Гендерные различия стрессоустойчивости сотрудников органов внутренних дел
Дипломная
работа по теме: «Гендерные различия стрессоустойчивости сотрудников ОВД»
Оглавление
Введение
1. Теоретические аспекты
изучения стрессоустойчивости сотрудников ОВД
1.1 Специфика деятельности
сотрудников ОВД
1.2 Понятие стресса и
стрессоустойчивости сотрудников ОВД
1.3 Особенности
стрессоустойчивости по гендерным различиям сотрудников ОВД
2. Организация
исследования и методики диагностирования гендерных различий стрессоустойчивости
сотрудников ОВД
2.1 Характеристика методик
диагностики
2.2 Статистическая
обработка данных
2.3 Обсуждение полученных
результатов
3. Предложения и
рекомендации по развитию стрессоустойчивости в зависимости от гендерных
различий у сотрудников ОВД
Заключение
Список использованной
литературы
Приложение 1
Приложение 2
Приложение 3
Приложение 4
Введение
Стрессоустойчивость - это важный аспект в деятельности сотрудников
внутренних дел. Наилучших результатов в работе достигают те сотрудники органов
внутренних дел, которые обладают наивысшей психологической готовностью к
экстремальным ситуациям. Стрессоустойчивость сотрудников ОВД подвергается
воздействию многих факторов, основные из которых подразделяются на: факторы
макросреды (характерные особенности современного этапа развития страны;
деятельность вышестоящих органов внутренних дел и других органов управления;
связь органа с территориальными органами государственной власти, общественными
организациями и т.д.); факторы микросреды (комплекс организационных,
технических и технологических элементов, составляющих содержание деятельности
(органа внутренних дел; специфика формальных и неформальных связей в коллективе
и соотношение между ними; стиль руководства; уровень психологической
совместимости членов коллектива; условия труда и быта и т.п.). Формируя
социально-психологический климат в подчиненном ему коллективе, руководитель
обязан учитывать характер и степень воздействия этих факторов.
Стрессоустойчивость предполагает способность сотрудников ОВД к
саморегулированию, быстрому восстановлению психологического равновесия. Иными
словами, она выражает запас духовной прочности человека, диапазон, в котором он
может сохранять свою целостность и жизнеспособность. Вполне естественно, что
специфика среды функционирования органов внутренних дел, множественность
оказывающих влияние на их деятельность деструктивных факторов, экстремальные
условия, в которых им приходится решать сложные и ответственные задачи, и т.п.
обусловливают необходимость высокого уровня стрессоустойчивости как
коллективов, так и отдельных работников.
Принятие на себя определенной гендерной роли «включает» процесс
саморегуляции (в том числе, формирование мотивации и психологических черт) и
мониторинг своего поведения и поведения других в соответствии с матрицей
тендерной роли.
Каждая гендерная роль сопровождается определенным набором качеств,
которые являются отражением существующих стереотипов мужественности и
женственности.
Мужчина должен быть сильным, независимым, активным, агрессивным,
самодостаточным, ориентированным на индивидуальные достижения и т.п.
Женщина - нежной, тактичной, терпеливой, слабой, зависимой,
эмоциональной, ориентированной на семью и т.п.
Профессиональная деятельность в органах внутренних дел отличается своей
интенсивностью и напряженностью, которые связаны с выполнением служебных
обязанностей в жестко ограниченные сроки, наличием, в основном, количественных
критериев оценки успешности деятельности, постоянным взаимодействием с людьми,
среди которых преобладает криминогенный контингент, экстремальностью условий
деятельности, необходимостью принятия решений правового характера. Все это
отражается на здоровье сотрудников органов внутренних дел и объясняет
достаточно широкую распространенность среди них различных психосоматических
расстройств и заболеваний, возникающих под воздействием такого состояния, как
профессиональный стресс.
Социальная и экономическая «цена» профессионального стресса очень высока.
Поэтому в последние годы значительно возрос интерес к вопросам, связанным со
стрессом и механизмами формирования стрессоустойчивости человека в различных
профессиях (В.А. Абабков, В.А. Винокур, Ф.Б. Березин, C.B. Запускалов, Е.А.
Климов, А.Б. Леонова).
Актуальность работы. Высокий уровень стрессоустойчивости немало важен как для
мужчин, так и для женщин сотрудников ОВД. Таким образом, учет гендерного
фактора при анализе человеческой стрессоустойчивости представляется сегодня
важнейшим принципом для совершенствования психологической подготовки
сотрудников ОВД.
Исходя из этого, поставлена цель данного исследования: выявление
гендерных особенностей стрессоустойчивости сотрудников ОВД.
Объект исследования: 35 мужчин и 35 женщин в возрасте от 25 до 55 лет из
числа сотрудников ОВД.
Предмет исследования: гендерные различия стрессоустойчивости.
Гипотеза автора курсовой работы: существуют различия в проявлении
стрессоустойчивости у мужчин и у женщин из числа сотрудников ОВД.
Для проверки выдвинутой гипотезы и реализации поставленной цели
планируется выполнение следующих задач:
проанализировать теоретические подходы к изучению феномена
стрессоустойчивости сотрудников ОВД;
ознакомиться с определением понятия «стрессоустойчивость», ее важнейшими
характеристиками, видами и структурными компонентами;
изучить гендерные различия проявления стрессоустойчивости у сотрудников
ОВД.
предложить методы психологической подготовки сотрудников ОВД,
направленные на повышение уровня стрессоустойчивости.
Для выявления гендерных особенностей стрессоустойчивости была
использована методика определения стрессоустойчивости и социальной адаптации
Холмса-Раге и тест на определение стрессоустойчивости личности.
Практическая значимость исследования заключается в том, что изучение
особенностей в системе «стрессоустойчивость-гендер» может быть использовано для
психологической подготовки сотрудников ОВД к воздействию различных стрессовых
ситуаций, связанных с профессиональной деятельностью.
Материалы исследования, по мнению автора, могут быть использованы в
курсах «Психология сотрудников ОВД», «Профессиональная психология», «Гендерная
психология».
Структура работы подчинена логике исследования, применяемой на основе
сочетания аналитического и синтетического подходов, индуктивного и дедуктивного
методов. Курсовая работа состоит из введения, 3-х глав (теоретической,
практической и рекомендационной частей), заключения и перечня литературы.
1. Теоретические аспекты изучения
стрессоустойчивости сотрудников ОВД
.1 Специфика деятельности сотрудников
ОВД
стрессоустойчивость
сотрудник гендерный диагностирование
Профессиональная деятельность, в каком бы направлении она ни
осуществлялась, предъявляет к человеку определенные требования и накладывает
своеобразный отпечаток как на саму личность, так и на образ жизни. Для
определения личностных качеств, обусловливающих эффективность профессиональной
деятельности обладать сотрудников органов внутренних дел, необходимо
подвергнуть психологическому анализу саму эту деятельность, проанализировать ее
структуру как в целом, так и отдельных ее компонентов, выявить ее специфические
характеристики. Выяснение закономерностей профессиональной деятельности позволяет
не только изучить ее, но и разработать систему организационных мероприятий,
направленных на ее совершенствование.
По функциональной роли в процессе управления кадры органов внутренних дел
подразделяются на три группы.
Руководители - лица, ответственные за принятие и организацию исполнения
управленческих решений. Они наделены правом внешнего и внутриорганизационного
руководства и, следовательно, имеют подчиненных. К руководителям относятся
начальники органов внутренних дел и их заместители, начальники структурных
подразделений, служб органов внутренних дел, учреждений и организаций системы
МВД России, их заместители.
Специалисты (исполнители) - лица, использующие специальные знания и
навыки, не наделенные правом внутриорганизационного управления и, следовательно,
не имеющие подчиненных. Группа специалистов в органах внутренних дел достаточно
многочисленна и неоднородна. В ней, в свою очередь, выделяются:
лица, принимающие и исполняющие управленческие решения в сфере внешнего
управления, то есть непосредственно реализующие основные функции органов
внутренних дел (участковые инспекторы милиции, оперативные уполномоченные
криминальных служб милиции, инспекторы ГИБДД и т.д.);
лица, занятые преимущественно или исключительно подготовкой
управленческих решений и проверкой их исполнения (инспекторский состав МВД,
УВД);
специалисты в узком смысле слова, то есть лица, обладающие специальными
знаниями в какой-либо сфере, отрасли (эксперты, инженеры, врачи и т.п.).
Технические исполнители (обслуживающий персонал) - лица, осуществляющие
технические операции по сбору, обработке, фиксации, передаче, изготовлению и
хранению информации и ее материальных носителей (делопроизводители, секретари,
машинистки, бухгалтеры и т.д.).
Применительно к личности специалиста той или иной службы ОВД выделяют
несколько групп общих требований, предъявляемых ко всем категориям сотрудников:
. Требования, связанные с содержанием работы сотрудника ОВД как видом
государственной службы и политической деятельности.
. Требования, связанные с правовой регламентацией деятельности.
. Требования, связанные с противодействием заинтересованных лиц.
. Требования, связанные с наличием властных полномочий.
. Требования, связанные с сохранением служебной тайны.
. Требования, связанные с социально-психологической атмосферой
деятельности сотрудника правоохранительных органов.
. Требования, связанные с разнообразием деятельности сотрудников ОВД.
. Требования, связанные с дефицитом времени, своеобразием условий и
перегрузкой в деятельности работника милиции.
Таким образом, сотрудник должен быть личностью высокого уровня развития и
максимально соответствовать общим и специальным требованиям выбранной им
деятельности, самостоятельно проявляя активность.
Современная юридическая психология уделяет большое внимание изучению
особенностей деятельности сотрудников органов внутренних дел. В настоящее
время накоплено достаточно много научных исследований, дающих оценку различным
сторонам деятельности состава ОВД с различных научных и дисциплинарных позиций.
Сегодня можно выделить два основных направления изучения данного вопроса в
научной литературе:
направление психологического анализа структуры профессиональной
деятельности сотрудников органов внутренних дел;
направление психологической характеристики присущего ей комплекса психологических
особенностей.
Служебная деятельность сотрудника органов внутренних дел осуществляется в
соответствии с нравственными принципами:
гуманизма, провозглашающего человека, его жизнь и здоровье высшими
ценностями, защита которых составляет смысл и нравственное содержание
правоохранительной деятельности;
законности, определяющей признание сотрудником верховенства закона, а
также его обязательности к исполнению в служебной деятельности;
объективности, выражающейся в беспристрастности и отсутствии предвзятости
при принятии служебных решений;
справедливости, означающей соответствие меры наказания характеру и
тяжести проступка или правонарушения;
коллективизма и товарищества, проявляющихся в отношениях, основанных на
дружбе, взаимной помощи и поддержке;
лояльности, предусматривающей верность по отношению к Российской
Федерации, МВД России, уважение и корректность к государственным и общественным
институтам, государственным служащим;
нейтральности по отношению к политическим партиям и движениям, предполагающей
отказ сотрудника от участия в их деятельности в любых формах;
толерантности, заключающейся в уважительном, терпимом отношении к людям с
учётом социально-исторических, религиозных, этнических традиций и обычаев.
Традиционными чертами профессиональной деятельности сотрудников ОВД в
научной литературе принято считать следующие:
- правовую регламентацию.
- властные полномочия.
Правовая регламентация - это одна из наиболее специфических особенностей
профессиональной деятельности в органах внутренних дел. Деятельность
сотрудников строго регламентирована правовыми нормами (законодательными актами,
нормативными документами МВД и т.п.). Эта особенность отличает работу
сотрудников органов внутренних дел от многочисленных отраслей человеческой
практики, где выполнение работ определяется общими планами или инструкциями и
создает широкую возможность для свободного осуществления своих личных
представлений о наиболее эффективной организации труда. Значение правовой
регламентации профессиональной деятельности сотрудников ОВД заключается в
строгом подчинении этой деятельности требованиям закона. Неисполнение или
ненадлежащее исполнение своих обязанностей сотрудниками внутренних дел всегда
является правонарушением, влекущим серьезную ответственность.
Деятельность органов внутренних дел связана с реализацией их сотрудниками
властных полномочий, с необходимостью применять в определенных случаях меры
государственного принуждения. Власть, данная сотрудникам органов внутренних
дел, налагает на них повышенную ответственность за последствия принимаемых ими
решений и осуществляемых действий. Известно также, что сотрудникам органов
внутренних дел приходится постоянно наталкиваться на различные формы
противодействия их служебной деятельности со стороны как отдельных лиц, так и
учреждений, организаций. Для успешного преодоления такого противодействия
необходимо обладать развитой способностью действовать в экстремальных
обстоятельствах, умением противостоять различного рода негативным воздействиям,
твердой убежденностью в социальной значимости избранной профессии. Сотрудникам
органов внутренних дел по долгу службы приходится сталкиваться с различными
жизненными ситуациями, встречаться с разными людьми: от рабочего до министра,
от школьника до академика, от добропорядочного гражданина до закоренелого
преступника. А это требует от них высокого уровня общего развития, широкого
кругозора, разносторонних познаний, коммуникабельности. Находясь на переднем
крае борьбы с правонарушениями, работники органов внутренних дел должны
отличаться нравственной безупречностью и личной скромностью. Перечисленными
специфическими особенностями деятельности сотрудников органов внутренних дел и
обусловливается набор требований к их профессиональным и личным качествам.
Еще один немаловажный аспект в деятельности сотрудников органов
внутренних дел - это постоянное противоборство и противодействие
заинтересованных лиц.
Это придает деятельности сотрудника по раскрытию, расследованию и
предупреждению преступлений характер борьбы, принимающей иногда очень острые
формы. Необходимость преодоления опасных ситуаций, устранение препятствий,
которые специально создаются на пути сотрудника, вызывают у него различные
эмоциональные реакции, требует постоянного волевого напряжения и активной
умственной деятельности. В условиях активного противоборства возникает
необходимость постоянной сложной интеллектуальной работы, зашифровки своих
целей, маскировки действительных социальных ролей.
Следующей характерной особенностью профессиональной деятельности является
широкая коммуникативность, как способность общения с широкой по своему
диапазону средой. Она носит многосторонний и исключительный характер.
Многосторонность коммуникативности сотрудника состоит в том, что он общается с
представителями различных возрастных категорий, с людьми различных профессий,
занимающих различное правовое положение. Это требует знания психологии человека
вообще и психологических основ общения в частности. Коммуникативность
сотрудника - черта, необходимая для правильной организации производства
различных следственных, оперативно-розыскных и профилактических мероприятий.
Отличительной чертой коммуникативности сотрудника является то, что она
требует перевоплощения. Необходимость этого объясняется важностью установления
психологического контакта со всеми лицами, попадающими в сферу его
деятельности.
К специфическим особенностям профессиональной деятельности сотрудника
необходимо отнести дефицит времени и наличие перегрузок в его работе.
Оперативность и быстрота входят в число основных принципов раскрытия и расследования
преступлений. Чем больше преступник находится на свободе, тем больше у него
возможностей для того, чтобы уйти от ответственности, уничтожить следы своей
преступной деятельности скрыться от следствия. На его стороне всегда выигрыш во
времени. Промедление всегда ведет к неудаче.
С другой стороны, дефицит времени проявляется в необходимости соблюдения
процессуальных и других сроков, которые отводятся на расследование уголовного
дела, рассмотрение заявлений граждан и пр. Сотрудник постоянно находится из-за
этого в напряженном состоянии. То, что в других видах деятельности свойственно
лишь «аварийным ситуациям», является обычным в работе сотрудника органов
внутренних дел.
Напряженность связана и с большими физическими и психическими нагрузками,
которые испытывает сотрудник из-за высокой экстремальности его деятельности,
действиями в условиях конфликтной ситуации, воздействие различного рода
стрессфакторов, ненормированным рабочим днем, наличием отрицательной
эмоциональной окраски деятельности, так как сотруднику приходится сталкиваться
с проявлениями человеческого горя, сложными условиями его служебной
деятельности.
Профессиональную деятельность сотрудника отличает ярко выраженный
познавательный характер, что требует не только многообразного решения мыслительных
задач различного плана и трудности, но и организации практического их
осуществления. При этом деятельность чисто мыслительная, имеющая целью
построение различных версий, составление планов осуществления
оперативно-служебных мероприятий и планов работы в целом, соединяется с
практической организацией работы, реализующей мысленные схемы и решения.
