Управление техническим состоянием машинного комплекса

  • Вид работы:
    Дипломная (ВКР)
  • Предмет:
    Транспорт, грузоперевозки
  • Язык:
    Русский
    ,
    Формат файла:
    MS Word
    506,04 kb
  • Опубликовано:
    2012-03-11
Вы можете узнать стоимость помощи в написании студенческой работы.
Помощь в написании работы, которую точно примут!

Управление техническим состоянием машинного комплекса

Петербургский Государственный университет

«Путей Сообщения».

Кафедра «Подъёмно-транспортные, строительные и подъёмные машины и оборудование»








Курсовой проект по дисциплине

«Эксплуатация машин»

на тему

«Управление техническим состоянием машинного комплекса»


Выполнила:

студентка группы ПТМ




Санкт-Петербург

год

Содержание курсового проекта:

1. Введение. Цель и задачи курсового проектирования

. Оформление задания на проектирование

. Расчет временных режимов работы машин комплекса

. Построение структур ремонтных циклов машин и графическое определение числа ТО и Р для каждой машины комплекса

. Аналитическое определение числа ТО и Р машин комплекса.

. Определение времени выведения машин в обслуживание и ремонт

. Построение годового плана и месячных планов-графиков ТО и Р машин комплекса

. Расчет годовой программы и распределение объемов работ по структурным элементам ремонтного органа (профилакторий, передвижные мастерские, ремонтная зона)

. Расчет потребности в рабочих с распределением их по структурным элементам ремонтного органа и указанием их специализации

. Расчет числа передвижных мастерских, выбор их из серийного ряда. Приведение схемы расположения основного оборудования и перечень дополнительного оборудования (диагностического и специализированного для сборочно-разборочных и смазочно-заправочных работ)

. Проектирование и расчет специализированного оборудования (кондуктор, съемник, диагностический инструмент). Три листа чертежей оборудования и его деталей (формат А4)

. Организация технического обслуживания машин комплекса (выбор места, времени и метода проведения работ)

. Выводы со ссылками на полученные результаты

. Список использованной литературы

1. Введение. Цель и задачи курсового проектирования

Эффективное использование парка погрузочно-разгрузочных, строительных и путевых машин на железных дорогах и в транспортном строительстве в значительной мере зависит от его технического состояния.

Поддержание машин в исправном и работоспособном состоянии осуществляется комплексом работ по техническому обслуживанию, включающем внешний уход, техническое диагностирование, крепежно-регулировочные и смазочно-заправочные работы, устранение отказов и проверку работоспособности. Совокупность этих работ, средств их выполнения, исполнителей и технической документации составляет систему технического обслуживания и ремонта (ТО и Р).

Система ТО и Р предусматривает планирование технических воздействий на машины, их организацию, использование рациональной технологии проведения работ, наличие материально-технического обеспечения и квалифицированных кадров исполнителей.

Планирование технического обслуживания производится с целью определения количества технических воздействий на машины, установления времени их выключения из рабочего процесса для выполнения работ по поддержанию их работоспособности, а также определения объемов работ, потребности в материально-техническом и кадровом их обеспечении. Планирование является подготовительной операцией и основанием для последующих организационных действий, успех которых зависит от качества разработанного плана.

Организация технического обслуживания охватывает различные виды исполнительской и оперативной деятельности ремонтных Служб, направленные на создание условий выполнения намеченного плана. Она включает выбор места, времени и метода проведения работ по обслуживанию машин. От организации обслуживания во многом зависит объем работ, материально-техническое и кадровое их обеспечение. Так, при обслуживании «по техническому состоянию» (с широким привлечением диагностики) значительно сокращаются перечень и объемы работ по сравнению с типовой технологией работ, разработанной заводом-изготовителем машины; при специализации более целенаправленно подбираются исполнители и оборудование.

Планирование и организация работ для своевременного и качественного проведения технических обслуживаний - вопросы, на которые следует обратить основное внимание в курсовой работе с целью получения практических навыков по управлению техническим состоянием машин.

