Методика использования технологии электронного обучения при изучении раздела "Информационная деятельность человека" предмета "Информатика и ИКТ" (для 10-11 классов информационно-технологического профиля)

  • Вид работы:
    Дипломная (ВКР)
  • Предмет:
    Педагогика
  • Язык:
    Русский
    ,
    Формат файла:
    MS Word
    3,72 Mb
  • Опубликовано:
    2011-03-14
Вы можете узнать стоимость помощи в написании студенческой работы.
Помощь в написании работы, которую точно примут!

Методика использования технологии электронного обучения при изучении раздела "Информационная деятельность человека" предмета "Информатика и ИКТ" (для 10-11 классов информационно-технологического профиля)

МИНИСТЕРСТВО ОБРАЗОВАНИЯ И НАУКИ РОССИЙСКОЙ ФЕДЕРАЦИИ

ГОУ ВПО «МАГНИТОГОРСКИЙ ГОСУДАРСТВЕННЫЙ УНИВЕРСИТЕТ»

Факультет информатики

Кафедра информатики

ВЫПУСКНАЯ КВАЛИФИКАЦИОННАЯ РАБОТА

Методика использования технологии электронного обучения при изучении раздела «информационная деятельность человека» предмета «информатика и икт» (для 10-11 классов информационно-технологического профиля)

Специальность 050202 «Информатика»,

квалификация «учитель информатики»








Магнитогорск

2010

Содержание

Введение

Глава I. «Теоретические аспекты использования технологии электронного обучения в школе»

§ 1.1 Сущностная характеристика технологии дистанционного обучения

§ 1.2. Использование технологии электронного обучения в российских школах

§ 1.3. Сравнительный анализ систем дистанционного обучения

Выводы по Главе I

Глава II. «Методика использования технологии электронного обучения при изучении предмета «Информатика и ИКТ»»

§ 2.1. Описание методики использования технологии электронного обучения при изучении предмета «Информатика и ИКТ» (для 10-11 классов информационно-технологического профиля)

§2.2 Электронный курс раздела «Информационная деятельность человека» предмета «Информатика и ИКТ», разработанный на базе СДО «Moodle»

§2.3 Технология организации педагогического эксперимента и анализа полученных результатов

Выводы по Главе II

Заключение

Список используемой литературы

ПРИЛОЖЕНИЯ

Введение


Современные условия информационного общества, развитие телекоммуникаций, процессы перестройки, происходящие в России, требуют иных подходов, методов и технологий в сфере образования.

Важнейшей стороной этих перемен является акцент на развитие сотрудничества самой главной составляющей учебно-воспитательного процесса – «Учитель – Ученик» на основе нестандартных форм и методов взаимодействия, создания научно-методической системы непрерывного образования (как учителя, так и учащегося) в рамках единого образовательного пространства. Успешность обучения и воспитания ученика во многом зависит от того, как сложится этот тандем сотрудничества, какие формы и методы при этом будут использованы, на основе каких современных технологий они будут построены.

Сегодня актуальной проблемой становится стремление многих школьников, особенно старшеклассников, продолжить свое образование в тех учебных заведениях, которые могли бы обеспечить им высокий уровень подготовки, возможность выбора профильного образования. Совершенно очевидно, что назрела необходимость создания такой образовательной среды для школьников, которая позволила бы им, оставаясь на своем микроучастке, получить полноценное образование нужного уровня и профиля. Особенно остро эта проблема стоит перед сельскими школами.

Развитие электронного обучения - это возможный ответ на поставленные вопросы. В основе электронного обучения заложены педагогические технологии разнотемпового обучения, самостоятельность в самообразовании школьников по различным образовательным областям, сочетание различных форм и методов взаимодействия учителя и ученика.

В настоящее время в сети Интернет уже созданы и успешно развиваются дистанционные курсы, которые дают разносторонние и глубокие знания в различных предметных областях.

Можно с уверенностью сказать, что в современных условиях широкого внедрения информационно-коммуникационных технологий в сферу образования за электронным обучением - будущее. Поэтому технологии электронного обучения надо развивать и дальше. Не умаляя заслуги существующих центров электронного образования, мы отмечаем, что необходимо искать новые подходы в решении этой актуальной проблемы.

Содержание электронных средств учебного назначения должно быть адекватно ГОСам среднего общего образования и современным технологиям обучения, учитывать необходимость активного использования компьютерной техники в учебном процессе. Учебный материал должен быть структурирован в ней таким образом, чтобы сформировать у обучаемого личный тезаурус научно-предметных знаний, развить навыки владения профессиональными приемами, методами и способами их применения.

Тема дипломного проекта «Методика использования технологии электронного обучения при изучении раздела «Информационная деятельность человека» предмета «Информатика и ИКТ» (для 10-11 классов информационно-технологического профиля)».

Объектом исследования нашей работы являются новые информационные технологии в обучении старшеклассников.

Предмет исследования – организация технологии электронного обучения на базе СДО Moodle при изучении раздела «Информационная деятельность человека» предмета «Информатика и ИКТ».

Цель дипломной работы:

Теоретически обосновать и экспериментально проверить эффективность методики использования технологии электронного обучения при изучении раздела «Информационная деятельность человека» предмета «Информатика и ИКТ» (для 10-11 классов информационно-технологического профиля).

В качестве гипотезы было выдвинуто предположение о том, что методика использования технологии электронного обучения при изучении раздела «Информационная деятельность человека» предмета «Информатика и ИКТ» (для 10-11 классов информационно-технологического профиля) будет эффективна при выполнении следующих педагогических условий:

1. Разработан электронный курс раздела «Информационная деятельность человека» предмета «Информатика и ИКТ» с использованием СДО Moodle;

2. Организация урочной и внеурочной самостоятельной работы учащихся основана на базе деятельностного подхода;

3. Реализован дифференцированный подход на основе первичной диагностики уровня владения навыками работы в сети Интернет.

Задачи дипломной работы:

1. Проанализировать состояние проблемы использования дистанционного обучения в российских школах; раскрыть понятие и описать педагогические возможности технологии электронного обучения;

2. Проанализировать существующие системы разработки электронных курсов, выбрать наиболее эффективную для использования в учебном процессе школы;

3. Разработать методику использования технологии электронного обучения при изучении предмета «Информатика и ИКТ» (для 10-11 классов информационно-технологического профиля);

4. Разработать электронный курс раздела «Информационная деятельность человека» предмета «Информатика и ИКТ» для учащихся 10-11 классов информационно-технологического профиля на базе выбранной системы;

5. Экспериментально проверить эффективность педагогических условий методики использования технологии электронного обучения при изучении предмета «Информатика и ИКТ» (для 10-11 классов информационно-технологического профиля).

Теоретическая значимость исследования состоит в том, что раскрыт и уточнен понятийный аппарат проблемы. Выделены педагогические условия использования технологии электронного обучения при изучении раздела «Информационная деятельность человека» предмета «Информатика и ИКТ» (для 10-11 классов информационно-технологического профиля).

Практическая значимость исследования заключается в том, что разработан электронный курс раздела «Информационная деятельность человека» предмета «Информатика и ИКТ» на базе СДО Moodle.

Теоретико-методологические основы исследования

Теоретико-методологические основы исследования составили:

· работы по теории информатизации образования авторов: С.А. Бешенков, А.Г. Гейн, Л.П. Ершов и др.

· работы, отражающие различные аспекты использования в образовательном процессе новых информационных технологий: Я.А. Ваграменко, Е.П. Велихов, А.Л. Денисова, Н.К. Солопова, М.П. Лапчик, Е.М. Разинкина, И.Г. Захарова и др.

· работы, в которых рассматривалось понятие «методика»: З.А. Абасов, В.И. Андреев, В.И. Загвязинский, А.Ю. Коджаспиров, Г.М. Коджаспирова и др.

· работы в области организации и проведения экспериментов: Ю.К. Бабанский, А.В. Усова, А.А. Кыверялг, В.А. Беликов, В.И. Загвязинский, И.Ф. Исаев и др.

· работы в области дистанционного обучения: А. А. Андреев, Д. А. Гусев, Т. П. Зайченко, А. В. Хуторской и др.

· работы в области организации технологии электронного обучения: Я. Л. Шрайберг, Мэксин Меллинг и др.

База исследования: экспериментальная работа проводилась на базе МОУ СОШ № 7. В эксперименте приняли участие учащиеся десятого класса.

На защиту выносится: методика использования технологии электронного обучения при изучении раздела «Информационная деятельность человека» предмета «Информатика и ИКТ».

Структура дипломной работы:

Во введении обосновываются актуальность проблемы и темы исследования, определяются цель, объект, предмет исследования, его гипотеза и задачи, раскрывается теоретическая и практическая значимость работы, предоставляются защищаемые положения.

В первой главе – «Теоретические аспекты использования технологии электронного обучения в школе» обосновывается актуальность применения дистанционной формы обучения при изучении раздела «Информационная деятельность человека», а также раскрывается сущность понятия технологии электронного обучения.

Во второй главе – «Методика использования технологии электронного обучения при изучении предмета «Информатика и ИКТ»» описана методика использования технологии электронного обучения при изучении раздела «Информационная деятельность человека» предмета «Информатика и ИКТ»», представлен электронный курс на базе системы Moodle, разработанный и проведенный по данной методике, а также предоставлены результаты исследования.

В заключении представлены основные результаты исследования на уровне обобщений и рекомендаций.

Глава I. «Теоретические аспекты использования технологии электронного обучения в школе»

 

§ 1.1 Сущностная характеристика технологии дистанционного обучения


В России датой официального развития дистанционного обучения можно считать 30 мая 1997 года, когда вышел приказ № 1050 Минобразования России, позволяющий проводить эксперимент дистанционного обучения в сфере образования(57).

Известные университеты с программами дистанционного обучения за рубежом: University of South Africa,1946; FernUniversität in Hagen (Германия, 1974); Национальный технологический университет (США, 1984)(программы ДО по инженерным специальностям); Открытый университет Хаген (Германия); INTEC-колледж Кейптауна (ЮАР); Испанский национальный университет дистанционного обучения; Открытая школа бизнеса Британского открытого университета; Австралийская территориальная информационная сеть (9).

В ХХI веке доступность компьютеров и Интернета делают распространение дистанционного обучения еще проще и быстрее. Интернет стал огромным прорывом, более значительным, чем радио и телевидение. Появилась возможность общаться и получать обратную связь от любого ученика, где бы он ни находился. Распространение «быстрого Интернета» дало возможность использовать «он-лайн» семинары (вебинары) для обучения (64).

Вопросы организации, технологий, методического и кадрового обеспечения, качества дистанционного обучения рассматривались А.А. Андреевым, А.А. Ахаяном, А.М. Бершадским, В.И Демкиным, А.Д. Иванниковым, М.Н. Нежуриной, Е.С. Полат, Э.Х. Скибицким, В.И. Солдаткиным, В.П. Тихомировым, А.Н. Тихоновым, А.В. Хуторским, АХ. Чернявской, С.А. Щенниковым и др.

Определения дистанционного обучения рассматриваются в работах А.А. Андреева, А.М. Вернадского, Е.Л. Гавриловой, М.И. Нежуриной, О.П. Околелова, Е.С. Полат, В. Л. Тихомирова и др., диссертационных исследованиях С.Г. Бондаревой. Г.М. Татарчук и др. Е.С. Полат указывает, что «дистанционное обучение, по определению, это обучение на расстоянии, когда преподаватель и обучаемый разделены пространственно».

А.А. Андреев, анализируя различные определения, приходит к выводу, что «дистанционное обучение - это целенаправленный, организованный процесс интерактивного взаимодействия обучающих и обучающихся между собой и со средствами обучения, инвариантный к их расположению в пространстве и времени, который реализуется в специфической дидактической системе». В соответствии с этим, он дает и определение «дистанционного образования» - это система, в которой реализуется процесс дистанционного обучения и осуществляется индивидуумом достижение и подтверждение образовательного ценза. Взяв за основу трактовку А.А. Андреева, А.Л. Романов понимает под дистанционным обучением целенаправленный процесс интерактивного (диалогового), асинхронного или синхронного взаимодействия преподавателя и учеников между собой и со средствами обучения, индифферентный к их расположению в пространстве и времени. Согласно приказу Министерства образования РФ № 4452 от 18.12.2002 дистанционное обучение обеспечивается применением совокупности образовательных технологий, при которых целенаправленное опосредованное или не полностью опосредованное взаимодействие обучающегося и преподавателя осуществляется независимо от места их нахождения и распределения во времени на основе педагогически организованных информационных технологий, прежде всего с использованием средств телекоммуникации. Основными дистанционными образовательными технологиями являются кейсовая (кейс), Интернет - (сетевая) и телекоммуникационная технологии. Данные технологии можно представить в сводной таблице (см. табл. 1), где отражены характерные особенности каждой модели с точки зрения доставки учебно-методических материалов, средств обучения, средств взаимодействия между учителем и учащимся и форм обучения (17).

