Определение параметров такта сжатия и механического шума двигателя автомобиля
Содержание
Введение
Задача 1. Определение параметров
такта сжатия
Задача 2. Определение параметров
механического шума автомобиля
Задача 3. Определение мощности
двигателя автомобиля
Заключение
Список использованных источников
Введение
Теория автомобиля - это наука о его
функциональных свойствах, о зависимостях этих свойств от конструктивных
параметров автомобиля, о закономерностях движения автомобиля, об эффективных и
безопасных режимах движения в заданных условиях.
Автомобиль представляет собой транспортное
средство, предназначенное для перемещения людей и грузов по поверхности земли.
Движение автомобиля осуществляется благодаря наличию собственного источника
энергии (двигателя) и механизмов, обеспечивающих управляемое взаимодействие с
опорной поверхностью дороги или грунта.
Эффективность функционирования автомобиля
определяется его потенциальными физическими свойствами и степенью полноты их
использования в реальных условиях эксплуатации.
Свойство - это категория, выражающая такую
сторону предмета, которая обусловливает его различие или общность с другими
предметами и обнаруживается в его отношении к ним. Свойства образуют
иерархическую систему, включающую качество, крупные групповые свойства
(надежность, безопасность и др.), мелкие групповые и единичные свойства.
Качество автомобиля - это совокупность свойств,
обусловливающих его пригодность для удовлетворения определенных потребностей в
соответствии с его назначением. Качество имеет первостепенное значение для
производителя и потребителя продукции, поскольку качество определяет ее
потребительскую стоимость.
Различают две группы потенциальных свойств:
функциональные свойства и свойства надежности.
Функциональные свойства определяются назначением
автомобиля и характеризуют его возможность выполнять предписанные функции. Они
проявляются в движении автомобиля и характеризуют его предельные
эксплуатационные возможности.
Свойства надежности характеризуют способность
автомобиля сохранять работоспособное состояние в установленном интервале
времени или пробега. Важное значение для потребителя имеют эргономические,
эстетические и многие другие свойства.
Функциональные свойства и свойства надежности
определяют степень приспособленности автомобиля к эксплуатации в качестве
транспортного средства. Их совокупность называют эксплуатационными свойствами
автомобиля.
Задача 1. Определение параметров
такта сжатия
автомобиль сжатие
двигатель шум
Определить давление в конце такта
сжатия pc карбюраторного двигателя,
если
известно что степень сжатия ε
=
12,
давление
окружающего
воздуха p0
= 0,1МПа,
показатель политропы сжатия ni
= 1,35.
Теоретические сведения:
В процессе сжатия повышаются
температура и давление смеси. Значения этих параметров в конце процесса зависят
главным образом от термодинамических параметров среды в начале сжатия, степени
сжатия е и характера теплообмена. Более высоким степени сжатия и
термодинамическим параметрам конца процесса сжатия соответствуют большие
степени расширения и лучшее теплоиспользование.
Сжатие рабочей смеси создает
благоприятные условия для протекания процесса сгорания вследствие повышения к
моменту воспламенения смеси ее температуры и давления и сосредоточения смеси в
небольшом компактном объеме. В зависимости от типа смесеобразования и способа
воспламенения требования к степени сжатия и значениям конечных параметров
различны.
В двигателях с искровым
зажиганием, работающих на жидком топливе, при сжатии продолжаются испарение
топлива и перемешивание его паров с воздухом. Пределы значений температуры и
давления конца сжатия лимитируются условиями возникновения детонации. При
наличии в камере сгорания чрезмерно перегретых деталей или отложений нагара
может возникнуть преждевременное воспламенение смеси.
В дизелях процесс
смесеобразования происходит в камере сгорания при положении поршня вблизи в. м.
т. и большей частью одновременно с горением топлива. Требования к процессу
сжатия в данном случае обусловлены необходимостью получения к моменту впрыска
топлива достаточно высокой температуры, обеспечивающей воспламенение части
испарившегося топлива без постороннего источника зажигания. Это условие должно
выполняться при всех возможных эксплуатационных режимах и в случае
использования топлив с различным фракционным составом (многотопливные дизели).
В начальный период процесса сжатия температура
смеси (воздуха) ниже температуры поверхностей, ограничивающих внутрицилиндровый
объем, поэтому температура заряда повышается как в результате сжатия, так и
вследствие подвода теплоты от стенок. В некоторый момент средние температуры
заряда и стенок становятся одинаковыми и при дальнейшем движении поршня вплоть
до конца процесса сжатия теплота отводится от заряда в стенки.
Примерный характер протекания
процесса сжатия показан на рисунке 1, а, б. В момент закрытия впускных органов
давление и температура заряда равны ра` и Та`. При
адиабатном сжатии (k=1,41=const)
давление и температура конца сжатия были бы рck
и Тck.
Среднее значение температуры теплопередающих поверхностей Тст. ср показано
на графике штриховой линией. Вследствие разности Тст.ср - Т в
начальный период сжатия процесс протекает по политропе с переменным показателем
n'>k.
От точки r (где Т=Тст.
ср) сжатие происходит с переменным показателем n''1<k.
На теплообмен во втором периоде влияет увеличивающаяся при сжатии разность Т -
Тст. ср и одновременно уменьшение площади теплопередающей
поверхности. В результате температура Тс и давление рс в
конце сжатия будут отличаться от значений, соответствующих адиабатному процессу
сжатия.
На рисунке 1, а приведена
кривая (штриховая) изменения давления с показателем политропы n=1,33,
при котором давление и температура конца процесса примерно такие же, как и для
случая с переменным показателем.
Рисунок 1. - Характеристика
процесса сжатия (при Та=320 К; р=0,1 МПа; n`1=1,5;
n``1=1,28;
n1=1,33;
Тст.ср=460 К)
Рассмотренные условия
протекания процесса сжатия характерны для поршневых двигателей всех типов. В
двигателе с искровым зажиганием в начальной стадии процесса часть полученной
зарядом от стенок теплоты затрачивается на испарение бензина. Теплоемкость
смеси выше, чем в дизеле, из-за наличия в ней паров бензина и несколько
большего количества остаточных газов. В результате осредненное значение
показателя адиабаты для такой смеси в том же интервале температур получается
ниже, чем для дизелей.
Из-за меньшей степени сжатия в
двигателе с искровым зажиганием температура и давление в конце процесса сжатия
ниже, чем в дизеле, что влияет на характер теплообмена во второй стадии
процесса, когда n"<k.
В дизеле с момента начала
впрыска топлива (точка 1) вследствие затраты теплоты на его испарение в период
задержки воспламенения при одновременном сжатии заряда давление и температура
повышаются в меньшей степени, чем при сжатии без впрыска топлива. На рисунке 1,
в показан характер изменения параметров конца сжатия при отсутствии (штриховые
линии) и наличии (сплошные) впрыска и начала сгорания топлива в дизеле.
Независимо от типа двигателя процесс сгорания,
при котором начинается резкое увеличение температуры и давления, происходит за
несколько градусов до в. м. т., что учитывается при построении индикаторной
диаграммы соответствующим округленней этого участка на основании
экспериментальных данных по аналогичным двигателям.
Аналитически определить
параметры в конце сжатия с учетом переменного показателя политропы
затруднительно. Принято температуру и давление в конце сжатия подсчитывать по
среднему, постоянному для всего процесса, значению показателя политропы.
Принимая, что начало сжатия совпадает с н. м. т., получаем:

(1)

(2)
На рисунке 2 приведены значения рс
и Тс подсчитанные по формулам (1) и (2) для трех значений n1 при ра=0,09
МПа и Та=323 К.
Рисунок 2. - Зависимость давления рс
и температуры Тс от ε при различных значениях n1
Как видно, при изменении показателя n1 в указанных
пределах существенно меняются значения рс и Тс.
Вследствие этого значения n1 следует
выбирать, основываясь на имеющихся экспериментальных данных по двигателям,
сходным с рассчитываемым по размерам цилиндров, быстроходности и конструктивным
параметрам.
Указанный характер теплообмена и его
кратковременность приводят к тому, что суммарная величина теплообмена в
быстроходных двигателях (особенно с искровым зажиганием) незначительна, она
составляет примерно 1,0-1,5% теплоты, вносимой с топливом. Поэтому при
отсутствии точных данных о величине n1,
ее можно определять по среднему показателю адиабаты по формулам:

(3)

(4)
где 
- средняя
мольная теплоемкость смеси, участвующей в процессе сжатия, кДж/(кмольЧ°С); Тс
- температура в конце адиабатного сжатия, К.
Это допустимо, так как в большинстве
случаев 
Условия теплообмена в процессе
сжатия определяются:
. Разностью между температурами
смеси и теплопередающими поверхностями.
. Относительной площадью
теплопередающей поверхности, т. е. отношением площади теплопередающей
поверхности Fпов рабочему
объему цилиндра Vh.
. Количеством смеси, находящейся в
цилиндре в процессе сжатия.
. Временем, в течение которого происходит
теплообмен.
. Коэффициентом теплоотдачи от газов
к поверхностям, зависящим от скорости движения смеси.
. Количеством бензина, испаряющегося
в процессе сжатия (в бензиновых двигателях).
Конечные параметры конца сжатия
зависят также от начальных значений ра и Та и от утечек
смеси через неплотности в поршневых кольцах.
При низкой температуре
теплопередающих поверхностей (например, при пуске двигателя после длительной
стоянки в холодном помещении или на улице в зимнее время) теплота от заряда
отводится в охлаждающую среду особенно интенсивно. При пуске холодного
двигателя, когда частота вращения коленчатого вала мала и кольца недостаточно
плотно прилегают к зеркалу цилиндра, а время, в течение которого происходит
сжатие, сравнительно велико, возникают заметные утечки заряда через неплотности
в кольцах. В этом случае средний показатель политропы n1 будет
низкий, что приводит к понижению рс и Тс.
На показатель n1 влияет
система охлаждения. При воздушном охлаждении температура теплопередающей
поверхности гильзы и головки блока цилиндров во время работы двигателя выше,
вследствие чего теплоты от заряда отводится меньше и n1 имеет более
высокие значения. В случае жидкостного охлаждения интенсивность теплообмена в
основном зависит от температуры охлаждающей жидкости. При низкой температуре
охлаждающей жидкости и соответственно теплопередающих поверхностей теплота от
заряда отводится интенсивнее и n1 будет ниже.
Применение алюминиевых поршней и
головок блока цилиндра увеличивает отвод теплоты и n1 имеет более
низкие значения из-за повышенной теплопроводности алюминия по сравнению с
чугуном. Для уменьшения отвода теплоты и получения более высоких значений n1 необходимо,
чтобы отношение Fпов/Vh было по
возможности меньше. Его значение зависит от рабочего объема Vh (при
большом Vh отношение Fпов/Vh=const/D
уменьшается), отношения S/D, формы и
типа камеры сгорания (наименьшая относительная теплопередающая поверхность
будет у сферической камеры, наибольшая - у разделенной камеры сгорания). С
увеличением степени сжатия е относительная
площадь теплопередающей поверхности уменьшается, а температура сжимаемой смеси
повышается. В результате суммарного влияния всех факторов на процесс
теплообмена показатель политропы не зависит от е или незначительно
увеличивается с ее ростом.
Большое влияние на теплообмен
оказывает количество поступившего в цилиндр заряда G3. При
большом отношении G3/Fпов относительные
тепловые потери уменьшаются и показатель политропы увеличивается. В двигателях
с искровым зажиганием и количественным регулированием наименьшее отношение G3/Fпов наблюдается
при работе на холостом ходу. По мере возрастания нагрузки (большее открытие
дроссельной заслонки) отношение G3/Fпов
увеличивается, в результате относительные тепловые потери снижаются и n1 повышается.
Этому способствует также рост температуры теплопередающих поверхностей.
В дизелях, где применяется
качественное регулирование, с увеличением нагрузки отношение G3/Fпов несколько
