Исследование эффективности работы предприятия ООО 'Ресурс' с помощью модели управления запасами
Министерство образования и науки
Российской Федерации
ГОУ Высшего профессионального
образования
Северо-Кавказский государственный
технический университет
ДИПЛОМНАЯ РАБОТА
Тема: Исследование эффективности
работы предприятия ООО «Ресурс» с помощью модели управления запасами
Студента Тищенко Виталия Юрьевича
Специальности «Прикладная математика»
СОДЕРЖАНИЕ
ВВЕДЕНИЕ
ГЛАВА 1.
ИССЛЕДОВАНИЕ ЭФФЕКТИВНОСТИ РАБОТЫ ПРЕДПРИЯТИЯ ООО «РЕСУРС» С ПОМОЩЬЮ МОДЕЛИ
УПРАВЛЕНИЯ ЗАПАСАМИ
1.1 Выбор модели
управления запасами
1.2 Постановка
задачи оптимизации плана поставок
1.3 Построение
оптимального плана поставок сырья для предприятия ООО «Ресурс»
1.4. Влияние
отклонений от оптимального объема партии
ГЛАВА 2. АНАЛИЗ
ЛИНЕЙНОЙ ПРОИЗВОДСТВЕННОЙ ФУНКЦИИ КОМПЛЕКСНОГО АРГУМЕНТА ПРЕДПРИЯТИЯ ООО
«РЕСУРС»
2.1 Линейная
производственная функция комплексного аргумента
2.2 Анализ
коэффициентов линейной
производственной функции комплексного аргумента предприятия ООО «Ресурс»
2.3 Графическая
интерпретация линейной
производственной функции комплексного аргумента
ГЛАВА 3.
КОРРЕЛЯЦИОННО-РЕГРЕССИОННАЯ МОДЕЛЬ ДОХОДОВ ПРЕДПРИЯТИЯ ООО «РЕСУРС»
3.1 Этапы
построения модели
3.2 Отбор главных
факторов
3.3 Проверка
модели на адекватность
3.4 Сравнение двух
моделей производственной функции ООО «Ресурс»
ЗАКЛЮЧЕНИЕ
СПИСОК
ИСПОЛЬЗУЕМОЙ ЛИТЕРАТУРЫ
ПРИЛОЖЕНИЕ 1
ВВЕДЕНИЕ
управление запас
корреляционная регрессионная модель
Конечной целью каждого коммерческого предприятия, независимо от сферы, в
которой ведется деятельность, является получение прибыли, что неразрывно
связано с эффективностью работы. Эффективная деятельность предприятия в
условиях рыночной экономики невозможна без оценки связей между различными
факторами и показателями. Большинство новых методов основанных на экономических
моделях, помогают выявить тенденции изменения показателей, облегчают разработку
нормативов и прогнозов.
Дипломная работа выполнена с помощью экономических данных предоставленных
предприятием ООО «Ресурс», занимающиеся переработкой мяса птицы, с целью
исследования эффективности работы комбината и исследования главных
производственных факторов. Данные, используемые при исследовании различных
показателей производственной деятельности предприятия, взяты за две тысячи
десятый год за каждый месяц.
Работа состоит из трех глав.
В первой главе строится оптимальный план поставок сырья с помощью модели
управления запасами, выбранной с учетом специфики производства предприятия.
Проводится исследование эффективности работы предприятия путем сравнения
плановых и фактических показателей и анализа отклонений от оптимального плана
поставок.
Во второй главе моделируется линейная производственная функция
комплексного аргумента предприятия, и анализируются свойства коэффициентов этой
функции, с целью дать возможность экономически интерпретировать происходящие
производственные процессы.
В третей главе строится корреляционно - регрессионная модель доходов
предприятия для выявления и анализа главных факторов производства влияющих на
доходы предприятия, а так же проводится проверка построенной модели на
адекватность.
ГЛАВА 1. ИССЛЕДОВАНИЕ ЭФФЕКТИВНОСТИ РАБОТЫ ПРЕДПРИЯТИЯ ООО «РЕСУРС» С
ПОМОЩЬЮ МОДЕЛИ УПРАВЛЕНИЯ ЗАПАСАМИ
1.1 Выбор
модели управления запасами
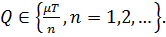
Пусть
y(t) - величина запаса некоторого товара на складе в момент времени t,
t>0. Дефицит не допускается, т.е. y(t)>0 при всех t.
Товар пользуется равномерным спросом с интенсивностью 
, т.е. за
интервалы времени 
со
склада извлекается и поступает потребителям часть запаса величиной 
. В
моменты времени t0 = 0, t1, t2,… пополняется запас на
складе - приходят поставки величиной Q0, Q1, Q2,…
соответственно. Таким образом, изменение во времени величины запаса y(t)
товара на складе изображается зубчатой ломаной линией (рис.1.1), состоящей из
наклонных и вертикальных звеньев, причем наклонные отрезки параллельны. [1]
Рисунок
1.1. График изменения величины запаса на складе
Таким
образом, в момент ti величина запаса на складе y(t) скачком
увеличивается на Qi. Следовательно, функция y(t) имеет разрывы в
точках t1, t2,… Для определенности будем считать, что эта функция
непрерывна справа.
Пусть
s - плата за хранение единицы товара в течение единицы времени.
Поскольку можно считать, что величина запаса y(t) не меняется в течение
интервала времени (t; t+dt), где dt - дифференциал, т.е. бесконечно
малая, то плата за хранение всего запаса в течение этого интервала времени
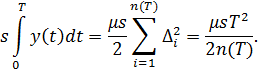
равна sy(t)dt. Следовательно, затраты за хранение в течение интервала
времени [0;T), где T - интервал планирования, пропорциональны (с
коэффициентом пропорциональности s) площади под графиком уровня запаса
на складе y(t) и равны 
.
Пусть
g - плата за доставку одной партии товара. Примем для простоты, что она
не зависит от размера поставки. Позже покажем, что если эта плата равна g+g1Q,
где Q - размер поставки, то оптимальный план поставки - тот же, что и
при отсутствии линейного члена. Будет проанализирована и более сложная модель,
в которой предусмотрена скидка с ростом поставки, приводящая к выражению g+g1Q+
g2Q2 для платы за доставку одной партии товара размером Q.
Пусть
n(T) - количество поставок, пришедших на предприятие за время [0;T].
При этом включаем поставку в момент t = 0 и не включаем поставку в
момент t = T (если такая происходит). Тогда суммарные издержки на
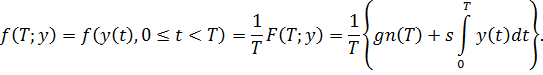
доставку товара равны gn(T). Следовательно, общие издержки (затраты,
расходы) за время T равны
Запись

означает,
что общие издержки зависят от значений функции y=y(t )при всех 0<t<T.
Символ у обозначает функцию как целое. Другими словами, область
определения F(T;y) при фиксированном T - не множество чисел, а
множество функций.
Общие
издержки, очевидно, возрастают при росте горизонта планирования Т.
Поэтому часто используют средние издержки, приходящиеся на единицу времени.
Средние издержки за время Т равны
Поскольку
сырье перерабатывается с постоянной интенсивностью (скоростью), дефицит не
допускается, то доходы от работы склада пропорциональны горизонту планирования,
средние доходы постоянны. Следовательно, максимизация прибыли эквивалентна
минимизации издержек или средних издержек.
Если
задать моменты прихода поставок и величины партий, то будет полностью
определена функция y=y(t) при всех 0<t<T. Верно и обратное
- фиксация функции y=y(t), 0<t<T, рассматриваемого вида (рис.1.1)
полностью определяет моменты прихода поставок и величины партий. И то, и другое
будем называть планом поставок или планом работы системы управления запасами.
Для ее оптимизации необходимо выбрать моменты времени t0 = 0, t1,
t2,… пополнения запаса на складе и размеры поставляемых партий товара Q0,
Q1, Q2,… так, чтобы минимизировать средние издержки fT(y)
при фиксированном Т. Модель производственной ситуации (т.е. работы
склада) описывается четырьмя параметрами - 
(интенсивность
спроса), s (стоимость хранения единицы продукции в течение единицы
времени), g (стоимость доставки партии товара), Т (горизонт
планирования).
Поставленная
задача оптимизации работы предприятия интересна тем, что неизвестно число 2n(T)-1
параметров, определяющих план поставок. Поэтому ее решение не может быть
проведено с помощью стандартных методов теории оптимизации.
Решим
эту задачу в три этапа. На первом установим, что оптимальный план следует
искать среди тех планов, у которых все зубцы доходят до оси абсцисс, т.е. запас
равен 0 в момент доставки очередной партии. Цель второго этапа - доказать, что
все зубцы должны быть одной и той же высоты. Наконец, на третьем находим
оптимальный размер поставки.
1.2 Постановка
задачи оптимизации плана поставок
Найдем наилучший план поставок для предприятия. План, для которого запас
равен 0 (т.е. y(t) = 0) в моменты доставок очередных партий, назовем
напряженным. Для любого плана поставок, не являющегося напряженным, можно
указать напряженный план, для которого средние издержки меньше.
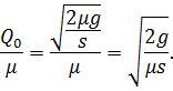
Покажем,
как можно от произвольного плана перейти к напряженному, уменьшив при этом
издержки. Пусть с течением времени при приближении к моменту t1 прихода
поставки Q1 уровень запаса не стремится к 0, а лишь уменьшается до 
(где
знак «минус» означает предел слева функции y(t) в точке t1. Тогда
рассмотрим новый план поставок с теми же моментами поставок и их величинами, за
исключением величин поставок в моменты t = 0 и t = t1. А
именно, заменим Q0 на Q01 = Q0 - y(t1-), а Q1
на Q11 = Q0 + y(t1-). Тогда график уровня запаса на складе
параллельно сдвинется вниз на интервале (0; t1), достигнув 0 в t1,
и не изменится правее точки t1. Следовательно, издержки по доставке
партий не изменятся, а издержки по хранению уменьшатся на величину,
пропорциональную (с коэффициентом пропорциональности s) площади
параллелограмма, образованного прежним и новым положениями графика уровня
запаса на интервале (0; t1) (см. рис.1.2).
