Пути улучшения финансового состояния ЗАО 'Параллель 2000'
ОГЛАВЛЕНИЕ
ВВЕДЕНИЕ
. ТЕОРЕТИЧЕСКИЕ АСПЕКТЫ ОЦЕНКИ
ФИНАНСОВОГО СОСТОЯНИЯ
.1 Понятие финансового состояния
организации
.2 Сущность анализа финансового
состояния организации
1.3 Методика анализа
финансового состояния организации
.4 Планирование
финансового состояния предприятия
2. ОЦЕНКА ФИНАНСОВОГО СОСТОЯНИЯ ЗАО
«ПАРАЛЛЕЛЬ 2000»
.1 Краткая экономическая
характеристика финансово- хозяйственной деятельности ЗАО «Параллель 2000»
.2 Анализ баланса и финансовой
устойчивости ЗАО «Параллель 2000»
.3 Анализ ликвидность и деловой
активности ЗАО «Параллель 2000»
. ПУТИ УЛУЧШЕНИЯ ФИНАНСОВОГО
СОСТОЯНИЯ ОРГАНИЗАЦИИ
.1 Меры по улучшению финансовой
устойчивости организации
3.2 Пути улучшения
финансового состояния ЗАО «Параллель 2000»
ЗАКЛЮЧЕНИЕ
БИБЛИОГРАФИЧЕСКИЙ СПИСОК
ПРИЛОЖЕНИЯ
ВВЕДЕНИЕ
Финансовое состояние любого хозяйствующего
субъекта свидетельствует о степени его финансовой конкурентоспособности. Оно
характеризует использование финансовых ресурсов и капитала, выполнение
обязательств перед другими хозяйствующими субъектами, в том числе перед
государством. Хозяйственная деятельность начинается с вложения денежных
средств, протекает через движение этих средств и заканчивается результатами,
имеющими денежную оценку. Одна из основных задач финансового анализа - определение
оптимальной структуры имущества и источников его формирования, а также
оптимальной структуры финансовых результатов деятельности организации,
создающих условия для реализации социально-экономических целей.
По сути, финансовый анализ является комплексным
анализом всей хозяйственной деятельности любого хозяйствующего субъекта.
В современных условиях, когда
повышается самостоятельность предприятий и организаций в принятии и реализации
управленческих решений, а также степень их экономической и юридической ответственности
за результаты финансово-хозяйственной деятельности, возрастает и роль
финансового анализа в жизни организаций.
Финансовое состояние организации
определяет конкурентоспособность организации, ее потенциал в деловом
сотрудничестве, позволяет оценить, в какой степени гарантированы экономические
интересы самого предприятия и его партнеров. Финансовое состояние организации
отражает конечные результаты ее деятельности, характеризующиеся определенной
совокупностью показателей, которые интересуют различные группы пользователей:
менеджеров организации, и в первую очередь финансовых менеджеров; персонала
организации; собственников предприятия, в том числе его акционеров; кредиторов
и инвесторов; поставщиков и покупателей; государство в лице налоговых органов и
др.
Все вышеизложенное свидетельствует об
актуальности темы выпускной квалификационной работы.
Целью работы является анализ прибыли ЗАО
«Параллель 2000»
Задачами работы соответственно являются:
· рассмотрение понятия финансового
состояния организации;
· изучение сущности финансового
состояния организации;
· выявление методики анализа
финансового состояния организации;
· теоретическое рассмотрение основных
показателей анализа финансового состояния организации;
· анализ баланса и финансовой
устойчивости ЗАО «Параллель 2000»;
· анализ ликвидности и деловой
активности ЗАО «Параллель 2000».
Объектом исследования в данной дипломной работе
является финансовое состояние организации
Предметом исследования является оценка и пути
улучшения финансового состояния торгового предприятия.
Объектом наблюдения выступает ЗАО «Параллель
2000».
Источниками информации послужили данные годовых
отчетов о розничном товарообороте, отчет о прибылях и убытках, баланс
предприятия ЗАО «Параллель 2000».
В работе охвачен период деятельности предприятия
с 2008-2009 гг.
При написании работы широко использованы
материалы по такому предмету, как анализ хозяйственной деятельности. Так же в
работе были использованы труды Валевич Р.П., Кравченко Л.И., Раицкого К.А.,
Савицкой Г.В., Соломатин А.Н. и Фридман А.М. При написании работы использован
практический материал ЗАО «Новосибирскавтогаз».
Выпускная квалификационная работа состоит из
введения, трех глав и заключения.
В первой главе рассматриваются понятие,
содержание, цели и функции прибыли, подходы авторов к анализу финансового
состояния организации, а так же сделаны соответствующие выводы.
Во второй главе были рассмотрены и
проанализированы данные ЗАО «Параллель 2000», и сделаны выводы.
В третей главе предложены пути улучшения
финансового состояния ЗАО «Параллель 2000».
Общие выводы и оценка результатов по данной
работе отражены в заключении.
1.
ТЕОРЕТИЧЕСКИЕ АСПЕКТЫ ОЦЕНКИ ФИНАНСОВОГО СОСТОЯНИЯ
.1
Понятие финансового состояния организации
Под финансовым состоянием понимается способность
предприятия финансировать свою деятельность. Оно характеризуется
обеспеченностью финансовыми ресурсами, необходимыми для нормального
функционирования предприятия, целесообразностью их размещения и эффективностью
использования, финансовыми взаимоотношениями с другими юридическими и
физическими лицами, платежеспособностью и финансовой устойчивостью.
В современной отечественной экономической
литературе финансовое состояние субъекта хозяйствования трактуется с различных
позиций, при этом отсутствует единый методологический подход к его определению,
что затрудняет построение универсальных практических методик анализа [8].
Во-первых, финансовое состояние понимается как
точечная характеристика процесса кругооборота капитала по оси времени,
отражающая, также, способность предприятия к дальнейшему развитию:
Финансовое состояние предприятия - это
экономическая категория, отражающая состояние капитала в процессе его
кругооборота и способность субъекта хозяйствования к саморазвитию на
фиксированный момент времени [12].
Финансовое состояние предприятия характеризуется
составом и размещением средств, структурой их источников, скоростью оборота
капитала, способностью предприятия погашать свои обязательства в срок и в
полном объеме, а также другими факторами.
Во-вторых, финансовое состояние рассматривается
как характеристика размещения средств предприятия, его инвестиционной
деятельности; особо здесь подчеркивается планово - контрольный аспект данной
категории [7].
Финансовое состояние предприятий характеризует
размещение и использование средств предприятия. Оно обусловлено степенью
выполнения финансового плана и мерой пополнения собственных средств за счет
прибыли и других источников, если они предусмотрены планом, а также скоростью
оборота производственных фондов и особенно оборотных средств.
В-третьих, финансовое состояние может
трактоваться как платежеспособность предприятия:
Финансовое состояние предприятия -
обеспеченность или необеспеченность предприятия денежными средствами для
обеспечения его хозяйственной деятельности.
В-четвертых, финансовое состояние рассматривают
как составную часть экономического потенциала организации, отражающую
финансовые результаты деятельности организации:
Экономический потенциал - способность
предприятия достигать поставленные перед ним цели, используя имеющиеся у него
материальные, трудовые и финансовые ресурсы. Выделяют две стороны
экономического потенциала: имущественное положение коммерческой организации и
ее финансовое положение [20].
Финансовое положение определяется достигнутыми
за отчетный период финансовыми результатами и, кроме того, описывается
некоторыми статьями баланса, а также соотношениями между ними. При этом с
позиции краткосрочной перспективы говорят о ликвидности и платежеспособности
организации, а в долгосрочном плане - о финансовой устойчивости.
В-пятых, финансовое состояние понимают как
характеристику инвестиционной привлекательности предприятия, его
конкурентоспособности на финансовом рынке:
Финансовое состояние хозяйствующего субъекта -
это характеристика его финансовой конкурентоспособности (т.е.
платежеспособности, кредитоспособности), использования финансовых ресурсов и
капитала, выполнения обязательств перед государством и другими хозяйствующими
субъектами [40].
В-шестых, существует учетный подход к определению
финансового состояния как совокупности показателей финансовой отчетности
предприятия:
Финансовое состояние характеризуется
определенной совокупностью показателей, отраженных в балансе по состоянию на
определенную дату (начало и конец квартала, полугодия, девяти месяцев, года)
как остатки по конкретным счетам или комплексу счетов бухгалтерского учета.
Финансовое состояние организации характеризует, в самом общем виде, изменения в
размещении средств и источниках их покрытия (собственных или заемных) на конец
периода по сравнению с их началом.
Таким образом, финансовое состояние предприятия
можно определить как комплексную экономическую категорию, характеризующую на
определенную дату наличие у предприятия различных активов, размеры
обязательств, способность субъекта хозяйствования функционировать и развиваться
в изменяющейся внешней среде, текущую и будущую возможность удовлетворять
требования кредиторов а также его инвестиционную привлекательность [43].
Финансовое состояние может быть устойчивым,
неустойчивым и кризисным. Способность предприятия своевременно производить
платежи, финансировать свою деятельность на расширенной основе свидетельствует
о его хорошем финансовом состоянии.
Финансовое состояние предприятия (ФСП) зависит
от результатов его производственной, коммерческой и финансовой деятельности.
Если производственный и финансовый планы успешно выполняются, то это
положительно влияет на финансовое положение предприятия. И наоборот, в
результате недовыполнения плана по производству и реализации продукции
происходит повышение ее себестоимости, уменьшение выручки и суммы прибыли и как
следствие - ухудшение финансового состояния предприятия и его
платежеспособности [17].
Устойчивое финансовое положение в свою очередь
оказывает положительное влияние на выполнение производственных планов и
обеспечение нужд производства необходимыми ресурсами. Поэтому финансовая
деятельность как составная часть хозяйственной деятельности направлена на
обеспечение планомерного поступления и расходования денежных ресурсов, выполнение
расчетной дисциплины, достижение рациональных пропорций собственного и заемного
капитала и наиболее эффективного его использования [1].
.2
Сущность анализа финансового состояния организации
Главная цель анализа - своевременно выявлять и
устранять недостатки в финансовой деятельности и находить резервы улучшения
финансового состояния предприятия и его платежеспособности.
Финансовый анализ является
существенным элементом финансового менеджмента и аудита. Практически все
пользователи финансовых отчетов предприятий используют методы финансового
анализа для принятия решений по оптимизации своих интересов. Так, собственники
анализируют финансовые отчеты для повышения доходности капитала, обеспечения
стабильности положения фирмы, а кредиторы и инвесторы анализируют финансовые
отчеты, чтобы минимизировать свои риски по займам и вкладам.
Финансовый анализ - это метод оценки
и прогнозирования финансового состояния предприятия на основе его бухгалтерской
отчетности [9].
В традиционном понимании финансовый
анализ представляет собой метод оценки и прогнозирования финансового состояния
предприятия на основе его бухгалтерской отчетности. Такого рода анализ может
выполняться как управленческим персоналом данного предприятия, так и любым
внешним аналитиком, поскольку в основном базируется на общедоступной
информации. Тем не менее, принято выделять два вида финансового анализа:
внутренний и внешний. Внутренний анализ проводится работниками предприятия.
Информационная база такого анализа гораздо шире и включает любую информацию,
циркулирующую внутри предприятия и полезную для принятия управленческих
решений. Соответственно расширяются и возможности анализа. Внешний финансовый
анализ проводится аналитиками, являющимися посторонними лицами для предприятия
и потому не имеющими доступа к внутренней информационной базе предприятия.
Внешний анализ менее детализирован и более формализован [26].
Чтобы обеспечить выживаемость
предприятия в современных условиях, управленческому персоналу необходимо,
прежде всего, уметь реально оценивать финансовое состояние как своего
предприятия, так и его реальных и потенциальных контрагентов. Для этого
необходимо: а) владеть методикой оценки финансового состояния предприятия; б)
иметь соответствующее информационное обеспечение; в) иметь квалифицированный
персонал, способный реализовать данную методику на практике.
Оценка финансового состояния может
быть выполнена с различной степенью детализации в зависимости от цели анализа,
имеющейся информации, программного, технического и кадрового обеспечения.
Информационной базой для проведения анализа
финансово-экономического состояния предприятия служит бухгалтерская отчетность.
Отчетность организации (хозяйствующего субъекта ) - это система показателей,
характеризующая результаты и отражающая условия ее работы за истекший период
[39].
В отчетность включены все виды текущего учета:
бухгалтерский, статистический и оперативно-технический. Благодаря этому
обеспечивается возможность отражения в отчетности всего многообразия
предпринимательской деятельности предприятия.
По характеру сведений, содержащихся в отчетах,
различают управленческую (внутреннюю) и финансовую (внешнюю) отчетности .
К финансовой отчетности предъявляется ряд
требований. Основные из них:
уместность и достоверность информации;
значимость данной отчетности.
Анализ финансово-экономического состояния
предприятия в основном базируется на финансовой (внешней) бухгалтерской
отчетности предприятия [4].
Финансовая бухгалтерская отчетность состоит из
нескольких образующих единое целое отчетных документов:
·
бухгалтерского
баланса, форма № 1;
·
отчета
о прибылях и убытках, форма № 2;
·
отчета
о движении капитала, форма № 3;
·
отчета
о движении денежных средств, форма № 4;
·
приложение
к бухгалтерскому балансу, форма № 5
Рис.
1.1. Виды отчетности организации и их краткая характеристика
Поскольку финансовая отчетность - это документы,
показывающие результаты деятельности организации за определенный период в
прошлом, то часто у внешних аналитиков нет иного выхода, кроме как оценивать
нынешнее состояние, основываясь на устаревших данных. Ввиду того что аналитики
заинтересованы прежде всего в получении информации о том, что происходит сейчас
и вероятнее всего произойдет в будущем, а не о том, что случилось в прошлом, то
они не должны экстраполировать историческую информацию на нынешние условия и
тем более делать на ее основе прогнозы в отношении будущего [15].
.3 Методика анализа финансового состояния организации
Для решения конкретных задач
финансового анализа применяется целый ряд специальных методов, позволяющих
получить количественную оценку отдельных аспектов деятельности предприятия. В
финансовой практике в зависимости от используемых методов различают следующие
системы финансового анализа, проводимого на предприятии: трендовый,
структурный, сравнительный и анализ коэффициентов [36].
