Физиологическое воздействие эмульгаторов на организм человека

  • Вид работы:
    Курсовая работа (т)
  • Предмет:
    Другое
  • Язык:
    Русский
    ,
    Формат файла:
    MS Word
    235,12 Кб
  • Опубликовано:
    2012-04-17
Вы можете узнать стоимость помощи в написании студенческой работы.
Помощь в написании работы, которую точно примут!

Физиологическое воздействие эмульгаторов на организм человека

Содержание

Введение

.        Гигиеническая регламентация пищевых добавок в продуктах питания

1.1 Мера токсичности вещества

1.2 Установление безопасности эмульгаторов

.        Основные группы пищевых ПАВ

2.1 Моно- и диглицериды жирных кислот и их производные (Е471, Е472а-E472g)

2.2 Фосфолипиды (Е322, Е442)

2.3 Эфиры сорбитана (Е491--Е496)

2.4 Эфиры полиоксиэтиленсорбитана (Е432-Е436)

2.5 Эфиры полиглицерина (Е475)

2.6 Эфиры сахарозы (Е473)

Заключение

Список использованной литературы

Введение

Взаимоотношения человека и окружающей среды с точки зрения охраны внутренней среды человека, а следовательно, сохранения и укрепления здоровья, профилактики инфекционных и неинфекционных заболеваний являются одной из глобальных проблем. Особенно актуальной она становится в последнее время в связи с усилением загрязнения окружающей среды, сложной, нестабильной, а порой и критической экологической ситуацией во многих регионах мира, в том числе и нашей стране.

Наряду с загрязнением окружающей среды следует выделить один из самых значимых факторов, влияющих на состояние здоровья человека и популяции в целом, - питание. Этот вопрос всегда был одним из важнейших для человеческого общества, поскольку все, кроме кислорода, человек для своей жизнедеятельности получает из пищи и воды. При этом следует отметить в виду, что пища имеет принципиальное отличие от других факторов. В процессе питания она превращается из внешнего фактора во внутренний, и ее компоненты в цепи последовательных превращений трансформируются в энергию физиологических функций и структурные элементы органов и тканей.

В нынешних условиях очевидны и актуальны два относительно самостоятельных аспекта взаимосвязи питания и процессов превращения (биотрансформация) компонентов пищи и чужеродных веществ в нашем организме. Один заключается в том, что пища служит носителем не только пластических и энергетических материалов, но и компонентов непищевого характера, среди которых немало компонентов природного или антропогенного происхождения. Пища является источником необходимых организму пищевых и биологически активных веществ, но наряду с этим и источником различных ксенобиотиков (чужеродных веществ) - радионуклидов, ядохимикатов (пестецидов), нитратов, нитритов, микотоксинов, разного рода биологических загрязнителей (микроорганизмов, вирусов, гельминтов) и др.

В то же время химический состав пищи как в традиционном его понимании (содержание пищевых и биологически активных веществ - белков, жиров, углеводов, витаминов, минеральных макро-микроэлементов, воды), так и с учетом не пищевых компонентов оказывает регулирующее влияние практически на все системы живого организма, ответственные за транспорт, метаболизм, обезвреживание и элиминацию (выведение) ксенобиотиков.

Современные технологии приготовления пищевых продуктов массового потребления предусматривает широкое применение различных пищевых добавок, в том числе и эмульгаторов. В эту группу пищевых добавок входят вещества, которые, будучи добавленными к пищевому продукту, обеспечивают возможность образования и сохранения однородной дисперсии двух или более несмешивающихся веществ.

Строго говоря, под термином "эмульгатор" подразумевают химические вещество, способное (при растворение или диспергирование в жидкости) образовывать и стабилизировать эмульсию, что достигается благодаря его способности концентрироваться на поверхности раздела фаз и снижать межфазное поверхностное натяжение.

В качестве первых пищевых эмульгаторов использовались натуральные вещества, в частности, камеди, сапонины, лецитин и др. И хотя некоторые из них сохранили свою популярность, наиболее широко в пищевой индустрии используются синтетические эмульгаторы или продукты химической модификации природных веществ, промышленное производство которых начало развиваться в двадцатые годы 20-го столетия.

Широкое использование пищевых добавок потребовало разработки их классификации, создания технологий применения и гигиенической регламентации.

1. Гигиеническая регламентация пищевых добавок в продуктах питания

Пища - источник энергии, пластических материалов и биологически активных веществ для человека. Наряду с необходимыми и полезными для нашего организма веществами с пищей поступает большое число вредных и посторонних веществ природного, антропогенного или биологического происхождения, а также посторонних веществ, специально вносимых по технологическим соображениям.

Поступая с пищей в наш организм, эти различные по своей природе соединения могут вызывать острые, подострые, хронические интоксикации или иметь отдаленные последствия.