уменьшается из-за некоторого снижения количества поступающего заряда.
Одновременно при возрастании нагрузки повышается температура некоторых
(неохлаждаемых или малоохлаждаемых) теплопередающих поверхностей (днище поршня,
головка выпускного клапана). В результате этого характер теплообмена в дизеле с
увеличением нагрузки почти не изменяется и n1 практически
остается постоянным или незначительно повышается.
Существенное влияние на теплообмен в
процессе сжатия оказывает наддув. При увеличении давления наддува рк
отношение G3/Fпов растет и
соответственно снижаются относительные тепловые потери. В результате этого с
увеличением наддува n1 возрастает.
На показатель политропы и параметры
конца сжатия в значительной степени влияет изменение скоростного режима
двигателя. При увеличении частоты вращения сокращается время теплообмена смеси
с теплопередающими поверхностями. Одновременно в связи с повышением температур
поверхностей интенсивность теплообмена при Т> Тст. ср
уменьшается. В результате этого с ростом частоты вращения показатель политропы
сжатия в большинстве случаев повышается.
На рисунке 3 приведены зависимости среднего
показателя политропы сжатия от частоты вращения. У карбюраторного двигателя
зависимость n1=f(n)
выявляется лить при работе на частичных нагрузках. При полном открытии
дроссельной заслонки показатель n1
не меняется, что свидетельствует о сложном характере теплообмена у двигателя
данного типа при уменьшении n.
Данные по исследованию дизелей показывают, что n1
увеличивается с ростом частоты вращения.
Рисунок 3. - Зависимость среднего показателя политропы
сжатия n1 от
частоты вращения: 1 - быстроходный короткоходный дизель; 2 - дизель ЯМЗ-238; 3
- карбюраторный двигатель при различных открытиях дроссельной заслонки; 4 -
ЗИЛ-310
Решение:
1. Давление в конце
такта сжатия pc карбюраторного двигателя
равно:
Задача 2. Определение параметров
механического шума автомобиля
Определить
уровень механического шума двигателя мощностью 50кВт с частотой вращения 3000
об/мин.
Теоретические сведения:
Обычно нормируется внешний и внутренний шум
машины.
Уровень шума двигателя может служить показателем
качества машины, культуры производства и применяемой технологии, его отдельные
характеристики используют в качестве диагностических параметров.
Шум двигателя представляет собой акустическое
излучение, производимое им при работе. Его изучением и оценкой занимается
акустика - область физики о звуке, т.е. об упругих колебаниях и волнах в
газах, жидкостях и твердых телах, слышимых человеческим ухом. Шум представляет
собой звук с набором составляющих различной частоты.
Важнейшими характеристиками звука являются:
. Звуковое давление (р) - переменная часть
давления, возникающая при прохождении звуковой волны в среде; только эта
величина воспринимается человеческим ухом.
. Сила звука (I) - количество звуковой энергии,
прошедшее через единичную площадку, перпендикулярную направлению
распространения звука, Вт/м2;
. Звуковая мощность (W) - общее количество
энергии, излучаемой двигателем в окружающее пространство в виде звука и
прошедшей через поверхность полусферы радиуса r
в единицу времени, Вт;
. Уровень звукового давления - десятичный
логарифм отношения силы звука к пороговому значению I0=10-12
Вт/м2 или двадцатикратный логарифм отношения звукового давления к
пороговому значению р0=2×10-5
Па. Его измеряют в децибелах (дБ):
=10lg(I/I0)=20lg(p/p0).
. Уровень звуковой мощности - величина
= 10lg(W/W0),
где пороговое значение W0 = 10-12
Вт.
Человеческое ухо неодинаково воспринимает один и
тот же уровень звукового давления в диапазоне частот 10... 20000 Гц. Поэтому
для приближения оценок субъективного восприятия звуков различной частоты их
корректируют по частоте, а полученную величину называют уровнем звука (шума) и
выражают ее в децибелах.
Современные поршневые двигатели автомобилей и
дорожно-строительных машин на номинальном режиме излучают 2...3 Вт акустической
мощности, а на расстоянии 1 м вокруг работающего на стенде двигателя уровни
шума составляют от 104 до 120 дБ.
Спектр шума двигателя характеризует
распределение энергии его излучения по частотному диапазону. Акустическое
излучение двигателя сосредоточено в области от 20 до 8000 Гц.
Источники и излучатели шума двигателя. Причинами
возникновения шума в двигателе являются:
аэродинамическое взаимодействие газовой среды на
входе в двигатель и выходе из него, а также движущихся тел (вентилятора) с