. Трендовый (горизонтальный)
финансовый анализ базируется на изучении динамики отдельных финансовых
показателей во времени. В процессе осуществления этого анализа рассчитываются
темпы роста (прироста) отдельных показателей и определяются общие тенденции их
изменения (или тренд). Наибольшее распространение получили следующие формы
трендового (горизонтального) анализа:
) сравнение финансовых показателей
отчетного периода с показателями предшествующего периода (например, с
показателями предшествующей декады, месяца, квартала);
) сравнение финансовых показателей
отчетного периода с показателями аналогичного периода прошлого года (например,
показателей второго квартала отчетного года с аналогичными показателями второго
квартала предшествующего года). Эта форма анализа применяется на предприятиях с
ярко выраженными сезонными особенностями хозяйственной деятельности;
Рис. 1.2. Системы финансового анализа, базирующиеся на различных
методах его проведения.
) сравнение финансовых показателей
за ряд предшествующих периодов. Целью такого анализа является выявление
тенденции изменения отдельных показателей, характеризующих результаты
финансовой деятельности предприятия. Результаты такого анализа обычно
оформляются графически в виде линейных графиков или столбиковой диаграммы
изменения показателя в динамике [19].
. Структурный (вертикальный)
финансовый анализ базируется на структурном разложении отдельных показателей. В
процессе осуществления этого анализа рассчитываются удельные веса отдельных
структурных составляющих финансовых показателей. Наибольшее распространение
получили следующие формы структурного (вертикального) анализа: анализ активов,
капитала, денежных потоков.
) структурный анализ активов. В
процессе этого анализа определяются соотношение (удельные веса) оборотных и
внеоборотных активов, состав используемых оборотных активов, состав
используемых внеоборотных активов, состав активов предприятия по степени их
ликвидности, состав инвестиционного портфеля и другие;
) структурный анализ капитала. В
процессе этого анализа определяются удельный вес собственного и заемного
капиталов, состав используемого собственного капитала, состав используемого
заемного капитала по видам, состав используемого заемного капитала по срочности
обязательств (возврату) и другие;
) структурный анализ денежных
потоков. В процессе этого анализа в составе общего денежного потока выделяют
денежные потоки по оперативной (производственной) деятельности, по финансовой и
по инвестиционной деятельности. Каждый из этих видов денежных потоков в свою
очередь может быть глубоко структурирован по отдельным составляющим его
элементам [2].
Результаты структурного
(вертикального) анализа также могут быть оформлены графически в виде
столбиковой или секторной диаграммы структуры показателя.
. Сравнительный финансовый анализ
базируется на сопоставлении значений отдельных групп аналогичных финансовых
показателей между собой В процессе осуществления этого анализа рассчитываются
размеры абсолютных и относительных отклонений сравниваемых показателей.
Наибольшее распространение получили следующие формы сравнительного анализа: анализ
финансовых показателей предприятия и среднеотраслевых показателей, анализ
финансовых показателей данного предприятия и предприятий-конкурентов, анализ
финансовых показателей отдельных структурных единиц и подразделений данного
предприятия, анализ отчетных и плановых (нормативных) финансовых показателей:
) сравнительный анализ финансовых
показателей предприятия и среднеотраслевых показателей. В процессе этого
анализа выявляют степень отклонения основных результатов финансовой
деятельности данного предприятия от среднеотраслевых в целях дальнейшего
повышения ее эффективности;
) сравнительный анализ финансовых
показателей данного предприятия и предприятий-конкурентов. В процессе этого
анализа выявляются слабые стороны деятельности предприятия с целью разработки
мероприятий по повышению его конкурентной позиции;
) сравнительный анализ финансовых
показателей отдельных структурных единиц и подразделений данного предприятия.
Такой анализ проводится в разрезе сформированных на предприятии центров
экономической ответственности с целью сравнительной оценки эффективности их
финансовой деятельности;
) сравнительный анализ отчетных и
плановых (нормативных) финансовых показателей. В процессе этого анализа
выявляется степень отклонения отчетных показателей от плановых (нормативных),
определяются причины этих отклонений и вносятся соответствующие коррективы в
последующую финансовую деятельность [7].
. Анализ финансовых коэффициентов
базируется на расчете соотношения различных абсолютных показателей между собой.
В процессе осуществления этого анализа определяются различные относительные
показатели, характеризующие различные аспекты финансовой деятельности.
Наибольшее распространение получили следующие аспекты такого анализа:
финансовой устойчивости, платежеспособности, оборачиваемости активов и
рентабельности:
Рис. 1.3. Элементы анализа финансовых коэффициентов.
) анализ финансовой устойчивости. В
процессе этого анализа выявляется уровень финансового риска, связанного со
структурой источников формирования капитала предприятия, а соответственно и
степень финансовой стабильности предстоящего развития предприятия. Для
проведения такого анализа используются следующие основные финансовые
коэффициенты:
а) коэффициент автономии (КА). Он показывает,
в какой степени используемые предприятием активы сформированы за счет
собственного капитала. Расчет этого показателя осуществляется по формуле:
(1.1)
где: ССК - сумма собственного
капитала;
СА - сумма всех используемых
активов;
б) коэффициент финансирования (КФ).
Он показывает, какая сумма заемных средств привлечена предприятием в расчете на
единицу собственного капитала. Расчет этого показателя проводится по формуле:
(1.2.)
где: СЗС - сумма используемых
заемных средств (сумма заемного капитала);
в) коэффициент задолженности (КЗ).
Он показывает, какая сумма заемных средств приходится на единицу всего
используемого капитала. Этот показатель рассчитывается по формуле:
(1.3.)
где: СК - сумма всего используемого
капитала;
г) коэффициент долгосрочной
финансовой независимости (КДН). Этот показатель определяется по формуле:
(1.4.)
) Внешним
проявлением финансовой устойчивости выступает платежеспособность.
Платежеспособность - это способность предприятия своевременно и полностью
выполнить свои платежные обязательства, вытекающих из торговых, кредитных и
иных операций платежного характера. Оценка платежеспособности предприятия
определяется на конкретную дату [47].
Способность предприятия вовремя и без задержки
платить по своим краткосрочным обязательствам называется ликвидностью.
Ликвидность предприятия - это способность предприятия своевременно исполнять
обязательства по всем видам платежей. Иначе говоря, предприятие считается
ликвидным, если оно в состоянии выполнить свои краткосрочные обязательства,
реализуя текущие активы. Основные средства (если только они не приобретаются с
целью дальнейшей перепродажи), как правило, не являются источниками погашения
текущей задолженности предприятия в силу своей специфической роли в процессе
производства и, как правило, из-за затруднительных условий их срочной
реализации.
Предприятие может быть ликвидным в той или иной
степени, поскольку в состав текущих активов входят самые разнородные оборотные
средства, среди которых имеются как легко реализуемые, так и труднореализуемые.
Ликвидность активов - это способность активов трансформироваться в денежные
средства, а степень ликвидности определяется продолжительностью временного
периода, в течение которого эта трансформация может быть осуществлена. Чем
короче период трансформации, тем выше ликвидность активов [19].
В ходе анализа ликвидности решаются следующие
задачи:
· оценка достаточности средств, для
покрытия обязательств, сроки которых истекают в соответствующие периоды;
· определение суммы ликвидных средств
и проверка их достаточности для выполнения срочных обязательств;
· оценка ликвидности и
платежеспособности предприятия на основе ряда показателей.
В то же время в составе краткосрочных пассивов
обычно выделяются обязательства различной степени срочности. Отсюда одним из
способом оценки ликвидности на стадии предварительного анализа является
сопоставление определенных элементов актива и пассива между собой. С этой целью
обязательства предприятия группируются по степени их срочности, а его активы -
по степени ликвидности (скорости возможной реализации). Так, наиболее срочные
обязательства предприятия (срок оплаты которых наступает в текущем месяце)
сопоставляются с величиной активов, обладающих максимальной ликвидностью
(денежные средства, легко реализуемые ценные бумаги). При этом часть срочных
обязательств, остающихся необеспеченными, должна уравновешиваться менее
ликвидными активами - дебиторской задолженностью предприятий с устойчивым
финансовым положением, легко реализуемыми запасами товарно-материальных
ценностей. Прочие краткосрочные обязательства соотносятся с такими активами,
как дебиторы, готовая продукция, производственные запасы и др.[8].
Ликвидность означает способность предприятия
переводить активы предприятия в ликвидные средства (наличные и безналичные
денежные средства), при этом процесс перевода активов в ликвидные средства
может происходить как с потерей, так и без потери балансовой стоимости активов,
то есть скидками с цены.
В настоящее время существует два подхода
определению ликвидности.
Первый состоит в отождествлении ликвидности и
платежеспособности, при этом под платежеспособностью предприятия
подразумевается его способность погасить краткосрочную задолженность своими
средствами.
Второй подход определяет возможность реализации
материальных и других ценностей для превращения их в денежные средства, при
этом все имущество по степени ликвидности подразделяют на четыре группы:
· первоклассные ликвидные средства -
все виды денежных средств (наличные и безналичные);
· быстрореализуемые активы -
краткосрочные финансовые вложения (ценные бумаги со сроком погашения до 12
месяцев), вложения, для обращения которых в денежные средства требуется
определенное время, в эту группу активов включаются дебиторская задолженность,
платежи по которой ожидаются в течение 12 месяцев после отчетной даты, прочие
оборотные активы;
· среднереализуемые активы -
долгосрочные финансовые вложения (все остальные ценные бумаги), запасы сырья,
материалов, малоценные и быстроизнашивающиеся предметы, незавершенное
производство, дебиторская задолженность, платежи по которой ожидаются более чем
через 12 месяцев после отчетной даты, прочие запасы и затраты;
· труднореализуемые или неликвидные
активы - имущество, предназначенное для текущей хозяйственной деятельности
(нематериальные активы, основные средства и оборудование к установке,
капитальные и долгосрочные финансовые вложения, то есть итог раздела 1 актива
баланса) [31].
Ликвидность - одна из важнейших характеристик
финансового состояния фирмы, определяющая возможность предприятия своевременно
оплачивать счета и фактически является одним из показателей банкротства.
Для оценки платежеспособности предприятия
используется три относительных показателя, различающиеся набором ликвидных
активов, рассматриваемых в качестве покрытия краткосрочных обязательств.
Рис. 1.4. Группировка активов предприятия по уровню ликвидности.
|
ОБЯЗАТЕЛЬСТВА
|
|
Группы обязательств по срокам погашения
|
Виды обязательств, входящих в группу
|
|
П1- неотложные обязательства
|
Краткосрочная задолженность по текущим хозяйственным
обязательствам, перед бюджетом и по оплате труда
|
|
П2 - краткосрочные обязательства
|
Краткосрочные заемные средства, краткосрочные кредиты банков,
кредиторская задолженность (кроме тех видов, которые входят в первую группу)
|
|
П3 -долгосрочные обязательства
|
Долгосрочные заемные средства, долгосрочные кредиты банков
|
Рис. 1.5. Группировка обязательств предприятия по срокам
погашения.
а) коэффициент абсолютной
платежеспособности (КАП). Он показывает, в какой степени неотложные
обязательства предприятия могут быть удовлетворены за счет имеющихся активов в
ликвидной форме. Расчет этого показателя производится по формуле:
(1.5.)
где: ДА - денежные активы;
КФВ - краткосрочные финансовые
вложения;
НО - неотложные обязательства;
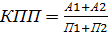
б) коэффициент промежуточной
платежеспособности (КПП). Он показывает, в какой мере все текущие обязательства
(неотложные и краткосрочные) могут быть удовлетворены за счет активов в
ликвидной форме и быстрореализуемых активов. Расчет этого показателя
осуществляется по формуле:
,
(1.6)
где: А1 - активы в ликвидной форме;
А2 - быстрореализуемые активы;
Пl, П2 - все виды текущих
обязательств;
в) коэффициент текущей
платежеспособности (КТП). Он показывает, в какой мере все текущие обязательства
предприятия могут быть удовлетворены за счет всех его текущих (оборотных)
активов. Расчет этого показателя осуществляется по формуле:
,
(1.7)
где: Al, A2, A3 - все виды оборотных
активов;
Пl, П2 - все виды текущих
обязательств;
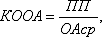
) анализ оборачиваемости активов. В
процессе этого анализа устанавливается, насколько быстро средства, вложенные в
активы, оборачиваются в процессе деятельности предприятия. Для проведения
анализа оборачиваемости активов используются следующие основные финансовые
коэффициенты:
а) коэффициент оборачиваемости всех
используемых активов (КОА). Он определяется по формуле:
(1.8)
где: ПП - объем продажи продукции
(товаров, услуг);
Аср - средняя стоимость используемых
активов.
Средняя стоимость используемых
активов рассчитывается при этом за тот же период, что и объем продажи. Для
расчета средней стоимости активов (А) используется следующая формула:
(1.9)
где: An - сумма активов в n-периоде;
- число периодов (кварталов, месяцев);
б) коэффициент оборачиваемости
оборотных активов (КООА). Он рассчитывается по формуле:
(1.10)
где: ОАср - средняя сумма оборотных
активов;
в) продолжительность оборота
используемых активов (ПОА). Для расчета этого показателя используется формула:
(1.11)
где: ПД - число дней в периоде;
КОА - коэффициент оборачиваемости
всех используемых активов;
г) продолжительность оборота
оборотных активов (ПООА). Она определяется по формуле:
(1.12)
Коэффициенты оборачиваемости и
продолжительности оборота могут быть рассчитаны и по отдельным видам оборотных
активов (денежным средствам, товарно-материальным запасам и т. п.);
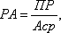
) анализ рентабельности. В процессе
этого анализа устанавливается уровень прибыльности использования капитала в
целом или отдельных его частей, а также уровень прибыли по отношению к другим
показателям хозяйственной деятельности. Для проведения анализа рентабельности
используются следующие основные финансовые коэффициенты:
а) коэффициент рентабельности всех
используемых активов или коэффициент финансовой рентабельности (РА). Он
показывает уровень прибыльности всех используемых активов (или всего
используемого капитала). Расчет этого показателя осуществляется по формуле:
(1.13)
где: ПР - прибыль;
Аср - средняя сумма используемых
активов;
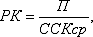
б) коэффициент рентабельности
собственного капитала или коэффициент финансовой рентабельности (РК). Он
показывает уровень прибыльности собственных средств предприятия. Расчет этого
показателя производится по формуле:
финансовый баланс ликвидность
устойчивость
(1.14)
где: ССКср - средняя сумма
собственных средств предприятия;
в) коэффициент рентабельности продажи
продукции (РП). Его расчет осуществляется по формуле:
(1.15)
г) коэффициент рентабельности
текущих затрат (РЗ). Для определения этого показателя используется формула:
(1.16)
где: ВР - сумма валовых расходов
производства и обращения.