Рисунок
1.2. Первый шаг перехода к напряженному плану
Итак,
в результате первого шага перехода получен план, в котором крайний слева зубец
достигает оси абсцисс. Следующий шаг проводится аналогично, только момент
времени t = 0 заменяется на t = t1. Если есть такая
возможность, второе наклонное звено графика уровня запаса на складе параллельно
сдвигается вниз, достигая в крайней правой точке t2 оси абсцисс.
Аналогично
поступаем со всеми остальными зубцами, двигаясь слева направо. В результате
получаем напряженный план. На каждом шагу издержки по хранению либо
сокращались, либо оставались прежними (если соответствующее звено графика не
опускалось вниз). Следовательно, для полученного в результате описанного
преобразования напряженного плана издержки по хранению меньше, чем для
исходного плана, либо равны (если исходный план уже являлся напряженным).
Оптимальный
план следует искать только среди напряженных. Другими словами, план, не являющийся
напряженным, не может быть оптимальным. [2, 4]
Среди
напряженных планов с фиксированным числом поставок минимальные издержки имеет
тот, в котором все интервалы между поставками равны. [4, 8]
При
фиксированном числе поставок затраты на доставку партий не меняются.
Следовательно, достаточно минимизировать затраты на хранение.
Для
напряженных планов размеры поставок однозначно определяются с помощью
интервалов между поставками:
Действительно,
очередная поставка величиной Qi-1 совпадает с размером запаса на складе
в момент ti-1, расходуется с интенсивностью 
единиц
товара в одну единицу времени и полностью исчерпывается к моменту ti прихода
следующей поставки.
Для
напряженного плана издержки по хранению равны
где

Ясно,
что 
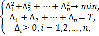
-
произвольные неотрицательные числа, в сумме составляющие Т.
Следовательно, для минимизации издержек среди напряженных планов с
фиксированным числом поставок достаточно решить задачу оптимизации

где n
= n(T).
Полученная
задача оптимизации формально никак не связана с логистикой, она является чисто
математической. Для ее решения целесообразно ввести новые переменные 
Тогда
Поскольку

то 
следовательно,
с учетом предыдущего равенства имеем
Сумма
квадратов всегда неотрицательна. Она достигает минимума, равного 0, когда все
переменные равны 0, т.е. при 
Тогда 
При
этих значениях 
выполнены
все ограничения оптимизационной задачи.
Для
плана с равными интервалами между поставками все партии товара имеют одинаковый
объем. Для такого плана издержки по хранению равны
Средние
издержки (на единицу времени) таковы:
Итак,
минимизация средних издержек - это задача дискретной оптимизации. На третьем
этапе построения оптимального плана необходимо найти натуральное число n(T)
- самое выгодное число поставок. [1, 3]
Поскольку
к моменту Т запас товара должен быть израсходован, то общий объем
поставок за время T должен совпадать с общим объемом спроса,
следовательно, равняться 
.
Справедливо балансовое соотношение:
Из
балансового соотношения следует, что
Средние
издержки (на единицу времени) можно выразить как функцию размера партии Q:
Задача
состоит в минимизации f1(Q) по Q. При этом возможная величина
поставки принимает дискретные значения, 
Изучим
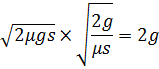
функцию f1(Q), определенную при Q>0. При приближении к 0 она
ведет себя как гипербола, при росте аргумента - как линейная функция.
Производная имеет вид
Производная монотонно возрастает, поэтому рассматриваемая функция имеет
единственный минимум в точке, в которой производная равна 0, т.е. при
Получена
знаменитая «формула квадратного корня». В литературе иногда без всяких комментариев
рекомендуют использовать напряженный план, в котором размеры всех поставляемых
партий равныQ0. К сожалению, получаемый таким путем план почти всегда не
является оптимальным, т.е. популярная рекомендация неверна или не вполне
корректна. Дело в том, что почти всегда 
[5, 6]
Всегда
можно указать неотрицательное целое число n такое, что
Решением
задачи оптимизации
является
либо Q1, либо Q2.
Действительно,
из всех 
часть
лежит правее Q0, из них наименьшим является Q2, а часть лежит
левее Q0, из них наибольшим является Q1. Для построения
оптимального плана обратим внимание на то, что производная (1.2) отрицательна
левее Q0 и положительна правее Q0, следовательно, функция средних
издержек f1(Q) убывает левее Q0 и возрастает правее Q0.
Значит,
минимум по
достигается при Q = Q2, а минимум по 
- при Q
= Q1 .
Итак,
алгоритм построения оптимального плана таков.
1. Найти Q0 по формуле квадратного корня (1.3).
. Найти n из условия (1.4).
. Рассчитать f1(Q) по формуле (1.1) для Q = Q1 и Q
= Q2, где Q1 и Q2 определены в (1.4).
. Наименьшее из двух чисел f1(Q1) и f1(Q2)
является искомым минимумом, а то из Q1 и Q2, на котором достигается
минимум - решением задачи оптимизации. Обозначим его Qopt .
Оптимальный план поставки - это напряженный план, в котором объемы всех
поставок равны Qopt.
Если f1(Q1) = f1(Q2), то решение задачи оптимизации состоит
из двух точек Q1 и Q2. В этом частном случае существует два
оптимальных плана.
1.3
Построение оптимального плана поставок сырья для предприятия ООО «Ресурс»
Построим оптимальный план поставок сырья для предприятия ООО «Ресурс». В
день комбинат может переработать 3,15 тонн продукции. Плата за хранение 1 тонны
продукции составляет 1685 рублей. Затраты на доставку составляют 2102 рубля.
Найдем оптимальный план поставок на 2010 год отдельно для каждого месяца.
Горизонт планирования на первый месяц T=31 день. По формуле (3) рассчитываем
Множество допустимых значений для Q имеет вид
Следовательно, Q1 = 2,79 и Q2 = 2,87. Первое значение
определяет напряженный план с тридцатью пятью одинаковыми зубцами, а второе - с
тридцатью четырьмя. Поскольку
то
и
Поскольку f1(Q1) < f1(Q2), то Qопт = Q1 =
2,79. Итак, оптимальным является напряженный план с тридцатью пятью зубцами.
Как уже отмечалось, часто рекомендуют применять план поставок с Q=Q0.
Каков при этом проигрыш по сравнению с оптимальным планом?
Для
плана с Q=Q0 интервал между поставками составляет 
дня.
Следовательно, партии придут в моменты t0 = 0; t1= 0,89; …; t34
= 30,23; t35 = 31,15. Следующая партия должна была бы прийти уже за
пределами горизонта планирования Т =31, в момент t35 = 31,15.
Таким образом, график уровня запаса на предприятии в пределах горизонта
планирования состоит из тридцати четырех полных зубцов и одного не полного. К
моменту Т =31 пройдет 31 - 30,23 = 0,77 дня с момента последней
поставки, значит, комбинат переработает 2,43 т продукции и останется 0,375
тонны. План с Q=Q0 не является напряженным, а потому не является
оптимальным для горизонта планирования Т =31. Но так как горизонт
планирования достаточно велик и разница между моментом последней поставки и
горизонтом планирования составляет всего 0,15 дня, то будем считать оптимальным
план с Q=Q0.
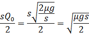
Рисунок
1.3. График зависимости средних издержек от оптимального объема партии
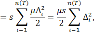
Рисунок
1.4. График оптимального плана
Подсчитаем
общие издержки в плане с Q=Q0. Площадь под графиком уровня запаса на
складе равна сумме площадей тридцати четырех треугольников и трапеции. Площадь
треугольника равна 1,246, а тридцати четырех - 42,364. Основания трапеции
параллельны оси ординат и равны значениям уровня запаса в моменты времени t34
= 30,23 и Т =31, т.е. величинам 2,8 и 2,43 соответственно. Высота
трапеции лежит на оси абсцисс и равна 31 - 30,23 = 0,77, а потому площадь
трапеции есть 
.
Следовательно, площадь под графиком равна 42, 364 + 2,014 = 44,378, а плата за
хранение составляет 
рублей.
За
31 дней доставлены 35 партий сырья , следовательно, затраты на доставку равны 
рублей.
Общие издержки за 31 дней составляют 
+
=
148346,17 рублей, а средние издержки - 4785,36 рублей. Они больше средних
издержек в оптимальном плане в 4785,36/4723,801 = 1,013 раза, т.е. на 1,3%.
Отметим,
что
т.е.
меньше, чем в плане с Q=Q1. Таким
образом, из-за дискретности множества допустимых значений средние издержки
возросли на 0,56 рубля. При этом оптимальный размер партии (3,79 т) отличается
от Q0 = 2,8 т на 0,01 тонну, т.е. Qопт/ Q0 = 0,996 -
различие на 0,4%. Таким образом отличие плана с Q=Q0
от оптимального пренебрежительно мало
на достаточно большой горизонт планирования.
Оба
слагаемых в f1(Q0) почти равны между собой
Таким
образом, составляющие средних издержек, порожденные различными причинами,
уравниваются между собой.
Средние
издержки в плане с Q=Q0 равны 
. Интервал
между поставками при этом равен
Издержки
в течение одного интервала между поставками таковы:
при
этом половина (т.е. g) приходится на оплату доставки партии, а половина
- на хранение товара. [1, 7]
По
аналогии найдем оптимальный план поставок на оставшиеся месяцы.
