Финансовое состояние ЗАО 'Челябинский завод металлоконструкций'
Введение
финансовый состояние
баланс оборотный
Актуальность выбранной темы курсовой
работы заключается в том, что главным условием успешного управления финансовыми
средствами организации выступает оценка ее финансового положения.
Финансовое положение организации
определяется совокупностью показателей, которые отражают процесс использования
и формирования ее финансовых ресурсов.
Финансовое состояние организации в
условиях рыночной экономики отражают конечные результаты ее деятельности
(выручка, прибыль). Они интересуют не только работников самой организации, но и
ее партнеров по экономической деятельности, государственные, финансовые и
налоговые органы.
Все это определяет важность
проведения оценки финансового положения организации и повышает роль данной оценки
в экономическом процессе. Анализ финансового состояния организации выступает
элементом как финансового менеджмента в организации, так и ее экономических
взаимоотношений с партнерами, финансово-кредитной системой страны.
Оценка финансового положения организации
необходима для:
определения факторов, которые влияют
на финансовое состояние организации;
выявления изменений показателей
финансового состояния;
оценки количественных и качественных
изменений финансового состояния;
оценки финансового положения организации
на определенную дату;
определения тенденций изменения
финансового положения организации.
Цель данной работы состоит в
изучении процесса анализа финансового состояния организации.
Исходя из поставленной цели, можно
выделить следующие задачи:
1. рассмотреть понятие и сущность
финансового состояния предприятия;
2. изучить систему показателей
оценки финансового состояния организации;
. дать общую характеристику
ЗАО «ЧЗМК»;
. проанализировать структуру
бухгалтерского баланса и отчета о прибылях и убытках ЗАО «ЧЗМК»;
. оценить финансовое
состояние ЗАО «ЧЗМК»;
. разработать рекомендации по
улучшению финансового состояния ЗАО «ЧЗМК».
Предметом данной работы выступает
совокупность показателей, отражающих процесс формирования и использования
финансовых средств предприятия.
Объектом данной работы выступает ЗАО
«ЧЗМК».
Цель и задачи, представленные при
рассмотрении выбранной темы, обусловили выбор следующей структуры работы.
Работа состоит из введения, основной части, которая делится на три главы и
заключения.
Первая глава «Теоретические основы
оценки финансового состояния организации» состоит из двух параграфов, в которых
рассматриваются понятие и сущность финансового состояния предприятия, а также
система показателей оценки финансового состояния организации.
Вторая глава «Оценка финансового
состояния ЗАО «ЧЗМК» состоит из трех параграфов, в которых дается общая
характеристика ЗАО «ЧЗМК», производится анализ структуры его бухгалтерского
баланса и отчета и прибылях и убытках, а также производится оценка его текущего
финансового состояния и расчет коэффициентов рентабельности.
В третьей главе «Пути улучшения
финансового состояния ЗАО «ЧЗМК» на основании проведенного анализа
разрабатываются пути улучшения его финансового состояния.
Теоретической основой работы послужила
научная литература таких авторов как Алексеева А.И., Васильев Ю.В., Балашов
А.П., Банк В.Р., Банк С.В., Тараскина А.В., Беляцкий Н.П., Веснин В.Р.,
Виханский О.С., Гаврилова А.Н., Попов А.А., Ионова А.Ф, Селезнева Н.Н., Ковалев
В.В., Николаева Т.П., Шадрина Г.В., Шуляк П.Н. и других.
Практическая направленность данной
работы состоит в возможности применения изложенного материала для более
глубокого изучения студентами, аспирантами, менеджерами, управляющими
организаций, государственными служащими и многими другими.
1.
Теоретические основы оценки финансового состояния организации
1.1 Понятие и сущность
финансового состояния организации
Под финансовым состоянием
организации понимается его способность финансировать свою деятельность.
Финансовое состояние организации определяет конкурентоспособность организации,
ее потенциал в деловом сотрудничестве, позволяет оценить, в какой степени
гарантированы экономические интересы самого предприятия и его партнеров.
Финансовое состояние организации отражает конечные результаты ее деятельности,
характеризующиеся определенной совокупностью показателей, которые интересуют
различные группы пользователей: менеджеров организации, и в первую очередь
финансовых менеджеров; персонала организации; собственников предприятия, в том
числе его акционеров; кредиторов и инвесторов; поставщиков и покупателей;
государство в лице налоговых органов и др. [3, с. 102]
Финансовое состояние организации
характеризуется обеспеченностью финансовыми ресурсами, которые необходимы для
нормального функционирования организации, целесообразностью их размещения и
эффективностью использования, финансовой устойчивостью и платежеспособностью, а
также финансовыми взаимоотношениями с другими физическими и юридическими
лицами.
Финансовое состояние организации
может быть абсолютным, нормальным, неустойчивым и кризисным. О нормальном
финансовом состоянии организации свидетельствует ее способность своевременно
производить платежи, финансировать свою производственную, финансовую и
хозяйственную деятельность.
Финансовое состояние организации
непосредственно зависит от конечных результатов ее деятельности. Выполнение
производственного и финансового планов положительно влияет на финансовое
положение организации. И наоборот, в результате недовыполнения плана по производству
и реализации продукции происходит повышение себестоимости выпускаемой
продукции, уменьшение выручки и суммы прибыли, и как следствие - ухудшение
финансового положения организации и ее платежеспособности. [5, с. 186]
Нормальное (устойчивое) финансовое
положение организации в свою очередь положительно влияет на выполнение
производственных планов и обеспечение нужд производства необходимыми ресурсами.
Из этого следует, что финансовая деятельность направлена на обеспечение
планомерного поступления и расходования денежных средств, выполнение расчетной
дисциплины, достижение рациональных пропорций собственного и заемного капитала
и наиболее эффективного его использования.
Основной целью оценки финансового
положения организации является выявление основных факторов, которые оказывают
влияние на финансовое положение организации, а также для того, чтобы сделать
прогноз тенденций изменения результатов деятельности и разработки стратегий
развития бизнеса.
Оценка финансового положения
организации проводится посредством оценки структуры и состава активов
организации, их движения и состояния, оценки состава и структуры источников
собственного и заемного капитала, анализа характеристик и свойств финансовой
устойчивости организации. Посредствам финансового анализа можно выявить сильные
и слабые стороны финансового механизма бизнеса и предсказать наиболее вероятное
его развитие. Также анализ предполагает разработку решений для снижения или
полного устранения рисков.
Основными задачами оценки
финансового положения организации являются:
. Оценка динамики состава и
структуры активов организации;
. Оценка состояния и структуры
источников собственного и заемного капитала организации;
. Анализ абсолютных и относительных
показателей финансовой устойчивости организации;
. Анализ платежеспособности
организации, ликвидности активов её бухгалтерского баланса. [14, с. 489-491]
Таким образом, под финансовым
состоянием организации понимается ее способность финансировать свою
деятельность. Оно характеризуется обеспеченностью финансовыми ресурсами,
необходимыми для нормального функционирования предприятия, целесообразностью их
размещения и эффективностью использования, финансовыми взаимоотношениями с
другими юридическими и физическими лицами, платежеспособностью и финансовой
устойчивостью. Финансовое состояние может быть устойчивым, неустойчивым и
кризисным Оценка финансового состояния предприятия осуществляется с целью
выявления основных факторов, оказывающих влияние на финансовую благо
состоятельность компании, а также для того, чтобы сделать прогноз тенденций
изменения роста и разработки стратегий развития бизнеса.
1.2 Система показателей
оценки финансового состояния организации
Финансовое состояние организации
характеризуют показатели ликвидности и финансовой устойчивости. Они рассчитываются
по бухгалтерскому балансу. Любое мероприятие, проводимое организацией,
отражается в ее бухгалтерском балансе, а значит, на показателях финансового
состояния. [9, с. 154]
Анализ ликвидности бухгалтерского
баланса позволяет оценить платежеспособность организации, возможность
расплачиваться по долгам за счет ликвидных активов.
При анализе ликвидности:
) составляется и анализируется
баланс ликвидности, при этом активы предприятия делятся на 4 группы:
Первая группа: А1 - наиболее
ликвидные активы, к которым относятся денежные средства и краткосрочные
финансовые вложения (если они ликвидные).
Вторая группа: А2 -
быстрореализуемые активы, к которым относят дебиторскую задолженность.
Третья группа: А3 - медленно
реализуемые активы, к которым относят запасы и долгосрочные финансовые
вложения, кроме вложений в уставные капиталы.
Четвертая группа: А4 -
труднореализуемые, к которым относят все остальные активы.
Пассивы также делятся на 4 группы по
срочности обязательств:
Первая группа: П1 - наиболее срочные
обязательства, к которым относится кредиторская задолженность.
Вторая группа: П2 - краткосрочные
обязательства.
Третья группа: П3 - долгосрочные
обязательства.
Четвертая группа: П4 - собственный
капитал.
Если А - П > 0 , то наблюдается
платежный излишек.
Если А - П < 0, то наблюдается
платежный недостаток. [22, с. 602-603]
) рассчитываются и анализируются
коэффициенты ликвидности, которые определяются соотношением ликвидных активов
организации и ее краткосрочных обязательств.
. коэффициент текущей ликвидности
показывает, насколько покрываются краткосрочные обязательства оборотными
активами организации.