Анализ нормативных актов, регламентирующих работу с кадрами в органах
внутренних дел, позволяет выделить три группы требований (качеств), которым
должен соответствовать каждый сотрудник этих органов:
. Деловые качества.
. Оптимальные личные качества.
. Специальные профессиональные качества.
Деловые качества определяют общую профессиональную пригодность
сотрудника. К ним относятся: наличие специального образования и опыта
практической работы; организаторские способности, инициативность, чувство
нового; стабильная работоспособность; знание юридических и специальных
дисциплин, действующего законодательства, приказов, инструкций и других актов
МВД России и их неукоснительное соблюдение; владение оперативной и
криминалистической техникой, специальными средствами; умение правильно
составлять и оформлять служебные документы и др.
Оптимальные личные качества представляют собой систему личностных
характеристик, которые в наибольшей степени соответствуют выполняемой работе и
служат психологической основой для успешного решения стоящих перед сотрудником
задач. Они включают: умение устанавливать контакт с людьми, общаться с
представителями различных слоев населения; мужество, выдержку, решительность,
находчивость; умение сохранять самообладание в самых сложных ситуациях; личную
дисциплинированность; уважение к критике и самокритичность; честность,
добросовестность, вежливость, принципиальность; человечность, готовность оказать
помощь нуждающимся в ней и др.
Специальные профессиональные качества включают: владение специальными
знаниями, умениями и навыками, а также определенные личные качества, которые
необходимы сотруднику для успешного выполнения служебных обязанностей по конкретно
занимаемой должности - оперуполномоченного УР, участкового инспектора
милиции, следователя, инспектора дорожно-патрульной службы ГИБДД,
милиционера и др. В отличие от деловых качеств, которые носят более
универсальный характер и являются необходимой основой специальных
профессиональных качеств, последние определяют уровень профессионального
мастерства конкретного сотрудника на конкретной должности. Например,
инспектор-кинолог, как и все сотрудники органов внутренних дел, обязан быть
мужественным, дисциплинированным, честным и т.д. Однако помимо этого он должен
любить животных, ибо без этого качества из него не получится полноценный
специалист.
Особенность служебной деятельности сотрудников ОВД в экстремальных
условиях проявляется в используемых средствах, которые обусловлены
специфичностью объекта. Это не просто оружие, боевая техника, спецсредства и
средства активной обороны, применяемые непосредственно в отношении людей. Это
оружие, боевая техника и т.д., применяемые в строгом соответствии с законом и
другими нормативными документами (приказами, распоряжениями).
Такая исключительная сложность объекта деятельности ОВД способствует
возникновению целого комплекса факторов, вызывающих профессиональный стресс
сотрудников ОВД.
1.2 Понятие стресса и стрессоустойчивости
сотрудников ОВД
Стресс - совокупность защитных физиологических реакций, возникающих в
организме животных и человека в ответ на воздействие различных неблагоприятных
факторов (стрессоров).
По словам учёного Г. Селье, стресс есть неспецифический (т.е. один и тот
же на различные воздействия) ответ организма на любое предъявленное ему
требование, который помогает ему приспособиться к возникшей трудности,
справиться с ней. Всякая неожиданность, которая нарушает привычное течение
жизни, может быть причиной стресса.
Исходя из представлений П.К. Анохина, стрессовые ситуации с наиболее
мощными психосоматическими последствиями возникают на основе оборонительного
возбуждения и произвольного подавления его моторных проявлений, что
принципиально сходно с неотреагированными эмоциями человека, и что понятие
«стресс» включает всю сумму реакций организма на нанесение чрезвычайного
раздражения.
Стресс, вызывающий негативные эмоции, называется «дистрессом»,
положительные эмоции - «эустрессом».
Опираясь на практический опыт и обобщая теоретические знания по этому
вопросу, была разработана следующая классификация стрессогенных факторов, или
стрессоров:. По характеру психосоциальной мотивации:
. Стрессоры повседневной напряженной профессиональной деятельности. Сюда
входят особенности различных сфер деятельности МВД, МЧС различных силовых
структур, регламентируемые приказами, нормативными документами МВД, и др.
. Стрессоры деятельности в экстремальных условиях.
Под экстремальными условиями (ЭУ) понимаются: чрезвычайные обстоятельства
- кризисные ситуации социально-политического характера; чрезвычайные ситуации
техногенного, экологического и природного характера; чрезвычайные происшествия
криминального характера; говоря об экстремальных ситуациях (ЭС), будем иметь в виду
вышеперечисленные экстремальности более или менее кратковременного действия;
а) чрезвычайные обстоятельства (ЧО) представляют собой реальную
чрезвычайную и неизбежную угрозу безопасности граждан или конституционному
строю Российской Федерации, которые могут быть выражены в следующем:
попытки насильственного изменения конституционного строя или захвата
власти, массовые беспорядки, диверсии и террористические акты, блокада
отдельных местностей, межнациональные и региональные конфликты,
сопровождающиеся насилием, угрожающие жизни и безопасности граждан или
нормальной деятельности государственных институтов;
б) чрезвычайные ситуации (ЧС) представляют собой нарушение нормальных
условий жизни и деятельности людей на объекте или на определенной территории
(акватории), которые могут быть вызваны следующим:
стихийные бедствия: эпидемии, эпизоотии, пожары, наводнения,
землетрясения; крупные техногенные катастрофы на земле, на воде, в
воздушно-космическом пространстве, ставящие под угрозу жизнь и здоровье
населения и требующие проведения масштабных аварийно-спасательных и
восстановительных работ;
в) чрезвычайные происшествия (ЧП) криминального характера представляют
собой реальную угрозу жизни, здоровью, чести и достоинству людей, любым формам
собственности, являющуюся следствием совершения тяжких преступлений, требующих
проведения специальных мероприятий.
Постоянное участие личного состава ОВД в процессах предупреждения и
ликвидации последствий экстремальных ситуаций вызывает определенные изменения в
организме психологического и психофизического характера.
. Стрессоры семейной жизни (любовь, развод, женитьба, рождение ребенка,
смерть или болезнь близких людей и др.).
. Стрессоры морально-нравственного характера (угрызения совести,
ответственность за жизни и здоровье как невинных людей, так и преступников,
необходимость применения оружия и других средств поражения).
. Стрессоры социальных условий смешанного происхождения: длительная
изоляция от привычного окружения (служба в армии, пребывание в заложниках,
пребывание в местах лишения свободы), необходимость уйти в отставку и
адаптироваться к иным условиям жизни, сексуальная дисгармония, болезни,
необходимость хирургического вмешательства, неудовлетворенные материальные
потребности и др.
Вышеуказанные стрессоры могут отличаться между собой по времени действия
и по характеру воздействия на организм человека.. По времени действия:
. Стрессоры с кратковременным действием (от нескольких часов до
нескольких суток):
вызывающие тревогу и страх (встреча с вооруженным противником, захват
заложников, действие в условиях, связанных с крупными человеческими потерями, с
реальной угрозой для жизни);
вызывающие неприятные физические ощущения (боль, усталость, обусловленные
неблагоприятными метеоэкологическими условиями - пожарами, наводнениями,
отравляющими веществами);
темпа и скорости (необходимость переработать большой поток информации и
принять решение, необходимость проявить предельную скорость и быстроту
движения);
отвлечения внимания (тактические маневры противника);
неудачных действий (просчет в оценке ситуаций, ошибка в технике движения)
и др.
. Стрессоры с длительным действием (от нескольких месяцев до нескольких
лет):
длительной нагрузки, порождающие усталость (продолжительные дежурства,
связанные с определенным риском и опасностью, охрана ценностей, особых
объектов, монотонность условий труда, необходимость постоянно выполнять
требования начальников в ограниченные сроки и т.д.);
изоляции (служба в войсках МВД, связанные с длительным отрывом от семьи и
привычных условий, длительные командировки в напряженных условиях, служба в
местах лишения свободы) и др.;
войны (ведение длительных боевых действий).. По характеру воздействия на
органы чувств человека (сотрудника):
. Стрессоры визуально-психического ряда (смерть на глазах близких, сослуживцев,
контакт с большим количеством раненых, искалеченных, впавших в панику людей;
разрушения зданий, техники, сооружений, ландшафта; пожары, взрывы; вид трупов,
крови и др.).
. Стрессоры слухового ряда (гул, рев, грохот, стрельба).
. Стрессоры осязательно-обонятельного ряда (вибрация, удары воздушной
волны, сотрясения, запахи газа и трупов, холод, жара, электрический ток и др.).
В исследовании Е.В. Василенко было доказано, что профессиональная
деятельность сотрудников ОВД является стрессогенной и экстремальной. К наиболее
типичным стрессорам данной профессиональной деятельности относятся:
- ее строгая регламентация;
- многообразие и сложность профессиональных задач;
- наличие широких властных полномочий, высокая степень
ответственности;
- высокий риск причинения вреда другим людям;
- наличие жестких временных ограничений для достижения
требуемого профессионального уровня;
- большие физические и психологические нагрузки.
Е.В. Василенко отмечает, что деятельность сотрудников ОВД характеризуется
такими ситуациями, которые отличаются наличием в них факторов, обладающих силой
влияния на людей и их деятельность, именуемых экстремальными. Служебные
экстремальные ситуации характеризуются совокупностью психогенных факторов,
которые можно объединить в две группы: экстремальные
профессионально-психологические факторы (опасность, риск, внезапность, дефицит
времени, неопределенность, новизна, высокие нагрузки) и экстремальные
морально-психологические факторы (наблюдаемые человеческие потери, разруха,
необычное поведение граждан (паника, толпы, беженцы, истерия, агрессивность),
резкая активизация криминального элемента и т.д.). Именно работники
правоохранительных органов (патрульно-постовая служба милиции, группы
задержания вневедомственной охраны, оперативные работники и т. д.) как никто
другой чаще попадают в сложные и порой опасные психологические ситуации в
повседневной служебной деятельности, оказывающие стрессогенное воздействие на
психику сотрудников.
Выполняя свой профессиональный долг, сотрудникам ОВД приходится
выдерживать и преодолевать чрезмерные физические и эмоциональные нагрузки. Их
деятельность связана с высокой степенью риска, опасностью для жизни и здоровья,
осознанной ответственностью за результаты выполняемых профессиональных задач.
Наиболее характерно специфика этой деятельности проявляется в ходе проведения
операций в экстремальных условиях, где угроза для жизни и здоровья присутствует
постоянно. Длительное чрезмерное напряжение сказывается на психическом и
соматическом состоянии сотрудников, вызывает развитие состоянии психической
дезадаптации, приводит к социально-психологическим нарушениям
жизнедеятельности, неблагоприятным изменениям личности, которые в дальнейшем
отрицательно сказываются на состоянии здоровья, служебных взаимоотношениях, в
семейно-бытовой сфере личного состава, увеличивают риск самоубийств.
Служба в правоохранительных органах во всем мире традиционно относится к
видам профессиональной деятельности с высоким уровнем эмоционально-стрессовых
нагрузок. Специфика органов внутренних дел (ОВД) определяет приоритет отбора в
них граждан с адекватными мотивами, высоким уровнем правосознания и социально
психологической подготовленности. В связи с особенностями службы в
оперативно-силовых подразделениях эти качества обязательно должны сочетаться с
высоким уровнем нервно-психологической устойчивости, психической и физической
работоспособности и целым рядом личностных свойств, обеспечивающих не только
выживание в экстремальных ситуациях, но и успешность в противоборстве с
преступностью.
Эмоциональный и физический стресс при выполнении служебных обязанностей в
условиях обострения криминальной обстановки и межнациональных конфликтов, пресс
негативного отношения части общества к работе правоохранительных органов,
социально-экономические проблемы, характерные для большинства населения,
постепенно приводят к истощению у сотрудников психофизических ресурсов,
наступлению профессиональной деформации, формированию психосоматических
заболеваний и нервно-психических расстройств.
Характер профессиональной деятельности сотрудников органов внутренних дел
в противоборстве с преступностью в отличие от всех остальных видов деятельности
заключается в том, что она протекает в экстремальных условиях. Это не только
встречи с необычными людьми и столкновения с острыми моментами в опасных
ситуациях. Экстремальность составляют и те факты, что вся деятельность
сотрудников ОВД протекает по поводу применения запрещающих норм права или
нарушения правил поведения.
Экстремальный характер деятельности сотрудников милиции, негативное
воздействие криминально зараженной среды, где доминируют враждебные остальному
обществу нормы, ценности, идеалы, высокая нервно-психическая нагрузка в связи с
высокой ответственностью за результаты работы предъявляют высокие требования к
стрессоустойчивости и психологическим качествам личности, обеспечивающим
преодолевающее стресс поведение.
Не только возможность экстремальных ситуаций, которые являются штатными
для деятельности сотрудников: необходимость использования мер принуждения
(физического и психического), действовать в конфликтных ситуациях и связанные с
этим отрицательные эмоции; высокая ответственность и напряженность работы,
связанная с осуществлением властных полномочий, являются источниками стрессовых
состояний сотрудников ОВД. К числу не менее значительных источников стрессовой
напряженности относятся ношение оружия и ненормированный рабочий день.
Так же в списке источников стрессогенных состояний работников ОВД, по их
собственному мнению, являются основные социально-бытовые проблемы в
подразделениях ОВД, которые крайне негативно влияют на психоэмоциональное
состояние сотрудников, выражающихся в недостаточном размере заработной платы,
ненормированностью рабочего дня, неимение собственного жилья и т.д.
Таким образом, как справедливо отмечает Е.В. Василенко, «сотрудники ОВД
испытывают воздействие стрессогенных факторов двойного порядка: стрессоры
повседневной напряженной профессиональной деятельности и стрессоры
экстремальных ситуаций, которые создают значительные трудности в решении профессиональных
задач, сказываются на успешности действий и требуют от сотрудников высокой
профессиональной устойчивости, особой психологической подготовленности, умения
конструктивно действовать в сложных условиях».
Профессиональная деятельность сотрудников ОВД порой «ставит» их в такие
условия, при которых необходимо мгновенное, правильное оценивание ситуации и
рациональный способ поведения, ведь нередко от этого зависит жизнь человека.
Служба в правоохранительных органах связана с необходимостью постоянной работы
в режиме большого напряжения и самоотдачи. Эта деятельность связана с высокой
степенью риска потери здоровья, а иногда и жизни, требует особого
организационного построения и правил межличностного общения, повышенной
социальной и профессиональной ответственности, что зачастую приводит к
нервно-психическому перенапряжению. Длительное воздействие стрессогенных
факторов, наличие постоянной витальной угрозы для жизни, высокая вероятность
гибели или ранения, травматизации предъявляют высокие требования не только к
уровню профессиональной подготовленности, но и к психологическим качествам
личности, обусловливающим психологическую готовность к деятельности в
экстремальных условиях.
Проблема психологической устойчивости личного состава подразделений ОВД к
стрессу является профессионально значимой, так как от нее во многом зависит
эффективность оперативно-служебной деятельности.
Для формирования стрессоустойчивости сотрудников ОВД необходим
теоретически обоснованный подход, поэтапно обучающий стрессоустойчивости и
умению противодействовать негативным влияниям стресс-факторов в различных
повседневных, стандартных, экстремальных ситуациях.
Среди сигналов, свидетельствующих о том, что работник находится в
хроническом стрессовом состоянии, можно выделить следующие: повышенная
тревожность, жалобы на соматические недомогания, психологическую усталость,
избегание контактов с окружающими, неустойчивое настроение. Сотрудник
чувствует, что испытывает внутренний дискомфорт и напряжение. Синдром
«хронической усталости» - чувство постоянной усталости, которое преследует
человека в течение всего дня и сопровождается снижением работоспособности и
эффективности труда. Возникающие стрессовые состояния повышают риск развития
психосоматических заболеваний (артериальная гипертензия, ишемическая болезнь
сердца, заболеваний органов дыхания и другие), что проявляется в виде
неустойчивого давления, головных болей, головокружении, мышечных спазмов, болей
в спине или грудной клетке, расстройства пищеварения, бессонницы. Высокий
стресс, зачастую ненормированный рабочий день приводит к нарушению
психоэмоционального статуса (повышенной тревожности, депрессии, суицидам и
др.). Стресс изменяет поведенческие привычки - возрастает потребление алкоголя,
курения, уменьшается физическая активность. В ходе исследований была показана
связь напряженности труда, стресса и истощения адаптационных возможностей
организма. Поэтому должны быть предприняты профилактические меры по
предупреждению последствий профессионального стресса, которые позволят предотвратить
или ослабить его влияние.
