Реализации информационной подсистемы 'Advancement'

  • Вид работы:
    Дипломная (ВКР)
  • Предмет:
    Информационное обеспечение, программирование
  • Язык:
    Русский
    ,
    Формат файла:
    MS Word
    2,02 Mb
  • Опубликовано:
    2011-07-01
Вы можете узнать стоимость помощи в написании студенческой работы.
Помощь в написании работы, которую точно примут!

Реализации информационной подсистемы 'Advancement'

ВВЕДЕНИЕ

Актуальность темы дипломного проекта обусловлена тем, что в работе информационной подсистемы МОУ СОШ №4 (с. Красное Грачевского муниципального района Ставропольского края) выявлены следующие проблемные ситуации:

-     база данных учета успеваемости обучаемых ведется в форме бумажных документов, которые заполняются от руки;

-        работа с документом «Сводная ведомость» не автоматизирована и выполняется вручную;

         ежемесячно, на формировании отчетов об успеваемости обучаемых секретарь учебной части МОУ СОШ №4 вынужден затрачивать дополнительно порядка 60 часов в месяц на ручную выборку сведений из базы данных, реализованной на бумажных носителях.

Пояснительной записка дипломного проекта состоит из введения, пяти разделов основной части пояснительной записки, заключения, списка источников и приложений.

В первом разделе пояснительной записки проводится результаты предпроектного обследования МОУ СОШ №4 (с. Красное Грачевского муниципального района Ставропольского края). Выявляются проблемные ситуации в работе информационной подсистемы этого учебного заведения и формулируются задачи проектирования.

Во втором разделе пояснительной записки рассмотрены вопросы реализации информационной подсистемы «Advancement». При разработке базы данных этой информационной подсистемы использовалось CASE-средство ERwin 4.0, а приложение баз данных было реализовано в среде Borland Delphi 7.

В третьем разделе пояснительной записки рассматриваются вопросы информационного и программного обеспечения разработки, а также обоснованы требования к техническому обеспечению, гарантирующие нормальную работу разработанной информационной подсистемы «Advancement». Приводятся результаты тестирования программного продукта.

В четвертом разделе проведено технико-экономическое обоснование проекта. Рассчитаны показатели экономической эффективности его использования в условиях МОУ СОШ №4.

В заключении подведены основные итоги дипломного проектирования и намечены перспективные направления дальнейшего развития его темы.

Библиографический список содержит список из 23 источников информации.

В приложениях к пояснительной записке представлены формы документов, SQL-скрипт создания базы данных информационной подсистемы «Advancement» и листинги основных модулей проекта Delphi.

1. РЕЗУЛЬТАТЫ ПРЕДПРОЕКТНОГО ОБСЛЕДОВАНИЯ МОУ СОШ №4.

 

Формулировка задач проектирования


1.1 Результаты предпроектного обследования МОУ СОШ №4

1.1.1 Объект и методы проведения предпроектного обследования

В рамках темы дипломного проекта объектами обследования являются:

-     МОУ СОШ №4;

-        виды деятельности и цели функционирования МОУ СОШ №4;

-        организационная структура МОУ СОШ №4;

         совокупность организационных, технических, программных и информационных средств, объединенных в единую систему с целью сбора, хранения, обработки и выдачи необходимой информации, предназначенной для учета успеваемости учеников в МОУ СОШ №4;

         проблемные ситуации, связанные с учетом успеваемости учеников в МОУ СОШ №4.

Основными целями выполнения предпроектного обследования являются:

-     выявление основных параметров предметной области связанных с учетом успеваемости учеников в МОУ СОШ №4;

-        установление условий, в которых будет функционировать проект информационной подсистемы;

         выявление стоимостных и временных ограничений на процесс проектирования информационной подсистемы.

Характеристики методов проведения обследования приведены в таблице 1.1.

Таблица 1.1 - Методы организации проведения обследования

Критерии классификации методов организации проведения обследования

Выбранный метод

1

2

По цели проектирования

Локальное обследование

По числу исполнителей

Индивидуальное обследование

По степени охвата объекта

Сплошное обследование

По отношению к этапам

Последовательное обследование


Характеристика методов сбора материалов обследования, использованных в ходе преддипломной практики, представлена в таблице 1.2.

