Магнетизм электронного газа
МИНИСТЕРСТВО
ОБРАЗОВАНИЯ И НАУКИ РОССИЙСКОЙ ФЕДЕРАЦИИ
ФГАОУ
ВПО "СЕВЕРО-КАВКАЗСКИЙ ФЕДЕРАЛЬНЫЙ УНИВЕРСИТЕТ"
ИНСТИТУТ
ЕСТЕСТВЕННЫХ НАУК
КАФЕДРА
ОБЩЕЙ ФИЗИКИ
КУРСОВАЯ
РАБОТА
по
дисциплине "Термодинамика, статистическая физика, физика конденсированного
состояния, физическая кинетика"
на
тему:"Магнетизм электронного газа"
Выполнил:
Доманов
Андрей Вячеславович
студент
4 курса
группы
Ф101-А1
Ставрополь,
2013 г.
Содержание
Введение
Глава 1. Магнетизм коллективизированных электронов
.1 Статистика электронного газа
.2 Парамагнитизм коллективизированных электронов
.3 Ферромагнетизм в системе коллективизированных электронов
.4 Явление магнитной нестабильности в магнетиках с
коллективизированными электронами
.5 Диамагнетизм электронного газа (Диамагнетизм Ландау)
.6 Невырожденные и вырожденные коллективы
1.7 Классическая и квантовые
статистики
.8 Влияние температуры на
распределение Ферми-Дирака
.9 Снятие вырождения. Невырожденный
электронный газ
Глава 2. Парамагнитный газ в магнитном поле
.1 Магнетизм электронного газа
Заключение
Список литературы
Введение
В данной курсовой работе будет подробно рассказано о магнитных свойствах металлов и сплавов, в
которых ответственные за магнетизм электроны коллективизированы и их можно
рассматривать как электронный газ. Показано, что особенности магнитного
поведения таких магнетиков обусловлены квантовыми характеристиками газа
коллективизированных электронов.
На протяжении ряда десятилетий повышение
функциональной сложности и быстродействия электронных систем достигалось
увеличением плотности размещения и уменьшением размеров элементов. При переходе
к размерам элементов порядка десятков нанометров возникает новая ситуация,
состоящая в том, что квантовые эффекты (размерное квантование, туннелирование,
интерференционные эффекты) оказывают главное влияние на физические процессы в
наноструктурах и функционирование приборов на их основе.
Разработка наноструктурированных материалов с
заданными свойствами, предназначенных для применения в современной электронике,
требует анализа свойств, основных физических процессов, присущих объектам
нанометровой геометрии и системам пониженной размерности.
1. Магнетизм
коллективизированных электронов
Магнитные свойства твердых тел
определяются главным образом магнитными моментами содержащихся в них
электронов. В твердых телах электроны могут находиться в двух различных
состояниях. В непроводящих веществах (диэлектриках) все электроны локализованы
на соответствующих атомах. В металлах, сплавах, интерметаллических соединениях
и т.д. наряду с локализованными электронами имеются электроны, которые
отрываются от атомов (ионов) и коллективизируются. Эти электроны легко
двигаются в кристаллической решетке, обусловливая высокую проводимость.
Можно представить металл как решетку
из ионов, омываемую газом коллективизированных электронов (электронов
проводимости). В простейшей модели свободных электронов (ее называют моделью
Друде-Лоренца) можно не учитывать взаимодействия электронов друг с другом, так
как в первом приближении силы отталкивания между электронами компенсируются в
среднем силами притяжения между электронами и ионами, и рассматривать газ
свободных электронов как газ невзаимодействующих частиц.
Магнитные свойства электронного газа
обусловлены тем, что электрон обладает собственным магнитным моментом me
, связанным, как это следует из квантовой механики, собственным спиновым
механическим моментом электрона Se соотношением
Так как спин электрона
, g-фактор электрона ge
= 2, то магнитный момент электрона 
.
Первоначально
предпринимались попытки для описания магнитных свойств металлов представлять
электронный газ как классический газ магнитных стрелок (магнитных диполей).
Однако экспериментальные данные показывают, что такой подход не является
верным. Так, например, П. Ланжевен, рассматривая газ невзаимодействующих
магнитных диполей, получил для магнитной восприимчивости такого парамагнетика
закон Кюри.
Восприимчивость
классического парамагнетика меняется с температурой по гиперболическому закону,
что хорошо согласуется с экспериментальными данными для многих непроводящих
парамагнетиков.
В то же время магнитная
восприимчивость большинства металлов и сплавов почти не зависит от температуры.
Эти особенности магнитных свойств металлов были объяснены в 1928 году
швейцарским ученым В. Паули, который показал, что электронный газ нельзя
рассматривать в классическом приближении, а необходимо учитывать, что электроны
являются квантовыми объектами и подчиняются квантовой статистике Э. Ферми,
отличающейся от классической статистики Л. Больцмана.
1.1 Статистика
электронного газа
Квантовый характер
электрона, и в частности наличие у него спинового механического момента,
приводит к тому, что для электронного газа должен выполняться принцип Паули,
согласно которому в квантовой системе, состоящей из частиц с полуцелыми спинами
(именно такими являются электроны), в каждом энергетическом квантовом состоянии
может находиться не более двух частиц (в нашем случае электронов) с
противоположно направленными спинами. Таким образом, в системе из N электронов
в металле даже при 0 K, когда тепловые возмущения отсутствуют, заняты N /2
низших энергетических уровней от наинизшего уровня с нулевой энергией до уровня
с энергией Ферми (этот уровень носит название уровня Ферми), на каждом из
которых находятся два электрона с противоположными спинами. Этим квантовый газ
коренным образом отличается от классического газа, в котором при T = 0 K все
частицы находятся в наинизшем энергетическом состоянии с нулевой энергией.
Для того чтобы
определить распределение электронов по энергиям, воспользуемся соотношением для
связи кинетической энергии электрона с его скоростью u и импульсом p, которые
имеют одинаковый вид в классической и квантовой механике.
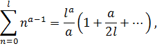
К разным уровням энергии
электронов необходимо отнести те уровни, энергетическое расстояние между
которыми удовлетворяет квантовомеханическому принципу неопределенности,
согласно которому состояние квантовых частиц можно различить, только если
произведение разности их координат Dx, Dy, Dz
на их импульсы Dpx , Dpy , Dpz не меньше
постоянной Планка h.
Так как мы интересуемся
только импульсами электронов, а не их положением в объеме металла V, то для
плотности квантовых энергетических состояний n (числа состояний, приходящихся
на единичный интервал энергии) получится соотношение:

При повышении температуры
уровень Ферми размывается, так как из-за термических возбуждений заполняются
электронные состояния, лежащие выше уровня Ферми.
Плотность электронов в
металле 
≈ 1022-1023 см- 3,
откуда, учитывая, что масса электрона me = 9,1091* 10- 28
г, а постоянная Планка h = 6,62056 * 10- 27 эрг * с,
находим EF ≈
10-13-10-14 эрг. Если сравнить эту
величину с тепловой энергией Eт
= kБT, получаем, что энергия Ферми соответствует температуре (ее называют
температурой Ферми TF) 104-105 K. При
температуре порядка TF возникает значительное
количество термически возбужденных электронов, которые описываются классической
статистикой Больцмана.
Таким образом, из
приведенных оценок видно, что квантовый характер поведения электронного газа
сохраняется до весьма высоких температур. Отметим, что рассмотренная выше
картина остается принципиально такой же, если учесть взаимодействие
коллективизированных электронов с ионным остовом кристаллической решетки, то есть
отказаться от приближения свободных электронов. Более сложной становится только
зависимость плотности электронных состояний от энергии.
.2 Парамагнетизм
коллективизированных электронов
До сих пор
анализировались свойства электронного газа в нулевом магнитном поле. Рассмотрим
поведение коллективизированных электронов при H≠0. При этом
необходимо учитывать, что на каждом энергетическом уровне находятся два
электрона с противоположно ориентированными спинами: по полю (отмечается знаком
+) и против поля (отмечается знаком-). В поле энергии этих электронов
различаются из-за вклада энергии взаимодействия магнитного момента электрона с
магнитным полем (зеемановская энергия)
Таким образом,
энергетическая зона в поле разбивается на две подзоны с разной энергией. Энергия
электронов со спином по полю ( + ) уменьшается, а энергия электронов со спином
против поля ( - ) возрастает и часть электронов из энергетически невыгодной
подзоны ( - ) перейдет выгодную ( + ). Таким образом, в магнитном поле число
электронов N+ со спином по полю больше, чем число электронов N- со спином
против поля, и в поле возникает магнитный момент Mp,
определяемый разностью числа электронов в различных подзонах:
В слабых полях
расщепление подзон невелико, и можно приближенно считать, что изменение числа
электронов в подзонах равно 
.
Выше отмечалось, что
магнитная восприимчивость металлов в первом приближении не зависит от
температуры. Физически этот результат обусловлен тем, что магнитный момент
электронного газа создают только высокоэнергетические электроны, лежащие вблизи
уровня Ферми, а так как энергия Ферми высока (температура Ферми TF
равна 104-105 ), термические возбуждения слабо влияют на
поведение системы электронов проводимости.
До сих пор рассматривали
коллективизированные электроны как газ свободных электронов и не учитывали
взаимодействие между ними. Однако электроны являются заряженными частицами, и
между ними существует электростатическое взаимодействие. В квантовой механике
показывается, что в это взаимодействие наряду с классической кулоновской
энергией дает вклад так называемая обменная энергия, зависящая от взаимной
ориентации спинов электронов друг относительно друга.
Если коэффициент
обменного взаимодействия I
положителен, то, обменное взаимодействие стремится ориентировать спины (а
следовательно, и магнитные моменты) электронов параллельно друг другу. В
результате обменное взаимодействие ведет к усилению парамагнетизма. Как
показывают расчеты, магнитная восприимчивость обменно усиленного парамагнетика
возрастает по сравнению с восприимчивостью свободного электронного газа.
1.3 Ферромагнетизм в
системе коллективизированных электронов
Выше указывалось, что
положительное обменное взаимодействие приводит к возрастанию магнитной
восприимчивости системы коллективизированных электронов. Для магнитной
восприимчивости обменно усиленного парамагнетика с коллективизированными
электронами следует, что, если обменное взаимодействие достаточно велико,
восприимчивость стремится к бесконечности. Это означает, что обменное
взаимодействие приводит к самопроизвольному (в нулевом магнитном поле)
ферромагнитному упорядочению в системе коллективизированных электронов.
Обменное взаимодействие
приводит к тому, что при отсутствии поля энергия подзон со спинами + и -
становится различной, часть электронов переходит из одной подзоны в другую и
возникает магнитный момент, равный разности моментов электронов в подзонах.
Ситуация в этом случае полностью аналогична рассмотренному выше поведению
парамагнетика в магнитном поле , если учесть, что в ферромагнетике роль
внешнего поля выполняет эффективное поле обменного взаимодействия (молекулярное
поле).
Условия возникновения
ферромагнетизма в системе коллективизированных электронов носит название
критерия Стонера по имени ученого, впервые его выведшего.
Таким образом,
ферромагнетизм в системе коллективизированных электронов является пороговым
явлением - он возникает только при выполнении критерия Стонера , то есть при
сравнительно больших величинах параметра обменного взаимодействия I и плотности
состояний на уровне Ферми n(EF).
Физическая причина такой ситуации заключается в том, что при возникновении
ферромагнитного упорядочения повышается кинетическая энергия электронной
системы, так как часть электронов, переходя из одной энергетической подзоны в
другую, занимает более высокие энергетические уровни. Поэтому ферромагнетизм
возникнет только в том случае, если обменная энергия достаточно высока, чтобы
скомпенсировать это возрастание кинетической энергии.
Различаются слабые и
сильные ферромагнетики с коллективизированными электронами. Слабыми называются
ферромагнетики, в которых спонтанное расщепление подзон в эффективном
молекулярном поле сравнительно невелико (меньше, чем энергетическая ширина
зоны) и некоторое количество электронов остается в подзоне со спином ( - ) . В
таких ферромагнетиках в поле магнитный момент возрастает, так как возрастает
расщепление подзон и часть оставшихся электронов из подзоны ( - ) переходит в
подзону ( + ).
В сильных
ферромагнетиках расщепление подзон больше и все электроны в нулевом внешнем
поле находятся в подзоне ( + ) . В этом случае внешнее поле не влияет на число
электронов в подзонах и магнитная восприимчивость такого ферромагнетика равна
нулю.
Как уже отмечалось, для
возникновения ферромагнетизма в системе коллективизированных электронов
необходимо, чтобы плотность энергетических состояний на уровне Ферми n(EF)
была достаточно велика. Обычно это осуществляется в металлических соединениях
переходных 3d-элементов (железо, никель, кобальт, марганец и т.д.). В атомах
этих металлов имеется не полностью заполненная электронная 3d-оболочка. В
металлах 3d-электроны наряду с внешними валентными электронами
коллективизируются, так как перекрываются волновые функции 3d-электронов
соседних атомов и образуется система коллективизированных электронов, состоящая
из 3d-электронов и s-электронов наружных электронных слоев. Так как плотность
энергетических состояний 3d-электронов на уровне Ферми достаточно высока,
критерий Стонера выполняется и возникает ферромагнитное упорядочение. Широко
известные ферромагнетики железо, никель, кобальт являются ферромагнетиками с
коллективизированными электронами. Такую же природу имеет ферромагнитное упорядочение
в сплавах и интерметаллидах 3d-переходных металлов.
Интересно отметить, что
в отличие от ферромагнетизма 3d-металлов ферромагнитное упорядочение
редкоземельных металлов, сплавов и соединений описывается в модели