Таблица 1 - Технологии дистанционного обучения

Технология

Доставка учебных

материалов

Средства обучения

Средства дидактического взаимодействия

Формы обучения

Кейс

Очно

Печатные учебные пособия, компьютерные программы, аудио, видео материалы

Очно

Установочные занятия, лекции, семинары (тьюториалы), консультации, самостоятельная работа

Корреспондентское обучение

Почта

Печатные учебные пособия, компьютерные программы, аудио, видео материалы

Почта

Самостоятельная работа, консультации

ТВ

Телевидение радио,

Телевизионные и радио обучающие программы, могут быть подкреплены печатными материалами

Электронная почта, телеконференции

Установочные занятия, лекции, консультации, самостоятельная работа

Сетевая

Интернет

Гипертекст Видео, аудио

Электронная почта, теле и видео конференции, чат

On-line семинары, тренажеры, консультации, самостоятельная работа


Стоит отметить, что большинство определений достаточно громоздкие, т.к. авторы делают попытку «уместить» в одном определении все черты, присущие дистанционному обучению и отличающие его от традиционной системы.

На наш взгляд, наиболее удачным, лаконичным и отражающим суть ДО является определение, разработанное коллективом авторов в рамках Объединенного проекта, утвержденного приказом Минобразования РФ от 16.06.2000 № 1791 «О создании Объединенного проекта по разработке нормативно-правовых документов и отраслевых стандартов дистанционного обучения». Дистанционное обучение (ДО) — обучение, при котором все или большая часть учебных процедур осуществляется с использованием современных информационных и телекоммуникационных технологий при территориальной разобщенности преподавателя и учащегося. Дистанционное образование определяется как образование, реализуемое посредством дистанционного обучения.

Преимущества дистанционной формы обучения неоспоримы:

· обучение в психологически комфортной, привычной для обучаемого обстановке за его компьютером;

· индивидуальные сроки и темп обучения;

· высокая доля самостоятельности наряду с возможностью в любое время получить помощь от преподавателя;

· преодоление территориальных и временных ограничений.

Дистанционное обучение тесно связанно с дистанционным образованием. Принято считать, что дистанционное образование - это дистанционное обучение, воспитание, развитие (51).

В дистанционной форме обучения существуют учебные системы, которые различают по способу получения учебной информации: синхронные учебные системы (системы on-line, в реальном времени) и асинхронные системы (системы off-line). Их описание представлено в таблице 2. Также, существуют смешанные системы, которые используют элементы как синхронных, так и асинхронных систем.

Таблица 2 - Учебные системы

Название системы

Примечания

Примеры

синхронные

on-line

предполагают одновременное участие в процессе учебных занятий обучаемых и преподавателя

web-чат, ICQ, IRC (Internet Relay Chat), интерактивное TV, web-телефония, телеконференции NetMeeting, Telnet


асинхронные

off-line

не требуют одновременного участия обучаемых и преподавателя. Обучаемый сам выбирает время и план занятий

курсы на основе печатных материалов, аудио/видео кассетах, дискетах, CD-ROM, электронной почте, web-страницах, FTP, web-форумах (электронная доска объявлений), Гостевых книгах, Телеконференции Usenet (подписка на группы новостей)


По технической основе передачи данных можно выделить следующие формы дистанционного обучения:

· рассылка печатных материалов по почте (характерно для традиционного заочного обучения);

· рассылка аудио- и видеокассет, дискет, CD-ROM;

· средства аудио графики (интерактивные доски, а также учебное кино, радио, телевидение);

· через интерактивное Web TV и видео конференции;

· через телеконференции Usenet, IRC;

· через электронную почту и листы (списки) рассылки;

· через web-страницы;

· через чат, web-форум и гостевую книгу (49).

В последнее время Интернет активно вытесняет другие формы дистанционного обучения. Это связано с тремя обстоятельствами:

1) Техническое развитие Интернет-технологий, позволяющих более дешевыми и удобными средствами имитировать любую учебную модель;

2) Простота подключения к сети Интернет;

3) Относительно низкая стоимость подключения.

Наиболее эффективно с помощью дистанционного обучения можно решать следующие задачи: приобщение учителей из регионов к опыту и разработкам ведущих специалистов страны в области новых технологий в образовании. Затем учителя смогут передать полученные знания, разработки и опыт своим ученикам. При этом не надо будет выезжать за пределы своего города - разработки ведущих специалистов доступны посредством связи через Интернет. Это позволит ускорить передачу передового опыта и значительно расширит степень его распространения и внедрения в образовательный процесс (47).

Для получения оптимальных результатов дистанционного обучения важны следующие факторы и условия, представленные в таблице 3 (48):

Таблица 3 - Факторы и условия ДО

Необходимо

Достаточно

наличие современной компьютерной базы и хорошего доступа к Интернет у потенциальных дистанционных учеников

тщательно разработанный высокоинформативный, понятный, хорошо иллюстрированный учебный ресурс и его локальная версия

наличие у дистанционных учителей хороших образовательных ресурсов и опыта дистанционного образования

инструкция локальным координаторам и учащимся составлена грамотно и с учетом особенностей урока

наличие хорошей подготовки дистанционных уроков

локальный координатор добросовестно выполняет свои функции, делает все возможное для помощи учителю, чей урок он проводит

наличие подготовленных локальных координаторов

учащиеся хорошо подготовлены и владеют предложенным материалом

систематическое проведение дистанционных занятий

связь учителя с локальным координатором через Интернет осуществляется без сбоев и всеми доступными способами

моральное и материальное стимулирование дистанционной деятельности

проведению урока не мешают внешние отвлекающие факторы


Очень часто дистанционные уроки применяются по отношению к тем учащимся, которые пропускают занятия по болезни, или в отношении детей-инвалидов.

Однако, дистанционные занятия нельзя применять для обучения некоторым особым видам творческой деятельности (игре на музыкальных инструментах, танцам, пению, живописи, и др.), там, где обязательно требуется непосредственный контакт ученика и учителя.

Для проведения дистанционных уроков в реальном времени (синхронно) удобно использовать чат (для групповых занятий). Для индивидуальных занятий можно использовать ICQ. При асинхронной форме проведения дистанционных уроков эффективно использованиеапп E-mail (можно пересылать документы как от учителя к ученику, так и обратно) (48).

Техническая реализация системы дистанционного обучения представляет собой достаточно сложный программно-аппаратный комплекс. С программным обеспечением работает несколько категорий пользователей: учителя, школьники, авторы учебных курсов (19).

Для каждой из категорий пользователей системы должен быть реализован свой пользовательский интерфейс.

Основными компонентами программного продукта для дистанционного обучения являются:

· средство(а) разработки учебного контента (Authoring tools);

· система управления обучением (LMS);

· система обмена информацией между участниками учебного процесса;

· система доставки учебного контента (как правило вэб-сайт).

Компоненты системы могут взаимодействовать с внешними информационными системами школы. В качестве объекта взаимодействия может выступать система учета школьников.

На схеме 1 описаны механизмы взаимодействия компонентов системы, а также роли пользователей (18).

Схема 1 - Механизмы взаимодействия компонентов системы

На схеме 2 показана примерная схема взаимодействия компонентов системы на уровне программного обеспечения (13). Для каждой конкретной системы схема может несколько отличаться.

Схема 2 - Взаимодействие компонентов системы на уровне ПО


Существует определенный процент людей, для которых единственно возможным способом восприятия учебного материала является аудиторная форма обучения. Однако как показывают исследования, минимум 80% учащихся могут эффективно воспринимать учебные материалы в любой форме. Это означает, что абсолютное большинство людей способны эффективно обучаться электронным способом, естественно при условии наличия адекватного учебного контента (содержания курсов) (59).

На сайте «Педсовет.org» рассматривалось место ДО в школьном образовании (57). На рисунке 1 показано отношение учителей и родителей школьников к ДО в школе.

Рисунок 1 - ДО в школе

Как видно, большинство респондентов дало положительный ответ на вопрос «Нужно ли ДО в школе», кроме того, три четверти опрошенных видят положительное влияние ДО на образовательный процесс школы.

В настоящее время существует несколько моделей дистанционного обучения:

Первая модель - обучение по типу экстерната. Обучение, ориентированное на школьные требования и предназначенное для учащихся, которые по каким-то причинам не могут посещать очные учебные заведения.

Вторая модель - обучение на базе одного учебного заведения. Это система обучения для школьников, которые обучаются заочно (открытые формы) или дистанционно, т.е. на основе новых информационных технологий, включая компьютерные телекоммуникации.

Третья модель - обучение, основанное на сотрудничестве нескольких учебных заведений. Она предусматривает совместную подготовку единых программ заочного дистанционного обучения для нескольких учебных заведений по ведущим дисциплинам (в любых районах страны и за рубежом).

Четвертая модель - автономные образовательные учреждения, специально созданные для целей открытого или дистанционного обучения, в которых школьники могут получить образование по различным направлениям. Они специализируются  в создании мультимедийных курсов.

Пятая модель - обучение по автономным обучающим системам. Обучение в рамках подобных систем ведется целиком посредством ТВ, видеозаписей или радиопрограмм, а также дополнительных печатных пособий (28).

Наиболее распространенными являются виды дистанционного обучения, основанные на:

1. Интерактивном телевидении: основное достоинство данного вида в его возможности непосредственного визуального контакта с аудиторией, находящейся на различных расстояниях от преподавателя;

2. Компьютерных телекоммуникационных сетях (региональных, глобальных), с различными дидактическими возможностями в зависимости от используемых конфигураций (текстовых файлов, мультимедийных технологий, видеоконференций): предполагает использование компьютерных телекоммуникаций в режиме электронной почты, телеконференций, информационных ресурсов региональных сетей и сети Интернет;

3. Сочетание технологий компакт-дисков и сети Интернет: предполагает использование компакт-дисков в качестве базового электронного учебника (32).

В дистанционном обучении, в силу иной мотивационной системы учащегося, главное - показать, как полученные знания могут быть реализованы на практике. Поэтому курсы разрабатываются таким образом, чтобы учащийся не столько запомнил и воспроизвел информацию, сколько связал ее с реальными жизненными ситуациями.

Дистанционное обучение делает упор на комбинацию видов учебной деятельности прикладного характера, побуждающих учащегося творчески и активно осваивать информацию. В самом общем виде изучение дистанционного курса представляет собой интенсивную и регулярную комбинированную работу над предлагаемыми текстами, решение задач, выполнение письменных работ, участие в дискуссиях, а также прохождение серии контрольных мероприятий (21).

В ДО основной содержательно-организационной единицей является тема. Если в традиционных формах организации обучения тема - это часть содержания, то в ДО это и фрагмент содержания дисциплины, и аналог занятия. Причем это занятие, объединяющее несколько разнородных видов учебной деятельности. По этой причине учебным планом ДО регламентируется не количество аудиторных часов, а количество тем (71).

Таким образом, в данном параграфе:

· рассмотрено место дистанционного обучения в российской системе образования, представлены различные трактовки этого понятия;

· показаны механизмы взаимодействия компонентов системы ДО;

· рассмотрены виды и модели ДО;

· показаны четыре основных технологии ДО.

§ 1.2. Использование технологии электронного обучения в российских школах


Понятие «электронное обучение» (ЭО) сегодня употребляется наряду со старым термином «дистанционное обучение». ЭО - более узкое понятие, означающее разные формы и способы обучения на основе информационных и коммуникационных технологий (ИКТ).

ЭО радикально изменило индустрию обучения. В 2000 и 2001 произошли два значимых сдвига: в качестве новой компьютерной платформы появился интернет, и в США началась рецессия. Эти два фактора вместе создали мощный фокус на процессе перевода обучающих программ и материалов из категории «под руководством инструктора» в «онлайн» (25).

Сегодня ЭО находится на высокой ступени развития, поэтому на рынке представлено множество форм онлайн обучения и образования. Существуют такие формы как «Быстрое онлайн обучение» (с помощью PowerPoint и Flash технологий), моделирование работы с приложениями, моделирование бизнес-процессов, использовать анимированных персонажей, аудио, видео, и еще много других интерактивных элементов учебного процесса (22).

Во многих средних школах Интернет активно используется для раздачи материалов для занятий, общения между инструкторами и учениками, а также для распространения ключевых тренинговых инструментов.

Первоначальные концепции электронного обучения претерпели некоторые изменения. В первые несколько лет компании стремились как можно скорее разместить в сети существующие слайды и учебные материалы. Сегодняшние программы ЭО очень сильно разнятся с обучением под руководством инструктора: они демонстрируются и работают как фильмы в режиме реального времени, онлайновые видео игры, и виртуальные опыты с полным погружением (61).