Под токсичностью веществ понимается их способность наносить вред живому организму. Любое химическое соединение может быть токсичным. По мнению токсикологов, следует говорить о безвредности химических веществ при предлагаемом способе их применения. Решающую роль при этом играют:

-       доза (количество вещества, поступающего в организм в сутки);

-       длительность потребления;

-       режим поступления;

-       пути поступления химических веществ в организм человека.

1.1 Мера токсичности вещества

Количественная характеристика токсичности веществ крайне сложна, ее определение требует проведения специальных исследований и многостороннего подхода. Судить о токсичности веществ приходится по результатам воздействия изучаемого вещества в первую очередь на организм экспериментальных животных, для которых характерны индивидуальные реакция и вариабельность, поскольку в группе испытуемых животных всегда присутствуют более или менее восприимчивые к действию изучаемого на токсичность химического вещества (токсина) индивидуумы.

Приняты две основные характеристики токсичности: ЛД50 и ЛД100, ЛД - аббревиатура летальной дозы, т. е. дозы, вызывающей при однократном введении гибель 50 или 100 % экспериментальных животных. Дозу обычно определяют в размерности концентрации. Токсичными считают вещества с низкими значениями ЛД.

Крайне важной является величина, обозначаемая t0,5, которая характеризует время полувыведения токсина и продуктов его превращения из организма. Для различных токсинов оно может составлять от нескольких часов до нескольких десятков лет.

Кроме ЛД50, ЛД100 и t0,5 в токсикологических экспериментах на животных принято указывать еще и время гибели объектов (100 или 50 %). Но такие эксперименты следует проводить в течение многих месяцев, а иногда и лет, поэтому в условиях непродолжительного контроля к малотоксичным можно отнести вещества токсичные, но проявляющие свое губительное действие лишь через длительное время.

Кроме того, необходимо учитывать еще ряд факторов. Это и индивидуальность различных экспериментальных животных, и различное распределение токсинов в органах и тканях, и биотрансформация токсинов, которая затрудняет их определение в организме.

При хронической интоксикации решающее значение приобретает способность вещества проявлять кумулятивные свойства, т. е. накапливаться в исходном объекте и передаваться по пищевым цепям или в органах. Необходимо также учитывать комбинированное действие нескольких вводимых веществ при их одновременном и последовательном поступлении в организм, а также их взаимодействие с макро- и микронутриентами пищевых продуктов, так как человек в течение всей жизни может получать вместе с пищей целый комплекс чужеродных веществ либо в виде контаминантов - загрязнителей, либо и виде добавок к пищевым продуктам.

Комбинированный эффект совместного действия поступающих с пищей веществ является результатом физических или химических взаимодействий, индукции или ингибирования ферментных систем, протекания друг их биологических процессов. Действие одного вещества может быть усилено или ослаблено влиянием других веществ.

В связи с этим различают два основных эффекта: антагонизм - эффект воздействия двух или нескольких веществ, при котором одно вещество ослабляет действие другого; синергизм - эффект воздействия, превышающий сумму эффектов воздействия каждого фактора в отдельности.

В связи с возможным хроническим воздействием посторонних веществ на организм человека и возникающей опасностью отдаленных последствий важнейшее значение приобретают канцерогенное (возникновение раковых опухолей), мутагенное (качественные и количественные изменения в генетическом аппарате клетки) и тератогенное (аномалии в развитии плода, вызванные структурными, функциональными и биохимическими изменениями в организме матери и плода) действия посторонних веществ. Для гигиенический регламентации чужеродных веществ на основе токсикологических критериев международными организациями ООН, ВОЗ, ФЛО и др., а также органами здравоохранения отдельных государств приняты следующие базисные (основные) показатели:

ПДК - предельно допустимая концентрация (мг/кг) вещества в атмосфере, воде и (или) продуктах питания с точки зрения безопасности для здоровья человека, соответствующая установленному законом для каждого конкретного чужеродного (вредного) вещества предельно допустимому количеству (ГОСТ 17.4.1.01-84), которое при ежедневном воздействии в течение сколь угодно длительного времени не сможет вызвать заболеваний или отклонений в состоянии здоровья, обнаруживаемых современными методами исследований, в жизни настоящего и последующих поколений.

ДСД - допустимая суточная доза (мг на 1 кг массы тела) вещества, ежедневное поступление которого не оказывает негативного влияния па здоровье человека в течение всей жизни.

ДСП - допустимое суточное потребление (мг/сут.) вещества, определяемое умножением ДСД на величину средней массы тела (60 кг) и соответствующее количеству, которое человек может потреблять ежедневно в течение жизни без риска для здоровья.