Коэффициент рентабельности может
быть рассчитан также и по отдельным видам активов (оборотным, внеоборотным)
[42].
Анализ финансового состояния предприятия
является основой выявления резервов предприятия. В экономике различают два
понятия резервов. Во-первых, резервные запасы, например, сырья, материалов,
наличие которых необходимо для непрерывного планомерного развития предприятия.
Во-вторых, резервы, как еще неиспользованные возможности роста производства,
улучшения его качественных показателей.
Резервы предприятия - это
неиспользованные возможности снижения текущих и авансируемых затрат
материальных, трудовых и финансовых ресурсов предприятия. Устранение всякого
рода потерь и нерациональных затрат - это один из путей использования резервов.
Другой путь связан с возможностями ускорения научно-технического прогресса как
главного рычага повышения интенсификации и эффективности производства. Таким
образом, резервы в полном объеме можно измерить разрывом между достигнутым
уровнем использования ресурсов и возможным уровнем, исходя из накопленного
производственного потенциала предприятия [34].
Резервы предприятия - это
неиспользованные возможности снижения текущих и авансируемых затрат
материальных, трудовых и финансовых ресурсов предприятия.
Классификация резервов возможна по
разным признакам и должна облегчать поиск резервов. Рассмотрим важнейшие
принципы классификации резервов [20].
С позиций предприятия и в
зависимости от источников образования различают внешние и внутренние резервы.
Под внешними резервами понимают общие народнохозяйственные, а также отраслевые
и региональные резервы. Примером использования резервов в народном хозяйстве
является концентрация капиталовложений в те отрасли, которые дают наибольший
экономический эффект (например, химическое производство) или которые
обеспечивают ускорение темпов научно-технического прогресса (станкостроение,
приборостроение и др.). Использование внешних резервов сказывается на уровне
экономических показателей предприятия, но главным источником экономии на
предприятиях, как правило, являются внутренние резервы.
Рис. 1.6. Классификация резервов предприятия.
Использование производственных и
финансовых ресурсов предприятия может носить как экстенсивный, так и
интенсивный характер. Экстенсивное использование ресурсов и экстенсивное
развитие ориентируются на вовлечение в производство дополнительных ресурсов.
Интенсификация производства состоит, прежде всего, в том, чтобы результаты
производства росли быстрее, чем затраты на него, чтобы, вовлекая в производство
сравнительно меньше ресурсов, можно было добиться больших результатов. Базой
интенсивного развития является научно-технический прогресс [27].
В реальной действительности в
достаточно продолжительном времени чисто интенсивного или чисто экстенсивного
типа развития быть не может, так что правильнее говорить не об интенсивном или
экстенсивном типах развития, а о преимущественно интенсивном или
преимущественно экстенсивном типе развития. Определенный рост эффективности
может иметь место и при преимущественно экстенсивном типе воспроизводства. Но
возможность обеспечить достаточно высокими темпами неуклонный рост
экономической эффективности производства дает только переход к преимущественно
интенсивному типу развития.
Для практики поиска резервов важное
значение имеет классификация их по факторам и условиям интенсификации,
повышения эффективности хозяйственной деятельности. Научно-технический уровень
производства и продукции включает в себя резервы повышения прогрессивности и
качества продукции и применяемой техники, степени механизации и автоматизации
производства, технической и энергетической вооруженности труда, ускорения внедрения
новой техники и мероприятий научно-технического развития. Структура и
организация производства и труда включает такие резервы, как повышение уровня
концентрации, специализации и кооперирования, сокращения длительности
производственного цикла, обеспечения ритмичности производства и других
принципов научной организации производства; сокращение и полная ликвидация
производственного брака; обеспечение принципов научной организации труда;
повышение квалификации рабочей силы и ее соответствия техническому уровню
производства. Повышение уровня управления" и методов хозяйствования
означает совершенствование производственной структуры предприятия, структуры
органов управления им, повышение уровня плановой и учетно-контрольной работы,
внедрение и развитие коммерческого расчета во всех подразделениях, как
производственных, так и управленческих, и т. д. Значительные резервы имеются в
улучшении социальных условий работы и жизни трудового коллектива, состояния
промышленной эстетики и культуры производства, бережном отношении к природе и
рациональном использовании природных ресурсов, в совершенствовании
внешнеэкономических связей предприятия [14].
Рис. 1.7. Классификация факторов и резервов экстенсивного и
интенсивного развития производства.
Возможны и другие принципы
классификации резервов, их необходимость вытекает из конкретных условий и задач
каждого предприятия В механизме поиска резервов важное место занимает передовой
опыт, который позволяет сформулировать определенные условия рационализации
выявления и мобилизации резервов. К таким условиям можно отнести массовость
поиска резервов, т. е. необходимость вовлечения в поиск резервов всех
работников в порядке выполнения ими своих служебных обязанностей, развертывания
и распространения общественных форм экономического соревнования; определение
ведущего звена в повышении эффективности производства, т. е. выявление тех
затрат, которые составляют основную часть себестоимости продукции и которые
могут дать большую экономию по сравнению с другими; выявление «узких мест» в
производстве, которые лимитируют темпы роста производства и снижение
себестоимости продукции; учет типа производства: в массовом производстве анализ
резервов рекомендуется вести в последовательности - изделие," узел, деталь,
операция; в единичном производстве - по отдельным операциям производственного
цикла; одновременный поиск резервов по всем стадиям жизненного цикла объекта
или изделия; определение комплектности резервов с тем, чтобы экономия
материалов, например, сопровождалась экономией труда и времени использования
оборудования, только в этом случае возможен выпуск дополнительной продукции
[30].
.4 Планирование финансового состояния предприятия
В условиях рыночных отношений, когда
в полной мере реализуются принципы самостоятельности и ответственности
предприятий за результаты своей деятельности, возникает объективная
необходимость финансового планирования. Без финансового планирования невозможно
добиться успеха на рынке, расширения производственно-хозяйственной деятельности
и социального развития коллектива.
Финансовое планирование напрямую
связано с планированием производственной деятельности предприятия. Практически
все финансовые показатели базируются на показателях объема производства,
ассортимента продукции (товаров, работ, услуг), себестоимости продукции.
Финансовое планирование способствует
выявлению внутренних резервов предприятия, соблюдению режима экономии. Так как,
во-первых, получение планового размера прибыли и других финансовых показателей
возможно лишь при условии соблюдения плановых норм затрат труда и материальных
ресурсов; во-вторых, объем финансовых ресурсов, рассчитанных на основе
финансовых планов, устраняет чрезмерные запасы материальных ресурсов,
непроизводительные расходы, внеплановые финансовые инвестиции и т. д.,
в-третьих, создает необходимые условия для эффективного использования
производственных мощностей, повышения качества продукции [18].
Финансовое планирование - это
процесс разработки системы мероприятий по обеспечению развития предприятия
необходимыми финансовыми ресурсами и повышению эффективности финансовой
деятельности в предстоящем периоде.
Рис. 1.8. Виды финансового планирования.
Финансовое планирование на
предприятии охватывает три основных его вида: 1) оперативное планирование
финансовой деятельности; 2) текущее планирование финансовой деятельности; 3)
прогнозирование финансовой деятельности. Каждому из этих видов финансового
планирования соответствуют определенные формы представления его результатов.
Все три вида финансового
планирования находятся во взаимосвязи и осуществляются в определенной
последовательности. Первоначальным этапом финансового планирования является
прогнозирование финансовой деятельности, которое определяет задачи текущего ее
планирования. В свою очередь, текущее планирование финансовой деятельности
создает основу для более углубленного оперативного ее планирования [4].
. Прогнозирование финансовой
деятельности предприятия представляет собой наиболее сложный этап планирования,
требующий высокой квалификации исполнителей. Под прогнозированием финансовой
деятельности предприятия следует понимать формирование системы долгосрочных
целей финансовой деятельности и выбор наиболее эффективных путей их достижений.
Прогнозирование финансовой деятельности предприятия является частью общей
стратегии экономического развития предприятия и носит по отношению к ней
подчиненный характер и должно быть согласовано с ее целями и направлениями.
В рамках прогнозирования финансовой
деятельности разрабатывается общая концепция финансового развития и финансовая
политика предприятия по отдельным аспектам финансовой деятельности
В отличие от общей концепции
финансового развития финансовая политика формируется лишь по отдельным
направлениям финансовой деятельности предприятия, а не охватывает весь комплекс
этой деятельности. Финансовая политика представляет собой форму реализации
стратегии финансового развития предприятия в разрезе отдельных аспектов
финансовой деятельности [21].
Прогнозирование финансовой
деятельности предусматривает установление последовательности и сроков
достижения отдельных целей и стратегических задач. Как правило, период
прогнозирования составляет 3-5 лет.
. Текущее планирование финансовой
деятельности состоит в разработке системы финансовых планов по отдельным
аспектам финансовой деятельности предприятия. Текущее планирование позволяет
определить на предстоящий период все источники финансирования деятельности
предприятия, сформировать систему его доходов и расходов, обеспечить постоянную
платежеспособность предприятия, предопределить структуру его активов и пассивов
на конец планируемого периода [25].
Отдельные виды текущих финансовых
планов предприятия составляют обычно на предстоящий год с разбивкой по
кварталам.
В процессе текущего финансового
планирования на предприятиях разрабатываются обычно следующие виды финансовых
планов:
1. план доходов и расходов по
основной хозяйственной деятельности;
2. план поступления и
расходования денежных средств;
. балансовый план;
. план формирования и
использования финансовых ресурсов.
Степень детализации показателей
каждого из видов финансового плана определяется предприятием самостоятельно с
учетом специфики его деятельности, а также действующей практики организации
финансового и управленческого учета [16].
Разработка плана доходов и расходов
по основной хозяйственной деятельности является первоначальным этапом текущего
планирования финансовой деятельности предприятия Целью разработки этого плана
является определение суммы чистой прибыли, остающейся в распоряжении
предприятия в планируемом периоде.
Основными показателями этого плана
являются: объем производства продукции (товаров, услуг); сумма и уровень
доходов от продажи продукции; сумма и уровень валовых расходов производства и
обращения; ставки и сумма основных налоговых платежей; сумма налогооблагаемой и
чистой прибыли предприятия.
Разработка плана поступления и
расходования денежных средств также является важным моментом текущего
планирования финансовой деятельности предприятия. Целью разработки этого плана
является обеспечение постоянной платежеспособности предприятия на всех этапах
планируемого периода. Поэтому показатели этого плана часто рассчитываются не
только поквартально, но и в помесячной разбивке.
Разрабатываемый план поступления и
расходования денежных средств состоит из двух разделов, которые должны быть
сбалансированы между собой в разрезе каждого квартала (месяца). В разделе
«Поступление денежных средств» планируется привлечение денежных активов от
продажи продукции (товаров, работ, услуг), продажи другого имущества, взыскания
просроченной дебиторской задолженности и из других источников. В разделе
«Расходование денежных средств» предусматривается использование денежных
средств на покупку сырья, материалов и товаров; малоценных и
быстроизнашивающихся предметов; аренду и содержание основных фондов и на другие
цели. Учитывая высокую финансовую ответственность за просрочку платежей, при
планировании необходимо предусматривать не только соответствие поступления и расходования
денежных средств, но и наличие определенных резервов в форме остатка свободных
денежных средств на расчетном счете, других счетах и в кассе предприятия [36].
Балансовый план предприятия отражает
прогноз состава его активов и пассивов и представляет собой часть текущего
финансового планирования на предприятии. Целью разработки балансового плана
является определение возможности прироста отдельных активов и формирование
оптимальной финансовой структуры капитала предприятия, обеспечивающей финансовую
устойчивость его развития.
В процессе разработки балансового
плана используется укрупненная схема статей баланса предприятия, отражающая
требования бухгалтерского учета применительно к специфике предприятия данной
организационно-правовой формы (акционерного общества, общества с ограниченной
ответственностью и т. п.) При планировании активов оптимизируется соотношение
оборотных и необоротных их видов, а в составе оборотных - отдельных их групп по
уровню ликвидности. При планировании пассивов оптимизируется соотношение
собственных и заемных средств, а в составе заемных - краткосрочных и
долгосрочных обязательств.
План формирования и использования
финансовых ресурсов представляет собой часть текущего финансового планирования
предприятия, целью разработки которого является аккумуляция и целенаправленное
расходование финансовых ресурсов, обеспечивающих стратегическое развитие
предприятия в планируемом периоде.
Разрабатываемый план состоит из двух
разделов, сбалансированных между собой. В разделе «Источники формирования
финансовых ресурсов» выделяются следующие показатели: сумма чистой прибыли,
направляемой на производственное развитие; сумма амортизационных отчислений;
прочие источники формирования собственных финансовых ресурсов; сумма
привлекаемых долгосрочных кредитов и займов; суммы привлекаемых краткосрочных
кредитов и займов и другие. В разделе «Направления использования финансовых
ресурсов» выделяются следующие показатели: капитальные вложения во внеоборотные
активы; финансирование прироста оборотных активов; вложения в нематериальные
активы; прирост долгосрочных финансовых вложений и другие [25].
. Оперативное планирование
финансовой деятельности заключается в разработке системы бюджетов. Бюджет
представляет собой оперативный финансовый план краткосрочного периода (до 1
года), отражающий расходы и поступление средств по отдельным аспектам
финансовой деятельности, отдельным хозяйственным операциям или инвестиционным
проектам.
Разработка бюджета направлена на
решение двух основных задач: 1) определение объема и структуры расходов; 2)
обеспечение покрытия этих расходов финансовыми ресурсами из различных
источников.
В практике оперативного финансового
планирования используются два вида бюджетов: бюджет капитальных затрат и
поступления средств и бюджет текущих денежных расходов и доходов.
Бюджет капитальных затрат и
поступления средств (для краткости - капитальный бюджет) - это бюджет,
разрабатываемый на этапе осуществления реального инвестирования, связанного с
новым строительством, реконструкцией и модернизацией объекта.
Бюджет текущих денежных расходов и
доходов (текущий бюджет) - это бюджет, разрабатываемый по отдельным
хозяйственным операциям или по хозяйственной деятельности предприятия в целом в
разрезе отдельных краткосрочных периодов (в порядке конкретизации плана доходов
и расходов по основной хозяйственной деятельности) [28].
