Методы использования информационных технологий при изучении курса 'Алгебра и начала анализа'

  • Вид работы:
    Дипломная (ВКР)
  • Предмет:
    Информационное обеспечение, программирование
  • Язык:
    Русский
    ,
    Формат файла:
    MS Word
    871,36 kb
  • Опубликовано:
    2012-03-19
Вы можете узнать стоимость помощи в написании студенческой работы.
Помощь в написании работы, которую точно примут!

Методы использования информационных технологий при изучении курса 'Алгебра и начала анализа'

ГОСУДАРСТВЕННОЕ ОБРАЗОВАТЕЛЬНОЕ УЧРЕЖДЕНИЕ

МОСКОВСКИЙ ГОРОДСКОЙ ПЕДАГОГИЧЕСКИЙ УНИВЕРСИТЕТ

МАТЕМАТИЧЕСКИЙ ФАКУЛЬТЕТ







ДИПЛОМНАЯ РАБОТА

МЕТОДЫ ИСПОЛЬЗОВАНИЯ ИНФОРМАЦИОННЫХ ТЕХНОЛОГИЙ ПРИ ИЗУЧЕНИИ КУРСА «АЛГЕБРА И НАЧАЛА АНАЛИЗА»

Выполнила: студентка 5 курса

специальности «Информатика», в/о

Панкова С.В.

Научный руководитель:

к.п.н., доцент Баков А.А.


Москва 2011

Содержание

Введение

Глава I. Роль информационных технологий в образовании

1.1 Информационные технологии

1.2 Этапы развития информационных технологий

1.3 Проблемы использования информационных технологий

1.4 Линия информационных технологий

1.5 Использование информационных технологий в сфере образования и обучения

.6 Проблемы применения информационных технологий в процессе обучения

.7 Основные информационные и управляющие потоки учебного процесса

Глава II. Специфика профильных курсов

2.1 Профильное обучение на старшей ступени общего образования

.2 Дифференциация обучения математике при интеграции в него информационных технологий

Глава III. Разработка методов использования информационных технологий на примере темы «Производная и ее применение»

3.1 Обзор прикладных математических пакетов

.2 Краткая характеристика системы

.3 Использование математического пакета Maple 9 при изучении темы «Производная и ее применение»

.4 Методические требования к системе задач

.5 Методика решения типовых задач в Maple 9

Заключение

Библиография

Приложения

Введение

Компьютерная технология обучения представляет технологию обучения, основанную на принципах информатики и реализуемую с помощью компьютеров. Применение компьютера в качестве нового и динамичного развивающего средства обучения - главная отличительная особенность компьютерной технологии. Использование компьютера, а значит, программного обеспечения обучающего характера позволяет учителям - предметникам разнообразить и углубить учебный процесс, что благотворно сказывается на эффективности обучения.

В процессе широкой информатизации общества существенное значение приобретает использование информационных технологий в системе образования, развитие которых требует постоянного повышения квалификации учителей - предметников. Взаимосвязанное изучение информатики и математики позволяет познакомить школьников с элементами математической исследовательской деятельности и применить компьютер в качестве рабочего инструмента исследования. Такой подход в изучении способствует развитию творческой активности учащихся, дает возможность осуществить интеграцию учебной и организационной деятельности ученика и учителя, осуществить сочетание индивидуального подхода с различными формами коллективной учебной деятельности, учитывая уровневую дифференциацию.

Также, нельзя не отметить, что при обучении математике дидактические возможности новых информационных технологий можно реализовать более широко, чем при изучении других предметных областей. Одна из причин этого, на наш взгляд, заключается в том, что информационные технологии включают в себя математическую составляющую, максимально заметную для обучаемых именно при изучении математических дисциплин посредством компьютерной техники. Интегрированное обучение математики и информатики в старшей школе позволяет формировать у учащихся определенную систему знаний, умений и навыков; способствует достижению более высокого уровня умственного развития учащихся, развитию у них способности к самообучению. Считается рациональным проводить изучение многих математических тем с использованием информационных технологий. Наиболее наглядно это можно продемонстрировать при изучении темы, где используется графическое толкование: «Использование производной в исследовании функции».

Отметим некоторые варианты использования ПК в учебной деятельности:

·        создание дидактического материала для урока;

·        наглядность изучаемого материала;

·        использование программного обеспечения непосредственно на уроке математики;

·        применение готового программного обеспечения по математике, Maple 9.

Выгодные особенности работы с компьютерной поддержкой на уроке:

·        сокращается время при выработке технических навыков учащихся;

·        увеличивается количество тренировочных заданий;

·        достигается оптимальный темп работы ученика;

·        легко достигается уровневая дифференциация обучения;

·        учащийся становится субъектом обучения, ибо программа требует от него активного управления;

·        повышается мотивация учебной деятельности.

Отказываться от компьютера в обучении математики нельзя. Критерий полезности, на наш взгляд, можно сформулировать так: та или иная компьютерная технология целесообразна, если она позволяет получить такие результаты обучения, какие нельзя получить без применения этой технологии. Поэтому без компьютера работа будет перегружена массой дополнительных, рутинных построений, вычислений и простейших действий. И из-за обилия вспомогательных действий трудно сформировать и проконтролировать нужное умение.

Таким образом, актуальность данного исследования определяется низким уровнем знаний учителей - предметников об использовании информационных технологий в качестве инструмента обучения.

Цели дипломной работы:

1.       Определить место информационных технологий в процессе обучения;

.         Формирование у учащихся знаний по информационным технологиям в математике, умения правильного выбора инструментария для решения практических задач.

Объектом исследования выступает процесс использования информационных технологий как инструмента обучения в курсе математики при изучении темы «Использование производной в исследовании функции».

Задачи:

1.       Изучение учебно-методической литературы по теме Maple 9;

.         Разработка методики решения математических задач с использованием прикладного пакета Maple 9;

.         Обучение учащихся использованию прикладного математического пакета Maple 9;

.         Составление перечня задач для самостоятельной работы.

Глава I. Роль информационных технологий в образовании

1.1 Информационные технологии


. Определение информационной технологии

Технология при переводе с греческого (techne) означает искусство, мастерство, умение, а это не что иное, как процессы. Под процессом следует понимать определенную совокупность действий, направленных на достижение поставленной цели. Процесс должен определяться выбранной человеком стратегией и реализоваться с помощью совокупности различных средств и методов.

Под технологией материального производства понимают процесс, определяемый совокупностью средств и методов обработки, изготовления, изменения состояния, свойств, формы сырья или материала. Технология изменяет качество или первоначальное состояние материи в целях получения материального продукта (рис.1).

Рис. 1. Информационная технология как аналог технологии переработки материальных ресурсов.

Информация является одним из ценнейших ресурсов общества наряду с такими традиционными материальными видами ресурсов, как нефть, газ, полезные ископаемые и др., а значит, процесс ее переработки по аналогии с процессами переработки материальных ресурсов можно воспринимать как технологию. Тогда справедливо следующее определение.

Информационная технология - процесс, использующий совокупность средств и методов сбора, обработки и передачи данных (первичной информации) для получения информации нового качества о состоянии объекта, процесса или явления (информационного продукта).

Цель технологии материального производства - выпуск продукции, удовлетворяющей потребности человека или системы.

Цель информационной технологии - производство информации для ее анализа человеком и принятия на его основе решения по выполнению какого-либо действия.

Известно, что, применяя разные технологии к одному и тому же материальному ресурсу, можно получить разные изделия, продукты. То же самое будет справедливо и для технологии переработки информации.

Новая информационная технология

Информационная технология является наиболее важной составляющей процесса использования информационных ресурсов общества. К настоящему времени она прошла несколько эволюционных этапов, смена которых определялась главным образом развитием научно-технического прогресса, появлением новых технических средств переработки информации. В современном обществе основным техническим средством технологии переработки информации служит персональный компьютер, который существенно повлиял как на концепцию построения и использования технологических процессов, так и на качество результатной информации. Внедрение персонального компьютера в информационную сферу и применение телекоммуникационных средств связи определили новый этап развития информационной технологии и, как следствие, изменение ее названия за счет присоединения одного из синонимов: «новая», «компьютерная» или «современная».

Прилагательное «новая» подчеркивает новаторский, а не эволюционный характер: технологии. Ее внедрение является новаторским актом в том смысле, что она существенно изменяет содержание различных видов дёятельности в организациях. В понятие новой информационной технологии включены также коммуникационные технологии, которые обеспечивают передачу информации разными средствами, а именно - телефон, телеграф, телекоммуникации, факс и др. В табл.1 приведены основные характерные черты новой информационной технологии.

Таблица 1. Основные характеристики новой информационной технологии

Методология

Основной признак

Результат

Принципиально новые средства обработки информации. Целостные технологические системы. Целенаправленные создание, передача, хранение и отображение информации.

«Встраивание» в технологию управления. Интеграция функций специалистов и менеджеров. Учет закономерностей социальной среды.

Новая технология коммуникаций. Новая технология обработки информации. Новая технология принятия управленческих решений.


Новая информационная технология - информационная технология с «дружественным» интерфейсом работы пользователя, использующая персональные компьютеры и телекоммуникационные средства.

Прилагатёльное «компьютерная» подчеркивает, что основным техническим средством ее реализации является компьютер.

Три основных принципа новой (компьютерной) информационной технологии:

·        интерактивный (диалоговый) режим работы с компьютером;

·        интегрированность (стыковка, взаимосвязь) с другими программными продуктами;

·        гибкость процесса изменения, как данных, так и постановок задач.

По-видимому, более точным следует считать все же термин новая, а не компьютерная информационная технология, поскольку он отражает в ее структуре не только технологии, основанные на использовании компьютеров, но и технологии, основанные на других технических средствах, особенно на средствах, обеспечивающих телекоммуникацию.

Появившийся сравнительно недавно термин НИТ постепенно начинает терять слово «новая», а под информационной технологией начинают понимать тот смысл, который вкладывается в НИТ. В дальнейшем изложении мы для простоты опустим прилагательное «новая», придавая ее смысл термину «информационная технология».