Таблица
1.1
|
Месяц
|
Горизонт планирования
(дней)
|
Qопт (т.)
|
Кол-во поставок
|
Qобщ (т.)
|
Издержки на хранение (руб.)
|
Издержки на доставку (руб.)
|
Средние издержки(руб.)
|
|
Январь
|
28
|
2,8
|
32
|
88,2
|
66497,6
|
67264
|
4777,2
|
|
Февраль
|
26
|
2,8
|
30
|
81,9
|
61430,05
|
63060
|
4787,2
|
|
Март
|
28
|
2,8
|
32
|
88,2
|
66497,6
|
67264
|
4777,2
|
|
Апрель
|
29
|
2,8
|
33
|
91,35
|
69128,8
|
69366
|
4775,7
|
|
Май
|
29
|
2,8
|
33
|
91,35
|
69128,8
|
69366
|
4775,7
|
|
Июнь
|
28
|
2,8
|
32
|
88,2
|
66497,6
|
67264
|
4777,2
|
|
Июль
|
28
|
2,8
|
32
|
88,2
|
66497,6
|
67264
|
4777,2
|
|
Август
|
30
|
2,8
|
34
|
94,5
|
71823,13
|
71468
|
4776,4
|
|
Сентябрь
|
27
|
2,8
|
31
|
85,05
|
63932,3
|
65162
|
4781,27
|
|
Октябрь
|
28
|
2,8
|
32
|
88,2
|
66497,6
|
67264
|
4777,2
|
|
Ноябрь
|
29
|
2,8
|
33
|
91,35
|
69128,8
|
69366
|
4775,7
|
|
Декабрь
|
31
|
2,8
|
35
|
97,65
|
74776,17
|
73570
|
4785,36
|
|
За год
|
341
|
|
389
|
1074,15
|
811836,05
|
817678
|
4778,61
|
Таким образом, в год комбинат должен переработать 1074,15 тонн сырья при
полной загрузке мощностей. Его общие годовые издержки составят 1629506 рублей,
а средние 4778,61 рублей.
1.4 Влияние
отклонений от оптимального объема партии
В реальных производственных и управленческих ситуациях часто приходится
принимать решения об использовании объемов партии, отличных от оптимальной
величины Q0, рассчитанной по формуле квадратного корня (3). Например,
при ограниченной емкости склада или для обеспечения полной загрузки
транспортных средств большой вместимости. Это возможно также в ситуации, когда
величина партии измеряется в целых числах (штучный товар) или даже в десятках,
дюжинах, упаковках, ящиках, контейнерах и т.д., а величина Q0 не
удовлетворяет этому требованию и, следовательно, не может быть непосредственно
использована в качестве объема поставки.
Для исследования эффективности работы комбината проанализируем
фактические данные и сравним их с построенным оптимальным планом. В таблице
представлены данные о том, сколько фактически переработано сырья за 2010 год.
Таблица 1.2
|
Месяц Qобщ
|
Январь
|
Февраль
|
Март
|
Апрель
|
Май
|
Июнь
|
|
|
87,19
|
72,66
|
85,64
|
90,66
|
89,22
|
84,49
|
|
Июль
|
Август
|
Сентябрь
|
Октябрь
|
Ноябрь
|
Декабрь
|
|
|
81,65
|
94.49
|
73.4
|
82.22
|
86.9
|
97,65
|
Из-за специфики работы предприятия количество поставок в каждом месяце то
же, что и в оптимальном плане, так как перерабатывающий комбинат входит в
состав группы агропредприятий «Ресурс» с вертикально-интегрированной
структурой. Обеспечением сырья для комбината занимаются бройлерные площадки,
которые так же входят в состав холдинга. А реализацией готовой продукции
занимается собственная торговая компания.
Найдем фактическую интенсивность переработки сырья для каждого месяца.
Таблица 1.3
|
Месяц
|
Январь
|
Февраль
|
Март
|
Апрель
|
Май
|
Июнь
|
|
|
3,11
|
2,8
|
3,06
|
3,13
|
3,08
|
3,02
|
|
Июль
|
Август
|
Сентябрь
|
Октябрь
|
Ноябрь
|
Декабрь
|
|
|
2,92
|
3,149
|
2,72
|
2,94
|
3,00
|
3,15
|
Средний показатель интенсивности переработки равен 3,01 тонны в день, то
есть эффективность использования оборудования снизилась на 4,45 процента по
сравнению с плановым показателем.
В
январе комбинат фактически переработал 87,19 тонн сырья, интенсивность
переработки составила 
3,11 тонн
в день при том же количестве поставок, что и в оптимальном плане, когда,
согласно оптимальному плану, должен был переработать 88,2 тонны. То есть
разница между плановым объёмом и фактическим составила 1,01 тонну или 1,14 процента.
В таблице представлена разница плановых и фактических объемов для оставшихся
периодов.
Таблица
1.4
|
Месяц
|
Qпл (тонн)
|
Qф (тонн)
|
 Q (тонн)
|
|
Январь
|
88,2
|
87,19
|
1,01
|
|
Февраль
|
81,9
|
72,66
|
9,24
|
|
Март
|
88,2
|
85.64
|
2,56
|
|
Апрель
|
91,35
|
90,66
|
0,69
|
|
Май
|
91,35
|
89,22
|
2,13
|
|
Июнь
|
88,2
|
84.49
|
3,71
|
|
Июль
|
88,2
|
81,65
|
6,55
|
|
Август
|
94,5
|
0,01
|
|
Сентябрь
|
85,05
|
73,4
|
11,65
|
|
Октябрь
|
88,2
|
82,22
|
5,98
|
|
Ноябрь
|
91,35
|
86,9
|
4,45
|
|
Декабрь
|
97,65
|
97,65
|
0
|
Таким образом, годовое отклонение от планового объема производства
составляет 47,98 тонн или 4,45 процента. Из-за нехватки сырья и как следствие
неполной эффективности использования оборудования годовая прибыль комбината
снизилась на 4,47 процента и составила 28335000 рублей, против плановых
29660000 рублей.
По формуле (1.3) найдем размер партии для каждого периода и сравним его с
оптимальным.
Рисунок 1.5.Соотношение планового
объема и фактического
Максимальное отклонение от оптимального объема наблюдается в сентябре и
составляет 6,96 процента. В декабре и августе этот показатель равен нулю.
Таблица 1.5
|
Месяц
|
Qпар (т.)
|
Отклонение от оптимального
размера партии (%)
|
|
Январь
|
2,79
|
0,52
|
|
Февраль
|
2,64
|
5,60
|
|
Март
|
2,76
|
1,32
|
|
Апрель
|
2,79
|
0,20
|
|
Май
|
2,77
|
1,00
|
|
Июнь
|
2,74
|
1,97
|
|
Июль
|
2,70
|
3,60
|
|
Август
|
2,80
|
0
|
|
Сентябрь
|
2,61
|
6,96
|
|
Октябрь
|
2,71
|
3,27
|
|
Ноябрь
|
2,74
|
2,29
|
|
Декабрь
|
2,80
|
0
|
Рисунок 1.6. Отклонение от оптимального объема партии
Посчитаем общие издержки на хранение и доставку сырья. Так как количество
поставок совпадает с оптимальным планом, то затраты на доставку партий те же,
что и в оптимальном плане. Затраты на хранение сырья посчитаем тем же способом
что и в параграфе 1.3.
Таблица 1.6
|
Месяц
|
Издержки на хранение
|
Общие издержки
|
Средние издержки
|
|
Январь
|
66279,48
|
133543,48
|
4769,4
|
|
Февраль
|
57918,5
|
120978,5
|
4653,0
|
|
Март
|
65531,3
|
132795,3
|
4742,7
|
|
Апрель
|
68906,4
|
138272,4
|
4768,0
|
|
Май
|
68380,2
|
137746,2
|
4749,9
|
|
Июнь
|
65064,2
|
132328,2
|
4726,0
|
|
Июль
|
64108,4
|
131372,4
|
4691,9
|
|
Август
|
71823,13
|
143291,13
|
4776,4
|
|
Сентябрь
|
59577,4
|
124739,4
|
4620,0
|
|
Октябрь
|
64345,9
|
131609,9
|
4700,4
|
|
Ноябрь
|
67628,5
|
136994,5
|
4723,9
|
|
Декабрь
|
74776,17
|
148346,17
|
4785,4
|
|
За год
|
1074,15
|
1612018
|
4727,3
|
Рисунок
1.7. Соотношение плановых и фактических издержек
Годовые
издержки комбината на доставку и хранение сырья составили 1612018 рублей. Это
меньше чем в оптимальном плане всего лишь на 1,13 процента, когда потери в прибыли
составили 4,47 процент.
В
целом работу предприятия можно считать хорошо спланированной, потому как
годовое отклонение составило 4,45 процента при планировании на достаточно
большой период.
ГЛАВА 2.
АНАЛИЗ ЛИНЕЙНОЙ ПРОИЗВОДСТВЕННОЙ ФУНКЦИИ КОМПЛЕКСНОГО АРГУМЕНТА ПРЕДПРИЯТИЯ ООО
«РЕСУРС»
2.1 Линейная
производственная функция комплексного аргумента
Обычно
в теории производственных функций переменными выступают объём производства Q,
затраты труда L и затраты капитала K, как
наиболее существенные факторы, и результат производства. Из множества
производственных ресурсов выбираются эти два - труд и капитал, поскольку до
определённой степени они являются взаимозаменяемыми - один и тот же объём
производства Q может быть достигнут при разных соотношениях K и L
и неизменном количестве прочих производственных ресурсов. Представим
производственные ресурсы K и L в виде комплексной переменной
.
