Дробный квантовый эффект Холла
Белорусский
Государственный Университет
Физический факультет
Кафедра физики
полупроводников и наноэлектроники
Реферат на тему:
«Дробный квантовый эффект
Холла»
Выполнила студентка 5 курса 2 группы
Шевченко Татьяна Васильевна
Минск 2014
Содержание
1. Квантовый
эффект Холла
1.1
Двумерный электронный газ и его свойства
1.1.1
Фундаментальные свойства 2DЭГ
1.2
Целочисленный квантовый эффект Холла
2.
Дробный квантовый эффект Холла
2.1
Причины возникновения
.2
Электроны и кванты потока
.3
Композиционные частицы
.4
Статистика композитных частиц
.5
Дробный квантовый эффект Холла при ν=1/3
2.6
Состояние с ν = 1 /2
2.7
Другие ДКЭХ-состояния
Выводы
Литература
1.
Квантовый эффект Холла
Квантовый эффект Холла - одно из немногих макроскопических квантовых
явлений и вместе с тем один из интереснейших эффектов в современной физике.
Эффект имеет принципиальное значение для исследований в области физики твердого
тела, квантовой электродинамики и метрологии.
Квантовый эффект Холла (КЭХ) - наиболее яркое и удивительное
открытие в современной физике твердого тела, затрагивающее глубинные основы
всей физики. Самое удивительное, что этот эффект открыт при изучении давно
известного явления - эффекта Холла с использованием простейших приборов:
амперметра и вольтметра. Конечно, нельзя забывать, что объект исследования -
двумерные (2D) электронные системы, реализуемые, например, в кремниевых
структурах металл-окисел-полупроводник высокого качества, появились в
результате многолетней работы физиков и технологов. Но для того чтобы сделать
экспериментальное открытие, мало наблюдать какой-то эффект, нужно также
понимать смысл и значение этого наблюдения. До открытия КЭХ никто не
предполагал, что в сложных полупроводниковых структурах можно обнаружить
макроскопический квантовый эффект, позволяющий измерять фундаментальные
физические постоянные с той же точностью, что и в прецизионных и весьма сложных
экспериментах физики элементарных частиц.
Открытие КЭХ затронуло широкий круг физиков:
экспериментаторов, работающих в области физики полупроводников и твердотельной
электроники, метрологов, а также теоретиков - специалистов в области теории
твердого тела и теории поля. Последнее особенно существенно, так как
показывает, что интерпретация КЭХ принадлежит к числу важнейших фундаментальных
проблем физики. За открытие этого замечательного явления Клаусу фон Клитцингу
присуждена Нобелевская премия по физике за 1985 год.
1.1 Двумерный электронный газ и
его свойства
Двумерный электронный газ или ДЭГ представляет собой
электронный газ, в котором частицы могут двигаться свободно только в двух
направлениях, а в третьем они помещены в энергетическую потенциальную яму.
Ограничивающий движение электронов потенциал может быть создан электрическим
полем, например, с помощью затвора в полевом транзисторе или встроенным
электрическим полем в области гетероперехода между различными полупроводниками.
По аналогии с ДЭГ можно говорить и о двумерном дырочном газе.
Обычно 2DЭГ создают прижимая внешним электрическим полем
электроны к диэлектрику, как показано на рис. 1. Электроны не могут отойти от
границы с диэлектриком в глубь полупроводника, так как их не пускает
электрическое поле, и не могут войти в диэлектрик, так как не могут преодолеть
высокий потенциальный барьер на границе с диэлектриком. Электрическое поле в
приповерхностной области полупроводника создается специальным электродом (так
называемым затвором), отделенным от поверхности полупроводника слоем
диэлектрика. Если полупроводник - кремний, а диэлектрик - окись кремния, то
такой прибор называют кремниевой МОП-структурой, где МОП - сокращение от
Металл-Окисел-Полупроводник.
Рис.1а. Схемы энергетических зон МОП-структуры с двумерным
электронным газом: ЕC - дно зоны проводимости и потолок валентной
зоны, ЕF-уровень Ферми в полупроводнике, а ЕFM - в
металле затвора, Vg - напряжение между затвором и полупроводником
Рис.1б. Двумерный электронный газ формируется при приложении
напряжения на затвор
Так как электрическое поле в полупроводнике обусловлено
положительным напряжением на затворе (положительными зарядами), то электроны,
имеющие отрицательный заряд, притягиваются к границе между полупроводником и
диэлектриком. Это значит, что потенциальная энергия уменьшается при приближении
к этой границе и минимальной энергией обладают те электроны, которые находятся
на границе (рис. 1). Таким образом, в приповерхностной области полупроводника
образуется узкая потенциальная яма, которая заполняется электронами через
дополнительные электроды стока и истока. Ширина потенциальной ямы оказывается
настолько мала (~ 5 нм), что электронный газ в ней проявляет 2D-свойства.