Большинство эмульгаторов не имеет, как правило, пищевого значения, т. е. не является пластическим материалом для организма человека. Однако, как любое химическое соединение, введенное в продукты питания, они могут быть токсичными, поэтому проблеме безопасности эмульгаторов всегда уделяется особое внимание. Применение эмульгаторов, как всяких чужеродных, обычно несъедобных, ингредиентов пищевых продуктов, требует строгой регламентации и специального контроля.

1.2 Установление безопасности эмульгаторов

Безвредность эмульгаторов определяется на основе широких сравнительных исследований, предпринимаемых такими органами, как Объединенный комитет экспертов по пищевым добавкам (ОКЭПД) ФАО - ВОЗ (Joint FAO/WHO Expert Committee on Food Additives) и Научным комитетом по продуктам питания (НКПП) Европейского Союза. Использование эмульгаторов запрещено, если они не прошли соответствующую проверку и не установлено их допустимое суточное потребление (ДСП).

Международный опыт организации и проведения системных токсиколого-гигиенических исследовании эмульгаторов обобщен в специальном документе ВОЗ (1987-1991 гг.) "Принципы оценки безопасности пищевых добавок и контаминантов в продуктах питания".

Согласно Закону Российской Федерации "О санитарно эпидемиологическом благополучии населения" государственный предупредительный и текущий санитарные надзоры осуществляются органами санитарно-эпидемиологической службы. Безопасность применения эмульгаторов в производстве пищевых продуктов регламентируется документами Минздрава РФ на федеральном уровне.

Допустимое суточное потребление (ДСП) является центральным вопросом обеспечения безопасности эмульгаторов в течение последних 30 лет. ДСП обычно выражается в виде цифрового диапазона от 0 до Х [(мг/кг)/сут]. Значение Х выводится на основе оценки данных о токсичности и использования приемлемого фактора безвредности. В случае отдельных эмульгаторов, практически не обладающих токсическим действием, их применение в продуктах питания будет ограничиваться токсическим действием, уровнем технологического эффекта (например, заданным повышением вязкости для загустителя), и их максимально допустимое потребление не будет связано с вопросом о их безвредности. В этих условиях нет необходимости рассчитывать ДСП, и в сопроводительных документах к таким эмульгаторов фиксируется "ДСП не указано", что в отдельных случаях неверно истолковывают как проблемы с базой данных.

Научный комитет по продуктам питания - орган Европейского Союза, который дает консультации по вопросам достаточности питания и безвредности пищевых продуктов и напитков. Все эмульгаторы, которые используются в странах Европейского Союза, внесены в список разрешенных добавок. эмульгаторы, которые не получили официального одобрения и не внесены в указанный список, например, из-за нерешенного вопроса о ее безвредности, не могут быть использованы в странах Европейского Союза. Пищевые добавки, которые включены в список разрешенных, при появлении новых данных подвергаются пересмотру и могут быть уточнены национальными организациями. Безвредность эмульгаторов обеспечивается путем проведения обязательных широких исследований до того, как ОКЭПД ФАО- ВОЗ или НКПП оценят новый эмульгатор и, возможно, включат ее в список разрешенных эмульгаторов. Кроме того, как указывалось, проводится периодический пересмотр одобренных ранее эмульгаторов по мере поступления о них новой информации и совершенствования методов проведения проверки их безвредности. При решении вопроса о безопасности эмульгаторов необходимо ответить на несколько вопросов:

-       какова опасность применения данного химического вещества для здоровья человека (опасность);

-       какова вероятность вредного влияния химического соединения на здоровье человека с учетом уровня его воздействия (риск);

-       какой уровень потребления эмульгатора не будет опасным (риск) для здоровья человека при ее систематическом потреблении в течение всей его жизни.

Изучение безвредности химического вещества начинается с определения любых возможных отрицательных биологических воздействий. Доза, которая используется при проведении исследований на животных, последовательно увеличивается до тех пор, пока не будет получен один из трех следующих результатов:

-       установлена токсичность соединения по отношению к определенной системе организма;

-       выявлено снижение массы тела, указывающее на неспецифическую токсичность или на возможные проблемы при всасывании нутриентов организмом;

-       доза эмульгатора достигнет 5 % от общей массы рациона питания.

Детальное исследование безопасности эмульгатора по всей приведенной выше схеме требуется не во всех случаях. Иногда решение может быть принято после анализа следующих данных:

-          химической структуры вещества;

-          его прогнозируемою воздействии на организм человека;

-          его присутствия в качестве нормальных составных частей в организме человека;

-          его использования в традиционных продуктах питания;

-          знаний о его воздействии на организм человека, содержащихся в литературе.

