Компьютерные технологии решения задач электроснабжения
Федеральное
агентство по образованию
Государственное
образовательное учреждение высшего
профессионального
образования
«ТОМСКИЙ
ПОЛИТЕХНИЧЕСКИЙ УНИВЕРСИТЕТ»
Институт -
Электротехнический
Направление -
Электроэнергетика
Кафедра - ЭПП
Пояснительная
записка к курсовому проекту
Компьютерные технологии решения задач электроснабжения
Выполнил
Студент гр.
Акимов Н.Л.
Томск - 2012
Введение
компьютерный электрическая сеть график нагрузка
Рост технической оснащенности современных промышленных предприятий,
увеличение единичной мощности оборудования, усложнение производственных
процессов и связей между отдельными звеньями производства обуславливают
необходимость повышения качества управления технологическими процессами, а
также потребность в оперативной и достоверной коммерческой и технологической
информации. Информации, которая позволила бы предприятию снизить финансовые
затраты, как за счет снижения затрат электроэнергии, и ее сверхлимитного
расходования, так и за счет перехода на более выгодные тарифные системы.
Системы электроснабжения промышленных предприятий являются сложными
производственными объектами кибернетического типа, все элементы которых
участвуют в едином производственном процессе, основными специфическими
особенностями которого являются быстротечность явлений и неизбежность
повреждений аварийного характера. Поэтому надежное и экономичное
функционирование систем электроснабжения возможно только при автоматическом
управлении ими.
Для автоматического управления системой электроснабжения в целом и
обеспечения экономичности нормальных режимов ее работы в настоящее время
применяются автоматизированные системы управления технологическим процессом и
автоматизированные системы контроля и учета энергоресурсов, построенные на
основе использования цифровых универсальных и специализированных (управляющих)
электронных вычислительных машин. Поэтому необходимы автоматические
информационные устройства, обеспечивающие сбор и передачу информации от
контролируемых пунктов на диспетчерские пункты, где находятся ЭВМ и
диспетчерский персонал
Для автоматического управления системой электроснабжения был выбран пакет
ТРЕЙС МОУД что обуславливается, прежде всего, наличием единой интегрированной
среды разработки, объединяющей в себе более 10 различных редакторов проекта, среди
которых: редактор программ на визуальном языке Techno FBD, позволяющий
создавать алгоритмы программ пользователю с квалификацией электрика, а не
программиста, а также удобный и простой в освоении графический редактор. Кроме
того, интегрированная среда разработки TRACE MODE содержит обширные библиотеки
готовых компонентов и алгоритмов: свыше 1000 графических изображений, свыше 600
анимационных объектов, более 150 алгоритмов обработки данных и управления.
В качестве основных задач в данной работе были определены: построение
графических экранов оператора АРМ, написание программ для расчета основных
параметров электрической сети и коэффициентов графика нагрузки, представление
информации о количестве и стоимости потребленной электроэнергии, осуществление связи
оболочки со средствами MatLab
и TraceMode через ОРС сервер.
Создание схемы выполняется на основе расчетов, произведенных ранее в
пределах курса «Основы расчета электроснабжения». Воспроизводим уже имеющуюся
схему в пределах среды Trace mode
Рисунок 1-Мнемосхема электроснабжения завода
Для осуществления дистанционного контроля за аппаратами защиты был
смоделирован пульт управления и выполнены привязки соответствующим аппаратам.
Рисунок 2-Пульт управления
Для наглядного отображения действия аппаратов защиты, а также
функционирования системы применяется цветовая динамизация различных её
объектов. Для выполнения динамизации используем FBD программирование для создания логики переключения
цвета. Далее можно видеть пример такой программы для выключателей низшего
напряжения.
Рисунок 3-Программа динамизации цвета выключателей низшего напряжения
Программа динамизации цвета кабельных линий, для индикации напряжения,
приведена ниже.
Рисунок 4-Программа динамизации цвета кабельных линий
Программа динамизации цвета шин выполняется аналогичным образом
Рисунок 5-Программа динамизации цвета шин
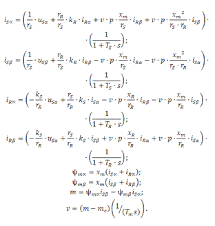
2.Создание графиков нагрузок
.1 Моделирование асинхронного двигателя в Matlab
Режимы работы потребителей электрической энергии не остаются постоянными,
а непрерывно изменяются в течение суток, недель и месяцев года. Соответственно
изменяется и нагрузка всех звеньев передачи и распределения электроэнергии.
Изменение нагрузок электроустановок в течение времени принято изображать
графически в виде графиков нагрузки.
Существенная доля нагрузки промышленного предприятия может быть
представлена в виде электрических двигателей. Одним из типов электрических
машин является асинхронный двигатель с короткозамкнутым ротором (АКЗ).
Произведем моделирование асинхронного двигателя с помощью дифференциальных
уравнений, описывающих его поведение и программного пакета Matlab