Напряжение Vg, прикладываемое между металлическим затвором и
полупроводниковой подложкой МОП-структуры, позволяет менять глубину
потенциальной ямы и, следовательно, концентрацию 2DЭГ ns в больших
пределах (1011-1013 см-2), причем связь Vg
и ns практически линейна и определяется удельной емкостью окисла
МОП-структуры. Это используется для наблюдения КЭХ. Возможность изменять
концентрацию электронов в кремнии - и, следовательно, электрическое
сопротивление - посредством этого электрода (называемого затвором) делает эту
структуру идеальным транзистором.
В полевых МОП-транзисторах электроны могу двигаться вдоль
плоскости интерфейса, но их движение в перпендикулярном направлении ограничено.
Фактически, как следует из квантовой механики, они вообще не могут двигаться в
этом направлении. Электрическое поле электрода прижимает носители к стеклу так
сильно, и они оказываются так сильно запертыми в этом направлении, что
квантовая механика разрешает существование только набора дискретных уровней в
этом измерении. При низких температурах, много меньших, чем расстояние между
этими уровнями по энергии, и при достаточно малой плотности все электроны
сосредоточены на низшем из этих уровней. Их движение в направлении z полностью
подавлено. С другой стороны, они могут свободно двигаться в плоскости ху.
Кремниевый полевой МОП-транзистор представляет собой почти идеальное воплощение
концепции 2DES, и в большей своей части физика 2DES базируется именно на нем.
Как бы хороши и универсальны ни были полевые МОП-транзисторы,
они все же имеют свои ограничения. Электроны, сосредоточенные на поверхности
раздела между кристаллическим полупроводником и изолирующим аморфным стеклом,
часто рассеиваются на неровностях плоскости раздела или на примесях,
проникающих через слой стекла. Такое электронное рассеяние нежелательно. Оно
случайным образом срывает электроны с их траекторий, затрудняя наблюдение их "чистого"
поведения, обусловленного исключительно их собственным взаимодействием и
взаимодействием с магнитным полем. Конечно, электроны также рассеиваются на
колебаниях атомов, так называемых фононах. Охлаждение образца до температуры,
близкой к абсолютному нулю, подавляет такие колебания до уровня, при котором
они становятся пренебрежимо малыми по сравнению с рассеянием на остаточных
примесях.
Двумерная система электронов, удерживаемых на поверхности
раздела между двумя различными кристаллическими полупроводниками, должна быть
даже "лучше", чем в случае кремниевого полевого МОП-транзистора.
Модулированно-легированная гетероструктура галлий-мышьяк/алюминий-галлий -
мышьяк (GaAs/AlGaAs) представляет собой такую улучшенную систему для научных
исследований и высоко-технологических применений.
Чистые полупроводники не проводят электричества при низких
температурах. В них нет свободных электронов, которые могли бы двигаться по
кристаллу. Все электроны поглощаются химическими связями, которые обеспечивают
существование кристалла как целого. Для того, чтобы проводить электричество,
полупроводники требуют введения небольшого количества примесей или, как
говорят, легирования. Легирование заключает в себе что-то похожее на физическую
"уловку-22": без легирования нет свободных электронов, однако это же
легирование приводит к появлению примесей, которые сильно рассеивают
появившиеся свободные носители. В трехмерных полупроводниках практически
невозможно выйти из этого замкнутого круга. В двух измерениях, однако, такой
путь есть. Можно отделить подвижные электроны от порождающих их примесей,
помещая те и другие в разные, но расположенные по соседству плоскости. Такие
слои должны быть очень близки друг к другу, чтобы примеси могли передавать свои
электроны, но, с другой стороны, эти слои должны быть на достаточном расстоянии
друг от друга, чтобы рассеяние электронов на заряженных остовах тех примесей,
от которых они произошли, подавлялось. Молекулярная пучковая эпитаксия (МПЭ)
дает возможность проделать такую процедуру.
МПЭ представляет собой технику напыления в условиях глубокого
вакуума, которая позволяет напылять высококачественные тонкие слои
полупроводников друг на друга. Изобретенная в конце 60-х годов Элом Чо в Bell
Labs, она стала основой широкой индустрии, производящей электронные приборы с
высокими характеристиками, в основном, для средств связи. В качестве
стандартной комбинации для выращивания кристаллов в МПЭ используются GaAS и
AlGaAs. Эти два полупроводника имеют практически одинаковые межатомные
расстояния (постоянные решетки), но слегка отличаются по энергии свободных
электронов (сродство к электрону). Электроны "предпочитают" GaAs
нежели AlGaAs (в типичных сэндвичах это обеспечивается разницей в энергиях
порядка 300 мэВ). Практически одинаковые постоянные решетки гарантируют
фактическое отсутствие дефектов и напряжений и, следовательно, высокое качество
поверхности раздела. Разность сродства к электрону позволяет держать электроны
на расстоянии от породивших их сильно рассеивающих примесей.