локализованных магнитных моментов. Это обусловлено тем, что в атомах редких
земель не полностью заполненная 4f-оболочка находится ближе к ядру атома,
поэтому в металлах и сплавах волновые функции 4f-электронов не перекрываются и
они остаются локализованными на атомах.
Описанная выше простая
модель ферромагнетизма коллективизированных электронов (ее называют моделью
Стонера), качественно правильно отражая многие магнитные свойства 3d-металлов и
сплавов, сталкивается со значительными трудностями при количественном
сопоставлении с экспериментальными данными. Например, известно, что разрушение
ферромагнетизма должно происходить при температуре Кюри TC , когда
энергия участвующих в ферромагнетизме электронов сравнима с энергией теплового
движения. Для ферромагнетиков с коллективизированными электронами
ферромагнетизм обусловлен высокоэнергетическими электронами с энергией порядка
энергии Ферми EF , то есть
Кроме того, в модели
Стонера магнитная восприимчивость в парамагнитной области при T > TC
не зависит от температуры, как в обычных парамагнетиках с коллективизированными
электронами, в то время как во многих реальных 3d-ферромагнетиках она меняется
с температурой по закону Кюри-Вейсса, характерному для ферромагнетиков с
локализованными моментами
Все эти
экспериментальные факты удается объяснить в усовершенствованной модели
ферромагнитного упорядочения системы коллективизированных электронов, наиболее
последовательно развитой японским ученым Т. Мория. В отличие от модели Стонера,
в которой считается, что электронная система является однородной, в
усовершенствованной модели учитываются неоднородности намагниченности,
меняющиеся в пространстве и времени (спиновые флуктуации). Эти флуктуации
возникают из-за термических возбуждений спиновой системы, и их амплитуда растет
при повышении температуры. Расчеты показывают, что учет спиновых флуктуаций
позволяет значительно лучше описать экспериментальные данные для
ферромагнетиков с коллективизированными электронами.
.4 Явление магнитной
нестабильности в магнетиках с коллективизированными электронами
В последние годы широко
проводятся экспериментальные и теоретические исследования явления магнитной
нестабильности в магнетиках с коллективизированными электронами. Это явление
обусловлено пороговым характером ферромагнетизма системы коллективизированных
электронов, согласно которому ферромагнитное упорядочение возникает только при
выполнении критерия Стонера .
При определенных
характеристиках зонной структуры, если на зависимости плотности состояний от
энергии n(E) вблизи уровня Ферми EF
имеются особенности, возможна ситуация, когда плотность состояния на уровне
Ферми EF возрастает при увеличении внешнего магнитного поля. Тогда если в
нулевом поле система коллективизированных электронов находилась в парамагнитном
состоянии (критерий Стонера не выполняется), то в определенном поле Hм
, в котором критерий Стонера начинает выполняться, произойдет скачкообразный
(метамагнитный) переход системы коллективизированных электронов из
парамагнитного в ферромагнитное состояние. Такое явление носит название
метамагнетизма коллективизированных электронов и наблюдается, например, в
интерметаллических соединениях .
Магнитная нестабильность
системы коллективизированных электронов проявляется и в редкоземельных
интерметаллических соединениях RCO2
. В этих интерметаллидах магнитная подсистема коллективизированных d-электронов
находится в обменном поле, действующем со стороны редкоземельной подсистемы
локализованных 4f-электронов. При низких температурах это обменное поле
превышает метамагнитное поле Hм , поэтому d-электроны находятся в
ферромагнитном состоянии. При повышении температуры величина обменного поля
уменьшается, и при температуре TC , когда обменное поле становится
меньше Hм , система коллективизированных электронов скачком
переходит в парамагнитное состояние, то есть в этих интерметаллидах переход в
парамагнитное состояние является переходом первого рода.
Магнитная нестабильность
может привести также к тому, что система коллективизированных электронов,
парамагнитная при низких температурах, перейдет в ферромагнитное состояние при
повышении температуры. Это возможно, если термические возбуждения приводят к
возрастанию плотности электронных состояний на уровне Ферми и выполнению
критерия Стонера. К сожалению, это интересное явление (его называют термически
индуцированным ферромагнетизмом) до сих пор экспериментально не наблюдалось.
1.5 Диамагнетизм
электронного газа (Диамагнетизм Ландау)
Диамагнетизм
характеризуется отрицательной магнитной восприимчивостью (χ
< 0) и обусловлен орбитальным движением электронов. На первый
взгляд, поскольку в электронном газе устойчивые орбиты у электронов
отсутствуют, диамагнетизм не должен наблюдаться в системе коллективизированных
электронов. Однако выдающийся российский ученый Л.Д. Ландау в 1930 году
показал, что газ коллективизированных электронов также обладает отрицательной
диамагнитной восприимчивостью. Это явление носит чисто квантовый характер и
возникает из-за того, что в магнитном поле квантуется движение электрона
перпендикулярно полю.
На электрон, движущийся
в магнитном поле со скоростью , действует сила Лоренца , где e - заряд
электрона, c - скорость света. Эта сила приводит к тому, что электрон наряду с
поступательным движением совершает вращательное движение в плоскости,
перпендикулярной полю, с частотой (она называется циклотронной)
Движение электрона по кругу
можно представить как сумму двух колебательных движений. В квантовой системе
энергия колебательного движения квантуется.
Следовательно, из-за
вращательного движения электронов в поле квазинепрерывный спектр электронов
проводимости разбивается на отдельные дискретные уровни, называемые уровнями
Ландау. Наличие уровней Ландау приводит к тому, что в системе
коллективизированных электронов возникает отрицательная диамагнитная
восприимчивость. В приближении свободных электронов диамагнитная восприимчивость,
то есть составляет одну треть от парамагнитной восприимчивости . Учет
взаимодействия электронов с решеткой приводит к нарушению этого соотношения.
Полная восприимчивость металла складывается из парамагнитной и диамагнитной
восприимчивости коллективизированных электронов, а также из диамагнитной
восприимчивости ионного остова. В большинстве непереходных металлов, в которых
заполнены все внутренние оболочки, парамагнитная восприимчивость электронного
газа превышает сумму диамагнитных восприимчивостей электронного газа и ионного
остова, и эти металлы являются парамагнетиками, восприимчивость которых слабо
зависит от температуры. Однако имеются металлы, в которых сумма диамагнитных
восприимчивостей больше, чем парамагнитная восприимчивость электронного газа. Эти
металлы являются диамагнетиками. К ним относятся медь, серебро, золото, висмут,
кадмий, ртуть и др.
.6. Невырожденные и
вырожденные коллективы
Рассмотрим вопрос о
возможном влиянии специфики частиц на свойства коллектива, как целого.
Для проявления специфики
необходимо, чтобы микрочастицы "встречались" друг с другом достаточно
часто. Здесь под "встречей" понимается попадание двух частиц в одно и
то же состояние или по крайней мере, в достаточно близкие состояния.
Предположим, что на
N одинаковых частиц приходится G различных состояний, в
которых может находиться отдельная микрочастица.
Мерой частоты "встреч" может служить отношение N/G. Микрочастицы
будут встречаться редко, если выполняется следующее условие:

(1)
В этом случае число
различных вакантных состояний много больше числа микрочастиц: G >>
N. В таких условиях специфика фермионов и бозонов проявиться, очевидно,
не может, поскольку в распоряжении каждой микрочастицы имеется множество
различных свободных состояний и вопрос о заселении одного и того же состояния
несколькими частицами практически не возникает. Поэтому свойства коллектива,
как целого, не будут зависеть от специфики микрочастиц, из которых он состоит.
Подобные коллективы называются невырожденными, а условие (1) называют
условием невырожденности.
Если же число состояний G
оказывается одного порядка с числом частиц N, т. е. если выполняется
условие:
/G>>1
(2)
то вопрос о том, как
заселять состояния, поодиночке или коллективно весьма актуальным. В этом случае
специфика микрочастицы проявляется в полной мере, оказывая значительное влияние
на свойства коллектива как целого. Такие коллективы называются вырожденными
Вырожденные коллективы
могут образовываться, очевидно, только из квантовомеханических объектов, так
как только у таких объектов параметры состояния изменяются дискретно,
вследствие чего число G возможных состояний может быть конечным. У
классических же объектов, у которых параметры состояния меняются непрерывно
число состоянии G всегда бесконечно большое, вследствие чего такие
объекты могут образовывать только невырожденные коллективы.
Следует подчеркнуть, что
между невырожденностью коллектива и классичностью частиц нет однозначного
соответствия. Не вырожденные коллективы могут образовывать и
квантовомеханические объекты, если выполняется условие (1).
1.7 Классическая и
квантовые статистики
Физическая статистика,
изучающая свойства невырожденных коллективов, называется классической статистикой.
Ее связывают с именами Максвелла и Больцмана(статистика Максвелла-Больцмана).
Физическая статистика,
изучающая свойства вырожденных коллективов, называется квантовой статистикой.
Влияние специфики частиц на свойства вырожденного коллектива обусловливает
существенное различие между вырожденным коллективом фермионов и вырожденным
коллективом бозонов. В связи с этим различают две квантовые статистики.
Квантовую статистику
фермионов связывают с именами Э. Ферми и А. Дирака (отсюда, кстати говоря, и
происходит термин "фермион"). Ее называют статистикой Ферми-Дирака.
Квантовую статистику
бозонов связывают с именами Бозе и A.;j Эйнштейна (отсюда термин
"бозон"). Ее называют статистикой Бозе-Эйнштейна.
Из предыдущего следует,
в квантовых статистиках фигурируют только квантовые объекты, тогда
как в классической статистике могут фигурировать и классические, и
квантовомеханичеекие объекты. Если уменьшать число частиц в коллективе или
увеличивать число возможных состояний микрочастицы, то вырожденный коллектив
превращается в конце концов в невырожденный. В этом случае независимо oт своей
фермионной или бозонной природы коллектив будет описываться классической
статистикой Максвелла - Больцмана.
парамагнетизм
коллективизированный электрон статистика
1.8 Влияние температуры
на распределение Ферми-Дирака
С повышением температуры
электроны подвергаются тепловому возбуждению и переходят на более высокие
энергетические уровни, в следствии чего меняется характер распределения их по
состояниям. Однако в интервале температур, в котором энергия kT теплового
движения остается значительно ниже энергии Ферми E = Ef, тепловому возбуждению
могут подвергаться электроны лишь узкой полосы kT, непосредственно
расположенной у уровня Ферми. Электроны более глубоких уровней остаются
практически незатронутыми, так как энергия kT теплового движения недостаточна
для их возбуждения (для перевода за уровень Ферми).
В результате теплового
возбуждения часть электронов, имевших энергию, меньшую Ef, переходит на уровни
с энергией, большей и устанавливается новое их распределение по состояниям.
Повышение температуры вызывает размытие распределения на глубину kT и появление
"хвоста" распределения , располагающегося правее Ef. Чем выше
температура, тем более существенному изменению подвергается функция
распределения. Сам хвост описывается уже максвелловским распределением.
Произведем приближенную
оценку числа ∆N. В интервале энергий от 0 до ЕF располагается
N/2 энергетических уровней. Где N - число свободных электронов в металле. Упрощая
задачу, можно считать, что эти уровни отстоят друг от друга на одинаковом
расстоянии, равном
Термическому возбуждению
подвигаются электроны полосы kT расположенной ниже ЕF.
В этой полосе
размещается 
уровней, на которых
располагается 
электронов. Полагая,
что за уровень Ферми переходит не более половины этих электронов, получим
следующее приближенное соотношение для ∆N:
При комнатной темпе 
поэтому ∆N/N <
1%; при Т = 1000, К∆N/N >> 1 - 2%.
Таким образом, во всем
диапазоне температур, в котором электронный газ в металле является вырожденным,
его распределение мало отличается от распределения при абсолютном нуле.
Тепловому возбуждению подвергается лишь незначительная доля электронов,
располагающихся у уровня Ферми. При комнатной температуре эта доля составляет
меньше 1% от общего числа электронов проводимости. Так как при температурах,
при которых возможно существование конденсированного состояния металла,
электронный газ в нем является всегда вырожденным, то рассмотренные
закономерности распределения электронов в металлах остаются справедливыми
практически во всех случаях.
Рассмотрим зависимость
химического потенциала вырожденного газа от температуры.
Интегрируя полную
функцию распределения Ферми - Дирака ƒф(E)
g(E) dE по энергии, получим полное число свободных электронов в металле N.
Этот интеграл в общем
случае не берется. Так как вплоть до точки плавления металла kT остается
значительно меньше Ef, то уменьшение µс повышением Т оказывается настолько
малым, что во многих случаях им можно пренебречь и уровень Ферми при любой
температуре считать совпадающим с Ef.
Можно вычислить также
среднюю энергию электронов Е вырожденного газа, поделив полную его энергию 
на число электронов N.
1.9 Снятие вырождения.
Невырожденный электронный газ
При выполнении критерия
невырожденности (1) любой газ, в том числе и электронный, должен стать
невырожденным. Рассмотрим этот вопрос более подробно.
Согласно (1), газ
является невырожденным, если средняя плотность заполнения состояний частицами
значительно меньше единицы. Так как функция распределения ƒ(Е)
как раз и выражает среднюю плотность заполнения состояний частицами, то условие
невырожденности (1) можно записать так: ƒ(Е)
" 1 Функция Ферми-Дирака будет существенно меньше единицы если слагаемое 
, стоящее в ее
знаменателе, окажется не больше единицы:

(5)
Это неравенство должно
выполняться для всех состояний, в том числе, и для состояния с Е = 0:

(6)
Из (6) следует, что для
невырожденного электронного газа, удовлетворяющего критерию (5), -µ должна быть
величиной положительной и существенно большей kT:
µ > kT (7)
Сам же химический
потенциал µ должен быть величиной отрицательной и по абсолютному значению
большей kT.
При выполнении условия
(5) единицей в знаменателе Ферми - Дирака можно пренебречь и получить следующее
выражение для функции распределения невырожденного электронного газа:

(8)
Сравнение (8) с
распределением Максвелла-Больцмана показывает, что невырожденный электронный
газ описывается распределением Максвелла - Больцмана, как и любой другой невырожденный
газ.
В металлах, где
концентрация свободных электронов очень высока ("1028 м-3),
электронный газ всегда находится в вырожденном состоянии и описывается
распределением Ферми-Дирака.
С невырожденным
электронным газом приходится иметь дело в собственных (беспримесных) и в
слаболегированных полупроводниках являющихся основой всей современной
полупроводниковой электроники. Концентрация свободных электронов в таких
полупроводниках значительно ниже, чем в металлах и колеблется в зависимости от
содержания активных примесей от 1016-1019 до 1023
-1024 м-3 .
При таких концентрациях
выполняется условие (1) и электронный газ оказывается невырожденным. В
заключение, чтобы показать, насколько сильно в своем поведении идеальный
невырожденный газ, подчиняющийся статистике Максвелла - Больцмана, и
вырожденный электронный газ,
Время, как для невырожденного
идеального газа средняя энергия Е, средняя квадратичная скорость движения vкв
и давление р являются функциями температуры и при абсолютном нуле обращаются в
нуль, для вырожденного электронного газа Е,vкв и р уже при абсолютном нуле
имеют огромную величину и практически не зависят (точнее очень слабо зависят)
от температуры .Это как раз и указывает на то, что у вырожденного электронного
газа Е, v²кв и р имеют в подавляющей своей части нетермическую природу, на что
обращалось внимание ранее; вклад же теплового движения электронов в эти
величины незначителен.
2. Парамагнитный газ в
магнитном поле
Рассмотрим газ, состоящий из
молекул, имеющих постоянный магнитный момент μ
и находящийся в однородном постоянном магнитном поле с
напряженностью H.
Потенциальная энергия такой молекулы
определяется формулой:

(2.1)
где
- угол между
направлениями магнитного момента 
, и поля 
. Поскольку
потенциальная энергия зависит только от направления 
, то распределение
молекул в пространстве однородно.
Рассмотрим сначала
классические частицы, для которых направление магнитного момента в пространстве
может изменяться непрерывно, так что возможны любые его ориентации. В этом
случае распределение по направлениям 
дается формулой
Больцмана:
где dΩ = sinθ dθ
dφ - элемент
телесного угла. Интегрируя это выражение по φ,
получим распределение по θ:
(2.2)
Интеграл, стоящий в знаменателе
равен
Найдем среднее значение
проекции магнитного момента на направление поля. Очевидно, средние значения
проекции момента на направления, перпендикулярные полю, равны нулю. Имеем
Подставляя значение 
, находим
Вводя обозначение 
, получим для
намагничения

результат

где 
представляет собой
максимальное значение намагничения, достигаемое при 
или
, функция L(x)
называется функцией Ланжевена и характеризует степень ориентации
элементарных магнитных моментов при заданном поле и температуре. Параметр х
= μH/T=M0H/NAT по порядку величины представляет собой отношение средней
магнитной энергии к средней энергии теплового движения.
Рассмотрим детальное
поведение функции L(x) в двух предельных случаях.
Сильные поля и низкие
температуры х = μН/Т >>
1. В этом случае

,(2.5)
и мы имеем явление насыщения
- намагничение при сильных полях и низких температурах становится
максимальным.
Слабые поля и высокие
температуры x=
μН/Т << 1. В этом случае, разлагая экспоненты 
по степеням х до
членов 
, получим
(2.6)
Степень ориентации
магнитных диполей мала при слабых полях и высоких температурах. Мы видим, что
параметр L'(0) = 1/3.
Формула (2.4) является
чисто классической и не учитывает квантования проекций магнитного момента. Как
доказывается в квантовой механике, проекция магнитного момента электрона на
направление магнитного поля может принимать лишь дискретные значения. Например,
для свободной частицы со спином j
она
может быть равной 
где μ
- максимальное значение проекции магнитного момента, равное

μB = eh/4πmc -
магнетон Бора, а j - спиновое
квантовое число, которое может быть как целым так и полуцелым. Для вычисления 
мы получаем теперь
выражение
Сумма геометрической
прогрессии под знаком логарифма равна
и для намагничения
получим выражение

(2.8)
где квантовые функции
Ланжевена Lj (μH/T) (они называются также функциями Бриллюэна) определяются формулой

(2.9)
и существеннозависят от j. Заметим, однако, чтовсе квантовые
функции 
(сильные поля и низкие
температуры), что приводит к эффекту насыщения - предельному намагничению.
Действительно, при x→∞
cth ax→1 и согласно формуле (2.9) Lj(x)→1. В противоположном предельном
случае х<<1 (слабые поля и высокие температуры) имеем согласно
разложению (2.6)

.(2.10)
и намагничивание
является слабым.
Угловой коэффициент
кривой Lj(x) в начале координат равен L'(0)
= (j+1)/3j
и существенно зависит от j.
В частности, при j =1/2v например, электронный газ) имеем
Нетрудно видеть, что
классическая функция Ланжевена L(x) представляет собой предел функции Lj(x) при j→∞
2.1 Магнетизм
электронного газа
Рассмотрим электронный
газ, находящийся в магнитном поле с напряженностью H. Наличие поля вызывает два эффекта. Один из них -это ориентация
магнитных спиновых моментов вдоль направления поля. Из формулы (2.11) при
слабых полях и высоких температурах имеем
Электронный газ обладает,
однако, кроме того, диамагнитным моментом, направленным в сторону,
противоположную внешнему полю. Заметим прежде всего, что диамагнитный эффект
имеет чисто квантовое происхождение и в классическом электронном газе он
отсутствует. Это следует из того, что сила Лоренца, действующая на частицу в
магнитном поле
перпендикулярна
направлению скорости и, следовательно, не совершает над частицей работу.
Поэтому его энергия, если не учитывать потенциальную энергию спина 
приводящую к
парамагнитному эффекту, не зависит от поля и магнитный момент
Однако,
как обнаружил в 1930 г. Л. Д. Ландау, в квантовомеханической теории магнетизма
дело обстоит иначе. Дело в том, что в постоянном магнитном поле заряд двигается
по винтовым линиям, ось которых совпадает с направлением поля. По этой причине
движение электрона в направлении поля инфинитно и, следовательно, неквантовано.
Движение же электрона в плоскости, перпендикулярной полю, происходит по
окружности с лармо- ровской частотой

и,
являясь финитным,
оказывается квантованным.
Как показал Л. Д.
Ландау, уровни энергии электрона в постоянном магнитном поле, направленном по
оси Oz, определяются формулой

