 и 0,3 соответственно.
II.2 Полупроводниковые материалы для
квантовых ям и сверхрешеток
Несмотря на то, что прямоугольный потенциал в
квантовых ямах является не единственным из существующих в наноструктурах, он
тем не менее встречается наиболее часто. Получение резких интерфейсов
накладывает жесткие ограничения на условия роста, такие как чистота исходных
материалов, температура подложки и многие другие. Однако в конечном счете
качество интерфейса между двумя различными материалами А и В, называемого
гетеропереходом, определяется их химическими и физическими свойствами.
Возможно, наиболее важным из них является различие между постоянными решеток.
Если постоянные решеток равны, то всем атомам материала А легко подстроиться
относительно всех атомов В. Такое подстраивание решеток называется
псевдоморфным ростом и крайне желательно для достижения высокого качества
гетеропереходов. Существует всего несколько систем, у которых постоянные
решеток очень близки. На рис. II.2 приведена зависимость ширины запрещенной
зоны при низких температурах от постоянной решетки для ряда полупроводников со
структурой алмаза и цинковой обманки. Затененные вертикальные области
охватывают группы полупроводников с близкими постоянными решеток. Материалы в
пределах одной затененной области, но с разной шириной запрещенных зон, можно,
по крайней мере в принципе, использовать для получения гетеропереходов с
некоторой величиной разрыва зон. Возможности выбора величины разрыва зон можно
расширить посредством роста двойных (таких как SiGe), тройных (AlGaAs) и
четверных (GaInAsP) твердых растворов. Сплошные линии на рис. II.2, соединяющие
некоторые полупроводники, показывают, что эти материалы образуют стабильные
твердые растворы во всем диапазоне концентраций (например, InGaAs, GaAlAs и
InGaP). Руководствуясь приведенным рисунком, можно создавать гетеропереходы «на
заказ» с желаемой величиной разрыва зон или КЯ с заданной формой потенциала. В
этом заключается основная идея того, что Капассо назвал проектированием
запрещенной зоны.
В качестве примера проектирования запрещенной зоны
рассмотрим лазер с двойным гетеропереходом (ДГП-лазер). Полупроводниковый
лазерный диод, изначально изобретенный тремя группами исследователей независимо
друг от друга, основывался на переходе, образованном между GaAs p- и n-типа
(подобные переходы между одним и тем же материалом, но с разным легированием,
называются гомопереходами). Лазеры с двойным гетеропереходом нашли применение в
бытовой и офисной технике в качестве проигрывателей компакт-дисков, лазерных
принтеров и дисководов для CD-ROM в компьютерах.
Основная идея ДГП-лазера представлена на рис. II.3. На
рис. II.3а схематически изображена его структура. На рис. II.3б показана
диаграмма энергетических зон на участке двух гетеропереходов. Переход должен
находиться под первым спуском (разность потенциалов на диоде равна разности
энергий между уровнями Ферми по обе стороны перехода), чтобы инжектировать
электроны и дырки из AlGaAs в слой GaAs. На рисунке показано, каким образом электроны
и дырки замыкаются внутри области GaAs слоями AlGaAs с большей шириной
запрещенной зоны. Такое пространственное ограничение не позволяет носителям
диффундировать из области перехода и, следовательно, увеличивает вероятность их
рекомбинации за счет излучения. Достоинство идеи не сводится лишь к
пространственному ограничению носителей в активной области
Рис. II.3. Структура ДГП-лазера с двумя
гетеропереходами (а). Зависимость энергий края зоны от координаты х вдоль
направления роста (б). Зависимость коэффициента преломления от х (в).
Зависимость электрического поля, ограниченного, в основном, слоем GaAs, от х
(г)
Из рис. II.3 в видно, что коэффициенту преломления в
области переходов свойственна прерывистость. Коэффициент преломления GaAs
больше, чем у AlGaAs. Вследствие этого фотоны, входящие в переход под углами,
большими критического, испытывают полное внутреннее отражение. Таким образом,
ДГП AlGaAs/GaAs/AlGaAs образует также волнопровод, туннелирующий фотоны внутрь
слоя GaAs, где они способствуют возбуждению излучательной рекомбинации
инжектированных пар электрон-дырка. Усиление электромагнитной волны внутри ДГП
в электрическом поле показано на рис. II.3 г. Комбинированные воздействия ДГП
на электронные и оптические свойства диода существенно понижают плотность
порогового тока при работе лазера.