Наиболее известная двумерная электронная система - это 2DES в
сэндвичах типа GaAs/AlGaAs, выращенных методом МПЭ, которая располагается на
поверхности раздела со стороны GaAs (рис.2). Слой GaAs толщиной в несколько мкм
выращивается на подложке из AlGaAs толщиной 0,5 мм. Подложка является матрицей
для напыляемых атомов, а также обеспечивает механическую поддержку для конечной
структуры. Затем слой GaAs покрывается слоем AlGaAs толщиной ~ 0,5 мкм. Во
время этого высокотехнологичного, чрезвычайно чистого процесса послойного роста
в слой AlGaAs на расстоянии 0,1 мкм от поверхности раздела вводится примеси
кремния. Каждая примесь кремния имеет на внешней оболочке на один электрон
больше по сравнению с атомом галлия, который она замещает в твердом теле.
Примесь легко теряет этот дополнительный электрон, который странствует по
твердому телу в качестве электрона проводимости. В поисках состояния с
минимальной энергией такой электрон отважно покоряет энергетическую вершину и
сваливается в слой GaAs на расстоянии 0,1 мкм от поверхности раздела. В очень
чистом слое GaAs такие электроны проводимости могут двигаться практически
независимо по отношению к породившим их примесям, оставшимся в слое AlGaAs по
другую сторону барьера. С помощью модулированного легирования удается
совместить несовместимое!
Рис.2. Зонная диаграмма HEMT-транзистора и схема
модулированно-легированной гетероструктуры галлий - мышьяк/алюминий - галлий -
мышьяк (GaAs/AlGaAs). 2DES реализуется на поверхности раздела между GaAs и
AlGaAs
Электроны прижимаются к слою AlGaAs электрическим полем
заряженных донорных примесей кремния (+), которые находятся в AlGaAs (б).
Энергетическая ситуация в модулированно-легированной структуре (очень похожая
на ситуацию в полевом Si-МОП- транзисторе). Энергия увеличивается справа
налево. Электроны на поверхности раздела связаны в треугольной потенциальной
яме. Эти электроны имеют дискретные энергетические состояния в направлении z,
одно из них показано черным цветом, второе - горизонтальной штриховкой. При
низких температурах и низких концентрациях электронов только нижнее
(зачерненное) состояние занято. Движение электронов полностью запрещено в
направлении z, но они могут двигаться в плоскости ху (в).
Притяжение положительно заряженных (потерявших один электрон)
неподвижных ионов кремния прижимает подвижные электроны к барьеру на
поверхности раздела с AlGaAs (рис.2в). Ситуация полностью аналогична той,
которая складывается в кремниевом полевом МОП- транзисторе, где металлический
затвор прижимает электроны к барьеру на поверхности раздела с окисью кремния.
Возникает такое же квантование движения носителей в направлении z, и они
оказываются квантовомеханически связанными у поверхности раздела, оставаясь
подвижными в плоскости ху. Преимущество таких модулированно-легированных
гетерострутур GaAs/AlGaAs над кремниевыми полевыми МОП-транзисторами состоит в
гладкости на атомарном уровне поверхности раздела двух кристаллических
полупроводников очень высокой чистоты. Транзисторы на основе
модулированно-легированных материалов (high electron mobi-transistors) обладают
минимальным шумом и максимальным быстродействием. Они широко применяются в
мобильной телефонной связи. Как ни странно, многие необыкновенные физические
явления, описываемые ниже, происходят в таком же транзисторе, который
используется в мобильных телефонах, если его охладить до низкой температуры и
поместить в магнитное иоле.
1.1.1 Фундаментальные свойства 2DЭГ
Они являются следствием того факта, что энергетический спектр электронной
системы, с которой проводится эксперимент, состоит из дискретных энергетических
уровней. В обычных условиях энергия Е движущихся электронов квазинепрерывна и
ее можно сравнить с кинетической энергией свободных электронов с импульсом 
(где 
- постоянная Планка, 
- волновой вектор), но с эффективной массой m*:

(1.1)
В двумерном электронном газе движение электронов по оси z
ограничено и поэтому квантуется. В результате энергия может принимать лишь
некоторые дискретные значения 
, n = 0, 1, 2, так что полный закон дисперсии имеет вид

(1.2)
Из (1.2) видно, что каждому дискретному уровню 
соответствует набор возможных состояний, отличающихся
компонентами импульса рх и ру. Поэтому обычно говорят не
об уровне, а о двумерной подзоне размерного квантования с номером n. Теоретические
расчеты и эксперименты показывают, что порядок величины расстояния между этими
подзонами составляет 10 мэВ. При низких температурах (Т< 4 К) и малых
плотностях носителей заряда в 2DЭГ электроны заселяют только нижнюю подзону.