Целью работы является разработка информативного и технического обеспечения технического обслуживания машин для повышения его качества на основе организации работ «по техническому состоянию» и их технологической специализации.

Задачи курсового проекта: планирование технических воздействий на машины, расчет потребности в ресурсах и организация работ по ТО и Р машинного комплекса.

В соответствии с поставленными задачами пояснительная записка к курсовому проекту включает три раздела.

. Расчет и построение годового плана и месячных планов-графиков технического ТО и Р комплекса машин для производства погрузочно-разгрузочных, строительных или путевых работ.

. Определение программы ремонтного органа по обслуживанию заданного комплекса машин в планируемом периоде, загрузка структурных элементов ремонтного органа, расчет потребности в ресурсах для проведения ТО машин в стационарных условиях эксплуатационных баз и на местах использования машин.

. Организация обслуживания машин в зоне ТО эксплуатационных баз и на местах производства механизированных работ, а также транспортирование машин с места их использования на базу.

2. Оформление задания на курсовое проектирование

техническое обслуживание ремонт машина

1. Из технологии производства строительных работ выбираются четыре типоразмера строительных машин для разработки системы управления их техническим состоянием.

. Для выбранных машин из справочников и эксплуатационной документации выписываются нормативы периодичности, трудоемкости и продолжительности всех видов технического обслуживания и ремонта. Поиск нормативов для каждого типоразмера машины производится по ее главному параметру и основным параметрам технической характеристики.

. Вся информация по п. 1 и п. 2 сводится в таблицу (см. приложение).

. В частично заполненную таблицу преподаватель вносит количество машин каждого типоразмера, их текущий ремонтный цикл и запас моторесурса в процентах, после чего задание подписывается к выполнению.

Таблица прилагается к пояснительной записке после введения и постановки цели и задач работы.

Технология работ:

Прокладка трубопровода.

Основные работы:

Технология

Машина

Выравнивание территории.

Бульдозер на базе пневмоколесного трактора класса 1.4т (“Беларусь”).

Разработка карьера

Экскаватор многоковшовый, траншейный с глубиной копания до 15м.

Доставка труб до места укладки.

Кран стреловой гусеничный, грузоподъемностью до 10т.

Укладка труб

Трубоукладчик с грузоподъемностью до 6.3 т.


Исходные данные по курсовому проекту:

Наименование и марка машины

Кол-во единиц

Запас моторесурса, %

Сменность работы

Коэффициент использования сменного времени

Текущий ремонтный цикл

Виды ТО и Р

Периодичность проведения ТО и Р, мотто-ч

Трудоемкость работ, чел-ч

Про-ть работ,дни

Экскаватор ЭО 3322-А

 2

10%  90%

 ксм=1.45

 кв=0.7

Н-к1  Н-к1

ТО1 ТО2 Т К

60 240 960 5760

3 14 260 580

0.2 1 4 8

Бульдозер ДЗ-53

 2

50%  80%

 ксм=1.4

 кв=0.65

Н-к1  Н-к1

ТО1 ТО2 Т К

60 240 960 5760

3 8 240 460

0.1 0.5 4 9

Кран стреловой гусеничный 3575А

 1

 30%

 ксм=1.5

 кв=0.4

 к1-к2

ТО1 ТО2 Т К

60 240 960 4800

6 26 800 1500

0.3 1 9 23

Трубоукладчик ТР12.22.02

 2

60%  30%

 ксм=1.47

 кв=0.8

к1-к2  к2-к3

ТО1 ТО2 Т К

60 240 960 5760

4 14 400 760

0.2 1 6 13


. Расчет временных режимов работы машин

Под режимом работы понимается поведение машины во времени, а именно распределение календарного фонда времени на время непосредственной работы машины на объекте, время транспортирования ее с объекта на объект и ТО и Р на эксплуатационную базу; время пребывания в зоне ТО и Р.

В рабочее время входит продолжительность выполнения операций технологического процесса строительно-монтажных, погрузочно-разгрузочных или путевых работ, затраты времени на передвижение машины по фронту работ, длительность технологических перерывов и внутрисменного обслуживания. Годовой фонд рабочего времени рассчитывается по формуле:

),

где Дк и Дв - соответственно число календарных и выходных дней в расчетном году;

Дк=365.