В настоящее время неуклонно нарастает стрессогенность социального
пространства. Техногенные катастрофы, стихийные бедствия, межнациональные
конфликты, боевые действия, участившиеся террористические акты, конфликты на
работе, дорожно-транспортные происшествия. И от того, как себя поведет человек
в данных ситуациях, может зависеть его жизнь, а также и жизнь окружающих.
Выполняя свой профессиональный долг, сотрудникам ОВД приходится выдерживать и
преодолевать чрезмерные физические и эмоциональные нагрузки. Их деятельность
связана с высокой степенью риска, опасностью для жизни и здоровья,
ответственностью за конечный результат выполняемых профессиональных задач.
Длительное чрезмерное напряжение сказывается на психическом и соматическом
состоянии сотрудников, вызывает развитие дезадаптации. Наиболее перспективным
является поиск путей профилактики заболеваний, уменьшение влияния факторов
риска формирования хронических заболеваний. Одной из наиболее актуальных задач
в целях повышения качества активной жизни является поддержание оптимального
физического и психологического здоровья сотрудников ОВД.
Отсюда немаловажным становится повышение уровня стрессоустойчивости
сотрудников ОВД.
Стрессоустойчивость личности необходима не только для обеспечения
общественного порядка и безопасности жизнедеятельности населения в
экстремальных условиях, но и для жизнестойкости и социальной адаптации.
Стрессоустойчивость человека - умение преодолевать трудности, подавлять
свои эмоции, понимать человеческие настроения, проявляя выдержку и такт.
Стрессоустойчивость определяется совокупностью личностных качеств,
позволяющих человеку переносить значительные интеллектуальные, волевые и
эмоциональные нагрузки, обусловленные особенностями профессиональной деятельности,
без особых вредных последствий для деятельности, окружающих и своего здоровья.
1.3 Особенности стрессоустойчивости
по гендерным различиям сотрудников ОВД
Стрессоустойчивость, как показатель стойкости к стрессу, необходимый
компонент эффективности управленческой деятельности и деятельности, которая
повышает производительность труда в частности. Стрессоустойчивость определяется
в литературе как приобретенная, в процессе тренингових программ свойство
личности, и второй вариант объяснения стрессоустойчивости - это свойство
личности, которая является качественным показателем стойкости к стрессу.
Стрессоустойчивость часто определяют или сравнивают с собственно
адаптацией к стрессовой ситуации. Основная индивидуальная характеристика
содержания стресса - адаптация (стрессоустойчивость). По мнению психиатров
(Александровский Ю.А., Лебедев В.И. и др.) - это барьер психической адаптации.
Психологи (Дикая Л.Г., Моросанова В.И., Сагиев Р.Р.) основой
стрессоустойчивости считают саморегуляцию человека, который состоит из
определенных звеньев и стилистически разнообразная.
Стрессоустойчивость - является интегральным качеством личности, основой
успешного социального взаимодействия человека, который характеризуется
эмоциональной стабильностью, низким уровнем тревожности, высоким уровнем
саморегуляции, психологической готовностью к стрессу.
Стрессоустойчивость - это совокупность индивидуальных психологических
свойств, которые выступают в качестве базовых психологических механизмов
коррекции стрессовых состояний.
Сведения о гендерных различиях в сфере эмоционального интеллекта (ЭИ) -
совокупности интеллектуальных способностей к обработке эмоциональной информации
достаточно противоречивы. Так, обнаружено, что у мальчиков в сопоставлении с
девочками уровень ЭИ на достоверном уровне в целом ниже. Согласно результатам
другого исследования значимые различия по уровню эмоционального интеллекта
обнаружены только у родителей (у женщин ЭИ достигает более высокого уровня, чем
у мужчин), в то время как у детей подобных различий выявлено не было.
На незначительность гендерных различий в эмоциональной сфере указывает Ш.
Берн. Напротив, Г. Орме приводит данные о том, что, несмотря на отсутствие
различий между мужчинами и женщинами по общему уровню коэффициента
эмоциональности, женщины обнаруживают более высокий уровень по межличностным
показателям эмоционального интеллекта (эмоциональности, межличностным
отношениям, социальной ответственности). У мужчин преобладают внутриличностные
показатели (самоутверждение, способность отстаивать свои права), способности к
управлению стрессом (стрессоустойчивость, контроль импульсивности) и
адаптируемость (определение правдоподобности, решение проблем). Интересно, что
у девушек общий уровень эмоционального интеллекта связан с когнитивными
процессами понимания и осмысления эмоций, у юношей - в большей мере с качеством
межличностных связей, особенно в период раннего онтогенеза
Данные о проявлении свойств нервной системы в реакциях на интенсивные
стимулы согласуются с представлениями некоторых авторов о более низкой
устойчивости к стрессу женщин по сравнению с мужчинами. По мнению Д.А. Жукова,
особенно эти различия проявляются при высоком уровне стресса, когда мужчины
демонстрируют лучшую способность к принятию решений. Автор объясняет
биологические механизмы низкой стрессоустойчивости женщин, исходя из данных о
более медленном возвращении некоторых физиологических параметров к норме у
женщин после стрессорных изменений. В частности, после стрессорного воздействия
женщинам требуется больше времени, чем мужчинам, для снижения секреции
кортизола (гормона надпочечников) до исходного уровня. Наряду с этим скорость
мобилизации регуляторных систем в условиях эмоционального стресса у женщин
выше, чем у мужчин. Это выражается в более интенсивном нарастании уровня возбуждения,
быстрой общей эмоциональной активации женского организма.
Мужчины и женщины с различной интенсивностью и различными способами
выражают свои эмоции. Различия в интенсивности выражения эмоций могут быть
связаны с тем, что у женщин лицевая активность в целом выше, чем у мужчин.
Следует учитывать и тот факт, что мужчины в рамках своей традиционной половой
роли склонны к «ограничительной эмоциональности» - минимизации эмоциональной
экспрессии. Мужчинам свойственно «забивать» свои чувства, тем самым уровень
стресса у них значительно увеличен. Осознанная регуляция эмоций связана в
основном с их подавлением. Мужчины в целом более сдержанны в проявлении
симпатии, печали и дистресса, женщины - в проявлениях сексуальности, гнева, а
также агрессии. Одним из наиболее распространённых в наши дни видов аффектов
является стресс. Он представляет собой состояние чрезмерно сильного и
длительного психологического напряжения, которое возникает у человека, когда
его нервная система получает эмоциональную перегрузку. Стресс дезорганизует
деятельность человека, нарушает нормальный ход его поведения. Стрессы,
особенно если они часты и длительны, оказывают отрицательное влияние не только
на психологическое состояние, но и на физическое здоровье человека. Поэтому
важным фактором качественной жизнедеятельности является стрессоустойчивость.
стрессоустойчивость
сотрудник гендерный диагностирование
2. Организация исследования и
методики диагностирования гендерных различий стрессоустойчивости сотрудников
ОВД
.1 Характеристика методик диагностики
Непосредственное изучение стрессовых факторов, воздействующих на психику
полицейского, в зарубежной криминологии началось относительно недавно. Одним из
первых исследований явился проведенный в 1983 г. опрос 93 британских офицеров в
полицейском колледже, выделивший 45 основных стресс-факторов в порядке их
убывания. Поскольку британские полисмены несут службу без табельного оружия,
первые места заняли ситуации столкновения с вооруженными преступниками и
попадания к ним в качестве заложников. При этом английские сотрудники полиции в
целом были менее подвержены стрессам по сравнению с их американскими и
австралийскими коллегами.
Американские замеры Д. Сивелла, проведенные в том же году, показали более
богатую палитру, состоящую из 144 стресс-факторов полицейской деятельности, где
на первых местах стрессогенности оказались ситуации применения оружия на
поражение и гибели коллег. Позднее Р. Блек провел специальную классификацию
наиболее критических инцидентов полицейской деятельности, куда вошли следующие
ситуации: гибель товарища по службе при исполнении служебных обязанностей;
лишение жизни человека при исполнении обязанностей; ведение огня на поражение;
самоубийство товарища по службе; увечье или травма товарища; гибель маленьких
детей; множество человеческих жертв; задержание преступника; участие в
операциях по освобождению заложников и ведение переговоров с преступниками;
операции подразделений специального назначения, когда присутствует реальная
угроза жизни; факты коррупции, взяточничества и других противоправных действий
со стороны полицейских; отстранение от службы и угроза увольнения.
Исследование, вновь проведенное британцами в 1996 г., показало, что в 72%
случаев полицейские указывают на проблемы, не связанные со служебной
деятельностью и работой в полиции. 56% отметили проблемы в отношениях с
коллегами и 40% - указали на конфликт между формальными требованиями и
неформальной политикой подразделения. 24% опрошенных упомянули о конфликтах с
гражданами и 16% отметили наличие конфликтов с друзьями и родственниками.
В комплексе стрессогенных факторов отечественных правоохранительных
органов наиболее типичными являются: дефицит времени, сложность оперативной
обстановки, неопределенность и непредсказуемость событий, высокая степень
ответственности, дезорганизация социальной сферы, отсутствие полноценного
отдыха, недостаточность профессионального опыта, ненадежность технических
средств защиты, частые ненормированные суточные дежурства, обстоятельства,
связанные с угрозой для жизни, невозможность выполнения функциональных
обязанностей в полном объеме.
В ходе исследования стрессогенных факторов, связанных с выполнением
профессиональных задач сотрудников ОВД нами была выдвинута гипотеза:
стрессоустойчивость сотрудников ОВД имеет гендерные различия.
Описание выборки: 35 мужчин и 35 женщин в возрасте от 25 до 55 лет из
числа сотрудников ОВД.
Исследование проводилось в несколько этапов:
организационный этап эксперимента - выбор диагностических методик,
формирование выборки испытуемых;
исследовательский этап - исследование гендерных особенностей
стрессоустойчивости в исследуемой группе;
аналитический этап эксперимента - анализ, сравнение данных, полученных
при помощи методов математического анализа, подбор психолого-педагогических
рекомендаций, направленных на повышение уровня стрессоустойчивости.
Для проверки гипотезы была использована методика определения
стрессоустойчивости и социальной адаптации Холмса-Раге (См. Приложение 1),
тест на определение стрессоустойчивости личности (приложение 2), анкета (приложение
3) и тест Айзенка для определения индивидуальных особенностей личности
(приложение 4).
Данные методики исследования были выбраны среди других вопросников ввиду
оптимального на взгляд автора баланса между простотой его применения и
достоверностью получаемых результатов.
Первый этап проверки гипотезы заключался в исследовании индивидуальных
особенностей испытуемых при помощи анкетирования и опросника Айзенка.
Анкета позволяет выявить индивидуальные социально-психологические
характеристики личности и необходимость проявления стрессоустойчивости в работе
сотрудников ОВД.
Опросник EPI (тест Айзенка) содержит 57 вопросов, 24 из которых
направлены на выявление экстраверсии-интроверсии, 24 других - на оценку
эмоциональной стабильности-нестабильности (нейротизма), остальные 9 составляют
контрольную группу вопросов, предназначенную для оценки искренности
испытуемого, его отношения к обследованию и достоверности результатов.
Данный опросник составлен английскими психологами Г. Айзенком и С. Айзенк
в 1964 году. Это и сегодня наиболее распространенный тест для оценки основных
свойств личности.
Г. Айзенк разработал два варианта данной методики (А и В), которые
отличаются только текстом опросника. Инструкция, ключ и обработка данных
дублируются. Наличие двух форм позволяет психологу проводить повторное
исследование.
Экстраверты - это тип личности (или поведения), который ориентирован в
своих проявлениях вовне, на окружающих.
Для экстравертов характерно поведение, при котором человек стремится к:
· общению с людьми,
· вниманию со стороны окружающих,
· участию в публичных выступлениях,
· участию в многолюдных мероприятиях и вечеринках.
Интроверты - тип личности, ориентированный "внутрь" или
"на" себя. Интровертность - совсем не то, что застенчивость или
отчужденность, это не патология. Кроме того, это свойство личности не подлежит
изменению, даже если очень сильно захотеть. Для интровертов характерно
поведение, больше связанное с комфортным одиночеством, внутренними
размышлениями и переживаниями, творчеством или наблюдением за процессом.
Доктора Холмс и Раге (США) изучали зависимость заболеваний (в том числе
инфекционных болезней и травм) от различных стрессогенных жизненных событий у
более пяти тысяч пациентов. Они пришли к выводу, что психическим и физическим
болезням обычно предшествуют определенные серьезные изменения в жизни человека.
На основании своего исследования они составили шкалу, в которой каждому важному
жизненному событию соответствует определенное число баллов в зависимости от
степени его стрессогенности.
В соответствии с проведенными исследованиями было установлено, что 150
баллов означают 50% вероятности возникновения какого-то заболевания, а при 300
баллах она увеличивается до 90%.
Тест на определение стрессоустойчивости личности позволяет получить
оценку уровня стрессоустойчивости сотрудников ОВД. Объективность результатов
теста зависит от искренности ответов испытуемых.
Таким образом, средневзвешенная оценка стрессоустойчивости по двум
методикам (тесту на определение стрессоустойчивости личности и методике
определения стрессоустойчивости и социальной адаптации Холмса-Раге) и
исследование личностных особенностей испытуемых позволяют вывести итоговые
результаты по исследованию гендерных различий стрессоустойчивости сотрудников
ОВД и выделить группы испытуемых по уровням стрессоустойчивости:
«Стрессонеустойчивых» характеризует максимально возможная ригидность по
отношению к внешним событиям. Они не склонны менять свое поведение и
адаптироваться под внешний мир. Их установки и понятия незыблемы. Поэтому любое
неблагоприятное внешнее событие или даже намек на его возможность в будущем для
них - стресс. В самой стрессовой, критической ситуации люди стрессонеустойчивых
типов (типов информационного метаболизма) склонны к повышенной эмоциональности,
крайне возбудимы и неуравновешенны. От них не стоит ждать быстрых и
конструктивных решений в напряженные моменты;
«Стрессотренируемые» готовы к переменам, но только не глобальным и не
мгновенным. Они стараются трансформировать свою жизнь постепенно,
непринужденно, безболезненно, а когда это по объективным причинам невозможно,
делаются раздражительными или впадают в депрессию. Однако по мере повторения
примерно схожих по содержанию напряженных ситуаций «стрессотренируемые»
привыкают и начинают реагировать на стрессы более спокойно. Зрелые, опытные
представители таких типов вполне способны быть лидерами в экстремальных
ситуациях;
«Стрессотормозные» отличаются жесткостью своих жизненных принципов и
мировоззренческих установок, однако к внезапным внешним изменениям относятся
достаточно спокойно. Они принципиально не готовы меняться постепенно, но могут
пойти на быстрое и однократное изменение той или иной сферы их жизни, например,
резко сменить работу. Люди, относящиеся к данной группе, способны быть лидерами
во время «точечных» перемен, после которых сразу будет фиксация их нового
статус-кво. Если же стрессы следуют один за другим, а особенно имеют
вялотекущий характер, они постепенно теряют присутствие духа и контроль над
своими эмоциями;
«Стрессоустойчивые» готовы относительно спокойно принимать любые
перемены, какой бы характер - длительный или мгновенный - они ни носили.
Наоборот, все стабильное и заранее предопределенное им чуждо и вызывает иронию
по причине всеобщей неустойчивости, столь остро ощущаемой представителями этой
группы. Они обычно сами начинают процессы преобразований или даже революций,
возглавляют их, при этом в самый острый момент могут отойти в сторону, так как
при всей любви к переменам вовсе не в восторге от возможности нанесения ущерба
себе. Умеют эффективно действовать в нестабильных, кризисных условиях, но плохо
приспособлены для работы в организациях с устоявшимися традициями. Стрессом для
них являются только самые тяжелые события, касающиеся их самих или близких.
Нередко «стрессоустойчивые» выбирают себе профессии, связанные с риском и
постоянным нахождением в экстремальных ситуациях.