Такая ситуация называется электрическим квантовым пределом. По устоявшейся
терминологии только в этом случае электронный газ называется двумерным. Когда
электроны принадлежат нескольким квантовым подзонам, газ называется
квазидвумерным.
Важнейшей характеристикой 2DЭГ, как и любой электронной системы,
является энергетическая плотность состояний электронов (то есть число состояний
в единичном интервале энергий на единицу площади). Изменение энергии электрона
на 
равносильно изменению его волнового вектора на 
. Поэтому все 2D-электроны, обладающие энергией в интервале 
расположены в пространстве волнового вектора в круговом слое
между окружностями с радиусами 
и 
+ 
. Площадь такого слоя 
. Площадь элементарной ячейки в
-пространстве 
. Следовательно, с учетом двукратного спинового вырождения число
состояний с волновыми векторами от 
до 
+ 
равно 
2*2πkdk /(2π)2 
. Учитывая связь между волновым вектором и энергией 
, получаем, что число состояний с энергией от 
до 
отдельной подзоны в расчете на единицу площади 
, а плотность квантовых 2D-состояний

(1.3)
Зависимость полной плотности 2D-состояний электронов от энергии
представляет собой лестницу, каждая ступенька которой возникает при 
(рис. 3). Независимость плотности состояний отдельной подзоны от
энергии является важной особенностью двумерного газа, отличающей его от
трехмерного, где она пропорциональна 
. Поэтому в трехмерных системах плотность состояний имеет
монотонный характер и электронные свойства под влиянием внешних воздействий и
неквантующих полей меняются преимущественно плавно, в двумерных при
скачкообразном характере изменения 
электронные свойства изменяются немонотонно.
Рис.3. Спектр носителей заряда в квантовой яме:
а - плотность состояний 
; б - электрические подзоны размерного квантования Е0,
Е1 Е2; ns - концентрация 2DЭГ
Важнейшая характеристика ДЭГ - подвижность электронов. Для
увеличения подвижности в гетероструктуре с ДЭГ используют нелегированную прослойку
материала, называемую спейсером (рис.4), чтобы разнести пространственно
ионизованные примеси и ДЭГ. Именно эта характеристика является определяющей при
изучении дробного квантового эффекта Холла.

Рис.4. Структура HEMT- транзистора в сечении
На рисунке представлена структура HEMT-транзистора в разрезе.
На полуизолирующей подложке арсенида галлия (GaAs) выращивается нелегированный
буферный слой GaAs. На нем наращивается тонкий слой полупроводника с иной
шириной запрещенной зоны - InGaAs, такой, что образуется область двумерного
электронного газа (2DEG). Сверху слой защищается тонким спейсером на основе
арсенида алюминия-галлия AlxGa1−xAs (далее AlGaAs).
Выше следуют легированный кремнием слой n-AlGaAs и сильнолегированный слой n+-GaAs
под контактными площадками стока и истока. Контакт затвора приближен к области
двумерного электронного газа.
При низких температурах, когда рассеянием на фононах можно
пренебречь, подвижность в современных гетероструктурах GaAs/AlGaAs превышает
таковую в кремниевых нолевых МОП-транзисторах почти в 1000 раз! Сегодня такие
модулированно легированные образцы представляют собой самое совершенное
воплощение концепции двумерного металла, в котором практически отсутствует
нежелательное рассеяние (рис.4). Это можно наиболее наглядно продемонстрировать
с помощью средней длины свободного пробега электрона между двумя
столкновениями. Она равна приблизительно 1/5 мм. Это означает, что электрон
проводимости проходит мимо миллиона атомов полупроводника без рассеяния.
Прогресс, достигнутый за 20 лет в повышении подвижности μ электронов в двумерной электронной системе
модулированно-легированных гетероструктур GaAs/AlGaAs. При высоких температурах
значение μ ограничено рассеянием на фононах в
твердом теле. При сверхнизких температурах μ ограничено рассеянием на
примесях и дефектах материала. График "объемный GaAs" представляет
характерные данные для объемного образца GaAs. Таким образом, с момента
изобретения модулированного легирования μ возросла более чем в 1000
раз. Подвижность 2 х 107 см2 В-1с-1
приблизительно соответствует баллистическому полету электрона через
полупроводник на расстояние 1/5 мм (!), прежде чем произойдет столкновение.
1.2
Целочисленный квантовый эффект Холла
В 1980 г. немецкий физик Клаус фон Клитцинг с сотрудниками
обнаружили, что в сильных полях (примерно 5-10 Тл) холловская проводимость
квантуется. Они исследовали гетероструктуры на основе GaAs в сильных поперечных
магнитных полях и при низких температурах (в жидком гелии при Т= 4-5 К) и
получали магнитосопротивление rxx и холловское сопротивление rxy как функции внешнего приложенного магнитного поля.
