Гидравлический расчет канала

  • Вид работы:
    Дипломная (ВКР)
  • Предмет:
    Другое
  • Язык:
    Русский
    ,
    Формат файла:
    MS Word
    257,18 kb
  • Опубликовано:
    2011-10-26
Вы можете узнать стоимость помощи в написании студенческой работы.
Помощь в написании работы, которую точно примут!

Гидравлический расчет канала

План

1.       На участке АВ канала определить

.1       Расчет нормальной глубины

1.2     Расчет критической глубины

.3       Расчет и построение кривой свободной поверхности

.4       Расчет допустимых скоростей потока

2.       На участке ВС канала рассчитать и построить в поперечном разрезе сопрягающее сооружение

.1       Расчет входной части

2.2     Расчет водослива на перепаде

.3       Проектирование водобойного колодца

Список использованной литературы

1. На участке АВ канала определить

гидравлический канал водобойный колодец

1.1.    Расчет нормальной глубины

Равномерное движение в открытых руслах характеризуется постоянными по длине потока: расхода Q, уклона дна и глубины наполнения h, размером сечения ω, и его формы, коэффициента шероховатости стенок n.

Расчет проводим на основании формулы Шези

Q = ω c  (1)

где Q - расход канала

ω - площадь живого сечения

c - коэффициент Шези

R - гидравлический радиус

I - гидравлический уклон

В сокращенном виде формула Шези выглядит так

Q =  (2)

где k - расходная характеристика

Сопоставляя формулу 1 и 2

k = ω c  (3)

I = i (4) - условие равномерного движения, где i - уклон дна канала

і = (zA - zB)/LAB = 0,0005

Если выполняется условие 3 то:

Q= k0 (5)

k0 - нормальная расходная характеристика.

Условие для поиска нормальной глубины имеет вид:

k = k0

из условия 4:

k0 = Q/ (6)

k0 = 536.7

Чтобы посчитать расходную характеристику необходимо посчитать R, c и ω.

Первое, что можно сделать это изобразить трапециидальную форму канала.


В - ширина по урезу (свободной поверхности) водыширина канала по дну- глубина наполнения канала- коэффициент заложения канала (m = ctgθ)

Коэффициент откоса m выбирается из условий устойчивости откоса в зависимости от качества грунта, в котором проложен канал, а также от принятого способа крепления откоса. В нашем случае m=1

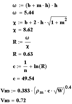
Найдем площадь живого сечения по формуле:

ω = (b+ m h) h (7)

чтобы найти R, необходимо найти χ - смоченный периметр.

χ = b + 2 h ² (8)

Для любой формы сечения гидравлический радиус равен:

 

R = ω / χ (9)


Теперь найдем коэффициент Шези по формуле Агроскина:

c = 1/ n + 7,7 ln R (10)

n - коэффициент шероховатости

Теперь зная R, c, ω, можно найти k:

k = ω c  = …

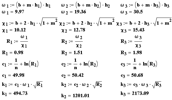
поскольку k случайное, нужно построить график: для этого нужно построить таблицу.

N

h

ω

χ

R

c

K

1

1,28

9,97м2

10,12м

0,98м

49,98

494,73

2

2.22

19,36м2

12,78м

50,42

1201,01

3

3,16

30,5м2

15,43м

1,98м

50,68

2173,09


Проведем расчет для соответствующих глубин h1, h2, h3.


Результаты расчетов занесем в таблицу. По данным расчетов построим график зависимости k = f(h).

По графику находим нормальную глубину, которая в данном случае равна 1,36м.

1.2 Расчет критической глубины

Критическая глубина - глубина отвечающая минимуму удельной энергии сечения.

Расчет критической глубины производим из условия равенства параметра кинетичности единице.

 

Пк = 1 (11)


Пк - параметр кинетичности

 

Пк = αQ²/g·B/ω³ (12)

α - коэффициент кинетической энергии- ускорение свободного падения

α = 1.1= 9.81

ω = (b+m h) h

 

B = b + 2 m h (13)


N

h

B

ω

Пк

1

0,73

7,96

5,28

0.87

2

0,54

7,58

3,8

2.23

3

0,36

7,22

2,47

7.74



По данным таблицы построим график.

По графику находим критическую глубину, которая в данном случае равна 0.73м.

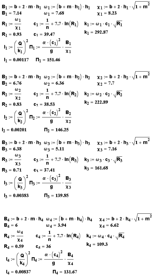
.3 Расчет и построение кривой свободной поверхности АВ.

При рассмотрении движения воды в открытых руслах в условиях неравномерного режима, основная задача сводится к получению зависимости между глубиной потока в данном сечении h и расстоянием l от какого-либо начального сечения до рассматриваемого сечения.

 - N - линия нормальной глубины. K - K -линия критической глубины.

В нашем случае глубина вдоль потока уменьшается, при этом поверхность потока имеет криволинейную форму - кривая спада.

hгр - граничная глубина

hгр1= 0,97 h0 (14)

hгр1 = 1,32м

hгр2= 1,03 hкритич. (15)

hгр2 = 0,75м

l1,2 = Δh ( + (i · -1)/(I2 - I1) ln(I2 - i)/(I1 - i)) (16)

i - уклон дна канала I - гидравлический уклон

Согласно формулы Шези:

I = Q2/к2 (17)

к = ω c

П = ((α·· с2)/g) · (B/χ) (18)

= (П1 + П2)/2 (19)

 - среднее значение функции Павловского

П - значение функции Павловского для конкретного участка


N

h

B

ω

χ

R

c

k

I

П


1

1,32

7,14

7,68

8,23

0,93

39,47

292,87

0,00117

151,46













148,85

194,47

2

1,13

6,46

6,36

7,7

0,83

38,53

222,89

0,00201

146,25













143,05

67,7

3

0,94

6,38

5,11

7,16

0,71

37,41

161,68

0,00383

139,85













135,76

10,64

4

0,75

6

3,94

6,62

0,59

36

109,3

0,00837

131,67





1.4 Расчет допустимых скоростей потока

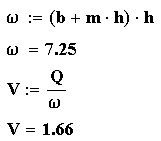
а) Максимальные допускаемые (не размывающие) средние в сечении скорости Vнр.