(1)

(2)
Коэффициент текущей
ликвидности должен быть от 1 до 2.
2. Коэффициент срочной ликвидности
показывает, насколько организация способна расплатиться по своим краткосрочным
долгам при условии взыскания дебиторской задолженности.

(3)

(4)
Должен быть больше или равен 1.
. Коэффициент абсолютной ликвидности
показывает, какую часть краткосрочной задолженности организация может погасить
немедленно, за счет имеющихся средств.

(5)
Должен быть = 0, 20 - 0,
25. [17, с. 125-126]
Финансовая устойчивость
характеризуется соотношением собственных и заемных средств в пассиве
бухгалтерского баланса организации. Чем больше доля собственных средств, тем
выше финансовая устойчивость организации. При анализе финансовой устойчивости
(ФУ):
определяется тип финансовой
устойчивости. Тип финансовой устойчивости предприятия определяется тем, за счет
какого источника финансируются запасы предприятия. Можно выделить 3 типа
источников финансирования запасов организации:
. собственные оборотные средства:
СОС = СК - ВА (7)
где СК - собственный капитал; ВА -
внеоборотные активы.
. функционирующий (работающий)
капитал или чистый оборотный капитал:
ФК = СК + ДО - ВА (8)
где ДО - долгосрочные обязательства
. общая величина основных источников
финансирования запасов:
ОИ = СК + ДО + КО - ВА (9)
где КО - краткосрочные
обязательства.
В зависимости от того, каких
источников достаточно для финансирования запасов. Выделяют 4 типа финансовой
устойчивости организации:
) З ≤ СОС - абсолютная
финансовая устойчивость;
) ФК ≥ З ≥ СОС -
нормальная финансовая устойчивость;
) ОИ ≥ З ≥ ФК -
неустойчивое состояние;
) З ≥ ОИ - кризисное
финансовое состояние. [16, с. 382-383]
рассчитываются и анализируются
коэффициенты финансовой устойчивости.
Коэффициенты финансовой устойчивости
определяются соотношением источников финансирования активов организации и
собственных и заемных средств.
. коэффициент независимости,
определяется соотношением собственного капитала и итога бухгалтерского баланса:

(10)
Данный коэффициент
показывает, какая доля активов профинансирована за счет собственных источников.
Нормальный уровень коэффициента финансовой независимости больше или равен 0,6.
. коэффициент финансовой
зависимости является обратным коэффициенту финансовой независимости и
определяется по формуле:

(11)
Данный коэффициент
должен быть меньше или равен 1,7. Чем данный коэффициент больше, тем более
зависимо предприятие от заемных средств, кредиторов.
. коэффициент
финансового рычага:

(12)
Данный коэффициент
показывает, сколько заемных средств привлекло предприятие на каждый рубль
собственных средств. Он должен быть меньше 0,7.
. коэффициент
обеспеченности собственными средствами:

(13)
Показывает, какая часть
оборотных активов профинансирована за счет собственных источников. Должен быть
больше или равен 0, 1.
. коэффициент
маневренности собственного капитала:

(14)
Данный коэффициент должен быть = 0,2
- 0,5. Он показывает, какая часть собственного капитала вложена в оборотные
средства. [1, с. 528-529]
Рентабельность выступает
относительным показателем экономической эффективности. Рентабельность
комплексно отражает степень эффективности использования материальных, трудовых
и денежных ресурсов, а также природных богатств. Коэффициент рентабельности
рассчитывается как отношение прибыли к активам, ресурсам или потокам, её
формирующим. Может выражаться как в прибыли на единицу вложенных средств, так и
в прибыли, которую несёт в себе каждая полученная денежная единица. Показатели
рентабельности часто выражают в процентах.
Рентабельность продаж - коэффициент
рентабельности, который показывает долю прибыли в каждом заработанном рубле.
Обычно рассчитывается как отношение чистой прибыли (прибыли после
налогообложения) за определённый период к выраженному в денежных средствах
объему продаж за тот же период.

(15)
Рентабельность продаж
является индикатором ценовой политики предприятия и его способности
контролировать издержки. Различия в конкурентных стратегиях и продуктовых
линейках вызывают значительное разнообразие значений рентабельности продаж в
различных компаниях. Часто используется для оценки операционной эффективности
компаний. Однако следует учитывать, что при равных значениях показателей
выручки, операционных затрат и прибыли до налогообложения у двух разных фирм
рентабельность продаж может сильно различаться, вследствие влияния объемов
процентных выплат на величину чистой прибыли.
Рентабельность продукции
рассчитывается как отношение прибыли от реализации к сумме затрат на
производство и реализацию продукции. Коэффициент показывает, сколько рублей
прибыли предприятие имеет с каждого рубля, затраченного на производство и
реализацию продукции.

(16)
Этот показатель может
рассчитываться как в целом по предприятию, так и по его отдельным
подразделениям или видам продукции.
Рентабельность основных
средств - отношение (чистой) прибыли к величине основных средств.