Равенство постоянных решеток не является необходимым
условием для псевдоморфного роста одного полупроводника (эпитаксиального слоя,
или эпислоя) на другом (подложке). Можно заставить эпислой иметь ту же
постоянную решетки, что и подложка, хотя в объемном состоянии они могут быть
различны. В результате возникает напряженный эпислой, который, однако, может
быть весьма совершенным в том, что касается остальных свойств. Вместе с тем
существует предельная толщина напряженного слоя, который можно вырастить,
сохранив совершенство решетки. Поскольку энергия напряжения возрастает с
увеличением толщины, то выше определенной толщины, называемой критической
толщиной слоя, эпислой может уменьшить свою полную энергию, ослабив напряжение
путем создания дислокаций рассогласования. Энергия дислокации пропорциональна
числу атомов в дислокации. Поскольку дислокации имеют тенденцию сначала
возникать около интерфейса, а затем распространяться по направлению к
поверхности, их энергия пропорциональна толщине слоя. Для очень тонких слоев
энергия напряжения может быть меньше энергии дислокации, и тогда эпислой растет
псевдоморфно, сохраняя совершенную решетку без дислокаций. В случае более
толстого слоя для создания дислокации рассогласования может потребоваться
меньше энергии, чем для создания напряжения во всей пленке. Поэтому пленки с
толщиной выше критической имеют дислокации, но в них отсутствуют напряжения.
Очевидно, что критическая толщина слоя для двух различных материалов зависит от
разницы их постоянных решетки. При условии, что слои в сверхрешетке будут
тоньше критической толщины, можно, в принципе, вырастить сверхрешетку с
напряженными слоями (СРНС) из любых двух полупроводников, независимо от их
постоянных решетки. Например, СРНС Si/Ge, в которой рассогласование решеток
составляет около 4%.
Если внутри запрещенной зоны одного из материалов,
образующих КЯ, имеются интерфейсные состояния, они могут привести к закреплению
(пиннингу) положения уровня Ферми, которое приведет к изгибу зон. Иногда он
является желательным или неизбежным (например, при легировании). В результате
этого теоретическое рассмотрение потенциала квантовой ямы усложняется.
II.3 Классификация многократно повторяющихся квантовых ям и
сверхрешеток
Со времени возникновения идеи выращивать СР и КЯ для
изготовления электронных приборов, стало обычным классифицировать эти структуры
в соответствии со схемами квантования энергий их электронов и дырок. На рис.
II.4 схематически представлены три сценария, которые могут осуществляться, если
даны два полупроводника А и В (EgВ > EgА), образующие
МКЯ В/А/В/А/В/А/В/А... Эти схемы квантования обычно обозначаются как тип I и
тип II. В МКЯ и СР типа I квантовое ограничение (конфайнмент) как электронов,
так и дырок происходит внутри одних и тех же слоев А (образующих яму). Энергии
этих частиц изображены штриховыми линиями. В системе GaAs/AlGaAs МКЯ типа I
образуются при условии, что толщина слоев GaAs больше 2нм или молярная доля Al
меньше, чем 0,3.
Многократно повторяющиеся квантовые ямы типа II могут
быть названы полупроводником с «пространственно непрямой запрещенной зоной». В
них конфайнмент электронов происходит в одном слое, а дырок - в другом. МКЯ или
СР типа IIА образуются из GaAs (А) и AlAs(B), если толщина слоев GaAs меньше
2нм. Вследствие малой ширины ямы энергия электронов в GaAs лежит выше минимума
зоны проводимости AlAs (расположенного в точке X зоны Бриллюэна), слабо
квантованного вследствие большой эффективной массы. В результате конфайнмент
электронов происходит в слоях AlAs, а конфайнмент дырок - по-прежнему в слоях
GaAs.
Многократно повторяющиеся квантовые ямы типа IIB ведут
себя как полупроводник с малой или нулевой шириной запрещенной зоны, поскольку
энергетическая щель между электронами в слое А и дырками в слое В очень мала
или вообще отсутствует. Примером типа ПВ является сверхрешетка InAs/GaSb.
Сверхрешетка образованная обычным полупроводником и полупроводником с нулевой
запрещенной зоной относится к типу III. Наконец, МКЯ и СР могут быть образованы
из двух одинаковых полупроводников, но с различным типом легирования.
Сверхрешетка со слоями А n-типа и слоями В р-типа называется сверхрешеткой
легирования (или nipi-структурой, где i обозначает слой собственного
полупроводника (intrinsic) между слоями п- и р-типа).