Дв=114.

Дтр и Дтор - среднегодовые затраты времени на транспортирование машины и ее техническое обслуживание и ремонт, дни.

Суммарное время на транспортирование машины вычисляется в зависимости от числа и дальности перебазировок машины в расчетный период, типа дорог, средних скоростей передвижения при перевозке или буксировке, продолжительности погрузки и выгрузки, включающей необходимые сборочно-разборочные работы и закрепление машины на транспортных средствах. При выполнении расчетов первые три характеристики находятся по схеме транспортных путей (выдается преподавателем), остальные - из рекомендуемой справочной литературы.

Время нахождения машины в зоне ТО и Р в течение планируемого года определяется по формуле:


где Ксм - коэффициент сменности работы машины (по заданию);

tCM - продолжительность рабочей смены, ч;

р - коэффициент, определяющий число дней нахождения машины в зоне ТО и Р в пересчете на один мото-ч работы машины.



где Bi - продолжительность i-го вида обслуживания, дни;

 - число обслуживании i-го вида в ремонтном цикле;

m - число видов обслуживаний и ремонтов;

Тц - периодичность ремонтного цикла машины, ч.

Исходные данные для вычисления р берутся из задания. После расчета дней работы машины определяют ее плановую наработку в рассматриваемом году по формуле:

,

где Кв - коэффициент использования сменного времени (по заданию).

Среднегодовые затраты времени на транспортирование машины Дтр принимаются равными:

Исходя из задания, рассчитываем бульдозер *Беларусь*:

1.

дней/мото-ч;

2. Определим Дтор - среднегодовые затраты времени на техническое обслуживание и ремонт машины:

,

следовательно, получаем:

,934 Дтор=23,44

Дтор=25,1дней=26дней.

.

. Найдемфонд рабочего времени.


. Вычислим Тпл - плановую наработку в рассматриваемом году:

Расчеты для остальных машин производится аналогичным образом.

Результаты расчетов в таблице:

Наименование и марка машины

Коэффициент р, дни/мото-ч

Среднегодовые затраты времени на ТО и Р, Дтор, дни

Годовой фонд рабочего времени Др , дни

Плановая наработка Тпл ,мото-ч

1

2

3

4

5

Бульдозер *Беларусь*

26

Экскаватор многоковшовый До 1.5м

0,01066

25

223

1924

Кран стреловой гусеничный 16т

0,02040

25

223

1137

Трубоукладчик, До 6.3 т

0,01309

25

223

2230


4. Построение структур ремонтных циклов машин. Графическое определение числа ТО и Р для каждой машины комплекса

Опытным путем установлено, что отказы машин возникают в основном из-за износа поверхностей деталей в узлах и агрегатах машин.

Износ, в свою очередь, пропорционален скорости изнашивания и времени работы машин (наработке). На основе учета износовых (зависящих от времени работы) отказов была разработана система ТО и Р «по наработке», когда через определенные наработки назначаются технические воздействия для компенсации износов и снижения скорости изнашивания. Эти работы включают регулировки, смазку, заправочные, крепежные и другие работы. Объемы таких технических воздействий через кратные наработки увеличиваются, переходя от более простых обслуживании (ТО-1) к более сложным (ТО-2) и далее к ремонтам (Т и К).

Структура ремонтного цикла строится исходя из периодичности выполнения технических воздействий, которые назначаются заводом-изготовителем.

В курсовом проекте для каждого типоразмера машин по заданию строится структура ремонтного цикла (на миллиметровке). Затем на каждом графике (в зависимости от запаса моторесурса) откладывается определенная ранее плановая наработка в расчетном году. Из полученного отрезка определяется число ТО и Р, которые необходимо выполнить в расчетном периоде для поддержания или восстановления работоспособности машины.

По результатам построений определяется количество ТО и Р для каждой машины, а также фактические наработки на начало года по каждому виду ТО и Р.

Полученные данные сводятся в таблицу.