Тогда
производственная функция в общем виде будет выглядеть так:
.
Здесь
K, L, и Q - положительные действительные числа. Отнесение K
в действительную часть, а L - в мнимую условно и не играет принципиального
значения. В такой функции комплексному числу
сопоставляется
действительное число Q.
В
простейшем случае связать затраты труда L и капитала
K с результатами производства Q
можно следующим образом [8, 10]:
.(2.1)
Здесь
a0 и a1 - действительные числа. Первый сомножитель,
представляющий собой комплексное число
,
помогает связать в одной модели производственные затраты и результаты, но требует
самостоятельного научного исследования.
Осуществляя
перемножение сомножителей в правой части равенства (2.1) и группируя
вещественную и мнимую части, получим:
.(2.2)
В
результате имеем комплексное число, вещественная часть которого
равна Qt, а мнимая часть
должна быть равна нулю в силу того, что в левой части
равенства мнимой части нет, то есть она представлена произведением i0. Следовательно, производственная функция (2.1)
представляет собой аддитивную модель вида:
,(2.3)
где коэффициенты а0 и а1 представляют собой части одного
комплексного числа.
Именно последнее обстоятельство предопределяет особенность свойств
предложенной модели производственной функции комплексного аргумента.
Использовать просто модель (2.3) в данном случае нельзя, поскольку должно
выполняться ещё и условие
.(2.4)
Решение системы уравнений (2.3) и (2.4) позволяет найти искомые значения
коэффициентов а0 и а1. Но тот же самый результат можно получить и
используя непосредственно модель (2.1). Для этого определим комплексное число
коэффициентов через объёмы и ресурсы, сделав несколько элементарных преобразований:
,(2.5)
Полученное равенство, как это следует из свойств комплексных чисел,
выполняется только в том случае, когда равны друг другу вещественные и мнимые
части комплексных чисел в его левой и правой частях. Это свойство позволяет
легко получить формулы для расчёта коэффициентов. Действительно, раскрывая
скобки и группируя отдельно вещественную и мнимую части, получаем формулы для
вычисления каждого из коэффициентов:
и
.(2.6)
Эти формулы позволяют не только найти численные значения коэффициентов по
известным значениям затрат и результатов, но и дать экономическую интерпретацию
значений каждого из коэффициентов а0 и а1.[9]
Для построения линейной
производственной функции комплексного аргумента воспользуемся конкретными
экономическими данными предприятия ООО «Ресурс» за 2010 год.
Таблица 2.1
|
Месяц
|
Затраты капитала K (тыс.
руб.)
|
Затраты труда L
(тыс. руб.)
|
Объем производства Q (тыс.
руб.)
|
|
Январь
|
3531
|
1526
|
7533
|
|
Февраль
|
3087
|
1272
|
6521
|
|
Март
|
3544
|
1508
|
7287
|
|
Апрель
|
3626
|
1632
|
7914
|
|
Май
|
3594
|
1580
|
7673
|
|
Июнь
|
3497
|
1487
|
7106
|
|
Июль
|
3395
|
1422
|
6940
|
|
Август
|
3827
|
1703
|
8199
|
|
Сентябрь
|
3198
|
1279
|
6686
|
|
Октябрь
|
3321
|
1447
|
6980
|
|
Ноябрь
|
3501
|
1539
|
7459
|
|
Декабрь
|
3988
|
1780
|
8321
|
По формулам (2.1.6) найдем значения коэффициентов а0 и а1.
Таблица 2.2
|
Месяц
|
а0
|
а1
|
|
Январь
|
1,79764
|
0,77689
|
|
Февраль
|
1,805807
|
0,744084
|
|
Март
|
1,738302
|
0,732431
|
|
Апрель
|
1,814915
|
0,816862
|
|
Май
|
1,789161
|
0,786554
|
|
Июнь
|
1,720871
|
0,731752
|
|
Июль
|
1,739084
|
0,728418
|
|
Август
|
1,788289
|
0,795782
|
|
Сентябрь
|
1,80239
|
0,720843
|
|
Октябрь
|
1,766429
|
0,769654
|
|
Ноябрь
|
1,785506
|
0,784888
|
|
Декабрь
|
1,739891
|
0,776581
|
Средние значения коэффициентов а0 и а1 равны 1,774 и 0,764
соответственно. В результате получили следующую производственную функцию
2.2 Анализ
коэффициентов линейной
производственной функции комплексного аргумента предприятия ООО «Ресурс»
Для того чтобы дать экономическую интерпретацию значений коэффициентов и
исследовать динамику развития предприятия ООО «Ресурс», проанализируем
полученные коэффициенты.
Если все исходные переменные равны единице, то в этом случае коэффициент а0
и коэффициент а1 равны друг другу и принимают значение равное 0,5.
То есть, если с течением времени экономическая система не развивается во
времени, затраты ресурсов и результаты остаются неизменными, то и коэффициенты
остаются неизменными и равными 0,5. Естественно, этот случай следует признать
чрезвычайно редким.
Равенство между коэффициентами, как это легко увидеть из (2.6), возможно
только в том случае, когда равны друг другу значения ресурсов: Lt=Kt. Во всех остальных случаях будет наблюдаться
неравенство между коэффициентами. Когда Lt>Kt, то а1 > а0, а когда Lt<Kt то а1 < а0.
Как следует из (2.6), коэффициент а1 отражает изменение
интенсивности использования трудовых ресурсов, а коэффициент а0 отражает
изменение интенсивности использования капитальных ресурсов. Поэтому данные
коэффициенты можно назвать - коэффициенты использования ресурсов.
Из (2.6) следует ещё одно очевидное свойство коэффициентов, а именно:
.(2.7)
Рассмотрим возможные пределы изменения этих коэффициентов в зависимости
от изменения того ресурса, поведение которого он отражает, то есть:
и
.
Как следует из (2.6), каждый из коэффициентов при стремлении одного из
параметров к нулю сам стремится к нулю, а при стремлении одного из параметров к
бесконечности, вновь устремляется к нулю. Поэтому очевидно, что рассматриваемые
функции имеют экстремум, который и следует найти.
С учётом симметричности коэффициентов, достаточно изучить только один из
них, тогда поведение другого коэффициента также будет известно.
Рассмотрим для определённости коэффициент использования трудовых ресурсов
а1.
Что касается зависимости коэффициента а1 от другого ресурса, а
именно, капитальных затрат Кt при фиксированном значении Lt, то формула (2.6) показывает, что при Кt=0 коэффициент принимает своё максимальное значение. С
ростом капитальных затрат и постоянстве трудовых затрат значения коэффициента
а1 начинают убывать по гиперболе и стремятся к нулю при стремлении
капитальных затрат к бесконечности. [11]
Аналогично ведёт себя и коэффициент а0 при фиксированном значении Кt и изменении трудовых затрат Lt от нуля до бесконечности.
Зависимость значений коэффициентов от Qt ещё более простая - с ростом Qt значения каждого коэффициента
использования ресурсов линейно возрастают.
Для уточнения характера изменения коэффициента а1 от Lt который представляет собой в
соответствии с (2.6) функцию от нескольких переменных, найдём частную
производную коэффициента использования трудовых ресурсов по труду. Она будет
равна:
.(2.8)
Для нахождения экстремума функции приравняем нулю эту производную:
,(2.9)
откуда легко найти условие, при котором коэффициент а0 принимает
максимальное значение, а именно:
.(2.10)
С учётом неотрицательности переменных, получаем, что и коэффициенты а0,
и а1 принимают свои максимальные значения только в том случае, когда
относительное значение затрат труда равно относительному значению затрат
капитала, то есть:
.(2.11)
Учитывая (2.11), из формулы для вычисления коэффициентов (2.6), легко
найти максимальные значения коэффициентов:
.(2.12)
Итак, можно сделать вывод о том, как меняются значения коэффициентов
использования ресурсов.
Коэффициент а1 при фиксированном положительном значении ресурса Кt равен нулю при равенстве нулю
ресурса Lt; коэффициент а0 при этом
больше нуля. При возрастании трудовых затрат Lt от нуля до значения, определяемого равенством (2.11)
коэффициент а1 возрастает. При значениях ресурса Lt, равного ресурсу Кt, коэффициент а0 достигает
своего максимального значения (2.12). При этом его значения равны коэффициенту а1.
С дальнейшим ростом значений трудовых ресурсов коэффициент а0 уменьшается
и стремится к нулю при стремлении значений Lt к бесконечности. На этом участке коэффициент а0,
в силу (2.7), всегда больше коэффициента а1, который также уменьшается с
ростом Lt .
Таким же образом в зависимости от капитальных ресурсов Кt ведёт себя и другой коэффициент -
коэффициент использования капитальных ресурсов.
На рисунке 2.1 изображен график изменения коэффициента а1 в
зависимости от изменения значений трудовых ресурсов при фиксированном
положительном Кt.
Любая производственная единица, будь то отдельно взятое предприятие или
хозяйство всей страны, развивается во времени. При этом меняются технологии
производства, вызывая изменения производительности труда и производительности
оборудования. Эти изменения отражаются в производственной функции изменением
коэффициентов использования ресурсов. [12]
С этих позиций коэффициенты a0
и а1 можно рассмотреть как некоторые функции от времени: а1=f1(t), а0=f0(t). Но так как указанные коэффициенты являются частями
одного комплексного числа, то эти зависимости следует рассмотреть в комплексе.
То есть, рассматривая коэффициенты в динамике, следует найти зависимость
.(2.13)
Рисунок 2.1. График зависимости а1 от Lt
Рассмотрим эту задачу с помощью графического метода, поскольку данное
комплексное число может быть отображено на плоскости (а0, а1),
где коэффициенты использования ресурсов выступают в качестве осей координат
данной плоскости.