3. Инструментарий информационной технологии.

Реализация технологического процесса материального производства осуществляется с помощью различных технических средств, к которым относятся: оборудование, станки, инструменты, конвейерные линии и т.п.

По аналогии и для информационной технологии должно быть нечто подобное. Такими техническими средствами производства информации будет являться аппаратное, программное и математическое обеспечение этого процесса. С их помощью производится переработка первичной информации в информацию нового качества. Выделим отдельно из этих средств программные продукты и назовем их инструментарием, а для большей четкости можно его конкретизировать, назвав программным инструментарием информационной технологии. Определим это понятие.

Инструментарий информационной технологии - один или несколько взаимосвязанных программных продуктов для определенного типа компьютера, технология работы в котором позволяет достичь поставленную пользователем цель.

В качестве инструментария можно использовать следующие распространенные виды программных продуктов для персонального компьютера: текстовый процессор (редактор), настольные издательские системы, электронные таблицы, системы управления базами данных, электронные записные книжки, электронные календари, информационные системы функционального назначения (финансовые, бухгалтерские, для маркетинга и пр.), экспертные системы и т.д.

1.2 Этапы развития информационных технологий

Существует несколько точек зрения на развитие информационных технологий с использованием компьютеров, которые определяются различными признаками деления.

Общим для всех изложенных ниже подходов является то, что с появлением персонального компьютера начался новый этап развития информационной технологии. Основной целью становится удовлетворение персональных информационных потребностей человека, как для профессиональной сферы, так и для бытовой.

. Признак деления - вид задач и процессов обработки информации.

-й этап (60 - 70-е гг.) - обработка данных в вычислительных центрах в режиме коллективного пользования. Основным направлением развития информационной технологии являлась автоматизация операционных рутинных действий человека.

-й этап (с 80-х гг.) - создание информационных технологий, направленных на решение стратегических задач.

. Признак деления - проблемы, стоящие на пути информатизации общества.

-й этап (до конца 60-х гг.) характеризуется проблемой обработки больших объемов данных в условиях ограниченных возможностей аппаратных средств.

-й этап (до конца 70-х гг.) связывается с распространением ЭВМ серии IBM/360. Проблема этого этапа - отставание программного обеспечения от уровня развития аппаратных средств.

-й этап (с начала 80-х гг.) - компьютер становится инструментом непрофессионального пользователя, а информационные системы - средством поддержки принятия его решений. Проблемы - максимальное удовлетворение потребностей пользователя и создание соответствующего интерфейса работы в компьютерной среде.

-й этап (с начала 90-х гг.) - создание современной технологии межорганизационных связей и информационных систем. Проблемы этого этапа весьма многочисленны. Наиболее существенными из них являются:

·        выработка соглашений и установление стандартов, протоколов для компьютерной связи;

·        организация доступа к стратегической информации;

·        организация защиты и безопасности информации.

. Признак деления - преимущество, которое приносит компьютерная технология.

-й этап (с начала 60-х гг.) характеризуется довольно эффективной обработкой информации при выполнении рутинных операций с ориентацией на централизованное коллективное использование ресурсов вычислительных центров. Основным критерием оценки эффективности создаваемых информационных систем была разница между затраченными на разработку и сэкономленными в результате внедрения средствами. Основной проблемой на этом этапе была психологическая - плохое взаимодействие пользователей, для которых создавались информационные системы, и разработчиков из-за различия их взглядов и понимания решаемых проблем. Как следствие этой проблемы, создавались системы, которые пользователи плохо воспринимали и, несмотря на их, достаточно большие возможности, не использовали в полной мере.

-й этап (с середины 70-х гг.) связан с появлением персональных компьютеров. Изменился подход к созданию информационных систем - ориентация смещается в сторону индивидуального пользователя для поддержки принимаемых им решений. Пользователь заинтересован в проводимой разработке, налаживается контакт с разработчиком, возникает взаимопонимание обеих групп специалистов. На этом этапе используется как централизованная обработка данных, характерная для первого этапа, так и децентрализованная, базирующаяся на решении локальных задач и работе с локальными базами данных на рабочем месте пользователя.

-й этап (с начала 90-х гг.) связан с понятием анализа стратегических преимуществ в бизнесе и основан на достижениях телекоммуникационной технологии распределенной обработки информации. Информационные системы имеют своей целью не просто увеличение эффективности обработки данных и помощь управленцу. Соответствующие информационные технологии должны помочь организации выстоять в конкурентной борьбе и получить преимущество.

. Признак деления - виды инструментария технологии.

-й этап (до второй половины XIX в.) - «ручная» информационная технология, инструментарий которой составляли: перо, чернильница, книга. Коммуникации осуществлялись ручным способом путем переправки через почту писем, пакетов, депеш. Основная цель технологии - представление информации в нужной форме.

-й этап (с конца XIX в.) - «механическая» технология, инструментарий которой составляли: пишущая машинка, телефон, диктофон, оснащенная более совершенными средствами доставки почта. Основная цель технологии - представление информации в нужной форме более удобными средствами.

-й этап (40 - 60-е гг. XX в.) - «электрическая» технология, инструментарий которой составляли: большие ЭВМ и соответствующее программное обеспечение, электрические пишущие машинки, ксероксы, портативные диктофоны.

Изменяется цель технологии. Акцент в информационной технологии начинает перемещаться с формы представления информации на формирование ее содержания.

-й этап (с начала 70-х гг.) - «электронная» технология, основным инструментарием которой становятся большие ЭВМ и создаваемые на их базе автоматизированные системы управления (АСУ) и информационно-поисковые системы (ИПС), оснащенные широким спектром базовых и специализированных программных комплексов. Центр тяжести технологии еще более смещается на формирование содержательной стороны информации для управленческой среды различных сфер общественной жизни, особенно на организацию аналитической работы. Множество объективных и субъективных факторов не позволили решить стоящие перед новой концепцией информационной технологии поставленные задачи. Однако был приобретен опыт формирования содержательной стороны управленческой информации и подготовлена профессиональная, психологическая и социальная база для перехода на новый этап развития технологии.

-й этап (с середины 80-х гг.) - «компьютерная» («новая») технология, основным инструментарием которой является персональный компьютер с широким спектром стандартных программных продуктов разного назначения. На этом этапе происходит процесс персонализации АСУ, который проявляется в создании систем поддержки принятия решений определенными специалистами. Подобные системы имеют встроенные элементы анализа и интеллекта для разных уровней управления, реализуются на персональном компьютере и используют телекоммуникации. В связи с переходом на микропроцессорную базу существенным изменениям подвергаются и технические средства бытового, культурного и прочего назначений. Начинают широко использоваться в различных областях глобальные и локальные компьютерные сети.

1.3 Проблемы использования информационных технологий


. Устаревание информационной технологии.

Для информационных технологий является вполне естественным то, что они устаревают и заменяются новыми.

При внедрении новой информационной технологии в организации необходимо оценить риск отставания от конкурентов в результате ее неизбежного устаревания со временем, так как информационные продукты, как никакие другие виды материальных товаров, имеют чрезвычайно высокую скорость сменяемости новыми видами или версиями. Периоды сменяемости колеблются от нескольких месяцев до одного года.

Если в процессе внедрения новой информационной технологии этому фактору не уделять должного внимания, возможно, что к моменту завершения перевода фирмы на новую информационную технологию она уже устареет и придется принимать меры к ее модернизации. Такие неудачи с внедрением информационной технологии обычно связывают с несовершенством технических средств, тогда как основной причиной неудач является отсутствие или слабая проработанность методологии использования информационной технологии.

. Методология использования информационной технологии.

Централизованная обработка информации на ЭВМ вычислительных центров была первой исторически сложившейся технологией. Создавались крупные вычислительные центры (ВЦ) коллективного пользования, оснащенные большими ЭВМ (в нашей стране - ЭВМ ЕС). Применение таких ЭВМ позволяло обрабатывать большие массивы входной информации и получать на этой основе различные виды информационной продукции, которая затем передавалась пользователям. Такой технологический процесс был обусловлен недостаточным оснащением вычислительной техникой предприятий и организаций в 60-70-е гг.

Достоинства методологии централизованной технологии:

·        возможность обращения пользователя к большим массивам информации в виде баз данных и к информационной продукции широкой номенклатуры;

·        сравнительная легкость внедрения методологических решений по развитию и совершенствованию информационной технологии благодаря централизованному их принятию. Недостатки такой методологии очевидны:

·        ограниченная ответственность низшего персонала, который не способствует оперативному получению информации пользователем, тем самым, препятствуя правильности выработки управленческих решений;

·        ограничение возможностей пользователя в процессе получения и использования информации.

Децентрализованная обработка информации связана с появлением в 80-х гг. персональных компьютеров и развитием средств телекоммуникаций. Она весьма существенно потеснила предыдущую технологию, поскольку дает пользователю широкие возможности в работе с информацией и не ограничивает его инициатив.

Достоинствами такой методологии являются:

·        гибкость структуры, обеспечивающая простор инициативам пользователя;

·        усиление ответственности низшего звена сотрудников;

·        уменьшение потребности в пользовании центральным компьютером и соответственно контроле со стороны вычислительного центра;

·        более полная реализация творческого потенциала пользователя благодаря использованию средств компьютерной связи.

Однако эта методология имеет свои недостатки:

·        сложность стандартизации из-за большого числа уникальных разработок;

·        психологическое неприятие пользователями рекомендуемых вычислительным центром стандартов и готовых программных продуктов;

·        неравномерность развития уровня информационной технологии на локальных местах, что в первую очередь определяется уровнем квалификации конкретного работника.

Описанные достоинства и недостатки централизованной и децентрализованной информационной технологии привели к необходимости придерживаться линии разумного применения и того, и другого подхода. Такой подход назовем рациональной методологией и покажем, как в этом случае будут распределяться обязанности:

·        вычислительный центр должен отвечать за выработку общей стратегии использования информационной технологии, помогать пользователям, как в работе, так и в обучении, устанавливать стандарты и определять политику применения программных и технических средств;

·        персонал, использующий информационную технологию, должен придерживаться указаний вычислительного центра, осуществлять разработку своих локальных систем и технологий в соответствии с общим планом организации.