Электронное обучение, по одному из определений, - это обучение с использованием компьютеров и компьютерных сетей. В отличие от дистанционного обучения (например, с отправкой материалов по почте), ЭО использует все преимущества современных настольных ПК: графику, звук, трехмерные сцены и анимации, виртуальные тренажеры и т.д. В отличие от компьютерного обучения (CBT, computer-based training, когда пользователь работает один на один с ПК), электронное обучение подразумевает использование сетевых возможностей: передачу результатов обучения руководителю, возможности совместной работы, консультаций и обсуждения, обмен опытом, поддержку преподавателя, и многое другое (53).

Принято считать, что электронное обучение - синоним таких терминов, обучение с применением компьютеров, сетевое обучение, виртуальное обучение, обучение при помощи информационных, электронных технологий (63).

Существует определение, которое дали специалисты ЮНЕСКО: «электронное обучение - обучение с помощью Интернет и мультимедиа».

Можно отметить, что определений ЭО широкое разнообразие. Однако, из их описания можно сделать вывод, что ЭО используется в первую очередь в высшем и профессиональном образовании. На наш взгляд, применение ЭО будет давать положительный эффект в рамках школьного образования среди учащихся старших классов. Исходя из этого, рассмотрим использование ЭО в учебном процессе школы подробнее (23).

Включение технологии ЭО в образовательный процесс школы имеет иные предпосылки, чем в системе высшего образования. Как правило, учащиеся сконцентрированы в компактном районе проживания, вблизи образовательного учреждения, и географическая разобщенность и удаленность перестает быть фактором, влияющим на эффективность образовательного процесса. На необходимость применения технологии ЭО в школе влияют следующие факторы:

1. Образовательные учреждения специального типа для детей с ограниченными возможностями здоровья.

Такие элементы электронных технологий, как совместное коллективное обучение с применением сетевых технологий, телеконференций, аудиочатов, существенно расширит круг общения и возможности учащихся в получении более полного образования.

2. Организация дистанционного контроля знаний учащихся.

В рамках образовательного учреждения может быть сформирована база знаний и база тестовых заданий, в результате чего унифицируется и стандартизируется процесс проверки знаний, а также делает контроль знаний массовым и постоянным.

3. Организация дополнительных элективных курсов.

Данная система может служить результатом интегрального взаимодействия образовательных учреждений целого региона. Таким образом объединяются усилия педагогов всех образовательных учреждений, и расширяется спектр предлагаемых курсов, у ученика появляется возможность выбора преподавателя для конкретного курса.

4. Экстернат.

В некоторых учреждениях общего образования отсутствуют преподаватели по некоторым видам предметов (иностранный язык, биология, химия и пр.) Технологии электронного обучения позволят восполнить этот пробел.

5. Организация профильного обучения для удаленных муниципальных образовательных учреждений.

Проблема нехватки кадров не позволяет реализовать программу профильного обучения в полной мере на отдаленных территориях РФ. Одним из решений вопроса может быть технология ЭО.

6. Электронные уроки для детей, пропускающих школьные занятия по причинам болезни.

Восполнить знания учащийся может только с помощью дополнительных занятий с репетитором, либо через самостоятельное освоение пропущенного материала. Технология ЭО могла бы возместить этот пробел в системе образования.

7. Организация школьных систем виртуального общения.

Следует отметить, что в результате включения школьников в открытый образовательный процесс с использованием электронных образовательных технологий, у них формируются навыки работы с информационными технологиями и предпосылки для получения непрерывного образования с помощью ЭО в течение всей жизни (57).

Очевидно, что образование будущего тесно связано с развитием компьютерных технологий. Поэтому использование технологий электронного обучения в учебном процессе школы является актуальной проблемой современного обучения.

В ходе исследования нами было найдено достаточно большое количество существующих в Интернете программ on-line обучения:

· i-Школа (ГОУ Центр образования «Технологии обучения») (68).

· Заочная школа «АБИТУРИЕНТА» (69).

· Центр дистанционного образования «Эйдос» (70).

Таким образом, обучение по технологии ЭО становится популярным, кроме того, оно имеет перспективу в развитии, поскольку с каждым днем совершенствуются телекоммуникационые технологии, играющие большую роль в применении технологии ЭО.

Информационные технологии позволяют соединить различные образовательные технологии: коммуникационные, компьютерные, сетевые, мультимедийные в единую информационно-образовательную среду (ИОС), наличие которой становится перспективным компонентом в технологии ЭО. Рассмотрим данный компонент подробнее.

ИОС – понятие новое, устоявшегося определения не существует. На наш взгляд, определение, представленное ниже, отражает его суть:

ИОС – это педагогическая система плюс ее обеспечение, т.е. подсистемы финансово-экономическая, материально-техническая, нормативно-правовая и маркетинговая (А.А. Андреев) (54).

Информационная составляющая ИОС - управление знаниями через информационные технологии. Образовательная составляющая ИОС - сообщество участников процесса обучения и педагогическая система. Схема взаимодействия компонентов ИОС показана на рисунке 2 (30):












Рисунок 2 - Информационно-образовательная среда

Организация учебного процесса в ИОС имеет ряд преимуществ как для учащегося, так и для преподавателя. Рассмотрим их в таблице 4.

Таблица 4 - Преимущества организации учебного процесса в ИОС

Для учащегося

Для учителя

Открытые информационные ресурсы.

Возможность наращивать образовательные ресурсы.

Анимационные, мультимедийные компоненты учебных материалов.

«Автоматический» мониторинг учебной деятельности студента.

Результаты обучения, определяемые самим учащимся.

Регулировка доставки учебных материалов.

Собственная скорость обучения.

Замена лекционных занятий коммуникативными формами.

Возможность ознакомиться с предыдущим опытом.

Возможность корректировки учебного процесса в соответствии с потребностями каждого учащегося.

Широкая и регулярная коммуникация с преподавателем и другими учащимися в предметном контексте.

Увеличение времени, отводимого на практические занятия, на общение с учащимися.

Таким образом, концептуальное единство новых образовательных технологий и подходов в обучении приведет к значительному расширению возможностей всех участников образовательного процесса и соответственно к повышению его результативности (31).

В ходе исследования нами было выявлено, что в школах организационные и педагогические возможности ЭО реализуются с помощью практически всех доступных телекоммуникационных сервисов, таких как электронная почта, тематические списки рассылки, электронные журналы, конференции Usenet, чат, ICQ, веб-конференции, доски объявлений и т.п (50).

На базе перечисленных телекоммуникационных и информационных средств возможны различные формы педагогической деятельности. Например, дистанционные деловые игры, лабораторные работы и практикумы, виртуальное посещение недоступных объектов, виртуальные экскурсии, компьютерная переписка школьников, а также педагогов друг с другом, выпуск электронных бюллетеней и многое другое. Эти формы могут работать как по отдельности, так и в комплексе (46). Основные средства ЭО представлены в таблице 5 (66):

Таблица 5 - Средства электронного обучения

Средства ЭО

Описание

Сервисные программные средства общего назначения

Применяются для автоматизации рутинных вычислений, оформления учебной документации, обработки данных экспериментальных исследований. Могут использоваться при проведении лабораторных, практических занятий

Программные средства для контроля и измерения уровня знаний обучающихся

Автоматизируют рутинную работу учителя по выдаче индивидуальных контрольных заданий и проверке правильности их выполнения. Появляется возможность многократного и более частого контроля знаний, в том числе и самоконтроля.

Электронные тренажеры

Предназначены для отработки практических умений и навыков. Эффективны для обучения действиям в условиях сложных ситуаций при отработке противоаварийных действий. Используются для отработки умений и навыков решения задач. Обеспечивают получение краткой информации по теории, тренировку на различных уровнях самостоятельности

Программные средства для математического и имитационного моделирования

Позволяют дополнить физический эксперимент вычислительным. К данным средствам относятся предметно-ориентированные программные среды, обеспечивающие возможность оперирования моделями-объектами определенного класса

Информационно-поисковые справочные программные системы

Предназначены для ввода, хранения и предъявления педагогам и обучаемым разнообразной информации. К ним относят различные гипертекстовые и гипермедиа программы, обеспечивающие иерархическую организацию материала и быстрый поиск информации по тем или иным признакам.

Автоматизированные обучающие системы (АОС)

Обучающие программы сравнительно небольшого объема, обеспечивающие знакомство учащихся с теоретическим материалом, тренировку и контроль уровня знаний

Электронные учебники (ЭУ)

Обеспечивают непрерывность и полноту дидактического цикла процесса обучения при условии осуществления интерактивной обратной связи

Экспертные обучающие системы (ЭОС)

Моделируют деятельность экспертов при решении достаточно сложных задач. Способны приобретать новые знания, обеспечивать ответ на запрос обучаемого и решение задач из определенной предметной области

Интеллектуальные обучающие системы (ИОС)

Осуществляют управление на всех этапах решения учебной задачи, с учетом особенностей деятельности обучаемых. Обеспечивают диалоговое взаимодействие. Совершенствуют стратегию обучения по мере накопления данных


В рамках нашей дипломной работы основным средством организации  ЭО является электронный курс.

Электронный курс в системе электронного обучения, является основным носителем знаний учащегося. Он представляет собой структурированный материал по той или иной теме, решающий заранее определенные задачи обучения. Известно, что эффективность электронного курса может во много раз превышать эффективность печатных документов. Анимации, виртуальные ролевые игры, интерактивные модели и тренажеры, имитаторы оборудования и целые трехмерные миры помогают наглядно и увлекательно донести до учащегося знания и умения (53). Понятие «электронный курс» имеет различные классификации, виды электронного обучения и средства ЭО.

Исходя из описанных в и общероссийских стандартах критериев, электронные средства учебного назначения следует различать, согласно таблице 6 (1):

Таблица 6 - Классификация электронных средств учебного назначения

Критерий

Тип  издания

Описание

По структуре

Однотомное электронное издание

Выпускается на одном машиночитаемом носителе

Многотомное электронное издание

Две или более части, представленные на самостоятельном носителе, являются единым целым по содержанию и оформлению

Электронная серия

Совокупность томов, имеющих общий замысел, тематику, целевое назначение

По организации текста

Моноиздание

Одно произведение учебной литературы (Учебник, учебное пособие, курс и конспект лекций)

Сборник

Несколько произведений учебной литературы (Практикум, хрестоматия, книга для чтения)

По форме изложения материала

Конвекционные УИ[1]

Реализует информационную функцию обучения

Программированные УИ1

представляют собой электронные издания

Проблемные УИ1

Базируются на теории проблемного обучения и направлены на развитие логического мышления

Комбинированные (универсальные) УИ1

Содержат отдельные элементы перечисленных моделей

По природе основной информации

Текстовое (символьное) ЭИ[2]

Преимущественно текстовая информация

Изобразительное электронное ЭИ2

Преимущественно электронные образцы объектов, рассматриваемых как целостные графические сущности

Продолжение таблицы 6

По природе основной информации

Звуковое ЭИ3

Цифровое представление звуковой информации

Программный продукт

Самостоятельное произведение (публикация текста программы или в виде исполняемого кода)

Мультимедийное ЭИ2

Различная информация присутствует равноправно и взаимосвязанно

По технологии распространения

Локальное электронное средство учебного назначения

Предназначено для локального использования и выпускающееся в виде определенного количества идентичных экземпляров (тиража) на переносимых машиночитаемых носителях

Сетевое ЭИ2

Доступно потенциально неограниченному кругу пользователей через телекоммуникационные сети

ЭИ2 комбинированного распространения

Может использоваться как в качестве локального, так и в качестве сетевого издания

По характеру взаимодействия пользователя и электронного издания

Детерминированное ЭИ

Параметры, содержание и способ взаимодействия с данным продуктом определены издателем и не могут быть изменяемы пользователем

Недетерминированное ЭИ

Параметры, содержание и способ взаимодействия с данным продуктом прямо или косвенно устанавливаются пользователем в соответствии с его интересами, целью, уровнем подготовки и т.п. на основе информации и с помощью алгоритмов, определенных издателем


Все представленные классификации позволяют учесть отдельные характеристики электронных средств учебного назначения. Можно использовать и другие критерии классификации, однако, вне зависимости от назначения, методики использования или технологии реализации, основой любого дидактического средства является учебный материал изучаемой предметной области (10).

Помимо рассмотренных выше классификаций электронных курсов в нашем исследовании следует выделить виды электронных курсов, зависимые от характера организации ЭО: 

· самообучение;

· управляемое обучение;

· обучение, направленное инструктором;

· встроенное обучение;

· теленаставничество и дистанционная подготовка.

Рассмотрим каждый из них. 

Для курсов электронного самообучения все инструкции должны предоставляться в материалах курса. Нет каких-либо ограничений на то, где и сколько учащийся должен учиться.

Управляемые курсы электронного обучения основываются на вебсодержимом и используют средства совместной работы. Они не привязаны к строгому расписанию занятий, поддерживают дискуссии с другими учащимися, а также общение с ведущим. Задания выдаются путем «вывешивания» их в дискуссионном форуме, где учащиеся могут разместить свою выполненную домашнюю работу.

