Гидравлический расчет объемного гидропривода
Петербургский
государственный университет путей сообщения
Кафедра
«Водоснабжение, водоотведение и гидравлика»
Курсовая
работа
по курсу
«Гидравлика и гидропневмопривод»
на тему:
Гидравлический
расчет объемного гидропривода
Выполнил:
студент заочного факультета
Усольцев С.
Шифр:
08-ПТМ-218
Проверил:
доцент Пылаев И.П.
Санкт-Петербург
2011г.
Содержание
1.
Задание и исходные данные для расчета
.
Определение расчетных выходных параметров гидропривода
.
Назначение величины рабочего давления и выбор насоса
.
Определение диаметров трубопроводов
.
Определение потерь давления в гидросистеме
.
Расчет гидроцилиндров
.
Определение внутренних утечек рабочей жидкости, расчет времени рабочего цикла и
определения к.п.д. гидропривода
8.
Подбор и расчет остальных устройств гидропривода
1. Задание и исходные данные для
расчета
Требуется рассчитать
гидропривод отвала бульдозера в соответствии с аксонометрической схемой,
приведенной на рис. 1.
Рис.1. Аксонометрическая схема
объёмного гидропривода
- бак для рабочей жидкости; 2 -
насос; 3 - предохранительный клапан; 4 - гидроцилиндры; 5 - распределитель; 6 -
фильтры для очистки рабочей жидкости; 7 - обратный клапан; 8 - 16 -
трубопроводы.
Вариант номер xy
x= 2 y
= 8
) Длины участков трубопроводов принять равными
l8
= х = 2 м
l9,16
= х + 0,2у = 3,6 м
l10,15
= х + у = 10 м
l11,12,13,14
= 0,5 + 0,1у = 1,3 м
) Необходимое усилие на рабочем органе (отвале
бульдозера) равно:
G = 60 + x
+ y = 70 кН = 7,0х104
Н
) Длина рабочего хода штока гидроцилиндра равна:
L = 800 мм = 0,8 м
) Время рабочего цикла гидропривода принять
равным:
t = 18 + х + y
= 28 с
) В качестве рабочей жидкости принять:
Масло в соответствии со значением «у», считая
его от верхней строчки таблицы приложения 5 [1]
Принято масло турбинное 46
Плотность ρ = 920 кг/м3;
вязкость ν = (44-48)х10-6 м2/с
2. Определение расчетных выходных
параметров гидропривода
Гидропривод имеет два гидроцилиндра, работающих
в одинаковых условиях.
Необходимое усилие на штоке каждого
гидроцилиндра
Принимаем коэффициент запаса по усилию
,
получаем расчетное значение усилия
Fр=kз.у.∙F=1,20∙35=42
kH.
Исходя из условий устойчивости, определяем
минимальный диаметр штока гидроцилиндра
где k
= 2 - коэффициент, учитывающий заделку концов штока;
E = 2,1∙1011
Па - модуль упругости материала (для стали).
В соответствии с нормалью ОН 22-176-69 принимаем
=
50 мм и с учетом L = 800 мм по
приложению 2 Методических указаний выбираем φ = 1,65.
Скорость рабочего хода поршня
где ∆t
= 1,0 с - время на переключение распределителя в крайнем положении поршня при
ручном управлении.
Принимая коэффициент запаса по скорости равным
,
получаем расчетное значение скорости рабочего хода поршня
Расчетная мощность гидропривода составит:
Вт ≈4,56
кВт.
гидросистема гидропривод трубопровод
гидроцилиндр
3. Назначение величины рабочего
давления и выбор насоса
По величине Fр=42
kH в соответствии с
таблицей 1 методических указаний рабочее давление в системе принимаем равным
. При этом давлении
расчетная производительность насоса составит
На основе значений p
и
выбираем
насос марки НШ - 32 с числом оборотов n=1100
Производительность насоса равна
что близко к
.
n = 1100
,
и
Предохранительный клапан в системе настраиваем
на давление насоса, т.е.
4. Определение диаметров
трубопроводов
В соответствии со схемой работы гидропривода
определяем расходы на участках. Диаметры трубопроводов 11, 12, 13, 14
рассчитываем из условия пропуска половинного расхода насоса, остальные
трубопроводы рассчитываем на пропуск расхода насоса.
Внутренний диаметр определяем по формуле
,
принимая рекомендуемую скорость в трубопроводах
в соответствии с таблицей 3 методических указаний
на участке 8 = 1,5 м/с
на участках 9-16 = 5 м/с
Толщину стенок трубопровода определяем по
формуле
,
принимая тяжелый режим работы (k
= 6),
(для стали) ≈
280МПа.
По этим данным в соответствии с рекомендуемыми
типоразмерами стальных бесшовных труб выбираем размеры трубопроводов
(приложение 4 методических указаний).