Рациональная методология использования информационной технологии позволит достичь большей гибкости, поддерживать общие стандарты, осуществить совместимость информационных локальных продуктов, снизить дублирование деятельности и др.

. Выбор вариантов внедрения информационной технологии в фирме.

При внедрении информационной технологии в фирму необходимо выбрать одну из двух основных концепций, отражающих сложившиеся точки зрения на существующую структуру организации и роль в ней компьютерной обработки информации.

Первая концепция ориентируется на существующую структуру фирмы. Информационная технология приспосабливается к организационной структуре, и происходит лишь модернизация методов работы. Коммуникации развиты слабо, рационализируются только рабочие места. Происходит распределение функций между техническими работниками и специалистами. Степень риска от внедрения новой информационной технологии минимальна, так как затраты незначительны и организационная структура фирмы не меняется.

Основной недостаток такой стратегии - необходимость непрерывных изменений формы представления информации, приспособленной к конкретным технологическим методам и техническим средствам. Любое оперативное решение «вязнет» на различных этапах информационной технологии.

К достоинствам стратегии можно отнести минимальные степень риска и затраты.

Вторая концепция ориентируется на будущую структуру фирмы. Существующая структура будет модернизироваться.

Данная стратегия предполагает максимальное развитие коммуникаций и разработку новых организационных взаимосвязей. Продуктивность организационной структуры фирмы возрастает, так как рационально распределяются архивы данных, снижается объем циркулирующей по системным каналам информации и достигается сбалансированность между решаемыми задачами.

К основным ее недостаткам следует отнести:

·        существенные затраты на первом этапе, связанном с разработкой общей концепции и обследованием всех подразделений фирмы;

·        наличие психологической напряженности, вызванной предполагаемыми изменениями структуры фирмы и, как следствие, изменениями штатного расписания и должностных обязанностей.

Достоинствами данной стратегии являются:

·        рационализация организационной структуры фирмы;

·        максимальная занятость всех работников;

·        высокий профессиональный уровень;

·        интеграция профессиональных функций за счет использования компьютерных сетей.

Новая информационная технология в фирме должна быть такой, чтобы уровни информации и подсистемы, ее обрабатывающие, связывались между собой единым массивом информации. При этом предъявляются два требования. Во-первых, структура системы переработки информации должна соответствовать распределению полномочий в фирме. Во-вторых, информация внутри системы должна функционировать так, чтобы достаточно полно отражать уровни управления.

1.4 Линия информационных технологий

Одной из наиболее заметных тенденций в развитии школьной информатики является увеличение места информационных технологий в ее содержании. В первых школьных учебниках информатики сведения о прикладных средствах современных информационных технологий в основном носили краткий описательный характер. В значительной степени это было связано с тем, что на большинстве доступных школам компьютеров отсутствовало соответствующее программное обеспечение. В учебной литературе третьего поколения компьютерные информационные технологии находят гораздо большее отражение.

В обязательном минимуме содержания школьной информатики в числе изучаемых прикладных средств компьютерных информационных технологий перечислены: текстовые и графические редакторы, базы данных, электронные таблицы, средства компьютерных телекоммуникаций, технологии мультимедиа. Перечисленные средства относятся к прикладному программному обеспечению общего назначения, являются наиболее распространенными и широко используемыми на практике.

В учебниках по информатике применяются разные подходы к изложению этих вопросов. Первый подход - описание и практическое использование специально созданных учебных прикладных программ (редакторов, СУБД и пр.), включенных в состав учебного ПО для данного курса. Второй подход - описание и использование наиболее популярных программных продуктов для конкретных типов ЭВМ и операционных систем. Здесь рассматривается текстовый редактор Write, графический редактор Paint Brush, табличный процессор Excel. Третий подход - инвариантное описание прикладных программных средств без привязки к конкретной реализации. Предполагается, что такая привязка будет осуществлена учителем на уроках, с ориентацией на имеющееся программное обеспечение, с использованием дополнительной справочной литературы.

В последнее время в содержание образовательной области «Технологии» включается раздел «Информационные технологии». Чем же отличается преподавание информационных технологий в курсе информатики от курса технологий? В курсе информатики в любой технологической теме должны найти место элементы фундаментального образования: вопросы представления информации и информационных процессов, вопросы постановки и решения информационных задач данными технологическими средствами. В курсе информатики изучение средств обеспечения информационных технологий не является самоцелью; к ним надо относиться к инструментальным средствам для определенных видов информационной деятельности человека.

В каждом тематическом разделе содержательной линии - «Информационные технологии» учитель должен четко различать теоретическое и технологическое содержание. Теоретическое содержание включает в себя вопросы представления различных видов информации в памяти ЭВМ, структурирования данных, постановки и методов решения информационных задач с помощью технологических средств данного типа.

К технологическому содержанию относится:

·        изучение используемых аппаратных средств: более подробное знакомство с принципами работы отдельных устройств компьютера, используемых в данной технологии, расширяющее представления учащихся об архитектуре ЗВМ;

·        изучение и освоение прикладного программного обеспечения редакторов, СУБД, табличных процессоров и пр.

Знакомство учеников с каждым новым для них видом информационных технологий должно начинаться с рассказа об их областях применения. Желательно, чтобы изучение каждого прикладного программного средства затрагивало следующие его стороны: данные, среда (интерфейс), режимы работы, команды управления. Предлагаемая методическая схема отображена на рис. 2.











Рис.2. Методическая схема изучения информационных технологий.

1.5 Использование информационных технологий в сфере образования и обучения


В процессе широкой информатизации общества существенное значение приобретает использование информационных технологий, которые занимают центральное место в процессе развития системы образования и культуры. С ранних этапов обучения целесообразно ознакомление с информационными технологиями, так как они широко используются в самых различных сферах деятельности человека. Система образования и наука являются одним из объектов процесса информатизации общества. Информатизация образования в силу специфики самого процесса передачи знаний требует тщательного отбора используемых технологий информатизации и возможности их широкого тиражирования. Стремление активно применять современные информационные технологии в сфере образования также должно быть направленно на повышение уровня и качества подготовки специалистов.

Информационные технологии, применяемые в сфере образования должны ставить следующие задачи:

·        развитие системного диалектического мышления, гибкости и самостоятельности ума, познавательной активности и интересов учащихся;

·        формирование системности знаний на основе развития ведущих общенаучных идей и понятий;

·        использование всех видов деятельности человека в приобретении знаний;

·        реализацию принципа индивидуализации учебного процесса при сохранении его целостности.

Для того чтобы эти задачи выполнялись недостаточно просто овладеть той или иной информационной технологией. Необходимо выделить и наиболее эффективно использовать возможности данной информационной технологии.

 

.6 Проблемы применения информационных технологий в процессе обучения


Компьютерная технология обучения представляет технологию обучения, основанную на принципах информатики и реализуемую с помощью компьютеров. Применение компьютера в качестве нового и динамично развивающегося средства обучения главная отличительная особенность компьютерной технологии. Использование компьютера кардинально меняет систему форм и методов преподавания.

В современном информационном обществе человек не может обойтись без компьютера. Однако для большинства пользователей применение этих технологий требует больших материальных затрат. Возникают вопросы: как реализовать новые возможности, предоставляемые этими технологиями в сфере образования, как новые технологии эффективно использовать в процессе обучения?

Специалисты в области образования развитых стран не могут однозначно ответить на эти вопросы и оценить последствия применения компьютера и информационных технологий в сфере образования, хотя в их системе образования компьютеры используются гораздо дольше и более эффективно, чем у нас. Специалисты всего мира пока единодушно констатируют только одно - применение компьютера в этой сфере человеческой деятельности породило больше проблем, нежели решило. Здесь речь идет о процессе, связанном с применением информационных технологий в обучении как таковом, а не об организации и сопровождении учебного процесса. В данном случае возникают трудности:

·        как переработать учебный курс для его компьютеризации;

·        как построить учебный процесс с применением компьютера;

·        какую долю учебного материала, и в каком виде представить и реализовать с использованием компьютера;

·        как и какими средствами осуществлять контроль знаний, оценивать уровень закрепления навыков и умений;

·        какие информационные технологии применять для реализации

поставленных педагогических и дидактических задач.

Для того чтобы преподаватель переложил курс на компьютерную технологию обучения, он должен иметь: представление о предметной области; быть хорошим методистом; иметь навыки систематизации знаний; информированным о возможностях информационных технологий; знать какими средствами компьютерной поддержки достигается тот или иной дидактический прием; информирован о тех технических средствах и программном обеспечении, которые будут ему доступны как при создании прикладного программного обеспечения, так и при сопровождении учебного процесса. Очевидно, что одному человеку это не под силу.

Для создания качественного продукта требуется участие специалистов различных отраслей информационных технологий. Применение информационных технологий в образовании и обучении, в конечном счете, заключается в разработке и использовании программного обеспечения учебного назначения. Особенность этого вида программного продукта состоит в том, что он должен содержать в себе, наряду с компьютерной программой как таковой, дидактический и методический опыт преподавателя-предметника, актуальность и правильность информационного наполнения по определенной учебной дисциплине, а также удовлетворять требованиям образовательного стандарта и реализовывать в то же время возможность его применения как для самостоятельной работы обучаемого, так и в учебном процессе.

В системе образования создается огромное количество программного обеспечения для поддержки учебного процесса. Это базы данных, традиционные информационно-справочные системы, компьютерные обучающие программы.

Современный этап применения компьютерной технологии обучения в учебном процессе заключается в использовании компьютера как средства обучения не эпизодически, а систематически с первого до последнего занятия при любом виде обучения. Основная проблема при этом заключается в методике компьютеризации курса, который предстоит освоить обучаемому. Речь идет о форме компьютерной поддержки процесса обучения. В настоящее время практика использования компьютерных технологий в образовании обнаруживает две тенденции:

·        применение промышленных универсальных компьютерных программ, предназначенных для решения широкого круга практических и научных задач из различных предметных областей, и адаптированных к учебным дисциплинам;

·        применение обучающих программ, специально разработанных для целей обучения и реализующих соответствующие методики, заложенные в них разработчиками.