Динамика изменения комплексного числа во времени может иметь самый
различный вид, но если эта динамика может быть описана в виде зависимости
,(2.14)
то она представляет особый интерес.
С учётом того, что в теории производственных функций за точку отсчёта
принимаются начальные значения динамических рядов, их относительные значения
будут равны единице, а это означает, что в начальной точке коэффициенты а0 и
а1 будут равны друг другу и равны 0,5 (как это следует из (2.6)).
В теории производственных функций принята именно эта точка отсчёта,
поэтому в дальнейшем будем считать, что все исходные переменные приведены к
начальным значениям. Иные случаи будут оговорены отдельно.
Так как значения коэффициентов использования ресурсов лежат в пределах от
нуля до бесконечности, возможны четыре варианта динамики коэффициентов из
начальной точки (0,5; 0,5) , а именно:
) когда оба коэффициента возрастают и их значения превышают начальную
величину 0,5;
) когда оба коэффициента уменьшаются и становятся меньше 0,5;
) когда значения коэффициента а1 возрастают и превышают 0,5, а
значения коэффициента а0 уменьшаются;
) когда значения коэффициента а1 уменьшаются, а значения
коэффициента а0 возрастают и остаются больше 0,5. [10]
Рисунок 2.2. Плоскость возможных значений изменения коэффициентов
На рисунке 2.2 изображена плоскость возможных значений изменения
коэффициентов использования ресурсов а0 и а1. На плоскость
нанесены две перпендикулярные прямые, показанные пунктирными линиями,
проходящие через отрезки на осях, равные 0,5. Пересечением этих двух прямых
является точка, в которой каждый из коэффициентов равен 0,5. Именно эта точка и
является начальной. Эти две прямые также делят плоскость значений коэффициентов
на четыре области.
С учётом того, что каждый из коэффициентов представляет собой сложную
зависимость от трёх факторов - объёма Qt, трудовых Lt и капитальных затрат Кt, точно определить условия для
каждого типа динамики достаточно сложно, и это должно быть предметом особого
научного исследования. Тем не менее, можно, исходя из (2.6) и рисунка 2.2,
наметить некие общие условия, характерные для каждого из четырёх вариантов
динамики.
Дадим интерпретацию каждого из типов совместной динамики коэффициентов
использования ресурсов.
Первый вариант предусматривает превышение значений двух коэффициентов от
начальной точки 0,5. Это возможно в том случае, когда трудовые и капитальные
ресурсы сбалансированы, а отдача их увеличивается. Такой вариант развития
событий характерен для сбалансированной экономики с устойчивым ростом
производительности труда и фондоотдачи.
Второй вариант характерен снижением величин обоих коэффициентов
использования ресурсов относительно их начальной точки в 0,5. Как следует из
рисунка 2.2, это возможно в условиях дисбаланса, при структурной перестройке
производства, когда один из ресурсов используется в большей степени, чем
другой, а отдача ресурсов не увеличивается. Эта зона - зона кризисной динамики.
Третья зона предполагает рост коэффициента использования трудовых
значений выше начального значения, и снижение величин коэффициента
использования капитальных ресурсов. Увеличение значений а1 по сравнению
с а0 возможно только в ситуации, когда трудовые ресурсы привлекаются в
большей степени, чем капитальные. В то же время, рост самого значения
коэффициента а1 свидетельствует о том, что растут и объёмы производства.
Следовательно, процесс трудоинтенсивный с повышающейся фондоотдачей.
Четвёртая зона предполагает снижение коэффициента использования трудовых
ресурсов относительно начального значения и повышение величин коэффициента
использования капитальных ресурсов. Увеличение значений а0 по сравнению
с а1 возможно только в ситуации, когда капитальные ресурсы привлекаются
в большей степени, чем трудовые. При этом наблюдается и рост производства.
Значит, фондоотдача уменьшается, а производительность труда растёт.
Из рисунка 2.2 видно, что полученные коэффициенты соответствуют первому
варианту динамики. То есть отсюда можно сделать вывод, что предприятие ООО
«Ресурс» это предприятие с устойчивым ростом фондоотдачи и сбалансированными
коэффициентами ресурсов. Так же видно, что коэффициенты капитальных ресурсов
намного больше трудовых, это означает, что капитальные ресурсы имеют большую
значимость в получении дохода, чем трудовые.
Приведённые выше выкладки и примеры показывают возможность использования
предлагаемой функции (2.1) для целей анализа сути происходящих производственных
процессов.
2.3
Графическая интерпретация линейной производственной функции комплексного аргумента
В теории производственных функций и экономическом анализе активно
используются графические интерпретации производственной функции Кобба-Дугласа,
а именно - линии под названием "изокванты" и "изоклинали".
Можно ли провести аналогии с ними для предложенной функции?
Изокванты, как известно, показывают, как может меняться структура
использования ресурсов - труда и основного капитала, если объём производства
сохраняется неизменным Qt=Q=const. По сути, изокванты характеризуют
изменение издержек производства при различных сочетаниях труда и основного
капитала, если объёмы производства остаются неизменными. Графически изокванта
представляет собой прямую на плоскости ресурсов, все точки на которой, характеризуют
один и тот же объём производства. Чисто математически изокванты представляют
собой зависимость затрат труда от затрат капитала при постоянстве объёмов
производства. [12, 14] Найдём эту зависимость для производственной функции
комплексного аргумента. Как следует из (2.1.1), уравнение изокванты будет
представлено в виде:
(2.15)
Или, после небольших преобразований:
. (2.16)
Поскольку
в левой части равенства действительная часть равна нулю, то и в правой части
равенства действительная составляющая должна быть равна нулю. С учётом того,
что
, выразив из него а1 и подставив полученное
выражение в вещественную часть равенства (2.16), получим искомое уравнение
изокванты:
(2.17)
При
Kt=0 и Lt=0. При
значение вновь становится равным нулю. Очевидно, что
между этими двумя точками есть точка максимума. Определить эту точку достаточно
просто - следует взять первую производную функции по капитальным ресурсам
(поскольку объёмы производства остаются величиной постоянной) и приравнять её
нулю. В результате получим точку, в которой изокванта достигает своего
максимума:
(2.18)
С ростом значений Q будет
получено семейство изоквант, каждая из которых выходит из нулевой точки,
постепенно возрастая до максимальной точки, определяемой условием (2.18), а
затем уменьшаясь до нулевых значений трудовых ресурсов в точке
.
Теперь
выведем уравнение изоклинали для производственной функции комплексного
аргумента. Изоклинали, как известно, строятся для ситуации, когда при выбранной
технологии производства неизменной остаётся себестоимость произведённой
продукции, а её объём увеличивается с увеличением затрат ресурсов. Графически
изоклиналь представляет собой линию на плоскости ресурсов, все точки на которой
характеризуют такие объёмы производства (результаты), которые достигаются при
одном и том же способе производства, одной и той же пропорции между ресурсами,
но при разных величинах капитальных и трудовых ресурсов. Математическим
условием для построения изоклинали выступает условие сохранения одной и той же
пропорции между трудовыми и капитальными затратами, то есть [13]:
. (2.19)
Подставляя это значение в (2.1.1), получим для изоклиналей:
. (2.20)
Раскрывая скобки и группируя вещественную и мнимую части комплексного
числа, получим:
,
откуда со всей очевидностью следует искомое уравнение изоклинали:
.(2.21)
Это уравнение представляет собой прямую линию, выходящую из нулевой точки
на плоскости ресурсов, тангенс угла наклона которой равен сомножителю перед ресурсом
Lt.
Поскольку графики изоквант и изоклиналей обычно располагается на
плоскости ресурсов, то с учётом (2.17), по вертикальной оси откладываются
значения трудовых ресурсов, а по горизонтальной - значения капитальных
ресурсов. Поэтому уравнение изоклинали следует представить как зависимость
величины трудовых ресурсов от капитальных ресурсов при росте объёма
производства, но сохранении пропорции (2.19). В этом случае оно принимает
элементарный вид:
На рисунке 2.3 показаны изокванты и изоклинали для линейной
производственной функции комплексного аргумента.
Рисунок 2.3. Изокванты и изоклинали
Подобный вид изоквант характерен для производства с полной
взаимозаменяемостью ресурсов. Можно сделать вывод о том, что взаимозаменяемость
ресурсов абсолютно эластична (то есть эластичность бесконечна). Предельная
норма замены ресурсов в нашем случае, в соответствии с (2.7) будет равна:
Мы рассмотрели простейшую из возможных производственных функций. Как
видно, даже у такой простой производственной функции есть уникальные свойства,
которых нет ни у каких других производственных функций действительных
переменных. Например, возможность рассчитать коэффициенты функции для каждого
наблюдения, а не для ряда наблюдений, а также пополнить теорию производственных
функций аппаратом для анализа происходящих в производстве процессов.
ГЛАВА 3.
КОРРЕЛЯЦИОНН-РЕГРЕССИОННАЯ МОДЕЛЬ ДОХОДОВ ПРЕДПРИЯТИЯ ООО «РЕСУРС»
3.1 Этапы
построения модели
Построим корреляционно - регрессионную модель доходов предприятия ООО
«Ресурс».
Первые два этапа построения модели включают априорное исследование
экономической проблемы и формирование перечня факторов, и их логический анализ.
Доходы комбината являются зависимой переменной y. Рассмотрим влияние на доходы предприятия следующих
факторов:
x1 - затраты капитала, тыс. руб.;
x2 - фонд оплаты труда работников, тыс. руб.;
x3 - итог баланса предприятия, тыс. руб.;
x4 - объем производства, тонн.;
у
- доходы предприятия, тыс. руб.