Рассмотрим электрон в КЯ типа I, образованной двумя
полупроводниками с похожими параболическими зонами проводимости. Кроме того,
предположим, что направление роста (ось z) параллельно одной из главных осей
тензора эффективной массы в обоих материалах. Энергии и волновые функции
электрона могут быть вычислены в приближении эффективной массы, если ширина ямы
много больше толщины одного монослоя. Обозначим функции Ванье и огибающие
функции внутри ямы через аnA и CnA, а соответствующие
функции в барьере - через аnB и CnB. Рассматриваемое
приближение часто называют приближением огибающих функций. Волновую функцию
электрона в КЯ можно представить в виде
-1/2∑CnA (Ri)
anA (r - Ri) при - L/2 ≤ z ≤ L/2,
Ψ(r) = (II.5)
N-1/2∑CnB (Ri) anB (r -
Ri) при z > L/2 или z <−L/2,
Уравнения движения для огибающих функций также
различны внутри и вне ямы.
Для изотропных эффективных масс (m*A и m*B
для ям и барьеров соответственно) эти уравнения имеют вид
A (R) ≈ [E - EcA] CA(R) при
−L/2 ≤ z ≤ L/2 (II.6а)
CB (R) ≈ [E - EcA] CB(R)
при z > L/2 или z <−L/2/, (1.6б)
где Еса - край зоны проводимости в яме (без
ограничения общности он будет принят равным нулю).
Поскольку потенциал ямы зависит только от z, можно
разделить (II.6 а) и (II.6б) на два уравнения, из которых одно будет зависеть
только от z, а другое - только от x и у. После этого можно выразить волновые
функции С (А или В) (x, y, z) в виде произведения решений этих двух
уравнений:
C(A или B) (x, y, z) = 𝜙(A или B) (x, y) 𝜓(A или В) (z). (II.7a)
Выражение для 𝜙(A или B) (x, y) является уравнением для
свободной частицы, и поэтому его решения представляют собой плоские волны вида
𝜙(A или B) (x, y) ∝ exp [
i
(kxx + kyy)] (II.7б)
где
кх и ку - компоненты блоховских волновых векторов,
параллельных плоскости ямы. Поскольку в плоскости ху сохраняется трансляционная
инвариантность, все теоремы, касающиеся сохранения к и полученные для объемных
кристаллов, применимы к кх и ку, но не применимы к
z-компоненте.
Отметим,
что масса изменяется от значения тА* внутри ямы до
значения m*В вне ее. Однако из граничного условия о
непрерывности волновых функций по обе стороны интерфейса следует, что как кх,
так и ку должны быть одними и теми же внутри и вне ямы. Уравнения
для 𝜓(A или В) (z)имеют
вид :
при
- L/2 ≤ z ≤ L/2 (II.8а)
при z > L/2 или z < - L/2. (II.8б)
За исключением того, что массы mА* и
m*В могут различаться, выражения (II.8) при кх
= ку = 0 идентичны случаю частицы, находящейся в одномерной
прямоугольной яме.
В общем случае (II.8) имеет два типа решений. Если Е -
[ℏ2/(2 m*В )]( kx2
+k2y) > Vo, то решения являются плоскими
волнами с непрерывным спектром энергий. Частица обладает достаточной
кинетической энергией для преодоления барьера и поэтому не испытывает
конфайнмента в яме. И если Е - [ℏ2/(2 тА*)](kx2
+k2y ) < V0, то решения (1.8 6) являются
экспоненциальными функциями вида
(II.9а)
где 𝜏 - положительное реальное число,
которое находится из уравнения
(II.10)
Из условия конечности 𝜓B(z) при z = ± ∞ следует
𝛼1e𝜏z при z <- L/2
𝜓B(z) = (II.9б)
𝛼2e-𝜏z при z > L/2
Волновая функция 𝜙B(x, y) 𝜓В(z) описывает волну, распространяющуюся параллельно
яме, но экспоненциально затухающую в барьерах по мере удаления от интерфейсов.
Такие волны называются затухающими волнами. Их волновой
вектор имеет мнимую z - компоненту, равную ±i𝜏.