Аккуратные измерения привели к поразительному результату: на обычном для
эффекта Холла линейном ходе зависимости rxy(Н) были
обнаружены ступеньки, высота которых оказалась равна
, m=1,2,3, …, с относительной погрешностью не хуже 10-7!
Положение плато зависело только от фундаментальных физических постоянных!
Исходя из этого, авторы представили свою работу как новый прецизионный метод
измерения важной в атомной физике физической величины - постоянной тонкой
структуры
, так как скорость света с известна с
большой точностью из независимых экспериментов. Магнигосопрогивление rXX (рис.6), соответствующее квантованным значениям RH,
практически равно нулю. Это другая отличительная особенность ЦКЭХ, и обе эти
особенности напрямую связаны друг с другом.
Рис.5. Данные, полученные Эдвином Холлом в 1878 г. График построен
по таблице из его статьи. Вертикальная ось отвечает холловскому напряжению Vн,
а горизонтальная - магнитному полю В. Линейная зависимость между Vн и В и,
следовательно, между Rн и В очевидна.
Этот эффект назвали целым квантовым эффектом Холла (IQHE), при
этом ученым-первооткрывателям в 1985 г. была присуждена Нобелевская премия.
Интересно, что фактически одновременно лауреаты Нобелевской премии 1998 г.
(Штермер и Тсуи - за дробный эффект Холла) также наблюдали это квантование, но
не успели опубликовать результаты.
Рис.6. Зависимость холловской проводимости rXY и магнитосопротивления rXX от напряженности магнитного поля в
целом квантовом эффекте Холла
Почему поведение 2DES столь необычно? И в чем причина
появления этих ступенек и минимумов? В классической физике электрон в сильном
магнитном поле вращается по круговой орбите, подчиняясь действию силы Лоренца.
В квантовой же механике для него существует только дискретный набор разрешенных
орбит с дискретными величинами энергии. Эта ситуация аналогична случаю
дискретных орбит, возникающих в атоме. Эти так называемые уровни Ландау
представляют собой эквидистантный ряд состояний с энергиями

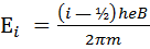
, i = 1,2,3,..., (1.4)
пропорциональными магнитному полю В; здесь m - масса электрона, h
- постоянная Планка. (Мы пренебрегаем эффектами, связанными с наличием у электрона
спина. Это упрощает рассмотрение без потери общности.) Электрон может иметь
только эти значения энергии и не может иметь те, которые лежат в больших
энергетических щелях между ними. Наличие этих щелей существенно для проявления
ЦКЭХ. Именно в этом и заключается качественное отличие 2DES от трехмерных
электронных систем. Движение в третьем измерении, вдоль магнитного поля, может
добавить любое количество энергии к энергии уровня Ландау. Поэтому в трех
измерениях энергетические щели полностью заполнены и, следовательно,
отсутствуют, что препятствует возникновению квантового эффекта Холла. В
дополнение к существованию энергетической щели в 2DES число электронов,
заполняющих каждый уровень Ландау, строго фиксировано. Это отражается в числе
орбит d, которые могут принадлежать данному уровню Ландау на единице
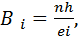
поверхности образца. Оказывается, что оно равно
Заметим, что эта емкость уровня Ландау, также называемая
вырождением, зависит только от универсальных констант и магнитного поля В.
Никакие другие характеристики вещества не входят в это выражение. Таким
образом, это универсальная величина, не зависящая от используемого материала.
Пусть наш образец имеет фиксированную двумерную плотность
электронов n. При низких температурах, когда все электроны стремятся занять
самое нижнее из имеющихся энергетических состояний, и при достаточно сильном
магнитном поле все электроны находятся на самом нижнем уровне Ландау, заполняя
его лишь частично. При уменьшении магнитного поля емкость уровней Ландау падает
в соответствии с формулой 
. При В1 = nh/e нижний уровень Ландау полностью
заполнен. При дальнейшем уменьшении поля один из электронов должен покинуть
нижний уровень Ландау и перепрыгнуть через энергетическую щель на следующий,
более высокий уровень Ландау, затратив энергию heВ1/(2πm). Уменьшение поля до B2 =
nh/(2e) = В1/2 приведет к заполнению двух уровней Ландау, и один из
электронов должен перейти на третий уровень и т.д. Такой процесс создает
последовательность полей

(1.6)
при которых все электроны полностью заполняют точное число уровней
Ландау, оставляя все вышележащие уровни Ландау пустыми. В этих выделенных на
оси магнитного поля точках магнитосопротивление R мгновенно обращается в нуль,
а холловское сопротивление Rн принимает строго определенные значения. Используя
формулу 
из классического выражения для холловского сопротивления и
подставляя в нее последовательность характерных полей Вi, получаем квантованное
холловское сопротивление RH = h/(ie2), i= 1,2,3,... Хотя
это и есть требуемый результат, он не объясняет отличительные черты ЦКЭХ:
широкие плато Rн и широкие минимумы ρxx.
