Аналитическая химия

  • Вид работы:
    Практическое задание
  • Предмет:
    Химия
  • Язык:
    Русский
    ,
    Формат файла:
    MS Word
    139,46 kb
  • Опубликовано:
    2012-03-12
Вы можете узнать стоимость помощи в написании студенческой работы.
Помощь в написании работы, которую точно примут!

Аналитическая химия

Министерство образования и науки

Федеральное государственное бюджетное образовательное учреждение

Высшего профессионального образования

«Уфимский Государственный Нефтяной Технический Университет»

Филиал ФГБОУ ВПО УГНТУ в г. Стерлитамаке

Кафедра общей химической технологии




Журнал лабораторных работ

по аналитической химии


Выполнил: студент группы ТС-10-32Валиахметов Р.А.

Принял: ст. преподаватель Идрисова В.А.







Стерлитамак 2011

ЛАБОРАТОРНАЯ РАБОТА №1

Тема: Определение кристаллизационной воды в хлориде бария

Цель работы: определить количество кристаллизационной воды в выданной навеске.

Посуда и оборудование: бюкс, эксикатор, аналитические весы WAS 220/C/2, технические весы ВЛР 200, сушильный шкаф, тигельные щипцы.

Ход работы: чистый бюкс пометили простым карандашом на шлифованной части и взвесили на технических (m=19,6г) и аналитических весах (m1=19,7650). Затем, положив крышку сверху на ребро, поставили в сушильный шкаф с температурой 123°С. Спустя 1 час 20 мин перенесли бюкс (не закрывая его) тигельными щипцами в эксикатор и отнесли в весовую комнату. Через 20 мин взвешивали бюкс (m2=19,7658г). Сушили бюкс еще несколько раз по 20 мин до постоянной массы.3=19,7649 г4=19,7652 г5=19,7654 г

m6=19.7653 г

)Взятие навески. Поместили в бюкс взятую у преподавателя навеску (свежеперекристаллизованный воздушно-сухой хлорид бария), закрыли крышкой и взвесили на аналитических весах (m=20,8490 г)

)Высушивание. Сняв с бюкса крышку, поместили ее на бюкс ребром и поставили на полку сушильного шкафа. Держали бюкс в шкафу при температуре 123°С 2 часа. По прошествии указанного времени тигельными щипцами перенесли бюкс и крышку в эксикатор. Оставили эксикатор на 20 минут в весовой комнате, вынули бюкс и, закрыв крышкой, точно взвесили (m1=20,7704 г).

Высушивание с периодическим взвешиванием повторяли до достижения постоянного веса.

)Полученные результаты:

Масса бюкса с веществом - 20,8490г

Масса чистого бюкса -19,7650 г

Отсюда: масса навески: 20,8490 г - 19,7650 г = 1,084 г

После высушивания получили массу бюкса с веществом, равную:

·m1=20, 7704г

·m2=20,7700г

·m3=20,7750 г

·m4=20, 7760г

·m5=20,7780 г

·m6=20,7731 г

·m7=20,7720 г

·m8=20,7718 г

·m9=20,7714 г

·m10=20,7712 г

·m11=20,7704 г

Далее нашли количество кристаллизационной воды в навеске:

mводы=20,8490 -20,7704 = 0,0786 г.

Вычислили искомый процент кристаллизационной воды в навеске:

В 1,0837 г навески содержится 0,0786 г воды

В 100 г - х г воды

X=100*0,0786/1,0837=7,25

Следовательно, навеска содержит 7,25% воды

4)Проведем проверку точности определения:

Для проверки найденную величину сравним с теоретически вычисленным значением процентного содержания воды в навеске.

Мы знаем, что содержание кристаллизационной воды 7,5%

5)Вычислим абсолютную и относительную ошибки:

Абсолютная ошибка: |7,5 -7,25|=0,25 г

Относительная ошибка: (0,25/7,5)*100=3,33

Вывод: В данной работе мы рассмотрели метод гравиметрического анализа, а именно: научились определять массу кристаллизационной воды в навеске. Так же мы освоили принцип взвешивания на технических и аналитических весах, научились правильно обращаться с эксикатором, сушильным шкафом и другими приборами и посудой, необходимыми при гравиметрическом анализе. Абсолютная ошибка несколько превышает допустимую (0,05 г). Объяснить это можно тем, что при открывании/закрывании крышки бюкса, при переносе его из сушильного шкафа в эксикатор или наоборот могла произойти утеря части кристаллов (т.к. крышка бюкса была открыта).