На сегодняшний день существует широкий спектр программ от простейших контролирующих, до сложных мультимедийных продуктов. Школьники и студенты, приобретая их, могут пользоваться ими. Но соответствует ли такое «компьютерное учебное пособие» программе определенного предмета или курса, а также как применить его в учебном процессе, ведущемся в конкретном учебном заведении, зачастую не знает ни завуч, ни директор, ни учитель. Они пользуются в качестве средств поддержки учебного процесса только тем программным обеспечением учебного назначения, которое разработано ими самими, либо рекомендовано коллегами. Поэтому нужна система разработки компьютеризированных курсов, поддерживаемая государством, для компьютерной технологии обучения и, параллельно с ней, система подготовки и переподготовки преподавательских кадров, умеющих применять информационные технологии для реализации компьютерной технологии обучения.

1.7 Основные информационные и управляющие потоки учебного процесса

 

При традиционном групповом занятии с преподавателем - преподаватель, используя устную речь, графические изображения и надписи на доске, жесты, традиционные технические средства обучения (диапроектор, видео- и кинофильм), тем самым создает интенсивный поток обучающей информации. Однако, без обратной связи с обучаемым, этот поток, как правило, не усваивается. Обратная связь реализуется, прежде всего, в виде вопросов обучаемых к преподавателю и ответов на контрольные вопросы преподавателя учащимися.

При использовании информационных технологий компьютер с соответствующим интерфейсом выдает информацию в виде текста, графиков, таблиц, видео и аудио. Обучаемые с помощью клавиатуры реализуют на компьютере: вопросы и ответы, поиск причин не понимания, повтор, имитацию управления изучаемым объектом. В этом случае у учащихся появляется: умение самостоятельно мыслить, умение самостоятельно добывать знания, «умение учиться» - главная развивающая цель обучения. На процесс получения обучаемыми знаний от обучающей программы, может влиять преподаватель.

Из выше сказанного можно сделать два вывода:

·        с использованием компьютерных обучающих программ, с одной

стороны, обучаемые получили возможность работать в своем собственном ритме в соответствии со своим уровнем подготовки. Это оказывает положительное влияние на процесс обучения, так как обучаемый получает большую свободу в выборе решений, в ходе процесса обучения присутствует элемент соревнования с компьютером;

·        такая индивидуализация обучения накладывает свой отпечаток на работу преподавателя. Преподаватель рискует оказаться в роли «центра Земли», к которому обучаемые должны подходить по одному или небольшими группами, либо в роли «челнока», бегающего от одного учащегося к другому. При любом из этих вариантов преподаватель лишен, возможности активно влиять на процесс обучения и реально оценивать уровень подготовки обучаемых, так как он не имеет возможности контролировать в процессе обучения хотя бы у большинства обучаемых.

Отсюда возникает проблема организации учебного процесса, которая облегчила бы взаимодействие преподавателя с обучаемым без снижения эффективности процесса обучения. Для ее решения необходимо разбить процесс обучения в компьютерных классах на два этапа: усвоение теоретического материала и применение теоретических знаний на практике.

На первом этапе главным действующим лицом является преподаватель. Традиционными инструментами в процессе передачи знаний от него к обучаемым является доска и мел. Эти инструменты редко позволяют наглядно объяснить действие какого-либо закона, прибора или программы. Кроме того, скорость передачи информации от преподавателя к обучаемым невысока. В этом случае хорошим решением может оказаться применение демонстрационного оборудования, все чаще используемого в настоящее время (речь идет не только о проекционных устройствах, но и о проецировании изображения с компьютера на экран, либо выводить изображения с компьютера на телевизор с большой диагональю). Такое оборудование позволяет не только наглядно объяснить теорию, но и показать практическое ее воплощение в виде обучающей компьютерной программы, что влечет за собой увеличение скорости информационного потока от преподавателя к обучаемому.

Глава II. Специфика профильных курсов

 

.1 Профильное обучение на старшей ступени общего образования


Дифференциация обучения - важная задача современной школы. Дифференциация обучения позволяет реализовать разные подходы в обучении, способствует индивидуализации обучения, развитию познавательной активности учащихся, выбору профессии и дальнейшему обучению. Дифференциация образования может осуществляться по разным направлениям - по возрасту, целям и средствам обучения, а также по содержанию обучения. По содержанию обучения различают уровневую и профильную дифференциацию.

Уровневая дифференциация предполагает различие в глубине и сложности изучения материала всего курса. Она ориентирована на школьников с разной подготовкой и способностями, которые осваивают учебный материал на базовом, продвинутом, и углубленном уровнях.

Профильная дифференциация предполагает выделение отдельных вопросов предметного курса для более глубокого изучения. Это связано с задачами предпрофессиональной подготовки школьника, ориентированием на его интересы, склонности и познавательные потребности. Информатика является одним из тех предметов, в которых дифференциация обучения реализуется наиболее естественным образом. Этому способствует сам характер информатики как науки и совокупности множества информационных технологий, история ее появления в школе в те годы, когда многообразию в школьном образовании способствовали внешние условия. Заметим, что даже базовый курс информатики является в некотором смысле дифференцированным.

Базовые общеобразовательные предметы являются обязательными для всех профилей обучения. Профильные общеобразовательные предметы - это предметы повышенного уровня, определяющие направленность каждого конкретного профиля обучения. Базовые и профильные предметы являются обязательными для всех и составляют федеральный компонент государственного стандарта общего образования.

Однако истинная дифференциация курса информатики связана не с методическими различиями в изложении одного и того же материала, как в базовом курсе, а с реальными различиями в содержании дифференцированных курсов. Подобное возможно лишь на старшей ступени школы, после изучения базового курса информатики.

Общие цели и задачи профильно-дифференцированных курсов информатики таковы:

• способствовать учету интересов каждого из учащихся;

• учитывать направленность допрофессиональной подготовки;

• формировать основы научного мировоззрения;

• способствовать развитию мышления учащихся;

• готовить учащихся к практическому труду, продолжению образования;

• развивать и профессионализировать навыки работы с компьютером.

Вопрос о типологии дифференцированных курсов информатики, достаточно важен, поскольку стихийное планирование таких курсов не способствует реализации целей образования и содействует закреплению за информатикой подобающего ей места в школе. Примем за основу типологию, предложенную А.А. Кузнецовым, Л.Е. Самовольновой и Н.М. Угриновичем при обсуждении концепции содержания обучения информатике в 12-летней школе, и опишем ее.

При определении содержания профильных курсов выделяются два типа таких курсов - фундаментальные и прикладные. Для фундаментальных курсов ведущей функцией провозглашается формирование научного мировоззрения, а для прикладных - подготовка к практической деятельности.

Направления дифференциации содержания профильных курсов информатики первого типа определяются применительно к предметным областям, являющимся ведущими для каждого конкретного направления специализации обучения в школе (классе).

Если взять основные направления специализации школы по таким образовательным (предметным) областям, как:

• филология,

• обществознание,

• математика,

• естествознание,

• технология,

то для каждого из них возможен свой набор профильных курсов информатики. В каждом из таких курсов изучается тот раздел информатики, предмет которого пересекается с предметом соответствующей науки.

Основная задача курсов подобного типа - развитие научных представлений, формирование научного мировоззрения (с позиций информатики - «системно-информационной картины мира»), обогащение изучения основ других фундаментальных наук методами научного познания, привнесенными или развитыми информатикой (моделирование, формализация и т.д.).

Профильные курсы информатики второго типа - прикладные - дифференцируются не по предметным областям, а по критерию вида информационной деятельности. Основное назначение таких курсов - формирование (развитие) навыков использования методов и средств научно - информационных технологий (НИТ) в различных областях.

Виды информационной деятельности человека (сбор, обработка, хранение информации) инвариантны конкретным предметным областям, поэтому основным критерием дифференциации содержания обучения является здесь структура и компоненты информационной деятельности табл. 2.

Таблица 2. Профессиональная дифференциация курсов информатики.

Принцип дифференциации.

Комментарий.

1. По ведущей педагогической функции.

Можно выделить: - «Фундаментальные» профессиональные курсы (назначение - формирование научного мировоззрения); - «Прикладные» (пользовательские) профильные курсы (назначение - подготовка к практической деятельности, труду).

2. По предметным областям.

Курс может быть увязан с одной из предметных областей: - Филология; - Обществознание; - Математика; - Естествознание; - Технология; - Физическая культура.

3. По видам информационной деятельности.

Курс может быть ориентирован на один из видов информационной деятельности: - Обработка информации; - Получение, хранение, использование информации; - Передача информации.


Что же касается конкретных курсов, то в принципе их может быть много. В табл. 3 и 4 даны типичные названия возможных профильных курсов для каждой из образовательных областей и видов информационной деятельности.

Таблица 3. Профильные курсы информатики, соотнесенные с предметными областями.

Предметная (образовательная) область и ее составляющие.

Примеры возможных профильных курсов.

ФИЛОЛОГИЯ (языки, литература).

Знаковые модели.

ОБЩЕСТВОЗНАНИЕ (история, обществознание, география, экономика).

Компьютерное моделирование общественных процессов.

МАТЕМАТИКА (математика, информатика).

Вычислительная математика и программирование. Математическое моделирование. Вычислительная техника. Программирование. Компьютерные телекоммуникации.

ЕСТЕСТВОЗНАНИЕ (биология, физика, химия, экология).

Компьютерное моделирование процессов в природе.

ФИЗИЧЕСКАЯ КУЛЬТУРА (физическая культура, основы безопасности жизнедеятельности).


Таблица 4. Профильные курсы информатики, соотнесенные с видами информационной деятельности.

Вид информационной деятельности.

Примеры возможных профильных курсов.

ОБРАБОТКА ИНФОРМАЦИИ.

Обработка текстовой информации. Обработка графической информации. Обработка числовой информации.