Таблица 1.2 - Характеристика методов сбора материалов обследования

Название методов сбора материалов обследования

Характеристика методов

Силами исполнителей

Метод анализа операций

По числу исполнителей

Личное наблюдение

По степени охвата объекта

Беседы и консультации с директором, главным бухгалтером и заведующим складом

По отношению к этапам

Опрос перечисленных должностных лиц на рабочих местах


1.1.2 Программа проведения обследования

Программа обследования МОУ СОШ №4 представлена в таблице 1.3.

План-график выполнения работ на стадии сбора материалов обследования представлен в таблице 1.4.

Таблица 1.3 - Программа обследования МОУ СОШ №4

Наименование вопроса

Источник информации

Получатель информации

1

2

3

Общие сведения

Директор

Проектировщик Цейс Д. В.

Виды деятельности

Аналогично

Аналогично

Организационная структура

Аналогично

Аналогично

Цели функционирования

Аналогично

Аналогично

Документооборот

Секретарь учебной части

Аналогично

Формы документов, используемых при учете успеваемости учеников

Секретарь учебной части

Проектировщик Цейс Д. В.

 

Порядок создания и хранения документации по учету успеваемости учеников

Аналогично

Аналогично

 

Профессиональный уровень подготовки секретаря учебной части в области информационных технологий

Аналогично

Аналогично.

 

Наличие средств вычислительной техники и программного обеспечения

Аналогично

Аналогично

 

Характеристики существующей информационной системы, используемой для учета успеваемости учеников

Аналогично

Аналогично

 

Особенности работы секретаря учебной части

Аналогично

Аналогично

 

Технологии, методы и технические средства преобразования информации при учете успеваемости учеников

Аналогично

Аналогично

 

Проблемные ситуации в работе существующей информационной системы, используемой для учета успеваемости учеников

Аналогично

Аналогично

 


Таблица 1.4 - План-график выполнения работ на стадии сбора материалов обследования

Наименование вопроса

Код работы

Исполнитель

Дата начала

Кол-во дней

Дата окончания

1

2

3

4

5

6

Общие сведения

001

Проектировщик Цейс Д. В.

10.01.11

5

15.01.11

Виды деятельности

002

Аналогично

15.01.11

5

20.01.11

Организационная структура

003

Аналогично

20.01.11

5

25.01.11

Цели функционирования

004

Аналогично

25.01.11

6

31.01.11

Документооборот

005

Аналогично

01.02.11

5

06.02.11

Формы документов, используемых при учете успеваемости учеников

006

Проектировщик Цейс Д. В.

06.02.11

4

10.02.11

Порядок создания и хранения документации по учету успеваемости учеников

007

Аналогично

10.02.11

2

12.02.11

Профессиональный уровень подготовки секретаря учебной части в области информационных технологий

008

Аналогично

12.02.11

2

14.02.11

Наличие средств вычислительной техники и программного обеспечения

009

Аналогично

14.02.11

1

15.02.11

Характеристики существующей информационной системы, используемой для учета успеваемости учеников

010

Аналогично

15.02.11

5

20.02.11

Особенности работы секретаря учебной части

011

Аналогично

20.02.11

5

25.02.11

Технологии, методы и технические средства преобразования информации при учете успеваемости учеников

012

Аналогично

25.02.11

3

28.02.11

Проблемные ситуации в работе существующей информационной системы, используемой для учета успеваемости учеников

013

Аналогично

28.02.11

8

06.03.11

Всего затрачено дней

55



1.1.3 Результаты предпроектного обследования и их анализ

Общая характеристика МОУ СОШ №4. Полное фирменное наименование учреждения на русском языке - Муниципальное общеобразовательное учреждение «Средняя общеобразовательная школа №4» с. Красное, Грачевского муниципального района Ставропольского края.

Сокращенное фирменное наименование учреждения на русском языке − МОУ СОШ №4, с. Красное.

Место нахождения МОУ СОШ №4 (далее по тексту Учреждения): Ставропольский край, Грачевский район, село Красное, улица Красная, 56.