ЛАБОРАТОРНАЯ РАБОТА №2

Тема: Установка титра рабочего раствора соляной кислоты

титрование ион кристаллизационный

Цель работы: Установить титр и нормальность приготовленного раствора соляной кислоты.

Посуда и оборудование: штатив, бюретка, воронка, колбы, стаканы, пипетки, груша.

Ход работы:

1)Приготовление раствора буры. Стандартный раствор буры готовится в мерной колбе ёмкостью 100 мл. Грамм-молекула (381,4г) Na2B4O7·10H2O реагирует с двумя грамм-молекулами HCl, т.е. с двумя грамм-ионами водорода,

ЭNa2B4O7·10H2O =381,4/2=190,7г, N=0,1, V=0,1


Для приготовления 100 мл 0,1Н раствора требуется 1,907г тетрабората натрия. Поместив в бюкс предварительно взвешенное на технических весах количество буры mтех=2г, точно взвесили бюкс на аналитических весах

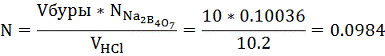
(m=17,5821г-15,6628г=1,9193 г). Осторожно пересыпали её через сухую воронку в тщательно вымытую мерную колбу емкостью 100 мл. После этого бюкс с оставшимися в нём крупинками буры снова точно взвесили (mпотери=15,6628г-15,6574г=0,0054г) и по разности весов нашли вес буры (mбуры=1.9193 г - 0.0054 г = 1,9139 г). Не убирая воронки добавили в колбу 2/3 объёма горячей дистиллированной воды (воду предварительно нагрели в термостойком стакане на плитке), вынули воронку и перемешали раствор до полного растворения буры. После охлаждения разбавили раствор дистиллированной водой точно до метки. После этого тщательно перемешали содержимое колбы. Приготовив раствор буры, вычислили его титр и нормальность:

;

2)Приготовление раствора соляной кислоты. Рассчитаем сколько концентрированной соляной кислоты (34,6%) необходимо отмерить для приготовления 0,5 л 0,14Н раствора НСl:

СHCl(исх)=34,6%; ρHCl=1,162г/см3HCl=36,5г/моль

mHCl=ЭТVколбы=36,5*0,5*0,14=2,555г

В 100 г раствора кислоты 34,6 г чистого HCl

В x г раствора - 2,555 г чистого вещества

х=7,384 г чистого HCl

 

Отмерили пипеткой 6,4мл исходной кислоты в мерную колбу на 500мл, предварительно налив туда небольшое количество дистиллированной воды, довели дистиллированной водой до метки. Полученный раствор тщательно перемешали.

Титр стандартизованного раствора HCl устанавливали с помощью исходного вещества Na2B4O7 по реакции:

Na2B4O7+7H2O=2NaOH+4H3BO4

 

Ход определения.

Наполнили тщательно вымытую дистиллированной водой бюретку почти доверху приготовленным раствором 0,15Н НСl, затем освободились от пузырьков воздуха в резиновой трубке бюретки.

В чистую коническую колбу перенесли пипеткой 10 мл приготовленного стандартного раствора буры. Прибавили к нему 2 капли раствора метилового оранжевого. В другой колбе приготовили «свидетель». Для этого отмерили цилиндром 20 мл дистиллированной воды, перелили в колбу для титрования, добавили 2 капли метилового оранжевого и одну каплю кислоты из бюретки так, чтобы появилось порозовение раствора. После этого установили уровень раствора НСl в бюретке на нуле. Поставили колбу с раствором под бюретку на лист белой бумаги и понемногу прикапывали раствор из бюретки, все время помешивая титруемый раствор плавными круговыми движениями колбы. Добившись перемены окраски от одной капли НС1, сделали отчет по бюретке и записали его. Титрование проводили трижды, каждый раз беря новую порцию раствора и устанавливая каждый раз уровень кислоты в бюретке на нуле, получили следующие результаты:

V1(НС1)=10,1 мл;

V2(НС1)=10,3 мл;

V3(НС1)=10,2 мл

Vср.(НС1)=10,2мл

4)Вычисления:

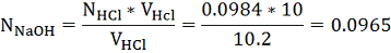
Вычислим титр и нормальность приготовленного раствора соляной кислоты:


Вывод: ознакомились с титриметрическим методом анализа, научились рассчитывать и готовить кислоту, готовить «свидетель», научились пользоваться бюреткой для титрования, пипеткой. Было задано приготовить кислоту нормальностью 0,14. Мы получили кислоту нормальностью 0,0984, так как возможно были допущены ошибки при титровании бурой или были использованы некачественные реактивы.