ПОЛУЧЕНИЕ, ХРАНЕНИЕ, ИСПОЛЬЗОВАНИЕ ИНФОРМАЦИИ.

Использование баз данных.

ПЕРЕДАЧА ИНФОРМАЦИИ.

Компьютерные телекоммуникации.


Разумеется, в содержании курсов, указанных в табл. 3 и 4, значительные пересечения. Это вполне естественно, так как в курсах, ориентированных на предметные области, неизбежно присутствует использование основных информационных технологий и видов информационной деятельности; аналогично курсы, ориентированные на виды информационной деятельности, в своей содержательной части используют те или иные сведения из различных предметных областей. Например, курс «Программирование» реализован в вариантах с условными названиями «Программирование на Паскале» (классическое процедурное программирование), «Объектно-ориентированное программирование», «Логическое программирование» и др.

К профильным курсам информатики примыкают интегрированные курсы. Иногда различия между профильными и интегрированными курсами сводятся лишь к названиям, а иногда носят глубокий характер. Всякий профильный курс, ориентированный на конкретную предметную область, можно считать интегрированным, если в процессе его изучения учащиеся получают новые знания и навыки не только по информатике и информационным технологиям, но и по этой предметной области. Уровень интеграции может быть различным; если информатика в курсе отчетливо доминирует, курс лучше называть профильным, а при относительном равенстве нового материала из информатики и предметной области - интегрированным. Из курсов, которые в литературе называют интегрированными по формуле «информатика + X» в качестве «X» чаще всего фигурирует математика. Это объясняется исторической близостью наук, а также особенностью подготовки учителей информатики, многие из которых являются и учителями математики.

При проектировании профильных курсов информатики важен вопрос о нормативной трудоемкости курса. Исходя из возможности 2-летней подготовки при 1 часе в неделю, наиболее вероятный объем профильного курса может составить (и часто составляет на практике) 136 ч. В то же время нельзя отбрасывать и возможности проведения профильного курса меньшего объема (например, годичный курс в 68 ч или полугодовой в 34 ч). В некоторых школах с углубленным изучением информатики объем специализированного курса может быть большим, до 272 ч (т.е. по 2 ч в неделю на протяжении 2 лет).

Отметим и то, что профильная дифференциация часто сочетается с уровневой дифференциацией. Вполне возможной для каждого из отмеченных в табл. 3 и 4 курсов является двухуровневая дифференциация. При этом уровень профильного курса (по объему изучаемого материала и требованиям к его освоению) определяется по сравнению с тем уровнем, который предписывается государственным образовательным стандартом или временно заменяющим его документом.

Подчеркнем два обстоятельства:

·        стандарт определяет минимальный уровень требований, так что профильный курс может выйти за его пределы;

·        уровень профильного курса следует тщательно соотносить с уровнем образованности школьников и временем, отпущенным на реализацию курса (завышение требований по этим параметрам достаточно распространено).

2.2 Дифференциация обучения математике при интеграции в него информационных технологий


Необходимость внедрения информационных технологий в образовательный процесс, особенно в преподавание предметов естественно-математического цикла, сегодня ни у кого не вызывает сомнения. Использование информационных технологий позволяет ознакомить учащегося с основами компьютерного моделирования процессов и явлений. Интеграция информационных технологий в математику дает возможность создания единого предмета под условным названием «Математика и информатика». Проиллюстрируем необходимость введения такого предмета в школьный курс при наличии отдельно существующих предметов «Математика» и «Информатика» следующим примером из моей практики. Применение редактора электронных таблиц Microsoft Excel при изучении темы «Линейная функция у = kx + b и ее график» позволяет наглядно представить учащимся, что графиком линейной функции является прямая. Компьютер может высчитать координаты большого числа точек и построить их. Учащиеся наглядно могут убедиться, что действительно все эти точки лежат на одной прямой. Далее можно показать на одном чертеже как меняется график при изменении параметра k, а на другом чертеже - как меняется график линейной функции при изменении параметра b (число различных вариантов значений параметров k и b здесь не ограничено). Все это будет проделано гораздо быстрее, аккуратнее и с большим числом вариантов, чем при построении соответствующих зависимостей на доске, а учащиеся копировали информацию с доски себе в тетради. Особо отметим, что каждый ученик получает возможность провести самостоятельный эксперимент с программой построения графика линейной функции, которую он сам перед этим составил. Затем полученные графики можно вывести на печать, и у учащихся останется конспект данного урока. Таким образом, использование информационных технологий позволяет сэкономить учебное время для ее дальнейшего изучения без использования ПК. Это обусловлено, необходимостью научить учащихся не только составлять программы построения графиков функций, но и умению самостоятельно строить графики на бумаге.

Широкие возможности объединения математики с информатикой дает использование таких пакетов как: MathCad, Maple и т.д. Математический пакет MathCad может успешно применяться при изучении различных тем школьной математики: уравнения, системы уравнений, векторы, интегралы и др., а также на факультативных занятиях.

Среди возможностей Maple можно перечислить решение систем и систем с неравенствами, вычисление пределов, как конечных, так и бесконечных, взятие определенных и неопределенных интегралов, причем многие неопределенные интегралы, которые нельзя представить в элементарных функциях, представлены в виде специальных интегральных функций, которые можно использовать в дальнейших преобразованиях. Также можно брать производные любого порядка, решать дифференциальные уравнения и т.п. Для алгебраистов полезным окажется возможность задавать структуры, обладающие групповыми свойствами. Не обделен пакет и графическими средствами. Можно построить, как и простые функции, так и неявно заданные, есть возможность задания функций в различных координатных видах.

Конечно, возможности его не безграничны, но он окажет несомненную помощь при проверке результатов и математических выкладок.

Благодаря интеграции математики и информатики материал, который в настоящее время изучается в информатике, не является оторванным от жизни: учащиеся приобретают навыки применения тех или иных программных средств на практике. При внедрении информационных технологий в образование учебный материал предполагает наличие разветвлений, различных скоростей и способов его прохождения. Постоянно осуществляется контроль и поддерживается на необходимом уровне мотивация учения. Предполагается оказание помощи учащемуся в виде подсказок, пояснений и дополнительных указаний и задач. В условиях, когда математические способности у учащихся развиты не одинаково и разброс здесь очень велик, этот подход позволяет дать каждому учащемуся возможность работать в том темпе, при котором он наилучшим образом усваивает учебный материал. Таким образом, можно говорить о том, что интеграция информационных технологий в образование позволяет осуществлять индивидуальный подход к учащимся и тем самым помогает дифференциации образования, а интеграция информационных технологий в естественно-математические предметы в целом и в математику в частности дает возможность сделать учебный процесс наиболее эффективным как с точки зрения учителя, так и с точки зрения учащегося.

Глава III. Разработка методов использования информационных технологий на примере темы «Производная и ее применение»

 

.1 Обзор прикладных математических пакетов


. Классификация и структура систем компьютерной математики.

Компьютерная математика - это совокупность методов и средств, обеспечивающих максимально комфортную и быструю подготовку алгоритмов и программ для решения математических задач любой сложности, при этом в подавляющем большинстве случаев с высокой степенью визуализации всех этапов решения. Эффективность использования всех этих систем существенно зависит от производительности компьютера.

Средства компьютерной математики интенсивно внедряются в аппаратные средства современной вычислительной техники. Ярче всего это проявляется в развитии программируемых микрокалькуляторов. Даже калькуляторы начала 80-х годов удивляли знающих пользователей своими математическими способностями. Например, помещаемые в нагрудном кармане рубашки научные калькуляторы запросто вычисляли сложные интегралы и производные функций, оперировали матрицами с действительными и комплексными элементами, решали системы линейных и нелинейных уравнений и позволяли довольно просто реализовать практически любые численные методы вычислений.

Современные микропроцессоры, математические сопроцессоры и графические процессоры видеоплат используют средства компьютерной математики, связанные с обработкой массивов информации, интерполяцией и аппроксимацией функций, дискретным преобразованием Фурье и т.д. Доступ пользователей к аппаратным средствам компьютерной математики практически закрыт. В тоже время с позиции математики в этих средствах нет ничего нового, что не было бы реализовано в современных программных средствах ЭВМ - в системах компьютерной математики. Программные средства математики развиваются намного быстрее аппаратных.

Компьютерные математические системы можно (условно) подразделить на семь основных классов:

·        Системы для численных расчетов;

·        Табличные процессоры;

·        Матричные системы;

·        Системы для статистических расчетов;

·        Системы для специальных расчетов;

·        Системы для аналитических расчетов (компьютерной алгебры);

·        Универсальные системы.

Каждая из математических систем имеет определенные специфические для нее свойства, которые необходимо учитывать при решении конкретных математических задач.

Компьютерные математические системы как класс специализированных программных средств, рассчитанных на индивидуальную работу, возникли в начале 80-х годов ХХ века. Этому способствовало зарождение в это же время индустрии персональных компьютеров, что открыло дорогу таким системам к массовому пользователю. Отдельные системы (Matlab) были известны задолго этого, но они были реализованы лишь на больших ЭВМ и были доступными ограниченному кругу лиц. Эти системы представляли средства коллективного пользования, применение которых даже для решения простых задач требовало участия многих специалистов.

Сейчас такие системы благодаря их установке на ПК доступны педагогам и ученым, студентам и школьникам не только в коллективном, но и в индивидуальном порядке. Они используются в университетах и вузах, школах и колледжах. Велика роль таких систем и в автоматизации научно-технических расчетов и в математическом моделировании природных явлений и технических систем и устройств.

Помимо указанного деления на классы, можно выделить системы начального уровня (например, Derive и MuPAD), ориентированные на решение задач школьного образования и применение студентами младших курсов вузов. К системам среднего класса можно отнести систему MuPAD и систему MathCad. Высший класс представлен системами компьютерной алгебры Mathematica и Maple.

Каждая система компьютерной математики может иметь нюансы в своей архитектуре или структуре.