Марка машины

Число ТО и Р

Фактические наработки, мото-ч


nк

nт

nто-2

nто-1

Тфк

Тфт

Тфто-2

Тфто-1

Экскаватор многоковшовый.До1.5м

10%

1

1

6

24

5184

384

144

24


90%

0

2

6

24

576

576

96

36

Бульдозер *Беларусь*

50%

0

1

6

23

2880

0

0

0


80%

0

2

6

21

1152

192

192

12

Кран стреловой гусеничный 16т

30%

0

1

3

14

3360

480

0

0

Трубоукладчик, До 6.3 т

60%

0

2

7

28

2304

384

144

24


30%

1

1

8

27

4032

192

192

12


. Аналитическое определение числа ТО и Р машин комплекса в расчетном периоде

Расчет числа ТО и Р каждого вида, планируемого к проведению в

рассматриваемом году для данной машины комплекта, производится по

формуле:


где, - фактическая наработка машины на начало года со времени проведения последнего обслуживания i-го вида, ч;

Ti - периодичность выполнения i-го вида обслуживания, ч;

 - число всех видов ТО и Р данной машины в расчетном году, периодичность которых больше периодичности i-го вида.

Фактическая наработка машины после капитального ремонта находится как часть ремонтного цикла:


- запас моторесурса машины (по заданию) в долях единицы.

Фактическая наработка машины после текущего ремонта и периодических технических обслуживании определяется как произведение периодичности соответствующего вида обслуживания i на дробную часть частного от деления  и .

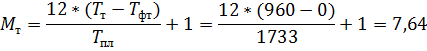
.

Расчеты числа ТО и Р машины начинаются с определения потребности в капитальном ремонте и далее по убыванию сложности выполнения технических воздействий на машину - текущем ремонте, ТО-2 и ТО-1. Вычитание nбп преследует цель избежать накладок различных видов обслуживания, отдавая предпочтение более сложному и трудоемкому. Результаты расчетов округляются до целых чисел в меньшую сторону, чтобы следующее обслуживание данного вида наступало только после полной выработки соответствующего норматива по периодичности обслуживания.

Исходя из задания, рассчитываем 1й бульдозер *Беларусь*:

Капитальный ремонт:


Принимаем число капитальных ремонтов

Текущий ремонт:

Принимаем число капитальных ремонтов

Техническое обслуживание ТО-2.


Принимаем число технических обслуживаний  равным 6.

Техническое обслуживание ТО-1.


Принимаем число технических обслуживаний  равным 23.

Результаты подсчета аналитического определения числа ТО и Р машин комплекса в расчетном периоде:

Марка машины

Число ТО и Р

Фактические наработки, мото-ч


nк

nт

nто-2

nто-1

Тфк

Тфт

Тфто-2

Тфто-1

Экскаватор многоковшовый.До1.5м

10%

1

1

6

24

5184

384

144

24


90%

0

2

6

24

576

576

96

36

Бульдозер *Беларусь*

50%

0

1

6

23

2880

0

0

0


80%

0

2

6

21

1152

192

192

12

Кран стреловой гусеничный 16т

30%

0

3

14

3360

480

0

0

Трубоукладчик, До 6.3 т

60%

0

2

7

28

2304

384

144

24


30%

1

1

8

27

4032

192

192

12


6. Определение времени выведения машин в обслуживание и ремонт

Для составления годовых и месячных планов-графиков проведения обслуживании и ремонтов машин рассчитываются порядковые месяцы и рабочие дни остановки техники для проведения работ.

Для организации работ на рабочем объекте и в ремонтном органе важно знать время выведения машины из производственного процесса в ремонт или обслуживание и нормативное время на выполнение этих работ.

При выведении машины в ремонт необходимо обеспечить бесперебойность производственного процесса путем замены обслуживаемой машины другими из собственного парка или арендованными у смежных организаций.