ЛАБОРАТОРНАЯ РАБОТА №3

Тема: Метод кислотно-основного титрования

Цель работы: с помощью стандартизированных растворов кислоты, приготовленных в лабораторной работе №3 определить следующие компоненты анализируемом растворе:

·Гидроксид натрия

·Гидроксид и карбонат натрия при их совместном присутствии

·Карбонатную жесткость воды.

Посуда и оборудование: штатив, бюретка, воронка, колбы, стаканы, пипетки, груша.

Опыт 1. Определение содержания щелочи в растворе.

H++OH-=H2O+Q

Ход работы: в мерную колбу вместимостью 100 мл взяли для анализа (у преподавателя) немного раствора гидроксида натрия. Довели объем раствора дистиллированной водой до метки и тщательно перемешали.

Подготовили бюретку для титрования, приготовили и оттитровали «свидетель». Затем 10 мл исследуемого раствора щелочи перенесли пипеткой в коническую колбу (предварительно промыв пипетку анализируемым раствором щелочи), прибавили 2 капли метилового оранжевого и титровали раствором кислоты (приготовленной в предыдущей работе) до перехода от одной капли кислоты желтой окраски индикатора в бледно-розовую. Титрование провели 3 раза, получили следующие значения:

V1(HCl)=10.3 мл;

V2(HCl)=10.2 мл;

V3(HCl)=10.2 мл

Vср.(HCl)=10.2333 мл

Из сходящихся отсчетов взяли среднее значение по результатам титрования и вычислили сначала нормальную концентрацию щелочи, а затем ее массу в 100 мл анализируемого раствора:


Опыт 2. Определение гидроксида и карбоната натрия при совместном присутствии в растворе.

Титрование проходит по следующей реакции:

NaOH+Na2CO3+2HCl=2NaCl+NaHCO3+H2O и далее

NaHCO3+ HCl= NaCl+H2O +CO2

Первая стадия завершается при рН=8,31, когда изменяет окраску фенолфталеин, а вторая - при рН=3,84, т.е. в области перехода метилового оранжевого, таким образом, этот метод основан на определении двух точек эквивалентности, при этом фенолфталеином оттитровывается весь NaOH и половина Na2CO3, оставшуюся половину Na2CO3 дотитровывают с метиловым оранжевым.

Ход работы: в мерную колбу вместимостью 100 мл взяли немного анализируемого раствора (у преподавателя), разбавили его до метки дистиллированной водой и тщательно перемешали. Перенесли пипеткой 10 мл раствора в коническую колбу и прибавили 5 капель фенолфталеина, который окрасил жидкость в малиновый цвет. Титровали ее раствором кислоты до обесцвечивания. Затраченный объем кислоты соответствует всему определяемому гидроксиду натрия и половине карбоната натрия.

После этого прибавили к титруемому раствору 2 капли метилового оранжевого, в результате чего содержимое колбы окрасилось в желтый цвет. Не доливая кислоту в бюретку, продолжали тировать раствор до перехода желтой окраски в бледно-розовую, записывая второй отсчет (т.е. расход кислоты на титрование половины карбоната натрия)

Точное титрование с фенолфталеином и метиловым оранжевым повторили 3 раза, получили следующие значения:

V1(HCl)=13,7 мл и V2(HCl)=0,3 мл

V1(HCl)=13,7 мл и V2(HCl)=0,4 мл

V1(HCl)=13,7мл и V2(HCl)=0,93мл

V1ср(HCl)= 13.3667мл и V2ср.(HCl)=13.7 мл

Далее вычислили массы NаОН и Nа2СО3 в анализируемом растворе.

Допустим, что после титрования раствора с фенолфталеином отсчет объема кислоты оказался равен V1, а после титрования с метиловым оранжевым - V2. Следовательно, на титрование половины Nа2СОз израсходовано V2- V1, а на титрование всего карбоната натрия 2(V2- V1)=∆V раствора кислоты(∆V=(13,7-13,36667)*2=0.3333). Тогда на титрование NaОН израсходовано V2-∆V раствора кислоты(13.3667л - 0,3333мл =13.0334мл).