Современные универсальные системы имеют следующую типовую структуру:






Центральное место занимает ядро системы. Оно представляет собой множество заранее откомпилированных функций и процедур, представленных в машинных кодах и обеспечивающих набор встроенных функций и операторов системы. Этот набор должен быть функционально полным. Например, в него должны входить как минимум все основные элементарные функции. Роль ядра особенно велика в системах символьной математики, где в ядре хранятся многие сотни, а то и тысячи правил преобразования математических выражений.

Ядро математических систем тщательно оптимизируется, поскольку от скорости его работы зависит скорость вычислений, выполняемых данной системой компьютерной математики. Этому способствует и предварительная компиляция ядра. Доступ пользователя в ядро с целью его модификации исключен. Объем ядра может достигать нескольких мегабайт.

Интерфейс дает пользователю возможность обращаться к ядру со своими запросами и получать результат решения на экране дисплея. Интерфейс современных систем символьной математики базируется на средствах операционных систем Windows и обладает практически всеми их возможностями: перемещаемые и масштабируемые окна документов, диалоговые и информационные окна, кнопки управления, общение с периферийными устройствами и т.д. Нередко интерфейс систем обеспечивает возможность задания и редактирования библиотечных модулей и пакетов расширения систем.

Функции и процедуры, включенные в ядро, выполняются предельно быстро. С этой точки зрения в ядро было бы выгодно включать как можно больше вычислительных средств. Однако это невольно приводит к замедлению поиска нужных средств из-за возрастания их числа, увеличению времени загрузки ядра и к другим нежелательным последствиям. Поэтому объем ядра ограничивают, но к нему добавляют библиотеки более редких процедур и функций, к которым обращается пользователь, если в ядре не обнаружена нужная процедура или функция. Некоторые системы допускают модернизацию библиотек и их расширение силами самих пользователей.

Кардинальное расширение возможностей системы и их адаптация к решаемым конкретными пользователями задачам достигается за счет пакетов расширения. Эти пакеты, как правило, пишутся на собственном языке программирования той или иной системы, что делает возможным их подготовку обычными пользователями. Как правило, в базовую поставку систем включаются профессионально подготовленные пакеты расширения.

Справочная система обеспечивает получение оперативных справок по вопросам работы с системами компьютерной математики с примерами такой работы. В справочные системы нередко включают и такой материал, как математические и физические таблицы, формулы для нахождения производных и интегралов, алгебраические преобразования и т.д.

3.2 Краткая характеристика системы


Maple - система компьютерной математики, рассчитанная на серьезного пользователя. До недавнего времени ее называли системой компьютерной алгебры, что указывало на особую роль символьных вычислений и преобразований, которые способна осуществлять система. Но такое название сужает сферу применения системы. На самом деле она способна выполнять быстро и эффективно не только символьные, но и численные расчеты, причем сочетает это с превосходными средствами графической визуализации и подготовки электронных документов.

Казалось бы, нелепо называть такую мощную систему математической системой «для всех». Однако по мере распространения этой системы она становится полезной для многих пользователей ПК, вынужденных в силу обстоятельств (работа, учеба) заниматься математическими вычислениями и всем, что с ними связано. А все это простирается от решения учебных задач, начиная со школы и заканчивая вузом, до моделирования сложных физических объектов, систем и устройств и даже применения системы в математической художественной графике.9 - тщательно и всесторонне продуманная система компьютерной математики. Она с равным успехом может использоваться как для простых, так и для самых сложных вычислений. Заслуженной популярностью системы Maple пользуются в университетах - свыше 300 самых крупных университетов мира взяли эту систему на вооружение. А число только зарегистрированных пользователей системы уже давно превысило один миллион. Ядро системы Maple используется в ряде других математических систем, например Matlab и MathCAD, для реализации в них символьных вычислений.

Мар1е - типичная интегрированная программная система. Она объединяет в себе:

·        мощный язык программирования (он же язык для интерактивного общения с системой);

·        редактор для подготовки и редактирования документов и программ;

·        современный многооконный пользовательский интерфейс с возможностью работы в диалоговом режиме;

·        мощную справочную систему со многими тысячами примеров;

·        ядро алгоритмов и правил преобразования математических выражений;

·        численный и символьный процессоры;

·        систему диагностики;

·        библиотеки встроенных и дополнительных функций;

·        пакеты функций сторонних производителей и поддержку некоторых других языков программирования и программ.

Ко всем этим средствам имеется полный доступ прямо из окна программы. Система Мар1е прошла долгий путь развития и апробации. Она реализована на больших ЭВМ, рабочих станциях SUN, ПК, работающих с операционной системой Unix, ПК класса IBM РС, Macintosh и др. Не случайно ядро системы Мар1е используется целым рядом других мощных систем компьютерной математики, например системами класса MathCAD и Matlab.

Основой для работы с символьными преобразованиями в Мар1е является ядро системы. Оно содержит сотни базовых функций и алгоритмов символьных преобразований. Ядро системы улучшается от версии к версии. В новейшей версии Мар1е 9 в ядре исправлены многие недостатки, выявленные в ходе обширного и поистине всемирного тестирования предшествующих версий. Это, впрочем, не исключает появление новых неточностей и ошибок.

В Мар1е имеется также основная библиотека операторов, команд и функций. Многие встроенные в нее функции, как и функции ядра, могут использоваться без какого-либо объявления, другие нуждаются в объявлении. Кроме того, имеется ряд подключаемых проблемно-ориентированных пакетов (packages), тематика которых охватывает множество разделов классической и современной математики.

Дополнительные функции из пакетов могут применяться после объявления подключения пакета с помощью команды with (name), где name - имя применяемого пакета. Общее число функций, с учетом встроенных в ядро и размещенных в пакетах, в системе Мар1е 9 (как и в Мар1е 8) превышает 3000.

Система Мар1е интегрирует в себе три собственных языка:

• входной;

• реализации;

• программирования.

Мар1е имеет входной язык сверхвысокого уровня, ориентированный на решение математических задач практически любой сложности в интерактивном (диалоговом) режиме. Он служит для задания системе вопросов или, говоря иначе, задания входных данных для следующей их обработки. Это язык интерпретирующего типа и по своей идеологии напоминает Basic. Он имеет большое число заранее определенных математических и графических функций, а также обширную библиотеку дополнительных функций, подключаемую по мере необходимости.

Имеет Мар1е и свой язык процедурного программирования - Мар1е-язык. Этот язык содержит вполне традиционные средства структурирования программ. Ему доступны все специальные операторы и функции. Многие из них являются весьма серьезными программами: например, символьное дифференцирование, интегрирование, разложение в ряд Тейлора, построение сложных трехмерных графиков и т. д.

В новые реализации Мар1е 8/9 добавлены средства Maplets создания визуально-ориентированного диалога с системой, включающие в себя задание множества диалоговых окон и иных типовых средств интерфейса, привычного пользователям Windows-приложений. Однако даже обычные средства диалога у систем класса Мар1е обеспечивают высокую наглядность и комфортность работы с системой при решении математических задач.

Языком реализации системы Мар1е является один из самых лучших и мощных универсальных языков программирования - Си. На нем написано ядро системы, содержащее тщательно оптимизированные процедуры. Большинство же функций, которые содержатся в библиотеках расширения системы Мар1е, написаны на Мар1е-языке, благодаря чему их можно модифицировать и даже писать свои собственные библиотеки. По разным оценкам, лишь от 5 до 10 % средств Мар1е создано на языке реализации - все остальное написано на Мар1е-языке.

Для подготовки программ на языке Мар1е могут использоваться внешние редакторы, но система имеет и свой встроенный редактор, вполне удовлетворяющий требованиям большинства пользователей. Он открывается командами New и Open в меню File. Этот редактор можно использовать для редактирования файлов программ или математических выражений. Версии Мар1е для MS-DOS имеют свой редактор программ и отладчик с функциями проверки синтаксиса. После версии Maple V для Windows необходимость в этих средствах практически отпала.

Мар1е-язык программирования считается одним из самых лучших и мощных языков программирования математических задач. Это, наряду с упомянутыми новыми средствами пакета Maplets, позволяет создавать высококачественные электронные уроки, статьи и даже целые книги.

Основные возможности системы Мар1е 9.

Возможности интерфейса:

·        Работа со многими окнами;

·        Вывод графиков в отдельных окнах или в окнах документа;

·        Представление выходных и входных данных в виде естественных математических формул;

·        Задание текстовых комментариев различными шрифтами;

·        Возможность использования гиперссылок и подготовки электронных документов;

·        Удобное управление с клавиатуры, с помощью главного меню и инструментальной панели;

·        Управление с помощью мыши.

Символьные и численные вычисления:

·        Дифференцирование функций;

·        Численное и аналитическое интегрирование;

·        Вычисление пределов функций;

·        Разложение функций в ряды;

·        Вычисление сумм и произведений;

·        Интегральные преобразования Лампаса, Фурье и др.;

·        Дискретные Z - преобразования;

·        Прямое и обратное быстрое преобразование Фурье;

·        Работа с кусочно-заданными функциями.

Численное и символьное решение уравнений:

·        Решение систем линейных и нелинейных уравнений;

·        Решение систем дифференциальных уравнений;

·        Символьное вычисление рядов;

·        Работа с рекуррентными функциями;

·        Решение трансцендентных уравнений;

·        Решение систем с неравенствами.

Вычисление элементарных и специальных математических функций:

·        Вычисление всех элементарных функций;

·        Вычисление большинства специальных математических функций;

·        Пересчет координат точек для множества координатных систем;

·        Задание производных функций пользователя.

Линейная алгебра:

·        Свыше ста операций с векторами и матрицами;

·        Решение систем линейных уравнений;

·        Формирование матриц и их преобразования;

·        Вычисление собственных значений и собственных векторов матриц;

·        Поддержка быстрых векторных и матричных алгоритмов группы NAG.

Графическая визуализация вычислений:

·        Построение графиков многих функций;

·        Различные типы осей (с линейным и логарифмическим масштабом);

·        Графики функций в декартовой и полярной системах координат;

·        Специальные виды графиков (точки массивов, векторные графики, диаграммы уровней и др.);

·        Графики, представляющие решения дифференциальных уравнений;

·        Графики трехмерных поверхностей с функциональной закраской;

·        Построение пересекающихся в пространстве объектов;

·        Задание пользователем окраски графиков;

·        Импорт графиков из других пакетов и программных систем;

·        Анимация графиков;

·        Проигрывание анимационных файлов.