Капитальный бюджет состоит из двух
разделов: капитальные затраты и поступление средств. Капитальные затраты
представляют собой затраты на приобретение долгосрочных внеоборотных активов. К
ним обычно относят первоначальную стоимость вводимых в строй зданий и
сооружений (или поэтапные расходы по их сооружению); стоимость новых видов
машин и оборудования; стоимость приобретаемых нематериальных активов (патентов,
«ноу-хау» и других) и т. п. Поступление средств при разработке капитального
бюджета включает планируемый поток финансовых средств (инвестиционных ресурсов)
в разрезе отдельных источников.
Текущий бюджет также состоит из двух
разделов: текущие расходы и доходы от текущей хозяйственной деятельности.
Текущие расходы представляют собой расходы производства или обращения. Доходы
от текущей хозяйственной деятельности формируются в основном за счет продажи
продукции (товаров, работ, услуг) [40].
2.
ОЦЕНКА ФИНАНСОВОГО СОСТОЯНИЯ ЗАО «ПАРАЛЛЕЛЬ 2000»
.1
Краткая экономическая характеристика финансово- хозяйственной деятельности ЗАО
«Параллель 2000»
Объектом исследования в рамках данной дипломной
работы выбрано ЗАО «Параллель 2000». Сферой деятельности данного предприятия
является производство и оптовая реализация соли. Главной целью предприятия
является производство продукции и получение прибыли от хозяйственной
деятельности, удовлетворение социально - экономических интересов государства и
трудового коллектива предприятия. Предприятие имеет статус юридического лица,
расчетный счет, баланс, штамп со своим наименованием и круглую печать, а также
юридический адрес.
Организационная структура предприятия ЗАО
«Параллель 2000» является линейно-функциональной. Схема организационной
структуры приведена на рисунке 2.1. На предприятии имеется отдел бухгалтерии,
состоящей из главного бухгалтера, его двух заместителей по оперативному и
налоговому учету. Кроме того, на предприятии имеет служба безопасности, в
функции которой входит осуществление внутрихозяйственного контроля за
сохранностью и правильностью отображения результатов хозяйственных операций в
учете. Планово-экономическая служба возглавляется заместителем директора по
экономике и состоит из двух служб: непосредственно из отдела экономического
развития и отдела компьютеризации и ПО.
За последние 3-5 лет предприятие произвело
некоторое техническое переоснащение своего производства, разработало
собственную торговую марку и расширило ассортимент своей продукции. На
сегодняшний день проведенные мероприятия позволили предприятию производить
продукцию высокого качества. Это стало основанием увеличения ЗАО «Параллель
2000» цен на реализуемую продукцию.
Рисунок
2.1. Организационная структура ЗАО «Параллель 2000»
На основании данных финансовой отчетности
составим обобщающие показатели производственно-хозяйственной деятельности и
финансового состояния ЗАО «Параллель 2000» за 2007-2009гг.
Таблица 2.1.
Обобщающие показатели
производственно-хозяйственной деятельности ОАО «Тобольский городской молочный
завод»
|
Показатель
|
2007г
|
2008г
|
2009г
|
Абсолютное
отклонение
|
Относительное
отклонение
|
|
|
|
|
2008/2007г
|
2009/2008г
|
2008/2007г
|
2009/2008г
|
|
1
|
2
|
3
|
4
|
5
|
6
|
7
|
8
|
|
1.
Обобщающие показатели
|
|
Чистый
доход (выручка) от реализации продукции, тыс. руб.
|
134995
|
188713
|
174831
|
53718
|
-13882
|
139,79
|
92,64
|
|
Прибыль
(убыток) от операционной деятельности, тыс. руб.
|
937
|
15439
|
19439
|
14502
|
4000
|
1647,7
|
125,91
|
|
Чистая
прибыль (убыток), тыс. руб.
|
3663
|
10245
|
12544
|
6582
|
2299
|
279,69
|
122,44
|
|
Операционные
расходы, тыс. руб.
|
6824
|
2239
|
3109
|
-4585
|
870
|
32,81
|
138,86
|
|
Себестоимость
реализованной продукции, тыс. руб.
|
121194
|
158611
|
153613
|
37417
|
-4998
|
130,87
|
98,85
|
|
Среднегодовая
стоимость основных фондов, тыс.руб.
|
62579
|
75204
|
78019
|
12625
|
2215
|
120,17
|
103,74
|
|
Среднесписочная
численность, чел.
|
285
|
210
|
197
|
-75
|
-13
|
73,68
|
93,81
|
|
2.
Показатели эффективности деятельности
|
|
Рентабельность
продукции, %
|
1,1
|
1,2
|
1,14
|
0,1
|
-0,06
|
-
|
-
|
|
Рентабельность
операционной деятельности, %
|
0,007
|
0,08
|
0,11
|
0,73
|
0,03
|
-
|
-
|
|
Уровень
затрат на один рубль реализованной продукции, руб.
|
0,01
|
0,02
|
0
|
0,01
|
-
|
-
|
|
Фондоотдача
основных фондов
|
0,46
|
0,4
|
0,45
|
-0,06
|
0,05
|
-
|
-
|
|
Фондовооруженность,
руб/чел
|
219,6
|
358,1
|
396,1
|
138,5
|
38
|
-
|
-
|
|
Коэффициент
годности основных средств, %
|
46,56
|
47,5
|
50,46
|
0,94
|
3
|
-
|
-
|
|
|
|
|
|
|
|
|
|
За анализируемый период - 2007-2009гг. - ЗАО
«Параллель 2000» существенно улучшило свои показатели
производственно-хозяйственной деятельности. Это выражается в увеличении чистой
прибыли с 3663 тыс.руб. в 2007. до 12544 тыс.руб. в 2009г. Рост финансового результата
деятельности предприятия обусловлен изменениями в политике производства
продукции и реструктуризацией системы управления и сбыта на предприятии. В
количественном выражении предприятие существенно не изменило объемы
производства продукции: в 2007 году темп его роста составил 152,25%, в 2009
году - 89,58%. Среднегодовая стоимость основных производственных фондов за
анализируемые три года увеличилась на 15440 тыс. руб. (или 19,8%), что является
свидетельством об постепенном обновления основных средств. Фондоотдача
предприятия - качественная характеристика использования ОПФ - снизилась с 0,46
до 0,45, что является позитивным моментом в деятельности предприятия. Получение
достаточной величины чистой прибыли в 2009г. стало возможным за счет сокращения
себестоимости реализованной продукции на 4998 тыс. руб. (или 3,15%).
Процесс реструктуризации системы управления на
ЗАО «Параллель 2000» сопровождался сокращением среднесписочной численности
работников. За 2007-2009гг. данный показатель сократился с 285 человек до 197
человек. Сокращение численности привело к увеличению показателя
фондовооруженности с 219,57 тыс. руб./чел до 396,03 тыс. руб.
В качестве вывода следует отметить, что
предприятие ЗАО «Параллель 2000» располагает достаточной величиной имущества,
однако присутствует динамика его сокращения. В структуре активов предприятия
отсутствуют сигнальные статьи, показатели структуры капитала свидетельствуют о
низкой зависимости предприятия от внешних инвесторов. У предприятия есть
возможность в дальнейшем к стабилизации финансового положения за счет
прибыльной деятельности. ЗАО «Параллель 2000» следует более эффективно
использовать имеющиеся ресурсы, повышать показатели рентабельности и деловой
активности. Руководству предприятия следует более внимательно относится к
своевременности выполнения обязательств и поддерживать ликвидность на
достаточном уровне. Это можно достигнуть при эффективном управлении денежными
потоками предприятия.
.2
Анализ баланса и финансовой устойчивости ЗАО «Параллель 2000»
Анализ баланса ЗАО «Параллель 2000» начнём с
оценки состояния активов организации, в процессе которого выявим изменения за
отчётный период в составе и структуре таких групп, как мобильные (оборотные,
текущие) и иммобилизованные (внеоборотные) активы. Состав и структура активов
баланса ЗАО «Параллель 2000» представлены в таблице 2.1.
Таблица
2.1
Состав
и структура активов баланса ЗАО «Параллель 2000» в 2009 году
|
Виды
активов
|
На
начало года
|
На
конец года
|
Изменение,
(+,-)
|
|
сумма,
тыс.руб.
|
%
к итогу
|
сумма,
тыс.руб.
|
%
к итогу
|
сумма,
тыс.руб.
|
%
к итогу
|
|
1.
Иммобилизованные средства в том числе: - нематериальные активы - основные
средства - незавершенное строительство - доходные вложения в материальные
ценности - долгосрочные финансовые вложения - отложенные налоговые активы -
прочие внеоборотные активы
|
42741
- 42555 0 - - 186 -
|
45,99
- 99,56 0 - - 0,44 -
|
40552
- 40341 0 - - 211 -
|
36,87
- 99,47 0 - - 0,53 -
|
-2189
- -2214 0 - - 25 -
|
-9,12
- -0,09 0 - - 0,09 -
|
|
2.
Мобильные средства в том числе: - запасы и затраты - дебиторы - краткосрочные
финансовые вложения - денежные средства - прочие оборотные активы
|
50200
30839 15989 - 3372 0
|
54,01
61,53 31,85 - 6,62 0
|
69441
37832 21558 - 9967 84
|
63,13
54,48 31,05 - 14,35 0,12
|
19241
6993 5569 - 6595 84
|
9,12
-7,05 0,8 - 7,73 0,12
|
|
Валюта
баланса
|
92941
|
100
|
109993
|
100
|
17052
|
-
|
Как показывают расчёты, общая сумма активов
возросла за отчётный год на 18,3% (109993:92941 * 100%). Этот рост произошел за
счёт увеличения стоимости мобильных средств. Их доля в структуре активов
выросла на 9,12% и достигла 63,13%. Наибольшее влияние на рост этого показателя
оказало увеличение стоимости запасов и затрат на 6993 тыс.руб. Значительно (на
9,12%) снизилась доля иммобилизованных активов, а в их составе - основных средств.
Увеличение доли мобильных активов в целом можно оценить положительно.
Выявление тенденций изменения имущества
организации не имеет смысла без увязки с источниками образования финансовых
ресурсов. Проведем оценку состава и структуры финансовых ресурсов ЗАО
«Параллель 2000» (таблица 2.3).
Таблица
2.3
Структура
источников финансовых ресурсов ЗАО «Параллель 2000» в 2009 году
|
Виды
активов
|
На
начало года
|
На
конец года
|
Изменение,
(+,-)
|
|
сумма,
тыс.руб.
|
%
к итогу
|
сумма,
тыс.руб.
|
%
к итогу
|
сумма,
тыс.руб.
|
%
к итогу
|
|
1.Собственные
средства
|
71733
|
77,18
|
84277
|
76,62
|
12544
|
-0,56
|
|
-
уставный капитал - добавочный капитал - резервы - фонды накопления -
нераспределённая прибыль
|
1264
13387 632 - 56450
|
1,76
18,66 0,89 - 78,69
|
1264
13387 632 - 68994
|
1,5
15,88 0,75 - 81,87
|
0
0 0 - 12544
|
-0,26
-2,78 -0,14 - 3,14
|
|
2.
Заемные средства - долгосрочные займы - краткосрочные займы
|
21208
4996 16212
|
22,82
23,56 76,44
|
26716
0 25716
|
24,28
0 100
|
5508
-4996 9504
|
1,46
0 23,56
|
|
Валюта
баланса
|
92941
|
100
|
109993
|
100
|
17052
|
-
|
В основном источники финансирования ресурсов ЗАО
«Параллель 2000» представлены собственные средства. Их доля на конец 2009 года
в составе ресурсов составила 76,62%, несмотря на из уменьшение на 0,56%.Данный
факт является положительным в деятельности ЗАО «Параллель 2000», характеризуя
создание надежной основы для дальнейшего развития и укрепления рыночных
отношений.
Увеличение доли заемных и привлечённых средств
на фоне снижения удельного веса собственных источников в формировании ресурсной
базы снижает привлекательность для потенциальных инвесторов и партнеров,
стремящихся к минимизации риска вложения средств.
На основе проведённых расчётов оценим финансовую
устойчивость организации. Для этого определим коэффициент автономии и
коэффициент финансовой устойчивости.
(2.1.)
на начало года:
на конец года:
Рост коэффициента автономии на 0,01 пункт
свидетельствует об увеличении финансовой независимости и снижении риска
финансовых затруднений ЗАО «Параллель 2000».
Коэффициент финансовой устойчивости представляет
собой соотношение собственных и заёмных средств:
(2.2.)
Повешение собственных средств над заёмными
свидетельствует о достаточном запасе финансовой устойчивости и относительной
независимости от внешнего финансирования. Для ЗАО «Параллель 2000» коэффициент
финансовой устойчивости составляет:
на начало года:
на конец года:
Рассчитав данный показатель можем сделать вывод
что ОАО «Альянс» не имеет зависимость от внешних источников финансирования.
Анализ наличия и движения собственных оборотных
средств предполагает определение фактического размера средств и факторов,
влияющих на их изменение. Представим расчёты по ЗАО «Параллель 2000» в таблице
2.4.
Таблица
2.4
Движение
собственных оборотных средств ЗАО «Параллель 2000»
в
2009 году, тыс.рублей
|
Показатели
|
На
начало года
|
На
конец года
|
Изменение,
(+,-)
|
|
1.
Уставный капитал 2. Добавочный капитал 3. Резервный капитал 4. Фонды
накопления 5. Целевые финансирования и поступления 6. Нераспределенная
прибыль
|
1264
13387 632 - - 56450
|
1264
13387 632 - - 68994
|
0
0 0 - - 12544
|
|
Всего
источников собственных средств
|
71733
|
84277
|
12544
|
|
Подлежит
исключению:
|
|
|
|
|
1.Нематериальные
активы 2. Основные средства 3.Незавершенное строительство 4.Доходы вложения в
материальные ценности 5.Долгосрочные финансовые вложения 6. Прочие
внеоборотные активы 7.Убытки
|
-
42555 0 - 186 - -
|
-
40341 0 - 211 - -
|
-
-2214 0 - 25 - -
|
|
Собственные
оборотные средства
|
50200
|
69441
|
19241
|
Собственные оборотные средства ЗАО «Параллель
2000» выросли на 19241 тыс.руб. или на 38,33%. Это ещё раз подтверждается наличие
финансовой устойчивости ЗАО «Параллель 2000» на текущий период.