Вычислили нормальную концентрацию раствора по NаОН и Nа2СО3:


Опыт 3. Определение карбонатной жесткости воды.

Ca(HCO3)2+2HCl=CaCl2↑+2CO2↑+2H2O

Ход работы: в коническую колбу отмерили пипеткой 10 мл анализируемой воды из крана, прибавили 3 капли метилового оранжевого и титровали раствором кислоты до перехода желтой окраски индикатора в бледно розовую. Процесс титрования повторили 3 раза, получили следующие значения:

V1(HCl)=3,1мл;

V2(HCl)=3,2 мл;

V3(HCl)=3,2 мл

Vср.(HCl)=3,1667 мл

Чтобы вычислить карбонатную жесткость в моль на 1 л воды, нашли нормальную концентрацию раствора солей и умножили ее на 1000:


Вывод: ознакомились с одним из методов титриметрического анализа - методом кислотно-основного титрования. Научились с помощью приготовленного раствора определять в анализируемом растворе концентрацию определенных веществ, рассмотрели практическое применение титриметрического анализа. Определили карбонатную жесткость воды, равную 3,116ммоль/л, которая относится к средней жесткости воды.

JIAБOРAТОРНАЯ РАБОТА №4

Тема: Метод окислительно-восстановительного титрования

Цель работы: приготовление, стандартизация раствора перманганата калия и определение железа (II) в растворе соли мора.

Посуда и оборудование: штатив, мерный стакан на 100 мл, бюретка, колбы, пипетки, груша, воронка.

Ход работы:

Установка титра рабочего раствора перманганата калия.

1)Приготовление раствора перманганата калия.

Нормальную концентрацию раствора перманганата калия устанавливают по реакции, протекающей в кислой среде:

2MnO4-+ 5C2O42-+ 16H+→2Mn2++10CO2↑+8H2O

На технических весах отвесили 0,8г KMnO4. Навеску растворили в 500 мл воды следующим образом: приливали в стакан с навеской небольшие порции горячей воды, время от времени тщательно перемешивали, давали отстоятся 7-10 минут, сливая жидкость с кристаллов в специально приготовленную мерную колбу, непрерывно помешивая. Когда вся навеска перешла в раствор, тщательно обмыли стакан, перелили воду в мерную колбу и охладили её, после чего довели объем раствора до метки. Далее тщательно перемешали и оставили стоять на 7 дней в темном месте. Исходным веществом для стандартизации (установки титра) его служит свежеперекристаллизованная щавелевая кислота H2C2O4·2H2O.

Рассчитаем массу навески щавелевой кислоты, необходимой для приготовления раствора:


Далее отвесили навеску сначала на технических весах - 0,31г, затем на аналитических весах, получили mнавески= 0,3131г и растворили её в мерной колбе вместимостью 100 мл, довели объем до метки и тщательно перемешали. После этого вычислили титр и нормальную концентрацию исходного раствора щавелевой кислоты:

;

3)Стандартизация раствора перманганата калия по щавелевой кислоте.

Перманганат калия взаимодействует с щавелевой кислотой в сернокислой среде по уравнению:

2KMnO4+5H2C2O4+3H2SO4=2MnSO4+10CO2↑+K2SO4+8H2O

 

Ход определения. Хорошо вымытую бюретку промыли раствором перманганата калия и приготовили к титрованию. 10 мл щавелевой кислоты перенесли в колбу для титрования и прибавили к ней 10 мл 2нH2SO4, нагрели до 70-80ºС, не допуская кипения. Далее горячий раствор титровали перманганатом калия. Раствор KMnO4 приливали медленно, по каплям, непрерывно помешивая жидкость. Каждую следующую каплю добавляли лишь после обесцвечивания предыдущей. первоначально обесцвечивание KMnO4 проходило медленно, но по мере образования MnSO4 , играющего роль катализатора, оно ускорилось. Как только избыточная капля KMnO4 сообщила раствору бледно-розовую окраску, не исчезающую в течение 1-2 минут, титрование прекратили. Объемы раствора KMnO4, пошедшего на титрование отсчитывали по верхнему краю миниска (т.к. нижний видно плохо). Титрование таким образом повторили 3 раза, получили следующие значения:

V1(KMnO4)= 8,9 мл

V2(KMnO4)= 9,0 мл

V3(KMnO4)= 9,0 мл

Vср(KMnO4)≈8,9667 мл

Из сходящихся отсчетов взяли среднее Vср(KMnO4)≈16,3 мл и вычислили нормальную концентрацию раствора KMnO4:


где N2- нормальная концентрация исходного раствора H2C2O4

V1-объем KMnO4, пошедший на титрование, мл

V2-объем H2C2O4, взятый на титрование, мл

Стандартный раствор KMnO4 использовали для дальнейшего определения железа (II).

4)Определение железа (II) в растворе соли Мора.

Определение содержания Fe2+ в растворах считают одним из важнейших применений перманганатометрии. При титровании перманганатом соли Мора в кислой среде происходит следующая реакция:

2KMnO4+10(NH4)2Fe(SO4)2+8H2SO4=2MnSO4+5Fe2(SO4)3+K2SO4+10(NH2)2SO4+8H2O

Ход определения: В мерную колбу вместимостью 100мл прилили раствор соли Мора, довели объем до метки и перемешали.

Далее ополоснули полученным раствором пипетку, перенесли 10мл его в коническую колбу для титрования, подкислили 10 мл 2нH2SO4 и на холоду (при нагревании Fe2+ окисляется кислородом воздуха до Fe3+) титровали раствором KMnO4 до появления бледно-розовой окраски, не исчезающей при перемешивании в течение -2 минут. Титрование таким образом повторили 3 раза, получили следующие значения:

V1(KMnO4)= 0.9мл

V2(KMnO4)= 0.9 мл

V3(KMnO4)= 0.9 мл

Vср.(KMnO4)= 0.9 мл

Далее вычислили массу железа в анализируемом растворе:


N2- нормальная концентрация исходного раствора KMnO4

V1-объем соли Мора, пошедший на титрование, мл

V2-объем KMnO4, взятый на титрование, мл

Вывод: ознакомились с методом окислительно-восстановительного титрования. Научились готовить стандартный раствор перманганата калия, научились вычислять концентрацию ионов железа (II) в растворе соли Мора с помощью метода титрования.

JIAБOРAТОРНАЯ РАБОТА №5

Тема: Качественный анализ. Теоретическая часть. Задачи качественного анализа

Цель работы: с помощью методов качественного анализа провести определение содержания ионов в предложенных растворах, в частности:

·с помощью качественных реакций определить катионы, анионы;

·обнаружить ионы железа (III) и меди (II) методом распределитель-бумажной хроматографии;

·осуществить качественные реакции на обнаружения анионов раствора Х

Оборудование и посуда: пробирки, индикаторная бумага, горелка, предметное стекло.

. Качественные реакции катионов

Опр. ион

Реагент

Уравнение реакции в ионно-молекул. виде

Условия проведения реакции

Наблюд. эффект

Ba2+

K2Cr2O7

2Ba2++Cr2O72-+H2O→ 2BaCrO4↓+2H+

К 2 каплям раствора, содержащего ионы бария (BaCl2), добавили 4 капли раствора CH3COONaи 2 капли K2Cr2O7. Пробирку нагрели на водяной бане.

Образ. желтый осадок хромата бария.

NH4+

NaOH NH4++OH-→NH3+H2O К 2 каплям раствора, содержащего ионы аммония (NH4Cl) прилили 2 капли NaOH, накрыли колбу сверху влажной индикаторной бумагой и подогрели. Инд-р приобрел синий цвет  реактив Несслера K2HgI4 в щел. среде NH4++2HgI42-+4OH-→ →[OHg2NH2]I↓+3H2O+7I- К 2 каплям раствора, содержащего ионы аммония ((NH4)2C2O4), добавили 2 капли реактива Несслера (K2HgI4)  Образов. оранж. осадок 

Ca2+

(NH4)2C2O4 Ca2++ C2O42-→ CaC2O4↓ К 3 каплям раствора, содержащего ионы кальция, (CaCl2) добавили 3 капли раствора реагента. Белый кристалл. осадок  H2SO4 Ca2++ SO42-→ CaSO4 На предметное стекло поместили каплю раствора соли кальция (CaCl2), рядом поместили каплю H2SO4(1:4). Стекл.палочкой соединили капли, дали постоять и рассматривали кристаллы. Белые кристал- лы 