При проведении электронных курсов, управляемых инструктором, Web-технологии используются для управления традиционными занятиями, но для удаленных учащихся. На этих занятиях используются разнообразные технологии работы в режиме реального времени, такие как проведение видео- и аудиоконференций, чаты, совместное использование приложений, опросы, белые доски и телефон. Задания «вывешиваются» на доске дискуссионного форума, где учащиеся также размещают свои выполненные домашние работы.

Встроенные курсы (внедренные) электронного обучения предоставляют подготовку по требованию. Они обычно внедряются в компьютерные программы, файлы справочной системы, Web - страницы или сетевые приложения. Внедренная программа электронного обучения предназначена для одного учащегося, у которого возникла проблема, которую необходимо решить немедленно (27).

Теленаставничество и дистанционная подготовка. Здесь используются видеоконференции, мгновенный обмен сообщениями, Интернет - телефоны и другие инструменты совместной работы, помогающие учителям руководить развитием своих учеников (27).

В данном параграфе нами был определены основные факторы, влияющие на необходимость применения ЭО в учебном процессе школы. Также, мы рассмотрели существующие в Интернете программы он-лайн обучения. Кроме того, нами были раскрыты понятия «Электронное обучение» и ИОС. Мы раскрыли понятие «электронный курс», а также привели различные классификации и виды электронных курсов.

 

§ 1.3 Сравнительный анализ систем дистанционного обучения


В настоящее время технологии электронного обучения активно развиваются. Поэтому множество компаний оказывает услуги в области ЭО. Инструменты для создания курсов изначально представляли собой неспециализированные средства для верстки, программирования, дизайна, обработки звука, видео и анимации. Позже, с развитием электронного обучения и увеличением спроса на электронные курсы, появились первые узкоспециализированные средства создания курсов, а в пакеты программ верстки и разработки мультимедийного контента были добавлены функции для создания учебных объектов. При этом, особое внимание уделяется не только возможностям разработки, но и соответствию международным стандартам в области электронного обучения (33).

Большая часть современных систем управления знаниями (СУЗ) и систем управления обучением (СУО) оснащены встроенными средствами создания электронных учебных курсов. Помимо этого существует масса самостоятельных программных средств разработки мультимедийных учебных объектов и целых курсов.

Сравнительным анализом систем дистанционного обучения (СДО) занимались Агафонов С. В., Джалиашвили З. О., Кречман Д. Л. в своей книге «Средства дистанционного обучения. Методика, технология, инструментарий».

СДО можно условно разбить на следующие группы, согласно таблице 7 (61):

Таблица 7 - Группы СДО

Название группы

Описание

Перечень систем

Полный набор инструментов

системы, имеющие полный набор инструментов для доступа к материалу обучения, группового обучения и оценки знаний

BlackBoard 5.5

Desire2Learn

eCollege AU+

Educator

InterLearn SME 3.1.2

Janison Toolbox 5.81

Jones e-education V2004

The Learning Manager 3.2

WebCT 3.7 Campus Edition

WebCT Vista 1.2

NauLearning

Полный комплект инструментов дизайна

системы с инструментами для создания курсов, редактирования внешнего вида системы и создания шаблонов

ATour 1.3

ATour 1.4

The Learning Manager 3.2

BlackBoard 5.5

BlackBoard 6

Coursemanager

Desire2Learn

eCollege AU+

Educator

Embanet hosting BlackBoard

Embanet hosting

IntraLearn

ILIAS

InterLearn SME 3.1.2

Campus Solution 1.03

Jones e-education V2004

Jenzabar Internet

LON-CAPA 1.0

LON-CAPA 1.1

Moodle 1.1

Unicon Academus

WebCT 4.1 Campus Edition

WebCT Vista 1.2

WebCT Vista 2.1

NauLearning

Bazaar 7

ANGEL 5.6

ANGEL 6.0

Системы с открытым кодом

системы, разработанные и распространенные под лицензиями, позволяющими модифицировать исходный код программы

Claroline 1.2.0

Claroline 1.4

ClassWeb 2.0

Coursemanager

CourseWork

Eledge 1.2

LRN

ATour 1.3

ATour 1.4

Bazaar 7

Bodington

CHEF

Наиболее популярные системы

системы, имеющие наибольшее распространение среди пользователей (по данным (2))

ANGEL 6.0

BlackBoard 5.5

BlackBoard 6

eCollege AU+

WebCT 4.1 Campus Edition



Продолжение таблицы 7

Полная поддержка работы преподавателя.

системы, поддерживающие функции управления курсами, помощь преподавателю, оценивание, управление студенческими потоками.

ANGEL 5.6

ANGEL 6.0

Anlon 4.1

ATour 1.3

ATour 1.4

BlackBoard 5.5

BlackBoard 6

Desire2Learn

eCollege AU+

Embanet hosting ANGEL

Embanet hosting BlackBoard

Embanet hosting WebCT

ETUDES

Jenzabar Internet Campus Solution 1.03

Jones e-education V2004

Teknical Virtual Campus

The Learning Manager 3.2

LON-CAPA 1.0

LON-CAPA 1.1

Manhattan Virtual Classroom 2.1

WebCT 3.6 Standart Edition

WebCT 3.7 Campus Edition

WebCT 3.8 Campus Edition

WebCT 4.0 Campus Edition

WebCT 4.1 Campus Edition

WebCT Vista 1.2

WebCT Vista 2.1

NauLearning

Bazaar 7


Для удобства при проведении сравнительного анализа выберем в каждой группе по одному представителю (5 систем из пяти групп).

В первой группе выбираем BlackBoard 5.5, так как среди остальных эта система имеет более полный набор инструментов для доступа к обучающему материалу, группового обучения и оценки учеников.

Во второй группе выбираем Moodle 1.1, так как это очень известная система ДО, имеющая богатый набор инструментов для создания курсов, редактирования внешнего вида системы и создания шаблонов.

В третьей группе выбираем Bazaar 7 – систему с полным открытым кодом.

В четвертой группе выбираем ANGEL 6.0, так как она является более популярной системой по сравнению с другими системами в своей группе (по данным (65)).

В пятой группе выбираем NauLearning. В своей группе NauLearning очень хорошо поддерживает работу преподавателя (управление курсами, помощь преподавателю, оценивание, управление студенческими потоками).

Для проведения анализа выделим критерии [3] и зададим веса для критериев. Веса определены методом экспертных оценок специалистов в области ДО. Оценки выбраны при анализе таблицы характеристик пяти систем. Полная таблица имеет длину 28 страниц, мы выбрали наиболее значимые для нашей дипломной работы критерии. Перемножив оценки и веса соответствующих критериев, получим результат, приведенный в таблице 8 (65):

Таблица 8 - Сравнение представителей систем дистанционного обучения

Системы

Angel 6.0

Bazaar 7

Black Board 5.5

Moodle 1.1

NauLearning

Веса критериев

критерии

Форумы

7

7

5

7

6

3

Внутренняя почта

6

6

0

0

6

3

Записные книжки и журналы

5

5

0

5

4

2

Чат

6

3

5

6

6

4

Видеосервисы

5

0

0

0

1

4

Классная доска

5

0

5

0

1

5

Планировщик/прогресс

6

5

5

7

6

4

Координирование/справка

6

7

6

7

7

6

Поиск по курсу

4

3

5

6

5

5

Синхронизация с оффлайн работой

3

0

4

0

3

5


Групповая работа

4

5

3

7

4

4

Самооценивание

7

6

5

8

7

8

Портфолио студента

5

6

5

7

6

5

Идентификация

8

8

7

8

8

10

Разрешения курса

8

7

6

8

5

7

Поддержка регистрации

4

5

6

6

5

3

Автоматическое тестирование и оценивание

9

6

7

9

8

10

Управление курсом

8

6

5

7

6

8

Помощь преподавателю

8

8

8

8

8

7

Онлайн аттестация

8

6

7

8

6

5

Мониторинг действий студента

9

6

6

9

7

4

Шаблоны курсов

6

6

6

6

5

7

Управление учебным планом

8

7

5

5

6

7

Изменение внешнего вида

7

6

5

6

4

6

Средства преподавательского дизайна

5

4

4

5

4

3

Соответствие преподавательским стандартам

6

7

6

7

6

5

Требования к клиентскому браузеру

8

8

8

8

8

9

Требования для баз данных

8

8

8

8

6

5

Программное обеспечение сервера

7

6

6

7

6

5

Windows сервер

8

8

8

8

8

4

Расходы

1

8

8

8

3

9

Программные продукты с открытым кодом

0

7

0

7

0

9

Итого:

1160

1124

1025

1234

1022



В результате анализа можно сделать вывод, что лучшей системой ДО является Moodle. Она имеет почти все достоинства, необходимые для полнофункциональной системы ДО. Таким образом, СДО Moodle выбрана нами для дальнейшего использования в рамках данной работы как наиболее эффективная для использования в учебном процессе школы.

По уровню предоставляемых возможностей Moodle выдерживает сравнение с известными коммерческими СДО, в то же время выгодно отличается от них тем, что распространяется в открытом исходном коде - это дает возможность настроить систему под особенности конкретного образовательного проекта, а при необходимости и встроить в нее новые модули (36).

Система поддерживает обмен файлами любых форматов - как между учителем и учащимся, так и между самими учащимися. Форум дает возможность организовать учебное обсуждение проблем, при этом обсуждение можно проводить по группам. К сообщениям в форуме можно прикреплять файлы любых форматов. Есть функция оценки сообщений – как учителем, так и учащимися. Чат позволяет организовать учебное обсуждение проблем в режиме реального времени. Сервисы «Обмен сообщениями», «Комментарий» предназначены для индивидуальной коммуникации учителя и учащегося: рецензирования работ, обсуждения индивидуальных учебных проблем (5).

Кроме того, СДО Moodle соответствует основным международным стандартам, таким как: AICC, SCORM, IMS.

Давайте рассмотрим особенности этих стандартов.

Стандарт AICC - поддерживается многими СДО и средствами разработки электронных курсов. Текущее развитие стандарта происходит в области формализации взаимодействия систем управления обучением и систем создания учебных модулей, что в будущем позволит использовать значительное большее количество учебных курсов. Учебные курсы, совместимые со стандартом могут использоваться любой совместимой СДО независимо от того, кем, где и с помощью каких средств были созданы (34).

Стандарт SCORM - основан на стандарте XML. В его основе лежат наработки, предложенные другими разработчиками. В их числе модель данных Computer Managed Instruction (AICC) и стандарт формирования метаданных IEEE P1484 (IMS) (37).

Стандарт IMS. Основные направления разработки IMS – метаданные, упаковка содержания, совместимость вопросов и тестов, а также управление содержанием.

Отличительной частью IMS является стандартизация способов описания тестовых заданий и результатов тестирования (35).

Таким образом, в данном параграфе на основе выделенных критериев мы провели сравнительный анализ известных систем ДО. Нами была выбрана наиболее подходящая система дистанционного обучения для учебного процесса школы –  СДО Moodle.

 

Выводы по Главе I

В первой главе мы теоретически обосновали целесообразность использования ЭО при изучении раздела «Информационная деятельность человека», при этом сделали основные выводы:

1) В условиях внедрения информационных и телекоммуникационных технологий в учебный процесс возникает потребность в новой форме обучения. Современные требования к такой форме выражаются в обучении школьников, особенно старшеклассников и детей с ограниченными возможностями здоровья, не зависимо от их географического местоположения. На наш взгляд, этому требованию удовлетворяет такая форма организации обучения, как ДО.

2) В эпоху широкого распространения ПК и высокой популярности сети Интернет наиболее перспективным и удобным является электронное обучение. Подобная форма организации обучения дает возможность обучать школьников дистанционно, используя в учебном процессе все средства мультимедиа. Кроме того, высокий обучающий эффект достигается за счет интерактивного взаимодействия учителя и ученика.

3) В ходе исследования был проведен сравнительный анализ систем дистанционного обучении. Данный обзор показал, что СДО Moodle является наиболее эффективной для использования в учебном процессе школы.

4) Рассмотрены основные международные стандарты в области ЭО.

Глава II. «Методика использования технологии электронного обучения при изучении раздела «Информационная деятельность человека» предмета «Информатика и ИКТ»»

 

§ 2.1. Описание методики использования технологии электронного обучения при изучении раздела «Информационная деятельность человека» предмета «Информатика и ИКТ» (для 10-11 классов информационно-технологического профиля)

Прежде, чем подходить к представлению методики использования СДО Moodle, необходимо дать определение понятию «методика». В современной научно-педагогической литературе данное понятие рассматривается в широком и узком смыслах. В широком смысле методика – это отрасль педагогической науки, предметом которой является сложный педагогический феномен, интегрирующий процессы обучения-самообучения, воспитания-самовоспитания, развития-саморазвития, образования-самообразования личности. Методика как наука исследует закономерности функционирования различных методических систем. Понимание методики в узком смысле этого слова связано с конкретной педагогической деятельностью, имеющей в своей основе целенаправленный комплекс методов, приемов и средств, обеспечивающих эффективное решение педагогических проблем (З. А. Абасов, В. И. Андреев, В. И. Загвязинский, А. Ю. Коджаспиров, Г. М. Коджаспирова и др.).