.
На
этой основе определяются базовые значения всех переменных и коэффициентов,
входящих в уравнения, а также базового времени

,


,

Рисунок
6- модель двигателя в среде Matlab
Осциллоскопы
измеряют относительные значения электромагнитного момента и скорости
Рисунок
7-Осциллограммы скорости и момента
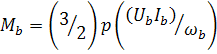
В
целях оценки реальных значений показателей энергоэффективности необходимо
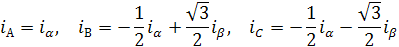
перейти к именованным единицам, учитывая, что в неподвижной системе координат
вектор фазного тока (напряжения) может быть представлен в алгебраической и
показательной форме
Дальнейшее
преобразование числа фаз
.2Технология
связи matlab и trace mode через ОРС сервер
Пакет MatLab содержит специальные OPCtool элементы, которые позволяют создать
виртуальную связь обмена данными между клиентом и ОРС сервером.
Необходимую нам величину подаём на блок ОРС-write, при этом считывать значение ОРС сервера можно с
помощью блока OPC-read. Далее можно отследить изменение значения в
соответствующей ячейке(top)
ОРС сервера. Для отображения величины в Trace Mode создаём соответствующий канал и выполняем привязки.
Рисунок 8-Передача величины активной мощности двигателя в ОРС сервер
Рисунок 9-Отображение величины в ОРС сервере
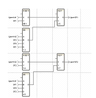
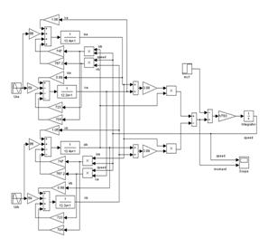
Для создания графика нагрузки цеха реализуем включение различного
количества двигателей в различный период времени и отображаем их суммарную
мощность.
При расчете стоимости электроэнергии используем тарифную ставку 2х
ставочного тарифа, при котором оплата производится в соответствие с
фактическими объёмами потребленной электроэнергии и заявленной мощностью,
участвующей а пике нагрузки системы. Потребленная энергия рассчитывается как
интеграл функции зависимости мощности от времени
Фрагмент соответствующей программы можно видеть ниже.
Рисунок 10- Программа создания нагрузки и расчета стоимости
электроэнергии
Показатели качества электроэнергии определяем с помощью блока stat, позволяющего определить
максимальное, минимальное и средние значения графика.
Рисунок 11-Использование блока STAT
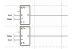
Коэффициент заполнения графика и коэффициент максимума определяются в
соответствие с формулами:
.
Рисунок
12-Определение
и
Рисунок 13-Итоговый график нагрузок и гистограмма стоимости
3. Создание автомата Мура для управления пускозащитной
аппаратурой высоковольтного двигателя
Заданный тип двигателя: АКСБ - 15 - 44
Структурная схема пуска высоковольтного двигателя (рис.5) содержит
следующую информацию. Исполнительные органы:
· М - трехфазный асинхронный двигатель с фазным ротором;
· М1 - привод масляного насоса системы принудительной смазки;
· М2 - сервопривод устройства замыкания ротора накоротко и
подъема щеток (УЗЩ);
· М3 - привод вентилятора для форсированного воздушного
охлаждения асинхронного двигателя;
· R - пусковой реостат;
· Q - силовой выключатель.
· HL1- индикация состояния «Пуск начат»
· HL1- индикация состояния «Пуск окончен»
· TW1, TW2, TW3 -реле времени