(17)
Рентабельность персонала
- отношение (чистой) прибыли к среднесписочной численности персонала.
Коэффициент базовой
прибыльности активов - отношение прибыли до уплаты налогов и процентов к
получению к суммарной величине активов.
Рентабельность активов
(RОА) - отношение операционной прибыли к среднему за период размеру суммарных
активов.
Рентабельность активов -
относительный показатель эффективности деятельности, частное от деления чистой
прибыли, полученной за период, на общую величину активов организации за период.
Один из финансовых коэффициентов, входит в группу коэффициентов рентабельности.
Показывает способность активов компании порождать прибыль.
Коэффициент
рентабельности активов (экономическая рентабельность активов) показывает сколько
приходится прибыли на каждый рубль, вложенный в имущество организации.
Рентабельность
собственного капитала - отношение чистой прибыли к среднему за период размеру
собственного капитала. Рентабельность собственного капитала - относительный
показатель эффективности деятельности, частное от деления чистой прибыли,
полученной за период, на собственный капитал организации. Один из финансовых
коэффициентов, входит в группу коэффициентов рентабельности. Показывает отдачу
на инвестиции акционеров с точки зрения учетной прибыли.
RОЕ = Чистая
прибыль/Собственный капитал * 100 % (21)
Таким образом,
финансовое состояние предприятия характеризуют показатели ликвидности и
финансовой устойчивости. Анализ ликвидности баланса позволяет оценить
платежеспособность предприятия, его возможность расплачиваться по долгам за
счет ликвидных активов. При анализе ликвидности: составляется и анализируется
баланс ликвидности, рассчитываются и анализируются коэффициенты ликвидности,
которые определяются соотношением ликвидных активов предприятия и его
краткосрочных обязательств. Финансовая устойчивость характеризуется
соотношением собственных и заемных средств в пассиве баланса предприятия.
Рентабельность выступает относительным показателем экономической эффективности
деятельности предприятия. Рентабельность комплексно отражает степень
эффективности использования материальных, трудовых и денежных ресурсов, а также
природных богатств.
2. Анализ финансового
состояния ЗАО «ЧЗМК»
.1 Краткая
характеристика ЗАО «ЧЗМК»
ЗАО «Челябинский завод
металлоконструкций» является одним из крупнейших заводов в области изготовления
стальных строительных и мостовых конструкций высокого качества и известен не
только в России, но и далеко за её пределами. Предприятие ведет свою историю с
августа 1942 года. В 1975 году выпуск конструкций достиг максимального годового
обьема - 127 195 тонн. В феврале 2007 года произведена пятимиллионная тонна со
дня основания завода. В настоящее время оптимальный объем изготовления
составляет 80 000 тонн конструкций в год.
С первых дней своего существования
Челябинский завод металлоконструкций является постоянным поставщиком
конструкций для возведения объектов черной металлургии. Более 25% продукции
завода составляют заказы для металлургической отрали промышленности. Завод
участвовал в возведении объектов на Магнитогорском, Челябинском, Череповецком,
Новолипецком металлургических комбинатах, Ново-Тульском, Ново-Краматорском,
Нижне-Тагильском металлургических заводах, Челябинском трубопрокатном заводе,
Первоуральском новотрубном заводе, на металлургических заводах Индии и других
стран.
Помимо возведения промышленных
объектов завод имеет большой опыт изготовления конструкций для сооружений
гражданского назначения, каркасов торгово-развлекательных комплексов, офисных
зданий, мостовых пролетных строений и т.д. особо следует отметить строительство
большепролетных спортивных сооружений. Уникальные конструкции были изготовлены
для покрытия Большой спортивной арены в Лужниках, конькобежного центра в
Крылатском, Ледового дворца на Ходынке, Всесезонного горнолыжного комплекса в
Подмосковье, крытого конькобежного центра «Уральская молния» (Челябинск) и
многих других.
В настоящее время ЗАО «ЧЗМК»
увеличивает объемы выпускаемой продукции, обеспечивая этим финансовую
стабильность и загрузку производственных мощностей предприятия, а также
соблюдая интересы и пожелания партнеров. Это подтверждается и тем, что в конце
2008 года международным центром инвестиционного консалтинга ЗАО «ЧЗМК» были
вручены ГРАН-ПРИ № DPG-1189/08, г.Москва «Добросовестный поставщик года» и
диплом № D-DP 1189/08, г.Москва «Добросовестный поставщик года» за выдающиеся
результаты в области управления, вклад в устойчивое развитие страны, финансовую
стабильность и гарантированное исполнение контрактов.
Успешно конкурировать на российском
рынке заводу помогает современный уровень технологий, высокоточное
оборудование, наличие высококвалифицированных кадров, неизменно высокое
качество выпускаемой продукции.
В 2002 году ЗАО «ЧЗМК» было
утверждено в качестве изготовителя сварных стальных конструкций в соответствии
с требованиями Регистра Ллойда. Используемые на заводе сварочные процессы
подтверждаются сертификатами каждые три года. Система менеджмента качества
соответствует требованиям международного стандарта ISО 9001:2008, что
подтверждено на основании проведенного аудита компанией «ТЮФ Интернациональ».
ЗАО «ЧЗМК» имеет лицензию на изготовление оборудования для атомных станций,
позволяющую производить: локализующие системы безопасности, элементы
радиационной и биологической защиты, опорные и несущие металлоконструкции,
сосуды, работающие под давлением, трубопроводы и их элементы.
ЗАО «Челябинский завод
металлоконструкций» сегодня - это сочетание крепких традиций, высокого
профессионализма и современных технологий. Завод успешно развивается в
соответствии с требованиями нового времени, обновляя производственное
оборудование, используя новейшие технологии проектирования и изготовления
стальных конструкций.
Основные направления
производственной деятельности ЗАО «ЧЗМК»:
. Изготовление стальных строительных
и технологических конструкций для промышленных зданий и сооружений.
. Изготовление стальных строительных
конструкций для сооружений гражданского назначения, в том числе каркасы
торгово-развлекательных комплексов, офисных зданий, спортивно-оздоровительных
центров, и т.п.
. Изготовление единичных,
уникальных, крупногабаритных конструкций, требующих высокой точности
изготовления.
. Изготовление металлоконструкций
мостовых пролетных строений.
. Изготовление сварных двутавров из
листового проката.
. Изготовление одностенных
горизонтальных резервуаров с коническими днищами объемом от 25м3 до 100м3 в
наземном и подземном исполнении.
2.2 Анализ структуры
баланса и отчета о прибылях и убытках ЗАО «ЧЗМК»
Данные бухгалтерского баланса ЗАО
«ЧЗМК» за 2008-2010 гг. представлен в Приложении 1. Данные отчета о прибылях и
убытках ЗАО «ЧЗМК» за 2008-2010 гг. представлен в Приложении 2.
Анализ активов и пассивов
бухгалтерского баланса ЗАО «ЧЗМК» за 2008-2010 гг. представлен в Приложениях 3
и 4. Анализ структуры отчета о прибылях и убытках ЗАО «ЧЗМК» за 2009-2010 гг.
представлен в Приложении 5.
Анализ активов бухгалтерского
баланса показал, что за рассматриваемый период времени внеоборотные активы
возросли на 116206 тыс. руб. или на 30,65 %, оборотные активы возросли на
377361 тыс. руб. или 39,62 %. Динамика оборотных и внеоборотных активов ЗАО
«ЧЗМК» за 2008-2010 гг. представлена на рисунке 1.
Рисунок 1 -Динамика оборотных и
внеоборотных активов ЗАО «ЧЗМК»
Структура внеоборотных активов на
31.12.2010 г. ЗАО «ЧЗМК» представлена на рисунке 2.
Рисунок 2 - Структура внеоборотных
активов на 31.12.2010 г. ЗАО «ЧЗМК»
Как видно из рисунка 2, наибольший
удельный вес в структуре внеоборотных активов ЗАО «ЧЗМК» занимают основные
средства - 90 %, а также незавершенное строительство - 7 %.
Структура оборотных активов на
31.12.2010 г. ЗАО «ЧЗМК» представлена на рисунке 3.
Рисунок 3 - Структура внеоборотных
активов на 31.12.2010 г. ЗАО «ЧЗМК»
Как видно из рисунка 3, наибольший
удельный вес в структуре оборотных активов ЗАО «ЧЗМК» занимают запасы - 54 %, а
также дебиторская задолженность (платежи по которой ожидаются в течение 12
месяцев) - 42 %.
Анализ пассива баланса ЗАО «ЧЗМК»
показал, что за рассматриваемый промежуток времени капитал и резервы снизились
на 329543 тыс. руб. или на -32,00%, долгосрочные обязательства предприятия
возросли на 80841 тыс. руб. или 4,17 п.п., краткосрочные обязательства
увеличились на 742269 тыс. руб. или 34,80 п.п..
Динамика капитала ЗАО «ЧЗМК» за
2008-2010 гг. представлена на рисунке 4.
Рисунок 4 -Динамика капитала ЗАО
«ЧЗМК»
Структура капитала и резервов ЗАО
«ЧЗМК» на 31.12.2010г. представлена на рисунке 5.
Рисунок 5 - Структура капитала и
резервов ЗАО «ЧЗМК» на 31.12.2010г.
Как видно из рисунка 5, наибольший
удельный вес в структуре капитала ЗАО «ЧЗМК» занимает нераспределенная прибыль
- 85 %, далее идет резервный капитал - 10 % и уставный капитал - 5 %.
Динамика долгосрочных и
краткосрочных обязательств ЗАО «ЧЗМК» за 2008-2010 гг. представлена на рисунке
6.
Рисунок 6 - Динамика долгосрочных и
краткосрочных обязательств ЗАО «ЧЗМК»
Анализ отчета о прибылях и убытках
ЗАО «ЧЗМК» за 2009-2010 гг. (Приложение 5) показал, что выручка организации за
анализируемый период времени снизилась на 317822 тыс. руб. или 13,97%,
себестоимость увеличилась на 337615 тыс. руб. или 18,11%, валовая прибыль увеличилась
на 23490 тыс. руб. или 18,68%, данное увеличение валовой прибыли произошло в
основном за счет сокращения управленческих и коммерческих расходов. Чистая
прибыль увеличилась на 22192 тыс. руб. или 23,65%.
Таким образом, анализ активов
бухгалтерского баланса показал, что за рассматриваемый период времени
внеоборотные активы возросли на 116206 тыс. руб. или на 30,65 %, оборотные
активы возросли на 377361 тыс. руб. или 39,62 %. Анализ пассива баланса ЗАО
«ЧЗМК» показал, что за рассматриваемый промежуток времени капитал и резервы
снизились на 329543 тыс. руб. или на -32,00%, долгосрочные обязательства
предприятия возросли на 80841 тыс. руб. или 4,17 п.п., краткосрочные
обязательства увеличились на 742269 тыс. руб. или 34,80 п.п. Анализ отчета о
прибылях и убытках ЗАО «ЧЗМК» за 2009-2010 гг. показал, что выручка организации
за анализируемый период времени снизилась на 317822 тыс. руб. или 13,97%,
себестоимость увеличилась на 337615 тыс. руб. или 18,11%, валовая прибыль
увеличилась на 23490 тыс. руб. или 18,68%, данное увеличение валовой прибыли
произошло в основном за счет сокращения управленческих и коммерческих расходов.
Чистая прибыль увеличилась на 22192 тыс. руб. или 23,65%.
2.3 Оценка финансового
состояния ЗАО «ЧЗМК»
Анализ ликвидности баланса позволяет
оценить платежеспособность предприятия, его возможность расплачиваться по
долгам за счет ликвидных активов. Произведем анализ ликвидности баланса ЗАО
«ЧЗМК» на 31.12.2010 г.
При анализе ликвидности:
составляется и анализируется баланс
ликвидности, при этом активы предприятия делятся на 4 группы:
А1 2010= 8660 + 42260 =
50920 тыс. руб.
А2 2010 = 561564 тыс.
руб.
А3 2010 = 713754 + 3635 =
717389 тыс. руб.
А4 2010 = 495395 тыс.
руб.
Пассивы также делятся на 4 группы по
срочности обязательств:
П1 2010= 887471 + 143792
= 1031263 тыс. руб.
П2 2010= 0 тыс. руб.
П3 2010= 93571 тыс. руб.
П4 2010= 700434 тыс. руб.
Таблица 1 - Перегруппированный
баланс активов и пассивов ЗАО «ЧЗМК» на 31.12.2010 г.
|
Наименование группы актива
|
Сумма, тыс. руб.
|
Наименование группы пассива
|
Сумма, тыс. руб.
|
|
А1
|
50920
|
П1
|
1031263
|
|
А2
|
561564
|
П2
|
0
|
|
А3
|
717389
|
П3
|
93571
|
|
А4
|
495395
|
П4
|
700434
|
|
Баланс
|
1825268
|
Баланс
|
1825268
|
- рассчитываются и анализируются
коэффициенты ликвидности: они определяются соотношением ликвидных активов
предприятия и его краткосрочных обязательств.
. коэффициент текущей ликвидности
показывает, насколько покрываются краткосрочные обязательства оборотными
активами организации.
. Коэффициент срочной ликвидности
показывает, насколько организация способна расплатиться по своим краткосрочным
долгам при условии взыскания дебиторской задолженности.