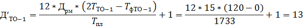
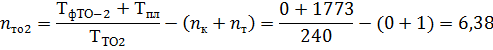
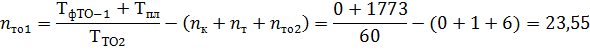
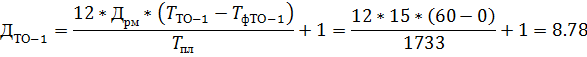
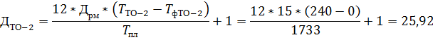
Порядковый месяц остановки машины на ремонт i-го вида Mi рассчитывается по формуле:


Порядковый рабочий день месяца Дi для остановки машины на техническое обслуживание i-го вида находится из выражения:


где -число рабочих дней в расчетном месяце.

Результаты расчетов округляются до целых чисел в меньшую сторону. Для проведения обслуживания одного вида второй раз в месяц его периодичность удваивается, а третий - утраивается.

Календарный день месяца остановки машины на ТО находится добавлением к расчетному рабочему дню соответствующего числа выходных, приходящихся на этот период времени по календарю.

Исходя из задания, рассчитываем 1й бульдозер *Беларусь*(Запас ресурса 50%):

Капитальный ремонт.


Принимаем Мк=20, то есть капитальный ремонт в этом расчетном году проводиться не будет.

Текущий ремонт:


Принимаем Мт=7, то есть капитальный ремонт в этом расчетном году проводиться будет в июле.

Техническое обслуживание ТО-2 (в январе):


Принимаем ,то есть ТО-2 в январе проводится не будет.

Техническое обслуживание ТО-1 (в январе):

Принимаем ,то есть техническое обслуживание ТО-1 проводится будет 20 января.


Принимаем ,то есть ТО-2 в январе проводится не будет.

. Построение годового в месячных планов-графиков ТО и Р машинного комплекса

. По расчетам разд. 5-8 на предприятиях-владельцах машин строятся (разрабатываются) годовые (на весь расчетный период) планы ТО и Р машинных парков, необходимые для подсчета потребности в материально-технических, кадровых и денежных ресурсах. Это необходимо для обеспечения работы ремонтного органа в расчетном периоде (табл. 3).

. Для непосредственной организации ежедневной работы подразделения ремонтного органа строятся месячные планы-графики, которые разрабатываются в конце каждого месяца на следующий с учетом изменения ситуации в предыдущем.

Формы годовых и месячных планов-графиков стандартны для всех ремонтных производств строительных и путевых подразделений.

План технического обслуживания и ремонта машин на 2011 год.

Инвентарный номер машины

Наименование и марка машины (запас моторесурса)

Фактическая наработка на начало года, ч

Наработка в планируемом году, ч

Число ТО и Р в планируемом году.



С начала эксплуатации

Со времени проведения


К

Т

ТО-2

ТО-1




 К

 Т

 ТО-2

 ТО-1


 число

Месяц проведения

 число

Месяц проведения



 1

 Экскаватор

10%

5184

5184

384

144

24

 1924

1

Апрель

-

-

6

24



90%

576

576

576

96

36


-

-

1

Март

6

24

 2

 Бульдозер

50%

2880

2880

0

0

0

 1733

0

-

1

Июль

6

23



80%

1152

1152

192

192

12


0

-

1

Июнь

6

21

 3

Кран стреловой гусеничный

 30%

 8160

 3360

 480

 0

 0

 1137

 0

 -

 1

 Июнь

3

14

 4

 Трубоукладчик

60%

8064

2304

384

144

24

 2230

-

-

1

Апрель

7

28



30%

15552

4032

192

192

12


1

Октябрь

1

Май

8

27


План-график технического обслуживания и ремонта машин на январь 2011 г.

Инвентарный номер

Наименование и марка машины (запас моторесурса)

Планируемая наработка на месяц,

Число месяца и виды ТО и Р




Январь




1

2

3

4

5

6

7

8

9

10

11

12

13

14

15

16

17

18

19

20

21

22

23

24

25

26

27

28

29

 

1

 Экскаватор

10%






























 



90%






























 

2

 Бульдозер

50%






























 



80%






























 

3

Кран стреловой гусеничный

30%






























 

 4

 Трубоукладчик

60%






























 



30%






























 



8. Расчет годовой программы ремонтного органа по обслуживанию и ремонту заданного комплекта машин

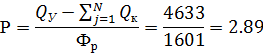
Расчет производится для определения загрузки ремонтного органа предприятия и потребности ремонтных служб в рабочих, технических и денежных средствах.