По принятому внутреннему диаметру определяем
действительную скорость движения жидкости по формуле
На участке 8:
На участке 9,10,15,16:
,
На участке 11,12,13,14:
,
Результаты вычислений сводим в табл.1
Таблица
1
|
Участки
|
,
|
Q,
|
Размеры
трубопровода
|
v,
|
|
|
|
вычисленные
|
принятые
|
|
|
|
|
|
|
|
|
|
|
|
8
|
150
|
523
|
21,1
|
-
|
25
|
2,0
|
21,0
|
151
|
|
9,10,15,16
|
500
|
523
|
11,5
|
1,23
|
16
|
2,0
|
12,0
|
462
|
|
11,12,13,14
|
500
|
261.5
|
8,16
|
0,87
|
12
|
1,4
|
9,2
|
394
|
Примечание:
Во всасывающем трубопроводе (участок 8) толщина стенок расчетом не определялась
вследствие незначительной величины действующего в нем давления.
. Определение потерь давления в
гидросистеме
Приближенные значения эквивалентных длин
,
отвечающих наиболее характерным местным сопротивлениям гидроприводов,
определяем на основе таблицы в приложении 6 методических указаний, где указаны
диапазоны значений для каждого местного сопротивления.
В качестве рабочей жидкости примем масло
турбинное 46 с плотностью ρ=920 кг/м3
и средним коэффициентом кинематической вязкости
=4,6∙10-5м2/с.
Таблица
2
|
Участки
|
Длина
участка, l,м
|
|
Виды
местных сопротивлений
|
|
|
,
м
|
,
м
|
|
8
|
2,0
|
0,021
|
Вход
в трубопровод
|
8
|
42
|
0,88
|
2,88
|
|
|
|
Резкий
поворот
|
32
|
|
|
|
|
|
|
Штуцер
|
2
|
|
|
|
|
9
|
3,6
|
0,012
|
Обратный
клапан
|
45
|
251
|
3,01
|
16,61
|
|
|
|
Три
штуцера
|
3x2
|
|
|
|
|
|
|
Тройник
на проход
|
2
|
|
|
|
|
10
|
10
|
0,012
|
Четыре
резких поворота
|
4х32
|
|
|
|
|
|
|
Распределитель
|
50
|
|
|
|
|
|
|
Тройник
с разделением на два равных потока
|
20
|
|
|
|
|
12
|
1,3
|
0,0092
|
Резкий
поворот
|
32
|
46
|
0,42
|
1,72
|
|
|
|
Штуцер
|
2
|
|
|
|
|
|
|
Выход
в гидроцилиндр
|
12
|
|
|
|
|
14
|
1,3
|
0,0092
|
Вход
в трубопровод
|
8
|
42
|
0,39
|
1,69
|
|
|
|
Штуцер
|
2
|
|
|
|
|
|
|
Резкий
поворот
|
32
|
|
|
|
|
15
|
10
|
Тройник
с соединением потоков
|
36
|
200
|
2,4
|
16
|
|
16
|
3,6
|
0,012
|
Три
резких поворота
|
3х32
|
|
|
|
|
|
|
Три
штуцера
|
3х2
|
|
|
|
|
|
|
Распределитель
|
50
|
|
|
|
|
|
|
Выход
в фильтр
|
12
|
|
|
|
Расчет потерь давления в гидросистеме сведен в
таблицу 3, причем расход в подающей линии принят равным подаче насоса, а в
сливной линии вычислен по формуле
с учетом аккумулирующей способности
гидроцилиндра и определен равным
Коэффициент гидравлического трения λ
вычислен
по формуле А.Д. Альтшуля,
при эквивалентной высоте шероховатости
.
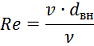
Величину числа Рейнольдса определяем по формуле
Таблица
3
|
Участки
|
|
,м
|
|
v,
|
,
|
|
λ
|
|
ρ,
|
|
,кПа
|
|
Подающая
линия: бак - гидроцилиндр
|
|
|
8
|
0,88
|
0,021
|
524
|
1,51
|
2,25∙10-5
|
1409
|
0,052
|
5,45
|
901
|
1027
|
5,60
|
|
9,10
|
10,21
|
0,012
|
524
|
4,64
|
|
2475
|
0,148
|
125,92
|
|
9699
|
1221,30
|
|
12
|
1,49
|
0,0084
|
262
|
4,73
|
|
1766
|
0,162
|
28,74
|
289,67
|
|
|
|
Сливная
линия: гидроцилиндр - бак
|
|
|
14
|
1,45
|
0,0084
|
159
|
2,87
|
2,25∙10-5
|
1071
|
0,163
|
28,14
|
901-
|
3710
|
104,40
|
|
15,16
|
9,6
|
0,012
|
318
|
2,81
|
|
1499
|
0,149
|
119,2
|
|
3557
|
423,99
|
|
Фильтр
|
-
|
-
|
-
|
-
|
|
-
|
-
|
-
|
|
-
|
100
|
|
628,39
|
|
∆p=2144,96
|
. Расчет гидроцилиндров
Давление в поршневой полости гидроцилиндра равно
Необходимая площадь гидроцилиндра составит
.