Внутри ямы решения (1.8 а) могут быть представлены в
виде линейной комбинации симметризованных волновых функций (по отношению к
отражению в плоскости z = 0), таких как косинус (симметричная функция) и синус
(антисимметричная функция):
𝜓A(z) = 𝛽1cos (kz z) или 𝛽2sin (kz z) для - L/2 < z < L/2
(II.9в)
В рассматриваемом случае разрешенные значения Е имеют
дискретный характер. Эти решения, описывающие связанные состояния, (т.е. четыре
коэффициента 𝛼1,
𝛼2 , 𝛽1 и 𝛽2) определяются путем наложения обычного требования:
волновые функции и их первые производные должны быть непрерывны при пересечении
двух интерфейсов КЯ. Обычно не существует аналитического выражения для
собственных значений, за исключением случая, когда V0 - бесконечная
величина. Тогда частица полностью заперта внутри ямы (и поэтому значения m*В
не существенны), а значения kz даются классическими выражениями для
стоячих волн:
kz = n𝜋/L, где n=1, 2, 3… (II.11)
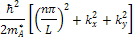
Соответствующие энергии имеют вид
En (kx, ky)= , n= 1,2,3… (II.12a)
При кх = ку = 0 уровни энергии
равны (II.12б)
Рис. II.5.
На рис. II.5 показаны уровни энергии электронов в КЯ с бесконечными
барьерами. Эти энергетические зоны, квантованные в двух измерениях, называют
подзонами, чтобы отличать их от электронных энергетических зон соответствующего
объемного кристалла А.
При конечном значении V0 энергии подзон не
могут быть выражены аналитически. Их можно определить или графически, или
посредством численных расчетов с помощью компьютера. При m*А ≠
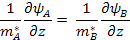
m*В условие непрерывности для производных 𝜕𝜓А(z)/𝜕z и 𝜕𝜓В(z)/𝜕z следует преобразовать в так
называемое граничное условие Бастарда:
при z = ± L/2 (II.13)
Оно обеспечивает непрерывность потока частиц через интерфейс между А и В.
На рис. II.6 показана зависимость вычисленных энергий
связанных состояний электрона (для кх = ку = 0) от ширины
L ямы в КЯ Ga0,47In0,53As - Al0,48In0,52As.
Глубина ямы V0 = 0,5 эВ. Число связанных состояний внутри ямы
уменьшается по мере уменьшения L. Для L < 30 А существует только одно
связанное состояние. Непрерывные, или «несвязанные», решения модифицируются
потенциалом ямы и отличаются от соответствующих состояний в объемных
кристаллах.
Рис. II.6.
Раздел
III. Электрический транспорт: резонансное туннелирование
Туннелирование частицы сквозь барьер является одним из наиболее изученных
явлений в квантовой механике. Туннелирование играет важную роль во многих
полупроводниковых приборах. В частности, туннельный диод, или диод Есаки, изобретенный
Есаки в 1958 г., использует туннелирование через сильно легированный
(вырожденный) переход в германии с прямым смещением. Важной характеристикой
диода Есаки является отрицательное дифференциальное сопротивление (ОДС), что
делает возможным его применение в качестве осциллятора высокой частоты.
Свойства первоначального диода Есаки в основном определялись (и лимитировались)
зонной структурой объемного полупроводника. В 1973 г. Тсу и Есаки выдвинули
идею о том, что ОДС может быть достигнуто в сверхрешетке. Однако прошло более
десяти лет, прежде чем удалось изготовить образцы с квантовыми ямами высокого
качества, в которых наблюдался эффект ОДС. Даже в этом случае образцы
представляли собой скорее квантовые ямы, а не сверхрешетки. Сообщение об ОДС в CP
GaAs/AlAs появилось несколько лет спустя. Со времени этой пионерской работы ОДС
наблюдалось во многих структурах с КЯ и СР. Рассмотрим простейшую структуру,
состоящую из КЯ между двумя барьерами, которую часто называют квантовой
ямой с двойным барьером.