Планируемый на год объем ремонтных работ вычисляется по формуле:


где  - трудоемкость i-го вида ТО или Р i-й машины комплекта, чел.-ч (из задания);

 - рассчитанное ранее число ТО или Р i-го вида для j-й машины комплекта;

к - количество машин заданного комплекта;

т - число видов ТО и Р.

Загрузка структурных элементов ремонтного органа строительной организации рассчитывается из условия, что ТО тяжелой строительной техники и мобильных машин, удаленных от баз на значительные расстояния, производится на рабочем объекте с помощью передвижных мастерских; ТО мобильных машин - автотранспорта, автомобильных кранов и др., работающих в непосредственной близости от базы и возвращающихся туда в конце рабочего дня, выполняется на стационарных постах зоны технического обслуживания эксплуатационной базы; текущие ремонты машин делаются в основном в ремонтной зоне той же базы, а капитальные - на специализированных ремонтных заводах.

Общая загрузка распределяется по структурным элементам ремонтного органа за вычетом объема, приходящегося на капитальный ремонт, который производится на специализированных ремонтных предприятиях:


где  и  составляют загрузку зоны ТО (профилактория эксплуатационно-ремонтной базы) при незначительном удалении от базы и мобильных машинах, либо загрузку передвижных мастерских (при удалении машин на значительное расстояние от базы), либо того и другого при смешанной ситуации работы машин;

 составляет загрузку ремонтной зоны (ремонтных мастерских) эксплуатационно-ремонтной базы. Коэффициент 1,3 учитывает увеличение объемов работ за счет неплановых ремонтов (при внезапных отказах).

580+543+3510=4633;

9. Расчет потребности в рабочих

Количество ремонтных рабочих, необходимых для обслуживания машин комплекта, определяется по формуле:


где Фр - фонд времени одного рабочего в расчетном году, определяемый из выражения.


где - время отпуска рабочего, дни;

-коэффициент, учитывающий организационные и технологические перерывы в работе, равные 0,8-0,85.


Принимаем количество ремонтных рабочих Р=3 чел.

1й. - водитель-слесарь-автомеханик.

2й. - сварщик-слесарь.

й. - токарь-электрик.

10. Число передвижных мастерских для обслуживания машин на рабочих местах

Число мастерских определяется по формуле:


где  - нормативная продолжительность i-го вида обслуживания i-Й машины комплекта, ч;

Тп - время передвижения мастерской с базы на объект, ч;

ппл - среднее число поездок мастерской за месяц;

Фм - фонд времени работы мастерской в году, равный


где -число смен работы мастерской в сутки;

-коэффициент, учитывающий затраты времени на ремонт оборудования мастерской, равный 0,95.


Принимаем П=1.

Выбираем марку передвижной мастерской. Тип передвижной мастерской подбирается из ряда серийно выпускаемых промышленностью мастерских для ТО машин, например А-701М, МТО-СДМ, АЛ-2-130 и др. с учетом вида обслуживаемой техники комплекта.

Выбираем мастерскую ПАРМ УСТ 545313 на базе КамАЗа и приводим ее техническую характеристику и планировку с перечнем оборудования.

Передвижная мастерская универсального назначения - ПАРМ может быть применена для выполнения широкого перечня работ по ремонту и восстановлению автотракторной техники в условиях отсутствия стационарных ремонтных баз, а также для проведения планового технического обслуживания различной техники.

Базовое шасси

КамАЗ-43114

Колесная формула

6х6

Полная масса, кг

12980

Снаряженная масса, кг

12640

Масса буксируемого прицепа, кг

13120

Максимальная скорость, км/ч

80

Шины

ИД-304

Емкость топливного бака

400

Типовая планировка автомобиля специального ПАРМ 545313:


1.       Кузов-фургон: каркас сварной; наружная обшивка - стальной лист; утеплитель - пенопласт (S=60 мм). Внутренняя отделка: потолок - пластик; стены - пластик и оцинкованный лист (1000 мм от уровня пола); пол - доска (S=30 мм), пенопласт (S=20 мм), фанера (S=12 мм), рифлёная резина.