Отметим, что под методической системой или целостной методикой понимают единство целей, содержания, внутренних механизмов, методов и средств конкретного способа или типа обучения-самообучения, воспитания-самовоспитания, развития-саморазвития. В методической системе методы, приемы и средства выступают способами (методическими механизмами) реализации цели и содержания на конкретных этапах педагогического процесса (14).


Схема 3 - Обобщенная схема методики







Реализовать конкретную методику можно на основе какого-либо педагогического подхода. Существует множество педагогических подходов, например, системный, деятельностный, рефлексивный, дифференцированный, интегративный, модульный и т.д. Наша методика использования СДО Moodle в учебном процессе школы в рамках изучения раздела «Информационная деятельность человека» реализована на основе деятельностного подхода.  Мы выбрали данный подход, поскольку государственный стандарт по информатике предполагает приоритет деятельностного подхода к процессу обучения, развитие у учащихся широкого комплекса общих учебных и предметных умений, овладение способами деятельности, формирующими познавательную, информационную, коммуникативную компетенции (67).

Любая информация быстро устаревает, поэтому большой объём фактических знаний в изменившемся мире потерял свою ценность. Необходимыми становятся не сами знания, а знания о том, как и где их применять. Однако, важнее знание о том, как информацию добывать, интерпретировать, или создавать новую. Все это – результаты деятельности, а деятельность – это решение задач. Таким образом, желая сместить акцент в образовании с усвоения фактов (результат – знания) на овладение способами взаимодействия с миром (результат – умения), мы приходим к осознанию необходимости изменить характер учебного процесса и способы деятельности учащихся (38).

Методика использования электронного обучения при изучении раздела «Информационная деятельность человека» предмета «Информатика и ИКТ» будет эффективной при следующих педагогических условиях:

1. Разработан электронный курс раздела «Информационная деятельность человека» предмета «Информатика и ИКТ» с использованием СДО Moodle;

2. Организация урочной и внеурочной самостоятельной работы учащихся основана на базе деятельностного подхода;

3. Реализован дифференцированный подход на основе первичной диагностики уровня владения навыками работы в сети Интернет.

Рассмотрим первое педагогическое условие – «разработка электронного курса по разделу «Информационная деятельность человека» предмета «Информатика и ИКТ» с использованием СДОMoodle.»

Опыт создания курсов в системе электронного обучения показывает, что, прежде всего, для успешного ее развития необходимо учитывать основные принципы работы в ней. В качестве наиболее существенных стоит отметить следующие:

· система не должна быть статичной;

· необходимо постоянно поддерживать интерес ученика;

· нельзя оставлять ученика наедине с системой;

· в основе обучения должен лежать деятельностный подход;

· необходима постановка конечной цели (4).

Процесс создания электронного курса можно разделить на три этапа:

1. проектирование курса;

2. подготовка материалов для курса;

3. компоновка материалов в единый программный комплекс.

1. Проектирование курса.

 Начальным этапом проектирования электронного курса является разработка педагогического сценария[4] (8).

Подготовив все необходимые компоненты педагогического сценария, преподаватель должен определить наиболее эффективные траектории изучения курса с учетом индивидуальных особенностей восприятия материала, в зависимости от образовательного уровня учащихся, наличия или отсутствия базовых знаний в предметной области.

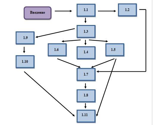
На схеме 4 представлен пример графической реализации педагогического сценария раздела «Информационная деятельность человека» предмета «Информатика и ИКТ» (26).

Схема 4 - Пример графической реализации педагогического сценария








Структурная схема деятельности учащихся здесь предполагает возможность выбора как минимум пяти образовательных траекторий, что позволяет преподавателю решать различные педагогические задачи, а учащимся - максимально эффективно построить самостоятельную работу над курсом с учетом имеющихся знаний по отдельным проблемам курса.

Затем необходимо разработать технологический сценарий[5]. Здесь необходимо выстроить материал по уровням, а также указать:

· какие компоненты электронного курса будут разработаны для наиболее эффективного обучения;

· характер доступа к ним;

· авторские пожелания по дизайну;

· ключевые слова и средства навигации по материалу;

· необходимые мультимедиа приложения.

Участие преподавателя в составлении технологического сценария обеспечивает качественное решение педагогических задач, соединение в едином мультимедиа курсе педагогических и информационных образовательных технологий (7).

2. Подготовка материалов для курса.

Различные компоненты курса, независимо от способа доступа и назначения, содержат в себе информацию различной природы:

· символьную (тексты, числа, таблицы);

· графическую (рисунки, чертежи, фотографии);

· мультимедиа (анимация, аудио- и видеозаписи).

Подготовка различных компонент имеет как общие черты, связанные с характером информации, так и специфические, связанные с ее назначением.

2.1.Подготовка текстов.

Подобранная автором первичная учебная информация, предоставленная в электронном виде, при подготовке электронного курса должна быть скомпонована в соответствии с идеями автора в интерактивные учебные кадры так, чтобы, с одной стороны, обучаемый имел возможность сам выбирать темп и, в определенных пределах, последовательность изучения материала, а с другой стороны - процесс обучения оставался управляемым (26).

Более эффективным представляется такой способ структурирования линейного учебного текста, который ориентирован на различные способы учебно-познавательной деятельности.

2.2.Подготовка статических иллюстраций.

Использование наглядных материалов в процессе обучения способствует повышению уровня восприятия, формированию устойчивых ассоциативных зрительных образов, развитию творческих способностей обучаемых.

Статические иллюстрации - рисунки, схемы, карты, репродукции, фотографии и т.п., сопровождающие текстовый материал, даже в их «классическом» понимании могут существенно облегчить восприятие учебной информации. Компьютерные технологии позволяют усилить эффекты использования наглядных материалов в учебном процессе.

2.3. Создание мультимедиа.

Содержание мультимедиа[6] приложений продумывается автором еще на этапе создания педагогического сценария и конкретизируется при разработке технологического сценария.

При подготовке мультимедиа курсов могут быть использованы следующие типы мультимедиа приложений.

Анимация - динамичная графика, основанная на применении различных динамических визуальных эффектов (движущиеся картинки, выделение цветом, шрифтом отдельных элементов схем/таблиц и т.п.).

Аудиоприложение - аудиозапись, чаще всего представляющая собой небольшие монологические комментарии преподавателя к некоторым схемам, таблицам, иллюстрациям и т.д.

Видеолекция - видеозапись лекции, читаемой автором курса. Методически целесообразным считается запись небольшой по объему лекции (не более 20 минут).

3.Компоновка материалов в единый программный комплекс.

В результате объединения предметного материала и пользовательского интерфейса с помощью соответствующего инструментального средства программирования, порождаются соответствующие программные модули, с которыми и предстоит работать обучаемому. В зависимости от педагогических задач, на них возлагаемых, эти модули могут быть размещены либо непосредственно на компьютере ученика или сервере локальной сети периферийного центра (локальные компоненты), либо на сервере Центра ДО (удаленные компоненты). Место размещения и способ доступа к материалу в значительной степени определяют выбор инструментария кодирования (39).

3.1.Пользовательский интерфейс электронного курса.

Продуманный интерфейс существенно облегчает работу с программой, а использование стандартов избавляет пользователя от необходимости тратить дополнительное время на его освоение.

3.2. Создание локальных компонент мультимедиа курса.

При выборе инструментальных средств для создания локальных модулей электронного курса возможны два подхода:

1) использование средств автоматизации программирования (САП);

2) непосредственное программирование на языках высокого уровня.

В рамках нашей дипломной работы мы будем использовать СДО Moodle, которую можно отнести к первому подходу.

3.3. Создание сетевых компонент.

3.4. Реализация технологии клиент-сервер.

Важной особенностью СДО Moodle является то, что система создает и хранит портфолио каждого обучающегося: все сданные им работы, все оценки и комментарии учителя к работам, все сообщения в форуме.

Учитель может создавать и использовать в рамках курса любую систему оценивания. Все отметки по каждому курсу хранятся в сводной ведомости.

СДО Moodle позволяет контролировать «посещаемость», активность учащихся, время их учебной работы в сети.

Все это помогает родителям учащихся следить за фактической успеваемостью, учителям контролировать учебный процесс, а сами учащиеся получают стимул к освоению нового материала.

Для создания полноценного электронного курса необходимо соблюсти ряд принципов, которые надо учитывать, чтобы получить качественный носитель знаний учащегося (40).

Принцип распределенности учебного материала.

Информационные учебные ресурсы могут быть разделены на две группы: находящиеся у обучаемого (локальные компоненты) и размещаемые на компьютерах учебного центра (сетевые компоненты). В рамках нашего электронного курса все ресурсы будут находиться на компьютерах учебного центра, размещение у обучаемого необязательно.

Принцип интерактивности учебного материала.

При электронном обучении компьютер становится основным дидактическим инструментом, и вместо разрозненных обучающих программ нужен цельный интерактивный курс, достаточно полно представляющий всю учебную информацию. Наш электронный курс разработан таким образом, что учащемуся достаточно четко следовать рекомендациям учителя, чтобы получить полную цельную информацию в рамках курса.

Принцип мультимедийного представления учебной информации.

Большой объем информации требует использования соответствующего носителя. Интерактивный электронный курс дает возможность интегрировать различные среды представления информации - текст, статическую и динамическую графику, видео- и аудиозаписи в единый комплекс, позволяющий обучаемому стать активным участником учебного процесса, поскольку выдача информации происходит в ответ на соответствующие его действия (11).

Принцип адаптивности к личностным особенностям обучаемого.

Объем информации, предлагаемый обучающимся за определенный промежуток времени, сильно варьируется в зависимости от их индивидуальных особенностей (20).

Вторым педагогическим условием является организация урочной и внеурочной самостоятельной работы учащихся, основанная на базе деятельностного подхода.

Учащиеся активно включаются в деятельность посредством различных задач и заданий, форм и методов обучения, кроме того, ЭО требует развития самостоятельности у учащихся, т.к. требуется работать не только в классе, но и дома самостоятельно.

В классе учащийся может начать изучение темы, поскольку часто возникают вопросы, которые школьник может задать учителю лично. Безусловно, эти вопросы ученик может задать в виртуальной форме (посредством чата или видеоконференции), однако это не всегда своевременно – видеоконференции или занятия в чате запланированы на определенное время. Кроме того, в классе учащиеся должны выполнять тренировочные задания, чтобы в случае затруднения обратиться за помощью к учителю. Итоговый тест также рекомендуется выполнять в присутствии учителя, чтобы учитель имел возможность контролировать действия учащихся.

В домашних условиях ученик может повторить пройденный материал, заострить внимание на моментах, дающихся особенно трудно.  Также, учитель может дать задание для проведения дискуссии (семинара) в рамках видеоконференции. Кроме этого, учитель может открыть соответствующую тему на форуме, где каждый учащийся должен оставить свой комментарий на заданную тему (это также может быть формой домашнего задания). Также, дома ученик может выполнять задания в форме эссе, создавать презентации, решать тренировочные тесты.

Деятельностный подход к обучению предполагает использование следующих принципов:

1. Принцип активного включения учащегося в образовательную деятельность при изучении раздела «Информационная деятельность человека» предмета «Информатика и ИКТ».

При освоении учащимися определённых видов человеческой деятельности, через освоение учебной деятельности и при соответствующей организации и отборе содержания для учебного пространства происходит первичное самоопределение школьников, которое в дальнейшем может задать определённую траекторию жизненного пути. Категория деятельности при таком подходе к обучению является фундаментальной и смыслообразующей всего процесса обучения (3).

При деятельностном подходе к обучению основным элементом работы учащихся будет решение задач, т.е., освоение деятельности, особенно новых видов деятельности: учебно-исследовательской, поисково-конструкторской, творческой и др. В этом случае фактические знания станут следствием работы над задачами, организованными в целесообразную и эффективную систему. Параллельно с освоением деятельности ученик сможет сформировать свою систему ценностей, поддерживаемую социумом. Из пассивного потребителя знаний учащийся становится активным субъектом образовательной деятельности.

2. Принцип субъект-субъектного типа взаимодействия между учителем и учащимся при изучении раздела «Информационная деятельность человека» предмета «Информатика и ИКТ».

Практика показывает продуктивность использования в электронном обучении следующих видов занятий:

· Вводное занятие проводится с целью обзора курса в целом. Его целесообразно оформлять в виде набора веб-страниц на образовательном сервере.

