Реконструкция и модернизация газотурбинного оборудования

  • Вид работы:
    Контрольная работа
  • Предмет:
    Менеджмент
  • Язык:
    Русский
    ,
    Формат файла:
    MS Word
    241,04 kb
  • Опубликовано:
    2011-10-01
Вы можете узнать стоимость помощи в написании студенческой работы.
Помощь в написании работы, которую точно примут!

Реконструкция и модернизация газотурбинного оборудования

Введение


Сейчас спектр отечественных наземных газотурбинных установок (ГТУ) достаточно широк. При этом в одном классе производительности представлены, как правило, несколько установок различных производителей. Какую выбрать? Покупатель при выборе ГТУ чаще всего ориентируется на значения кпд, назначенного и межремонтного ресурса, стоимости произведенной энергии (транспортировки топлива) и ремонтнотехнического обслуживания и т. д., рассматривая два-три предложенных варианта. При этом зачастую не учитываются показатели безотказности (наработки на досрочный съем), ремонтопригодности (возможности выполнения ремонта модулей на месте) и эксплуатационной технологичности (времени замены ГТУ и ее модулей), а ведь они также определяют частоту простоя объекта, необходимость закупки и содержания запасных частей (комплектов ГТУ).

1. метод оценки «стоимости жизненного цикла - СЖЦ»

Существует разного рода задачи, требующие сравнения эффективности применения газотурбинных установок или агрегатов (с приводимым механизмом):

- сравнение предложений разных поставщиков на подрядных (тендерных) торгах для конкретного объекта;

- оценка эффективности создания и использования нового типа (типоразмера) ГТУ в совместных инвестиционных проектах (потребителя и производителя);

- сравнение между собой приводов разного типа (например, электрического, газотурбинного или поршневого для газоперекачивающих агрегатов);

- сравнение типов (схем) ГТУ (например, промышленный и авиационный тип).

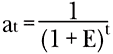
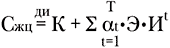
В последнее время при сопоставлении и выборе вариантов используется метод оценки «стоимости жизненного цикла - СЖЦ» (Life-Cycle Cost). В то же время реальная практика применения СЖЦ содержит достаточно много существенных недостатков, ведущих к некорректным выводам. Нормативное понятие СЖЦ отсутствует. При определении стоимости жизненного цикла используются разные методики оценки СЖЦ. Основные из них - следующие:

- без дисконтирования


- с дисконтированием

- с дисконтированием и коэффициентом инфляции


где

К - капитальные затраты;

Э - годовые эксплуатационные затраты;

 - коэффициент дисконтирования;

Е - норма дисконта (Е=0,08- 0,12);

И - коэффициент инфляции (зарубежн. 1,03-1,05);

Т - срок (годы) жизненного цикла; - расчетный шаг (годы).

Согласно методике тендерного комитета ОАО «Газпром», критерием сравнения является частное от деления Сжц на срок жизненного цикла - учетная цена, то есть


Метод оценки СЖЦ является сугубо сравнительным (он не может быть критерием коммерческого эффекта), поэтому при сравнении важно учитывать следующее:

- объем поставки должен быть равнозначным (например, нельзя сравнивать ГТУ и двигатель);

- затраты на НИОКР и создание производственной базы для изготовления нового оборудования не являются элементом СЖЦ (коммерческая эффективность создания ГПА оценивается другими показателями);

- нельзя прямым образом сравнивать серийную продукцию и прототипы.

ГПА и его элементы (двигатель, ГТУ, нагнетатель) могут иметь технические особенности, которые косвенно влияют на стоимость вспомогательного оборудования для работы агрегата. К таким особенностям относятся, например:

- система раскрутки ГТД (от электродвигателя, генераторный, детандерный запуск);

- аварийная потребность в сжатом воздухе некоторых двигателей;

- разные требования к топливному газу;

- использование разных масел и уровень безвозвратных потерь, определяющие затраты станционных систем;

- разница в расходах циклового воздуха, определяющая затраты воздухозаборного и выхлопного трактов и т.д.