2.2 Статистическая обработка данных
1) Анкетирование.
Уровень необходимости проявления стрессоустойчивости сотрудников ОВД
рассчитаем следующим образом:
при ответе на вопросы с 3-ого по 10-ый:
очень часто - 1;
часто - 0,5;
редко - 0,3;
очень редко - 0.
По сумме баллов результаты будем интерпретировать следующим образом:
6-8 баллов: критический уровень;
4-6 баллов: высокий уровень;
2-4 балла: средний уровень;
0-2 балла: низкий уровень.
Таблица 2.1.
Результаты
анкетирования женщин из числа сотрудников ОВД
|
№ п/п
|
№ вопроса
|
Уровень необходимости
проявления стрессоустойчивости
|
|
|
1
|
3
|
4
|
5
|
6
|
7
|
8
|
9
|
10
|
|
|
1
|
26
|
часто
|
очень часто
|
часто
|
часто
|
очень часто
|
очень редко
|
часто
|
часто
|
4.5
|
|
2
|
30
|
редко
|
редко
|
часто
|
очень редко
|
очень редко
|
редко
|
очень редко
|
очень редко
|
1.4
|
|
3
|
34
|
редко
|
очень редко
|
часто
|
очень редко
|
очень редко
|
редко
|
очень редко
|
редко
|
1.4
|
|
4
|
25
|
редко
|
очень редко
|
очень редко
|
очень редко
|
очень редко
|
очень часто
|
очень редко
|
очень редко
|
1.3
|
|
5
|
27
|
часто
|
очень редко
|
очень редко
|
очень редко
|
очень редко
|
очень редко
|
очень редко
|
очень редко
|
0.5
|
|
6
|
28
|
очень редко
|
очень редко
|
очень редко
|
очень редко
|
очень часто
|
очень редко
|
очень редко
|
редко
|
1.3
|
|
7
|
44
|
часто
|
редко
|
очень редко
|
очень редко
|
очень редко
|
часто
|
очень редко
|
редко
|
1.6
|
|
8
|
32
|
очень часто
|
редко
|
очень редко
|
редко
|
очень редко
|
редко
|
редко
|
редко
|
2.5
|
|
9
|
35
|
очень редко
|
редко
|
очень редко
|
редко
|
очень редко
|
редко
|
редко
|
очень редко
|
1.2
|
|
10
|
25
|
очень часто
|
редко
|
редко
|
редко
|
редко
|
очень часто
|
редко
|
часто
|
4
|
|
11
|
34
|
редко
|
редко
|
редко
|
редко
|
редко
|
очень редко
|
редко
|
очень редко
|
1.8
|
|
12
|
46
|
редко
|
редко
|
редко
|
редко
|
редко
|
часто
|
редко
|
очень редко
|
2.3
|
|
13
|
очень часто
|
редко
|
очень редко
|
редко
|
часто
|
редко
|
часто
|
часто
|
3.4
|
|
14
|
50
|
редко
|
часто
|
очень редко
|
очень редко
|
очень редко
|
редко
|
очень редко
|
очень редко
|
1.1
|
|
15
|
48
|
очень часто
|
часто
|
очень редко
|
очень редко
|
очень редко
|
редко
|
очень редко
|
очень редко
|
1.8
|
|
16
|
37
|
очень редко
|
очень часто
|
редко
|
часто
|
очень часто
|
редко
|
очень часто
|
очень редко
|
4.1
|
|
17
|
27
|
очень редко
|
очень часто
|
очень редко
|
очень редко
|
редко
|
редко
|
очень редко
|
часто
|
2.1
|
|
18
|
29
|
часто
|
часто
|
редко
|
очень редко
|
редко
|
часто
|
очень редко
|
часто
|
2.6
|
|
19
|
36
|
часто
|
часто
|
редко
|
очень редко
|
редко
|
часто
|
очень редко
|
очень редко
|
2.1
|
|
20
|
25
|
часто
|
часто
|
редко
|
очень редко
|
редко
|
редко
|
очень редко
|
редко
|
2.2
|
|
21
|
37
|
редко
|
редко
|
редко
|
очень редко
|
очень редко
|
редко
|
очень редко
|
очень редко
|
1.2
|
|
22
|
31
|
редко
|
редко
|
редко
|
очень редко
|
очень редко
|
редко
|
очень редко
|
очень редко
|
1.2
|
|
23
|
27
|
очень часто
|
часто
|
редко
|
очень редко
|
очень редко
|
редко
|
очень редко
|
очень редко
|
2.1
|
|
24
|
25
|
очень часто
|
часто
|
часто
|
очень редко
|
очень редко
|
очень редко
|
очень редко
|
очень редко
|
2
|
|
25
|
33
|
очень часто
|
редко
|
часто
|
очень редко
|
очень редко
|
очень редко
|
часто
|
очень редко
|
2.3
|
|
26
|
38
|
очень часто
|
очень часто
|
редко
|
очень редко
|
очень редко
|
очень редко
|
редко
|
очень редко
|
2.6
|
|
27
|
46
|
часто
|
часто
|
редко
|
очень редко
|
очень редко
|
очень редко
|
редко
|
очень редко
|
1.6
|
|
28
|
45
|
редко
|
часто
|
редко
|
редко
|
очень редко
|
очень редко
|
очень редко
|
очень редко
|
1.4
|
|
29
|
51
|
редко
|
часто
|
очень редко
|
очень редко
|
очень часто
|
часто
|
очень редко
|
очень редко
|
2.3
|
|
30
|
32
|
часто
|
редко
|
очень редко
|
очень редко
|
редко
|
часто
|
очень редко
|
очень редко
|
1.6
|
|
31
|
29
|
часто
|
редко
|
очень редко
|
редко
|
редко
|
редко
|
очень редко
|
часто
|
2.2
|
|
32
|
27
|
часто
|
редко
|
очень часто
|
редко
|
редко
|
редко
|
очень редко
|
редко
|
3
|
|
33
|
34
|
очень часто
|
редко
|
редко
|
очень редко
|
редко
|
редко
|
очень редко
|
очень редко
|
2.2
|
|
34
|
30
|
очень часто
|
редко
|
редко
|
очень редко
|
очень редко
|
очень часто
|
очень редко
|
очень редко
|
2.6
|
|
35
|
25
|
редко
|
очень часто
|
часто
|
часто
|
очень редко
|
редко
|
очень редко
|
очень часто
|
3.6
|
Максимальное значение показателя: 4,5
Минимальное значение показателя: 0,5
Среднее значение показателя: 2,1
Таблица 2.2.
Результаты
анкетирования мужчин из числа сотрудников ОВД
|
№ п/п
|
№ вопроса
|
Уровень необходимости
проявления стрессоустойчивости
|
|
|
1
|
3
|
4
|
5
|
6
|
7
|
8
|
9
|
10
|
|
|
1
|
25
|
часто
|
часто
|
редко
|
очень редко
|
очень редко
|
часто
|
редко
|
часто
|
2.6
|
|
2
|
26
|
часто
|
часто
|
редко
|
очень редко
|
очень редко
|
часто
|
редко
|
редко
|
2.4
|
|
3
|
25
|
часто
|
часто
|
редко
|
очень редко
|
очень редко
|
часто
|
редко
|
редко
|
2.4
|
|
4
|
27
|
часто
|
часто
|
редко
|
редко
|
очень редко
|
редко
|
редко
|
часто
|
2.4
|
|
5
|
30
|
часто
|
редко
|
редко
|
очень редко
|
очень редко
|
редко
|
очень редко
|
очень редко
|
1.4
|
|
6
|
33
|
часто
|
редко
|
редко
|
очень редко
|
очень редко
|
редко
|
очень часто
|
очень редко
|
2.4
|
|
7
|
27
|
часто
|
редко
|
редко
|
очень редко
|
очень редко
|
редко
|
очень редко
|
редко
|
1.7
|
|
8
|
38
|
часто
|
редко
|
очень редко
|
редко
|
очень часто
|
очень редко
|
очень редко
|
2.6
|
|
9
|
29
|
редко
|
часто
|
очень редко
|
редко
|
редко
|
очень часто
|
очень редко
|
очень редко
|
2.4
|
|
10
|
35
|
редко
|
часто
|
очень редко
|
редко
|
очень редко
|
редко
|
очень редко
|
часто
|
1.9
|
|
11
|
36
|
часто
|
очень редко
|
часто
|
редко
|
очень редко
|
редко
|
редко
|
редко
|
2.2
|
|
12
|
27
|
часто
|
часто
|
очень редко
|
редко
|
очень редко
|
редко
|
редко
|
часто
|
2.4
|
|
13
|
40
|
часто
|
часто
|
очень редко
|
очень редко
|
редко
|
редко
|
очень редко
|
очень редко
|
1.6
|
|
14
|
28
|
часто
|
очень редко
|
очень редко
|
очень редко
|
редко
|
редко
|
очень редко
|
очень редко
|
1.1
|
|
15
|
42
|
очень часто
|
редко
|
очень редко
|
очень редко
|
очень редко
|
очень часто
|
очень редко
|
очень редко
|
2.3
|
|
16
|
43
|
очень часто
|
очень редко
|
редко
|
очень редко
|
очень редко
|
очень часто
|
очень редко
|
очень редко
|
2.3
|
|
17
|
36
|
часто
|
часто
|
редко
|
очень редко
|
очень редко
|
очень часто
|
редко
|
редко
|
2.9
|
|
18
|
26
|
часто
|
часто
|
редко
|
очень часто
|
очень редко
|
часто
|
очень редко
|
очень редко
|
2.8
|
|
19
|
38
|
очень часто
|
часто
|
очень редко
|
очень редко
|
очень редко
|
часто
|
очень редко
|
редко
|
2.3
|
|
20
|
34
|
очень часто
|
часто
|
очень редко
|
очень редко
|
очень редко
|
редко
|
очень редко
|
редко
|
2.1
|
|
21
|
50
|
очень часто
|
редко
|
очень редко
|
редко
|
часто
|
редко
|
редко
|
очень редко
|
2.7
|
|
22
|
29
|
очень часто
|
редко
|
очень часто
|
редко
|
очень редко
|
редко
|
очень редко
|
очень редко
|
2.9
|
|
23
|
53
|
очень часто
|
редко
|
редко
|
очень редко
|
очень редко
|
редко
|
очень редко
|
очень редко
|
1.9
|
|
24
|
51
|
очень часто
|
часто
|
редко
|
очень редко
|
часто
|
очень редко
|
часто
|
очень редко
|
2.8
|
|
25
|
41
|
очень часто
|
часто
|
часто
|
очень редко
|
очень редко
|
редко
|
очень редко
|
редко
|
2.6
|
|
26
|
37
|
очень часто
|
часто
|
очень редко
|
очень редко
|
очень редко
|
редко
|
очень редко
|
редко
|
2.1
|
|
27
|
29
|
очень часто
|
часто
|
очень редко
|
очень редко
|
очень редко
|
очень редко
|
очень редко
|
очень редко
|
1.5
|
|
28
|
27
|
редко
|
очень редко
|
часто
|
часто
|
очень редко
|
часто
|
очень редко
|
очень редко
|
1.8
|
|
29
|
36
|
редко
|
очень редко
|
часто
|
очень редко
|
очень редко
|
часто
|
часто
|
очень редко
|
1.8
|
|
30
|
36
|
редко
|
очень часто
|
редко
|
редко
|
очень редко
|
очень часто
|
очень редко
|
редко
|
3.2
|
|
31
|
28
|
часто
|
очень часто
|
редко
|
очень редко
|
очень редко
|
редко
|
очень редко
|
редко
|
2.4
|
|
32
|
34
|
часто
|
редко
|
очень редко
|
очень редко
|
очень редко
|
редко
|
редко
|
редко
|
1.7
|
|
33
|
30
|
редко
|
редко
|
очень редко
|
редко
|
очень редко
|
редко
|
очень редко
|
часто
|
1.7
|
|
34
|
31
|
часто
|
часто
|
очень редко
|
часто
|
очень редко
|
редко
|
очень редко
|
очень редко
|
1.8
|
|
35
|
45
|
очень часто
|
часто
|
очень редко
|
редко
|
часто
|
очень редко
|
очень редко
|
очень редко
|
2.3
|
Максимальное значение показателя: 3,2
Минимальное значение показателя: 1,1
Среднее значение показателя: 2,2
Таблица 2.3.
Процентное
соотношение исследуемых с высоким показателем определенного стресса в группах
|
№ п/п
|
Вид стресса
|
Пол
|
|
|
|
Женщины
|
Мужчины
|
|
1
|
Дефицит времени
|
28,6 %
|
34,3 %
|
|
2
|
Напряженность работы
|
14,3 %
|
5,7 %
|
|
3
|
Высокая степень
ответственности
|
2,9 %
|
2,9 %
|
|
4
|
Угроза для жизни
|
0 %
|
2,9 %
|
|
5
|
Нелюбимая работа
|
11,4 %
|
0 %
|
|
6
|
Проблемы на службе
|
8,6 %
|
17,1 %
|
|
7
|
Проблемы в отношениях с
коллегами
|
2,9 %
|
2,9 %
|
|
8
|
Сложные отношения с
начальством
|
2,9 %
|
0 %
|
Рис. 2.1. Процентное соотношение исследуемых с
высоким показателем определенного стресса в группах
Для выявления статистически значимых различий по каждой из перечисленных
стрессовых ситуаций были составлены по два ряда цифр-показателей, полученных по
результатам анкетирования. Достоверность различий определялась по Т-критерию
Стьюдента.
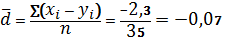
Гипотеза заключается в том, уровень необходимости проявления
стрессоустойчивости у женщин выше, чем у мужчин.
Таблица 2.4.
Определение
достоверности различий уровня необходимости проявления стрессоустойчивости
между мужчиной и женщиной
Женщины
|
Мужчины
|
 
|
|
|
1
|
4.5
|
2.6
|
1.9
|
3.61
|
|
2
|
1.4
|
2.4
|
-1
|
1
|
|
3
|
1.4
|
2.4
|
-1
|
1
|
|
4
|
1.3
|
2.4
|
-1.1
|
1.21
|
|
5
|
0.5
|
1.4
|
-0.9
|
0.81
|
|
6
|
1.3
|
2.4
|
-1.1
|
1.21
|
|
7
|
1.6
|
1.7
|
-0.1
|
0.01
|
|
8
|
2.5
|
2.6
|
-0.1
|
0.01
|
|
9
|
1.2
|
2.4
|
-1.2
|
1.44
|
|
10
|
4
|
1.9
|
2.1
|
4.41
|
|
11
|
1.8
|
2.2
|
-0.4
|
0.16
|
|
12
|
2.3
|
2.4
|
-0.1
|
0.01
|
|
13
|
3.4
|
1.6
|
1.8
|
3.24
|
|
14
|
1.1
|
1.1
|
0
|
0
|
|
15
|
1.8
|
2.3
|
-0.5
|
0.25
|
|
16
|
4.1
|
2.3
|
1.8
|
3.24
|
|
17
|
2.1
|
2.9
|
-0.8
|
0.64
|
|
18
|
2.6
|
2.8
|
-0.2
|
0.04
|
|
19
|
2.1
|
2.3
|
-0.2
|
0.04
|
|
20
|
2.2
|
2.1
|
0.1
|
0.01
|
|
21
|
1.2
|
2.7
|
-1.5
|
2.25
|
|
22
|
1.2
|
2.9
|
-1.7
|
2.89
|
|
23
|
2.1
|
1.9
|
0.2
|
0.04
|
|
24
|
2
|
2.8
|
-0.8
|
0.64
|
|
25
|
2.3
|
2.6
|
-0.3
|
0.09
|
|
26
|
2.6
|
2.1
|
0.5
|
0.25
|
|
27
|
1.6
|
1.5
|
0.1
|
0.01
|
|
28
|
1.4
|
1.8
|
-0.4
|
0.16
|
|
29
|
2.3
|
1.8
|
0.5
|
0.25
|
|
30
|
1.6
|
3.2
|
-1.6
|
2.56
|
|
31
|
2.2
|
2.4
|
-0.2
|
0.04
|
|
32
|
3
|
1.7
|
1.3
|
1.69
|
|
33
|
2.2
|
1.7
|
0.5
|
0.25
|
|
34
|
2.6
|
1.8
|
0.8
|
0.64
|
|
35
|
3.6
|
2.3
|
1.3
|
1.69
|
|
Сумма
|
75.1
|
77.4
|
-2.3
|
35.79
|
Произведем расчет среднего разностей между соответствующими значениями
переменной X и переменной Y по формуле:

Затем
применим формулу:

Тогда
значение , таково:
Число
степеней свободы 
= 35 +
35 - 2 = 68. По данным таблицы значений критерия Стьюдента (t-критерия) найдем
:
Таблица
2.5.