Cr3+

Пероксид водорода (H2O2)

2Cr(OH)-4+3H2O2+2OH- → 2CrO42-+8H2O

К 3 каплям раствора, содержащего Cr3+(CrСl3), добавили по каплям 2М NaOHдо образования зеленого осадка гидроксида хрома и далее его растворения и образования гидроксокомплексов. Затем добавили Н2O2и нагрели. Образовался желтый раствор хромата. К части полученного раствора после охлаждения добавили 1 каплю Н2О2,несколько капель эфира и по каплям при встряхивании H2SO4(1:4). Образующееся пероксидное соединение хрома экстрагировали эфиром.

Эфирный слой окрасился в синий цвет

Hg2+

Na2S Hg2++S2-→HgS↓ К 3 каплям раствора, содержащего Hg2+(Hg2(NO3)2), добавили 4 капли конц. HCI, 4 капли раствора Ns2Sи нагревали на водяной бане. Черный осадок  KI Hg2++J- = HgJ2 ↓ К 2 каплям раствора, содержащего Hg2+(Hg2(NO3)2), добавили раствор KIпо каплям до образования осадка HgJ2и избыток для растворения осадка и образования HgJ42-.К полученному раствору добавили 2 капли раствора NH4Clи 2 капли раствора KOH и также капли 30 % раствора КОН.  Красно-бурый осадок 

Fe3+

K4[Fe(CN6] Fe3++ K4[Fe(CN)6]→ Fe4[Fe(CN)6]↓+3K+ К 2 каплям раствора, содержащего ионы Fe(III) и имеющего рН1-3 (FeCl3), добавили 2 капли реагента (K4Fe(CN)6). Темно-синий осадок  KSCN Fe3++3SCN-→Fe(SCN)3 К 2 каплям раствора, содержащего Fe3+(FeCl3), добавили каплю раствора KSCN. Кроваво-красн. окрашив.  

Cu2+

K4[Fe(CN)6] 2Cu2++ [Fe(CN)6]4-→ → Cu2[Fe(CN)6]↓ К 3 каплям раствора, содержащего ионы меди (II) (рН<7) (CuSO4), прибавили 2 капли раствора реагента. Красно-бурый осадок   NH3 2Cu2++2SO42- +2NH4+2OH-→ Cu2(OH)2SO4+2NH4++SO42- К 3 каплям раствора, содержащего ионы меди (II), добавили большой избыток раствора аммиака до рН>9. Интенсив.синее окрашив. 


2. Разделение и обнаружение железа(III) и меди(II) методом хроматографии на бумаге.

Цель работы: разделение и обнаружение железа(III) и меди(II) методом хроматографии на бумаге.

Ход работы: взяли две одинаковые крышки или основания чашек Петри равного диаметра. В нижнюю часть камеры налили растворитель - этанол(90%) 5М HCl 10% (по объему). Бумажный диск(обеззоленный фильтр2 синяя лента) подобрали по диаметру больше, чем диаметр чашек камеры, т.к. его мы помещаем горизонтально, также вырезали по радиусу полоску шириной 3-4 мм, загнули полученный «хвостик» перпендикулярно. В центр бумажного диска нанесли микропипеткой 0,05 мл раствора содержащего ионы Fe3+ и Cu2+. Образовавшее пятно аккуратно обвели простым карандашом. Затем фильтр высушили. Поместили диск в камеру, опустив «хвостик» в растворитель. После хроматографирования отметили карандашом границы фронта растворителя и высушили бумагу. Для наружного наблюдения зон локализации ионов Fe3+ и Cu2+ обработали бумажный диск раствором K4[Fe(CN)6], опрыскивая его из пульверизатора. Наблюдаем появление кольцевых зон Fe4[Fe(CN)6]3 синего цвета Cu2[Fe(CN)6] коричневого цвета.

Вычисляем коэффициенты движения у железа и меди:

Rf(железа)= I/L=1,5/6 = 0,25 (меди)=I/L = 2/6 = 0,3

3. Качественные реакции анионов.

Опред. ион

Реагент

Уравнение реакции в ионно-молекул. виде

Условия проведения реакции

Наблюд. эффект

CO32-

HCl

CO32-+H+→CO2↑+H2O

В пробирку внесли 6 капель р-ра Na2CO3и 6 капель 2М HCl. Закрыли пробкой, в которую вставлена стеклянная палочка с шариком на конце. На шарик подвесили каплю известковой воды.