Третий этап - сбор исходных данных и их первичная обработка.
Исходные данные для выполнения многофакторного корреляционно -
регрессионного анализа влияния факторов на зависимую переменную собраны в виде
динамических рядов и представлены в таблице 3.1.
Матрица исходных данных, представленная в таблице 3.1, включает в себя 4
показателя - фактора и функцию (доходы предприятия - y) за 12месяцев.
Четвертый этап - спецификация функции регрессии.
Предполагаем, что имеет место множественная линейная регрессия, т. е.
доходы предприятия линейно зависят от выбранных четырех факторов x1, x2, …x4. Уравнение регрессии имеет следующий вид:

,(3. 1)
где a0, a1,….a4 - параметры уравнения регрессии, подлежат оценке. [15]
Таблица 3.1
|
Месяц
|
Переменные
|
|
x1
|
x2
|
x3
|
x4
|
у
|
|
Январь
|
5057
|
2476
|
87,19
|
7533
|
|
Февраль
|
4359
|
1272
|
2162
|
72,66
|
6521
|
|
Март
|
5052
|
1508
|
2235
|
85.64
|
7287
|
|
Апрель
|
5258
|
1632
|
2656
|
90,66
|
7914
|
|
Май
|
5174
|
1580
|
2499
|
89,22
|
7673
|
|
Июнь
|
4984
|
1487
|
2122
|
84.49
|
7106
|
|
Июль
|
4817
|
1422
|
2123
|
81,65
|
6940
|
|
Август
|
5530
|
1703
|
2669
|
94,49
|
8199
|
|
Сентябрь
|
4477
|
1279
|
2209
|
73,4
|
6686
|
|
Октябрь
|
4768
|
1447
|
2212
|
82,22
|
6980
|
|
Ноябрь
|
5040
|
1539
|
2419
|
86,9
|
7459
|
|
Декабрь
|
5768
|
1780
|
2553
|
97,65
|
8321
|
Пятый этап - оценку функции регрессии выполним с использованием
программного продукта Excel
2010. Для этого исходные данные таблицы 3. 1 вводятся в электронную таблицу Excel.
Для выполнения регрессионного и корреляционного анализа в Microsoft Excel 2010 имеется набор инструментов, называемый «Пакет
анализа», который может быть использован для решения сложных статистических
задач. Для использования одного из этих инструментов необходимо указать входные
данные и выбрать параметры, анализ которых будет проведен с помощью
статистической макрофункции, и результаты будут представлены в выходном
диапазоне. Некоторые инструменты позволяют представить результаты в графическом
виде. [17, 19]
Проведем регрессионный анализ с помощью Microsoft Excel 2010. Для этого на панели «Анализ данных» выберем
функцию «Регрессия». В результате получили таблицу, представленную на рисунке
3.1.
Рисунок 3.1. Результаты выполнения функции регрессии
Для данной регрессии коэффициент множественной корреляции равен R=1, что свидетельствует об очень
высокой тесноте связи между выбранными факторами и доходами предприятия ООО
«Ресурс».
Шестой этап - отбор главных факторов. Необходимо произвести отбор главных
факторов, оказывающих наибольшее влияние на функцию у, т.к. модель,
включающая большое количество факторов, неустойчива. Неустойчивость модели
заключается в необъективном отражении изменения у при соответствующих
изменениях факторов. Отбор факторов производится на основе анализа значений
специальных статистических характеристик.
3.2 Отбор
главных факторов
Процедура отбора главных факторов включает следующие этапы.
Анализ факторов на мультиколлинеарность и ее исключение. Определение
мультиколлинеарности проводится путем анализа значений коэффициентов парной
корреляции rij между факторами xi xj. Если ½rij½>0,7, то факторы xi xj - мультиколлинеарны.
Для получения коэффициентов парной корреляции вычислим корреляционную
матрицу. Для этого выберем команду «Анализ данных» и функцию «Корреляция». В
раскрывшемся окне «Корреляция» в строке «Входной интервал» введем интервал
ячеек со значениями переменных. [18]
Рисунок. 3.2. Корреляционная матрица
Из рисунка 3. 2 видно, что мультиколлинеарность присутствует между всеми
факторами.
Для устранения мультиколлинеарности один из факторов исключим из модели.
Факторы, подлежащие исключению, определяются в ходе оценки следующих
статистических характеристик: коэффициента парной корреляции между фактором и
функцией (rx,y); коэффициента bk - фактора k,
критерия Стьюдента (tk).
. Анализ факторов на мультиколлинеарность и ее исключение.
Здесь проводится анализ значений коэффициентов парной корреляции rij между факторами хi и хj.
. Анализ тесноты взаимосвязи факторов (х) с зависимой
переменной (у).
Для проведения этого анализа используюем значения парной корреляции между
фактором и функцией (rx,y). Величина rx,y также представлена в корреляционной матрице. Факторы, для
которых rx,y=0, т.е. не связанные с у, подлежат исключению в
первую очередь. Факторы, имеющие наименьшее значение ½rij½, могут быть потенциально исключены
из модели. В нашем случае все факторы мультиколлинеарены между собой. Однако х1
имеет наибольшую тесноту связи с у, rx,y =0,984 и его
можно оставить для дальнейшего анализа. Остальные факторы потенциально могут
быть исключены из анализа. Вопрос об их окончательном исключении решается в
ходе анализа других статистических характеристик. Для измерения
мультиколлинеарности можно использовать коэффициент множественной детерминации:
Д=R2, где R - коэффициент множественной корреляции.
. Анализ коэффициентов b факторов.
Для того чтобы определить, какие факторы подлежат исключению проведем
анализ коэффициентов b
факторов.
Коэффициент b
указывает влияние анализируемых факторов на у с учетом различий в уровне
их колеблемости
где bk -
коэффициент b k - го фактора;
sxk - среднеквадратическое отклонение k -го фактора;
sy - среднеквадратическое отклонение функции;
ak -
коэффициент регрессии при k
- м факторе.
Для расчета коэффициентов b предварительно необходимо рассчитать среднеквадратическое
отклонение (в Excel оно называется стандартным
отклонением) факторов и функции.
Воспользуемся функцией «СТАНДАРТОТКЛОН» для расчёта среднеквадратического
отклонения.
Таблица 3.2
|
Переменные
|
x1
|
x2
|
x3
|
x4
|
у
|
|
Среднеквадратическое
отклонение
|
397,76
|
151,67
|
206,47
|
7,46
|
573,15
|
По формуле 3.2 найдем значения bk.
Таблица 3.3
|
b1
|
b2
|
b3
|
b4
|
|
0,69
|
0,00
|
0,36
|
0,00
|
Из двух факторов хi и хj может быть исключен тот фактор,
который имеет меньшее значение b, поэтому можем отбросить факторы x2, x3
и x4.
Проверим коэффициенты регрессии на статистическую значимость. Проверка
статистической значимости ak
производится двумя способами: по критерию Стьюдента и по критерию Фишера. Для
проверки статистической значимости ak по критерию Стьюдента tk
рассчитывают по следующей формуле
где ak - коэффициент регрессии при k - ом факторе, Sak - стандартное отклонение оценки
параметра ak. [20]
Критерий Стьюдента уже был вычислен при выполнении функции регрессии (см.
Лист «Регрессия 1», столбец «t -
статистика», рис. 3.1).
Число степеней свободы статистики tk равно f=n-m-1, где m - количество факторов включенных в модель (f=12-4-1=7). Расчетное значение tk сравним с критическим значением tf,a, найденным по таблице 1 приложения 1. При заданном
уровне значимости a (a=0,05) и числе степеней свободы f=7, в нашем примере t7,0.05=5,408.
Если tk³tf,a, то ak
существенно больше 0, а фактор хk оказывает существенное влияние на у. При этом
фактор хk оставляем в модели.
Если tk<tf,a, то фактор
исключаем из модели.
Проверка статистической значимости аk по критерию Фишера -
,(3.4)
где t2 - многомерный аналог критерия
Стьюдента. [15]
Число степеней свободы статистики Fk следующее: f1 = 4, f2=n-m-1. Значение Fk, вычисляемое по формуле, сравним с критическим
значением Ff1f2a=4,13, найденным по таблице 2
приложения 3, при заданном уровне значимости a и числе степеней свободы f1 и f2.
Если Fk³Ff1f2a, то ak - существенно больше 0, а фактор xk оказывает существенное влияние на у.
При этом фактор хk
оставляем в модели. Если Fk<Ff1f2a, то фактор исключаем из модели. В
результате следует исключить x2,
x3 и x4.
Проанализируем факторы на управляемость. В ходе логического анализа на
основе экономических знаний следует сделать вывод: можно ли разработать
организационно - технические мероприятия, направленные на улучшение (изменение)
выбранных факторов на уровне предприятия. Если это возможно, то данные факторы
управляемы. Неуправляемые факторы на уровне предприятия могут быть исключены из
модели.
Аналогично, описанному выше построим модель в которой будут следующие
факторы: x2 и у. Для этой модели
определим коэффициент множественной детерминации Д, который служит для
измерения тесноты связи между x2
и у.
Д=R2=0,949.
Рисунок 3.3. Лист «Регрессия 2»
Исходя из перечисленных выше суждений исключим фактор x4 так как он имеет наименьшее
значение b. Построим
корреляционную матрицу без исключенного фактора.
Рисунок 3.4. Корреляционная матрица без фактора x4
Из матрицы видно, что все факторы мультиколлинеарны. Далее исключим из
модели фактор x3, так как он
имеет наименьшую тесноту связи с y. По аналогии вычислим корреляционную матрицу без факторов x3 и x4.
Рисунок 3.5. Корреляционная матрица без факторов x3 и x4
Опять же факторы мультиколлинеарны, поэтому в модели оставим один фактор x1.