Вычислим скорость воды по формулам которые уже применялись.

 (20)

V - средняя скорость- расходная характеристика

ω - площадь живого сечения канала

ω - находим по формуле (7)

В любом канале, если известна глубина, можно найти V

h принимаем равную второй граничной глубине, то есть h = hгр2 =

,75м


Следовательно, средняя скорость равна 3,05м/с

Чтобы определить будет ли канал, размываться, необходимо, найти не, размывающую скорость(Vн.р.) - максимальная допускаемая средняя в сечении скорость, то есть, наивысшее значение средней скорости течения воды, при котором для выбранного типа крепления, или грунта если русло не укреплено, поток не вызывает недопустимого для нормальной эксплуатации размыва (разрушения) грунта.

Эту скорость мы берем из таблицы (в зависимости от грунта и средней глубины потока) в справочнике Большакова «Справочник по гидравлическим расчетам» 1984г. Средняя глубина потока h = 0,75м, но для использования этой таблицы примем ее равной 0,4м.

Итак:Vн.р. = 0,35м/c

Так как V=3,05 > Vн.р =0,35 то ,будет происходить размытие русла и следовательно русло следует укреплять.

Если при hгр2 грунт размывается, то это не значит, что он будет размываться по всему каналу.

Находим глубину при средней скорости равной не размывающей скорости (Vн.р. = V).

,35 = Q/ ω

ω=4,2

,2 = (6,5 + h) · h

h = 0,6м

б) Минимальные допускаемые (незаиляющие) средние в сечении скорости.

Чем меньше скорость тем больше вероятность заиления. Скорость находим по формуле:

При расчете используем формулу (20), за h принимаем hгр1 = 0,75 там будет наименьшая скорость



Итак наименьшая скорость V = 1.66м/c

Сравниваем ее с незаиляющей скоростью, которою можем найти.


 - вертикальная скорость падения частиц (гидравлическая крупность частиц), измеряется в м/с

В нашем случае W = 0,00135м/с < 0.002

ρм - мутность

ρм = 2,7

Процесс заиления зависит от крупности частиц

Мутность воды - количество массы твердых частиц содержащиеся в единице объема воды.

Чем больше частиц, тем больше масса единицы объема и тем быстрее будет идти заиление.

В нашем случае Vнз = 0.72м/с

Найдем реальную скорость


V = 12/5.44 = 2,21 м/с

V = 2,21 > Vнз = 0,72

Поэтому заиления русла наносами не будет происходить.

2. На участке ВС канала рассчитать и построить в поперечном разрезе сопрягающее сооружение (перепад)

Гидравлический расчет сопрягающего сооружения состоит из трех основных частей:

а) Расчет входной части

б) Расчет ступени или ступеней, количество которых назначается по конструктивным соображениям в зависимости от разности отметок верхнего и нижнего бьефов.

в) Расчет выходной части - сопряжение с нижним бьефом.

Следовательно, и расчет перепада состоит из трех частей.

2.1 Расчет входной части

Назначение входной части перепада - пропустить расчетный расход при заданных условиях подводящего канала.

При постоянном расчетном расходе входная часть рассчитывается как водослив с широким порогом.

(1)

где: m - коэффициент расхода водослива

m = 0,385

b - ширина водослива

Расчет заключается в определении ширины водослива, при котором перед перепадом сохраняется заданная глубина. Обычно ширина входной части и ширина перепада одинаковые.

Перечислим формулы необходимые для расчета b:

Коэффициент бокового сжатия вычисляется по формуле


(2)

где: ξу = 1, - коэффициент уменьшения, учитывающий скругления или притупления вертикальных ребер устоев.

Используя формулу (1) и (2) получаем расчетную формулу:

(3)

где: Н0 - полный напор

(4)

где: H = h0 = 1,36

V0 - скорость подхода

V0= Q/ω0

ω0 = (b+m h0) h0 (7) - площадь живого сечения соответствующая нормальной глубине.

Подставим известные значения в формулу:


Итак ширина водослива равна 4,33м.

.2 Расчет водослива на перепаде

Приступим к расчету водоската на перепаде.


Приведем формулы для искомых величин:

(5)

Е - превышение горизонта воды верхнего бьефа над дном нижнего бьефа.

Е0 - тоже, но с учетом скоростного подхода.

где φу = 1,128

 - глубина сжатого сечения.

с’’- сопрягающая глубина во втором приближении.

Zв - отметка поверхности земли в точке В.

Zc - отметка земли в точке С

Проведем расчеты:

Итак сопряженная глубина во втором приближении равна 2.42м.

Должно выполняться условие: hc’’> hб (hб = h0 = 1.36м)

.44м >1,36м

2.3 Проектирование водобойного колодца

Можно начинать проектирование водобойного колодца.

Приведем формулы необходимые для расчета водобойного колодца:


где: m - коэффициент водослива,

m = 0,42

σn’ = 1


Vкол - скорость в колодце.

 

Если: подтопления не будет.

Перейдем к расчетам:

следовательно, подтопления нет.

Список использованной литературы


1.       Большаков “Справочник по гидравлическим расчетам” 1984г. Чугаев “Гидравлика” 1982г.


Не нашли материал для своей работы?
Поможем написать уникальную работу
Без плагиата!
Без нейросетей!