Критические
значения
|
|
p ≤ 0.05
|
p ≤ 0.01
|
|
1.99
|
2.65
|
Полученное эмпирическое значение t (0.4) находится в зоне незначимости,
что говорит о том, что уровень необходимости проявления стрессоустойчивости у
женщин не выше, чем у мужчин.
По результатам анкетирования можно сделать следующие выводы:
. Женщины склонны к негативным последствиям стресса больше, чем мужчины.
Хотя необходимость проявления стрессоустойчивости не зависит от гендерных
различий.
. Треть испытуемых и среди мужчин, и среди женщин испытывали дефицит
времени, связанный с плотным графиком работы в должности сотрудника ОВД.
. Незначительная часть испытуемых ощущала угрозу для жизни или высокую
степень ответственности, работая сотрудником ОВД.
. Большинство испытуемых чувствуют себя на работе комфортно, не
испытывают проблем в отношениях с коллегами или начальством.
. Ни один из испытуемых мужского пола не считает свою работу нелюбимой,
при этом 11,4 % женщин хотели бы сменить работу. Это означает, что женщинам
все-таки сложнее работать в должности сотрудника ОВД. Женщины более чутко
реагируют на стрессовые ситуации, становясь подавленными или тревожными: фактически,
женщины вдвое больше подвержены клиническим депрессиям, чем мужчины.
) Опросник EPI (тест Айзенка).
Тест Айзенка позволит определить основные свойства личности испытуемых,
что необходимо в данном исследовании для выявления зависимости стрессоустойчивости
личности от темперамента.
Если ответ "ключа" совпадает с ответом испытуемого, необходимо
прибавить один балл. Если не совпадает - ноль баллов.
Ключ:
. Шкала лжи:
ответ "да" на вопросы: 6, 24, 36;
ответ "нет" на вопросы: 12, 18, 30, 42, 48, 54;
. Шкала экстраверсии:
ответ "да" на вопросы: 1, 3, 8, 10, 13, 17, 22, 25, 27, 37, 39,
44, 46, 49, 53, 56;
ответ "нет" на вопросы: 5, 15, 20, 29, 32, 34, 41, 51;
. Шкала эмоциональной устойчивости:
ответ "да" на вопросы: 2, 4, 7, 9, 11, 14, 16, 19, 21, 23, 26,
28, 31, 33, 35, 38, 40, 43, 45, 47, 50, 52, 55, 57.
После опроса дальнейшему анализу подверглись только испытуемые с баллом
по шкале лжи меньше 5.
Таблица 2.5.
Результаты
теста Айзенка у сотрудников ОВД женского пола
|
№ п/п
|
Шкала экстраверсия -
интроверсия
|
Шкала нейротизм -
стабильность
|
Шкала лжи
|
|
1
|
8
|
16
|
2
|
|
2
|
7
|
9
|
2
|
|
3
|
9
|
11
|
2
|
|
4
|
8
|
7
|
2
|
|
5
|
8
|
6
|
0
|
|
6
|
9
|
8
|
1
|
|
7
|
9
|
7
|
1
|
|
8
|
10
|
7
|
1
|
|
9
|
11
|
15
|
3
|
|
10
|
7
|
16
|
3
|
|
11
|
9
|
13
|
3
|
|
12
|
14
|
19
|
3
|
|
13
|
16
|
12
|
2
|
|
14
|
8
|
11
|
2
|
|
15
|
10
|
15
|
2
|
|
16
|
17
|
17
|
2
|
|
17
|
14
|
6
|
2
|
|
18
|
12
|
9
|
2
|
|
19
|
17
|
7
|
0
|
|
20
|
10
|
18
|
2
|
|
21
|
15
|
14
|
1
|
|
22
|
7
|
8
|
1
|
|
23
|
9
|
13
|
1
|
|
24
|
9
|
11
|
1
|
|
25
|
11
|
10
|
1
|
|
26
|
10
|
8
|
3
|
|
27
|
19
|
11
|
3
|
|
28
|
18
|
12
|
0
|
|
29
|
13
|
5
|
3
|
|
30
|
11
|
7
|
2
|
|
31
|
6
|
5
|
2
|
|
32
|
8
|
7
|
2
|
|
33
|
3
|
1
|
|
34
|
14
|
9
|
2
|
|
35
|
9
|
10
|
1
|
Таблица 2.6.
Результаты
теста Айзенка у сотрудников ОВД мужского пола
|
№ п/п
|
Шкала экстраверсия -
интроверсия
|
Шкала нейротизм -
стабильность
|
Шкала лжи
|
|
1
|
13
|
6
|
2
|
|
2
|
12
|
8
|
1
|
|
3
|
14
|
5
|
0
|
|
4
|
10
|
9
|
2
|
|
5
|
15
|
10
|
1
|
|
6
|
9
|
16
|
1
|
|
7
|
16
|
17
|
1
|
|
8
|
6
|
5
|
3
|
|
9
|
19
|
4
|
0
|
|
10
|
8
|
7
|
3
|
|
11
|
11
|
11
|
3
|
|
12
|
15
|
16
|
3
|
|
13
|
13
|
17
|
2
|
|
14
|
15
|
13
|
2
|
|
15
|
6
|
12
|
0
|
|
16
|
16
|
20
|
2
|
|
17
|
9
|
7
|
2
|
|
18
|
20
|
9
|
1
|
|
19
|
21
|
12
|
1
|
|
20
|
22
|
11
|
4
|
|
21
|
17
|
15
|
3
|
|
22
|
19
|
7
|
2
|
|
23
|
7
|
18
|
4
|
|
24
|
14
|
13
|
3
|
|
25
|
17
|
14
|
0
|
|
26
|
20
|
6
|
2
|
|
27
|
10
|
7
|
1
|
|
28
|
7
|
10
|
0
|
|
29
|
17
|
12
|
1
|
|
30
|
9
|
7
|
2
|
|
31
|
14
|
10
|
0
|
|
32
|
15
|
11
|
2
|
|
33
|
9
|
9
|
1
|
|
34
|
12
|
17
|
3
|
|
35
|
15
|
15
|
2
|
Распределим женскую и мужскую группы испытуемых по типам темперамента
(таблица 2.7).
Таблица 2.7.
Количественное
соотношение испытуемых по типам темперамента
|
Группа
|
Меланхолики
|
Холерики
|
Флегматики
|
Сангвиники
|
|
Женщины
|
7
|
5
|
18
|
8
|
|
Мужчины
|
4
|
12
|
11
|
13
|
Процентное соотношение испытуемых по типам темперамента представлено на
рисунке 2.2.
Рис. 2.2. Процентное соотношение испытуемых по
типам темперамента
Дадим психологическую характеристику типам темперамента (таблица 2.8).
Таблица 2.8.
Психологическая
характеристика типов темперамента
|
Критерий
|
Холерик
|
Сангвиник
|
Флегматик
|
Меланхолик
|
|
Тип нервной системы
|
Сильный неуравновешенный
|
Сильный уравновешенный
подвижный
|
Сильный уравновешенный
инертный
|
Слабый
|
|
Активность
|
Активен. Человек быстрый,
порывистый.
|
Человек живой, подвижный,
быстро отзывающийся на окружающие события.
|
Медлительный, невозмутимый
человек.
|
Настороженность во взгляде,
позе.
|
|
Поведение в обществе
|
Лидер, легко устанавливает
контакты, но с трудом поддерживает. Импульсивен, склонен к конфликтам.
|
В центре внимания,
пользуются уважением, легко устанавливают контакты
|
С трудом устанавливает, но
легко поддерживает знакомство.
|
Предпочитает быть в
стороне.
|
|
Настроение
|
Склонен к бурным
эмоциональным вспышкам, резким сменам настроения. Неуравновешен.
|
Сравнительно легко
переживает неудачи и неприятности.
|
Слабое внешнее выражение
душевного состояния. Более или менее постоянное настроение.
|
Легкоранимый человек,
склонен глубоко переживать даже незначительные неудачи, но внешне сдержан.
|
|
Работа
|
Способен отдаваться делу с
исключительной страстностью. Быстро включается в работу.
|
В работу включается быстро,
но до конца доводит при наличии интереса. Предпочитает все новое.
|
Медленно включается в
работу, но зато способен выдерживать значительные нагрузки.
|
Быстро переутомляется.
Характерно тщательное планирование и самоконтроль, поэтому в его работе мало
ошибок.
|
|
Речь
|
Громкая, резкая, бывает
грубой.
|
Живая, эмоциональная.
|
Спокойная, размеренная, с
паузами.
|
Тихая, может снижаться до
шепота.
|
|
Память
|
Быстро запоминает, быстро
забывает.
|
Хорошая, схватывает на лету.
|
Запоминает медленно, помнит
долго.
|
Запоминает быстро за счет
высокой способности к анализу.
|
|
Внимание
|
Развито переключение,
быстро сосредотачивается.
|
Развиты переключение,
распределение, быстро сосредотачивается
|
Развита устойчивость.
|
Познавательная сфера может
развиваться.
|
Выводы:
- наблюдения свидетельствуют, что у мужчин чаще встречается преобладание
холерических черт темперамента. Именно для них характерно отчетливое проявление
волевых реакций, напористости, энергичности, нетерпеливости. Мужчина обычно
характеризуется большей внешней агрессивностью, большей настойчивостью,
способностью противостоять грубому напору. Поэтому-то холерический темперамент
можно рассматривать в качестве «мужского темперамента»;
женской природе больше соответствует сангвинический и флегматический
темпераменты. Для женщин характерны подвижность, бурное проявление чувств,
быстрая перемена настроения;
в зависимости от темперамента женщинам и мужчинам присущ тот или иной
уровень стрессоустойчивости;
учитывая преобладающие типы темперамента у мужчин и у женщин можно
предположить, что женщины более стрессоустойчивы, чем мужчины- сотрудники ОВД,
что и будет доказано в дальнейшем.
) Методика определения стрессоустойчивости и социальной адаптации
Холмса-Раге.
Испытуемым раздается анкета с тестом Холмса-Раге. Тест содержит 43
события. Напротив каждого из них исследуемый ставит сколько раз за год
происходило то или иное событие, а затем баллы подсчитываются в соответствии с
ключом (приложение 1). Если какая-либо ситуация возникала чаще одного раза, то
количество баллов следует умножить на указанное испытуемым количество раз.
Итоговая сумма определяет степень сопротивляемости стрессу. Большое количество
баллов - это сигнал тревоги, предупреждающий об опасности. Следовательно,
испытуемому необходимо срочно что-либо предпринять, чтобы ликвидировать стресс.
Подсчитанная сумма имеет еще одно значение - она выражает (в цифрах) степень
стрессовой нагрузки.
Таблица 2.9.
Сравнительная
таблица стрессовых характеристик
|
Общая сумма баллов
|
Степень сопротивляемости
стрессу
|
|
Меньше 150
|
Достаточно большая
|
|
150-199
|
Высокая
|
|
200-299
|
Пороговая
|
|
300 и более
|
Низкая (ранимость)
|
Характеристика степеней сопротивляемости стрессу:
. Достаточно большая степень сопротивляемости стрессу.
Испытуемый выявляет достаточно высокую степень стрессоустойчивости. Для
него характерна минимальная степень стрессовой нагрузки.
Любая деятельность личности, независимо от ее направленности и характера
тем эффективнее, чем выше уровень стрессоустойчивости. Это дает возможность
говорить про управленческую деятельность как такую, которая имеет сильный
стрессогенный характер. Повышение уровня стрессоустойчивости личности прямо и
непосредственно ведет к продлению жизни.
. Высокая степень сопротивляемости стрессу.
Для испытуемого характерна низкая степень стрессовой нагрузки.
Исследуемый выявляет высокую степень стрессоустойчивости.
Свою энергию и ресурсы испытуемый не тратит на борьбу с негативными
психологическими состояниями, возникающими в процессе стресса. Поэтому любая
деятельность личности, независимо от ее направленности и характера становится
эффективнее.
Это дает возможность говорить про управленческую деятельность как такую,
которая имеет стрессогенный характер.
. Пороговая (средняя) степень сопротивляемости стресса.
Для испытуемого характерна средняя степень стрессовой нагрузки.
Испытуемый выявляет среднюю степень стрессоустойчивости.
Стрессоустойчивость такого человека снижается с увеличением стрессовых
ситуаций в его жизни. Это приводит к тому, что личность вынуждена львиную долю
своей энергии и ресурсов тратить на борьбу с негативными психологическими
состояниями, возникающими в процессе стресса.
Это дает возможность говорить про управленческую деятельность как такую,
которая в малой степени носит стрессогенный характер.
. Низкая степень сопротивляемости стрессу.
Для испытуемого характерна высокая степень стрессовой нагрузки.
Испытуемый выявляет низкую степень стрессоустойчивости (ранимость).
Это дает возможность говорить про управленческую деятельность как такую,
в которой до минимума снижен стрессогенный характер.
Большое количество баллов (больше 300) - это сигнал тревоги,
предупреждающий об опасности. Следовательно, испытуемому необходимо срочно
что-либо предпринять, чтобы ликвидировать стресс.
Если сумма баллов свыше 300, то испытуемому грозит психосоматическое
заболевание, поскольку он близок к фазе нервного истощения.
Результаты исследования стрессоустойчивости сотрудников ОВД женского и
мужского пола по методике Холмса-Раге представим в таблице 2.10.
Таблица 2.10.
Результаты
исследования стрессоустойчивости по методике Холмса-Раге
|
№ п/п испытуемого
женского пола
|
Баллы по шкале
Холмса-Раге
|
№ п/п испытуемого
мужского пола
|
Баллы по шкале
Холмса-Раге
|
|
1
|
231
|
1
|
293
|
|
2
|
162
|
2
|
101
|
|
3
|
137
|
3
|
126
|
|
4
|
78
|
4
|
236
|
|
5
|
160
|
5
|
104
|
|
6
|
190
|
6
|
124
|
|
7
|
121
|
7
|
214
|
|
8
|
243
|
8
|
165
|
|
9
|
274
|
9
|
324
|
|
10
|
158
|
10
|
259
|
|
11
|
238
|
11
|
201
|
|
12
|
154
|
12
|
304
|
|
13
|
78
|
13
|
139
|
|
14
|
186
|
14
|
329
|
|
15
|
261
|
15
|
307
|
|
16
|
72
|
16
|
299
|
|
17
|
118
|
17
|
163
|
|
18
|
156
|
18
|
229
|
|
19
|
120
|
19
|
140
|
|
20
|
147
|
20
|
166
|
|
21
|
280
|
255
|
|
22
|
143
|
22
|
218
|
|
23
|
244
|
23
|
160
|
|
24
|
189
|
24
|
199
|
|
25
|
283
|
25
|
230
|
|
26
|
64
|
26
|
200
|
|
27
|
246
|
27
|
223
|
|
28
|
153
|
28
|
334
|
|
29
|
238
|
29
|
219
|
|
30
|
104
|
30
|
304
|
|
31
|
266
|
31
|
158
|
|
32
|
151
|
32
|
258
|
|
33
|
249
|
33
|
136
|
|
34
|
122
|
34
|
154
|
|
35
|
118
|
35
|
123
|
Таблица 2.11.
Количественное
соотношение испытуемых по степени сопротивляемости стрессу
|
Группа
|
Степень сопротивляемости
стрессу
|
|
|
Достаточно большая
|
Высокая
|
Пороговая
|
Низкая
|
|
Женщины
|
13
|
10
|
12
|
0
|
|
Мужчины
|
8
|
7
|
15
|
5
|
Процентное соотношение испытуемых сотрудников ОВД по степени
сопротивляемости стрессу представлено на рисунке 2.3.
Рис. 2.3. Процентное соотношение испытуемых по
степени сопротивляемости стрессу
Для того чтобы рассмотреть данную статистику подробнее составим таблицу
сопряженности по половому признаку на основе результатов теста Холмса-Раге.