В случае исследований негенотоксичных воздействий добавки считают, что есть порог воздействия на организм человека, ниже которого вещество не проявляет никакого отрицательного эффекта. Обеспечение безвредности эмульгатора основано на использовании связи между дозой и реакцией на нее для определения приближенного порога токсичности при проведении исследований на животных. Это уровень, не вызывающий видимых отрицательных эффектов, - УНВОЭ [(мг/кг)/сут], он является уровнем воздействия, при котором исследуемые животные не отличаются от животных контрольной группы по сравнению с изменениями, обнаруженными ранее при использовании более высоких доз. Объединенный комитет экспертов по пищевым добавкам ФАО- ВОЗ во избежание неучтенных факторов рекомендовал использовать интегральный коэффициент запаса, равный 100, гарантирующий безопасность с учетом различий чувствительности человека и животных, индивидуальных различий, сложностей оценки потребленного количества продукта, возможности синергического действия добавок и т. д. Для получения безопасного уровня (ДСП) воздействия на человека определенный уровень, не вызывающий отрицательных эффектов (УНВОЭ) по сравнению с контрольной группой, делится на коэффициент безопасности (интегральный коэффициент запаса):

ДСП =

где ДСП-допустимое суточное потребление, (мг/кг массы тела)/сут;

УНВОЭ - уровень, не вызывающий видимых отрицательных эффектов, (мг/кг массы тела)/сут;

- коэффициент безопасности.

При определении ДСД - допустимой суточной дозы средняя масса тела не учитывается:


где ДСД измеряется в (мг/кг)/сут,

УНВОЭ -в (мг/кг)/сут.

Предельно допустимая концентрация эмульгаторов в пищевых продуктах (мг/кг)

ПДК=

где Р - количество продуктов в суточном рационе, в котором может содержаться регламентируемая пищевая добавка, кг.

При этом количество продукта в пищевом рационе берут из рекомендованных в стране средних величин суточного рациона (так называемого стандартного рациона). Величина Р включает только те продукты, в которых может содержаться регламентируемая добавка:

Р =Р1 + Р2+...+ Рn.

Проблема усложняется, если эмульгатор в продуктах, содержащихся в рационе, присутствует в разных количествах. В этом случае ПДК (мг/кг) определяют для каждого продукта:

ПДК =

где ПС - содержание пищевой добавки в данном виде продукта, % к ДСД или к общему содержанию пищевой добавки в продуктах;

М- масса данного вида продукта в стандартном суточном рационе, кг.

После определения ПДК необходимо убедиться, не оказывает ли это количество (мг/кг) негативного влияния на органолептические свойства пищевого продукта и не превышает ли оно технологически необходимые количества. В этом случае вносят соответствующие коррективы. Если ПДК окажется ниже технологически необходимого количества, то испытуемое вещество не разрешают использовать в качестве пищевой добавки.

После утверждения эмульгатора и включения ее в список разрешенных добавок с присвоением индекса Е наблюдение за ней продолжается с учетом новых методов исследования и полученных экспериментальных данных.

2. Основные группы пищевых ПАВ

.1 Моно- и диглицериды жирных кислот и их производные (Е471, Е472а-E472g)

Наиболее известная группа эмульгаторов, промышленное производство которых началось в 20-е годы XX в. Сегодня их доля и в общем потреблении пищевых эмульгаторов составляет около 60 %.

В группу пищевых добавок глицеридной природы входят неполные ацилглицериды (моно- и диглицериды), которые в промышленности получают глицеролизом жиров и масел или этерификацией глицерина высокомолекулярными жирными кислотами, а также продукты их этерификации по первичной гидроксильной группе пищевыми низкомолекулярными кислотами - уксусной, молочной, винной, диацетилвинной и лимонной.

Известны различные типы моноглицеридов, которые в зависимости от вида исходного жирового сырья и технологии получения могут содержать от 40 до 60 % фракции моноэфира в смеси с ди- (34-50 %) и триглицеридами (3,5-10 %) со значениями йодного числа, характеризующего степень не предельности ацилов жирных кислот, от 1 до 100 и температурой плавления от 40 до 70 ºС.

При молекулярной дистилляции продуктов глицеролиза получают дистиллированные моноглицериды, содержащие не менее 90 % моноэфира, представляющего собой смесь α- и β-кристаллических форм, из которых наиболее активной с позиций функциональности является α-форма. Содержание α-формы может варьировать в интервале 40-90 %.

Общая формула, объединяющая эту группу добавок, может быть представлена следующим образом:

пищевой добавка эмульгатор сорбитан

Х1=Н - моноацилглицерины (при Х2= Н ) или их производные при Х2;

Х1=  дилглицерины (при Х2= Н ) или их производные при Х2;

 -ацил высшей жирной кислоты;

В качестве пищевых добавок разрешены семь сложноэфирных модификаций неполных ацил глицеринов, представленных в табл. 1.