Реквизиты Учреждения:

-   ИИН: 2606008185;

-      КПП: 260601001;

-      ОКАТО: 7217807001;

-      ОКПО: 2643515;

-      ОГРН: 1032601681023;

-      ОКОГУ: 49007;

-      ОКВЭД: 80.21.2.

Учреждение было создано 20.08.1974 года. Учреждение обладает лицензией на право образовательной деятельности А №227 327 регистрационный номер 17 от 06.06.2008 г.

Учреждение имеет свидетельство о государственной аккредитации № АА 006786 регистрационный номер 6 от 20.01. 2011 г.

Основным видом деятельности Учреждения является предоставление обучаемым образовательных услуг по программам начального общего, основного общего, среднего (полного) общего образования, с учетом потребностей и возможностей личности. Общеобразовательные программы в школе осваиваются в очно-заочной, вечерней, заочных формах, в форме интерната и в форме семейного образования.

Дополнительные виды деятельности отсутствуют. В школе работают кружки:

-     живописи;

-        народных промыслов;

         обучению игре на музыкальных инструментах;

         кройки и шитья;

         вязания.

Также в школе работают спортивные секции:

-     футбол;

-        баскетбол;

         волейбол;

         физкультурно-оздоровительной направленности.

Основной целью деятельности МОУ СОШ №4 являются предоставление обучаемым качественного образования и расширение перечня образовательных услуг.

В организационной структуре Учреждения можно выделить три уровня управления (рисунок 1.1):

-     стратегический уровень управления;

-        тактический уровень управления;

         оперативный уровень управления

Таким образом, в организационной структуре Учреждения реализовано сочетание принципов единоначалия с демократичностью школьного уклада.

Базовыми ценностями демократического уклада школьной жизни являются: равенство возможностей для получения качественного образования учащимися школы, свобода выбора, терпимость, вовлечение в управление всех участников образовательного процесса.

Деятельность всех органов самоуправления школы регламентирована локальными актами и зафиксирована в Уставе школы. Все глобальные вопросы решаются с привлечением всех участников учебно-воспитательного процесса.

Рисунок 1.1 - Организационная структура МОУ СОШ №4

Как видно из рисунка 1.1 руководство Учреждением осуществляет директор. Ему подчиняется весь персонал Учреждения. Директор осуществляет общее руководство деятельностью Учреждения и несет ответственность за выполнение задач, непосредственно входящих в его обязанности.

Директор Учреждения в своей деятельности опирается на решения общешкольной родительской конференции, которая представляет собой объединение членов классных родительских комитетов, деятельность, которой направлена на содействие педагогическому коллективу учителей школы, администрации школы в организации сотрудничества семьи и школы.

Председателем конференции является директор школы или его заместители. Общешкольная родительская конференция имеет право:

-     принимать решение в обсуждении важных вопросов, касающихся улучшения учебно-воспитательного процесса в школе;

-        выдвигать и принимать решение по изменению Устава школы, правил для обучающихся и другие локальные акты, касающиеся учебно-воспитательного процесса;

         выбирать общешкольный родительский комитет сроком на один год;

         заслушивать отчеты общешкольного родительского комитета о проделанной работе и действиях в решении вопросов, обсуждаемых на общешкольных родительских конференциях;

         представлять интересы родителей класса.

Общешкольный родительский комитет школы - это объединение родителей, деятельность которых направлена на всемерное содействие педагогическому коллективу учителей, администрации в организации сотрудничества семьи и школы на благо учащихся школы. В общешкольный родительский комитет избираются родители любого ученика школы по их желанию и предложению членов общешкольной родительской конференции. Члены общешкольного родительского комитета участвуют в заседаниях педагогического совета, встречах с администрацией и т. д.

Общешкольный родительский комитет обязан помогать учителям в налаживании контакта с коллективом родителей, вовлекать родителей в совместную деятельность с детьми, влиять на формирование культуры родительского общения, быть посредником между семьей, школой, общественными организациями в трудных жизненных ситуациях, выступать с инициативами и предложениями по улучшению учебно-воспитательного процесса в школе.