Прогнозируемые затраты на ремонтно-техническое обслуживание новых ГПА с большим ресурсом - это элемент неопределенности и риска. Прогнозируемые затраты являются предметом экспертной оценки специалистов. Однако наибольший недостаток существующей практики - оценка СЖЦ по текущей российской цене природного газа. Необходимы вариантные расчеты, в том числе и по ценам международного уровня.

В табл. 1 приведена примерная структура СЖЦ ГПА мощностью 16 МВт с приводом авиационного типа, которая качественно близка к данным, полученным для энергоустановок

Могут быть сформулированы некоторые общие выводы применительно к агрегатам с разными видами привода (табл. 2).


Из приведенных соображений следует, что оценка СЖЦ недостаточна надежна и требует совершенствования как методики применения, так и исходных данных. В текущей практике выбора оборудования в процессе тендерных (подрядных) торгов показатель СЖЦ может быть использован только в совокупности с другими методами.

2. эффективность применения новых отечественных газотурбинных авиационных приводов для гпа

Практика рыночных отношений часто требует сопоставления эффективности различных видов товаров, выполняющих аналогичные функции. Специфические принципы оценки конкурентоспособности конкретных объектов формулируются в каждом конкретном случае исходя из сложности, особенностей и важности объекта. В зависимости от того, какие задачи ставит исследователь, при анализе рынка могут быть использованы различные показатели (мощность, работа, кпд оборудования, потери и т.д.)

Конкурентоспособность анализируемого объекта (товара, услуг) желательно измерять количественно, что позволит управлять ее уровнем. Для измерения конкурентоспособности анализируемого объекта необходима качественная информация, характеризующая полезный эффект данного объекта и объектов конкурентов за нормативный срок их службы и совокупные затраты за жизненный цикл объектов.

По предложению президента Академии проблем качества академика А.В. Гличева, эффективность объекта рассчитывается по формуле:

Е = Пс/Зс,

где Пс - полезный эффект объекта за нормативный срок его службы в условиях конкретного рынка;

Зс - совокупные затраты за жизненный цикл объекта в условиях конкретного рынка.

Полезный эффект - интегральный показатель как система используемых в конкретных условиях частных показателей качества объекта, удовлетворяющих конкретную потребность, т.е. совокупность свойств объекта, используемых для выполнения конкретной работы конкретным потребителем.

Полезный эффект объекта можно измерять в натуральных единицах (например, производительность однопараметрических машин и оборудования), в денежном выражении и др.

Полезный эффект - это одна сторона объекта-товара. Другой его стороной являются совокупные затраты за жизненный цикл объекта, которые обязательно нужно понести, чтобы получить от объекта полезный эффект.

Фактор времени при расчете совокупных затрат учитывается по общепринятой методике.

По приведенным формулам можно оценить конкурентоспособность только однопараметрических объектов (простые машины, оборудование и т.п.).

Авиационные и судовой газотурбинные приводы для ГПА мощностью 25 МВт для заданного режима работы компрессорного цеха (при фиксированных производительности, степени сжатия газа, условиях на входе в компрессорный цех) имеют одинаковый полезный эффект.

Модель стоимости жизненного цикла оборудования - это интегрированное представление производственных, технико-технологических, экономических и экологических показателей для обеспечения эффективного управления издержками эксплуатации оборудования с учетом всего комплекса работ.

Стоимость жизненного цикла оборудования составляют все затраты на создание и эксплуатацию оборудования за назначенный ресурс, т.е. это сумма следующих показателей:

договорной цены;

НДС;

удельных предпроизводственных затрат заказчика на НИОКР (для новой техники);

стоимости строительно-монтажных и пусконаладочных работ (для новой техники);

затрат на ремонтно-техническое обслуживание (с учетом поставки запасных частей);

затрат на топливо за жизненный цикл;

стоимости безвозвратных потерь масла и использования материалов за жизненный цикл;

стоимости содержания обслуживающего персонала;

платы за выбросы в атмосферу вредных веществ;

таможенных расходов (при закупке импортного оборудования).