По сегодняшним данным добавка E471-472 относится к классу безвредных. Три из них, как и исходные моно- (МГ) и диглицериды (ДГ), относятся к группе безопасных добавок - статус GRAS, применяемых без ограничений. Для остальных допустимая суточная доза (ДСД) составляет 30 мг/кг, а для добавки Е472е - даже 50 мг/кг массы тела человека.

Моноглицериды и диглицериды жирных кислот по своему строению похожи на частично усвоенный натуральный жир и организм перерабатывает данный эмульгатор, как и все остальные жиры. Соответственно вред организму связанный с чрезмерным потреблением жиров могут нанести непосредственно сами продукты, содержащие эту добавку при их постоянном потреблении в большом количестве. Они легко перевариваются и усваиваются точно так же, как жиры. Опасности по ГН-98 отсутствуют. Эфиры глицерида жирных кислот и их производных также полностью гидролизуются и усваиваются. Высокая гидролитическая способность этих эмульгаторов приводит к тому, что обычно уже в пищевом продукте, особенно в хлебобулочных изделиях, они в большой степени разлагаются на моноглицериды и производные и тем самым выводятся из кишечника.

ДСП 50 мг/кг веса тела в день. Опасности по ГН-98 отсутствуют.

Таблица 1 - Эфиры глицерида и жирных кислот

Е-номер

Пищевая добавка

Х2

ДСД, мг/кг Массы тела человека

Е471

Моно- и диглицериды жирных кислот

GRAS*

Е472а

Эфир уксусной кислоты и моно-, диглицеридов жирных кислот

GRAS

Е472b

Эфиры молочной кислоты и моно-, диглицеридов жирных кислот

GRAS

Е472с

Эфиры лимонной кислоты и моно-, диглицеридов жирных кислот

GRAS

E472d

Эфиры винной кислоты и моно- и диглицеридов жирных кислот

0…30

Е472е

Эфиры диацетилвинной кислоты и моно-, диглицеридов жирных кислот

0…50

Е472g

Эфиры янтарной кислоты и моноглицеридов(сукцинилированные моноглицериды)

0…30

* GRAS - Generally Regarded As Safe - совершенно безвредны.

Все добавки этой подгруппы - липофильные неионогенные эмульгаторы.

По своим технологическим функциям пищевые добавки глицеридной природы являются эмульгаторами и стабилизаторами пищевых дисперсных систем. Их модификация с образованием различных производных позволяет направленно изменять ГЛБ молекул, следовательно, их поверхностную активность на границах раздела фаз.

Дефиниции этих добавок, связанные с образованием и стабилизацией однородных дисперсных систем из двух и более несмешивающихся фаз, определяют основные области их применения в пищевых продуктах.

Введение в структуру глицеридных молекул ацилов низкомолекулярных кислот обеспечивает формирование новой технологической функции комплексообразования.

Производные моноглицеридов нашли применение в кондитерском промышленности, хлебопечении, при производстве майонезов и маргаринов, мороженого, напитков, макаронных изделий и т. л.

Применение моно- и диацилглицеринов в хлебопечении улучшает качество хлеба, замедляет процесс черствения, в макаронной промышленности позволяет механизировать технологический процесс и повысить качество изделий (макароны перестают быть клейкими). В производстве маргаринов и майонезов добавки моно- и диацилглицеринов оказывают эмульгирующее, стабилизирующее и пластифицирующее действие.

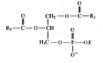
2.2 Фосфолипиды (Е322, Е442)

В соответствии с Директивой Европейского Союза лецитины (Е322) представляют собой смесь фракций фосфатидов, полученную из животных или растительных объектов физическими методами, включающими использование ферментов. Содержание в этой смеси веществ, нерастворимых в ацетоне (собственно фосфолипидов), составляет не менее 56-60 %.

Коммерческие лецитины включают следующие основные фракции: фосфатидилхолины, т. е. собственно лецитины (до 25 %), фосфатидилэтаноламины (до 25 %), фосфатидилсерины (до 15 %), фосфатидилинозиты и фосфатидные кислоты (5-10 %).

Аммониевые фосфатиды (Е442) представляют собой смесь аммониевых солей различных фосфатидных кислот, являющихся продуктами взаимодействия ортофосфорной кислоты с одним, двумя или тремя остатками ацетилглицеринов.

Общая формула и основные фракции природных и синтетических фосфолипидов представлены ниже.


Лецитины (Е322):Н - фосфатидные кислоты;CН 2CH2N+(CH3)3 - фосфатидилхолины (лецитины);

Х -CH 2CН 2N+Н3 - фосфатидилэтаноламины (кефалины);

Х -  - фосфатидилсерины;

Х -- фосфатндилинозиты.

Аммониевыс фосфатилы (Е442):

Х= N + Н4 -аммониевая соль фосфатидной кислоты.