Общешкольный родительский комитет имеет право:

-     посещать в месте с классным руководителем обучающихся на дому;

-        присутствовать на уроках и внеклассных мероприятиях;

         принимать совместно с учителями определенные меры воздействия к тем родителям, которые не занимаются воспитанием своих детей;

         проводить беседы с проблемными обучающимися;

         высказывать свое мнение о проводимых в школе мероприятиях;

         привлекать в случае необходимости различного рода специалистов для решения проблем семьи;

         помогать в ремонте и оформлении школы;

         вносить изменения в Устав школы, Правила для обучающихся через общешкольную родительскую конференцию.

Методический совет является органом, координирующим и контролирующим работу МО, объединяющих учителей различных специальностей и классных воспитателей, а также работу творческих лабораторий.

Методический совет организует работу по разработке программы развития школы, участвует в отслеживании результатов работы по новым программам и УМК.

В своей работе методический совет ориентируется на реализацию научно-методической темы школы.

Методический совет рассматривает на своих заседаниях актуальные проблемы, от которых зависит эффективность и результативность обучения и воспитания обучающихся школы.

Методический совет рассматривает инновации, нововведения предоставляемые МО учителей и творческими лабораториями.

Методический совет готовит и проводит внутришкольные семинары, педчтения, конкурсы «Учитель года».

Методический совет определяет деятельность педколлектива по повышению квалификации и аттестации педагогических кадров.

Методический совет рассматривает и утверждает материалы для государственной итоговой аттестации.

Цели деятельности Учреждения. Выбор того или иного класса целей зависит от характера решаемой проблемы. Большинство проблем являются краткосрочными, оперативными. Цели решения этих проблем должны быть конкретными, вполне определёнными и, следовательно, конечными.

Рассмотрим главную цель и составляющие ее подцели первого уровня.

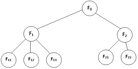
Главная цель Учреждения - предоставление обучаемым качественного образования и расширение перечня образовательных услуг. Обозначим ее через F0.

Так как, главная цель F0 достигается через достижение всех составляющих ее подцелей, то для более детального анализа построим таблицу компонент дерева подцелей (таблица 1.6).

Таблица 1.6 - Компоненты дерева подцелей

Код подцели

Наименование подцели

F1

Создание оптимальных условий для получения обучаемыми качественного образования

F2

Расширение перечня образовательных услуг

F11

Совершенствование учебно-методического обеспечения учебного процесса

F12

Создание хороших условий работы преподавательского состава

F13

Повышение квалификации преподавательского состава

F21

Формирование перспективного плана расширения перечня образовательных услуг

F22

Реализация учебно-методического обеспечения учебного процесса для расширения перечня образовательных услуг


На основании данных таблицы построим дерево целей деятельности Учреждения (рисунок 1.2).

Рисунок 1.2 - Дерево целей деятельности Учреждения

Наиболее важные документы, составляющие документооборот Учреждения и связанные с учетом успеваемости учеников, представлены в таблице 1.5.

Таблица 1. 5 - Документооборот Учреждения и связанные с учетом успеваемости учеников

Документ

Кто составляет документ

Кто использует документ

Периодичность составления

Сводная ведомость (за четверть)

Учитель-предметник

Зам. директора по учебно-воспитательной работе (УВР) Секретарь учебной части

По учебным четвертям

Сводная ведомость (годовая)

Учитель-предметник

Зам. директора по УВР Директор Секретарь учебной части

По факту окончания учебного года


Из средств вычислительной техники в учебной части Учреждения используются:

-   два персональных компьютера одинаковой комплектации Intel (R) Celeron (R) c тактовой частотой 3,4 ГГц и объемом ОЗУ 2 Гбайт;

-      LCD мониторы 17" - две штуки;

-      лазерные принтеры HP LaserJet 1010, LaserJet 1015 и др. - две шт.

Указанные персональные компьютеры подключены через концентратор к локальной вычислительной сети Учреждения на основе сетевой технологии Ethernet (рисунок 1.3).

На компьютерах установлена операционная система Windows XP Professional SP 3 и офисное приложение Microsoft Office 2003 стандартной комплектации (Word, Excel и др.).

Кроме этого, на этом компьютерах установлено разнообразное прикладное программное обеспечение, в том числе:

-     архиватор WinRAR;

-        антивирусное средство AVP KasperskyLab и др. антивирусы;

         программа «Колледж+» (для составления расписания уроков, экзаменов, расчет загруженности преподавателей и кабинетов);

         и др. программное обеспечение.