газовой средой;
взаимодействие колеблющихся поверхностей
двигателя с окружающей средой.
Источниками шума двигателя являются процессы,
одновременно или последовательно возникающие при осуществлении рабочего цикла.
При впуске из области перед горловиной впускного
патрубка происходит всасывание воздуха, в результате чего возникает
акустическое излучение, которое называют шумом впуска, а излучаемую при этом
акустическую мощность обозначают Wвп. При движении по впускному
тракту свежий заряд будет взаимодействовать со стенками и другими элементами
конструкции и вызывать их колебание, что также будет создавать шум.
При сжатии, сгорании и расширении энергия
подводится к деталям, формирующим камеру сгорания, что вызывает их колебание.
От них колебательная энергия передается на
наружные поверхности двигателя и частично излучается ими в виде шума от
сгорания (Wсг).
При выпуске происходит истечение отработавших
газов в атмосферу и выделяется также какое-то количество энергии, которое
приводит к возникновению шума выпуска (Wвып). Движущиеся по
выпускному тракту отработавшие газы взаимодействуют ср стенками трубопроводов,
глушителя, вызывая их колебания, которые приводят к шумоизлучению наружных
поверхностей.
При работе в механизмах двигателя могут
возникать удары сопрягаемых деталей, что вызывает шум (Wуд).
Работа агрегатов двигателя (вентилятора,
топливоподающего насоса и др.) вызывает возникновение шума Wаг.
Опрокидывающий момент вызывает колебания
двигателя на подвеске, которые также приводят к излучению звуковой энергии.
Излучателями шума двигателя являются:
наружные стенки двигателя и установленных на нем
агрегатов;
впускная горловина;
горловина выпуска;
вентилятор системы охлаждения.
Влияние каждого из данных излучателей на уровень
шума всего двигателя зависит от многих факторов: типа двигателя, особенностей
рабочего процесса, конструкции, режима работы и т.п.
Сопротивление рассмотренных составляющих
акустического баланса двигателя позволяет выделить наиболее существенные
составляющие шума двигателя, указать причины возникновения, изучить процесс
формирования, найти наиболее рациональные пути уменьшения шума.
Уменьшение шума с учетом основополагающих
принципов акустики следует начинать в первую, очередь с подавления наиболее
громких источников.
Основные направления снижения шума и вибрации
двигателя сводятся к следующему:
формированию рабочего процесса двигателя,
обеспечивающего минимально возможный подвод энергии к конструкции двигателя на
всех режимах его работы;
конструированию рациональной по шумоизлучению
структуры двигателя и его элементов.
Колебательная энергия от источника ее
возникновения до поверхностей, которые ее излучают, распространяется через
детали двигателя. Для ее снижения можно или препятствовать распространению по
конструкции (виброизоляция), или поглощать ее на пути распространения
(вибропоглощение) с помощью ввода в конструкцию поглотителей колебательной
энергии в виде специальных вибродемпфирующих материалов или устройств. Это
позволяет снизить уровень виброскорости на излучающей шум поверхности. Также
для снижения шума уменьшают площадь излучающей поверхности.
Снизить шум работающего двигателя в составе
автомобиля можно путем создания препятствий на пути его распространения
(звукоизоляция) и нанесением на поверхности, воспринимающие шум, специальных
шумопоглощающих покрытий (звукопоглощение). Звукоизоляция сводится к созданию
различных экранов, капотов и капсул для двигателя. Однако применение последних
двух решений связано со значительными дополнительными затратами как в
производстве, так и в эксплуатации. Также усложняется охлаждение двигателя, его
эксплуатационное обслуживание, а в ряде случаев ухудшается топливная
экономичность. Такое решение оправдано при работе двигателя в специальных условиях.
Применение звукопоглощающих мастик связано с проблемами их термостойкости,
долговечности и стоимости.
Методы борьбы с шумом аэродинамического
происхождения аналогичны: создание конструкций с требуемым уровнем шума
(вентилятор, корпуса воздушного фильтра и глушителя), применение глушителей
шума, основанных на формировании совокупности резонансных объемов и на
использовании специальных материалов, обеспечивающих звукопоглощение.
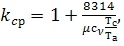
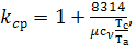
Уровень механического шума двигателя
определяется по формуле:

,
где L -
уровень механического шума двигателя, дБ;
n -
частота вращения коленчатого вала, об/мин-1;
Pе -
мощность двигателя, кВт.
Решение:
1. Уровень
механического шума двигателя:

Задача 3. Определение мощности
двигателя автомобиля
Определить мощность развиваемую
двигателем на прямой передаче со скоростью υ
=
85
км/ч
на дороге с уклоном h =
0,03
при коэффициенте сопротивления качению ƒ
=
0,022.
Параметры
автомобиля: mа =
4500 кг, kотб
= 0,95,
ŋтр =
0,94,
kw
= 0,52
Н×с²/м4,
Ал
= 4,6
м².
Теоретические сведения:
Мощность двигателя определяется из условия
обеспечения максимальной скорости автомобиля в заданных дорожных условиях.
Движение автомобиля предполагается на прямолинейном горизонтальном участке
дороги с твердым покрытием в сухую безветренную погоду. Максимальная скорость
достигается при dv/dt
= 0. Составим уравнение баланса мощности при этих условиях:
Рк + Рш + Рщ =
0,
где Рк - мощность, подводимая к
ведущим колесам при установившемся движений;
Рш - мощность, необходимая для
преодоления суммарного дорожного сопротивления;
Рщ - мощность, затрачиваемая на
преодоление сопротивления воздуха.
Выражение для определения искомой мощности
двигателя:
где 
- мощность двигателя, Вт;