· Индивидуальное занятие-консультация проводится в различных формах с учетом особенностей каждого ученика.

· Дистанционная конференция по электронной почте требует разработки структуры и регламента обсуждения одной проблемы в рамках дистанционной переписки.

· Чат-занятие проводится в реальном времени и требует четкого расписания и формулировки вопросов-проблем, а также возможности записи текста занятия для анализа и использования в дальнейшем.

· Веб-занятие имеет множество вариантов: дистанционные уроки на основе веб-квестов (специально подготовленных страниц со ссылками по изучаемой теме), а также конференций в виде форума, семинаров, деловых игр и др.

· Эффективной формой обучения и контроля является дистанционная олимпиада с творческими открытыми заданиями (См., например, www.eidos.ru/olymp/). Такое занятие проводится с помощью электронной почты или с использованием веб-форм (46).

В нашей дипломной работе мы реализуем мультимедийное ЭИ сетевого распространения (согласно классификации, представленной в таблице «Классификация электронных средств учебного назначения» § 1.2 Главы I).

Преимущества данного выбора неоспоримы. В мультимедийном электронном издании различная информация присутствует равноправно и взаимосвязанно для решения определенных разработчиком задач, эта взаимосвязь обеспечена соответствующими программными средствами. Кроме того, наш курс будет доступен потенциально неограниченному кругу пользователей через телекоммуникационные сети.

3. Реализация дифференцированного подхода на основе первичной диагностики уровня владения навыками работы в сети Интернет.

Принцип дифференцированного подхода к учащимся предполагает оптимальное приспособление учебного материала и методов обучения к индивидуальным способностям каждого школьника. Дифференцированное обучение необходимо, так как наблюдаются различия учащихся в темпах овладения учебным материалом, а также в способностях самостоятельно применять усвоенные знания и умения.

В основе дифференциации лежат индивидуально - психологические особенности учащихся, отличающие одного человека от другого, подразумевающие способности, которые имеют отношения к успешности выполнения какой либо деятельности (6).

В своей работе мы используем дифференцированный подход. Это объясняется рядом неоспоримых преимуществ: исключается неоправданное и нецелесообразное для общества усреднение детей, у учителя появляется возможность помогать слабому; уделять внимание сильному, помочь ему быстрее и глубже продвигаться в образовании (56).

Наш электронный курс состоит из ряда базовых (обязательных заданий): изучение лекции, ответы на вопросы в лекции и итоговый тест по разделу; и дополнительный заданий (либо заданий повышенной сложности): написание эссе, разработка презентаций, вопросы к размышлению.

Технология ЭО требует наличия следующего аппаратного и программного обеспечения:

· Персональный компьютер;

· Доступ в Интернет;

· Программы электронной почты;

· Мультимедийные энциклопедии;

· Текстовый редактор Microsoft Word;

· Программа для созданий презентаций MS Power Point

· Веб-браузер (MS Explorer, Opera, Fire Fox и др.) (41).

Мы выделили основные знания и умения, которые подлежат начальной диагностике. Рассмотрим их в таблице 9:

Таблица 9 - Знания и умения, подлежащие начальной диагностике


Описание

знания

Знать правила регистрации на сайтах

Знать правила общения в Интернет

Знать принципы работы сервисов Web 2.0

умения

Уметь работать с электронной почтой (запуск, вход, прочтение/отправка почты)

Уметь работать в Интернет (поиск информации, навигация по сайтам);

Уметь общаться в Интернет (чат, блог и т.п.)

Уметь размещать в Интернет какие-либо файлы (документы, фото, видео и т.п.)

Уметь работать в текстовом редакторе Microsoft Word, в программе для создания презентаций MS Power Point

Уметь работать с информацией: целенаправленный поиск, методы поиска и отбора информации; различные способы обработки информации

Уметь работать с дополнительной литературой, правильно выбирать источники информации


Чтобы получить положительный эффект от работы с СДО, необходимо выяснить, на каком уровне находятся знания и навыки учащихся в этой области.

Уточнить наличие программного и аппаратного обеспечения можно по средствам анкеты (приложение А).

Проверить уровень навыков работы учащихся в сети Интернет можно на вводном практическом задании (приложение Б).

Если уровень навыков работы учащихся в сети Интернет достаточен, то можно приступать к изучению курса посредством СДО Moodle. Если этот уровень низок, то прежде всего необходимо изучить (повторить) следующие темы предмета «Информатика и ИКТ»: «Основные принципы организации и функционирования  компьютерных сетей»; «Интернет»; « Информационные ресурсы и сервисы компьютерных сетей: всемирная паутина, файловые архивы, интерактивное общение»; «Назначение и возможности электронной почты»; «Поиск информации в Интернете». Затем необходимо снова провести практическое занятие, которое покажет, готовы ли учащиеся к работе с СДО Moodle. Только после этого можно реализовывать технологию ЭО.

 

§2.2 Электронный курс раздела «Информационная деятельность человека» предмета «Информатика и ИКТ», разработанный на базе СДО «Moodle»

 

В соответствии с первым педагогическим условием, описанным нами в методике, был разработан электронный курс раздела «Информационная деятельность человека» предмета «Информатика и ИКТ» (#"467758.files/image007.jpg" align=left hspace=12>В рамках нашей дипломной работы предлагается создать курс, содержащий наиболее часто используемые элементы и ресурсы курса. Для удобства в СДО Moodle курс предлагается разделить на темы. Чтобы добавить тему, следует нажать на значок  , расположенный под датами недели. Наш курс состоит из трех тем, названных соответственно «Тема 1. Информационное общество», «Тема 2. Информационная культура», «Тема 3. Правовая охрана программ и данных. Защита информации».

После создания темы следует добавить элемент курса «Лекция». В открывшейся странице «Добавление лекции» нужно указать название лекции и при необходимости изменить настройки, выставленные по умолчанию. В каждой теме мы создали лекции, дав им соответствующие названия.

Основной элемент лекции — это веб-страница. В ней дается объяснение фрагмента учебного материала (см. рис. 3).









Рисунок 3 – Веб-страница

После веб-страницы предлагаются вопросы для контроля усвоения пройденного фрагмента (см. рис. 4). В случае правильного ответа материал считается усвоенным и учащийся получает возможность перейти к следующей части лекции, если ответ неверный, то учащемуся предлагается вернуться к плохо усвоенному материалу и повторить его, а позже вновь попробовать ответить на вопросы. Эта возможность СДО Moodle позволяет обратить внимание учащегося на важные моменты лекции и подготовиться к контрольному тесту темы.

Рисунок 4 – Страница с вопросами

Контроль прохождения лекционного материала осуществляется с помощью страниц с вопросами (см. рис. 4), которые размещены непосредственно в лекции. В СДО Moodle используется несколько типов вопросов в тестовых заданиях:

· Множественный выбор (учащийся выбирает ответ на вопрос из нескольких предложенных ему вариантов, причем вопросы могут предполагать один или сразу несколько правильных ответов);

· Верно/Неверно (ответ на вопрос, учащийся выбирает между двумя вариантами «Верно» и «Неверно»);

· На соответствие (каждому элементу ответов первой группы нужно сопоставить элемент ответов второй группы);

· Короткие ответы (ответом на вопрос является слово или короткая фраза, допускается несколько правильных ответов с различными оценками);

· Числовой (то же, что и короткий ответ, только на выполнение вычислительных операций, числовой ответ может иметь заданный интервал предельно допустимой погрешности отклонения от правильного значения).

Каждый из этих типов вопросов был использован нами в качестве проверки усвоения знаниями учащегося. Для первой темы курса «Информационное общество» мы использовали вопросы на соответствие, вопросы в закрытой форме с множественным выбором ответа, вопросы с коротким ответом, а также вопросы, в которых необходимо было выбрать несколько вариантов ответов. Эти же типы вопросов были использованы нами для второй и третей тем курса – «Информационная культура» и «Правовая охрана программ и данных. Защита информации».

Чтобы реализовать переходы между разделами лекции и страницами с вопросами, в СДО Moodle создан элемент «Карточка-рубрикатор» (см. рис. 5). Он представляет собой страницу лекции, содержащую ссылки на другие страницы лекции.

Рисунок 5 – Карточка-рубрикатор

 

В рамках нашего электронного курса предлагаем во вторую тематическую секцию добавить форум (см. рис. 6), чтобы организовать дискуссию по теме: «Информационная культура».

Рисунок 6 – Создание тем форума

 

Здесь учитель может создавать темы для обсуждения, задавать вопросы, создавать дискуссии. На форуме «Информационная культура» мы задали вопрос: «Скажите пожалуйста, в чем, по-вашему, проявляется информационная культура? Обладаете ли вы информационной культурой?» (см. рис. 7). 

Рисунок 7 – Обсуждение темы на форуме

Элемент «Задание» позволяет преподавателю ставить задачи, которые требуют от учащихся ответа в электронной форме (в любом формате) и дает им возможность загрузить его на сервер, после чего можно оценить полученные ответы. Задания поддерживают несколько способов ответа: в виде одного файла, в виде нескольких файлов, в виде текста, вне сайта. В рамках нашего электронного курса учащимся было предложено несколько типов заданий. Примером одного из них может послужить эссе на тему «Правовая охрана программ и данных. Защита информации. Что вы думаете по этому поводу? Есть ли такая проблема в России? Что бы вы предложили, чтобы решить ее?». Свои мысли по этому поводу учащиеся оформляли в отдельный файл и загружали на сервер СДО Moodle. Учитель мог проверить выполнение заданий как в классе, так и дома. Кроме эссе учащимся предлагалось выполнить задание повышенной трудности – создать презентацию на любую из предложенных тем: «Способы хранения, передачи и обработки информации»; «Индустриальное общество»; «Информация как главный ресурс информационного общества»; «ЭВМ вчера, сегодня, завтра»; «Развитие глобальных компьютерных сетей». Данное задание предлагалось к обязательному выполнению для учащихся с высоким уровнем ЗУН по предмету «Информатика и ИКТ», однако также рекомендовалось учащимся со средним и низким уровнем ЗУН. Результаты выполнения можно увидеть в таблице (см. рис. 8), которую СДО Moodle создает автоматически. В таблице можно увидеть, когда учеником был загружен файл, какую оценку поставил учитель, а также отзыв учителя (который можно отправить ученику на электронный ящик).

Рисунок 8 – Результат выполнения творческого задания

Основным средством контроля результатов дистанционного обучения являются тесты. Поэтому учителю необходимо уметь создавать тесты в СДО Moodle и включать их в электронные курсы.

Любой тест в СДО Moodle создается на основе «Банка вопросов» (специальной базы данных). То есть прежде, чем создавать тест нужно наполнить банк данных вопросами для этого теста. Кроме перечисленных выше типов заданий в СДО Moodle существуют также следующие типы:

· Вычисляемый;

· Вложенные ответы;

· Эссе (учащийся кратко излагает свой взгляд на рассматриваемую проблему).

После успешного завершения изучения лекции учащийся должен показать уровень усвоения знаний. Для этого необходимо создать итоговый тест по всей теме (см. рис. 9).

Рисунок 9 - Тест

 

Посмотреть результаты протестированных участников курса, получить статистическую информацию можно во вкладке «Результаты» (см. рис. 10).






Рисунок 10 – результаты тестирования

В таблице, которую автоматически создает СДО Moodle, показаны следующие данные: когда учащийся начал тест, когда завершил, сколько времени затратил на решение заданий. Кроме того, из таблицы видно, какие задания теста были решены верно, а в каких допущена ошибка. Также СДО Moodle автоматически подсчитывает средний балл, полученный всеми учащимися, проходившими данный тест.

После успешного завершения теста курс считается пройденным.

В соответствии со вторым педагогическим условием нашей методики организация изучения раздела «Информационная деятельность человека» предмета «Информатика и ИКТ», проходило по следующей схеме. Первоначально было проведено вводное занятие, в ходе которого учащиеся были ознакомлены с основными принципами работы в СДО Moodle и общей структурой курса. Также, на данном занятии была проведена первичная диагностика уровня ЗУН учащихся, которые были выделены в таблице 9 § 2.1 главы II (приложение Б). Если уровень ЗУН будет достаточно высок, то обучение с использованием электронного курса возможно, если же уровень низок, то необходимо провести дополнительные занятия по освоению выделенных ЗУН.

Кроме того, на вводном занятии  учащиеся получили первое домашнее задание – самостоятельно войти в систему и отредактировать персональные данные своего профиля, а также ознакомиться с СДО Moodle. После вводного занятия было проведено индивидуальное занятие, на котором учащиеся задали свои вопросы, касающиеся работы в системе Moodle.