Очевидные плюсы модели определения СЖЦ оборудования:

наглядность;

открытость (возможность дополнения новыми показателями);

простота интерпретации результатов расчета СЖЦ.

Предлагаемая модель СЖЦ оборудования может использоваться в следующих случаях:

а) для определения предельной цены оборудования при проведении коммерческих переговоров;

в) для определения направлений модернизации оборудования (например, газотурбинных приводов мощностью 25 МВт).

Рассмотрим описанную выше модель оценки конкурентоспособности на примере анализа рынка новых газотурбинных авиационных двигателей мощностью 25МВт, используемых в газоперекачивающих агрегатах (ГПА) на компрессорных станциях ОАО «Газпром».

Выполненные в работе исследования показали, что коэффициент использования ГПА мощностью 25 МВт на КС газопроводов диаметром 1420 мм с рабочим давлением 7,4 МПа теоретически не превышает 68%. В реальных условиях эксплуатации этот показатель на 15-20% меньше.

Несмотря на это, освоение новых месторождений природного газа в труднодоступных районах Крайнего Севера и Полярного Урала, прокладка мощных газотранспортных систем, необходимость в реконструкции цехов с отработавшими свой ресурс агрегатами типа ГТН-25 и ГПА-Ц-16 потребовали создания нового поколения автоматизированных блочно-комплектных газоперекачивающих агрегатов (ГПА) мощностью 25 МВт.

ГПА мощностью 25 МВт предназначены для использования:

при реконструкции КС с агрегатами ГТН-25 (замена ГПА в существующем индивидуальном здании);

при реконструкции КС с агрегатами типа ГПА-Ц-16 (замена блочно-контейнерного агрегата на существующей фундаментной площадке).

Это эффективно на многониточной системе магистральных газопроводов СРТО - Центр, где можно применить единичную мощность 25 МВт вместо 16 МВт, уменьшая общее количество ГПА;

на КС новых магистральных газопроводов диаметром 1420 мм с рабочим давлением 7,4 МПа при повышенном на 25-30% расстоянии между КС ;

при оснащении КС системы магистральных газопроводов Ямал-Запад; общая потребная мощность газоперекачивающих агрегатов для трех ниток 4 570 МВт, из них более половины (100 ед.) с единичной мощностью 25 МВт;

на морских платформах и при транспорте сжиженного природного газа в более отдаленной перспективе на основании международного опыта.

В настоящее время созданы, эксплуатируются на КС и проектируются следующие виды газотурбинных приводов мощностью 25 МВт:

ДН80 (ГП НПКГ «Зоря»-«Машпроект»);

НК-36СТ (ОАО «Моторостроитель»);

ПС-90ГП-25 (ОАО «Авиадвигатель»);

проектируется ГТД-25 (НПО «Сатурн»).

Для комплексного определения экономических преимуществ применения различных видов конвертированных авиационных газотурбинных установок мощностью 25 МВт выполнена оценка стоимости жизненного цикла каждого нового типа авиационного привода и судового привода-аналога за назначенный ресурс ГПА 100 тыс. ч [4].

Текущие издержки, условно-постоянные (затраты на электроэнергию, заработная плата) или малые по величине (плата за выбросы в атмосферу загрязняющих веществ), в расчете стоимости жизненного цикла приводов одинаковой мощности не учитывались.

Сопоставление текущих и будущих затрат осуществляется с использованием коэффициента дисконтирования (Е=0,1).

Расчеты стоимости жизненного цикла выполняются по исходным данным из Технических условий и последующим актам, письмам при улучшении технико-экономических параметров.

Стоимость топливного газа принимается согласно прейскуранту № 04.-03-28-2005 равной средне-взвешенной внутренней цене газа на 2005 год - 721 руб. за 1000 нм3. В табл. 2 изложены результаты расчетов стоимости жизненного цикла импортного судового и новых отечественных газотурбинных авиационных двигателей мощностью 25 МВт.

Использование модели стоимости жизненного цикла помогает:

маркетологам предприятий-производителей видеть направления повышения конкурентоспособности своей продукции;

потребителям оценить технико-экономические преимущества того или иного вида аналогичного оборудования.