2.       Станок вертикально-сверлильный (220 В);

.        Точильно-шлифовальный станок (220В, Ø 200 мм);

.        Держатель запасного колеса;

.        Генератор синхронный EG202.6 (32кВА, 400В);

.        Выпрямитель сварочный (сварочный аппарат или сварочник) ВД-313 (380В; 16,5 кВт);

.        Электрошкаф;

.        Розетка 380В;

.        Розетка 220В двойная (3 шт.);

.        Внешний подвод электроэнергии (20 кВт, 380 В);

.        Фонари освещения 24В (4 шт.);

.        Отопитель воздушный «Планар-8Д-24»;

.        Укосина поворотная;

.        Таль передвижная (500 кг);

.        Умывальник (220В);

.        Баллон пропановый;

.        Баллон кислородный;

.        Лампа освещения (220В, 100 Вт);

.        Шкаф одёжный;

.        Верстак с выдвижными ящиками;

.        Тиски;

.        Окно на скосе (4 шт.);

.        Дверь входная двухстворчатая;

.        Лестница съёмная;

.        Огнетушитель;

.        Сварочное оборудование (электродержатель, крепление массового провода (струбцина), кабель сварочный (2х15 м), маска сварщика);

.        Газорезательное оборудование (резак пропановый, горелка газовая с насадками, редуктор пропановый, редуктор кислородный, рукав газовый 15 м, рукав кислородный 15 м);

.        Шанцевый инструмент;

.        Принадлежности (противооткатные башмаки, знак аварийной установки, аптечка медицинская);

.        Средства безопасности (очки защитные газосварщика, перчатки резиновые диэлектрические, штыри заземле-ния (3 шт.) с проводом 10 п. м.);

.        Люк;

.        Люк генератора;

.        Рундук;

.        Спинка;

.        Стол.

Дополнительное оборудование:

. Диагностическое - Набор щупов, линейка металлическая до 300 мм, рулетка до 5 м, угольник слесарный, штангенциркуль, прибор для диагностики электрооборудования.

2. Малая механика - съемник подшипников, щипцы для снятия/установки стопорных колец (отверстия), нож дорожный 6-предметный, комплект инструмента автомеханика И-148,зубило,сьемник пружин, кондуктор.

. Проектирование и расчет специализированного оборудования (кондуктор, съемник, диагностический инструмент)

Графическая часть проекта содержит чертеж передвижной ремонтной мастерской с указанием позиций основного оборудования, а также конструкторскую разработку одного из диагностических или технических средств обслуживания.

Стяжка пружин.

1. Для экономии бюджета и простоты изготовления, стяжку пружин изготавливаем прямо в ПАРМ на месте для пружин одножильных сжатия

и растяжения.

. Сила пружины при максимальной деформации 500Н, соответственно стяжка должна выдерживать чуть больше. Стяжку будем делать из стали 65Г по ГОСТ 14959-79.

. Стяжка для пружин будет состоять из 3х частей - винта длиной 160мм,и 2х зацепов длиной 78мм.

12. Организация технического обслуживания машин комплекта

Продолжительность, качество и материальные затраты при ТО машин зависят от его организации. Рационально организовать обслуживание машин - значит правильно назначить место, время и метод производства ТО.

Место проведения ТО зависит от мобильности машины, удаленности производственного объекта от эксплуатационной базы, вида и состояния транспортных путей, наличия технических средств перевозки. Правильный выбор места обслуживания машин позволяет определить загрузку структурных элементов ремонтного органа, рассчитать их потребность в ресурсах, чтобы в нормативные сроки и с меньшими потерями времени и средств выполнить работы.

Производство ТО машин возможно в межсменное время - после окончания смены или перед ее началом, а также в обеденный перерыв (при проведении ТО-1) в течение смены. Обслуживание в межсменное время предпочтительнее, но сложнее в организации работы ремонтников.