В рамках второго педагогического условия необходимо организовать урочную и внеурочную работу учащихся, то есть определить темы, которые ученики будут осваивать самостоятельно, а что будут делать в классе. На основе диагностики начального уровня ЗУН по разделу «Информационная деятельность человека» предмета «Информатика и ИКТ» более сложными оказались такие темы как: «Информационное общество» и «Правовая охрана программ и данных. Защита информации», поэтому занятия на эти темы мы предлагаем провести в школе, а практические задание выполнить дома. Тема «Информационная культура» предлагается к самостоятельному изучению, а выполнение практических заданий учитель может проконтролировать в классе.

В ходе изучения раздела «Информационная деятельность человека» предмета «Информатика и ИКТ» учащимся предлагались следующие типы заданий: учебно-исследовательского характера (создание презентации на заданные темы), поисково-конструкторский тип заданий (написание вики-статьи), творческие задания (написание эссе).

Организованная таким образом урочная и внеурочная работа учащихся позволяет чередовать различные виды деятельности.

Таким образом, изучение раздела «Информационная деятельность человека» предмета «Информатика и ИКТ» с помощью технологии электронного обучения позволило сделать процесс обучения интересным и творческим.

 

§2.3 Технология организации педагогического эксперимента и анализа полученных результатов


Целью проводимого экспериментального исследования является проверка эффективности методики использования технологии ЭО при изучении раздела «Информационная деятельность человека» предмета «Информатика и ИКТ» (для 10-11 классов информационно-технологического профиля).

Цель определяет следующие задачи:

· определить этапы экспериментальной работы и задачи каждого их них;

· экспериментально проверить эффективность предложенной методики использования технологии ЭО при изучении предмета «Информатика и ИКТ» (для 10-11 классов информационно-технологического профиля);

· проанализировать полученные данные.

На основе анализа литературы по организации и проведению экспериментального исследования (15; 16) выделили два его этапа: подготовительный и основной. В таблице 10 представлены этапы экспериментальной работы, задачи, которые включает в себя каждый из этапов и методы.

Таблица 10 -Этапы экспериментальной работы

Этап

Задачи

Методы

Подготови-тельный

Выделить критерии и показатели уровня обученности учащихся;

Анализ, синтез и систематизация информации

Основной

1) Экспериментально проверить эффективность разработанной методики использования СДО Moodle при изучении раздела «Информационная деятельность человека» предмета «Информатика и ИКТ»;

2) Обработать, систематизировать и оформить полученные результаты.

Констатирующий эксперимент, формирующий эксперимент; наблюдение; тестирование; теоретический анализ, синтез, обобщение, систематизация, сравнение; статистические методы обработки результатов


Этапы экспериментальной работы были взаимосвязаны и подчинены цели эксперимента, но каждый из них характеризовался собственными задачами и методами (см. табл. 10).

Ниже представлена общая характеристика проводимого нами эксперимента:

· по характеру проблематики – дидактический: проверяется гипотеза об эффективности системы мер, направленных на повышение уровня обученности учащихся;

· по форме (условиям) проведения эксперимента – естественный: проводится в обычных условиях без нарушения хода педагогического процесса;

· по цели, которую преследует эксперимент – основной: проверяется выдвинутая в процессе теоретического осмысления гипотеза, вводятся её условия, и проверяется их влияние на педагогический объект;

· по характеру логической структуры доказательства гипотезы – параллельный эксперимент – доказательство гипотезы опирается на сравнение двух педагогических объектов (контрольного и экспериментального) в одно время (43).

На подготовительном этапе для диагностики уровня обученности по разделу «Информационная деятельность человека» был осуществлен выбор критериев и показателей, которые позволили бы получить объективную информацию об эффективности педагогического эксперимента. Для этого нам в первую очередь пришлось четко обозначить понятия критериев и показателей, поскольку в их определении имеются значительные расхождения в научно – педагогической литературе.

Проведя анализ различных точек зрения (В.А. Беликов, В.И. Загвязинский, И.Ф. Исаев и др.) мы остановились на следующих определениях:

·   критерии – это качества, свойства, признаки изучаемого объекта, которые позволяют судить о его состоянии, уровне развития и функционирования;

·   показатели – это количественные или качественные характеристики сформированности каждого качества, свойства, признака изучаемого объекта, другими словами мера сформированности того или иного критерия.

Для диагностики уровня обученности по разделу «Информационная деятельность человека», мы выделили три критерия – знания, умения и мотивация. Для каждого критерия использовались следующие показатели и методики их диагностики:

1) Знания по разделу «Информационная деятельность человека» оценивались по показателям: полноты и прочности. Для определения их количественной оценки использовались следующие коэффициенты:

· коэффициент полноты усвоения содержания понятия вычислялся по формуле:

K(n)=n/N,   (1)

где n - количество усвоенных (верно названных и охарактеризованных) существенных признаков понятия; N - общее количество существенных признаков, подлежащих усвоению на соответствующем этапе усвоения понятия;

· коэффициент прочности усвоенных понятий вычислялся по формуле:

P=K2/K1,    (2)

где К1 - коэффициент полноты усвоения содержания (объема, характеристики практических действий) понятия при первой проверке; К2 - коэффициент полноты усвоения содержания (объема, практических действий) понятия при последующей проверке.

2) Умения по разделу «Информационная деятельность человека» оценивались по показателям полноты, прочности и осознанности. Для определения их количественной оценки использовались следующие коэффициенты:

· коэффициент полноты владения умением вычислялся по формуле:

k=n/N,        (3)

где n - количество верно выполненных действий; N - количество действий, входящих в структуру умения;

· коэффициент прочности овладения умением вычислялся по формуле:

g=k2/k1,      (4)

где k1 - коэффициент полноты сформированности умения при первой проверке; k2 - коэффициент полноты сформированности умения при последующей проверке;

· осознанность определялась по степени обоснованности учеником своих действий:

a) учащийся не достаточно осознает выполняемое действие, не может обосновать свой выбор;

b)   в целом действие осознанно, при обосновании действий учащийся допускает некоторые неточности;

c)   действие полностью осознанно, логично обосновано.

За основу выбранной нами методики диагностики знаний и умений положены методы поэлементного и пооперационного анализа, разработанные А.В. Усовой (42).

3) Рефлексия определялась степенью выраженности мотивов и ценностных ориентаций на применение знаний и умений, полученных при изучении раздела «Информационная деятельность человека», в дальнейшем на практике и в повседневной жизни.

При выделении уровней и показателей владения ЗУН по разделу «Информационная деятельность человека» мы опирались на работы Б.С. Блума, Л.С. Выготского, П.Я. Гальперина, В.В. Давыдова, А.Н. Леонтьева, С.Л. Рубинштейна, Д.Б. Эльконина, в которых разработана продуктивная теория деятельности и выделены уровни овладения человеком деятельностью вообще. Опираясь на данные исследования, мы выделили следующие уровни владения ЗУН по разделу «Информационная деятельность человека»:

· оптимальный (высокий);

· допустимый (средний);

· недопустимый (низкий);

Оптимальный (высокий) уровень можно охарактеризовать наличием у обучающегося всех необходимых знаний, умений и навыков по разделу «Информационная деятельность человека».

Допустимый (средний) уровень характеризуется наличием у учащегося минимальных знаний и умений по разделу «Информационная деятельность человека».

Недопустимый (низкий) уровень характеризуется отсутствием у учащегося знаний и умений по разделу «Информационная деятельность человека».

При определении уровня сформированности выделенных критериев мы использовали подход количественной обработки  результатов диагностики, который позволяет в отношении степени проявления каждого критерия определить количественный показатель. В нашем исследовании мы ввели следующие количественные показатели:

· «0» - низкий уровень сформированности рассматриваемого критерия;

· «1» - средний  уровень;

· «2» - оптимальный (высокий) уровень.

Правила оценки тем или иным баллом каждого критерия представлены в таблице 11.

Таблица 11 - Техника оценки уровня сформированности критериев и показателей

Знания по разделу «Информационная деятельность человека»

Уровень

Значения

коэффициента

Баллы по показателям

Полнота усвоения знаний

Прочность усвоения знаний

Высокий

0,9 £ К £ 1,0

2

2

Средний

0,8 £ К < 0,9

1

1

Низкий

0,7 £ К < 0,8

0

0

Умения по разделу «Информационная деятельность человека»

Уровень

Значения коэффициента

Полнота

Прочность

Осознанность

Действий

Баллы







Высокий

0,9 £ К £ 1,0

2

2

Полностью осознано действие

2

Средний

0,8 £ К < 0,9

1

1

В целом действие осознано

1

Низкий

0,7 £ К < 0,8

0

0

Не достаточно осознано выполняемое действие

0

Рефлексия

Высокий

Самооценка адекватна

2

Средний

Занижена

1

Низкий

Завышена

0


Введение балльных оценок позволяет определять как степень сформированности каждого критерия, так и уровень ЗУН учащихся по разделу «Информационная деятельность человека». При определении уровня необходимо было установить интервалы группировки значений по методике, предложенной А.А. Кыверялгом (24). Согласно данной методике, средний уровень определяется 25% отклонением значения от среднего по диапазону балльных оценок. Тогда, оценка из интервала от R(min) до 0,25 R(max) позволяет констатировать о минимальном уровне готовности обучающегося, а об оптимальном уровне свидетельствуют оценки, превышающие 75% максимально возможных. Поскольку суммарный балл, оценивающий обобщенный результат, меняется в пределах от 0 до 12, то, в соответствии с изложенной выше методикой,  уровни определялись интервалами:

· Низкий: 0-3 балла;

· Средний: 4-8 баллов;

· Высокий: 9-12 баллов.

Баллы каждого учащегося контрольной и экспериментальной группы, полученные им и после проведения эксперимента, мы заносили в сводные таблицы (см. табл. 12) позволяющие отслеживать выделенные критерии, показатели и уровень ЗУН учащихся по разделу «Информационная деятельность человека».

Таблица 12 - Сводная таблица оценок сформированности критериев

№ п/п

Ф.И.О.

Уровень сформированности критериев

Уровень

1

2

3

4

5

6

1

















Примечание: в таблице цифрами обозначены следующие показатели:

1 - коэффициент полноты усвоения содержания понятия;

2 - коэффициент прочности знаний;

3 - коэффициент полноты сформированности умений;

4 - коэффициент прочности овладения умением;

5 - осознанность выполнения действий;

6 - рефлексивный анализ своих действий по использованию знаний и умений на практике.

Рассмотрим задачи основного этапа. Экспериментально проверим эффективность разработанной методики преподавания раздела «Информационная деятельность человека» предмета «Информатика и ИКТ» (для 10-11 классов информационно-технологического профиля)  с использованием технологии электронного обучения.

Рассмотрим вопрос о выборе экспериментальной базы исследования. В рамках решения поставленной проблемы по исследованию нам нужно было провести эксперимент на базе средней школы. Поэтому мы выбрали МОУ СОШ № 7. В эксперименте приняли участие 14 учащихся десятого класса. Работа с группами велась по представленной выше диагностической программе.

Мы провели диагностику (приложение А, Б, В) проверку ЗУН по разделу «Информационная деятельность человека» у двух групп - контрольной и экспериментальной. Результаты диагностики можно увидеть в таблицах 13 и 14.

Таблица 13 - Результаты первоначальной диагностики контрольной группы

№ п/п

Ф.И.О.

Уровень сформированности критериев

Уровень

1

3

5

6

1

Андреев Валентин

1

0

0

1

низкий

2

Бобылева Дарья

0

1

0

0

низкий

3

Богаткина Ксения

0

1

1

1

низкий

4

Веденеева Яна

1

0

0

низкий

5

Волгина Анна

2

1

0

1

средний

6

Андреев Валентин

0

0

0

1

низкий

7

Павлов Антон

0

1

1

0

низкий


Таблица 14 - Результаты первоначальной диагностики экспериментальной группы

№ п/п

Ф.И.О.

Уровень сформированности критериев

Уровень

1

3

5

6

1

Гараева Римма

0

0

0

0

низкий

2

Зуева Екатерина

1

1

1

1

средний

3

Киржацкий Владислав

0

1

0

0

низкий

4

Киселев Михаил

1

0

1

0

низкий

5

Коптякова Екатерина

0

0

1

1

низкий

6

Мамзикова Светлана

1

1

1

1

средний

7

Сурменева Евгения

0

0

0

1

низкий


Диагностика показала, что ЗУН учащихся по разделу «Информационная деятельность человека» у контрольной и экспериментальной группы были практически одинаковыми. Более наглядно это показано на рис. 11.












Рисунок 11 - Результаты проверки ЗУН контрольной и экспериментальной группы до начала эксперимента

Обобщенные результаты выявленных уровней ЗУН учащихся по разделу «Информационная деятельность человека» у контрольной и экспериментальной группы показывают, что у абсолютного большинства учащихся уровень ЗУН низкий, а учащиеся, которые бы показали отличные результаты, отсутствуют.

ЗУН учащиеся экспериментальной группы были подвержены диагностике (приложение В) на предмет того, могут ли учащиеся быть вовлечены в работу по нашей методике. Полученные результаты представлены в таблице 15.