(2.1.1)
где 
- квантованные уровни
"поперечной" части кинетической энергии, а 
- ее
неквантованная "продольная" часть. Благодаря квантованию
"поперечной" энергии кинетическая энергия электрона оказывается
зависящей от напряженности магнитного поля. Уровни энергии (59.1), благодаря
наличию неквантованной части 
,
образуют сплошной энергетический спектр, а число состояний с фиксированным п
и продольным импульсом в интервале (
)
равно
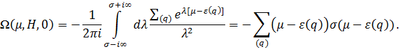
Запишем выражение для Ω -потенциала электронного газа следующим образом:

(2.1.2)
где символом (q) обозначена совокупность аргументов рz, п,
s (спин),
от которых зависит энергия, и символ ∑(q) означает суммирование по п и по двум направлениям спина и
интегрирование по рz:
Для дифференциала 
имеем согласно формуле

Выражение

,
с помощью которого число
частиц, намагничение М и магнитная восприимчивость χ=
М/Н могут быть найдены по формулам
Заметим, что, пользуясь
формулой (2.1.1) для энергиии, мы рассматриваем совместно и диамагнитный
(первый член в (2.1.1)) и парамагнитный (±|μBH) эффекты. В выражении
(2.1.2) трудно непосредственно осуществить предельный переход Т→0,
так как подынтегральное выражение становится в этом пределе разрывным.
Для наших целей важно
преобразовать сумму (2.1.2) в некоторый контурный интеграл в плоскости
вспомогательного комплексного аргумента λ.
Приведем выражение (2.1.2) к виду
преобразовав получим
(2.1.3)
В этой формуле уже легко
совершить предельный переход T→0;
интегрируя по ξ получаем
Изменив в (2.1.3)
порядок интегрирования и учитывая (59.4) с заменой 
, находим
Отсюда следует важное
свойство Ω-потенциала: зависимость от μ при
температуре T однозначно определяется зависимостью Ω
от μ при T = 0. Следовательно, для
термодинамического описания электронного газа достаточно знать Ω
(μ, H, T) при T = 0. Имеем согласно формуле (2.1.4)
Проведем в этом
выражении сначала суммирование по п и по двум направлениям спина. Легко
заметить, что разность μ-ε для значения квантового числа п-
1 и спина, направленного по полю, будет равна такой же разности для значения п
и спина, направленного против поля (для всех значений п):
Благодаря этому все
слагаемые суммы по п удваиваются, кроме члена суммы с n = 0 и спином, направленным против поля, и мы получим
причем, благодаря
опущенному в этом выражении множителю 
, интегрирование в
каждом члене суммы ведется по промежутку между двумя нулями подынтегральной
функции от 
до 
. Для значений μ
в интервале 
,
где l - целое число, выполняя интегрирование, получаем

(2.1.5)
где через 
обозначен химический
потенциал электронного газа в отсутствие магнитного поля и при температуре Т
= 0:
Для наших целей удобнее
переписать выражение (2.1.5) в виде

(2.1.6)
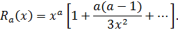
Введем следующие
обозначения:

(2.1.7)
Дифференцируя выражение
для функции Ra
(x), получим
где δ(x)- дельта-функция Дирака. Отсюда видно, что при любых а
> 1 имеет место соотношение 
, но при а

1 производная функции Ra(x) обращается в бесконечность при х = 2l (l - целое число), а сама Ra
(x) испытывает в этих точках скачки - конечные при а = 1 и
бесконечные при 
.
Подставляя (2.1.7) в
формулу (2.1.6), получим
откуда находим

(2.1.8)

(2.1.9)
Из формулы (2.1.8)
следует

(2.1.10)
и, используя
определение (2.1.7), находим

(2.1.11)
Наконец, подставляя
значение (2.1.10) в (2.1.9), получаем

(2.1.12)
Где
Формулы (2.1.10) -
(2.1.12) дают в параметрическом виде зависимость 
и 
от 
(рис. 1),
Рисунок 1-
Зависимость 
и 
от 
в параметрическом
виде
т. е. от напряженности
магнитного поля при температуре абсолютного нуля. Из этих формул видно, что
поведение величин 
и 
определяется свойствами
функций 
и 
. Так как производная
функции 
, равная 
, имеет разрывы
(бесконечные) в точках х=2l,
то на графике рис. 1 наблюдаются характерные пики. Мы видим, что как 
, так и 
являются осциллирующими
функциями от 
.
С уменьшением
напряженности поля H
колебания химического потенциала 
быстро затухают и при 
. химический потенциал μ
практически достигает своего предельного значения 
.
Восприимчивость 
, испытывает более
значительные колебания. Как видно из рис.1, в некоторых диапазонах значений H восприимчивость становится отрицательной, что свидетельствует о
преобладании диамагнитного эффекта над парамагнитным. Критические поля Н = Hl при которых функции 
, 
испытывают разрывы
производных, определяются из условия
Мы можем теперь
установить связь между периодом осцилляции восприимчивости ∆Hl и напряженностью поля H'l,
при котором эта осцилляция наблюдается. Запишем формулы:
Беря разность этих
выражений и учитывая относительно слабую зависимость 
от H' (особенно при больших l),
получим
Или
откуда окончательно
находим правило
которое хорошо
согласуется с данными эксперимента.
Рассмотрим два
предельных случая.
Случай сильных полей:

Как видно из графика на
рис. 1 в области 0<x<2,
что соответствует интервалу 0 <
<[R3/2(2)]2/3=4,51/3,
исчезают характерные для слабых полей осцилляции химического потенциала и
восприимчивости и 
, и 
монотонно убывают с ростом
поля. Эта область не представляет практического интереса и едва ли достижима.
Формула (2.1.7) при
0<х<2 дает
и, используя
(2.1.10)-(2.1.12), находим
Исключая из этих формул
параметр х, получаем
Случай слабых полей: x>>1. Выведем асимптотические выражения для функций Ra(x) при больших значениях аргумента х. По формуле (2.1.7)
имеем
Воспользуемся для оценки
этого выражения формулой суммирования Эйлера
Имеем согласно этой
формуле
откуда получим для
больших значений х
Вычисляем по формулам
(2.1.11) и (2.1.12)
Исключая х,
получаем
В области низких
температур 
зависимость 
и 
от магнитного поля
имеет качественно тот же характер, что и при абсолютном нуле, только пики при
значениях параметра x=2l c повышением температуры исчезают и заменяются плавными переходами
с шириной порядка
.
При повышении температуры ширина этих переходных областей растет, кривые
сглаживаются и характерный для сильных полей осциллирующий характер кривых
смягчается.
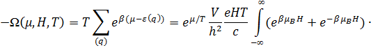
Рассмотрим предельный
случай высоких температур Т>>μ0.
В этом случае, как мы убедимся ниже, μ/T является большим по абсолютной величине отрицательным числом и
. Удобно поэтому, не
пользуясь общей интегральной формулой, непосредственно вычислить 
по формуле (2.1.2).
Имеем, подставляя 
из (2.1.1) и переходя к
интегрированию,
Выполняя интегрирование
и суммирование

Отсюда получим
и, логарифмируя, находим
химический потенциал

Последняя
формулапоказывает, что
действительно при T>>μ0 и
любых H является большим отрицательнымчислом.
Аналогично имеем
Исключая μ
и вводя максимальное намагничивание единицы объема

,
получим
Последняя формула
выведена для высоких температур с учетом как диамагнитного, так и
парамагнитного эффекта. В то время как выражение (2.11) приводит к насыщению в
сильных полях (кривая 1 рис. 2) (M→M0 при H→∞),
выражение (2.1.14) приводит к монотонному убыванию намагничивания М в
сильных полях 
(кривая 2 рис.
2). Естественно, всякие следы осцилляций для величин 
и 
при высоких
температурах полностью стираются.
Рисунок 2 -Зависимость относительной
намагниченности от 
.
Рассмотрим в заключение этого
параграфа простую физически наглядную интерпретацию эффекта де Гааза -ван
Альфена. Мы будем при этом рассматривать более общую анизотропную модель
металла и убедимся в том, что экспериментальное изучение осцилляции магнитной
восприимчивости позволяет получить важные сведения о форме анизотропной
поверхности Ферми.
Уровни энергии финитного движения
электронов в магнитном поле в квазиклассическом приближении, которое для
большинства металлов пригодно при любых достижимых полях, определяются правилом
квантования Зоммерфельда - Бора

(2.1.15)
где 
- компонента
обобщенного импульса в плоскости XOY,
перпендикулярная Н. Вычислим интеграл в правой части,
пользуясь нормировкой вектор-потенциала
откуда
Так как координата х
является циклической, то Рх = const
и 
Отсюда находим

.
Интеграл по замкнутому
контуру от первого слагаемого равен нулю в силу Рх =const, и мы получаем

- площадь сечения
поверхности 
= const плоскостью, перпендикулярной направлению магнитного поля. Усkовие квантования энергии (2.1.15) принимает при этом вид
Период осцилляций
восприимчивости, в зависимости от величины H-1,
определяется, очевидно, условием ∆п = 1 (при этом заканчивается
заполнение новой орбитали). Отсюда находим
Осцилляционный характер
зависимости восприимчивости от H
смазывается наличием функциональной зависимости S
от рz
. Ясно, что основной вклад в осцилляционные эффекты вносят те значения рz ,
при которых 
медленно меняется с
изменением рz
или, иначе говоря, экстремальные сечения изоэнергетической поверхности (рис.
3).
Ясно, кроме того, что
при низких температурах Т<
<μ0
существенную роль в задаче играет именно поверхность Ферми 
Поэтому формула
(2.1.16) позволяет, меняя направление магнитного поля и измеряя периоды
осцилляций, получать сведения об экстремальных сечениях поверхности Ферми и тем
самым о ее форме. Однако сложность поверхности Ферми (большое число
экстремальных сечений) и ряд побочных эффектов - взаимодействие электронов с
фононами, а также примесными атомами - сильно усложняют задачу восстановления
формы поверхности Ферми по экспериментальным данным.
Рисунок 3 - Экстремальные
сечения изоэнергетической поверхности.
Заключение
Выше мы рассмотрели основные
особенности магнитных свойств системы коллективизированных электронов. Изучение
магнетизма таких систем представляет интерес для фундаментальной физики, так
как позволяет глубже понять строение твердых тел. Кроме того, исследование
этого явления важно и для практики, так как ферромагнетики на основе железа,
никеля и кобальта чрезвычайно широко используются для различных практических
применений.
Список литературы
1. Вонсовский, С.В. Магнетизм науки[Текст]:/С.В. Вонсовский -М.:
Наука, 1982. -180с.
. Каганов, М.И. Природа магнетизма[Текст]:/М.И. Каганов -М.:
Наука, 1982. -192с.
. Левитин,Р.З. Зонный метамагнетизм [Текст]: / Р.З. Левитин :-
Успехи физ. наук.- 1988. - 623с.
. Румер,Ю.Б. Термодинамика статистическая физика и кинетика
[Текст]: учеб. для вузов / Ю.Б.Румер, М.Ш.Рывкин.-М.: Наука. -1977. -552с.
. Мехрабова, М.А. Термодинамические и электронные свойства
двумерного газа с разогревом [Текст]: / М.А. Мехрабова :-2010. 130-135с.
6.
Stud 24: [stud24.ru/phisics/vyrozhdennyj-jelektronnyj-gaz/267927.html]ý
.
Переплет: [www.pereplet.ru/obrazovanie/stsoros/350.html]ý
. Книжная полка популярных научных изданий Science Ask: [http://scask.ru/book_t_phis5.php?id=66]
. StudFiles Все для учебы: [http://www.stuffiles.ru/dir/cat15/subj1412/file16024]
. Энциклопедия Физики и техники: [http:// femto.com.ua/articles/part_2/4704.html]