. Особенности выбора газовых турбин при реконструкции

Развитие энергетики страны до настоящего времени шло в основном за счет ввода новых газотурбинных агрегатов, имеющих более высокие начальные параметры и большую единичную мощность. Повышение начальных параметров позволяло совершенствовать термодинамический цикл и снижать удельный расход топлива. Этот этап продолжался приблизительно до начала семидесятых годов, когда оборудование вышло на сверхкритические параметры.

Вторым путем повышения экономичности было широкое развитие теплофикации. Совершенствование оборудования шло аналогично общему развитию энергетики страны.

Большинство КС с существующим оборудованием морально и физически устарели и требуют реконструкции или модернизации. При этом реконструкция должна сопровождаться увеличением уровня загрузки в течение всего, ростом конкурентоспособности реконструируемого или модернизируемого оборудования. Обеспечить эти условия можно повышением параметров в паротурбинном цикле, или путем замены на парогазовую установку, или путем газотурбинной надстройки существующей паротурбинной части, если оборудование имеет достаточный ресурс.

В этом случае для станций, работающих на газовом топливе, наиболее эффективным способом реконструкции является надстройка существующей газовой части паротурбинной установкой. Этот вариант обеспечивает существенное увеличение выработки электроэнергии на тепловом потреблении при минимальных капиталовложениях.

Такая реконструкция может производиться несколькими способами:

надстройка с котлами-утилизаторами (бинарного типа или по параллельной схеме);

надстройка с вытеснением системы регенерации;

надстройка со сбросом газов в котел.

Выбор варианта реконструкции в каждом конкретном случае должен определяться исходя из реальных условий эксплуатации и обеспечения экономической эффективности проекта.

Реконструкция с вытеснением системы регенерации или со сбросом газов в котел является менее эффективной с точки зрения электрического кпд станции (42-44% и 46-48% соответственно). Эти варианты существенно уступают при прочих равных условиях парогазовым установкам с котлами-утилизаторами (ПГУ с КУ), электрический кпд которых может достигать 60% при работе по конденсационному циклу. В силу более низкой эффективности, а также сложности реконструкции варианты 2 и 3 не нашли широкого применения.

Среди всех возможных тепловых схем парогазовая установка с котлами-утилизаторами - наиболее перспективная. Она отличается простотой и высокой эффективностью производства электрической и тепловой энергии. Такой вариант реконструкции может использоваться как при введении паровой турбины в состав ПГУ в виде моноблока или дубль-блока (две ГТУ и одна паровая турбина), так и при работе на станции с поперечными связями. В этом случае пар с котла-утилизатора поступает в общестанционную магистраль без привязки к конкретной паровой турбине, в качестве критериев подбора оборудования можно назвать следующие:

котлы-утилизаторы должны производить достаточное количество пара с соответствующими параметрами;

параметры газов за газовой турбиной должны обеспечивать возможность генерации пара с необходимыми параметрами в течение всего года, желательно без дожигания топлива в котле-утилизаторе;

использование существующих паровых турбин в схеме ПГУ предполагает отключение регенеративных отборов. При этом расход острого пара на паровую турбину и мощность самой турбины, при сохранении уровня тепловой нагрузки и параметров регулируемых отборов, уменьшается приблизительно на 20-25%.

Особое влияние на выбор типа ГТУ оказывает температура уходящих газов за газовой турбиной, причем важна не столько сама температура уходящих газов, сколько ее изменение в процессе эксплуатации в зависимости от температуры наружного воздуха. На рис. 1, 2 представлены зависимости изменения температуры уходящих газов за газовыми турбинами соответственно для GTX-100 (Siemens)и SWIFTPAC 50 FT8-3 (Pratt & Whitney). Анализ этих характеристик показывает, что у GTX-100 температура уходящих газов во всем диапазоне рабочих температур наружного воздуха позволяет получать пар в котле-утилизаторе с давлением 40,0 кг/см², температурой 440 °С. В то же время у SWIFTPAC 50 FT8-3 температура уходящих газов при снижении температуры наружного воздуха до -40 °С падает до 358 °С. В этом случае не удается обеспечить необходимые параметры пара за котлом-утилизатором без дожига дополнительного топлива, что приводит к снижению эффективности такой надстройки. Более того, необходимость дожига дополнительного топлива за ГТУ возникает и при плюсовых температурах наружного воздуха, тогда в средней полосе России необходимо будет работать с дожигом топлива в течение пяти и более месяцев в году.