Таблица 15 - Результаты экспериментальной группы

№ п/п

Ф.И.О.

Сумма баллов

Результат

1

Гараева Римма

17

ЗУН каждого учащегося позволяет провести обучение с использованием СДО Moodle

2

Зуева Екатерина

19

3

Киржацкий Владислав

20

4

Киселев Михаил

17

5

Коптякова Екатерина

20

6

Мамзикова Светлана

18

7

Сурменева Евгения

19


На следующем этапе экспериментальной проверки эффективности разработанной методики контрольная и экспериментальная группы изучали раздел «Информационная деятельность человека»: экспериментальная группа обучалась дистанционно, с использованием СДО Moodle, а контрольная обучалась традиционным способом.

После изучения раздела «Информационная деятельность человека» учащиеся были протестированы на уровень полученных ЗУН. Обобщенные результаты выявленных уровней ЗУН учащихся по разделу «Информационная деятельность человека» представлены в таблицах 16 и 17.

Таблица 16 - Результаты контрольной группы

№ п/п

Ф.И.О.

Уровень сформированности критериев

Уровень

1

2

3

4

5

6

1

Андреев Валентин

1

1

0

1

0

1

средний

2

Бобылева Дарья

0

1

1

1

0

0

низкий

3

Богаткина Ксения

0

1

1

0

1

1

средний

4

Веденеева Яна

1

0

0

1

0

0

низкий

5

Волгина Анна

2

1

1

2

0

1

высокий

6

Андреев Валентин

0

0

0

0

0

1

низкий

7

Павлов Антон

0

2

1

1

1

0

высокий

Таблица 17 - Результаты экспериментальной группы

№ п/п

Ф.И.О.

Уровень сформированности критериев

Уровень

1

2

3

4

5

6

1

Гараева Римма

1

1

2

1

1

2

средний

2

Зуева Екатерина

2

1

1

1

1

1

средний

3

Киржацкий Владислав

2

2

1

1

1

2

высокий

4

Киселев Михаил

1

1

1

1

2

2

средний

5

Коптякова Екатерина

1

1

1

1

0

1

средний

6

Мамзикова Светлана

2

1

2

2

1

2

высокий

7

Сурменева Евгения

1

1

2

2

1

2

высокий


Количественная оценка уровня ЗУН по разделу «Информационная деятельность человека» осуществлялась нами по среднему показателю, определяемому по формуле:

              (5)

где a, b, c – процентно выраженное количество учащихся, находящихся на низком,  среднем и высоком уровнях обученности.

Эффективность исследования определялась по коэффициенту эффективности предлагаемой методики, который вычислялся по формуле:

КЭ = Ср(э)/Ср(к),         (6)

где Ср(э) - значение среднего показателя у экспериментальной группы;

Ср(к) - значение среднего показателя у контрольной группы.

Количественная оценка уровня ЗУН по разделу «Информационная деятельность человека» показана в таблице 18:

Таблица 18 - Уровень ЗУН учащихся по разделу «Информационная деятельность человека» контрольной и экспериментальной группы


Контрольная группа

Экспериментальная группа

Разница результатов

Уровни

Кол-во чел.

%

Кол-во чел.

%

Низкий

3

42

0

0

- 42

Средний

2

29

4

58

+ 29

Высокий

2

29

3

42

+ 13

Ср.

1,87

2,42


КЭ

1,29411



Результаты опытно-экспериментальной работы, представленные в таблице 18, показывают, что наблюдается заметная разница уровня обученности учащихся в экспериментальной и контрольной группе. Так, в экспериментальной группе число учащихся, обладающих высоким уровнем ЗУН по разделу «Информационная деятельность человека» увеличилось на 13 %; кроме того, в экспериментальной группе количество учащихся со средним уровнем ЗУН на 29% больше; важно отметить и то, что в экспериментальной группе отсутствуют учащиеся, обладающие низким уровнем обученности по разделу «Информационная деятельность человека». Более наглядно полученные данные представлены на диаграмме (см. рис. 12).

Рисунок 12 - Результаты

Анализируя  данные таблиц 16, 17 и 18 можно говорить о различии уровня обученности  контрольной и экспериментальной групп по разделу «Информационная деятельность человека». Коэффициент эффективности  разработанной методики, равный 1,29411 говорит об эффективности методики преподавания раздела «Информационная деятельность человека» предмета «Информатика и ИКТ» (для 10-11 классов информационно-технологического профиля)  с использованием технологии электронного обучения.

Выводы по Главе II

В ходе выполненной экспериментальной работы были достигнуты представленные ниже результаты.

1. Разработана методика использования технологии электронного обучения при изучении раздела «Информационная деятельность человека» предмета «Информатика и ИКТ» (для 10-11 классов информационно-технологического профиля).

2. С помощью СДО Moodle разработан и реализован электронный курс раздела «Информационная деятельность человека» на основе разработанной методики.

3. Экспериментально проверена эффективность разработанной методики использования технологии электронного обучения при изучении предмета «Информатика и ИКТ» (для 10-11 классов информационно-технологического профиля).

Статистические расчеты, полученные в результате экспериментальной проверки эффективности разработанной методики, позволили сделать вывод о том, что основная цель исследования достигнута, и гипотеза подтверждена:  изучение раздела «Информационная деятельность человека» с помощью технологии электронного обучения позволило повысить уровень обученности учащихся 10-11 классов.

Заключение


Дипломная работа посвящена теоретическому обоснованию, разработке и экспериментальной проверке эффективности методики использования технологии электронного обучения при изучении раздела «Информационная деятельность человека» предмета «Информатика и ИКТ» (для 10-11 классов информационно-технологического профиля).

В ходе исследования был решен комплекс задач, а именно:

1. Проанализировано состояние проблемы использования дистанционного обучения в российских школах; раскрыто понятие и описаны педагогические возможности технологии электронного обучения;

2. Проанализированы существующие системы разработки электронных курсов, среди которых выбрана наиболее эффективная для использования в учебном процессе школы.

Раскрыто понятие и описаны педагогические возможности электронных курсов (на базе СДО Moodle);

3. Разработана методика преподавания раздела «Информационная деятельность человека» предмета «Информатика и ИКТ» с использованием технологии электронного обучения;

Кроме того, раскрыто понятие и описаны педагогические возможности технологии электронного обучения. Мы выяснили, что специально организованная целенаправленная самостоятельная работа учащихся в сети дает высокий педагогический результат. Такую самостоятельную работу удобно проводить в ходе реализации телекоммуникационных учебных проектов. При этом было отмечено удобство использования электронных курсов (на базе СДО Moodle) в качестве средств обучения.

4. Разработан и реализован электронный курс раздела «Информационная деятельность человека» предмета «Информатика и ИКТ» на базе выбранной СДО;

5. Экспериментально проверена эффективность применения методики преподавания раздела «Информационная деятельность человека» предмета «Информатика и ИКТ» (для 10-11 классов информационно-технологического профиля)  с использованием технологии электронного обучения на примере темы «Информационное общество».

В соответствии с целью и поставленными задачами экспериментальная работа проводилась в два этапа. Она осуществлялась в естественных условиях с учащимися десятого класса МОУ СОШ №7.

Экспериментальная работа, проведенная с учащимися МОУ СОШ №7, обеспечила переход из ЗУН по разделу «Информационная деятельность человека» на качественно более высокий уровень. Об этом свидетельствуют результаты нашего исследования. Это говорит о том, что изучение раздела «Информационная деятельность человека» по нашей методике способствует более эффективному овладению учащимися ЗУН в рамках данного раздела.

Статистические расчеты, полученные в результате экспериментальной проверки эффективности разработанной методики, позволили сделать вывод о том, что основная цель исследования достигнута, и гипотеза подтверждена.

Мы считаем, что проведенное исследование и полученные результаты свидетельствуют о решении всех поставленных задач.

Дальнейшая работа может быть продолжена в направлении разработки методики использования технологии электронного обучения при изучении других разделов предмета «Информатика и ИКТ».

Список используемой литературы

технология электронный обучение образование

1.   ГОСТ 7.83-2001. Электронные издания. Основные виды и выходные сведения; введ. 01.07. 2002. - ИПК Издательство стандартов, 2002.

2. Агафонов С. В. Средства дистанционного обучения. Методика, технология, инструментарий / С.В. Агафонов, З.О. Джалиашвили, Д.Л. Кречман. – СПб.: «БХВ-Петербург», 2003, 336 с.

3. Алексеев Н.Г. Проектирование и рефлексивное мышление / Н.Г. Алексеев // Развитие личности. 2002, №2

4. Антонова С.Г. Современная учебная книга / С.Г Антонова, Л.Г. Тюрина. - М., 2001.

5. Быков Ю.А. Мультимедийный компьютерный практикум Методы изучения структуры материалов / Ю.А. Быков, С.Д. Карпухин, М.К. Бойченко и [др.] // Тез. докл. 5-ая Всерос. конф. по проблемам науки и высшей школы «Фундаментальные исследования в технических университетах». - СПб, 2001.

6.   Вербицкий А. А. Активное обучение в высшей школе: контекстный подход / А.А. Вербицкий. – М.: 2001.

7.   Вербицкий А.А. Психологические особенности вкючения взрослых в образовательную деятельность / А.А. Вербицкий, Н.П. Сахарова // Новые знания. – 1999. №2.

8. Воген Т. Мультимедиа: Практическое руководство / Т. Воген. - Пер. с англ. - Минск: ООО «Пупурри», 1997.

9. Вымятнин В.М. Дистанционное образование и его технологии / В.М. Вымятин, В. П. Демкин, В.Ф. Нявро. - Томск. 1998.

10.   Демкин В.П. Принципы и технологии создания электронных учебников / В. П. Демкин, В.М. Вымятин. - Томск, 2002.

11.   Демкин В.П. Психолого-педагогические особенности ДО / В.П, Демкин, Т.В. Руденко, Н.В. Серкова // Высшее образование в России. 2000. № 3. С. 124-128.

12.   Демкин В.П. Технологии дистанционного обучения / В.П. Демкин, Г.В. Можаева. - Томск, 2002.

13.   Ермаков А.В. Электронная промышленность / А.В. Ермаков, В.К. Адамчук, С.И. Федосеенко. - 1993. 10. С. 14-20.

14.   Загвязинский В.И. Теория обучения: Современная интерпретация: Учебное пособие для студентов высших педагогических учебных заведений / В.И. Загвязинский.  – М.: Издательский центр «Академия», 2001. – 192 с.

15.   Загвязинский, В.И. Методология и методика дидактического исследования/ В. И. Загвязинский. – М.: Педагогика, 1982. – 64 с.

16.   Загвязинский, В.И. Методология и методика социально – педагогического исследования / В. И. Загвязинский.  – Тюмень, 1995. – 98 с.

17.   Загидуллин Р.Р. Концептуальные вопросы дистанционного образования / Р.Р. Загидуллин, В.Ц. Зориктуев // Информационные технологии, № 5, 1997.

18.   Закер К. Microsoft Press. ASP.NET для профессионалов / К. Закер. – М.: Питер, 2008.

19. Ильин Г. Л. Проективное образование и реформация науки / Г.Л. Ильин. – М.: 2003.

20.   Информационные технологии в образовании и науке. Научно-технический отчет (УДК 378, ГРНТИ 14.35.07, 14.01.85.Шифр П.И.516). - Томск, 1998.

21. Кларин М. В. Инновации в обучении: метафоры и модели / М.В. Кларин. – М.: 2007.

22.   Князева М.Д. Система Дистанционного Обучения /М.Д. Князева, С.Н. Трапезников. - ИОЦ Москва.

24.   Кыверялг, А.А. Методы исследования в профессиональной педагогике/ А. А. Кыверялг.  – Таллин: Валгус, 1980. – 334с.

25.   Лемех Р.М. Совершенствование методических подходов к организации дистанционного обучения в условиях функционирования информационной среды / Р.М. Лемех - М, 2005.

26.   Можаева Г.В. Как подготовить мультимедиа курс? (Методическое пособие для преподавателей). / Г.В. Можаева, И.В. Тубалова. - Томск: Том.ун-та, 2002.

27.   [1] УИ – учебное издание

[2] ЭИ – электронное издание

[3] Крите́рий (гр. kriterion - признак для суждения) — признак, основание, мерило оценки чего-либо.

[4] целенаправленная, личностно-ориентированная, методически выстроенная последовательность педагогических методов и технологий для достижения педагогических целей и приемов (12).

[5] описание информационных технологий, используемых для реализации педагогического сценария.

[6] объединение нескольких средств представления информации в одной системе.

Похожие работы на - Методика использования технологии электронного обучения при изучении раздела "Информационная деятельность человека" предмета "Информатика и ИКТ" (для 10-11 классов информационно-технологического профиля)

 

Не нашли материал для своей работы?
Поможем написать уникальную работу
Без плагиата!
Без нейросетей!