При нагревании пробирки наблюдается помутнение висящей капли.

PO43-

Магнезиальная смесь HPO42-+Mg2++NH3→ → MgNH4PO4↓ К 3 каплям раствора, содержащего PO43- (Na2HPO4), прибавили 5 капель раствора магнезиальной смеси и перемешали. Белый кристаллич. осадок  Молибденовая жидк. PO43-+3NH4+ +12MoO42-+24H+ →(NH4)3P(Mo3O10)4↓+12H2O К 2 каплям раствора, содержащего PO43-(Na2HPO4), прибавили 5 капель молибденовой жидкости и слегка нагрели. Желтый кристаллич. осадок. 

SO42-

BaCl2

SO42-+Ba2+→ BaSO4

К 3 каплям раствора, содержащего SO42- (CuSO4), подкисленного несколькими каплями 2 М HCI, добавили 2 капли раствора ВаС12.

Белый осадок.

Cl-

AgNO3

Cl-+ Ag+→AgCl↓

К 3 каплям раствора, содержащего Cl- (BaCl2), добавили 3 капли раствора AgNO3.

Белый творожистый осадок

NO3-

6Н5)2


На стеклянную пластинку поместили 3 капли раствора дифениламина в концентрированной H2SO4и 2 капли раствора, содержащего NO3-(Hg2(NO3)2).

Интенсивная синяя окраска


. Анализ исследуемого вещества

Цель работы: научиться производить качественный анализ, чтобы выяснить формулу неизвестного анализируемого соединения.

Приборы и оборудование: пробирки, колбы, стеклянные палочки, пипетки, стеклянные пластинки.

Ход работы: Получив у преподавателя 4 колбы с неизвестными веществами, сначала с помощью индикаторной бумаги мы определили pH растворов. Все растворы имели нейтральную среду, то есть pH=7. Затем провели испытания на содержания определенных анионов и катионов.

Анализируем раствор из колбы №1:

На стеклянную пластинку поместили 3 капли раствора дифениламина в концентрированной H2SO4 и 2 капли исследуемого вещества, наблюдается интенсивное синее окрашивание раствора, что свидетельствует о том, что раствор содержит нитрат-ионы NO3-.

Анализируем раствор из колбы №2:

К 3 каплям исследуемого раствора, добавили 3 капли раствора AgNO3, образовался белый творожистый осадок, что свидетельствует о том, что этот раствор содержит хлорид-ионы Cl-.

Затем к 2 каплям этого же раствора добавили 4 капли раствора CH3COONa и 2 капли K2Cr2O7. Пробирку нагрели на водяной бане. Образовался желтый осадок, что говорит о том, что раствор содержит катионы бария Ba2+.

Таким образом, проанализированный раствор оказался раствором хлорида бария BaCl2.

Анализируем раствор из колбы №8:

К 3 каплям исследуемого раствора, добавили 3 капли раствора AgNO3, образовался белый творожистый осадок, что свидетельствует о том, что этот раствор содержит хлорид-ионы Cl-.

Затем к 2 каплям этого же раствора добавили 2 капли реактива Несслера (K2HgI4). Образовался оранжевый осадок, что говорит, о том, что раствор содержит ионы аммония NH4+.

Таким образом, проанализированный раствор оказался раствором хлорида аммония NH4Cl.

Анализируем раствор из колбы №9:

К 3 каплям исследуемого раствора, добавили 3 капли раствора AgNO3, образовался белый творожистый осадок, что свидетельствует о том, что этот раствор содержит хлорид-ионы Cl-.

Затем к 3 каплям этого же раствора добавили 3 капли раствора (NH4)2C2O4.

Образовался белый кристаллический осадок, что свидетельствует, о том, что раствор содержит ионы кальция Ca2+.

Таким образом, проанализированный раствор оказался раствором хлорида кальция CaCl2.

Вывод: в данной работе мы научились производить качественный анализ, подбирать правильно реагенты, разделять компоненты, производить качественный анализ катионов и анионов.

Похожие работы на - Аналитическая химия

 

Не нашли материал для своей работы?
Поможем написать уникальную работу
Без плагиата!
Без нейросетей!