Основным источником промышленного получения лецитинов для пищевой промышленности служат масличные культуры (главным образом соя, реже - подсолнечник), из которых их выделяют гидратацией масел. Концентрированным источником фосфолипидов животного происхождения является яичный желток.

Лецитины являются классическими природными эмульгаторами и антиокислителями в яйце, сливках и сливочном масле. При добавлении к пищевым продуктам лецитин:

)        образует комплексы с тяжёлыми металлами, усиливая действие антиоксидантов (0,1-0,5%);

)        стабилизирует капли жира в эмульсиях, содержащих яичный белок, окружая их защитным слоем (0,2-1%);

)        при замесе теста усиливает действие пшеничного глютена и укрепляет таким образом клейковину, что приводит к получению более пластичного теста, лучшему пропеканию и замедлению черствения (0,3-0,8% от веса муки);

)        оказывает влияние на кристаллическую структуру и свойства текучести частично расплавленных жиров. При коншировании (вальцевании) шоколадных масс незначительные количества лецитина снижают их вязкость, но при большей добавке лецитина она резко возрастает (0,2-0,4%);

)        регулирует смачиваемость порошков и гранулятов, ускоряя их растворение, например сухого молока, сухих напитков и какао- порошка (0,2-1%).

В странах Европы, Соединенных Штатах Америки и Японии лецитины имеют статус GRAS, их применение в пищевых продуктах не лимитируется.

В отличие от своих природных аналогов аммониевые фосфатиды не имеют статуса GRAS, применение их в пищевых продуктах регламентируется соответствующими директивами.

Лецитин - необходимое для организма вещество. Из лецитина состоит 50% печени, 1/3 мозговых изолирующих и защитных тканей, окружающих головной и спинной мозг. Лецитин необходим организму как строительный материал для обновления поврежденных клеток. Он играет ключевой ролью в обеспечении полноценной работы мозга и нервной системы.

В отличие от большинства других пищевых добавок препараты фосфолипидов обладают высокой физиологической эффективностью, связанной с уменьшением уровня холестерина в крови, улучшением функции печени и состояния центральной и периферической нервной систем, торможением процессов старения организма и нормализацией иммунобиологической реактивности организма.

Лецитин в организме человека полностью расщепляется и усваивается. Это важная составная часть клеточных мембран, а также клеточный транспорт жиров, холестерина и фосфатированных соединений. Фосфатидилинозиты и фосфатидилхолины играют роль витаминов. Эти витамины организм человека не всегда синтезирует в нужном количестве.

Лецитин - это основное транспортное средство для доставки питательных веществ, витаминов и лекарств к клеткам. При дефиците лецитина снижается эффективность воздействия лекарственных препаратов.

Лецитин является мощным антиоксидантом, предупреждает образование высокотоксичных свободных радикалов в организме. Лецитин может вызывать аллергические реакции.

Экспериментальные результаты для глубоко переэтерифицированных лецитинов отсутствуют, но можно предположить ферментативное расщепление аналогично эфирам кислот моноглицеридов, а также полную утилизацию. И хотя диетологи не относят фосфолипиды к незаменимым факторам питания, эти добавки являются физиологически ценными компонентами пищи, суточная потребность в которых составляет около 5 г. В связи с этим использование фосфолипидов выходит за рамки решения только технологических задач и создает предпосылки для создания новых видов продуктов питания, оказывающих положительное влияние на здоровье человека. ДСП не ограничено. Опасности по ГН-98 отсутствуют.

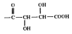
.3 Эфиры сорбитана (Е491--Е496)

Эта группа пищевых добавок представляет собой сложные эфиры шестиатомного спирта сорбита в моноангидроформе (моноангидросорбита, или сорбитана) с природными высшими жирными кислотами - лауриновой, пальмитиновой, стеариновой и олеиновой. Сложные эфиры ангидросорбита и жирных кислот иногда называют сокращенно СПЭНами.


Таблица - 2 - Эфиры сорбитана, разрешенные к применению при производстве пищевых продуктах.

Е-номер

Эфиры сорбитана

Х1

Х2 и Х3

Е491

Сорбитанмоностеарат

Н

Е492

Сорбитантристеарат

Е493

Сорбитанмонолаурат

Н

Е494

Сорбитанмоноолеат

Н

Е495

Сорбитанмонопальмитат

Н

Е496

Сорбитантриолеат


Добавки этой подгруппы служат липофильными неионогенными эмульгаторами. ГЛБ для сорбитанмоностеарата составляет 4,7.

Эфиры сорбитана медленно расщепляются в кишечнике на компоненты (сорбит и кислоту). Сорбит всасывается в тонком кишечнике незначительно, в толстом кишечнике расщепляется ферментами, затем усваивается инсулинонезависимо с высвобождением около 2,4 ккал/г. Жирная кислота полностью расщепляется и усваивается путём β-окисления.