В эксперименте наблюдается совершенно иная картина: ρxx становится нулевым (а RH принимает значения, зависящие
только от фундаментальных констант и целого числа) в целом диапазоне магнитных
полей. Собственно в этом и состоит квантовый эффект Холла, открытый фон
Клитцингом.
Причиной возникновения широких плато и минимумов является
локализация электронов. До настоящего момента при рассмотрении уровней Ландау
мы считали, что все электроны, находящиеся на нем, обладают одинаковой
энергией. В реальных структурах это не так. Потенциал, из-за которого
собственно и образуется двумерный электронный газ, будь то электрическое поле в
полевом транзисторе или потенциальный барьер в гетероструктуре, всегда
неоднороден. Причины здесь могут быть самыми разными - неоднородная толщина
слоя окисла в МОП-структуре, неоднородное распределение положительного заряда в
гетероструктуре, наличие заряженных ионов на границе раздела и т. д. Все это
приводит к тому, что в одних точках двумерного слоя электростатическая энергия
электрона оказывается больше, а в других - меньше. Если мы отложим в каждой
точке слоя величину этой электростатической энергии, т.е., другими словами, потенциал
этой точки, то получим не плоскость, как в идеальном случае, а нечто,
напоминающее сильно холмистую местность с «горами» и «ямами».
Рис.7. Иллюстрация, демонстрирующая неоднородности потенциала
В условиях, когда ρxx = 0, как уже отмечалось,
ток может течь только вдоль эквипотенциалей. Реально ток течет между контактами
(истоком и стоком). Следовательно, он может течь лишь по эквипотенциалям,
соединяющим исток и сток, а таких очень немного. Основная масса эквипотенциалей
замыкается внутри слоя, охватывая горы или ямы. Поэтому электроны, находящиеся
в ямах или на горах, не могут переносить ток - они не могут покинуть своих ям и
своих гор, это, так называемые, локализованные электроны. Электроны, которые
находятся на эквипотенциалях, соединяющих исток и сток, могут проводить ток.
Они называются делокализованными. Рассмотрим ситуацию, когда уровни
Ландау до (i-1)-го включительно заполнены полностью, а следующие пусты. Добавим
в слой некоторое количество электронов (аналогично можно при неизменной
концентрации уменьшать магнитное поле, уменьшая число мест на уровнях Ландау,
но для более простого объяснения рассмотрим именно ситуацию с изменяющейся
концентрацией). Излишек электронов расположится на i-м уровне, причем электроны
займут состояния в ямах, так как там их энергия будет наименьшей. Эти электроны
ток проводить не могут, поэтому для внешнего наблюдателя изменение концентрации
ни к чему не приведет. Будем продолжать «добавлять» электроны. Когда все места
в ямах будут заняты, начнут заполняться делокализованные состояния, которые
могут проводить ток. Эти электроны дают вклад в проводимость, они могут
рассеиваться на примесях или на фононах. В этот момент ρxx ≠ 0, а RH будет изменяться от одного плато до
другого.
При дальнейшем «добавлении» электронов, они начнут заполнять
локализованные состояния, охватывающие горы i-го уровня. Эта ситуация по сути,
является аналогичной той, которую мы рассматривали с ямами.
Точность квантования не зависит от формы и размеров образца,
а также от того, насколько четко очерчены области. По капризу природы для
существования в ЦКЭХ ступенек строго определенной высоты необходимо наличие
дефектов в образце. Без такой "грязи” не было бы ЦКЭХ. Вместо ЦКЭХ чистая
система даже в двумерии демонстрировала бы прямую линию Эдвина Холла.
Отметим условия, при которых наблюдается квантовый эффект
Холла:
1. достаточно сильные магнитные поля (>1 Тл), чтобы
расстояние между соседними уровнями Ландау не перекрывалось их шириной,
обусловленной примесями;
2. достаточно низкие температуры kT<<
, чтобы температурные флуктуации энергии
также не «замазали» подуровни Ландау;
. достаточно большая двумерная концентрация носителей
(>1010 см-2), соответствующая практически металлической
проводимости инверсионного слоя;
. существование двумерного в физическом смысле газа
носителей заряда.
2.
Дробный квантовый эффект Холла
Дробный квантовый эффект Холлла - очень противоестественное
физическое явление. Оно означает, что много электронов, действуя сообща, могут
создать новую частицу, заряд которой меньше, чем заряд отдельно взятого
электрона. Кажется, что это невозможно. Совокупность объектов может образовать
больший объект, или ее части могут сохранять свои размеры, но невозможно создать
что-нибудь меньшее. Если бы новые частицы имели удвоенный заряд, это не было бы
парадоксом: электроны могут просто "приклеиться" друг к другу и
образовать пары. Но дробные заряды действительно очень необычны. Причем эти
заряды не просто меньше заряда составляющих систему электронов. Они в точности
равны 1/3, 1/5 или 1/7 и т.д. заряда электрона в зависимости от условий их
образования. Кроме того, мы точно знаем, что ни один из электронов системы не
распадается на составные части.