Таблица 2.12.
Таблица
сопряженности
|
Пол
|
Достаточно большая и
высокая стрессоустойчивость
|
Средняя и низкая
стрессоустойчивость
|
Всего
|
|
Женщины
|
23 (а)
|
12 (b)
|
35 (а+b)
|
|
Мужчины
|
15 (с)
|
20 (d)
|
35 (с+d)
|
|
Итого
|
38 (а+с)
|
32 (b+d)
|
70
|
Коэффициент контингенции рассчитаем по формуле:


Коэффициент
контингенции показывает связь между переменными в таблице сопряженности, он
всегда меньше единицы, но чем ближе он стремиться к нулю, тем меньше связь
между переменными. В данном случае связь между показателями пола и
стрессоустойчивости сотрудников ОВД довольно заметна.
Воспользуемся
Т-критерием Стьюдента для определения достоверности гипотезы, что
стрессоустойчивость сотрудников ОВД женского пола выше, чем стрессоустойчивость
сотрудников ОВД мужского пола.
Таблица
2.13.
Определение
достоверности различий стрессоустойчивости между мужчиной и женщиной
сотрудниками ОВД
|
№ испытуемого
|
Женщины
|
Мужчины
|
 
|
|
|
1
|
231
|
293
|
-62
|
3844
|
|
2
|
162
|
101
|
61
|
3721
|
|
3
|
137
|
126
|
11
|
121
|
|
4
|
78
|
236
|
-158
|
24964
|
|
5
|
160
|
104
|
56
|
3136
|
|
6
|
190
|
124
|
66
|
4356
|
|
7
|
121
|
214
|
-93
|
8649
|
|
8
|
243
|
165
|
78
|
6084
|
|
9
|
274
|
324
|
-50
|
2500
|
|
10
|
158
|
259
|
-101
|
10201
|
|
11
|
238
|
201
|
37
|
1369
|
|
12
|
154
|
304
|
-150
|
22500
|
|
13
|
78
|
139
|
-61
|
3721
|
|
14
|
186
|
329
|
-143
|
20449
|
|
15
|
261
|
307
|
-46
|
2116
|
|
16
|
72
|
299
|
-227
|
51529
|
|
17
|
118
|
163
|
-45
|
2025
|
|
18
|
156
|
229
|
-73
|
5329
|
|
19
|
120
|
140
|
-20
|
400
|
|
20
|
147
|
166
|
-19
|
361
|
|
21
|
280
|
255
|
25
|
625
|
|
22
|
143
|
218
|
-75
|
5625
|
|
23
|
244
|
160
|
84
|
7056
|
|
24
|
189
|
199
|
-10
|
100
|
|
25
|
283
|
230
|
53
|
2809
|
|
26
|
64
|
200
|
-136
|
18496
|
|
27
|
246
|
223
|
23
|
529
|
|
28
|
153
|
334
|
-181
|
32761
|
|
29
|
238
|
219
|
19
|
361
|
|
30
|
104
|
304
|
-200
|
40000
|
|
31
|
266
|
158
|
108
|
11664
|
|
32
|
151
|
258
|
-107
|
11449
|
|
33
|
249
|
136
|
113
|
12769
|
|
34
|
122
|
154
|
-32
|
1024
|
|
35
|
118
|
123
|
-5
|
25
|
|
Сумма
|
6134
|
7394
|
-1260
|
322668
|
Произведем расчет среднего разностей между соответствующими значениями
переменной X и переменной Y по формуле:

Затем
применим формулу:

Тогда
значение , таково:
Число
степеней свободы 
= 35 +
35 - 2 = 68. По данным таблицы значений критерия Стьюдента (t-критерия) найдем
:
Таблица
2.14.
Критические
значения
|
|
p ≤ 0.05
|
p ≤ 0.01
|
|
2.03
|
2.73
|
Таким образом, на 5% уровне значимости первоначальное предположение
подтвердилось, действительно, стрессоустойчивость сотрудников ОВД женского пола
выше, чем стрессоустойчивость сотрудников ОВД мужского пола.
Выводы:
- исследование группы испытуемых женского и мужского пола из числа
сотрудников ОВД с использованием методики определения стрессоустойчивости и
социальной адаптации Холмса-Раге подтвердило предположение, что, учитывая
преобладание сангвинических и флегматических черт характера, женщины более
стрессоустойчивы, чем мужчины и способны стойко переносить стрессы, связанные
со служебной деятельностью сотрудника ОВД;
гипотезу о том, что стрессоустойчивость сотрудников ОВД зависит от пола
удалось также подтвердить с использованием коэффициента контингенции и критерия
Стьюдента;
на сотрудников органов внутренних дел ежедневно оказывают воздействие
различные факторы, зачастую имеющие стрессовый характер, что в свою очередь
может привести к появлению усталости, переутомления, возникновению различных
отрицательных эмоциональных состояний, к расстройствам
профессионально-служебной деятельности независимо от гендерных различий.
Поэтому важно проводить тестирование по методике Холмса-Раге регулярно и
вовремя устранять симптомы снижения стрессоустойчивости сотрудников.
) Тест на определение стрессоустойчивости личности.
Тест на определение стрессоустойчивости личности позволит нам подтвердить
результаты методики Холмса-Раге.
Испытуемым предлагаются 18 вопросов. Результатом теста является уровень
стрессоустойчивости испытуемого.
Испытуемым предложено выбрать один из вариантов ответов («редко»,
«иногда» или «часто») в ответ на предложенное утверждение. Для определения
результата необходимо произвести подсчет общего количества набранных баллов
(«часто» - 3 балла, «иногда» - 2 балла, «редко» - 1 балл).
Уровень стрессоустойчивости определяется по таблице 2.15.
Таблица 2.15.
Определение
уровня стрессоустойчивости при помощи теста
|
Суммарное число баллов
|
Уровень
стрессоустойчивости
|
|
51 - 54
|
1 - очень низкий
|
|
47 - 50
|
2 - низкий
|
|
43 - 46
|
3 - ниже среднего
|
|
39 - 42
|
4 - чуть ниже среднего
|
|
35 - 38
|
5 - средний
|
|
31 - 34
|
6 - чуть выше среднего
|
|
27 - 30
|
7 - выше среднего
|
|
23 - 26
|
8 - высокий
|
|
18 - 22
|
9 - очень высокий
|
Данный тест позволит нам более детально изучить уровень
стрессоустойчивости групп испытуемых. Результаты тестирования представлены в
таблице 2.16.
Таблица 2.16.
Результаты
тестирования групп испытуемых с использованием теста на определение
стрессоустойчивости личности
|
№ п/п испытуемого
женского пола
|
Баллы по шкале теста
|
№ п/п испытуемого
мужского пола
|
Баллы по шкале теста
|
|
1
|
52
|
1
|
53
|
|
2
|
43
|
2
|
20
|
|
3
|
30
|
32
|
|
4
|
18
|
4
|
52
|
|
5
|
34
|
5
|
31
|
|
6
|
35
|
6
|
30
|
|
7
|
19
|
7
|
48
|
|
8
|
46
|
8
|
41
|
|
9
|
50
|
9
|
54
|
|
10
|
40
|
10
|
50
|
|
11
|
46
|
11
|
47
|
|
12
|
34
|
12
|
52
|
|
13
|
26
|
13
|
22
|
|
14
|
35
|
14
|
53
|
|
15
|
49
|
15
|
54
|
|
16
|
18
|
16
|
48
|
|
17
|
19
|
17
|
38
|
|
18
|
39
|
18
|
50
|
|
19
|
25
|
19
|
26
|
|
20
|
22
|
20
|
43
|
|
21
|
48
|
21
|
52
|
|
22
|
18
|
22
|
47
|
|
23
|
46
|
23
|
35
|
|
24
|
37
|
24
|
44
|
|
25
|
53
|
25
|
49
|
|
26
|
32
|
26
|
50
|
|
27
|
51
|
27
|
49
|
|
28
|
34
|
28
|
51
|
|
29
|
49
|
29
|
53
|
|
30
|
28
|
30
|
52
|
|
31
|
52
|
31
|
43
|
|
32
|
44
|
32
|
49
|
|
33
|
47
|
33
|
20
|
|
34
|
24
|
34
|
37
|
|
35
|
31
|
35
|
22
|
Таблица 2.17.
Процентное
соотношение испытуемых по уровню стрессоустойчивости
|
Уровень
стрессоустойчивости
|
Женщины
|
Мужчины
|
|
1 - очень низкий
|
11.4%
|
28.6%
|
|
2 - низкий
|
14.3%
|
28.6%
|
|
3 - ниже среднего
|
14.3%
|
8.6%
|
|
4 - чуть ниже среднего
|
2.9%
|
2.9%
|
|
5 - средний
|
11.4%
|
8.6%
|
|
6 - чуть выше среднего
|
14.3%
|
5.7%
|
|
7 - выше среднего
|
5.7%
|
2.9%
|
|
8 - высокий
|
8.6%
|
2.9%
|
|
9 - очень высокий
|
17.1%
|
11.4%
|
Сравним полученные результаты уровня стрессоустойчивости испытуемых при
помощи диаграммы (рис. 2.4).
Рис. 2.4. Процентное соотношение испытуемых по
уровням стрессоустойчивости
Диаграмма показывает, что количество испытуемых мужского пола из числа
сотрудников ОВД с низким и очень низким уровнем стрессоустойчивости значительно
превышает этот же показатель и испытуемых женского пола. При этом сотрудников
женского пола с высоким и очень высоким уровнем стрессоустойчивости значительно
больше, чем сотрудников мужского пола с таким же результатом.
Подтвердим значимость полученных результатов при помощи коэффициента
контингенции
Таблица 2.18.
Таблица
сопряженности для результатов тестирования
|
Пол
|
Средний - очень высокий
уровни стрессоустойчивости
|
чуть ниже среднего - очень
низкий уровни стрессоустойчивости
|
Всего
|
|
Женщины
|
20 (а)
|
15 (b)
|
35 (а+b)
|
|
Мужчины
|
11 (с)
|
24 (d)
|
35 (с+d)
|
|
Итого
|
31 (а+с)
|
39 (b+d)
|
70
|
Коэффициент контингенции рассчитаем по формуле:


Данный
показатель показывает, что результаты тестирования с использованием теста на
определение стрессоустойчивости личности подтверждают гипотезу о том, что
стрессоустойчивость сотрудников ОВД зависит от гендерных различий.
Выводы:
-
результаты тестирования подтверждают гипотезу о зависимости стрессоустойчивости
сотрудников ОВД от гендерных различий;
среди
испытуемых преобладает хорошая и удовлетворительная самооценка
стрессоустойчивости, что означает адекватность восприятия своей
стрессоустойчивости и уровня стрессоустойчивости которым обладает испытуемый;
у
женщин по результатам тестирования преобладают, как правило, высокий и очень
высокий уровни стрессоустойчивости. При этом среди испытуемых сотрудников ОВД
мужского пола большинство показали низкий и очень низкий уровни
стрессоустойчивости личности, что является признаком больших перегрузок и
напряженной деятельности, связанной со службой.
2.3 Обсуждение полученных результатов
Известно, что деятельность сотрудников ОВД характеризуется такими
ситуациями, которые отличаются наличием в них факторов, обладающих силой
влияния на людей и их деятельность, именуемых экстремальными. В последние годы
наблюдается тенденция повышения экстремальности деятельности ОВД, связанная с
задержанием преступников, освобождением заложников, применением оружия,
обеспечением правопорядка в период массовых мероприятий, стихийных бедствий и
чрезвычайных ситуаций. Экстремальными (от лат. extremum - предельный, крайний)
называют ситуации, которые ставят перед человеком большие трудности, обязывают
его к полному, предельному напряжению сил и возможностей, чтобы справиться с
ними и решить стоящую задачу.
В ответ на воздействие ситуации любого типа поведение сотрудников может
быть:
) адаптивным (т.е. адекватным ситуации и нацеленным на разрешение
проблем, вызванных ситуацией);
) псевдоадаптивным (имитирующим деятельность, но не достигающим цели или
только частично достигающим);
) дезадаптивным (уклоняющимся от разрешения проблемы).
Мы привыкли считать мужчин и женщин совершенно разными существами.
Малейшим различиям в строении головного мозга у представителей разных полов
ученые склонны приписывать гораздо большее значение, чем на то дают право
объективные данные. Обычно авторы трудов по психологии, ссылаются на четыре
психологических отличия между полами: способностью ориентироваться в
пространстве, математические способности, речевые навыки и агрессивность.
Психологи начали изучать гендерные различия еще в конце 19 века, но вплоть до
1970-х гг. они по большей части занимались демонстрированием различий полов и
обосновывали этим разное отношение к мужчинам и женщинам. Необходимо помнить,
что обнаруженные отличия относительно невелики, обычно не более 10%, а в
большинстве случаев распределение мужской и женской выборок на 90% совпадают.
Стресс - это часть современной жизни, причем сегодня - больше, чем
когда-либо. Стресс возникает, когда наши жизненные условия и потребности
(стресс-факторы) выходят за пределы возможностей справляться с ними.
Стресс-факторы могут быть острыми (смерть любимого человека) или хроническими
(изнурительная работа, сложные отношения).
В данном исследовании стресса жизни сотрудника ОВД мы исходили из того,
что это явление связано не только с особенностями его профессиональной
деятельности. Жизненные события, которые сопровождаются психической
напряженностью, могут быть дополнительным источником стресса жизни офицеров и
оказывать влияние на его развитие. Это, в свою очередь, накладывает негативный
отпечаток на выполнение сотрудником ОВД функциональных обязанностей.
Следовательно, определение причин возникновения стресса жизни необходимо
проводить с учетом особенностей различных сфер жизни сотрудников ОВД и влияния
разнообразных жизненных событий, которые могут быть источниками стресса.
Профессиональная деятельность сотрудников ОВД сопряжена с многочисленными
стрессогенными ситуациями, специфика которых определяется:
) выполнением служебных обязанностей в условиях, сопряженных с опасностью
для жизни;
) особым регламентом служебного времени;
) включенностью в различные управленческие системы: «человек - человек»,
«человек-человек-машина», «человек-техника», «человек-знак»;
) высокой динамикой социальной и профессиональной мобильности.
При оценке стрессов, связанных со служебной деятельностью сотрудников ОВД
были использованы наблюдение, беседа и анкетирование.
Анкета была составлена с учетом основных стрессогенных факторов
сотрудников ОВД:
) 1-й фактор - угроза жизни - включил в себя ряд показателей, так или
иначе связанных с такой особенностью военной службы, как опасность для жизни
(своей и других);
) 2-й фактор - служебная нагрузка - объединил в себе показатели, характеризующие
уровень индивидуальной служебной нагрузки;
) в состав 3-го фактора-конфликтность-вошли показатели включенности
сотрудников ОВД в конфликтную ситуацию или предконфликтные ситуации;
) 4-й фактор - социальное отношение - обусловлен современными условиями
функционирования ОВД и отражает отношение общества к сотрудникам ОВД как
представителям одного из социальных институтов и к деятельности Органов
Внутренних дел в целом;
) 5-й фактор, имеющий условное название «разочарование», раскрывает
отношение офицера к своему официальному социальному статусу, психологическое
самочувствие в этом статусе, которые могут быть источниками стресса жизни,
уверенность в своих силах, умение справиться с жизненными трудностями.
Согласно проведенному исследованию наибольшим стрессом, связанным со
служебной деятельность, является дефицит времени и напряженность работы
независимо от пола сотрудника ОВД.
У женщин преобладает сангвинический и флегматический темпераменты и
возможно именно поэтому женщины сотрудники ОВД более устойчивы в стрессовых
ситуациях.
Сотрудники ОВД как представители экстремальных профессий в целом
отличаются хорошим контролем над эмоциями, при этом им присущи черты
активности, силы, направленности потребностной сферы на соответствие социальным
нормам.