ДСП 0-25 мг/кг веса тела в день индивидуально или суммарно с другими СПЭНами. Опасности по ГН-98 отсутствуют.

Области использования этих добавок в пищевых продуктах связаны с технологическими функциями эмульгаторов, стабилизаторов и пеногасителей. Эфиры сорбитана используются в производстве мучных кондитерских изделий, сухих дрожжей и забеливателей для кофе. В производстве маргаринов они применяются для модификации кристаллов жира.

2.4 Эфиры полиоксиэтиленсорбитана (Е432-Е436)

Представляют собой оксиэтилированные эфиры сорбитана эфиры моноангидросорбита с жирными кислотами, в молекулах которых свободные ОН-группы замещены оксиэтилированными группами:


Моноэфиры: Х1 -; Х23-Н;

лаурат (Е432), твин 20; олеат (Е433), твин 80; пальмитат (434), твин 40; стеарат (Е435), твин 60.

Триэфиры: X1, Х2, Х3 -  тристеарат (Е436), твин 65.

В эфирах пищевого назначения степень оксиэтилирования - п равна 20, т. е. добавки этой подгруппы представляют собой эфиры полиоксиэтилен(20)сорбитана.

Коммерческие препараты добавок этой группы получили название "Полисорбаты" или "Твины".

Эти неионогенные эмульгаторы получают взаимодействием окиси этилена с эфирами ангидросорбита и жирных кислот в среде 1,4-диоксана.

В зависимости от особенностей пищевой системы ПАВ этой подгруппы могут проявлять технологические функции эмульгатора, стабилизатора, пеногасителя, смачивающего агента и добавки, контролирующей пенообразование.

Жирные кислоты очень медленно расщепляются щелочами и липазами. Твины меняют всасываемость содержимого кишечника, так что может измениться способность к ресорбции даже невсасываемых веществ, может увеличить усвояемость организмом жиров. Полиоксиэтиленсорбитаны выделяются из организма нерасщеплёнными с калом или мочой.

ДСП 0-25 мг/кг веса тела в день индивидуально или суммарно. Опасности по ГН-98 отсутствуют. Эфиры полиоксиэтиленсорбитана применяются при производстве мороженого, сливок для кофе, замороженных десертов, кексов и других кондитерских изделий.

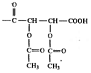
2.5 Эфиры полиглицерина (Е475)

Добавки этой группы представляют собой сложные эфиры жирных кислот с полиглицерином и могут быть представлены в виде общей формулы:



где R - углеводородный остаток высшей жирной кислоты.

Технология их получения основана на полимеризации глицерина с последующей этерификацисй пищевыми жирами или высшими жирными кислотами (пальмитиновой, стеариновой и олеиновой).

Эфиры полиглицерина - неионогенные ПАВ. Они могут проявлять как гидрофильные, так и липофильные свойства со значениями ГЛБ от 5 до 13, что зависит от степени полимеризации глицерина (преимущественно п = 1, 2, 3, 4) и степени этерификации гидроксильных групп.

Добавка официально разрешена для применения в пищевой промышленности на территории РФ, как "не оказывающая вредного влияния на организм человека" (согласно приложениям к СанПиН 2.3.2.1078-01).

В организме человека добавка E475 гидролизируетсятся до моноглицеридов, диглицеридов и свободных жирных кислот. Она усваивается организмом точно так же, как и остальные жиры. Расщепление происходит благодаря содержащемуся в организме ферменту - липазе, свободные полиглицерины выделяются из организма через почки. ДСП 1-25 мг/кг веса тела в день. Опасности по ГН-98 отсутствуют.

Их применение в пищевой промышленности связано с технологическими функциями эмульгаторов, пеногасителей, смазочных материалов, замутнителей. Основные объекты использования - хлебопекарные и кондитерские изделия, а также маргариновая продукция. ДСД эфиров полиглицерина в общем случае не должна превышать 25 мг/кг массы тела человека.

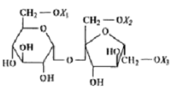
2.6 Эфиры сахарозы (Е473)

По химической природе они представляют собой смесь преимущественно моно-, ди- и триэфиров сахарозы с природными высшими жирными кислотами:


Моноэфиры: Х1, Х2 - Н; Х3 -

Диэфиры: Х1, Х3 - ; Х2 - Н;

Триэфиры: Х1, Х2, Х3 -

Получение этих добавок основано на реакции между сахарозой и метиловыми или этиловыми эфирами пищевых кислот жирного ряда в среде органического растворителя (диметилсульфоксида или диметилформамида), остаточное содержание которого в пищевой добавке не должно превышать 1 или 2 мг/кг (соответственно для диметилформамида и диметилсульфоксида).

Общее содержание эфиров должно составлять не менее 80 % при контролируемом уровне содержания сахарозы не более 5 % и свободных жирных кислот не более 3 %.