. ТО-1 и ТО-2 будут проводиться на месте работ ремонтной бригадой с помощью ПАРМ в межсменное время - после окончания смены.

Ремонт будут проводить специалисты из ПАРМ - водитель-слесарь, слесарь-сварщик, токарь-электрик. Будут выполнены крепежные работы, очистка, смазка, контроль, диагностика, регулировка оборудования.

2. Текущий ремонт (Т) будет проводиться на базе ремонтной бригадой, транспортировка будет производиться с помощью ПАРМ.

Так как текущий ремонт достаточно сложный, то ремонт отдельной части машины будут проводить специализированные работники в отдельной отрасли- слесарь по двигателям, слесарь по гидравлике и тп.

Текущий ремонт будет включать работы по проверке технического состояния и устранение выявленных неисправностей. При этом производятся углубленный осмотр и диагностирование, выполнение необходимых работ c восстановлением или заменой деталей и сборочных единиц, достигших предельного состояния, герметизация сварных швов и уплотнений, устранение вмятин и трещин, удаление последствий коррозии, нанесение профилактического противокоррозионного покрытия и при необходимости окраска

. Капитальный ремонт (К) будет проводиться в сервисном центре, работниками данного центра. В состав работ при капитальном ремонте входят: полная разборка машины; мойка и дефектоскопия деталей; замена и ремонт всех составных частей, в том числе и базовых; сборка машины; регулировка и обкатка.

Машина, которая будет находиться на капитальном ремонте, на период ремонта, будет заменена на арендованную у смежной организации.

13. Выводы

В этой курсовой работе мы:

. Рассчитали временные режимы работы машин. Получили среднегодовые затраты времени на ТО и Р, Годовой фонд рабочего времени и Плановую наработку для каждой из заданных машин и привели их в таблицу. (см. страницу 8).

2. Определили графически и аналитически числа ТО и Р для каждой машины комплекса, полученные данные ввели в таблицу. (см. страницу 8)

3. Определили время выведения машин в обслуживание и ремонт, и построили годовой в месячных планов-графиков ТО и Р машинного комплекса.(см страницу 15).

5. Рассчитали Число передвижных мастерских для обслуживания машин на рабочих местах, и получили, что нам нужен один ПАРМ УСТ 545313 на базе КамАЗа, привели типовую планировку автомобиля и габаритные размеры.

. Вычислили планируемый на год объем ремонтных работ, общую загрузку.

, ;

7. Спроектировали и рассчитали специализированное оборудование.

8. Организовали техническое обслуживание машин комплекса, выбрали что ТО-1 и ТО-2 будут проводиться на месте работ ремонтной бригадой с помощью ПАРМ в межсменное время, текущий ремонт (Т) будет проводиться на базе ремонтной бригадой, транспортировка будет производиться с помощью ПАРМ, а Капитальный ремонт (К) будет проводиться в сервисном центре, а машина, которая будет находиться на капитальном ремонте, на период ремонта, будет заменена на арендованную у смежной организации.

14. Список используемой литературы

1. Конспект лекций.

. Методические указания на тему - “ Управление техническим состоянием машинного комплекса”.

. Учебное пособие “Планирование и организация технического обслуживания технического парка”.

. Каракулев, А. В. Эксплуатация строительных, путевых и погрузо-разгрузочных машин: Учебник / А. В. Каракулев, М. Е. Ильин, О. В. Маркеданец.-М.: Транспорт, 1991.

. Маркеданец, О. В. Диагностика машин: Учеб. пособие / О. В. Маркеданец.-СП6.:ПГУПС, 1996.

. Маркеданец, О. В. Техническое диагностирование подсистем машин: Учеб. пособие / О. В. Маркеданец. - СПб.: ПГУПС, 2003.

. Справочники по деталям машин.

Похожие работы на - Управление техническим состоянием машинного комплекса

 

Не нашли материал для своей работы?
Поможем написать уникальную работу
Без плагиата!
Без нейросетей!