Отношение собственных оборотных средств к
собственному капиталу позволяет определить коэффициент маневренности,
показывающий какая часть собственных средств организации находится в мобильном
формате. Рост коэффициента маневренности свидетельствует о повышении
эффективности управления собственным капиталом. В ЗАО «Параллель 2000» этот
показатель составил:
на начало года: 50200:71739=0,69
на конец года: 69441:84277=0,82
Доля средств, находящихся в мобильной форме,
выросла на 13%, что говорит о повышении эффективности собственным капиталом в
ЗАО «Параллель 2000».
На данном этапе анализа важно рассчитать долевое
участие собственных оборотных средств в запасах товаров (таблица 2.5).
Таблица
2.5
Собственные
оборотные средства ЗАО «Параллель 2000», вложенные в запасы
|
Показатели
|
Ед.изм.
|
На
начало года
|
На
конец года
|
Изменение,
(+,-)
|
|
|
|
|
сумма
|
%
|
|
1.Запасы
по балансу 2. Кредиторская задолженность поставщикам 3.Собственные средства в
запасах 4. Долевое участие собственных средств
|
тыс.руб.
тыс.руб. тыс.руб. %
|
30839
6286 24553 79,6
|
37832
13752 24080 63,6
|
6993
7466 -473 -
|
+22,7
+118,8 -1,9 -16
|
В запасы вкладывается не ниже 50% собственных
средств. В анализируемом ЗАО этот показатель выше и составляет 63,6%, он
снизился по сравнению с началом года на 16%.
На основании проведенных расчётов можно сделать
вывод, что все запасы ЗАО «Параллель 2000» полностью обеспечиваются собственным
оборотным капиталом и организация не зависит от внешних кредитов. Величина
запасов товаров меньше суммы собственных оборотных средств. Такое положение
означает абсолютную финансовую устойчивость ЗАО «Параллель 2000».
.3
Анализ ликвидность и деловой активности ЗАО «Параллель 2000»
Следующим этапом
анализа является оценка платежеспособности и ликвидности ЗАО «Параллель 2000».
Рассчитаем
показатели платёжеспособности и ликвидности.
(2.3.)
на начало года:
на конец года:
Расчеты показывают реальную способность ЗАО
«Параллель 2000» покрыть свои долги за счёт текущих активов, не прибегая к
распродаже имущества.
При всём многообразии финансовых коэффициентов
наиболее ярко характеризуют финансовое состояние коэффициенты текущей, быстрой
и абсолютной ликвидности.
В таблице 2.6 представлен платёжный баланс ЗАО
«Параллель 2000», который позволяет выявить платёжный излишек или недостаток
средств для формирования определенной группы активов баланса.
Таблица
2.6
Платёжный
баланс ЗАО «Параллель 2000» за 2009 год
|
Группы
активов баланса
|
Группы
пассивов баланса
|
Платежный
недостаток (-), излишек (+).
|
|
Условные
обозначения
|
На
начало года
|
На
конец года
|
Условные
обозначения
|
На
начало года
|
На
конец года
|
На
начало года
|
На
конец года
|
|
А1
|
3372
|
9967
|
П1
|
10286
|
16550
|
-6914
|
-6583
|
|
А2
|
15401
|
21558
|
П2
|
0
|
3799
|
15401
|
17759
|
|
А3
|
30549
|
37549
|
П3
|
6044
|
0
|
24505
|
37549
|
|
А4
|
42741
|
40552
|
П4
|
75733
|
88277
|
-32992
|
-47725
|
|
Баланс
|
92063
|
109626
|
Баланс
|
92063
|
109626
|
0
|
0
|
Результаты расчётов свидетельствуют о том, что
ликвидность баланса ЗАО «Параллель 2000» на начало и на конец года является
абсолютной. Так как соблюдаются все условия платежеспособности: А1≥П1, А2≥П2,
А3≥П3 и А4≤П4.
Динамика показателей ликвидности ЗАО «Параллель
2000» представлена в таблице 2.7.
Таблица
2.7
Показатели
ликвидности ЗАО «Параллель 2000» за 2009 год
|
Показатели
|
На
начало года
|
На
конец года
|
Изменение
за год
|
Рекомендованное
значение
|
|
Коэффициент
текущей ликвидности
|
4,8
|
3,39
|
-1,41
|
2-4
|
|
Коэффициент
быстрой ликвидности
|
1,83
|
1,55
|
-0,28
|
≥1
|
|
Коэффициент
абсолютной ликвидности
|
0,33
|
0,49
|
0,16
|
≥0,2
|
Все коэффициенты ликвидности находятся в
пределах рекомендуемых значений. В условиях абсолютной финансовой устойчивости
это может не вызывать опасений по поводу ухудшения финансового состояния ЗАО
«Параллель 2000».
В процессе анализа важно определить влияние
факторов на динамику ликвидности, что несложно сделать при помощи метода цепных
подстановок. В общем случае рост суммы всех видов активов положительно влияет
на изменение ликвидности, рост краткосрочных обязательств - отрицательно.
Определим влияние первого фактора:
=0,97-0,33=+0,64
Влияние второго фактора:
=0,6-0,97= -0,37
Третьего фактора:
= 0,49-0,6= -0,11
Таким образом, увеличение суммы денежных средств
способствовало росту абсолютной ликвидности на 0,64 пункта; увеличение
кредиторской задолженности снизило абсолютную ликвидность на 0,37 пункта;
увеличение суммы краткосрочных займов снизило показатель абсолютной ликвидности
на 0,11.
Следующим этапом оценки финансового состояния ЗАО
«Параллель 2000» является анализ деловой активности.
Оценка показателей деловой активности ЗАО
«Параллель 2000» представлена в таблице 2.8.
Таблица
2.8
Показатели
деловой активности ЗАО «Параллель 2000» за 2008-2009 годы
|
Показатели
|
Ед.изм.
|
2008
год
|
2009
год
|
Изменение,
(+,-)
|
|
Коэффициент
оборачиваемости активов
|
раз
|
|
|
-1,5
|
|
Коэффициент
оборачиваемости собственного капитала
|
раз
|
|
|
-0,5
|
|
Скорость
оборота, время обращения
|
раз
|
|
|
-2,09
|
|
Время
обращения запасов
|
дней
|
|
|
+21
|
Расчёты свидетельствуют о снижении деловой
активности ЗАО «Параллель 2000». Снижение времени обращения запасов на 21 день,
снижение оборачиваемости активов и собственного капитала непосредственно влияют
на снижение эффективности использования капитала и всех ресурсов организации.
В завершении оценки финансового состояния ЗАО
«Параллель 2000» рассчитаем и оценим показатели рентабельности. Рентабельность
деятельности ЗАО «Параллель 2000» представлена в таблице 2.9.
Таблица
2.9
Показатели
рентабельности деятельности ЗАО «Параллель 2000» за 2008-2009 годы
|
Показатели
|
Ед.изм.
|
2008
год
|
2009
год
|
Изменение,
(+,-)
|
|
Прибыль
от продаж
|
тыс.руб.
|
15439
|
19052
|
+3613
|
|
Оборот
торговли
|
тыс.руб.
|
188713
|
174831
|
-13882
|
|
Рентабельность
продаж
|
%
|
1,5
|
2,0
|
+0,5
|
|
Среднегодовая
стоимость активов
|
тыс.руб.
|
86643,5
|
101467
|
+14823,5
|
|
Прибыль
до налогообложения
|
тыс.руб.
|
13943
|
17112
|
+3169
|
|
Рентабельность
вложенного капитала
|
%
|
2,5
|
3,3
|
+0,8
|
|
Среднегодовая
стоимость собственного капитала
|
тыс.руб.
|
66610
|
78005
|
+11395
|
|
Чистая
прибыль
|
тыс.руб.
|
10245
|
12544
|
+2299
|
|
Рентабельность
собственного капитала
|
%
|
2,0
|
2,6
|
|
Среднегодовая
стоимость оборотных активов
|
тыс.руб.
|
43626
|
59820,5
|
+16194,5
|
|
Рентабельность
оборотного капитала
|
%
|
4,3
|
5,2
|
+0,9
|
Все показатели рентабельности имеют тенденцию
роста. Это следствие эффективности работы всех отраслей деятельности ЗАО
«Параллель 2000». Сохранение существующих тенденций и их развитие будут
способствовать дальнейшему упрочнению позиции ЗАО «Параллель 2000».
3.
ПУТИ УЛУЧШЕНИЯ ФИНАНСОВОГО СОСТОЯНИЯ ОРГАНИЗАЦИИ
.1
Меры по улучшению финансовой устойчивости организации
Финансовая устойчивость предприятия
- такое состояние его финансовых ресурсов, их распределение и использование,
которое обеспечивает развитие предприятия на основе роста прибыли и активов при
сохранении платежеспособности и кредитоспособности в условиях допустимого
уровня риска.
Важно, чтобы состояние финансовых
ресурсов соответствовало требованиям рынка и отвечало потребностям развития
предприятия, поскольку недостаточная финансовая устойчивость может привести к
неплатежеспособности предприятия и отсутствию у него средств для развития
производства, а избыточная - препятствовать развитию, отягощая затраты
предприятия излишними запасами и резервами. Таким образом, сущность финансовой
устойчивости определяется эффективным формированием, распределением и
использованием финансовых ресурсов.
Чтобы обеспечить «выживание»
предприятия в условиях рынка, управленческому персоналу требуется оценивать
возможные и целесообразные темпы его развития с позиции финансового
обеспечения, выявлять доступные источники средств, способствуя тем самым
устойчивому положению и развитию хозяйствующих субъектов. Определение
устойчивости развития коммерческих отношений необходимо не только для самих
организаций, но и для их партнеров, которые справедливо желают обладать
информацией о стабильности, финансовом благополучии и надежности своего
заказчика или клиента. Поэтому все большее количество контрагентов начинает
вовлекаться в исследования и оценку устойчивости конкретной организации.
Изучение финансовой устойчивости
позволяет оценить возможности организации обеспечивать бесперебойный процесс
финансово-хозяйственной деятельности и степень покрытия средств, вложенных в
активы собственными источниками.
Финансовое состояние предприятия,
его устойчивость и стабильность зависят от результатов его производственной,
коммерческой и финансовой деятельности. Если производственный и финансовый
планы успешно выполняются, то это положительно влияет на финансовое положение
предприятия. Напротив, в результате спада объемов производства и продаж
происходит повышение ее себестоимости, уменьшение выручки и суммы прибыли и как
следствие ухудшение финансового состояния предприятия и его платежеспособности.
Следовательно, устойчивое финансовое состояние не является счастливой
случайностью, а итогом грамотного, умелого управления всем комплексом факторов,
определяющих результаты хозяйственной деятельности предприятия.
Устойчивое финансовое положение, в
свою очередь, оказывает положительное влияние на выполнение производственных
планов и обеспечение нужд производства необходимыми ресурсами.
Поэтому финансовая деятельность как
составная часть хозяйственной деятельности должна быть направлена на
обеспечение планомерного поступления и расходования денежных ресурсов,
выполнение расчетной дисциплины, достижение рациональных пропорций собственного
и заемного капитала и наиболее эффективное его использование.
Определение границ финансовой
устойчивости предприятия относится к числу наиболее важных экономических
проблем в условиях перехода к рынку, ибо непосредственная финансовая
устойчивость может привести к неплатежеспособности предприятия и отсутствию у
него средств для расширения производства, а избыточная - будет препятствовать
развитию, отягощая затраты предприятия излишними запасами и резервами.
Следовательно, финансовая устойчивость должна характеризоваться таким
состоянием финансовых ресурсов, которое соответствует требованиям рынка и
отвечает потребностям развития предприятия.
Финансовая устойчивость является
главным компонентом общей устойчивости предприятия. Для оценки финансовой
устойчивости предприятия необходим анализ его финансового состояния, которое
выражается в образовании, распределении и использовании финансовых ресурсов.
Этот «набор» предопределяет и логику анализа: последовательное, поэтапное
рассмотрение всех процессов, связанных с наличием финансовых ресурсов, их
формированием, распределением и использованием.
Организация и управление финансовой
устойчивостью являются важнейшим аспектом работы финансово-экономической службы
предприятия и включает целый ряд организационных мероприятий, охватывающих
планирование, оперативное управление, а также создание гибкой организационной
структуры управления всего предприятия и его подразделений.
Таким образом, финансовая
устойчивость является важнейшей характеристикой финансово-экономической
деятельности предприятия в условиях рыночной экономики. Если предприятие
финансово устойчиво, то оно имеет преимущество перед другими предприятиями того
же профиля и привлечений инвестиций, в получении кредитов, в выборе поставщиков
и в подборе квалифицированных кадров. Наконец, оно не вступает в конфликт с
государством и обществом, так как выплачивает своевременно налоги в бюджет,
взносы в социальные фонды, заработную плату - рабочим и служащим, дивиденды
-акционерам, а банкам гарантирует возврат кредитов и уплату процентов по ним.
Оценка финансовой устойчивости
является не только частью анализа финансового состояния, но и выясняет вопросы
имущественного положения предприятия, ликвидности, платежеспособности,
кредитоспособности и рентабельности. Кроме того, анализ финансовой устойчивости
вскрывает имеющиеся недостатки и позволяет наметить пути их устранения.
Поскольку положительным фактором
финансовой устойчивости является наличие источников формирования запасов, а
отрицательным фактором - величина запасов, то основными способами выхода из
неустойчивого и кризисного финансовых состояний, будут: пополнение источников
формирования запасов и оптимизация их структуры, а также обоснованное снижение
уровня запасов.
Наиболее безрисковым способом
пополнения источников формирования запасов следует признать увеличение
реального собственного капитала за счет накопления нераспределенной прибыли или
за счет распределения прибыли после налогообложения в фонды накопления при
условии роста части этих фондов, не вложенной во внеоборотные активы. Снижения
уровня запасов происходит в результате планирования остатков запасов, а также
реализации неиспользованных товарно-материальных ценностей. Углубленный анализ
состояния запасов выступает в качестве составной части внутреннего анализа
финансового состояния, поскольку предполагает использование информации о
запасах, не содержащейся в бухгалтерской отчетности и требующей данных
аналитического учета.
Организация прогнозирования
финансовой устойчивости необходима, прежде всего, для того, чтобы увязать
источники поступления и направления использования собственных денежных средств.
В настоящее время важно не только
проанализировать финансовое состояние предприятия, но и спрогнозировать
финансовую устойчивость, а также разработать мероприятия по улучшению
финансового состояния.