1.1.4 Анализ проблемных ситуаций и обоснование путей их решения

В работе информационной подсистемы МОУ СОШ №4 выявлены следующие проблемные ситуации:

-     база данных учета успеваемости учеников ведется в форме бумажных документов, которые заполняются от руки;

-        работа с документом «Сводная ведомость» не автоматизирована и выполняется вручную, т. е. эту ведомость распечатывают на принтере и учитель-предметник заполняет её от руки - выставляет оценки по предметам за четверть и подсчитывает количество двоек, троек, четверок и пятерок. Учитель-предметник проставляет также в ведомости количество пропущенных часов по уважительным и неуважительным причинам и вычисляет их общее суммирующее количество. Далее заполненная ведомость передается по схеме документооборота (рисунок 1.2) для утверждения руководством Учреждения. В конечном итоге, ведомость остается у секретаря учебной части Учреждения, который хранит её и формирует на основе данных ведомости соответствующие отчеты;

         ежемесячно, на формировании отчетов об успеваемости учеников секретарь учебной части Учреждения вынужден затрачивать дополнительно порядка 30 часов в месяц на ручную выборку сведений из базы данных, реализованной на бумажных носителях.

Анализ перечисленных проблемных ситуаций показывает, что их можно разрешить, если разработать информационную подсистему, позволяющую автоматизировать учет успеваемости учеников в МОУ СОШ №4. По требованию заказчика (директора Учреждения) такую информационную подсистему необходимо реализовать в виде приложения баз данных на платформе Microsoft Windows.

В качестве администратора проектируемой информационной подсистемы выступает секретарь учебной части Учреждения. Проведенное выше рассмотрение позволяет перейти к формулировке задач проектирования.

1.2 Формулировка задач проектирования

Формулировка задач проектирования представим в виде технического задание на создание автоматизированной информационной подсистемы.

1.2.1 Общие сведения о проекте

Полное наименование подсистемы - информационная подсистема учета успеваемости учеников МОУ СОШ №4.

Код системы - «Advancement».

Наименование организации разработчика - СевКавГТУ, факультет ИТТ, кафедра прикладной информатики, студент группы ПИ-061 Цейс Денис Владимирович.

Наименование организации заказчика - МОУ СОШ №4, с. Красное Грачевского муниципального района Ставропольского края.

Перечень документов, на основе которых создается система:

-     отчет о преддипломной практике студента группы ПИ-061 Цейс Дениса Владимировича;

-        образец документа «Сводная ведомость» (приложение А).

Источники финансирования - работы проводятся без оплаты.

Порядок оформления и предъявления заказчику результатов работ по созданию системы - информационная подсистема «Advancement», реализованная в виде приложения Microsoft Windows в электронном формате на CD-ROM.

1.2.2 Назначение, цели создания информационной подсистемы

Назначение системы - автоматизация учета успеваемости учеников в МОУ СОШ №4.

Цели создание системы:

-     сокращение временных затрат секретаря учебной части Учреждения на формирование отчетов по результатам учета успеваемости учеников;

-        переход от базы данных учета успеваемости учеников на бумажных носителях к приложению баз данных на платформе Microsoft Windows.

1.2.3 Характеристика объекта автоматизации

Краткие сведения об объекте автоматизации - рабочее место секретаря учебной части Учреждения.

Условия эксплуатации - стандартные.

Характеристика окружающей среды - рабочий кабинет секретаря учебной части Учреждения.

1.2.4 Требования к подсистеме

Требования к системе в целом - информационная подсистема «Advancement» должна автоматизировать решение задач учета успеваемости учеников в МОУ СОШ №4.

Требования к функциям (задачам), выполняемым информационной подсистемой «Advancement»:

1.  Ведение электронной картотеки (базы данных) учета успеваемости учеников.

2.      Автоматизированное формирование, просмотр и печать следующих отчетов:

-     результаты успеваемости с группировкой по предметам;

-        сводная ведомость (за четверть);

-     сводная ведомость (годовая);

-        список групп по формам обучения;

         список обучающихся в группе.

3.  Работу со справочниками.