Сопоставив результаты тестирования по методике определения
стрессоустойчивости и социальной адаптации Холмса-Раге и по тесту на
определение стрессоустойчивости личности, были получены следующие выводы:
высокая степень сопротивляемости стрессу наблюдается у 48,6 % женщин и у
30 % мужчин, средняя степень сопротивляемости стрессу наблюдается у 31,4 %
женщин и у 30 % мужчин, низкая степень сопротивляемости стрессу наблюдается у
20 % женщин и у 40 % мужчин испытуемых из числа сотрудников ОВД;
определение значимости результатов в обоих методиках при помощи
коэффициента контингенции и критерия Стьюдента подтверждают предположение, что
женщины более стрессоустойчивы, чем мужчины;
женщины из числа сотрудников ОВД реже, чем мужчины испытывают стресс
угрозы для жизни, но при этом чаще хотели бы сменить место работы;
низкие результаты уровня стрессоустойчивости мужчин связаны, скорее
всего, с тем, что мужчины больше подвержены разного рода рискам, связанным с
профессиональной деятельностью в ОВД. Они чаще испытывают посттравматические
стрессовые расстройства после непосредственного участия в боевых действиях;
мужчинам из числа сотрудников ОВД необходимо не только излечение
стрессовых расстройств по мере их возникновения, но и профилактика таковых.
3. Предложения и рекомендации по
развитию стрессоустойчивости в зависимости от гендерных различий у сотрудников
ОВД
К службе в ОВД нужно готовить еще на этапе обучения. Психологическая
подготовка сотрудников в учебном заведении МВД должна быть направлена на
формирование устойчивости к:
негативным факторам оперативно-служебной деятельности: напряженности,
ответственности, риску, опасности, дефициту времени, неопределенности,
неожиданности и др.;
факторам, сильно действующим на психику: виду крови, трупа, телесных
повреждений и др.;
ситуациям противоборства: умение вести психологическую борьбу с лицами,
противодействующими предупреждению, раскрытию и расследованию преступлений,
противостоять психологическому давлению, манипулированию со стороны, как
законопослушных граждан, так и правонарушителей; не поддаваться на провокации и
др.;
конфликтным ситуациям в служебной деятельности: умение проанализировать
внутренние причины конфликта, разобраться в закономерностях их возникновения,
протекания и способах разрешения конфликтных ситуаций: оскорбление и насилие
над личностью, хулиганство, грабеж, убийство, сопротивление представителю
власти, вербальная и физическая агрессия и т. д.;
умение владеть собой в психологически напряженных, конфликтных,
провоцирующих ситуациях.
Частое пребывание в опасных, а иногда и угрожающих жизни ситуациях
требует от этих лиц умения владеть собой, быстро оценивать сложные ситуации и
принимать наиболее адекватные решения, что будет способствовать более
эффективному выполнению поставленных задач и уменьшению чрезвычайных
происшествий и срывов профессиональной деятельности среди личного состава
органов внутренних дел.
Неумение сотрудника регулировать психическое состояние и действия
приводят к отрицательным, а зачастую и тяжелым последствиям как для него
самого, так и для окружающих. Неумение управлять своим поведением снижает
способность социально-психологической адаптации личности к данным условиям
среды, является серьезной помехой в реализации ее жизненного потенциала.
Высокая потребность сотрудников в поиске новых способностей и
возможностей противодействию негативным факторам, творческое отношение к себе и
окружающей действительности, готовность к освоению приемов психологических
техник (нейролингвистическое программирование, психосинтез, группотерапия,
социально-психологический тренинг и др.) для регуляции психоэмоциональных
состояний позволят преодолевать деструктивное воздействие неблагоприятных
жизненных обстоятельств и сформировать устойчивость личности работников
правопорядка.
В ходе прохождения специального первоначального обучения сотрудниками
рядового и младшего начальствующего составов на занятиях по
профессионально-психологической подготовке для формирования психологической
подготовки могут использоваться:
психодиагностика (наблюдение, беседа, тестирование);
тренинги по развитию профессиональной памяти, внимания и
наблюдательности;
психофизические тренинги по преодолению препятствий (усложнения, полоса
препятствий, лабиринты);
идеомоторная тренировка;
тренинги с использованием элементов неожиданности, дефицита времени,
шумовых и огневых эффектов (морально-психологическая полоса);
тренинги по освоению ситуаций, связанных с восприятием страданий, крови,
ранений, травм, убитых;
обучение основам аутогенной тренировки;
тренинги самовнушения, самоубеждения, настроя;
СОПТ (ситуативно-образная психорегулирующая тренировка, мысленное
перечисление сотрудником индивидуально-ценностных качеств и ситуаций, в которых
ему что-то удалось).
Таким образом, выделим основные практические рекомендации психологической
подготовки сотрудников органов внутренних дел:
. Проводить психологическую подготовку, организацию и проведение
мероприятий профессионально-психологического отбора в целях отсева кандидатов с
нервно-психологической неустойчивостью.
. При психологическом отборе сотрудников органов внутренних дел, контроле
их психологического состояния до и после выполнения профессиональных задач
целесообразно оценивать уровень стрессоустойчивости личности. Для этого следует
использовать методику Холмса-Раге и тест Айзенка для исследования темперамента
личности.
. В образовательных заведениях МВД России при проведении психологического
отбора кандидатов на учебу и психологическом сопровождении курсантов и
слушателей целесообразно психологам подразделений психологического обеспечения
образовательного процесса оценивать исходный уровень стрессоустойчивости
личности. Эти данные могут быть использованы при подготовке выпускных
аттестаций и назначении выпускников на первичные должности.
. Проводить психологическое прогнозирование эффективности предстоящей
профессиональной деятельности.
. Формировать у сотрудников общественно значимые мотивы поведения и
деятельности как основы психологической устойчивости.
. Психологам практических подразделений органов внутренних дел, Центров
психодиагностики УВД, ГУВД, МВД субъектов РФ целесообразно использовать в
период аттестации сотрудников, контроля их психологического статуса, анализа
конфликтных ситуаций, уровня риска суицида и психосоматических заболеваний
методический инструментарий исследования уровня стрессоустойчивости.
. Медико-психологическая реабилитация сотрудников ОВД должна быть
организована с учетом особенностей их стрессоустойчивости и включать
целенаправленные мероприятия первичной (для всех категорий личного состава),
вторичной (специальной - учитывающей специфику профессиональных задач) и
третичной (при психосоматических заболеваниях, ПТСР (посттравматические
стрессовые расстройства), дезадаптивных типах поведения) профилактики.
Для повышения уровня стрессоустойчивости сотрудников ОВД предлагается
использовать следующие основные методы:
. Релаксационные техники.
Обширная группа техник, которые обучают человека правильному расслаблению
как на телесном (мышечном), так и на эмоциональном уровне. Аутотренинг,
прогрессивная мышечная релаксация по Джекобсону, групповые и индивидуальные
техники психической саморегуляции, методы ускоренного восстановления
работоспособности и оптимизации функционального состояния, применяемые в
авиационной и спортивной медицине. Данные методики достаточно просты в освоении
и предполагают регулярное применение в повседневной жизни человека.
. Дыхательные техники.
Обучение управлению эмоциональным состоянием проводится с использованием
определенных типов дыхания. (Например, глубокое диафрагмальное дыхание с
удлиненным выдохом приводит организм в комфортное расслабленное состояние
всего за 3-5 минут). Существует большое количество восточных дыхательных
практик (Цигун, Пранаяма и др.), которые предлагают практикующему целостный
подход к своему телесному и духовному развитию. Целый ряд эффективных
направлений использует дыхательные техники для отреагирования подавленных
отрицательных эмоций, психотравм (холотропное дыхание, ребефинг, динамические
медитации Ошо и др.).
. Психокоррекционные методики, использующие специальные приборы и
оборудование
В настоящее время используется достаточно много физиотерапевтического
оборудования для повышения стрессоустойчивости и релаксации. Основной смысл
использования подобных приборов - в обучении организма «полезным»
функциональным состояниям и стимуляции естественных процессов адаптапции
организма.
. Самогипноз
Универсальное средство как повышения стрессоустойчивости, так и
углубления самопознания, усиления внутренней концентрации, которые помогают в
решении повседневных задач и достижении жизненных целей. Основная суть метода в
обучении человека навыкам правильного общения со своим подсознанием,
гармонизации активности правого и левого полушария головного мозга, создании
позитивной установки на сохранение здоровья или выздоровление. Вопреки
бытующему мнению о сложности достижения подобных состояний, обучение
самогипнозу проходит достаточно быстро и комфортно. Для полноценного
использования навыков самогипноза обычно требуется 5-10 занятий с
профессиональным гипнотерапевтом.
. Психотерапия
В некоторых случаях для повышения стрессоустойчивости показана
индивидуальная, групповая или семейная психотерапия. В процессе лечения
врач-психотерапевт корректирует личностные особенности, деструктивные типы
внутри- и межличностных отношений, семейные дисгармонии, которые могут являться
источником хронического стресса.
. Медикаментозное лечение.
Иногда возникает необходимость в назначении лекарственных препаратов,
препятствующих развитию гипертрофированной реакции на стрессорную нагрузку.
Применяется противоастеническая терапия, включающая такие группы препаратов как
ноотропы, адаптогены, антигипоксанты, актопротекторы и витамины. Предпочтение
отдается препаратам растительного происхождения и естественным метаболитам,
дефицит которых наблюдается при астенических состояниях. Следует помнить, что
поскольку данные схемы показаны при расстройствах адаптации субклинического
уровня, они могут назначаться практически здоровым людям для повышения
работоспособности и улучшения переносимости нагрузок. В случае формирования
расстройства клинического уровня с присоединением тревожно-фобической или
астено-депрессивной симптоматики показано применение транквилизаторов,
антидепрессантов, симпатолитических и вегетотропных препаратов.
. Естественные биоритмы организма.
Очень важным фактором является правильное распределение режимов
«бодрствование-сон», «концентрация-релаксация». Обязательным условием для
высокой стрессоустойчивости является полноценный ночной сон (7-8 часов), во
время которого организм запускает процессы саморегуляции и самовосстановления.
Хронический дефицит сна приводит к развитию быстрой астенизации и снижению
сопротивляемости организма.
. Стресспротективное питание.
Поскольку устойчивость организма к стрессу зависит от функционального
состояния нервной и эндокринной систем, в рационе питания должны
присутствовать все необходимые для этих систем нутриенты (белки, жиры,
углеводы, витамины и микроэлементы). Особенно важными являются витамины группы
В, антиоксиданты - витамины С, А, Е, селен, а также достаточное количество
магния, цинка и кальция. Очень часто хронический стресс приводит к нарушению
пищевого поведения, например, «заеданию проблем», злоупотреблению сладким,
мучными продуктами или алкоголем. В таких случаях правильным подходом является
разработка индивидуальной программы, в которой участвуют диетолог и
психотерапевт.
Заключение
Весь период жизни человека - это время развития его самосознания и,
соответственно, период построения им самоотношения к своей гендерной
идентификации.
Принятие на себя определенной гендерной роли «включает» процесс
саморегуляции (в том числе, формирование мотивации и психологических черт) и
мониторинг своего поведения и поведения других в соответствии с матрицей
гендерной роли.
Каждая гендерная роль сопровождается определенным набором качеств,
которые являются отражением существующих стереотипов мужественности и
женственности.
Исследование гендерных различий стрессоустойчивости сотрудников ОВД
позволило сделать следующие выводы:
. Стресс жизни сотрудников ОВД - это вид стресса, обусловленный
длительным комплексным воздействием стрессогенных факторов служебной и
общесоциальной сфер жизнедеятельности сотрудников и опосредованный их
индивидуальными и личностными характеристиками. Основными характеристиками
стресса жизни сотрудников ОВД являются: куммулятивность (способность
накапливаться с возрастом); длительность воздействия; прямая связь с появлением
и обострением психосоматических заболеваний - «болезней стресса».
. На интенсивность стресса жизни сотрудников ОВД оказывают влияние две
группы факторов: служебные и общесоциальные. Служебные факторы: угроза жизни,
служебная нагрузка, конфликтность, социальное отношение, разочарование. Высокая
степень выраженности стресса жизни обусловлена в первую очередь воздействием факторов
угроза жизни, социальное отношение, разочарование. Факторы служебная нагрузка и
конфликтность являются стабильно высокими для всех групп сотрудников вне
зависимости от гендерных различий.
В группе общесоциальных факторов выделяются: факторы «глобальные
жизненные изменения» и факторы «ежедневные бытовые проблемы». Фактор глобальных
жизненных изменений обусловливает высокий стресс жизни за счет интенсивности
воздействия, что увеличивает риск возникновения психосоматических заболеваний.
Факторы ежедневных бытовых проблем (взаимодействие, ответственность,
экономический фактор, экзистенциальный фактор, домашние заботы), приобретая
хронический характер, аккумулируются и обусловливают снижение адаптивных
возможностей сотрудника ОВД.
. Индивидуально-психологические и личностные особенности сотрудников ОВД,
выступающие значимыми условиями стресса жизни (возрастные особенности,
психологическая устойчивость к стрессу, уверенность в себе, тревожность,
стратегия преодоления стресса), опосредуют влияние стрессогенных факторов их
жизнедеятельности.
Уверенность в себе предотвращает высокую интенсивность стресса жизни и
способствует выбору совладающих стратегий поведения при стрессе.
. Стрессоустойчивость женщин из числа сотрудников ОВД выше
стрессоустойчивости мужчин, что, скорее всего, связано с меньшим уровнем
стрессов, связанных с профессиональной деятельностью.
. Предложенный комплекс методов повышения уровня стрессоустойчивости
сотрудников ОВД, включающий разного рода тренинги и саморегуляцию является
эффективным средством профилактики влияния стресса.
Список использованной литературы
1. Berry
G., Izat J., Mawby R., Walley L., Wright A. Practical Police Management.
London, 1998.
2. Blak
R.A. Critical incident debriefing for law enforcement personnel: A model // Critical
incident in Policing: Re-vised. Washington, DC., 1991.
3. Абабков,
В.А. Адаптация к стрессу / В.А. Абабков, М. Перре.- СПб.: Питер, 2009.
. Адаев
А.И. Оценка и прогноз психологической готовности сотрудников ОВД к деятельности
в экстремальных ситуациях. - СПб., 2004.
. Александровский
Ю.А. и др. Психогении в экстремальных условиях. М.: Медицина, 1991.
. Аминов
И.И. Юридическая психология: Учеб. пособие для студентов вузов, обучающихся по
специальности «юриспруденция». - М.: ЮНИТИ-ДАНА, 2007.
. Андрюшин
Г.Д., Борисова С.Е., Костина Л.Н. Психология в деятельности сотрудников ОВД.
Учебное пособие. - Орел: ОрЮИ МВД России, 2006.
. Андрюшин
Г.Д., Борисова С.Е., Костина Л.Н. Психология в деятельности сотрудников ОВД.
Учебное пособие. - Орел: ОрЮИ МВД России, 2006.
. Белик
Я.Я. Психическая саморегуляция в экстремальных условиях деятельности. М., 1988.
. Бендас
Т.В. Гендерные исследования лидерства.//Вопросы психологии, 2006.- № 1.
. Берн
Ш. Гендерная психология. - М : Прайм-Еврознак, 2004.
. Большов
Л.Н., Смирнов Н.В. Таблицы математической статистики. - М.: Наука, 1983.
. Васильев
В.А. Юридическая психология. - М., 2002.
. Вейтен
У., Ллойд М. Стресс и его эффекты// Общая психология. Тексты. Т.2. Книга 1. -
М.: Генезис, 2002.
. Винокур
В. А. Уловки в споре. - СПб.: Речь, 2005.
. Дикая
Л.Г., Махнач А.В. Отношение человека к неблагоприятным жизненным событиям и
факторы его формирования // Психол. журнал. 1996. № 3. Т . 17.
. Еникеев
М.И. Основы общей и юридической психологии: Учебник для вузов. - М.: Юрист,
1996.
. Жуков
Д.А. Психогенетика стресса: поведенческие и эндокринные корреляты генетических
детерминант стресс-реактивности при неконтролируемой ситуации. СПб, 1997.
. Запускалов
C.B. Клиническая динамика психического здоровья доболезненного уровня // Медико-социальные
аспекты охраны психического здоровья. Томск, 1991.
. Клецина
И.С. Гендерная социализация. - СПб, 2006.
. Кон
И.С Половые различия и дифференциация социальных ролей. - в кн.: Соотношение
биологического и социального в человеке. - М., 2005.