Программирование:

·        Мощный встроенный язык процедурного программирования;

·        Простой и типичный синтаксис языка программирования;

·        Обширный набор математических типов данных;

·        Типы данных, задаваемых пользователем;

·        Средства отладки программ;

·        Мощные библиотеки расширения языка программирования;

·        Задание внешних функций и процедур;

·        Программный интерфейс с языками программирования.

Исходя из всего вышесказанного, наиболее удачным инструментом реализации интеграции компьютерной математики в курс «Алгебра и начала анализа» является прикладной пакет Maple 9.

 

.3 Использование математического пакета Maple 9 при изучении темы «Производная и ее применение»


В примерном планировании учебного материала при трех уроках в неделю на изучение темы «производная и ее применение» отводится 54 урока в течение 2-го полугодия в 10 классе.

Примерное тематическое планирование изучения данной темы выглядит следующим образом.

Количество часов.

Содержание учебного материала.

Производная.

2 часа

Приращение функции.

2 часа

Понятие о производной.

2часа

Понятие о непрерывности функции и предельном переходе.

4 часа

Правила вычисления производных.

2 часа

Производная сложной функции.

3 часа

Производные тригонометрических функций.

1 час

Контрольная работа.

Применения непрерывности и производной.

4 часа

Применения непрерывности.

3 часа

Касательная к графику функции.

4 часа

Производная в физике и технике.

1 час

Контрольная работа.

Применения производной к исследованию функций.

3 часа

Признак возрастания (убывания) функции.

3 часа

Критические точки функции, максимумы и минимумы.

4 часа

Примеры применения производной к исследованию функции.

5 часов

Наибольшее и наименьшее значения функции.

1 час

Контрольная работа.


При изучении этой темы, учащиеся получают не только практические знания, но и умения применять их при решении прикладных задач. На данном этапе задача учителя информатики составить систему задач, показывающую применение информационных технологий, при решении прикладных задач математики.

3.4 Методические требования к системе задач


Задача - это данная в определенных условиях цель деятельности, которая должна быть достигнута преобразованием этих условий согласно определенной процедуре. Задача включает в себя требование (цель), условие (известное) и искомое (неизвестное), формулирующееся в форме вопроса. Между этими элементами существуют определенные связи и зависимости, за счет которых осуществляется поиск и определение неизвестных элементов через известные.

Под термином учебно-познавательная задача подразумеваются упражнения, вопросы, текстовые и практические задания, представляющие собой методически обоснованную совокупность задач, обеспечивающих достижение определенных результатов обучения.

Система задач:

.         Должна соответствовать учебной программе;

.         Должна содержать задачи с недостающей и избыточной информацией;

.         Должна быть разнообразной по форме выполнения;

.         Должна обеспечивать дифференциацию в процессе обучения.

Система задач предполагает совокупность следующих методов решения:

.         Метод аналогий;

.         Обобщение формул;

.         Нахождение искомого по частям;

.         Преобразования;

.         Установления причины и следствия;

.         Качественного анализа;

.         Противопоставлений и обратных заключений;

.         Практический;

.         Доказательный;

.         Вероятностный;

.         Статистический.

Для курса информатики, характеризующегося многообразием межпредметных связей, усвоение нового материала должно происходить при актуализации ранее полученных знаний и умений. Формирование новых знаний и умений базируется на совокупности уже сформированных знаний и умений учащегося. При этом каждое новое понятие, правило, свойство вводится на основании связи нового материала со старым, такая связь реализуется в задачах.

Задача должна характеризоваться вариативностью в форме представления конкретных данных, количестве шагов, выполнение которых должно приводить к решению задачи. Это позволяет активизировать познавательную деятельность учащегося и способствует формированию свободного оперирования понятийным аппаратом изучаемого предмета.

Основная задача учителя - формирование у учащегося способности переносить полученные знания в нестандартные ситуации. Для реализации этой задачи, учителю необходимо предложить учащемуся такое задание, которое потребует от ученика отказа от имеющихся шаблонов и стереотипов решения. Такой отказ может быть реализован в рамках задач курса информатики, или привлечение задач из других дисциплин.

Способность информатики легко интегрироваться в любую предметную область, обуславливает необходимость выработки у учащихся умения свободно оперировать знаниями и умениями в разнообразных ситуациях. Отсюда явно прослеживается необходимость включения в систему задач, связанных с использованием информационных технологий для автоматизации и упрощения действий субъекта при решении задач математического содержания.

Немаловажной для учителя информатики является задача развития у учащихся творческого мышления. Реализация этой задачи обуславливает включение в систему учебно-познавательных задач заданий, требующих от учащегося проявления инициативы и активизации поисковой деятельности, то есть задач повышенной сложности (нестандартных).

Из всего вышесказанного отчетливо видны следующие методические требования к системе задач:

.         Система задач должна актуализировать ранее приобретенные знания и умения;

.         Система задач должна обеспечивать варьирование конкретного материала в заданиях и количество шагов, ведущих к решению;

.         Система задач, должна содержать задания, требующие переноса имеющихся знаний, умений и опыта решения в нестандартные ситуации;

.         В системе задач должна отчетливо просматриваться ведущая роль информационных технологий на современно этапе развития общества;

.         Система задач должна содержать задания, стимулирующие поиск рационального решения задач.

3.5 Методика решения типовых задач в Maple 9

информационный математика прикладной

При составлении системы задач необходимо учитывать все методические требования и обеспечить наличие в этой системе типовых задач, к которым относятся задачи на графическое отображение данных, на работу с функциями, нахождение производной.

Решение задач происходит в несколько этапов:

.         Математический анализ условия;

.         Компьютерная реализация;

.         Анализ полученных результатов.

Рассмотрим реализацию этих этапов на конкретных примерах.

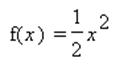
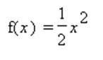
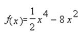
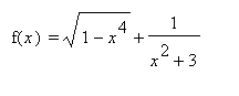
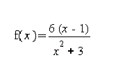
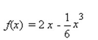
Задача 1.

Найдите производную функции f:

.

Решение:

Запустим программу Maple 9. В появившемся окне программы укажем команду restart (для обновления экрана) и нажмем клавишу Enter (внимание в конце команды обязательно наличие «;»).


Введем функцию, от которой требуется найти производную. Значение функции присвоим переменной f. Квадратный корень в Maple вычисляется с помощью функции sqrt, далее введем подкоренное выражение (степень числа записывается как число ^ степень). Запишем последнюю часть выражения (деление записывается как числитель/знаменатель). Функция будет выглядеть следующим образом: f:=sqrt(1-x^4)+1/(x^2+3).


После обработки команды система выведет на экран функцию, записанную на математическом языке. Сравним эту функцию с исходной, в случае несовпадения внесем изменения.

Далее перейдем к нахождению производной от функции. Для этого используем функцию diff, которая позволяет находить производные от заданных функций. В качестве параметра функции diff укажем имя переменной, которой мы присвоили значение исходной функции и переменную, по которой должно быть осуществлено дифференцирование, то есть x. Результат вычисления запишем в переменную f1.


Таким образом, решение задачи сводится к использованию двух встроенных функций: sqrt, diff.

Задача 2.

Исследуйте функцию и постройте ее график.

.

Решение:

Запустим программу Maple 9. В появившемся окне программы набрать укажем команду restart (для обновления экрана) и нажмем клавишу Enter (внимание в конце команды обязательно наличие «;»).


Введем функцию, которую требуется исследовать. Значение функции присвоим переменной f. Далее введем выражение (степень числа записывается как число ^ степень, деление записывается как числитель/знаменатель, знак умножения обозначается *). Функция будет выглядеть следующим образом: f:=6*(x-1)/(x^2+3);


После обработки команды система выведет на экран функцию, записанную на математическом языке. Сравним эту функцию с исходной, в случае несовпадения внесем изменения.

Далее найдем производную функции. Для этого используем функцию diff, которая позволяет находить производные от заданных функций. В качестве параметра функции diff укажем имя переменной, которой мы присвоили значение исходной функции и переменную, по которой должно быть осуществлено дифференцирование, то есть x. Результат вычисления запишем в переменную f1.


Присвоим переменной q значение функции solve (для нахождения критических точек), в качестве параметров функции укажем переменные f1 и x.


Найдем точку минимума функции. Для этого переменной А присвоим значение функции min, в качестве параметров которой укажем q[1] и q[2]. Присвоим переменной x значение А, а переменной fmin - f.


Найдем точку максимума функции. Для этого переменной А1 присвоим значение функции max, в качестве параметров которой укажем q[1] и q[2]. Присвоим переменной x значение А1, а переменной fmax - f.


Найдем нули функции. Для этого переменной x присвоим значение 0, а переменной f0 - значение f.


Присвоим переменной f2 значение 6*(x1-1)/(x1^2+3).

Используя функцию plot, построим график функции от переменных f2 и x1.


Таким образом, решение задачи сводится к следующему алгоритму.

Задача 3.

Используя формулы дифференцирования:.      (x2)'=2x;

b.       (x3)'=3x2;.   (kx+b)'=k.

Найдите производную функции f в точке x0, если:(x)= x3, x0 = 2; 1,5.

Решение:

Запустим программу Maple 9. В появившемся окне программы укажем команду restart (для обновления экрана) и нажмем клавишу Enter (внимание в конце команды обязательно наличие «;»).


Введем функцию, которую требуется исследовать. Значение функции присвоим переменной f. Далее введем выражение (степень числа записывается как число ^ степень). Функция будет выглядеть следующим образом: f:=x^3.


После обработки команды система выведет на экран функцию, записанную на математическом языке. Сравним эту функцию с исходной, в случае несовпадения внесем изменения.

