Обыкновенные дифференциальные уравнения

  • Вид работы:
    Контрольная работа
  • Предмет:
    Математика
  • Язык:
    Русский
    ,
    Формат файла:
    MS Word
    25,75 kb
  • Опубликовано:
    2012-02-09
Вы можете узнать стоимость помощи в написании студенческой работы.
Помощь в написании работы, которую точно примут!

Обыкновенные дифференциальные уравнения















Обыкновенные дифференциальные уравнения

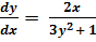
Задание 1. Найти решение дифференциальных уравнений с разделяющимися переменными

 .

Решение:

Произведём разделение переменных:

(3y2 + 1)dy = 2xdx

Проинтегрируем левую и правую часть.

 +  = 2.

 + y + C = 2 ,+ y + C = x2, или x =  .

yy' = x.

Запишем уравнение в виде:

y = x и произведём замену переменных:

ydy = xdx, тогда 3 =

 =  + C/2 или 3y2 = x2 + C, тогда

y =  .

Задание 2. Найти решение однородных дифференциальных уравнений первого порядка

(2x - y)dx + (2y - x)dy = 0.

Разрешим уравнение относительно dy/dx:

' =  = -  ,

поделив числитель и знаменатель правой части на х, получим:

' = -  ,

т. е. у' есть функция отношения у/х. Это означает, что данное уравнение однородное.

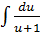
Для решения этого уравнения введём новую функцию u = y/x. Тогда у = ux, y' = xdu/dx + u. Исходное уравнение запишется в виде уравнения с разделяющимися переменными:

 + u =  ;

x =  - u =  = ,

 = -  du =  - . Проинтегрируем это уравнение:

 = 2 -  + lnC.

ln = 2(u - ln(u + 1)) - ln(u + 1) = 2u - l-2ln(u + 1) - ln(u + 1) = 2u - 3 ln(u + 1),

 + ln(u + 1)3 = 2u, (u + 1)3 = 2u,

 (u + 1)3 = e2u , и окончательно получаем решение:

 ( + 1)3 = exp (.

- ydx = ydy.

(x - y)dy = ydx y =  .

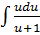
Для решения этого уравнения введём новую функцию u = y/x. Тогда у = ux, y' = xdu/dx + u. Исходное уравнение запишется в виде уравнения с разделяющимися переменными:

 + u =  ;

x =  - u =  = ,

 = -  du =  - . Проинтегрируем это уравнение:

 =  -  + lnC.

 = ln(2u - 1) - u - ln(2u - 1) = - u, окончательно получаем:

x = Ce-u = Ce-y/x.

Задание 3. Найти решение линейных дифференциальных уравнений первого порядка

 - y ctg x = 2x sin x.

Положим y = uv, тогда y' = u'v + uv' и данное уравнение принимает вид:'v + uv' - uv ctg x = 2x sin x,'v + u(v' - v ctg x) = 2x sin x.

Решая уравнение v' - v ctg x = 0, получим его простейшее частное решение:

 = v ctg x;  = ctg x dx; ln = ln; откуда v = sin x.

Подставляя v в исходное уравнение получаем уравнение: sin x = 2x sin x, из которого находим u' = 2x, следовательно du = 2xdx u = x2 +C.

Итак, искомое решение y = (x2 + C) sin x.

' + 3y tg 3x = sin 6x, y(0) = 1/3.

Положим y = uv, тогда y' = u'v + uv' и данное уравнение принимает вид:'v + uv' + 3uv tg 3x = sin 6x,'v + u(v' + 3v tg 3x) = sin 6x.

Решая уравнение v' + 3v tg 3x = 0, получим его простейшее частное решение:

 = 3v tg x;  = 3tg 3x dx; ln = - ln; откуда v = 1/cos 3x.

Подставляя v в исходное уравнение получаем уравнение:

/cos 3x = sin 6x, из которого находим u

 = ,

= -  -  + C, и окончательно получим решение

= uv = -  ( + C).

Найдём постоянную С, согласно заданным начальным условиям у(0) = 1/3:

/3 = -  ( + C) = - 4/18 - C, C = - 1/3 - 4/18 = - 10/18 = - 5/9.