Требуемый минимальный диаметр гидроцилиндра
равен
В соответствии с величинами L,
φ,
и
по
нормали ОН 22-176-69 подбираем унифицированный гидроцилиндр с параметрами:
L=800мм;
φ=1,65:
d=50мм;
D=80мм
Проверяем выбранный гидроцилиндр на создание
требуемого усилия при рабочем ходе.
Сила трения в уплотнениях поршня
где μ = 0,13 - коэффициент
трения для резиновых манжет;
= 7,5 10-3
м = 7,5 мм - ширина рабочей части манжеты, принятая равной половине ширины
манжеты при уплотнении по наружному диаметру (
=15
мм по приложению 7 методических указаний).
= 5 МПа - контактное
давление от деформации усов манжеты при ее монтаже.
Сила трения в уплотнениях штока
=
где
=
6,25 10-3 м = 6,25 мм - ширина рабочей части манжеты, принятая
равной половине ширины манжеты при уплотнении по внутреннему диаметру (
=12,5
мм по приложению 7 методических указаний).
=
Н
- давление в сливной полости гидроцилиндра, которое в случае свободного слива
принимается равным потере давления в сливной магистрали (
).
Сила сопротивления, обусловленная вытеснением
жидкости с противоположной стороны поршня, равна
Полезное усилие, создаваемое гидроцилиндром при
рабочем ходе
Так как
=
40,7кН
F
= 35кН, то выбранный гидроцилиндр удовлетворяет требованию по созданию
заданного усилия. В соответствии со схемой гидропривода два таких гидроцилиндра
обеспечат необходимое усилие на рабочем органе.
7. Определение внутренних утечек
рабочей жидкости, расчет времени рабочего цикла и определения к.п.д.
гидропривода
Рабочий расход в гидросистеме найдем по формуле

Утечки в гидроцилиндрах составят
В указанных формулах:
= 0,96 - объемный
к.п.д. распределителя;
= 0,99 - объемный
к.п.д. гидроцилиндра.
Таким образом,
Общий рабочий расход:
=497
Рабочий расход одного гидроцилиндра:
Скорость рабочего хода поршня:
Скорость холостого хода поршня:
Время одного двойного хода поршня гидроцилиндра
составляет (при времени переключения распределителя ∆t
= 1,0 с).
В данном случае время двойного хода поршня
гидроцилиндра равно времени рабочего цикла гидропривода, т.к. цилиндры работают
параллельно.
Так как t
= 27с
= 28с, гидропривод удовлетворяет требованию по обеспечению проектной
производительности машины.
Определяем общий к.п.д. гидропривода.
Мощность, потребляемая гидроприводом,
где
=
0,81 - полный к.п.д. насоса НШ-32
Полезная мощность гидропривода:
Общий к.п.д. гидропривода:
. Подбор и расчет остальных
устройств гидропривода
Объем бака для рабочей жидкости принимает равным
трехминутной производительности насоса
3∙31,4=94,2л
Принимаем: бак типовой конструкции,
применяющейся на строительных и дорожных машинах емкостью 100 л; фильтр для
очистки рабочей жидкости - в соответствии с приложением 8 методических
указаний, проволочный плетеный сетчатый марки ПС 42-23 с тонкостью фильтрации
0,08 мм и расчетным расходом 35 л/мин; распределитель - золотниковый
четрехпозиционный с ручным управлением, рассчитанный на расход не менее 50
л/мин; предохранительный клапан - конический; обратный клапан - также
конический.
Диаметр канала предохранительного клапана
вычисляем по формуле
где v
- скорость движения жидкости в канале; принята равной 12
Принимаем
=
8,0 мм.
Диаметр самого конического клапана берем равным
С помощью регулировочного винта клапан
настраивается на давление, развиваемое насосом, и пломбируется.
Расчетные диаметры обратного конического клапана
принимаем равными диаметрам, полученным для предохранительного клапана, т.е.
=
8,0 мм,
мм.
Список литературы:
1. Пылаев
И.П. Гидравлический расчет объемного гидропривода возвратно-поступательного
движения. ПГУПС, 1999.
2. Лепешкин
А.В., Михайлин А.А., Шейпак А.А. Гидравлика и гидропневмопривод. Часть 2.
Москва. 2003.