4.      Смену пароля администратора информационной подсистемы.

Перечисленные выше требования, предъявляемые к информационной подсистеме «Advancement» со стороны заказчика, можно представить в виде следующей диаграммы вариантов использования [3, 4] (рисунок 1.4).

1.2.5 Состав и содержание работ по созданию подсистемы

Запланирован следующий состав и содержание работ по созданию информационной подсистемы:

-     изучение предметной области - с 25 января по 07 марта 2011 г.;

-        кодирование - с 23 марта по 01 мая 2011 г.;

         сдача темы - с 20 по 25 мая 2011 г.

1.2.6 Порядок контроля приемки подсистемы

Контроль приемки подсистемы осуществляет комиссия, назначаемая директором МОУ СОШ №4.

1.2.7 Требования к составу и содержанию работ по подготовке объекта автоматизации к вводу подсистемы в действие

Информационная подсистема «Advancement» должна быть установлена на компьютер, находящийся на рабочем месте секретаря учебной части Учреждения. Проектировщиком - студентом группы ПИ-061 Цейс Денисом Владимировичем должен быть проведен инструктаж секретаря учебной части по методике работы с информационной подсистемой.

.2.8 Требования к документированию

Проектировщиком представляется файл информационной подсистемы «Advancement» в электронном формате на CD-ROM вместе с результатами тестирования и краткой инструкцией оператору по установке и работе с информационной подсистемой.

1.2.9 Источники разработки

Источниками разработки являются:

-     заказ на разработку информационной подсистемы «Advancement»;

-        отчет о преддипломной практике студента группы ПИ-062 Цейс Дениса Владимировича;

-     образец документа «Сводная ведомость» (приложение А).

 


Выводы

1. В работе информационной подсистемы МОУ СОШ №4 (с. Красное Грачевского муниципального района Ставропольского края) выявлены следующие проблемные ситуации:

-     база данных учета успеваемости обучаемых ведется в форме бумажных документов, которые заполняются от руки;

-        работа с документом «Сводная ведомость» не автоматизирована и выполняется вручную;

         ежемесячно, на формировании отчетов об успеваемости обучаемых заместитель директора по УВР вынужден затрачивать дополнительно порядка 60 часов в месяц на ручную выборку сведений из базы данных, реализованной на бумажных носителях.

. Анализ перечисленных проблемных ситуаций показывает, что их можно разрешить если разработать информационную подсистему, позволяющую автоматизировать учет успеваемости обучаемых в заместителя директора по УВР МОУ СОШ №4. По требованию заказчика (директора МОУ СОШ №4) такую информационную подсистему необходимо реализовать в виде приложения баз данных на платформе Microsoft Windows.

. В качестве администратора проектируемой информационной подсистемы выступает заместителя директора по УВР МОУ СОШ №4.

2. Реализация Информационной подсистемы «Advancement»

.1 Обоснование выбора среды разработки информационной подсистемы

Методология разработки информационных систем, основанная на использовании средств быстрой разработки Windows-приложений, получила в последнее время широкое распространение и приобрела название методологии быстрой разработки приложений - RAD (Rapid Application Development). Эта методология охватывает все этапы жизненного цикла современных информационных систем и подсистем [3 − 5].

Применение принципов объектно-ориентированного программирования позволило создать принципиально новые средства проектирования Windows-приложений, называемые средствами визуального программирования. Визуальные инструменты RAD позволяют создавать сложные графические интерфейсы пользователя вообще без написания кода программы. При этом разработчик может на любом этапе наблюдать то, что закладывается в основу принимаемых решений.

В настоящее время существует довольно много различных визуальных средств разработки приложений: Borland Delphi 6, Borland Delphi 7, Borland C++ Builder 6, Borland Java Builder, Borland Developer Studio 2006, Microsoft Visual Studio 2005, 2008 и др.

Визуальные инструменты RAD позволяют максимально сблизить этапы создания информационных систем: анализ исходных условий, проектирование системы, разработка прототипов и окончательное формирование приложений становятся сходными, так как на каждом этапе разработчики оперируют визуальными объектами.