. Кон
И.С. Психология половых различий // Вопр. психол. 2005. - № 2.
. Курбатов
В.И. Юридическая психология: Учебное пособие. - М.: Издательско-торговая
корпорация «Дашков и К»; Ростов-на-Дону: Наука-Пресс, 2007.
. Лебедев
В.И. Личность в экстремальных условиях. М.: Политиздат, 1989.
. Макмахон,
Г. Тренинг уверенности в себе / Г. Макмахон. - М.: ЭКСМО, 2002.
. Мариновская
И.Д., Тихомиров С.Н., Цветков В.Л. Психология и педагогика в правоохранительной
деятель-ности: Учеб. пособие. - М.: Щит-М, 2005.
. Мариновская
И.Д., Цветков В.Л. Конфликтология: Учебное пособие. - М.: Московский
университет МВД России, Изд-во «Щит-М», 2003.
. Митина
О.В. Математические методы в психологии. Практикум. - М.: Аспект Пресс, 2008.
. Моросанова
В.И., Сагиев Р.Р. Диагностика индивидуально-стилевых особенностей саморегуляции
в учебной деятельности студентов // Вопросы психологии. - 1994.
. Панкратов
В.Н. Культура общения сотрудника органов внутренних дел: Учебно-методическое
пособие. - М.: Приор-издат, 2006.
. Пономарев
И.Б. Избранные труды: Юридическая психология, конфликтология и психология
управления, практическая психология в органах внутренних дел. - М.: ИМЦ ГУК МВД
России, 2002.
. Пономарев
И.Б. Избранные труды: Юридическая психология, конфликтология и психология
управления, практическая психология в органах внутрен- них дел. - М.: ИМЦ ГУК
МВД России, 2002.
. Романов
В.В. Юридическая психология: Учебник. - М.: Юристъ, 2006.
. Селье,
Г. Стресс без дистресса.
. Фатеев
Н.М. Социально-психологический климат в коллективах ОВД: содержание и методы
его изучения. - М.: Академия МВД СССР, 1991.
. Фресс
П. Эмоции // Экспериментальная психология. М., 1975. Вып. 5.
. Шиханцов
Г.Г. Юридическая психология. Учебник для вузов. Ответственный редактор доктор
юридических наук, профессор В.А. Томсинов. - М.: Издательство «Зерцало», 2000.
. Энциклопедия
юридической психологии / Под общ. Ред. проф. А.М.Столяренко. - М.: ЮНИТИ-ДАНА,
Закон и право, 2003.
. Энциклопедия
юридической психологии /Под общ. Ред. проф. А.М.Столяренко. - М.: ЮНИТИ-ДАНА,
Закон и право, 2003.
Приложение 1
Методика
определения стрессоустойчивости и социальной адаптации Холмса-Раге
1. Бланк вопросов к тесту
|
№ п/п
|
Жизненные события
|
Ответы (количество раз
за год)
|
|
1
|
Смерть супруга (супруги).
|
|
|
2
|
Развод. (Сравните №2 и №3.
Будьте внимательны)
|
|
|
3
|
Разъезд супругов (без
оформления развода), разрыв с партнером. (Сравните №2 и №3. Будьте
внимательны)
|
|
|
4
|
Тюремное заключение.
|
|
|
5
|
Смерть близкого члена
семьи.
|
|
|
6
|
Травма или болезнь.
|
|
|
7
|
Женитьба, свадьба.
|
|
|
8
|
Увольнение с работы.
|
|
|
9
|
Примирение супругов.
|
|
|
10
|
Уход на пенсию.
|
|
|
11
|
Изменение в состоянии
здоровья членов семьи.
|
|
|
12
|
Беременность партнерши.
(или ваша, если Вы женщина).
|
|
|
13
|
Сексуальные проблемы.
|
|
|
14
|
Появление нового члена
семьи, рождение ребенка.
|
|
|
15
|
Перемена места работы.
|
Изменение финансового
положения.
|
|
|
17
|
Смерть близкого друга.
|
|
|
18
|
Изменение профессиональной
ориентации.
|
|
|
19
|
Усиление конфликтности
отношений с супругом.
|
|
|
20
|
Ссуда или заем на крупную
покупку (например, дома).
|
|
|
21
|
Окончание срока выплаты
ссуды или займа, растущие долги.
|
|
|
22
|
Изменение должности,
повышение служебной ответственности.
|
|
|
23
|
Сын или дочь покидают дом.
|
|
|
24
|
Проблемы с родственниками
мужа(жены).
|
|
|
25
|
Выдающееся личное
достижение, успех.
|
|
|
26
|
Супруг бросает работу (или
приступает к работе).
|
|
|
27
|
Начало или окончание
обучения в учебном заведении.
|
|
|
28
|
Изменение условий жизни.
|
|
|
29
|
Отказ от каких-то
индивидуальных привычек, изменение стереотипов поведения.
|
|
|
30
|
Проблемы с начальством,
конфликты.
|
|
|
31
|
Изменение условий или часов
работы.
|
|
|
32
|
Перемена места жительства.
|
|
|
33
|
Смена места обучения.
|
|
|
34
|
Изменение привычек,
связанных с проведением досуга или отпуска.
|
|
|
35
|
Изменение привычек,
связанных с вероисповеданием.
|
|
|
36
|
Изменение социальной
активности. (Изменение в общественной деятельности)
|
|
|
37
|
Ссуда или заем для покупки
менее крупных вещей (машины, телевизора).
|
|
|
38
|
Изменение индивидуальных
привычек, связанных со сном, нарушение сна.
|
|
|
39
|
Изменение числа живущих
вместе членов семьи, изменение характера и частоты встреч с другими членами
семьи.
|
|
|
40
|
Изменение привычек,
связанных с питанием (количество потребляемой пищи, диета, отсутствие
аппетита и т. п.).
|
|
|
41
|
Отпуск.
|
|
|
42
|
Рождество, встреча Нового
года, день рождения.
|
|
|
43
|
Незначительное нарушение
правопорядка (например, штраф за нарушение правил уличного движения).
|
|
. Ключ к тесту
|
№
|
Баллы
|
№
|
Баллы
|
|
1.
|
100
|
23.
|
29
|
|
2.
|
73
|
24.
|
29
|
|
3.
|
65
|
25.
|
28
|
|
4.
|
63
|
26.
|
26
|
|
5.
|
63
|
27.
|
26
|
|
6.
|
53
|
28.
|
25
|
|
7.
|
50
|
29.
|
24
|
|
8.
|
47
|
30.
|
23
|
|
9.
|
45
|
31.
|
20
|
|
10.
|
45
|
32.
|
20
|
|
11.
|
44
|
33.
|
20
|
|
12.
|
40
|
34.
|
19
|
|
13.
|
39
|
35.
|
19
|
|
14.
|
39
|
36.
|
18
|
|
15.
|
39
|
37.
|
17
|
|
16.
|
38
|
38.
|
16
|
|
17.
|
37
|
39.
|
15
|
|
18.
|
36
|
40.
|
15
|
|
19.
|
35
|
41.
|
13
|
|
20.
|
31
|
42.
|
12
|
|
21.
|
30
|
43.
|
11
|
|
22.
|
29
|
|
|
Приложение 2
Бланк
вопросов теста на определение стрессоустойчивости личности
|
Утверждения
|
редко
|
иногда
|
часто
|
|
я думаю, что меня
недооценивают в коллективе
|
1
|
2
|
3
|
|
я стараюсь работать,
учиться, даже если бываю не совсем здоров
|
1
|
2
|
3
|
|
я переживаю за качество
своей работы
|
1
|
2
|
3
|
|
я бываю, настроен
агрессивно
|
1
|
2
|
3
|
|
я не терплю критики в свой
адрес
|
1
|
2
|
3
|
|
я бываю раздражителен
|
1
|
2
|
3
|
|
я стараюсь быть лидером
там, где это возможно
|
1
|
2
|
3
|
|
меня считают человеком
настойчивым и напористым
|
1
|
2
|
3
|
|
я страдаю бессонницей
|
1
|
2
|
3
|
|
своим недругам я могу дать
отпор
|
1
|
2
|
3
|
|
я эмоционально и болезненно
переживаю неприятность
|
1
|
2
|
3
|
|
у меня не хватает времени
на отдых
|
1
|
2
|
3
|
|
у меня возникают
конфликтные ситуации
|
1
|
2
|
3
|
|
мне недостает власти, чтобы
реализовать себя
|
1
|
2
|
3
|
|
у меня не хватает времени,
чтобы заняться любимым делом
|
1
|
2
|
3
|
|
я все делаю быстро
|
1
|
2
|
3
|
|
я испытываю страх, что не
смогу достигнуть высот в карьеке
|
1
|
2
|
3
|
|
я действую сгоряча, а затем
переживаю за свои дела и поступки.
|
1
|
2
|
3
|
Приложение 3
Анкета
1. Возраст:
. Пол:
а) мужской
б) женский
. Как часто Вы испытываете дефицит
времени?
а) очень часто
б) часто
в) редко
г) очень редко
4. Должность сотрудника ОВД кажется
Вам напряженной?
а) очень часто
б) часто
в) редко
г) очень редко
5. У Вас возникает ощущение высокой
степени ответственности, когда вы находитесь на работе?
а) очень часто
б) часто
в) редко
г) очень редко
6. Часто ли у Вас возникают
обстоятельства, связанные с угрозой для жизни?
а) очень часто
б) часто
в) редко
г) очень редко
. Вам хочется сменить место работы,
на несвязанное с ОВД?
а) очень часто
б) часто
в) редко
г) очень редко
. У Вас возникают проблемы, связанные
со служебной деятельностью?
а) очень часто
б) часто
в) редко
г) очень редко
. У Вас бывают проблемы в отношениях
с коллегами?
а) очень часто
б) часто
в) редко
г) очень редко
. У Вас сложные отношения с
начальством?
а) очень часто
б) часто
в) редко
г) очень редко
Приложение 4
Тест
Айзенка
1. У Вас много различных хобби?
. Вы обдумываете предварительно то, что собираетесь сделать?
. У Вас часто бывают спады и подъемы настроения?
. Вы претендовали когда-нибудь на похвалу за то, что в действительности
сделал другой человек?
. Вы разговорчивый человек?
. Вас беспокоило бы то, что Вы залезли в долги?
. Вам приходилось чувствовать себя несчастным человеком без особых на то
причин?
. Вам случалось когда-нибудь пожадничать, чтобы получить больше, чем Вам
полагалось?
. Вы тщательно запираете дверь на ночь?
. Вы считаете себя жизнерадостным человеком?
. Увидев, как страдает ребенок, животное, Вы бы сильно расстроились?
. Вы часто переживаете из-за того, что сделали или сказали что-то, чего
не следовало бы делать или говорить?
. Вы всегда исполняете свои обещания, даже если лично Вам это очень
неудобно?
. Вы получили бы удовольствие, прыгая с парашютом?
. Способны ли Вы дать волю чувствам и от души повеселиться в шумной
компании?
. Вы раздражительны?
. Вы кого-нибудь обвиняли кого-нибудь в том, в чем на самом деле деле
были виноваты сами?
. Вам нравится знакомиться с новыми людьми?
. Вы верите в пользу страхования?
. Легко ли Вас обидеть?
. Все ли Ваши привычки хороши и желательны?
. Вы стараетесь быть в тени, находясь в обществе?
. Стали бы Вы принимать средства, которые могут привести Вас в необычное
или опасное состояние (алкоголь, наркотики)?
. Вы часто испытываете такое состояние, когда все надоело?
. Вам случалось брать вещи, принадлежащие другому лицу, будь это даже
такая мелочь, как булавка или пуговица?
. Вам нравится часто ходить к кому-нибудь в гости и бывать в обществе?
. Вам доставляет удовольствие обижать тех, кого Вы любите?
. Вас часто беспокоит чувство вины?
. Вам приходилось говорить о том, в чем Вы плохо разбираетесь?
. Вы обычно предпочитаете книги встречам с людьми?
. У Вас есть явные враги?
. Вы назвали бы себя нервным человеком?
. Вы всегда извиняетесь, когда нагрубите другому?
. У Вас много друзей?
. Вам нравится устраивать розыгрыши и шутки, которые иногда могут
действительно причинить людям боль?
. Вы беспокойный человек?
. В детстве Вы всегда безропотно и немедленно выполняли то, что Вам
приказывали?
. Вы считаете себя беззаботным человеком?
. Много ли для Вас значат хорошие манеры и чистоплотность?
. Волнуетесь ли Вы по поводу каких-либо ужасных событий, которые могли бы
случиться, но не случились?
. Вам случалось сломать или потерять чужую вещь?
. Вы обычно первыми проявляете инициативу при знакомстве?
. Можете ли Вы легко понять состояние человека, если он делится с Вами
заботами?
. У Вас часто нервы бывают натянуты до предела?
. Бросите ли Вы ненужную бумажку на пол, если под рукой нет корзины?
. Вы больше молчите, находясь в обществе других людей?
. Считаете ли Вы, что брак старомоден и его следует отменить?
. Вы иногда чувствуете жалость к себе?
. Вы иногда много хвастаетесь?
. Вы легко можете внести оживление в довольно скучную компанию?
. Раздражают ли Вас осторожные водители?
. Вы беспокоитесь о своем здоровье?
. Вы говорили когда-нибудь плохо о другом человеке?
. Вы любите пересказывать анекдоты и шутки своим друзьям?
. Для Вас большинство пищевых продуктов одинаковы на вкус?
. Бывает ли Вас иногда дурное настроение?
. Вы дерзили когда-нибудь своим родителям в детстве?
. Вам нравится общаться с людьми?
. Вы переживаете, если узнаете, что допустили ошибки в своей жизни?
. Вы страдаете от бессонницы?
. Вы всегда моете руки перед едой?
. Вы из тех людей, которые не лезут за словом в карман?
. Вы предпочитаете приходить на встречу немного раньше назначенного
времени?
. Вы чувствуете себя апатичным, усталым без какой-либо причины?
. Вам нравится работа, требующая быстрых действий?
. Вы так любите поговорить, что не упускаете любого удобного случая
побеседовать с новым человеком?
. Ваша мать - хороший человек (была хорошим человеком)?
. Часто ли Вам кажется, что жизнь ужасно скучна?
. Вы когда-нибудь воспользовались оплошностью другого человека в своих
целях?
. Вы часто берете на себя больше, чем позволяет время?
. Есть ли люди, которые стараются избегать Вас?
. Вас очень заботит Ваша внешность?
. Вы всегда вежливы, даже с неприятными людьми?
. Считаете ли Вы, что люди затрачивают слишком много времени, чтобы
обеспечить свое будущее, откладывая сбережения, страхуя себя и свою жизнь?
. Возникало ли у Вас когда-нибудь желание умереть?
. Вы попытались бы избежать уплаты налога с дополнительного заработка,
если бы были уверены, что Вас никогда не смогут уличить в этом?
. Душа компании - это о вас?
. Вы стараетесь не грубить людям?
. Вы долго переживаете после случившегося конфуза?
. Вы когда-нибудь настаивали на том, чтобы было по-вашему?
. Вы часто приезжаете на вокзал в последнюю минуту перед отходом поезда?
. Вас беспокоили Ваши нервы?
. Вам неприятно находиться среди людей, которые подшучивают над
товарищами?
. Вы легко теряете друзей по своей вине?
. Вы часто испытываете чувство одиночества?
. Всегда ли Ваши слова совпадают с делом?
. Нравится ли Вам иногда дразнить животных?
. Вы легко обижаетесь на замечания, касающиеся лично Вас и Вашей работы?
. Жизнь без какой-либо опасности показалась бы Вам слишком скучной?
. Вы когда-нибудь опаздывали на свидание или работу?
. Вам нравится суета и оживление вокруг Вас?
. Вы хотите, чтобы люди боялись Вас?
. Верно ли, что Вы иногда полны энергии и все горит в руках, а иногда
совсем вялы?
. Вы иногда откладываете на завтра то, что должны сделать сегодня?
. Считают ли Вас живым и веселым человеком?
. Часто ли Вам говорят неправду?
. Вы очень чувствительны к некоторым явлениям, событиям, вещам?
. Вы всегда готовы признавать свои ошибки?
. Вам когда-нибудь было жалко животное, которое попало в капкан?
101. Трудно ли Вам было заполнять
анкету?