Далее найдем производную функции. Для этого используем функцию diff, которая позволяет находить производные от заданных функций. В качестве параметра функции diff укажем имя переменной, которой мы присвоили значение исходной функции и переменную, по которой должно быть осуществлено дифференцирование, то есть x. Результат вычисления запишем в переменную f1.


Присвоим переменной x значение x0 = 2, и определим значение переменной f1 при x0.


Присвоим переменной x значение x0 = 1,5 определим значение переменной f1 при x0.


Таким образом, при x0=2 получили значение 12, а при x0=1,5 получили значение 6,75. Решение задачи сводится к следующему алгоритму.

Задача 4.

Исследуйте функцию на возрастание, убывание и экстремумы. Постройте график функции:

.

Решение:

Запустим программу Maple 9. В появившемся окне программы укажем команду restart (для обновления экрана) и нажмем клавишу Enter (внимание в конце команды обязательно наличие «;»).


Введем функцию, которую требуется исследовать. Значение функции присвоим переменной f. Далее введем выражение (степень числа записывается как число ^ степень, деление записывается как числитель/знаменатель, знак умножения обозначается *). Функция будет выглядеть следующим образом: f:=1/2*x^4-8*x^2.


После обработки команды система выведет на экран функцию, записанную на математическом языке. Сравним эту функцию с исходной, в случае несовпадения внесем изменения.

Далее найдем производную функции. Для этого используем функцию diff, которая позволяет находить производные от заданных функций. В качестве параметра функции diff укажем имя переменной, которой мы присвоили значение исходной функции и переменную, по которой должно быть осуществлено дифференцирование, то есть x. Результат вычисления запишем в переменную f1.


Присвоим переменной q значение функции solve (для нахождения критических точек), в качестве параметров функции укажем переменные f1 и x.


Присвоим переменной N значение 3.


Далее создадим цикл на 3 итерации такой, в котором каждому x[i] будет присваиваться значение q[i] и значение функции f будет вычисляться по формуле f[i]:=1/2*x[i]^4-8*x[i]^2.


Таким образом, имеем три точки экстремума с координатами (0;0), (2Ö2,-32), (-2Ö2,-32).

Найдем точку минимума функции. Для этого переменной fmin присвоим значение функции min, в качестве параметров укажем f[1],f[2], f[3].


Найдем точку максимума функции. Для этого переменной fmax присвоим значение функции max, в качестве параметров укажем f[1],f[2], f[3].


Переменной f4 присвоим значение функции от переменной x4.


Используя функцию plot, построим график функции от переменных f4 и x4, где x4 это интервал на котором строится график функции.

Таким образом, решение задачи сводится к следующему алгоритму.

Задача 5.

Найдите угловой коэффициент секущей к графику функции

.

Проходящий, через точки с абсциссами x1=0 и x2=1. Постройте график функции.

Решение:

Запустим программу Maple 9. В появившемся окне программы укажем команду restart (для очистки экрана) и нажмем клавишу Enter (внимание в конце команды обязательно наличие «;»).


Введем функцию, которую требуется исследовать. Значение функции присвоим переменной f. Далее введем выражение (степень числа записывается как число ^ степень, деление записывается как числитель/знаменатель, знак умножения обозначается *). Функция будет выглядеть следующим образом: f(x):=1/2*x^2.


После обработки команды система выведет на экран функцию, записанную на математическом языке. Сравним эту функцию с исходной, в случае несовпадения внесем изменения.

Присвоим переменной x1 значение первой абсциссы и найдем значение исходной функции при x1. Найденное значение функции запишем в переменную f1.


Присвоим переменной x2 значение второй абсциссы и найдем значение исходной функции при x2. Найденное значение функции запишем в переменную f2.


Присвоим переменной q разность значений абсцисс x2 и x1.


Присвоим переменной v разность значений функций f2 и f1.


Получим угловой коэффициент касательной к графику функции.


Таким образом, коэффициент равен 0,5.

Используя функцию plot, построим график функции от переменных f и x, где x это интервал на котором строится график функции


Таким образом, решение задачи сводится к следующему алгоритму.


Задания для самостоятельной работы.

1.       Найдите производную функции

.

.         Исследуйте функцию и постройте ее график.

.

3.       Используя формулы дифференцирования:

А. (x2)'=2x;

Б. (x3)'=3x2;

В. (kx+b)'=k.

Найдите производную функции f в точке x0, если:

,

0 равно 0,5; -3.

.         Исследуйте функцию на возрастание, убывание и экстремумы. Постройте график функции.


.         Найдите угловой коэффициент секущей к графику функции

.

Проходящий, через точки с абсциссами x1=1 и x2=2. Постройте график функции.

Алгоритмы решения задач и список используемых функций смотри в приложениях 1 и 2.

 

Заключение


В наше время показателем интеллектуальной мощи компьютеров, в том числе и персональных, стали новейшие программные системы символьной математики или компьютерной алгебры. Созданные для проведения символьных преобразований над математическими выражениями, эти системы буквально в последние годы были доведены до уровня, позволяющего резко облегчить, а подчас и заменить труд самой почитаемой научной элиты мира - математиков - теоретиков и аналитиков.

Общие принципы использования компьютерных продуктов в учебном процессе должны стать обязательной составной частью частных методик.

Этот курс предназначен для того, чтобы преподаватели - предметники в своей предстоящей конкретной работе постигли технологии применения нового учебного инструмента новой формы ведения урока, новых типов представления наглядных пособий, научились использовать те продукты, которые им представляют разработчики.

В специальной части дипломного проекта были осуществлены следующие задачи:

1.       Рассмотрены новые подходы к организации учебного процесса с помощью компьютера;

.         Проведен анализ применения информационных технологий в образовании;

.         Разработана методика решения математических задач в 10 классе с использованием программного средства Maple 9;

.         Составлены задания для самостоятельной работы.

В результате проведенных уроков с помощью ПК старшеклассники увидели междисциплинарную связь двух предметов «алгебры и начала анализа» и «информатики». В результате чего можно говорить об интеграции одного предмета в другой. Так как в школе существует предмет МДО (междисциплинарное обучение), то результаты этого урока были положительно приняты и педагогическим коллективом и коллективом учащихся. Ученики умеют рассматривать проблему с точки зрения разных предметов (истории и химии, математики и философии и т.д.), слияние предметов информатики и математики прошло без затруднений. Помимо этого проведенный урок показал успешность использования новых форм обучения для формирования теоретических знаний и умений правильного выбора инструментария для решения практических задач.

Предложенная методика может стать первой ступенью в изучении программного средства Maple 9, в дальнейшем учащиеся могут использовать программное средство для проверки результатов решенных задач, построения графиков функции. В старших классах решение тригонометрических уравнений, неравенств, вычисление производной и интеграла. Для школьников Maple 9 является неоценимым помощником в изучении разнообразных математических тем, освобождая их от рутинных математических вычислений и сосредотачивая их внимание на существе изучаемого материала. Кроме этого программа позволяет осуществлять контроль деятельности учащихся, а также большое значение придается доступности и наглядности изложения.

Разумеется, возможные перспективы использования новых информационных технологий в математическом образовании не исчерпываются. Даже явные скептики вынуждены признать, что современные информационные технологии могут существенно изменить парадигму образования.

Библиография

1.             Информатика: Учебник. - 3-е перераб. изд. / Под ред. Н.В. Макаровой. - М.: Финансы и статистика, 2004. - 768 с.: ил.

2.       Дьяконов В.П. Maple 9 в математике, физике и образовании. М.: СОЛОН-Пресс. 2004. - 688 стр.

.         Тарасевич Ю.Ю. Информационные технологии в математике. М.: СОЛОН-Пресс. 2003. - 144 стр.

.         Дьяконов В. П. Компьютерные математические системы в образовании. Информационные технологии. - № 4. - 1997. - с. 40.

.         Алгебра и начала анализа: Учеб. Для 10-11 кл. общеобразовательных учреждений / А.Н. Колмогорова. - 9-е изд. - М.: Просвещение, АО «Московские учебники», 2000. - 365 с.: ил.

.         В.И. Жохов, Г.Д. Карташева, Л.Б. Крайнева, С.М. Саакян Примерное планирование учебного материала и контрольные работы по математике 5-11 классы Вербум - М.: 2001г. - 208 с.

.         Дьяконов В. П. Компьютерная математика. Теория и практика. М.: «Нолидж», 2001. - 1296 с.; ил.

.         Информатика: 10-11 кл. / Под ред. Н. В. Макаровой - СПб.: изд-во «Питер», 1999.

.         Ильин В.А., Поздняк Э.Г. Основы математического анализа. Часть I и II. - М.: Физматлит, 2001.

.         О. А. Сдвиенко «Математика на компьютере: Maple 8» Москва, изд. Салон-Пресс, 2003.

.         А. Н. Васильев Maple 8. Самоучитель. М.: Издательский дом «Вильямс». - 2003.

.         В. Н. Говорухин, В. Г. Цибулин Компьютер в математическом исследовании. Учебный курс. - СПб.: Питер, 2001. - 624 с.

.         Концепция профильного обучения на старшей ступени общего образования // Вестник образования. - 2002. - 12. - с. 5-7, 11-16, 80-82.

.         П. Е. Данко, Т. Я. Кожевникова Высшая математика в упражнениях и задачах. Часть I и II. - М.: «Высшая школа» - 1999.

.         В. Дьяконов «Maple 9». Учебный курс. Санкт-Петербург изд. Питер, 2005 год.

Приложения

Приложение 1

Использованные функции.

Функция

Комментарии

Restart

Обновление экрана

Sqrt

Нахождение квадратного корня

Diff

Нахождение производной от заданной функции

Solve

Нахождение критических точек заданной функции

Min

Нахождение минимума

Max

Нахождение максимума

Plot

Построение

For i to N do ... od;

Создание цикла с 1 по N-ю итерацию

Приложение 2

Задача 1.

Задача 2.

Задача 3.

Задача 4.

Похожие работы на - Методы использования информационных технологий при изучении курса 'Алгебра и начала анализа'

 

Не нашли материал для своей работы?
Поможем написать уникальную работу
Без плагиата!
Без нейросетей!