Должен быть = 0, 20 - 0, 25.
Финансовая устойчивость
характеризуется соотношением собственных и заемных средств в пассиве
бухгалтерского баланса организации. Чем больше доля собственных средств, тем
выше финансовая устойчивость организации. При анализе финансовой устойчивости
(ФУ):
определяется тип финансовой
устойчивости. Тип финансовой устойчивости предприятия определяется тем, за счет
какого источника финансируются запасы предприятия. Можно выделить 3 типа
источников финансирования запасов организации:
. собственные оборотные средства:
СОС = 700434 - 495395 = 205039 тыс.
руб.
. функционирующий (работающий)
капитал или чистый оборотный капитал:
ФК = 700434 + 93571 - 495395 = 298
610 тыс. руб.
3. общая величина основных
источников финансирования запасов:
ОИ = 700434 + 93571 + 1031263-
495395 = 1 329 873 тыс. руб.
Так как запасы (713774 тыс. руб.)
меньше величины основных источников финансирования запасов (1329873 тыс. руб.),
но больше функционирующего капитала, то предприятие ЗАО «ЧЗМК» имеет
неустойчивое финансовое состояние.
рассчитываются и анализируются
коэффициенты финансовой устойчивости.
Коэффициенты финансовой устойчивости
определяются соотношением источников финансирования активов организации и
собственных и заемных средств.
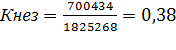
. коэффициент независимости,
определяется соотношением собственного капитала и итога бухгалтерского баланса:

Данный коэффициент
показывает, что 38 % активов профинансировано за счет собственных источников.
. коэффициент финансовой
зависимости является обратным коэффициенту финансовой независимости и
определяется по формуле:
Данный коэффициент
показывает, что ЗАО «ЧЗМК» сильно зависимо от заемных средств, кредиторов.
. коэффициент
финансового рычага:

Данный коэффициент
показывает, что 1,6 руб. заемных средств привлекло предприятие на каждый рубль
собственных средств.
. коэффициент
обеспеченности собственными средствами:
Данный коэффициент
показывает, что 15 % оборотных активов профинансирована за счет собственных
источников.
. коэффициент
маневренности собственного капитала:
Данный коэффициент показывает, что
29 % собственного капитала вложена в оборотные средства.
Рентабельность выступает
относительным показателем экономической эффективности. Рентабельность
комплексно отражает степень эффективности использования материальных, трудовых
и денежных ресурсов, а также природных богатств.
Определим коэффициент рентабельности
производства:
Коэффициент рентабельности
производства показал, что на каждый рубль из выручки приходится 6 копеек
прибыли.
Определим коэффициент рентабельности
продукции:

Коэффициент
рентабельности продукции показал, что на каждый затраченный рубль пришлось 7
копеек чистой прибыли.
Определим коэффициент
рентабельности основных средств:

Коэффициент
рентабельности основных средств показал, что на каждый рубль, вложенный в
основные средства, пришлось 23 копейки чистой прибыли.
Определим коэффициент
рентабельности активов:
Коэффициент
рентабельности активов (экономическая рентабельность активов) показывает, что 6
копеек прибыли приходится на каждый рубль, вложенный в имущество организации.
Определим коэффициент
рентабельности собственного капитала:
RОЕ = 116033/700434* 100
%=16 %
Коэффициент
рентабельности собственного капитала показал, что на каждый рубль вложенный в
капитал организиции пришлось 16 копеек чистой прибыли.
Таким образом, проведенный анализ
финансового состояния ЗАО «ЧЗМК» показал, что предприятие имеет неустойчивое
финансовое состояние. Рассчитанные коэффициенты финансовой устойчивости
показывают, что 38 % активов ЗАО «ЧЗМК» профинансировано за счет собственных
источников; 1,6 руб. заемных средств ЗАО «ЧЗМК» привлекло на каждый рубль
собственных средств; 15 % оборотных активов профинансировано за счет
собственных источников; 29 % собственного капитала вложено в оборотные
средства, а также что ЗАО «ЧЗМК» сильно зависимо от заемных средств,
кредиторов.
3.
Пути улучшения финансового состояния ЗАО
«ЧЗМК»
Анализ финансового состояния ЗАО
«ЧЗМК» показал, что предприятие имеет неустойчивое финансовое положение. В
связи с этим разработаем основные направления улучшения финансового состояния
данного предприятия.
Динамика и уровень финансовых
результатов ЗАО «ЧЗМК» свидетельствуют о снижении прибыли, следовательно,
необходимо повышение уровня и динамики финансовых результатов деятельности
организации. Это возможно за счет:
роста выручки и прибыли от
реализации услуг;
снижения затрат на оказание услуг
(себестоимости);
улучшения качества оказываемых услуг
организации.
Для улучшения финансового положения
ЗАО «ЧЗМК» необходимо формирование оптимальной политики привлечения новых
финансовых ресурсов:
финансирование за счет долгосрочных
кредитов, этот вариант является наиболее оптимальным, поскольку имеет меньший
риск ликвидности (в то же время, стоимость долга не должна быть высокой);
кредиты организации должны быть
возвращены в установленные сроки (следует учесть, что в отдельных случаях организация
может применять метод финансирования текущей деятельности за счет откладывания
выплат по обязательствам).
Также необходимо совершенствовать
управление капиталом, вложенным в основные и оборотные средства.
Основными направлениями улучшения
управления оборотными средствами ЗАО «ЧЗМК» являются поддержание показателей
высокой оборачиваемости, снижение материалоемкости и затрат различных видов
ресурсов на производство и др., применение научнообоснованных методов расчета
потребности в оборотном капитале, соблюдение установленных нормативов,
увеличение доли активов с минимальным риском вложения (денежные средства,
дебиторская задолженность за вычетом сомнительной).
Для эффективного управления
финансовыми рисками ЗАО «ЧЗМК» должно разрабатывать и применять действенные
механизмы минимизации финансовых рисков (кредитных, процентных, валютных,
упущенной выгоды, потери ликвидности и т.д.) такие как страхование, передача
риска через заключение контракта, лимитирование финансовых расходов,
диверсификация капитальных вложений, расширение видов деятельности и т.д.
Необходимо внедрение системы
бизнес-планирования и бюджетирования. Вопросы рациональности систем
бюджетирования и бизнес-планирования, в общем, могут быть сведены к следующим
трем основным направлениям: организационная структура систем, регламентация
систем, информация систем. Также об эффективности данных систем следует судить
по уровню достижения ряда показателей, таких как оптимальная координация
деятельности, управляемость и адаптивность организации к изменениям внутренней
и внешней среды, оптимизация внутреннего контроля, высокая мотивация работы
менеджеров и т.д.
Система безналичных расчетов ЗАО
«ЧЗМК» (процедуры, формы, сроки и т.д.) соответствует законодательству
Российской Федерации. В основном, своевременно и в полной мере выполняются
платежные обязательства организации перед различными кредиторами
(организациями, банками, финансово-кредитными институтами) и работниками
предприятия. Также своевременно и в полной мере погашаются обязательства дебиторов
и собственных работников перед организацией.
Таким образом, одним из наиболее
оптимальных путей улучшения финансового состояния ЗАО «ЧЗМК» является
совершенствование качества услуг, которые предоставляются потребителям, а также
рост выручки от реализации данных услуг. Для реализации более эффективной
политики необходимо разработать стратегию, в соответствии с которой предприятие
будет привлекать заёмные средства. Также необходимо разработать план, в
соответствии с которым предприятие будет гасить свои долги. Еще один из путей
улучшения финансового состояния предприятия - это ускорение оборачиваемости
средств предприятия, а также уменьшение затрат на производство продукции или
предоставления услуг, без потери качества. При поиске путей улучшения финансового
состояния предприятия стоит рассмотреть состояние имущества, которое находится
в собственности предприятия. Возможно, помещения и оборудование, которое
находится в собственности предприятия, может быть использовано с большей
эффективностью. При разработке путей улучшения финансового состояния
предприятия нужно применять различные методы оценки рисков, которые позволят
минимизировать возможные убытки предприятия. Также руководству предприятия
стоит внедрить систему управленческого учета, которая позволит не только
эффективно контролировать, но и управлять производственными процессами
компании. Одной из основных задач на пути улучшения финансового состояния
предприятия является оптимизация бизнес - процессов, которые происходят на
предприятии. Как правило, для поиска путей улучшения финансового состояния
предприятия многие руководители компаний обращаются в аудиторские или
консалтинговые компании, которые могут дать экспертную оценку и порекомендовать
наилучшие пути оптимизации работы предприятия.
Заключение
Под финансовым состоянием понимается
способность предприятия финансировать свою деятельность. Оно характеризуется
обеспеченностью финансовыми ресурсами, необходимыми для нормального
функционирования предприятия, целесообразностью их размещения и эффективностью
использования, финансовыми взаимоотношениями с другими юридическими и
физическими лицами, платежеспособностью и финансовой устойчивостью. Финансовое
состояние может быть устойчивым, неустойчивым и кризисным.
Оценка финансового состояния
предприятия осуществляется с целью выявления основных факторов, оказывающих
влияние на финансовую благо состоятельность компании, а также для того, чтобы
сделать прогноз тенденций изменения роста и разработки стратегий развития
бизнеса.
Финансовое состояние предприятия
характеризуют показатели ликвидности и финансовой устойчивости. Анализ
ликвидности баланса позволяет оценить платежеспособность предприятия, его
возможность расплачиваться по долгам за счет ликвидных активов. При анализе
ликвидности: составляется и анализируется баланс ликвидности, рассчитываются и
анализируются коэффициенты ликвидности, которые определяются соотношением