Исследуем целесообразность исключения факторов из модели с помощью
коэффициента детерминации.
Прежде чем вынести окончательное решение об исключении переменных из
анализа в силу их незначимого влияния на зависимую переменную, произведем
исследование совместного влияния факторов.
Для этого используется статистика, которая имеет F - распределение с f:
F=
(3.5)
где Дm
- коэффициент детерминации регрессии с m объясняющими переменными; Дm1 - коэффициент детерминации
регрессии с m1 факторами; m - число переменных в первой
регрессии; m1 - число переменных в последней
регрессии.
Если Fрас.£Ff1f2a, то исключенные выше факторы
совместно не оказывают статистически значимого влияния на функцию. Вычислим Fрас.:
Fрас.=
Определим
критическое значение статистики F при f1=4-3=1
и f2=12-4-1=7 и уровне значимости a=0,05: F1,7,0.05=3.34, с помощью таблицы 2 приложения 1.
Получаем
что 0<5,59, следовательно, ранее исключенные x2, x3,
x4 факторы совместно не оказывают статистически
значимого влияния на переменную у.
3.3 Проверка
модели на адекватность
Проверим полученную модель на адекватность.
Данный этап анализа включает расчет следующих показателей:
а) оценка значимости коэффициента детерминации, т.е. оценивается влияние
выбранных факторов на зависимую переменную, она производится с помощью
статистики:
F=
(3.6)
где Д - коэффициент детерминации, Д=R2;
R - коэффициент множественной корреляции.
Расчетное значение статистики F, вычисленное по эмпирическим данным, сравнивается с
табличными значениями Ff1f2a (таблица 2 приложение 3), где f1=m=1; f2=n-m-1=12-1-1=10; a=0,05; F1,10,0.05=4,96.
В
нашем случае имеем F=
Так
как Fрас.>F1,17,0.05, то включаемые в
регрессию переменные достаточно объясняют зависимую переменную, что позволяет
говорить о значимости самой регрессии (модели).
б)
проверка качества подбора теоретического уравнения проводится с использованием
средней ошибки аппроксимации регрессии. Средняя ошибка аппроксимации регрессии
рассчитывается по формуле:
Е=
%,(3.7)
где уi
- фактическое значение функции для i - го календарного периода;
уim
- теоретическое значение функции для i - го календарного периода;.
Для вычисления средней ошибки аппроксимации составим еще одну расчетную
таблицу. Выберем следующий свободный лист, переименуем его «Средняя ошибка».
Данные для столбца «Остатки» и для столбца «Теоретическое значение
функции» скопируем с листа «Регрессия 2», соответственно - столбец «Остатки» и
столбец «Предсказанное Y».
В столбец «Составляющие для вычисления ошибки» введем формулы для расчета
по образцу =B3/C3*100.
Для вычисления средней ошибки аппроксимации регрессии надо
воспользоваться формулой вычисления среднего значения.
Рисунок 3.4. Лист «Средняя ошибка»
Для вычисления средней ошибки аппроксимации в следующую строку запишем
заголовок «Средняя ошибка аппроксимации» и введем формулу: =С25*100.
В нашем случае ошибка аппроксимации не превышает допустимого значения
(0,13%<5%), что свидетельствует о очень высоком уровне качества подбора
уравнения регрессии.
в) вычисление специальных показателей, которые применяются для
характеристики воздействия отдельных факторов на результирующий показатель:
· коэффициент эластичности, который показывает, на сколько
процентов в среднем изменяется функция с изменением аргумента на 1% при
фиксированных значениях других факторов - аргументов.
Эк=ак×
,(3.8)
где Эк - коэффициент эластичности для к -го показателя.
[16, 20]
Предварительно необходимо рассчитать среднее значение функции и факторов
регрессии. Для этого на листе «Данные 2» рассчитаем средние значения зависимых
переменных и функции.
Для вычисления коэффициента эластичности и вариации создадим еще одну
расчетную таблицу под названием «Коэффициенты эластичности и вариации». Данные
для столбца «Среднее значение» перепишем с листа «Данные 2», а данные для
столбца «Коэффициенты регрессии» скопируем с листа «Регрессия 2» - столбец
«Коэффициенты». В столбец «Коэффициент эластичности» введем формулы,
рассчитывающие коэффициент эластичности: =С3*(В3/В2).
Рисунок 3.5. Лист «Коэффициенты эластичности и вариации»
Значение коэффициента эластичности получились соответственно Э1=0,955.
Отсюда следует, что при изменении расходов на 1% функция изменяется на 0,955%.
г) коэффициент вариации:
Vk=
.(3.9)
Для расчета этого коэффициента в таблицу «Вычисление коэффициента
эластичности» (лист «Коэффициенты эластичности и вариации») перепишем:
· в столбец «Среднеквадратичное отклонение» с листа «Данные 1»,
перепишем данные строки «Стандартное отклонение» (по фактору х1,);
· в столбец «Коэффициент вариации» введем формулу,
рассчитывающую коэффициент вариации = E3/B3.
Исходя из всех выше перечисленных расчетов, используя коэффициенты
регрессии (лист «Регрессия 2»), запишем корреляционно - регрессионное уравнение
доходов предпреятия:
y =334,69 + 1,403 х1.(3.10)
В результате получили однофакторную корреляционно - регрессионную модель
производства предприятия ООО «Ресурс».
В ходе корреляционно - регрессионного анализа было выявлено, что главным
фактором, определяющими вариацию уровня доходов предприятия в ретроспективном
периоде, являются затраты капитала предприятием на сырье. Очевидно, в будущем
периоде для повышения доходов предприятия, необходимо, прежде всего, уделить
особое внимание структуре расходов предприятия.
3.4 Сравнение
двух моделей производственной функции ООО «Ресурс»
Сравним линейную производственную модель комплексного аргумента и
корреляционно-регрессионную модель предприятия. В таблице 3.4 представлены
фактические и теоретические значения y, где yф
- фактическое значение доходов предприятия, yт1 - теоритическое значение полученное с помощью
линейной производственной модели комплексного аргумента, yт2 - теоретическое значение полученное с помощью
корреляционно-регрессионной модели.
Таблица 3.4
|
yф
|
yт1
|
yт2
|
|
7533
|
7429,86
|
7431,70
|
|
6521
|
6448,15
|
6452,12
|
|
7287
|
7439,17
|
7424,68
|
|
7914
|
7679,37
|
7713,78
|
|
7673
|
7582,88
|
7595,89
|
|
7106
|
7339,75
|
7329,25
|
|
6940
|
7109,14
|
7094,88
|
|
8199
|
8090,19
|
8095,51
|
|
6686
|
6650,41
|
6617,72
|
|
6980
|
6996,96
|
7026,11
|
|
7459
|
7386,57
|
7407,84
|
|
8321
|
8434,63
|
8429,52
|
Рисунок 3.6. График отклонений теоретических значений y двух моделей от фактических
Из рисунка 3.6 можно сделать вывод о том, что обе модели очень хорошо и
практически одинаково отражают происходящие производственные процессы на
предприятии.
ЗАКЛЮЧЕНИЕ
В дипломной работе были построены и проанализированы следующие модели:
· модель управления запасами без дефицита;
· линейная производственная модель комплексного аргумента;
· корреляционно-регрессионная модель.
В первой главе построен оптимальный план поставок сырья с помощью модели
управления запасами, выбранной с учетом специфики производства предприятия.
Проведено исследование эффективности работы предприятия путем сравнения
плановых и фактических показателей и анализа отклонений от оптимального плана
поставок. В ходе исследования было выявлено, что из-за отклонений от
оптимального плана эффективность работы предприятия снизилась на 4,45 процента,
вследствие чего потери в прибыли составили 1325000 рублей.
Во второй главе была смоделирована линейная производственная функция
комплексного аргумента предприятия, и проанализированы свойства коэффициентов
этой функции с целью дать возможность экономически интерпретировать
происходящие производственные процессы. В результате анализа свойств полученных
коэффициентов было выявлено, что предприятию присуща сбалансированная экономика
с устойчивым ростом производительности труда и фондоотдачи, та как оба значения
коэффициентов превышают начальную точку 0,5.
В третьей главе была построена корреляционно - регрессионная модель
доходов предприятия. Были выявлены главные факторы, влияющие на доход
предприятия. Проведена проверка построенной модели на адекватность. В
результате была построена однофакторная корреляционно - регрессионная модель
доходов предприятия, главным фактором которой являются затраты капитала
предприятием на сырье. В ходе проверки модели на адекватность было выявлено,
что ошибка аппроксимации не превышает допустимого значения (0,13%<5%), что
свидетельствует об очень высоком уровне качества подбора уравнения регрессии.
Так же были рассчитаны коэффициенты эластичности и вариации.
СПИСОК
ИСПОЛЬЗУЕМОЙ ЛИТЕРАТУРЫ
1. Рыжиков Ю. И. Теория очередей и управление запасами. -
СПб: Питер, 2001. - 384 с.
2. Орлов А.И. Устойчивость в социально-экономических
моделях. - М., Наука, 1979. - 296 с.
. Орлов А.И. Эконометрика.- М.: Экзамен, 2002. - 576
с.
. Орлов А.И., Пейсахович Э.Э. Некоторые модели
планирования оптимальных размеров поставок и начального запаса // Экономика и
математические методы. 1975. Т.XI. №.4. С.681- 694.
. Управление материально-техническим обеспечением. /
Под ред. Вершинина Р.Г. - М.: Наука, 2004. - 204 с.
. Прабху А. Методы теории массового обслуживания и
управления запасами. Пер. с англ. - М.: Машиностроение, 1969.