Учитывая опыт работы разработчика и наличие лицензионной версии указанного программного продукта, для разработки информационной подсистемы «Advancement» была выбран инструмент Borland Delphi 7. Достоинствами этого инструменты RAD являются:

-     высокое качество визуальной среды разработки;

-        скорость работы компилятора и быстродействие откомпилированных программ;

         мощность языка программирования и его сложность;

         гибкость и масштабируемость архитектуры баз данных;

         поддержка средой разработки шаблонов проектирования и использования обширной библиотеки визуальных компонентов.

2.2 Создание логической модели базы данных информационной подсистемы «Advancement»

При создании логической модели базы данных информационной подсистемы «Advancement» будем использовать CASE-средство ERwin.

2.2.1 Создание шаблона модели базы данных информационной

Шаг 1. Запустим программу ERwin. На экране появится первое диалоговое окно программы (рисунок 2.1).

Рисунок 2.1 - Первое диалоговое окно программы Erwin

Установим радиокнопку в положение «Create a new model» (рисунок 2.1) и нажмем кнопку ОК.

Шаг 2. Откроется второе диалоговое окно программы (рисунок 2.2). Выберем тип создаваемой модели Logical/Physical и целевой сервер базы данных (БД) Paradox, зададим версию Paradox 7.x и нажмем кнопку ОК (см. рисунок 2.2).

Рисунок 2.2 - Второе диалоговое окно программы ERwin

Шаг 3. Откроется основное окно программы ERwin (рисунок 2.3). Сохраним проект под именем «Advancement».

2.2.2 Определение сущностей модели базы данных информационной подсистемы «Advancement»

Для построения логической модели данных определим набор сущностей. На основе анализа предметной области выделим следующие 10 сущностей (таблица 2.1).

Для внесения указанных сущностей в логическую модель базы данных информационной подсистемы «Advancement» в ERwin выполним следующие шаги:

. Откроем проект ERwin с именем «Advancement».

. Используя инструмент «Entity» («Сущность»), расположенный на панели инструментов ERwin (рисунок 2.4), внесем в область модели 10 сущностей, перечисленные в таблице 2.1.

Рисунок 2.3 - Основное окно программы ERwin

Таблица 2.1 - Перечень сущностей предметной области

Идентификатор сущности

Назначение сущности

FORMINSTRUCTION

Справочник «Форма обучения»

SPECIALTY

Справочник «Специализация»

GROUP

Справочник «Группа»

LISTSTUDENTSGROUP

Список учеников группы

DISCIPLINE

Справочник «Учебная дисциплина»

STUDENTDISCIPLINE

Учебные дисциплины, изучаемые школьником

CALCULATION

Учет успеваемости по дисциплинам, изучаемым учеником

ABSENCE

Учет пропусков по дисциплинам, изучаемым учеником

MARK

Справочник «Оценка»

PASSWORD

Пароль пользователя информационной подсистемы

Рисунок 2.4 - Инструмент «Entity» («Сущность»)

Результаты внесения указанных сущностей в логическую модель базы данных информационной подсистемы «Advancement» в ERwin представлены на рисунке 2.5.

Рисунок 2.5 - В область модели внесены 10 сущностей

2.2.3 Определение атрибутов сущностей базы данных информационной подсистемы «Advancement»

После того как определены сущности, следующим шагом в разработке логической модели базы данных «Advancement» в ERwin, является определение атрибутов этих сущностей. Перечень указанных выше сущностей, их атрибутов и характеристик атрибутов приведен в таблице 2.2.