Дробный заряд - самая интересная, но не единственная загадка
этого эффекта. Квантовые числа (обычно целые или полуцелые) оказываются также
дробными, например, 2/5, 4/9 или 11/7, или даже 5/23. Более того, электроны
могут захватывать "кусочки" магнитного поля, образуя совершенно новые
объекты. Свойства таких композитных частиц сильно отличаются от свойств
электронов. Иногда кажется, что они "забывают" о гигантских магнитных
полях и движутся по прямой, в то время как голый электрон должен был бы
вращаться по окружности очень малого радиуса. Их масса не имеет ничего общего с
массой первоначального электрона, а возникает исключительно за счет
взаимодействия с соседями. Более того, захваченное магнитное поле существенно
меняет классификацию этих частиц: в зависимости от величины магнитного поля от
фермионов к бозонам и затем опять к фермионам. И, наконец, предполагается, что
некоторые такие композитные частицы объединяются и образуют пары, отдаленно
напоминающие электронные пары в сверхпроводниках, что может привести к еще
одному совершенно поразительному новому состоянию с таинственными свойствами.
Все эти необычные явления происходят при низких температурах
в двумерной электронной системе, помещенной в сильное магнитное поле, - только
электроны и магнитное поле. Электроны находятся внутри твердого тела, на
поверхности раздела двух немного отличающихся полупроводников. В настоящее
время - это самая гладкая поверхность, которую можно сделать, чтобы ограничить
движение электронов в двух измерениях. Остальное делает квантовая механика.
2.1 Причины возникновения
ЦКЭХ можно объяснить, рассматривая только квантованное
движение одиночных двумерных электронов в присутствии магнитного поля и
случайные флуктуации потенциала на поверхности раздела, создающие
локализованные состояния. Существование всех других электронов учитывается
простейшим образом - по участию в заполнении или освобождении уровней Ландау.
Электростатическое взаимодействие (называемое кулоновским) между одинаково
заряженными носителями несущественно для понимания ЦКЭХ. Поэтому его называют
одночастичным эффектом.
ДКЭХ, с другой стороны, уже нельзя объяснить на основе поведения
одиночных электронов в магнитном поле. Можно предположить, что наличие
энергетической щели, столь необходимое для точного квантования в ЦКЭХ, также
существенно и для возникновения ДКЭХ. Однако все энергетические щели,
порожденные магнитным полем, уже "отработали" в ЦКЭХ, приведя к
целочисленному квантованию холловского сопротивления 
, i=1,2,3,... Другие энергетические щели - при дробном заполнении
уровня Ландау - должны иметь иную природу.
Причина ДКЭХ заключается во взаимодействии между электронами.
Поэтому он называется многочастичным эффектом, или эффектом электронных
корреляций, так как заряженные электроны избегают встречи друг с другом,
сложным образом согласовывая свое относительное движение. В ЦКЭХ электроны не
имеют возможности избегать друг друга, поскольку полностью заполнив целое число
уровней Ландау, электроны уже "плотно упакованы". При дробном
заполнении это не так. На уровне Ландау появляется больше "места".
Электроны обладают свободой, которая позволяет им избегать встречи друг с
другом энергетически самым выгодным способом. Электронный кристалл, который мы
искали и в котором электроны занимают фиксированные позиции на максимальном
удалении друг от друга, представляет собой статистическую картину,
минимизирующую электронное взаимодействие. В ДКЭХ электроны находятся в еще
более выгодном состоянии, непредсказуемом теоретически, которое представляет
собой сложный всеобщий квантовомеханический танец.
Многочастичные эффекты представляют собой одну из самых сложных
задач для теоретического рассмотрения. В большинстве случаев они вносят лишь
малые поправки в описание поведения электронов и могут учитываться приближенно.
Часто такое рассмотрение вполне оправдано, однако иногда многочастичные
взаимодействия становятся основой физического эффекта. Сверхпроводимость и
сверхтекучесть, например, имеют как раз такую сложную природу, и, чтобы объяснить
эти явления, пришлось изобрести новые сложные теоретические понятия. Для
объяснения ДКЭХ также необходимы новые понятия.
2.2 Электроны и кванты потока
С точки зрения классической механики двумерные электроны
ведут себя как заряженные бильярдные шары на столе (рис. 8а). Они отличаются по
своей предыстории, и за каждым из них в отдельности можно проследить. Однако с
квантовомеханической точки зрения электроны "размазаны" по всему
столу. Они принципиально неразличимы, и можно говорить только о вероятности
нахождения электрона (любого электрона) в каком-то определенном месте.