Получаем решение:

у = -  ( - 5/9) = -  () =

= - .

Задание 4. Найти решение дифференциального уравнения, допускающего понижение порядка

''' = cos x, y(0) = 1, y'(0) = 0, y''(0) = 1.

Проводим последовательное интегрирование:

y'' =  = sin x + C1,

Из начального условия y(0) = 1 найдём постоянную С1:

1 + 0 = C1, C1 = 1, следовательно y'' = = sin x + 1,' =  = - cos x + x + C2,

Из начального условия y(0) = 0 найдём постоянную С2:

= - 1 + 0 + C2, C2 = 1,

В итоге получаем y' = - cos x + x + 1.


Из начального условия y(0) = 1 найдём постоянную С3:

= - 0 + 0 + 0 + C3, C3 = 1,

В итоге получаем y = - sin x + x2/2 + x + 1.

Задание 5. Проинтегрировать следующие линейные неоднородные уравнения

'' + y' - 6y = 0

Запишем характеристическое уравнение. Для этого заменим функцию у и её производные соответствующими степенями λ:

λ2 + λ - 6 = 0

откуда λ1 = - 3 и λ2 = 2. Так как корни характеристического уравнения действительные и различные, то общее решение данного дифференциального уравнения имеет вид:

у = С1е-3х + С2е2х.

у'' - у' = 12х.

Составим характеристическое уравнение: λ2 - λ = 0, откуда λ1 = 0; λ2 = 1, поэтому λ1 = 0 есть простой корень ( r = 1) этого уравнения. В правой части многочлен первой степени (m = 1), поэтому частное решение неоднородного дифференциального уравнения следует искать в виде:

ỹ(x) = x(B0x + B1).

Подставляя ỹ(х) в уравнение и сравнивая коэффициенты при одинаковых степенях х, найдём, что

ỹ'(x) = (B0x + B1) + хВ0 = 2В0х + В1.

ỹ''(x) = 2B0.

B0 - 2В0х - В1 = 12х

В0 = 12 и 2В0 - В1 = 0

В0 = - 6 и В1 = -12,

в итоге получаем ỹ(x) = x(- 6x - 12) = - 12х - 6х2.

у'' + 2у' + 5y = - 2sin 2x.

Найдём общее решение уравнения ỹ соответствующего однородного уравнения:

у'' + 2у' + 5y = 0.

Решая отвечающее ему характеристическое уравнение

λ2 + 2λ + 5 = 0,

получаем комплексные корни λ1 = - 1 - 2i; λ2 = - 1 + 2i, следовательно,

ỹ = e-x(C1 cos x + C2 sin 2x).

Будем теперь искать у*. Здесь правая часть f(x) имеет вид:

(x) = a cos λx + b sin λx , т. е. а = 0, b = - 2, λ =  2i.

Числа  2i не являются корнями характеристического уравнения, поэтому частное решение у* следует искать в форме

у* = А cos 2x + B sin 2x,

где А и В - неопределенные коэффициенты.

Найдём производные у*' и у*'':

у*' = - 2А sin 2x + 2B cos 2x;

у*'' = -4A cos 2x - 4B sin 2x.

подставляя теперь выражения для у*, у*', у*'' в данное уравнение и группируя члены при cos 4x и sin 4x, в результате получим

(-4A cos 2x - 4B sin 2x) + 2(- 2А sin 2x + 2B cos 2x) + 5(А cos 2x + B sin 2x)= -2sin 2x дифференциальный уравнение линейный интегрирование

Cos 2x(- 4A + 4B + 5A) + sin 2x( -4B - 4A + 5B) = -2sin 2x.

Составим систему:


В = - 2 + 4А, А + 4(-2 + 4А) = А - 8 + 16А = 0.

А = 8/17 и В = - 2/17.

Таким образом,

у* = 8/17 cos 2x - 2/17 sin x.

Итак, общее решение данного уравнения имеет вид:

у = ỹ + у* = e-x(C1 cos2x + C2sin2x) + 8/17 cos 2x - 2/17sin 2x.

Похожие работы на - Обыкновенные дифференциальные уравнения

 

Не нашли материал для своей работы?
Поможем написать уникальную работу
Без плагиата!
Без нейросетей!