III.1 Резонансное туннелирование через квантовую яму с
двойным барьером
На рис. III.1 а схематически представлена структура с квантовой
ямой и двойным барьером в направлении роста (ось z). В данном случае КЯ
состоит из слабо легированного GaAs (с концентрацией носителей ND2),
окруженного двумя нелегированными барьерами GaAlAs. Предполагается, что высота
барьеров и ширина ямы (W2) таковы, что в яме образуется только один
уровень (Е1). Эта трехслойная структура помещена между двумя слоями
GaAs с сильным легированием n-типа для создания электрических контактов (ЕF
- уровень Ферми). Прибор, изображенный на рис. III.1 а, является прибором
n-типа, хотя могут быть созданы подобные туннельные приборы и р-типа. На
рисунках III.1 б и III.1 в показаны схемы зон при приложении к прибору
напряжения смещения. При приложении поля электроны могут туннелировать из слоя
GaAs слева (эмиттер) в слой справа (коллектор). Рассуждая на
качественном уровне, мы ожидаем, что туннельный ток вначале окажется мал, но
будет возрастать при увеличении приложенного напряжения. Это схематически
показано на рис. III.1 г вблизи начала координат. Когда напряжение
смещения достигает величины 2Е1/е, ЕF в эмиттере попадает
в резонанс с подзоной Е1 в яме (рис. III.1 6). (Последнее
утверждение справедливо только при одинаковой ширине обоих барьеров.) Тогда
электроны, протуннелировавшие в яму, могут, в принципе, быть захвачены в ней, а
затем освободиться, протуннелировав через второй барьер. При этом напряжении
туннельный ток сильно возрастает. Описанное явление называется резонансным
туннелированием. Когда напряжение превышает 2E1/ e (рис. III.1 е),
туннельный ток резко падает, создавая область с отрицательным дифференциальным
сопротивлением (рис. III.1 г).
Рис. III.1. Пространственное изменение энергии электрона в состоящем из
КЯ с двойным барьером резонансном туннельном приборе GaAs/GaAI As/GaAs/GaAl
As/GaAs при трех напряжениях смещения: а) нулевое смещение, б) напряжение
смещения Vb = 2Е1/е и в) Vb > 2E1/e,
где Е1 - энергия электронной подзоны внутри КЯ GaAs; г)
схематические I-V характеристики прибора a, на которых видна область ОДС для
напряжения смещения чуть выше 2E1/e
Зависимость туннельного тока от напряжения смещения в квантовой яме с
двойным барьером можно вычислить с помощью следующей приближенной процедуры.
Для простоты предположим, что эмиттер, яма и коллектор сделаны из одного
материала (такого как GaAs на рис. III.1), а электроны ведут себя как свободные
носители с изотропной эффективной массой m*A. Электрон с
волновым вектором k в эмиттере будет туннелировать через барьеры в коллектор
без рассеяния, т.е. без потери энергии и изменения волнового вектора в
плоскости структуры (отметим, что волновой вектор вдоль направления роста z
не сохраняется, поскольку структура не обладает трансляционной инвариантностью
в этом направлении). Пренебрежем кулоновским взаимодействием между электронами,
которое создает «потенциал изображения», действующий на туннелирующий электрон.
Пренебрежем также изгибом зон, возникающим на интерфейсах между эмиттером
(коллектором) и барьером вследствие потенциала смещения (это предполагается на
рисунках III.1 б и III.1 в). Сделанные упрощения позволяют свести трехмерную
задачу к одномерной. Пусть, как и на рис. III.1, г - направление роста.
Поскольку потенциал V (z) (являющийся функцией напряжения смещения Vb),
который «видит» туннелирующий электрон на рис. III.1, зависит только от z,
уравнение Шрёдингера можно разделить на два уравнения, представив волновую
функцию в виде произведения двух функций, как в (9.7 а). Решения в направлениях
х и у являются плоскими волнами, как в (9.76), и далее
рассматриваться не будут. Собственные значения для этих решений даются
выражениями Еx,y = [ħ2 / (2 m*A )](kx2
+ ky2). Уравнение Шрёдингера для движения вдоль z имеет
вид
[ - ħ2d2/2m*Adz2
+ V(z) ] 𝜓A(z)
= Ez𝜓A(z) для z вне барьеров (III.1а)
и [ - ħ2d2/2m*Bdz2
+ V(z) ] 𝜓B(z)
= Ez𝜓B(z) для z внутри барьеров, (III.1б)
где m*B - эффективная масса электрона внутри
барьеров, предполагаемая изотропной. Полная энергия туннелирующего электрона Е
= Еx,y + Ez. За исключением того факта, что масса
электрона внутри и вне барьеров различна, выражения (III.1а) соответствуют
хорошо известной задаче об одномерном туннелировании. Вместо того, чтобы
повторять вычисления, мы просто опишем ниже эту процедуру.