Рис.8. Схематическое изображение 2DES в различных
приближениях. Черные точки представляют электроны. Белые кружки -- вихри.
Стрелки -- кванты потока Φ0 магнитного поля В
дробный квантовый эффект холл
В идеальных двумерных системах эта вероятность абсолютно
однородна по всей плоскости. Электроны ведут себя как бесструктурная жидкость
(рис.8б). Это не означает, что движение электронов нескоррелировано. Эти
одинаково заряженные носители стремятся избегать друг друга, как показано на
рис.8в в классическом представлении. Так же они ведут себя и в
квантовомеханнческой жидкости (рис.8б). Этим определяется вероятность
обнаружить один электрон в каком-то месте при условии, что другой электрон
находится в другом месте (например, неподалеку), однако это нельзя представить
столь же наглядно, как на рис. 8в.
Важный шаг вперед состоит в том, чтобы представить, как
пронизывающее систему магнитное поле В создает крошечные "водовороты"
в электронном "море" (так называемые вихри), по одному на каждый
квант потока магнитного поля Φ0 = h/е (рис. 8г). Представление о водоворотах в данном случае
хорошо отражает действительность, так как таким вихрям в самом деле присуще
некое квантовомеханическое "завихрение" - закручивание фазы. Внутри
вихря плотность электронов ведет себя следующим образом: она стремится к нулю в
центре и выходит на значение средней внешней зарядовой плотности на границе
вихря. Размер вихря приблизительно равен площади, содержащей один квант
магнитного потока (площадь
В = Φ0). Поэтому можно представить, что каждый
вихрь несет в себе один квант потока. Конечно, вихри так же однородно
"размазаны" по плоскости, как и электроны. В соответствии с
требованиями квантовой механики вероятность найти электрон, так же, как и
вихрь, в определенном месте остается полностью однородной (рис. 8д).
Электрон и вихрь - в некотором смысле объекты противоположного
типа: первый представляет собой сгусток заряда, а второй - его отсутствие.
Увязка их относительного расположения может оказаться энергетически очень
выгодной. Например, очень благоприятная ситуация возникает при размещении вихря
непосредственно на электроне, так как середина водоворота вытесняет из себя все
соседние заряды и удерживает их на расстоянии, уменьшая тем самым взаимное
отталкивание.
Необходимо, чтобы каждый электрон был окружен одним вихрем. На
языке электронов и вихрей - это способ выполнения в данной системе принципа
Паули, который в этой ситуации требует, чтобы два электрона не находились в
одном и том же положении. Водоворот представляет собой искомое убежище. При
полном заполнении нижнего уровня Ландау, когда число электронов равно числу
квантов потока, расположение электронов и вихрей полностью определяется
принципом Паули - один вихрь на один электрон, без вариантов (рис. 9). Этой
есть условие возникновения ЦКЭХ с i=1. Его нетрудно обобщить для i=2,3,4,...,
если включить в рассмотрение большее число уровней Ландау и учесть наличие
спина у электрона. Таким образом, ЦКЭХ управляется принципом запрета Паули для
электронов. Другими словами, наличие многих электронов учитывается в ЦКЭХ
тривиальным образом - они заполняют пустые состояния. Когда число вихрей
отличается от числа электронов, возникают новые возможности.
Рис.9. Схематическое изображение электрон-вихревого притяжения в
2DES в присутствии магнитного поля. В случае полностью заполненного уровня
Ландау, ν = 1,
число электронов равно числу вихрей, и принцип Паули заставляет вихри
"садиться" на электроны (наличие спина у электронов не учитывается)
Когда магнитные поля превышают величину, соответствующую ЦКЭХ с
i=1, более сильное магнитное поле порождает больше квантов потока, и,
следовательно, вихрей становится больше, чем электронов. Принцип Паули
выполняется при размещении по одному вихрю на каждом электроне (см. рис. 10а),
но при этом остаются неиспользованные вихри. Электростатическая кулоновская
энергия электронной системы могла бы значительно уменьшиться при размещении
более одного вихря на каждом электроне (рис.10б).
Большее количество вихрей на электроне образуют более мощный
водоворот и оттесняют соседние электроны еще дальше, таким образом, уменьшая
энергию отталкивания. Возникающее при этом относительное движение электронов не
управляется более принципом Паули, а определяется, главным образом,
возможностью уменьшения кулоновской энергии. Это - основной механизм
электрон-электронных корреляций в 2DES, помещенной в магнитное поле. Описание
электрон-электронных корреляций на языке захвата вихрей электронами облегчает
понимание этого сложного многочастичного взаимодействия.
Рис. 10. Схематическое изображение электрон-вихревого притяжения
при дробном заполнении уровня Ландау, ν=1/3. Теперь вихрей в три раза больше, чем
электронов. Принцип Паули удовлетворяется при размещении по одному вихрю на
каждый электрон (а)