В организме медленно расщепляются ферментами на жирные кислоты и сахар.

В небольшом количестве безвреден, но передозировка может вызвать проблемы с желудочно-кишечным трактом: боли в желудки, тошнота, диарея, вздутие.

ДСД эфиров сахарозы 10 мг/кг массы тела человека.

Применение эфиров сахарозы и пищевой промышленности связано с их технологической функцией эмульгаторов, образующих и поддерживающих в однородном состоянии смеси несмешиваемых фаз в широком диапазоне качественного и количественного составов. В связи с этим спектр применения этих добавок очень широкий - от пищевых эмульсий до структурированных систем.

Эмульгирующие и влагоудерживающие свойства эфиров сахарозы эффективны в технологиях майонезов, маргаринов, соусов, диетических молочных продуктов и мороженого. Введение этих добавок в рецептуры хлебобулочных и мучных кондитерских изделий замедляет процессы их черствения, улучшает структуру продукта. Поверхностная активность эфиров сахарозы в пищевых суспензиях проявляет ся в изменении реологических свойств последних и влиянии па консистенцию продукта. Введение добавки эфиров сахарозы, например в расплавленную шоколадную массу, приводит к снижению вязкости и структурной прочности массы, облегчает процесс конширования.

Заключение

Проведенный анализ и исследования международных организаций показывают, что эмульгаторы, даже применяемые для решения одних и тех же задач, характеризуются разнообразием химических структур, метаболических путей в организме и биологическим действием. Использование ДСП обеспечивает такое положение, при котором потребление каждого эмульгатора находится ниже уровня, который может вызвать какой-либо нежелательный эффект. Добавки взаимодействуют друг с другом только в тех случаях, когда химические вещества действуют посредством одного и того же механизма действия и их комбинированное потребление превышает ДСП (после поправки на различие в силе действия), поэтому нежелательные эффекты в результате взаимодействия между пищевыми добавками маловероятны. Это подтверждается результатами постоянно проводимого изучения разрешенных к использованию пищевых добавок.

Эмульгаторы, спектр применения которых непрерывно расширяется, выполняют разнообразные функции в пищевой технологий и продуктах питания. Их использование возможно только после проверки их безопасности.

Внесение эмульгатора не должно увеличивать степень риска, возможного неблагоприятного действия продукта на здоровье потребителя, а также снижать его пищевую ценность (за исключением некоторых продуктов специального и диетического назначения).

Определение правильного соотношения между дозой и реакцией человека на нее, использование высокого коэффициента безопасности гарантируют, что применение эмульгатора при соблюдении уровня ее потребления не опасно для здоровья человека.

Важнейшим условием обеспечения безопасности пищевых продуктов является соблюдение допустимой нормы суточного потребления эмульгатора (ДСП).

В Российской Федерации возможно применение только тех эмульгаторов, которые имеют разрешение Госсанэпиднадзора России, в пределах, приведенных в Санитарных правилах.

Эмульгаторы следует вносить в пищевые продукты в минимально необходимом для достижения технологического эффекта количестве, но не более установленных Санитарными правилами пределов.

Исследование безопасности эмульгаторов, определение ДСД, ДСП, ПДК - сложный, длительный, очень дорогой, но крайне нужный и важный для здоровья людей процесс. Он требует непрерывного внимания и совершенствования.

Список использованной литературы

1.      Нечаев А.П. Пищевые добавки: Учебники и учеб. Пособия для студентов высших учебных заведений/ Нечаев А.П., Кочеткова А.А., Зайцев А.И. - М.: Колос, Колос-Пресс. 2002. - 256 с.

.        Голубев В.Н. Пищевые и биологически активные добавки: Учеб. для студ. высших учебных заведений/Голубев В. Н., Чичева-Филатова В. Е., Шленская Т. В. - М.: Издательский центр "Академи", 2003. - 208 с.

.        Нечаев А. В. Безопасность продуктов питания: Учебное пособие/ Нечаев А. В., Витол И. С. - Москва, 1990. - 44 с.

.        Сарафанова Л.А. Пищевые добавки: энциклопедия / Л.А. Сарафанова, Изд. 2-е.- СПб.: Изд.-во Гиорд, 2004.- 808 с.

.        Принципы оценки безопасности пищевых добавок и контаминантов в продуктах питания. - М.: "Медицина", 1991 г. - 158 с.

.        http://arivera.ru/organic/truth/threat/addition_e.html?PHPSESSID=af2f2d98962cf09076aa849a99e52a3c

.        http://dobavkam.net/tegi/emulgatory

.        http://fitfan.ru/nutrition/dobavki/2667-e322.html


Не нашли материал для своей работы?
Поможем написать уникальную работу
Без плагиата!
Без нейросетей!