Нас интересует только случай, когда энергия электрона Ez
меньше, чем высота каждого из барьеров даже при положительном смещении. При
таких обстоятельствах волновал функция электрона может быть представлена в виде
суммы падающей и отраженной плоских волн в области эмиттера и ямы. Внутри
барьеров волновые функции имеют чисто мнимый волновой вектор, т.е. являются
экспоненциальными. В области коллектора волновая функция является плоской
волной, распространяющейся только направо, поскольку предполагается, что эта
область простирается направо до бесконечности, и поэтому отраженной волны нет.
На интерфейсе накладывается обычное граничное условие непрерывности волновой
функции и ее первой производной по z, т.е. (II.13). При этих условиях
коэффициенты падающей и отраженной волновых функций в одной области связаны с
коэффициентами в соседних областях посредством матрицы 2x2, которая называется
матрицей переноса.
В качестве примера предположим, что потенциал можно разделить на n + 1
областей, которые мы определим как z = [- ∞, z1 ],[z1,z2],…,[zn,∞],
а также что внутри каждой области i потенциал Vi можно считать
постоянным. Эмиттер и коллектор соответствуют областям 1 и n + 1. В реальных
ситуациях, если потенциал не является постоянным внутри какой-то области,
следует делить эту область на меньшие до тех пор, пока потенциал не станет
приближенно постоянным внутри каждой из них. Пусть Ai и Bi
- амплитуды волн, распространяющихся направо и налево, соответственно, внутри
области i. Обозначим обобщенный волновой вектор в области i как ki:
ħ2k2/2m*i =
Ez - Vi (III.2)
где т*i - масса электрона в области i. Из (III.2) ясно, что ki
, будет или не будет мнимым числом в зависимости от того, является ли область
i барьером (Vi > Ez) или нет. Если ki
- мнимый, то волна затухает. Коэффициенты (A1, B1) и (Аn+1,
Вn+1 ) в областях эмиттера и коллектора, соответственно, связаны
соотношением:
(III.3)
где элементы матриц переноса Мр(α,β)
(α,β = 1 или
2) выражаются следующим образом:



(III.4a)
(III.4в)
На
основании этих результатов можно вычислить коэффициент пропускания для
электрона с энергией
Еz:
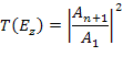
Рис.III.2.
Расчетная энергетическая зависимость коэффициента пропускания электрона через
структуру с двойным барьером при нулевом смещении (сплошная кривая) и при
смещении 0,1 эВ (штриховая кривая). Ширина барьера и ямы равны 26 и 50 А
соответственно. Высота барьеров относительно дна ямы - 1,2 эВ
На
рис. III.2 приведена зависимость T(EZ) для электрона,
туннелирующего через структуру с двойным барьером высотой 1,2 В, при нулевом
смещении и при смещении 0,1В. Обратите внимание на то, что при приложенном
смещении потенциал не является постоянным внутри барьеров (см. рисунки III.1 б
и III.1 в). Как уже отмечалось выше, метод матриц переноса все еще можно
применять приближенно, представляя медленно меняющийся потенциал в виде
нескольких постоянных ступенек потенциала. При нулевом смещении коэффициент
пропускания достигает единицы при значениях Ez, равных 0,25 и
0,83 эВ. При этих энергиях электрона происходит резонансное туннелирование. В
случае отличного от нуля смещения коэффициент пропускания не равен единице даже
в условиях резонансного туннелирования.
III.2 Вольт-амперные характеристики приборов с резонансным
туннелированием.
В эксперименте не измеряют непосредственно вероятность туннелирования T(EZ).
Вместо этого обычно измеряют зависимость туннельного тока от напряжения
смещения (так называемые вольт-амперные (I - V) характеристики прибора с
резонансным туннелированием). Однако если зависимость T(EZ)
известна, то можно вычислить полный туннельный ток I, суммируя вероятность
туннелирования по распределению электронов в эмиттере с помощью следующего
выражения:

𝜕E/𝜕kz
где
е - абсолютное значение заряда электрона, f(E) - вероятность заполнения
для электронов в области эмиттера (которая при равновесных условиях является
функцией распределения Ферми-Дирака), a f(E') - аналогичная вероятность
заполнения в области коллектора.
Член
[f(E) - f(E')] описывает туннелирование электрона из заполненного состояния в
пустое. В предположении, что рассеяния не происходит, энергия электрона в
области коллектора Е' связана с энергией в области эмиттера как
'
= E + eVb. (III.7)
Мы
предполагали, что напряжение смещения Vb, положительно. В случае
отрицательного смещения роли эмиттера и коллектора меняются местами.