В этой ситуации оказывается, что с учетом сурового климата России для реализации варианта надстройки с котлами-утилизаторами возможно применение очень ограниченного ряда ГТУ. Расширение парка ГТУ для надстройки может быть достигнуто за счет перевода работы паротурбинного оборудования на скользящие параметры. При этом необходимо выделение соответствующего оборудования в отдельные блоки и согласование режимов работы паротурбинной части с заводами-изготовителями, а также пересчет характеристик газотурбинной установки и котла-утилизатора, что в целом приводит к снижению эффективности.

Как уже говорилось выше, реализация надстройки может идти как по моноблочной или дубльблочной схеме при выделении оборудования в отдельный блок, так и при работе на общестанционную магистраль без привязки к конкретным машинам. Последний способ позволяет использовать ГТУ с большой единичной мощностью, но в этом случае жестче требования к поддержанию заданных параметров пара на выходе из котла-утилизатора. Снижение количества и увеличение единичной мощности ГТУ способствует уменьшению удельных капитальных затрат на оборудование станции, снижению количества технологических связей на ТЭЦ и числа вспомогательных агрегатов. Однако работа одной газовой турбины на несколько паровых турбин существенно усложняет процесс и заметно сокращает возможный диапазон регулирования нагрузок.

С уменьшением единичной мощности и увеличением числа ГТУ возможно осуществление более гибкого регулирования нагрузок, а вывод из эксплуатации газотурбинных агрегатов, в том числе и на плановые ремонты, менее болезненно отражается на общем отпуске полезной энергии со станции. С другой стороны, при этом увеличиваются капитальные затраты на реконструкцию, возрастает количество паропроводов, трубопроводов и других технологических связей.

В общем случае выбор количества и единичной мощности газотурбинных агрегатов представляет собой комплексную технико-экономическую задачу, учитывающую уровень изменения как тепловых, так и электрических нагрузок. При этом учитывается максимальный и минимальный уровень необходимых нагрузок, их суточные и сезонные колебания (т.к. мощность ГТУ меняется в зависимости от температуры наружного воздуха), расходы энергии на собственные нужды, капитальные затраты на оборудование, тарифы на отпускаемую тепловую и электрическую энергию, цена топлива и его доступность, а также требования по обеспечению надежности производства электрической и тепловой энергии.

Выводы

газотурбинная установка реконструкция эффективность

- Реконструкция и модернизация ГПА должна быть направлена на повышение использования установленной мощности в течение всего календарного года. С этой целью экономичность реконструируемого или модернизируемого оборудования должна быть не ниже экономичности существующих мощных энергоблоков.

Реконструкция ГПА с надстройкой паротурбинными установками наиболее целесообразна по схеме с котлами-утилизаторами, работающими либо на общестанционную магистраль, либо с выделением паротурбинного оборудования в блочную (дубль-блочную) схему. При расчете котлов-утилизаторов и выборе единичной мощности ГТУ необходимо учитывать, что система регенерации паровой турбины отключается и расход острого пара снижается на 20-25% по сравнению с режимом работы по паротурбинному циклу.

Параметры газов за газовой турбиной должны обеспечивать сохранение параметров пара перед паровой турбиной во всем диапазоне нагрузок и температур наружного воздуха, в противном случае необходим дожиг в котле-утилизаторе или перевод паротурбинной части на скользящие параметры (такой вариант возможен только при блочной или дубль-блочной реконструкции станции). При этом эффективность работы оборудования снижается.


Не нашли материал для своей работы?
Поможем написать уникальную работу
Без плагиата!
Без нейросетей!