. Хэнссмен Ф. Применение математических методов в
управлении производством и запасами. Пер. с англ. - М.: Прогресс, 1966.
. Светуньков С.Г., Светуньков И.С. Производственные
функции комплексных переменных. - М.: ЛКИ, 2008.
9. Замков О.О. Математические методы в экономике. - М.:
Дело и Сервис, 2004.
10. Светуньков С.Г., Светуньков И.С. Исследование свойств
производственной функции комплексного аргумента. Препринт. - СПб.: Изд-во
СПбГУЭФ, 2005.
. Орехов Н.А., Левин А.Г., Горбунов Е.А. Математические
методы и модели в экономике. - М.: Юнити-Дана, 2004.
. Баркалов Н.Б. Производственные функции в моделях
экономического роста. М.: МГУ, 1981.
13. Колемаев В.А. Математическая экономика. - М.:
ЮНИТИ-ДАНА, 2002.
. Подтележников В.П. Производственные функции. -
Липецк: ЛЭГИ, 2002.
15. Н.Ш.Кремер. Теория вероятностей и математическая
статистика. - М.: Юнити-Дана, 2007.
16. Елисеева И.И. Статистика. Теория и практика. - СПб.:
Питер, 2010. - 368 с.
17. Макарова Н.В., Трофимец В.Я. Статистика в Excel. -
М.: Финансы и статистика, 2002. - 368 с.
. Дубина А.Г., Орлова С. С, Шубина И.Ю., Хромов А.В.
Excel для экономистов и менеджеров. - СПб.: Питер, 2004. - 295 с.
. Левин Д., Беренсон М. Статистика для менеджеров с
использованием Excel. - М.: Вильямс, 2005. - 1313 с.
20. Шмойлова Р.А. и др. Теория статистики. - М.: Финансы и
статистика, 2001. - 560с.
ПРИЛОЖЕНИЕ 1
Таблица 3.1. Процентные точки распределения Стьюдента (tk)
|
Число степеней свободы
|
Уровень значимости
|
|
20
|
10
|
5
|
2
|
1,0
|
0.05
|
|
1
|
2
|
3
|
4
|
5
|
6
|
7
|
|
1
|
3,078
|
6,314
|
12,706
|
31,821
|
63,657
|
127,3
|
|
2
|
1,886
|
2,920
|
4,303
|
6,965
|
9,925
|
14,089
|
|
3
|
1,638
|
353
|
3,152
|
4,541
|
5,841
|
7,453
|
|
4
|
533
|
132
|
2,776
|
3,747
|
4,604
|
5,598
|
|
5
|
476
|
0,15
|
571
|
365
|
0,32
|
4,773
|
|
6
|
4440
|
1,943
|
447
|
143
|
3,307
|
317
|
|
7
|
415
|
895
|
365
|
299
|
499
|
29
|
|
8
|
397
|
860
|
306
|
890
|
355
|
3,833
|
|
9
|
383
|
833
|
262
|
821
|
250
|
690
|
|
10
|
372
|
812
|
226
|
169
|
581
|
|
11
|
363
|
796
|
201
|
718
|
108
|
497
|
|
12
|
356
|
872
|
179
|
681
|
0,55
|
428
|
|
13
|
350
|
771
|
160
|
650
|
0,12
|
372
|
|
14
|
345
|
716
|
145
|
624
|
2,977
|
326
|
|
15
|
341
|
553
|
131
|
602
|
947
|
286
|
|
16
|
337
|
746
|
120
|
583
|
921
|
252
|
|
17
|
333
|
740
|
111
|
567
|
898
|
222
|
|
18
|
1,330
|
734
|
101
|
552
|
878
|
197
|
|
19
|
1,328
|
729
|
93
|
539
|
861
|
174
|
|
20
|
325
|
725
|
86
|
528
|
845
|
153
|
|
21
|
323
|
721
|
80
|
518
|
831
|
135
|
|
22
|
321
|
717
|
74
|
503
|
819
|
119
|
|
23
|
319
|
714
|
69
|
500
|
807
|
104
|
|
24
|
318
|
711
|
64
|
492
|
2,80
|
91
|
|
25
|
1,316
|
1,706
|
2,60
|
2,485
|
2,787
|
3,078
|
|
26
|
215
|
706
|
56
|
479
|
779
|
67
|
|
27
|
314
|
703
|
52
|
473
|
771
|
57
|
|
28
|
313
|
701
|
43
|
467
|
763
|
47
|
|
29
|
311
|
699
|
45
|
462
|
756
|
38
|
|
30
|
310
|
697
|
42
|
467
|
750
|
20
|
|
40
|
303
|
384
|
21
|
423
|
704
|
2,971
|
|
60
|
296
|
671
|
000
|
390
|
660
|
9,915
|
|
120
|
289
|
658
|
1,980
|
358
|
617
|
2,860
|
|
¥
|
282
|
645
|
1,960
|
326
|
576
|
2,807
|
Таблица 3.2
Процентные точки распределения (при a = 0.05, f1=m, f2=n-m-1)
|
число степеней свободы f2
|
f1
|
|
1
|
2
|
3
|
4
|
5
|
6
|
7
|
8
|
9
|
10
|
|
1
|
2
|
3
|
4
|
5
|
6
|
7
|
8
|
9
|
10
|
11
|
|
1
|
161,4
|
199,5
|
215,7
|
224,6
|
230,2
|
234,0
|
236,8
|
238,9
|
240,5
|
241,9
|
|
2
|
18,51
|
19,0
|
19,16
|
19,25
|
19,30
|
19,33
|
19,35
|
19,37
|
19,38
|
19,40
|
|
3
|
10,13
|
9,55
|
9,25
|
9,12
|
9,05
|
8,94
|
8,89
|
8,85
|
8,81
|
8,79
|
|
4
|
7,71
|
6,94
|
6,59
|
6,39
|
6,26
|
6,16
|
6,09
|
6,04
|
6,00
|
5,59
|
|
5
|
6,65
|
5,79
|
5,41
|
5,19
|
5,05
|
4,95
|
4,88
|
4,82
|
4,77
|
4,74
|
|
6
|
5,99
|
5,14
|
4,76
|
4,53
|
4,39
|
4,26
|
4,21
|
4,15
|
4,10
|
4,06
|
|
7
|
5,59
|
4,74
|
4,35
|
4,13
|
3,97
|
3,87
|
3,79
|
3,73
|
3,68
|
3,64
|
|
8
|
5,32
|
4,46
|
4,07
|
3,84
|
3,69
|
3,53
|
3,5
|
3,44
|
3,39
|
3,35
|
|
9
|
5,12
|
4,26
|
3,86
|
3,63
|
3,48
|
3,37
|
3,29
|
3,23
|
3,18
|
3,14
|
|
10
|
4,96
|
4,1
|
3,71
|
3,48
|
3,33
|
3,22
|
3,14
|
3,07
|
3,02
|
2,98
|
|
11
|
4,84
|
3,89
|
3,59
|
3,36
|
3,2
|
3,09
|
3,01
|
2,95
|
2,9
|
2,35
|
|
12
|
4,75
|
3,89
|
3,49
|
3,26
|
3,11
|
3,0
|
2,91
|
2,85
|
2,8
|
2,75
|
|
13
|
4,67
|
3,81
|
3,41
|
3,18
|
3,03
|
2,92
|
2,83
|
2,77
|
2,71
|
2,67
|
|
14
|
4,6
|
8,74
|
3,34
|
3,11
|
2,96
|
2,85
|
2,76
|
2,7
|
2,65
|
2,6
|
|
15
|
3,68
|
3,29
|
3,06
|
2,9
|
2,79
|
2,71
|
2,64
|
2,59
|
2,54
|
|
16
|
4,49
|
3,63
|
3,24
|
3,01
|
2,85
|
2,74
|
2,66
|
2,59
|
2,54
|
2,49
|
|
17
|
4,45
|
3,59
|
3,20
|
2,96
|
2,81
|
2,7
|
2,61
|
2,55
|
2,49
|
2,43
|
|
18
|
4,41
|
3,55
|
3,16
|
2,93
|
2,77
|
2,66
|
2,58
|
2,51
|
2,46
|
2,41
|
|
19
|
4,38
|
3,52
|
3,13
|
2,9
|
2,74
|
2,63
|
2,54
|
2,48
|
2,42
|
2,38
|
|
20
|
4,35
|
3,49
|
3,10
|
2,87
|
2,71
|
2,60
|
2,51
|
2,45
|
2,39
|
2,35
|
|
21
|
4,32
|
3,47
|
3,07
|
2,84
|
3,63
|
2,57
|
2,49
|
2,42
|
2,37
|
2,32
|
|
22
|
4,3
|
3,44
|
3,05
|
2,82
|
2,66
|
2,55
|
2,46
|
2,4
|
2,34
|
2,3
|
|
23
|
4,23
|
3,42
|
3,03
|
2,8
|
2,64
|
2,53
|
2,44
|
2,37
|
2,32
|
2,27
|
|
24
|
4,26
|
3,4
|
3,01
|
2,78
|
2,62
|
2,61
|
2,42
|
2,36
|
2,3
|
2,25
|
|
25
|
4,24
|
3,39
|
2,99
|
2,76
|
2,6
|
2,49
|
2,4
|
2,34
|
2,28
|
2,24
|
Рисунок 1.1. Лист «Данные 1»
Рисунок 1.2. Лист «Корреляция»
Рисунок 1.3. Лист «Среднеквадратическое отклонение»
Рисунок 1.4. Лист «Регрессия»
Рисунок 1.5. Лист «Данные 2»
Рисунок 1.6. Лист «Коэффициент эластичности и вариации»
Рисунок 1.7. Лист «Регрессия 2»
Рисунок 1.8. Лист «Средняя ошибка»