Рис. III.3. Зависимость тока (а) и зависимость проводимости (б) от
напряжения для трех различных температур: 1 - 25 К, 2 - 230 К, 3 - 290 К.
Результаты получены для КЯ с двойным барьером; W1 = W2= W3
= 50 A, ND1 = ND3 = 1018 см-3,
концентрация внутри ямы в объемном эквиваленте ND2 = 1018
см-3
На рис. III.3 приведены I-V характеристики и проводимость dI/dV
резонансного туннельного диода, изготовленного Соллнером и др. и изображенного
на рис. III.1 a. Предполагается, что барьеры Ga0,75Al0,25As
не легированы и являются полуизолирующими вследствие компенсации остаточных
мелких доноров другими дефектами, расположенными вблизи середины запрещенной
зоны. Только на кривой, относящейся к 25 К, ясно видна область ОДС. При
комнатной температуре есть намек на область ОДС на кривой проводимости при
обратном смещении. Вольт-амперная характеристика не является полностью
симметричной по отношению к нулевому смещению, хотя она должна была бы быть
таковой, если бы не было изгиба зон. Несмотря на то, что приведенная выше
теория качественно объясняет экспериментальные результаты, показанные на рис.
III.3, получить хорошее количественное согласие значительно сложнее.
Одним из экспериментальных параметров, играющих важную роль в применениях
прибора, является так называемое отношение пикового тока к току в
долине. Оно определяется как отношение тока при резонансной энергии,
соответствующей пику туннелирования, к току в минимуме (или долине), прежде,
чем он снова начинает возрастать при увеличении напряжения. Для прибора на рис.
III.3 это отношение при 25 К равно примерно 6 при отрицательном смещении и 4 -
при положительном. Его величина определяется рассеянием туннеллирующих
электронов внутри ямы на фононах, шероховатостях интерфейсов и других дефектах.
Важность рассеяния на фононах иллюстрируется на рис. III.3 быстрым уменьшением
отношения пик-долина при возрастании температуры. Рассеяние на шероховатостях
интерфейса делает несправедливым ранее введенное предположение об одномерности.
Его влияние на резонансные туннельные приборы, изготовленные из GaAs/GaAlAs,
недавно моделировалось с помощью численных расчетов. Гораздо большее отношение
пик-долина было достигнуто у резонансных туннельных приборов, основанных на
других материалах. Например, на рис. III.4 показан прибор, состоящий из In0,53Ga0,47As
(эмиттер и коллектор), AlAs (барьеры) и InAs (яма). В этом приборе отношение
токов «пик-долина» равно 30 при комнатной температуре и достигает 63 при 77 К
(рис. III.5).
Рис. III.4. а) Схематическое поперечное сечение структуры с псевдоморфным
In-GaAs/AlAs/InAs резонансным туннельным диодом, выращенным на подложке из InP;
Т = 77 К б) зависимость энергии электрона от его положения вдоль направления,
перпендикулярного слоям структуры, приведенной в а; Т = 300 К
Рис. III.5.
Вольт-амперные характеристики псевдоморфного In-GaAs/AlAs/InAs
резонансного туннельного диода 30 х 30 (мкм)2, показанного на рис.
III.4, измеренные при а) 77 К и б) 300 КЗАДАЧА. Прямоугольная потенциальная яма
Найти связанные решения и соответствующие им собственные значения в
случае прямоугольной ямы
U, ∣x∣< a,(x) =
, ∣x∣>a.
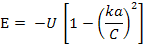
Решение. Рассмотрим случай отрицательных энергий, соответствующих
связанным состояниям. Потенциал инвариантен по отношению к инверсии V (x) =
V(-x), так что решения обязаны быть либо четными, либо нечетными. Положив
можно записать эти решения в следующем виде:
четные
+ cos kx, 0 ≤ x ≤ a,
u + (x) =+ cos kae𝜘(a- 𝜘), x > a
u + (- x) = u + (x),
нечетные
- sin kx, 0 ≤ x ≤ a,- (x) =- sin
kae𝜘(a- 𝜘), x > a
u - (- x) = - u - (x),
Выше амплитуды внутри и вне потенциальной ямы были выбраны таким образом,
чтобы функция U(x) оставалась непрерывной в точке x=a. Нормировочная постоянная
была определена из условия
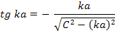
Требование непрерывности u’ в точке x = a дает еще условие:
четные
- k sin ka = -


cos ka,ka = 
/k;
нечетные
k cos ka = -


sin ka,
сtg ka = - 
/k.