Состав мероприятий внутренний эффект
получаемый предприятием
. Создание резервов из валовой и
чистой прибыли. Повышение в стоимости имущества доли собственного капитала,
увеличение величины источников собственных оборотных средств
. Усиление работы по взысканию
дебиторской задолженности. Повышение доли денежных средств, ускорение
оборачиваемости оборотных средств, рост обеспеченности собственными оборотными
средствами
. Снижение издержек производства.
Снижение величины запасов и затрат, повышение рентабельности реализации
. Ускорение оборачиваемости
дебиторской задолженности. Ритмичности поступления средств от дебиторов,
большой «запас прочности» по показателям платёжеспособности
Такой комплекс мероприятий является
общим для всех организация. Для каждой конкретной организации он может быть
дополнен в ходе общего анализа финансов предприятия и его деятельности.
Таким образом, оценка финансовой
устойчивости является не только частью анализа финансового состояния, но и
выясняет вопросы имущественного положения предприятия, ликвидности,
платежеспособности, кредитоспособности и рентабельности. Кроме того, анализ
финансовой устойчивости вскрывает имеющиеся недостатки и позволяет наметить
пути их устранения.
.2 Пути улучшения финансового состояния ЗАО «Параллель 2000»
При построении системы управления
финансовым состоянием важно оптимизировать соответствующие бизнес-процессы, для
чего необходимо определить:
состав ЦФО, по которым формируются и
контролируются бюджеты денежных средств;
участников процесса, то есть
сотрудников компании, выступающих в роли инициаторов платежей, контролеров
выполнения внутренних регламентов, акцептантов;
обязанности и полномочия каждого
участника бизнес-процесса, в частности по определению платежных лимитов, и
ответственных за принятие решений по тем или иным платежам;
выработка общего подхода к пониманию проблемы
результативности и производительности систем.
- разработка стратегических программ роста
производительности.
разработка подходов к методам измерения и оценки
производительности.
разработка методов контроля и повышения
производительности.
В дальнейшем это позволит сократить
трудозатраты топ-менеджеров компании (генерального и финансового директоров) на
контроль расходования средств. Если ранее им приходилось просматривать и
подписывать каждую заявку на оплату, то теперь, когда суммы расходов утверждены
в бюджетах, а порядок согласования платежей формализован, контроль за денежными
потоками можно возложить на финансового менеджера. Соответственно финансовый
(генеральный) директор будет согласовывать только ограниченное количество
платежей, как правило сверхлимитных, крупных или нерегулярных. Например, сумму
платежа за аренду офиса достаточно согласовать один раз при утверждении
бюджета, оставив контроль самой процедуры проплаты и соответствия сумм бюджету
за финансовым менеджером.
Оптимизированные бизнес-процессы управления
денежными потоками закрепляются в регламентных документах, например в «Порядке
прохождения платежей в компании». Эти документы утверждаются внутренним
приказом и являются обязательными к исполнению всеми подразделениями компании.
Внутренний документ, определяющий правила функционирования платежной системы
компании, обязательно будет содержать информацию о порядке прохождения заявок
на оплату, сроках, ответственных за согласование, обязанностях и полномочиях
сотрудников, последовательности действий.
Для улучшения ситуации в управлении денежными
потоками можно предложить провести следующие мероприятия.
.Переход расчетов с покупателями продукции на
систему аккредитива. Это позволит сократить сроки инкассации дебиторской
задолженности;
.Произвести инвентаризацию основных средств и
реализовать неиспользуемое оборудование, что позволит получить дополнительный
положительный денежный поток по инвестиционной деятельности.
.В 2010 года необходимо или сократить
инвестиционные программы, или найти долгосрочные источники (увеличить уставный
фонд, привлечь долгосрочные кредиты).
.Увеличить использование сырья (увеличить выход
товарной продукции) и снизить потери. Это позволит снизить себестоимость
продукции и потребность в сырье, а как следствие уменьшит отрицательные
денежные потоки по основной деятельности.
В 2009 году на производство одной единицы товара
расходовалось 2,3 единицы сырья. При этом выход попутной продукции составил:
продукция для реализации на внутреннем рынке
-105,2 тыс.руб.;
др. продукция -69631 тыс.руб.
Для снижения потерь сырья и увеличению объемов
производства проведены следующие мероприятия:
.Организована сортировка принимаемого сырья по
качеству и сортности;
.В декабре 2009 года была произведена
модернизация технологической линии;
.Улучшен учет сырья и готовой продукции.
.Принято решение о привлечении долгосрочного
кредита в феврале для пополнения оборотных средств в размере 70 000 долларов (2
009 000 рублей).
При расчете совокупной потребности в
краткосрочном финансировании ЗАО «Параллель 2000» необходимо принять во
внимание желаемый минимум денежных средств на расчетном счете 150 тысяч рублей.
С учетом желаемого минимума потребность в краткосрочном финансировании и
остатки денежных средств с учетом финансирования.
Рекомендуется рациональное управление текущими
активами, то есть умелое балансирование между рисками. Одни риски связаны с
недостатком текущих активов, а значит с угрозой срыва производственных планов
из за нехватки сырья и материалов или отсутствия возможности удовлетворить
запросы потребителей. Другие риски обусловлены избытком текущих активов, а это
приводит к замораживанию денежных средств в сырье, дебиторской задолженности и
т.д.
Таблица
3.1
Риски
ухудшения финансового состояния ЗАО «Параллель 2000»
|
Расходы
и риски, связанные с недостатком оборотных средств:
|
Расходы
и риски, связанные с избытком оборотных средств:
|
|
-задержки
в снабжении сырьем и материалами и как следствие увеличение продолжительности
производственного цикла и рост затрат; -дополнительные затраты на решение
вопросов финансирования; -невыполнение в сроки договорных обязятельств из-за
недостойного задела.
|
-запасы
могут испортиться физически или морально устареть; -рост расходов на хранение
излишков запасов; -должники могут отказаться платить или обанкротиться; -более
высокий обьем товарно-материальных запасов и незавершенного производства
увеличивает налог на имущество -инфляция может значительно уменьшить реальную
стоимость дебиторской задолженности, денежных средств
|
Рекомендуется удерживать имеющийся уровень собственных
средств, так как в привлечении заемных средств нет необходимости. Рост
коэффициента оборачиваемости собственного капитала указывает на увеличение
эффективности использования собственного капитала, но показатели рентабельности
собственного капитала настолько низки, что большую прибыль можно было бы
получить при вложении этих средств в банк под проценты. Так как основная часть
собственных средств идет на формирование внеоборотных активов, нужно
рассмотреть возможность изменения структуры внеоборотных активов, в частности,
попытаться изменить доли основных фондов и незавершенного производства .
Хотя финансовая независимость предприятия очень
высок, предприятие все равно нельзя отнести к абсолютно устойчивому типу, так
как, наряду с высокими показателями величины собственных средств, собственных
оборотных средств предприятия недостаточно для покрытия всех запасов и затрат.
Рекомендуется провести более глубокий анализ
запасов и затрат и выявить причины такого интенсивного роста (темп роста 215%),
так как отвлечение средств в излишние запасы - одна из основных причин
неустойчивого финансового положения.
Анализ платежеспособности предприятия показал
очень хорошие результаты. Хотя коэффициент абсолютной ликвидности низкий, то
есть предприятие не может отвечать на свои обязательств в ближайшее время, в
долгосрочном периоде у предприятия достаточно оборотных средств, которые могут
быть им использованы для погашения своих краткосрочных обязательств.
Рекомендуется удерживать имеющийся уровень
платежеспособности (нет необходимости пользоваться заемными средствами и
прибегать к помощи банков для пополнения оборотных средств, полезнее
мобилизировать свои средства) так как это даст возможность предприятию избежать
банкротства.
Так же необходимо повысить производительность
труда. Главными направлениями решения задачи повышения производительности труда
являются интенсификация производства, техническое переоснащение предприятия,
внедрение более совершенной техники, коренное повышение качества продукции,
улучшение организации производства и труда за счет улучшения
материально-технического обеспечения (в первую очередь), а также повышения
культуры производства и усиления роли «человеческого фактора». Все эти
направления неравноценны как по результатам роста производительности труда, так
и по затратам, связанным с ними. Многократное повышение производительности
труда можно получить за счет более полного использования результатов
научно-технического прогресса. Но его реализация требует, как правило, больших
капиталовложений, которые не всегда (в определенный момент времени) по силам
предприятию. Желание и возможность осуществить капиталовложения в
усовершенствование техники зависят от их прибыльности. Следовательно, в решении
вопроса об инвестициях необходимо руководствоваться теми же факторами, что и
при производстве любого товара. В первую очередь, это факторы, влияющие на
величину прибыли от отдельных технических усовершенствований. Возрастание
прибыльности от предполагаемого усовершенствования техники возможно в двух
случаях: во-первых, если при этом уменьшаются издержки производства товара, и,
во-вторых, если снижаются затраты на дефицитные ресурсы, продаваемые в связи с
этим по высоким ценам. Поэтому при планировании роста производительности труда
следует выбирать то направление из вышеприведенных, которое даст оптимальный
результат как по увеличению производительности труда, так и по затратам на его
осуществление.
На основании проведенного анализа можно сделать
вывод, что ЗАО «Параллель 2000», несмотря на приток денежных средств
(положительный чистый денежный поток) в анализируемом периоде, предприятие
испытывает дефицит денежных средств, необходимых для своевременного погашения
кредиторской задолженности и финансирования развития производства.
Основными причинами дефицита денежных средств
могут быть как внешние, так и внутренние источники.
Внешние источники:
изменения налогового законодательства;
высокая стоимость и краткосрочный характер
заемных средств;
инфляция.
Внутренние источники:
Недостатки в системе управления финансами:
- слабое финансовое планирование;
отсутствие управленческого учета;
потеря контроля над затратами;
низкая квалификация кадров.
Последствиями дефицита денежных средств
предприятия в отчетном периоде являются:
· Задержки в выплате заработной платы
(с соответствующим снижением производительности труда персонала);
· Рост КЗ перед поставщиками и
бюджетом;
· Повышение доли просроченной
задолженности по полученным кредитам;
· Рост продолжительности финансового
цикла;
· Снижение ликвидности активов и
уровне платежеспособности предприятия;
· Снижение рентабельности
использования собственного капитала и активов.
Т.о. можно определить решения, приводящие к
росту денежных средств:
· Привлечение заемного капитала;
· Увеличение текущих (краткосрочных)
обязательств;
· Уменьшение внеоборотных активов,
например, через продажу или применение ускоренной амортизации;
· Снижение дебиторской задолженности;
· Увеличение кредиторской
задолженности, например, приобретение материалов с отсрочкой платежа.
Стимулирование источников денежных средств можно
произвести с помощью внешних источников финансирования:
торговые кредиты;
кредиты банков;
ценные бумаги и векселя;
факторинг;
краткосрочная аренда.
Основанием для принятия решения о выборе
источника финансирования может быть альтернативная стоимость привлекаемых
средств.
Ускорение привлечения денежных средств в
краткосрочном периоде может быть достигнуто за счет следующих мероприятий:
1
увеличения
размера ценовых скидок за наличный расчет по реализованной покупателям
продукции;
2
обеспечения
частичной или полной предоплаты за произведенную продукцию, пользующуюся
высоким спросом на рынке;
3
сокращения
сроков предоставления товарного (коммерческого) кредита покупателям;
4
ускорения
инкассации просроченной дебиторской задолженности;
5
использования
современных форм рефинансирования дебиторской задолженности - учета векселей,
факторинга, форфейтинга;
6
ускорения
инкассации платежных документов покупателей продукции (времени нахождения их в
пути, в процессе регистрации, в процессе зачисления денег на расчетный счет и
т.п.).
Замедление выплат денежных средств в
краткосрочном периоде может быть достигнуто за счет следующих мероприятий:
7
увеличения
по согласованию с поставщиками сроков предоставления предприятию товарного
(коммерческого) кредита:
8
замены
приобретения долгосрочных активов, требующих обновления, на их аренду (лизинг);
9
реструктуризации
портфеля полученных финансовых кредитов путем перевода краткосрочных их видов в
долгосрочные.
Рост объема положительного денежного потока ЗАО
«Параллель 2000» в долгосрочном периоде может быть достигнуто за счет следующих
мероприятий:
10 привлечения
стратегических инвесторов с целью увеличения объема собственного капитала;
11 привлечения
долгосрочных финансовых кредитов;
12 продажи
(или сдачи в аренду) неиспользуемых видов основных средств.
Снижение объема отрицательного денежного потока
в долгосрочном периоде может быть достигнуто за счет следующих мероприятий:
13 сокращения
объема и состава реальных инвестиционных программ;
14 отказа
от финансового инвестирования:
15 снижения
суммы постоянных издержек предприятия.
Для увеличения прибыли и поддержания стабильной
работы предприятия в перспективе необходимо постоянно проводить анализ и оценку
деятельности предприятия в различных аспектах производства.
Рост объема положительного денежного потока в
долгосрочном периоде может быть достигнут за счет следующих мероприятий:
· привлечения стратегических
инвесторов с целью увеличения объема собственного капитала;
· дополнительной эмиссии акций;
· привлечения долгосрочных финансовых
кредитов и др.;
Снижение объема отрицательного денежного потока
в долгосрочном периоде может быть достигнуто за счет следующих мероприятий:
· сокращения объема и состава реальных
инвестиционных программ;
· отказа от финансового
инвестирования;
· снижения суммы постоянных издержек
предприятия.
ЗАКЛЮЧЕНИЕ
Хозяйственная деятельность любого предприятия
неразрывно связана с движением денежных средств. Денежные средства обслуживают
практически все аспекты операционной, инвестиционной и финансовой деятельности
предприятия. Непрерывный процесс движения денежных средств во времени
представляет собой денежный поток, который образно сравнивают с системой
«финансового кровооборащения», обеспечивающей жизнеспособность организации.
Актуальность темы обусловлена тем, что от
полноты и своевременности обеспечения процесса снабжения, производства и сбыта
продукции денежными ресурсами зависят результаты основной (операционной)
деятельности предприятия, степень его финансовой устойчивости и платежеспособности,
конкурентные преимущества, необходимые для текущего и перспективного развития.
Поэтому знание и умение использовать современные методы анализа финансового
состояния и обеспечение эффективного управления ими, залог успешной
деятельности любого предприятия.
Как проводится анализ эффективности управления
денежными потоками рассматривается на примере производственного предприятия ЗАО
«Параллель 2000».