- полная масса автомобиля, кг;
g - ускорение
свободного падения (9,81 м/с2);

- максимальная скорость автомобиля,
м/с;

- коэффициент суммарного дорожного
сопротивления при 
;

- сила сопротивления воздуха при 
, Н;

- КПД трансмиссии на высшей ступени
коробки передач, обеспечивающей достижение скорости 
при полной массе автомобиля.
Значение 
соответствует необходимой мощности
для движения автомобиля на прямолинейном горизонтальном участке дороги с
асфальтобетонным покрытием со скоростью 
. Значение скорости 
выбирается в соответствии с
регламентирующими нормативами или с учетом информации о лучших мировых
образцах.
Двигатели легковых автомобилей
обычно поставляются комплектно со всеми механизмами вспомогательного
оборудования (вентилятором, генератором, воздухоочистителем и др.). Мощность
двигателя в этом случае указывается с учетом затрат на привод этих механизмов.
Двигатели грузовых автомобилей большой грузоподъемности и автобусов большой
вместимости обычно поставляются не в полном комплекте. Поэтому при учете
необходимых затрат мощности на собственные нужды двигателя коэффициент 
принимают в пределах 0,05-0,10.
Для определения КПД трансмиссии 
необходимо принять техническое
решение о структуре трансмиссии, представить ее функциональную схему и
определить для каждого механизма трансмиссии тип и количество зубчатых
зацеплений, передающих энергию от входного к выходному валу на высшей передаче,
на которой достигается.
Вычислив значение подбирают
двигатель для проектируемого автомобиля. При этом принимают во внимание
топливную экономичность, экологичность, массу, габариты, надежность и
гарантийный средний ресурс двигателя. Выбор типа и модели двигателя должен быть
тщательно обоснован.
Решение:
2. Коэффициент суммарного дорожного
сопротивления, 
определяется по формуле:
3. Мощность двигателя, 
определяется по формуле:
Заключение
Автомобильный транспорт используется в
промышленности, сельском хозяйстве, строительстве, торговле, осуществляет массовые
пассажирские перевозки в городах, крупных населенных пунктах. На долю
автомобильного транспорта приходится существенная часть грузооборота и более
половины пассажирских перевозок. Он тесно взаимодействует с железнодорожным,
водным и воздушным транспортом, являясь важной составной частью транспортной
системы страны.
Движение автомобиля, его «поведение» на дороге
подчиняется определенным законам механики, а не правилам дорожного движения и
не желаниям водителя при управлении автомобилем.
Знать теорию автомобиля нужно не только для
того, чтобы конструировать автомобили. Это знание позволит выбирать правильным
образом наиболее приспособленные к эксплуатации в различных условиях имеющиеся
автомобили.
Применяя знание теории автомобиля, можно
повысить устойчивость автомобиля, сделать его ход более спокойным, плавным,
уменьшить расход топлива, увеличить путевую скорость, улучшить проходимость по
плохим дорогам.
Список использованных источников
1.
Башкардин
А.Г. Эксплуатационные свойства автомобилей, Методические указания.
-
СПбГАСУ,
2001.
2.
Литвинов
А.С., Фаробин Я.Е. Автомобиль: Теория эксплуатационных свойств
- М.: Машиностроение, 1989.
3.
Краткий автомобильный справочник - М.:
АО «Трансконсалтинг», НИИАТ, 1994 - 779 с.
4.
Гришкевич А.И. Автомобили: Теория: Учебник для вузов - Минск: Высш.шк., 1986 -
208 с.
5.
Илларионов В.А. Эксплуатационные свойства автомобиля - М. Машиностроение, 1966
- 280 с.
.
Бортницкий П.И., Задорожный В.И. Тягово-скоростные
качества автомобилей. - Киев: Вища школа, 1976 -
176
с.