С
помощью соотношений и упростить выражения для нормировочных постоянных, получая
в обоих случаях одно и то же равенство:
Чтобы
из уравнения можно было найти собственные значения, заменим в правых частях
этих уравнений величину χ
в соответствии с выражением и введем
обозначение
=
k0 a
В
результате получим
четные
нечетные
При
данном потенциале величина С является постоянной, зависящей лишь от размеров
ямы (С2~ Ua2)и уравнения и дают возможность определить
все значения ka, а тем самым и все значения энергии
реализующиеся
в яме данных размеров.
На
фиг.1 tg ka, а также правые части уравнений и показаны как функции переменной
ka. Собственные значения находятся как абсциссы точек пересечения двух
последних кривых с тангенсоидой. Упомянутые кривые, разумеется зависят от
параметра С, определяемого размерами ямы. Начав, например, со значения С=1, мы
получаем одну точку пересечения, обозначенную буквой α, в четном случае и вообще не получаем ни одного
пересечения в нечетном случае. Следовательно, в яме такого размера имеется не
более одного связанного состояния с положительной четностью. Эта яма с
соответствующим уровнем показана на фиг.2,а. Для ямы больших размеров, С=1,5,
кривые на фиг.2 пересекаются в точке β; по-прежнему имеется только одно состояние с положительной четностью
(фиг.2,б), причем Eβ < Eα, поскольку (ka)β>(ka)α. Если еще увеличить размер ямы, взяв, например, С=2,
то пересечение в точке γ
даст еще более низкое состояние с
положительной четностью (Eγ Eβ), но, кроме того, к нему добавиться состояние с
отрицательной четностью, соответствующее пересечению в точке α’ (фиг.2,в).
С дальнейшим увеличением размеров ямы ее «вместимость» возрастает (фиг.2, г-е):
число связанных состояний растет с положительной и отрицательной четностью. Что
касается собственных функций, то они следуют общему правилу: чем больше у них
нулей, тем выше их положение на шкале энергий. Волновые функции четырех низших
состояний показаны для случая С=5 на фиг.3.
В
классической механике частица могла бы колебаться между стенками (точки x= ±
a), ограничивающими яму, при любом значении энергии. Вне ямы ее кинетическая
энергия была бы отрицательна, поэтому область вне ямы классически не достижима.
В
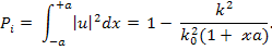
квантовой механике мы не имеем такого жестокого ограничения. Вероятность Pi
обнаружить частицу внутри ямы оказывается меньше единицы:
Таким
образом, имеется конечная вероятность того, что частица находиться снаружи. Для
всякого конечного интервала вне ямы вероятность убывает экспоненциально, как

, по мере
увеличения расстояния 
между
частицей и ямой.
Заключение
В ходе выполнения курсовой работы были реализованы поставленные задачи, а
именно:
ü рассмотрен такой класс веществ, как полупроводники,
ü определена сущность квантового размерного эффекта в
полупроводниках, которая состоит в изменении энергий возбуждения, а также в
модификации их плотности состояний,
ü проиллюстрирован квантовый размерный эффект электронов и
дырок,
ü схематически рассмотрено резонансное туннелирование через
квантовую яму с двойным барьером,
ü изучены вольт-амперные характеристики приборов с резонансным
туннелированием,
Появление полупроводниковых материалов, которые оказываются более
чистыми, принадлежат к иному классу или имеют искусственно созданную структуру,
часто приводит и к открытиям новых явлений, а также к новым применениям.
Прекрасным примером является изготовление синтетических слоистых структур,
например, квантовых ям и сверхрешеток. Хотя первоначально эти структуры были
предложены для применения в электронных приборах, позже их значение оказалось
намного шире всего, что можно было вообразить. Они стали толчком,
способствовавшим развитию многочисленных новых областей, не связанных с физикой
полупроводников и электронными приборами, таких как материаловедение, физик
поверхностей, молекулярные физика и химия. Учитывая тот факт, что многие новые
методы роста и изготовления полупроводников изучаются и совершенствуются в
ведущих лабораториях мира, можно уверенно предсказать, что физика
полупроводников не достигла насыщения и продолжает быстро развиваться.
Список литературы
1. Ю П.,
Кардона М. Основы физики полупроводников / Пер. с англ. И.И. Решиной. Под ред.
Б.П.Захарчени. - 3-е изд.- М.: ФИЗМАТЛИТ,2002.- 560 с.