Анализ основных показателей хозяйственной
деятельности торгового предприятия позволяет сделать вывод о том, что за
анализируемый период - 2007-2009гг. - ЗАО «Параллель 2000» существенно улучшило
свои показатели производственно-хозяйственной деятельности. Это выражается в
увеличении чистой прибыли с 3662 тыс.рублей в 2007. до 12544 тыс. рублей в 2009г
Рост финансового результата деятельности
предприятия обусловлен изменениями в политике производства продукции и
реструктуризацией системы управления и сбыта на предприятии. Темпы роста объема
производства продукции составили: в 2008 году - 139,79%, в 2009 году - 92,65%.
Получение достаточной величины чистой прибыли в 2009г. стало возможным также за
счет сокращения себестоимости реализованной продукции на 4998 тыс.рублей.
Расчет группы показателей, оценивающих
финансовое состояние предприятия, дал возможность выделить следующие
характеристики деятельности ЗАО «Параллель 2000» за 2007- 2009гг. Показатель
финансовой независимости находится на уровне 0,72-0,77 при рекомендуемом
значении 0,5. Динамика изменения коэффициента финансовой стабильности показывает
об укреплении финансовой устойчивости в долгосрочной перспективе и минимальном
уровне финансового риска. Оборотные средства предприятия в достаточном объеме
сформированы за счет собственных оборотных средств. Положительна оценивается их
динамика: в 2007. собственные оборотные средства составляли 37052 тыс.руб., в
2009г. - 69441 тыс. рублей. (абсолютный прирост - 32389 тыс. рублей.,
относительный - 87,4%).
Оценка структуры, динамики и эффективности
формирования и использования денежных потоков в процессе различных видов
деятельности предприятия (операционной, инвестиционной и финансовой) является
важным составным элементом финансового анализа деятельности предприятия. ЗАО
«Параллель 2000» на основании проведенного исследования можно сделать ряд
определенных выводов.
Анализ ликвидности баланса предприятия, расчет и
факторный анализ показателей общей, быстрой и абсолютной ликвидности
предприятия как критериев достаточности средств для выполнения текущих
обязательств предприятия позволяет выявить уровень достаточности денежных
средств, необходимых для нормального функционирования предприятия. Анализ
показал, что предприятие ЗАО «Параллель 2000» не испытывает острую потребность
в денежных средствах, что проявляется в расчете групп показателей ликвидности.
За счет преобладания в структуре активов предприятия малоликвидных статьей и
превалирования их над обязательствами, общая структура баланса предприятия
может быть признана удовлетворительной с точки зрения ликвидности. Показатели
абсолютной и быстрой ликвидности ЗАО «Параллель 2000» находятся выше
нормативных значений.
Для оптимизации денежных потоков ЗАО «Параллель»
следует порекомендовать осуществлять оперативное и стратегическое планирование
поступления и расходования денежных средств. Кроме того, ЗАО «Параллель» должно
в обязательном порядке пересмотреть свою политику проведения расчетов с
дебиторами в целях ускорения финансового цикла. Важным моментом является
пересмотр основных средств предприятия, выделения в их составе неиспользуемых,
реализации их или передачи в аренду неиспользуемых производственных мощностей.
Залогом повышения положительного денежного потока предприятия является
увеличение объемов реализации продукции, то есть проведения грамотной политики,
направленной на стимулирование сбыта. Отказ предприятия от внешних источников
финансирования явился необоснованным, так как в данном случае предприятие стало
испытывать значительные сложности в части выполнения обязательств. Предприятию
следует обратиться к банковскому кредитованию, так как это даст возможность не
только поддержать платежеспособность, но и повысит возможности предприятия в
части генерирования прибыли.
Рассмотрение особенностей автоматизации
аналитической работы в части управления движением денежных средств предприятия
с использованием средств ПК позволило сделать следующий вывод, автоматизация
экономического анализа значительно облегчает и ускоряет эффективность анализа и
управления на предприятии.
Исходя из произведенных расчетов, анализа работы
можно сделать вывод, что в рыночных условиях данное предприятие может и в
дальнейшем заниматься своей производственной деятельностью. Что бы улучшить
эффективность управления денежными потоками ЗАО «Параллель 2000» рекомендуется
осуществлять оперативное и стратегическое планирование поступления и
расходования денежных средств. Автоматизировать анализ, что позволит ускорить
процессы анализа и даст возможность своевременно принимать управленческие
решения.
БИБЛИОГРАФИЧЕСКИЙ
СПИСОК
1. Абрютина
М.С., Грачев А.В. Экспресс-анализ финансовой отчетности, 2003. - 120 с.
2. Анализ
и управление денежными потоками: учеб. пособие. - Курск, 2006.
3. Анализ
финансовой отчетности: Учебник / Под ред. Ефимовой О.В., Мельник М.В. - М.:
Омега - Л, 2006.
4. Анализ
хозяйственной деятельности промышленности: Учебник / Под ред. Стражева В.И. -
Минск: Высшая школа, 2007. .
5. Арабян
К.К. Анализ бухгалтерской (финансовой) отчетности внешними пользователями:
[учеб. пособие для вузов по направлению "Экономика"] /К.К. Арабян. -
М.: КноРус, 2008.- 299 с.
6. Арзуманова
Т.И., Мачабели М.Ш. Экономика и планирование на предприятиях торговли и
питания: Учебное пособие. - М.: Издательско-торговая корпорация «Дашков и К»,
2007.
7. Баканов
А.С., Шеремет А.Д. Теория экономического анализа, 5-е издание. - М.: Финансы и
статистика, 2007. - 410 с.
8. Баканов
М.И., Шеремет А.Д. Теория экономического анализа. М. 2002.
9. Белозеров
С.А. Финансы в вопросах и ответах.- М.: Велби, 2009
10. Берникова
Т.Б. Анализ и диагностика финансово-хозяйственной деятельности предприятия:
Учебное пособие. - М.: Инфра - М, 2006. - 290 с
11. Бердникова
Т.Б. Анализ и диагностика финансово-хозяйственной деятельности предприятия:
учеб. пособие: [по экон. и упр. специальностям] /Т. Б. Бердникова. - М.:
ИНФРА-М, 2007.- 212 с.
12. Богатко А.И.
Основы экономического анализа хозяйствующих субъектов. - М: Финансы и
статистика, 2001.
13. Валевич
Р.П., Давыдова Г.А. Экономика торгового предприятия: Учеб. пособие. Мн.:
Вышэйш. шк., 2001.
14. Гиляровская
Л.Т. Экономический анализ. - М.: Юнити - Дана, 2007. - 330 с.
15. Глазов М.М.
Анализ и диагностика финансово-коммерческой деятельности промышленного
предприятия: учеб.-метод. пособие /М.М. Глазов; М-во образования и науки Рос.
Федерации, Рос. гос. гидрометеорол. ун-т. - 5-е изд., перераб. и доп.. - СПб.:
Изд-во РГГМУ, 2007.- 202 с.
16. Годин А.М.
Влияние финансового анализа и планирования на функционирование предприятий
(компаний, фирм) /А.М. Годин, О.Б. Буздалина; Информ.-внедренч. центр
"Маркетинг". - М.: ИВЦ "Маркетинг", 2007.- 108 с.
17. Гребнев
А.И., Баженов Ю.К. Экономика торгового предприятия. М.: Экономика, 2001.
18. Губина О.В.
Анализ финансово-хозяйственной деятельности. Практикум. -М. : Инфра-М, 2010.
19. Денежные
средства: учет, анализ, аудит: [учеб. пособие по специальности "Бухгалт.
учет, анализ и аудит" /В.А. Пипко и др.]. - М.: Финансы и статистика,
2007.- 236 с.
20. Ермолович
Л.Л., Сивчик Л.Г., Толкач Г.В., Щитникова И.В. Анализ хозяйственной
деятельности предприятия: Учебное пособие. - Минск: Интерсервисс;
Экоперспектива, 2002 г.
21. Ивасенко
А.Г. Финансы организации (предприятий). -М.: Кнорус, 2009. - 211 с.
22. Кравченко
Л.И. Анализ хозяйственной деятельности в торговли. - Минск: Высшая школа, 2001.
23. Лебедева
С.Н. Экономика торгового предприятия. Мн.: Новое издание, 2002, 240 с.
24. Леви М., Вейтц
Б.А. Основы розничной торговли. - СПб., 2002.
25. Любушин Н.П,
Лещева В.Д., Дьякова В.Г. Анализ финансово-экономической деятельности
предприятия. М. 2003.
26. Макарова
Л.Г. Экономический анализ в управлении финансами фирмы: [учеб. пособие по
специальностям "Финансы и кредит", "Бухгалт. учет, анализ и
аудит"] /Л.Г. Макарова, А.С. Макаров. - М.: Академия, 2008.- 331 с.
27. Никольская
Э.В. Анализ и диагностика финансово-хозяйственной деятельности полиграфических
предприятий: Учебник. - М.: МГУП, 2002. - 404 с.
28. Раицкий К.А.
Экономика предприятия: учебник для вузов. - М.: ИВЦ «Маркетинг», 2006.
29. Савицкая
Г.В. Анализ хозяйственной деятельности предприятия. М. 2001.
30. Современная
экономика / Под ред. О.Ю. Мамедова. - Ростов-на-Дону: Феникс, 2003.
31. Соловьев
Б.А. Экономика торговли. М.: Экономика, 2001.
32. Соловьев
А.А. Розничная торговля. - М., 2000.
33. Танашева
О.Г. Анализ затрат и финансовых результатов деятельности коммерческих
организаций: учеб. пособие /О.Г. Танашева; Федер. агентство по образованию,
Челяб. гос. ун-т. - Изд. 2-е, перераб. и доп.. - Челябинск: ЧелГУ, 2006.- 125
с.: a-ил.
34. Тупицын А.Л.
Экономический анализ доходов и расходов торгового предприятии // Новосибирск,
2008 г. - 100с.
35. Шеремет
А.Д., Сайфулин Р.С. Методика финансового анализа. М. 2001.
36. Фридман А.М.
Экономика предприятий торговли и питания потребительского общества: Учебник. -
М.: Издательско-торговая корпорация «Дашков и К», 2008.
37. Шеремет
А.Д., Сайфулин Р.С. Методика финансового анализа.- М.: ИНФРА-М, 2005.
38. Щур Д.Л.,
Труханович Л.В. Основы торговли. Розничная торговля. - М., 2003.
39. Экономический
анализ: учебник для вузов / Под ред. Гиляровской Л.Т. - 2-е издание. - М.:
Юнити - Дана, 2002. - 286 с.
40. Экономика.
Организация производства/ Под ред. Джурабаева К.Т. - Новосибирск, 2002.
41. Экономика,
анализ и планирование на предприятии торговли / Под ред. А.Н.Соломатина. -
СПб.:Питер, 2009.
42. Экономика
торгового предприятия: Учеб. Пособие / Под ред. С.Н. Лебедевой. - Мн.: Новое
знание, 2003 г. - 240 с.
43. Экономика
торгового предприятия / Под ред. проф. А.И. Гребнева. - М.: Экономика 2006.
44. Экономический
анализ в торговле: Учебное пособие / Под ред. М.И.Баканова. - М.: Финансы и
статистики, 2005.
45. Экономика
фирмы: Учебник для вузов / Под ред. В.Я. Горфинкеля и В.А. Швандара. - М.:
ЮНИТИ-ДАНА, 2003.
46. Экономика
предприятия: Учеб. / Под ред. А.И. Руденко. Мн.: ИП Экоперспектива, 2001.
47. Экономика
предприятия: Учебник / Под ред. И.О. Волкова. - М.: ИНФРА-М, 2002.
Приложение
1
Годовая
бухгалтерская отчетность за 2008 год
БУХГАЛТЕРСКИЙ
БАЛАНС
|
|
Коды
|
|
Форма
№ 1 по ОКУД
|
0710001
|
|
на
31 декабря 2008 года
|
Дата
(год, месяц, число)
|
|
|
|
|
Организация:
Общество с ограниченной ответственностью «Пареллель 2000»
|
по
ОКПО
|
00207793
|
|
Идентификационный
номер налогоплательщика
|
ИНН
|
5401101284
|
|
Вид
деятельности: Торговая деятельность
|
по
ОКДП
|
5149010
|
|
Организационно-правовая
форма / форма собственности: ЗАО
|
по
ОКОПФ/ОКФС
|
47/16
|
|
Единица
измерения: т. руб.
|
по
ОКЕИ
|
|
|
|
|
|
|
|
|
|
АКТИВ
|
Код
стр.
|
На
начало отчетного периода
|
На
конец отчетного периода
|
|
1
|
2
|
3
|
4
|
|
I.
ВНЕОБОРОТНЫЕ АКТИВЫ
|
|
|
|
|
Нематериальные
активы
|
110
|
20
|
0
|
|
Основные
средства
|
120
|
34770
|
42555
|
|
Незавершенное
строительство
|
130
|
8393
|
0
|
|
Доходные
вложения в материальные ценности
|
135
|
0
|
0
|
|
Долгосрочные
финансовые вложения
|
140
|
9
|
0
|
|
прочие
долгосрочные финансовые вложения
|
145
|
111
|
186
|
|
Прочие
внеоборотные активы
|
150
|
0
|
0
|
|
ИТОГО
по разделу I
|
190
|
43294
|
42741
|
|
II.
ОБОРОТНЫЕ АКТИВЫ
|
|
|
|
|
Запасы
|
210
|
21746
|
30839
|
|
сырье,
материалы и другие аналогичные ценности
|
211
|
12136
|
16121
|
|
животные
на выращивании и откорме
|
212
|
0
|
0
|
|
затраты
в незавершенном производстве (издержках обращения)
|
213
|
0
|
0
|
|
готовая
продукция и товары для перепродажи
|
214
|
9293
|
14428
|
|
товары
отгруженные
|
215
|
0
|
0
|
|
расходы
будущих периодов
|
216
|
317
|
290
|
|
прочие
запасы и затраты
|
217
|
0
|
0
|
|
Налог
на добавленную стоимость по приобретенным ценностям
|
220
|
270
|
0
|
|
Дебиторская
задолженность (платежи по которой ожидаются более чем через 12 месяцев после
отчетной даты)
|
230
|
787
|
588
|
|
покупатели
и заказчики
|
231
|
787
|
588
|
|
Дебиторская
задолженность (платежи по которой ожидаются в течение 12 месяцев после
отчетной даты)
|
240
|
12521
|
15401
|
|
покупатели
и заказчики
|
241
|
6983
|
12288
|
|
Краткосрочные
финансовые вложения
|
250
|
0
|
0
|
|
Денежные
средства
|
260
|
1728
|
3372
|
|
Прочие
оборотные активы
|
270
|
0
|
0
|
|
ИТОГО
по разделу II
|
290
|
37052
|
50200
|
|
БАЛАНС
|
300
|
80346
|
92941
|
|
ПАССИВ
|
Код
стр.
|
На
начало отчетного периода
|
На
конец отчетного периода
|
2
|
3
|
4
|
|
III.