ликвидных активов предприятия и его краткосрочных обязательств. Финансовая
устойчивость характеризуется соотношением собственных и заемных средств в
пассиве баланса предприятия.
В данной работе мы произвели оценку
финансового состояния ЗАО «ЧЗМК». ЗАО «Челябинский завод металлоконструкций»
является одним из крупнейших заводов в области изготовления стальных
строительных и мостовых конструкций высокого качества и известен не только в
России, но и далеко за её пределами.
Основные направления
производственной деятельности ЗАО «ЧЗМК»:
. Изготовление стальных строительных
и технологических конструкций для промышленных зданий и сооружений.
. Изготовление стальных строительных
конструкций для сооружений гражданского назначения, в том числе каркасы
торгово-развлекательных комплексов, офисных зданий, спортивно-оздоровительных
центров, и т.п.
. Изготовление единичных,
уникальных, крупногабаритных конструкций, требующих высокой точности
изготовления.
. Изготовление металлоконструкций
мостовых пролетных строений.
. Изготовление одностенных
горизонтальных резервуаров с коническими днищами объемом от 25м3 до 100м3 в
наземном и подземном исполнении.
Анализ активов бухгалтерского
баланса показал, что за рассматриваемый период времени внеоборотные активы
возросли на 116206 тыс. руб. или на 30,65 %, оборотные активы возросли на
377361 тыс. руб. или 39,62 %.
Анализ пассива баланса ЗАО «ЧЗМК»
показал, что за рассматриваемый промежуток времени капитал и резервы снизились
на 329543 тыс. руб. или на -32,00%, долгосрочные обязательства предприятия
возросли на 80841 тыс. руб. или 4,17 п.п., краткосрочные обязательства
увеличились на 742269 тыс. руб. или 34,80 п.п.
Анализ отчета о прибылях и убытках
ЗАО «ЧЗМК» за 2009-2010 гг. показал, что выручка организации за анализируемый
период времени снизилась на 317822 тыс. руб. или 13,97%, себестоимость
увеличилась на 337615 тыс. руб. или 18,11%, валовая прибыль увеличилась на
23490 тыс. руб. или 18,68%, данное увеличение валовой прибыли произошло в
основном за счет сокращения управленческих и коммерческих расходов. Чистая
прибыль увеличилась на 22192 тыс. руб. или 23,65%.
Проведенный анализ финансового
состояния ЗАО «ЧЗМК» показал, что предприятие имеет неустойчивое финансовое
состояние. Рассчитанные коэффициенты финансовой устойчивости показывают, что 38
% активов ЗАО «ЧЗМК» профинансировано за счет собственных источников; 1,6 руб.
заемных средств ЗАО «ЧЗМК» привлекло на каждый рубль собственных средств; 15 %
оборотных активов профинансировано за счет собственных источников; 29 %
собственного капитала вложено в оборотные средства, а также что ЗАО «ЧЗМК»
сильно зависимо от заемных средств, кредиторов.
Одним из наиболее значимых путей
улучшения финансового состояния предприятия является совершенствование качества
услуг, которые предоставляются потребителям, а также рост выручки от реализации
услуг. Для реализации более эффективной политики необходимо разработать
стратегию, в соответствии с которой предприятие будет привлекать заёмные
средства. Также необходимо разработать план, в соответствии с которым
предприятие будет гасить свои долги. Еще один из путей улучшения финансового
состояния предприятия - это ускорение оборачиваемости средств предприятия, а
также уменьшение затрат на производство продукции или предоставления услуг, без
потери качества. При поиске путей улучшения финансового состояния предприятия
стоит рассмотреть состояние имущества, которое находится в собственности
предприятия. Возможно, помещения и оборудование, которое находится в
собственности предприятия, может быть использовано с большей эффективностью.
Также руководству предприятия стоит внедрить систему управленческого учета,
которая позволит не только эффективно контролировать, но и управлять
производственными процессами компании. Одной из основных задач на пути
улучшения финансового состояния предприятия является оптимизация бизнес -
процессов, которые происходят на предприятии.
Список использованной литературы
.Алексеева А.И., Васильев Ю.В. и др. Комплексный экономический
анализ хозяйственной деятельности. - М.: КноРус, 2008. - 672 с.
.Балашов А.П. Основы менеджмента: учеб. пособие. - М.: Вузовский
учебник, 2008. - 288с.
.Банк В.Р., Банк С.В., Тараскина А.В. Финансовый анализ: учеб.
пособие. - М.: ТК Велби, Изд-во Проспект, 2010. - 344 с.
.Беляцкий Н.П. Менеджмент: Деловая карьера: учеб. пособие. -
Минск: Высшая школа, 2009. - 302 с.
.Бердникова Т.Б. Анализ и диагностика финансово-хозяйственной
деятельности предприятия. - М.: Инфра-М, 2007. - 215 с.
.Блинов А.О. Искусство управления персоналом: учеб. пособие. - М.:
Гелан, 2008. - 411 с.
.Бороненкова С.А. Управленческий анализ: учеб. пособие / М.:
Финансы и статистика, 2009. - 384 с.
.Бочаров В.В. Финансовый анализ. Краткий курс. - СПб.: Питер,
2009. - 240 с.
.Бурмистрова Л.М. Финансы организаций (предприятий). - М.:
Инфра-М, 2009. - 240 с.
.Васильева Л.С., Петровская М.В. Финансовый анализ. - М.: КноРус, 2010.
- 544 с.
.Веснин В.Р. Практический менеджмент. - М.: ЮРИСТЬ, 2008. - 98 с.
.Виханский О.С. Практикум по курсу «Менеджмент» / О.С. Виханский,
А.И. Наумов; под ред. А.И. Наумова. - М.: Гардарики, 2009. - 288 с.
.Виханский О.С., Наумов А.И. Менеджмент: учебник.- М.: Экономист,
2009. - 528 с.
.Гаврилова А.Н., Попов А.А. Финансы организаций (предприятий). -
М.: КНОРУС, 2007. - 608 с.
.Гиляровская Л.Т. и др. Комплексный экономический анализ
хозяйственной деятельности. - М.: ТК Велби, Проспект, 2010. - 360 с.
.Ионова А.Ф, Селезнева Н.Н. Финансовый анализ. - М.: ТК Велби,
Проспект, 2010. - 624 с.
.Канке А.А, Кошевая И.П. Анализ финансово-хозяйственной
деятельности предприятия. - М.: Форум: ИНФРА-М, 2007. - 288 с.
.Ковалев В. В., Ковалев Вит. В. Финансы организаций (предприятий).
- М.: ТК Велби, Проспект, 2010. - 352 с.
.Ковалев В.В. Финансовый анализ: методы и процедуры. - М.: Финансы
и статистика, 2010. - 560 с.
.Ковалев В.В., Волкова О.Н. Анализ хозяйственной деятельности
предприятия. - М.: ТК Велби, 2009. - 424 с.
.Колчиной Н.В. Финансы организаций (предприятий). - М.:
Юнити-Дана, 2007. - 383 с.
.Костирко Р.О. Финансовый анализ. - Харьков: Фактор, 2007. - 784
с.
.Лиференко Г.Н. Финансовый анализ предприятия. - М.: Экзамен,
2010. - 160 с.
.Лысенко Д.В. Комплексный экономический анализ хозяйственной
деятельности. - М.: Инфра-М, 2008. - 320 с.
.Мельник М.В., Герасимова Е.Б. Анализ финансово-хозяйственной
деятельности предприятия. - М.: Форум: ИНФРА-М, 2008. - 192 с.
.Николаева Т.П. Финансы предприятий. - М.: ММИЭИФП, 2003. - 158 с.
.Новашина Т.С. Финансовый анализ. - М.: МФПА, 2005. - 192 с.
.Пястолов С.М. Анализ финансово-хозяйственной деятельности
предприятия. - М.: Академия, 2004. - 336 с.
.Савицкая Г.В. Анализ хозяйственной деятельности предприятия. -
М.: Инфра-М, 2009. - 536 с.
.Хелферт Э. Техника финансового анализа. - СПб.: Питер, 2003. -
640 с.
.Чуев И.Н, Чуева Л.Н. Комплексный экономический анализ
хозяйственной деятельности. - М.: Дашков и К, 2010. - 368 с.
.Шадрина Г.В. Комплексный экономический анализ хозяйственной
деятельности. - М.: ММИЭИФП, 2009. - 138 с.
.Шуляк П.Н. Финансы предприятия. - М.: Дашков и К, 2008. - 712 с.