КАПИТАЛ И РЕЗЕРВЫ
|
|
|
|
|
Уставный
капитал
|
410
|
1264
|
1264
|
|
Собственные
акции ,выкупленные у акционеров
|
411
|
0
|
0
|
|
Добавочный
капитал
|
420
|
13387
|
13387
|
|
Резервный
капитал
|
430
|
632
|
632
|
|
резервы,
образованные в соответствии с законодательством
|
431
|
632
|
632
|
|
резервы,
образованные в соответствии с учредительными документами
|
432
|
0
|
0
|
|
Нераспределенная
прибыль (непокрытый убыток)
|
470
|
46204
|
56450
|
|
ИТОГО
по разделу III
|
490
|
61487
|
71733
|
|
IV.
ДОЛГОСРОЧНЫЕ ОБЯЗАТЕЛЬСТВА
|
|
|
|
|
Займы
и кредиты
|
510
|
7993
|
4996
|
|
Отложенные
налоговые обязательства
|
515
|
0
|
0
|
|
Прочие
долгосрочные обязательства
|
520
|
0
|
0
|
|
ИТОГО
по разделу IV
|
590
|
7993
|
4996
|
|
V.
КРАТКОСРОЧНЫЕ ОБЯЗАТЕЛЬСТВА
|
|
|
|
|
Займы
и кредиты
|
610
|
0
|
0
|
|
Кредиторская
задолженность
|
620
|
4102
|
6286
|
|
поставщики
и подрядчики
|
621
|
1069
|
684
|
|
задолженность
перед персоналом организации
|
622
|
1239
|
1355
|
|
задолженность
перед государственными внебюджетными фондами
|
623
|
228
|
183
|
|
задолженность
по налогам и сборам
|
624
|
446
|
3418
|
|
прочие
кредиторы
|
625
|
1120
|
646
|
|
Задолженность
участникам (учредителям) по выплате доходов
|
630
|
14
|
14
|
|
Доходы
будущих периодов
|
640
|
6750
|
9912
|
|
Резервы
предстоящих расходов
|
650
|
0
|
0
|
|
Прочие
краткосрочные обязательства
|
660
|
0
|
0
|
|
ИТОГО
по разделу V
|
690
|
10866
|
16212
|
|
БАЛАНС
|
700
|
80346
|
93941
|
ОТЧЕТ
О ПРИБЫЛЯХ И УБЫТКАХ
|
|
Коды
|
|
Форма
№ 2 по ОКУД
|
0710002
|
|
За
2008год
|
Дата
(год, месяц, число)
|
|
|
|
|
Организация:
Общество с ограниченной ответственностью «Параллель 2000»
|
по
ОКПО
|
00207793
|
|
Идентификационный
номер налогоплательщика
|
ИНН
|
5401101284
|
|
Вид
деятельности: Торговая деятельность
|
по
ОКДП
|
5149010
|
|
Организационно-правовая
форма / форма собственности: ЗАО
|
по
ОКОПФ/ОКФС
|
47/16
|
|
Единица
измерения: т. руб.
|
по
ОКЕИ
|
|
|
|
|
|
|
|
|
|
Наименование
показателя
|
Код
стр.
|
За
отчетный период
|
За
аналогичный период предыдущего года
|
|
1
|
2
|
3
|
4
|
|
I.
Доходы и расходы по обычным видам деятельности
|
|
|
|
|
Выручка
(нетто) от продажи товаров, продукции, работ, услуг (за минусом налога на
добавленную стоимость, акцизов и аналогичных обязательных платежей)
|
010
|
188713
|
134995
|
|
Себестоимость
проданных товаров, продукции, работ, услуг
|
020
|
(158611)
|
(121194)
|
|
Валовая
прибыль
|
029
|
30102
|
13801
|
|
Коммерческие
расходы
|
030
|
(14663)
|
(12864)
|
|
Управленческие
расходы
|
040
|
0
|
0
|
|
Прибыль
(убыток) от продаж
|
050
|
15439
|
937
|
|
II.
Операционные доходы и расходы
|
|
|
|
|
Проценты
к получению
|
060
|
433
|
360
|
|
Проценты
к уплате
|
070
|
(751)
|
(682)
|
|
Доходы
от участия в других организациях
|
080
|
0
|
0
|
|
Прочие
доходы
|
090
|
1061
|
3577
|
|
Прочие
расходы
|
100
|
(2239)
|
(6824)
|
|
Прибыль
(убыток) до налогообложения
|
140
|
13943
|
(2632)
|
|
Отложенные
налоговые активы
|
141
|
75
|
44
|
|
Отложенные
налоговые обязательства
|
142
|
0
|
0
|
|
Текущий
налог на прибыль
|
150
|
(3612)
|
(901)
|
|
ИНЫЕ
ПЛАТЕЖИ
|
151
|
(161)
|
(174)
|
|
Чистая
прибыль (убыток) отчетного периода) )
|
190
|
10245
|
(3663)
|
|
СПРАВОЧНО.
Постоянные налоговые обязательства (активы) Дивиденды, приходящиеся на одну
акцию: по привилегированным
|
200 201
|
532
|
634
|
|
по
обычным
|
202
|
-
|
-
|
|
Предполагаемые
в следующем отчетном году суммы дивидендов, приходящиеся на одну акцию: по
привилегированным
|
203
|
-
|
-
|
|
по
обычным
|
204
|
-
|
-
|
Приложение
2
Годовая
бухгалтерская отчетность за 2009год
БУХГАЛТЕРСКИЙ
БАЛАНС
|
|
Коды
|
|
Форма
№ 1 по ОКУД
|
0710001
|
|
на
31 декабря 2009 года
|
Дата
(год, месяц, число)
|
|
|
|
|
Организация:
Общество с ограниченной ответственностью «Параллель 2000»
|
по
ОКПО
|
00207793
|
|
Идентификационный
номер налогоплательщика
|
ИНН
|
5401101284
|
|
Вид
деятельности: Торговая деятельность
|
по
ОКДП
|
5149010
|
|
Организационно-правовая
форма / форма собственности: ЗАО
|
по
ОКОПФ/ОКФС
|
47/16
|
|
Единица
измерения: т. руб.
|
по
ОКЕИ
|
|
|
|
|
|
|
|
|
|
АКТИВ
|
Код
стр.
|
На
начало отчетного периода
|
На
конец отчетного периода
|
|
1
|
2
|
3
|
4
|
|
I.
ВНЕОБОРОТНЫЕ АКТИВЫ
|
|
|
|
|
Нематериальные
активы
|
110
|
0
|
0
|
|
Основные
средства
|
120
|
42555
|
40341
|
|
Незавершенное
строительство
|
130
|
0
|
0
|
|
Доходные
вложения в материальные ценности
|
135
|
0
|
0
|
|
Долгосрочные
финансовые вложения
|
140
|
0
|
0
|
|
прочие
долгосрочные финансовые вложения
|
145
|
186
|
211
|
|
Прочие
внеоборотные активы
|
150
|
0
|
0
|
|
ИТОГО
по разделу I
|
190
|
42741
|
40552
|
|
II.
ОБОРОТНЫЕ АКТИВЫ
|
|
|
|
|
Запасы
|
210
|
30839
|
37832
|
|
сырье,
материалы и другие аналогичные ценности
|
211
|
16121
|
19096
|
|
животные
на выращивании и откорме
|
212
|
0
|
0
|
|
затраты
в незавершенном производстве (издержках обращения)
|
213
|
0
|
0
|
|
готовая
продукция и товары для перепродажи
|
214
|
14428
|
18453
|
|
товары
отгруженные
|
215
|
0
|
|
расходы
будущих периодов
|
216
|
290
|
283
|
|
прочие
запасы и затраты
|
217
|
0
|
0
|
|
Налог
на добавленную стоимость по приобретенным ценностям
|
220
|
0
|
0
|
|
Дебиторская
задолженность (платежи по которой ожидаются более чем через 12 месяцев после
отчетной даты)
|
230
|
588
|
0
|
|
покупатели
и заказчики
|
231
|
588
|
0
|
|
Дебиторская
задолженность (платежи по которой ожидаются в течение 12 месяцев после
отчетной даты)
|
240
|
15401
|
21558
|
|
покупатели
и заказчики
|
241
|
12288
|
8298
|
|
Краткосрочные
финансовые вложения
|
250
|
0
|
0
|
|
Денежные
средства
|
260
|
3372
|
9967
|
|
Прочие
оборотные активы
|
270
|
0
|
84
|
|
ИТОГО
по разделу II
|
290
|
50200
|
69441
|
|
БАЛАНС
|
300
|
92941
|
109993
|
|
ПАССИВ
|
Код
стр.
|
На
начало отчетного периода
|
На
конец отчетного периода
|
|
1
|
2
|
3
|
4
|
|
III.
КАПИТАЛ И РЕЗЕРВЫ
|
|
|
|
|
Уставный
капитал
|
410
|
1264
|
1264
|
|
Собственные
акции ,выкупленные у акционеров
|
411
|
-
|
-
|
|
Добавочный
капитал
|
420
|
13387
|
13387
|
|
Резервный
капитал
|
430
|
632
|
632
|
|
резервы,
образованные в соответствии с законодательством
|
431
|
632
|
632
|
|
резервы,
образованные в соответствии с учредительными документами
|
432
|
0
|
0
|
|
Нераспределенная
прибыль (непокрытый убыток)
|
470
|
56450
|
68994
|
|
ИТОГО
по разделу III
|
490
|
71733
|
84277
|
|
IV.
ДОЛГОСРОЧНЫЕ ОБЯЗАТЕЛЬСТВА
|
|
|
|
|
Займы
и кредиты
|
510
|
4996
|
0
|
|
Отложенные
налоговые обязательства
|
515
|
0
|
0
|
|
Прочие
долгосрочные обязательства
|
520
|
0
|
0
|
|
ИТОГО
по разделу IV
|
590
|
4996
|
0
|
|
V.
КРАТКОСРОЧНЫЕ ОБЯЗАТЕЛЬСТВА
|
|
|
|
|
Займы
и кредиты
|
610
|
0
|
1799
|
|
Кредиторская
задолженность
|
620
|
6286
|
13752
|
|
поставщики
и подрядчики
|
621
|
684
|
288
|
|
задолженность
перед персоналом организации
|
622
|
1355
|
1353
|
|
задолженность
перед государственными внебюджетными фондами
|
623
|
183
|
468
|
|
задолженность
по налогам и сборам
|
624
|
3418
|
10186
|
|
прочие
кредиторы
|
625
|
646
|
1457
|
|
Задолженность
участникам (учредителям) по выплате доходов
|
630
|
14
|
14
|
|
Доходы
будущих периодов
|
640
|
9912
|
19151
|
|
Резервы
предстоящих расходов
|
650
|
0
|
0
|
|
Прочие
краткосрочные обязательства
|
660
|
0
|
0
|
|
ИТОГО
по разделу V
|
690
|
16212
|
25716
|
|
БАЛАНС
|
700
|
92941
|
109993
|
ОТЧЕТ
О ПРИБЫЛЯХ И УБЫТКАХ
|
|
Коды
|
|
Форма
№ 2 по ОКУД
|
0710002
|
|
За
2009год
|
Дата
(год, месяц, число)
|
|
|
|
|
Организация:
Общество с ограниченной ответственности «Параллель 2000»
|
по
ОКПО
|
00207793
|
|
Идентификационный
номер налогоплательщика
|
ИНН
|
5401101284
|
|
Вид
деятельности: Торговая деятельность
|
по
ОКДП
|
5149010
|
|
Организационно-правовая
форма / форма собственности: ЗАО
|
по
ОКОПФ/ОКФС
|
47/16
|
|
Единица
измерения: т. руб.
|
по
ОКЕИ
|
|
|
|
|
|
|
|
|
|
Наименование
показателя
|
Код
стр.
|
За
отчетный период
|
За
аналогичный период предыдущего года
|
|
1
|
2
|
3
|
4
|
|
I.
Доходы и расходы по обычным видам деятельности
|
|
|
|
|
Выручка
(нетто) от продажи товаров, продукции, работ, услуг (за минусом налога на
добавленную стоимость, акцизов и аналогичных обязательных платежей)
|
010
|
174831
|
188713
|
|
Себестоимость
проданных товаров, продукции, работ, услуг
|
020
|
(153613)
|
(158611)
|
|
Валовая
прибыль
|
029
|
21218
|
30102
|
|
Коммерческие
расходы
|
030
|
(2166)
|
(14663)
|
|
Управленческие
расходы
|
040
|
-
|
-
|
|
Прибыль
(убыток) от продаж
|
050
|
19052
|
15439
|
|
II.
Операционные доходы и расходы
|
|
|
|
|
Проценты
к получению
|
060
|
447
|
433
|
|
Проценты
к уплате
|
070
|
(550)
|
(751)
|
|
Доходы
от участия в других организациях
|
080
|
0
|
0
|
|
Прочие
доходы
|
090
|
1272
|
1061
|
|
Прочие
расходы
|
100
|
(3109)
|
(2239)
|
|
Прибыль
(убыток) до налогообложения
|
140
|
17112
|
13943
|
|
Отложенные
налоговые активы
|
141
|
25
|
75
|
|
Отложенные
налоговые обязательства
|
142
|
0
|
0
|
|
Текущий
налог на прибыль
|
150
|
(3900)
|
(3612)
|
|
Дополнительные
показатели
|
151
|
(693)
|
(161)
|
|
Чистая
прибыль (убыток) отчетного периода) )
|
190
|
12544
|
10245
|
|
СПРАВОЧНО.
Постоянные налоговые обязательства (активы) Дивиденды, приходящиеся на одну
акцию: по привилегированным
|
200 201
|
569
|
532
|
|
по
обычным
|
202
|
-
|
-
|
|
Предполагаемые
в следующем отчетном году суммы дивидендов, приходящиеся на одну акцию: по
привилегированным
|
203
|
-
|
-
|
|
по
обычным
|
204
|
-
|
-
|