Таблица 2.2 - Атрибуты сущностей, входящие в базу данных

Сущность

Атрибут

Ключ

Тип

Назначение

1

2

3

4

5

FORMINSTRUCTION

FormInstructionID

Число

Код формы обучения


FName

Нет

Строка

Форма обучения

SPECIALTY

SpecialtyID

Число

Код специальности


SName

Нет

Строка

Специальность

GROUP

GroupID

Число

Код группы


FormInstructionID

FK

Число

Код формы обучения


SpecialtyID

FK

Число

Код специализации

GROUP

GName

Нет

Строка

Название группы

LISTSTUDENTSGROUP

ListStudentsGroupID

Число

Код записи


GroupID

FK

Число

Код группы


LStudentFIO

Нет

Строка

Фамилия и инициалы ученика

DISCIPLINE

DisciplineID

Число

Код учебной дисциплины


DName

FK

Число

Учебная дисциплина

STUDENTDISCIPLINE

StudentDisciplineID

Число

Код записи


ListStudentsGroupID

FK

Число

Код записи в таблице LISTSTUDENTSGROUP


DisciplineID

FK

Число

Код учебной дисциплины

MARK

MarkID

Число

Код оценки


MName

Нет

Строка

Оценка

CALCULATION

CalculationID

Число

Код записи


StudentDisciplineID

FK

Число

Код записи в таблице STUDENTDISCIPLINE


CDate

Нет

Дата/Время

Дата


MarkID

FK

Число

Код оценки

ABSENCE

AbsenceID

Число

Код записи


StudentDisciplineID

Число

Код записи в таблице STUDENTDISCIPLINE


ADate

Нет

Дата/Время

Дата


ACountHour

Нет

Число

Количество часов


AValidReason

Нет

Логический

Уважительная причина пропуска


ABase

Нет

Строка

Основание для пропуска

PASSWORD

PasswordID

Число

Пароль

В таблице 2.2 символом  обозначается первичный ключ сущности, а сочетанием символов  FK обозначается внешний ключ сущности.

2.2.4 Определение связей между сущностями базы данных информационной подсистемы «Advancement»

Анализ данных таблицы 2.2 позволяет сделать вывод о том, что в логической модели базы данных «Advancement» имеются родительские и дочерние сущности. Более подробные сведенья о взаимосвязи дочерних и родительских сущностей приведены в таблице 2.3.

Таблица 2.3 - Данные о взаимосвязи сущностей базы данных информационной подсистемы «Advancement»

Дочерняя сущность

Наследуемый (внешний) ключ

Родительская сущность

Тип связи

Кратность связи

GROUP

FormInstructionID

FORMINSTRUCTION

Неидентифицирующая

1:N


SpecialtyID

SPECIALTY

Аналогично

1:N

LISTSTUDENTSGROUP

GroupID

GROUP

Аналогично

1:N

STUDENTDISCIPLINE

ListStudentsGroupID

LISTSTUDENTSGROUP

Аналогично

1:N


DisciplineID

DISCIPLINE

Аналогично

1:N

CALCULATION

StudentDisciplineID

STUDENTDISCIPLINE

Аналогично

1:N

ABSENCE

StudentDisciplineID

STUDENTDISCIPLINE

Аналогично

1:N


Из анализа таблицы 2.3 можно сделать следующие выводы:

1.   Количество зависимых сущностей - пять (GROUP , LISTSTUDENTSGROUP, STUDENTDISCIPLINE, CALCULATION и ABSENCE).

2.      Количество неидентифицирующих связей между сущностями - семь.

.        Кратность связей в рассмотренных случаях составляет 1:N (один-ко-многим).

Пользуясь данными таблицы 2.3, установим связи между сущностями логической модели базы данных информационной подсистемы «Advancement» в ERwin. Для установления связей будем использовать палитру инструментов ERwin, представленную на рисунке 2.6.

Рисунок 2.6 - Палитра инструментов ERwin, используемая для установления связей между сущностями

В результате логическая модель базы данных информационной подсистемы «Advancement» в ERwin примет вид, представленный на рисунке 2.7.

Рисунок 2.7 - Логическая модель базы данных информационной подсистемы «Advancement» после внесения связей между сущностями

При помощи редактора связей зададим параметры связей между перечисленными в таблице 2.2 сущностями (рисунок 2.8).

Рисунок 2.8 - Панель диалога редактора связей

Для задания первичных ключей и атрибутов используем редактор атрибутов. Перейдем в него, воспользовавшись всплывающим меню, представленным на рисунке 2.9. Панель диалога этого редактора изображена на рисунке 2.10.

Рисунок 2.9 - Выбор опции «Attributes…» контекстного меню сущности AGREEMENT

Рисунок 2.10 - Диалоговое окно «Attributes» сущности AGREEMENT

2.2.5 Ввод атрибутов и задание первичных ключей сущностей базы данных информационной подсистемы «Advancement»

Действуя аналогичным образом, осуществим ввод атрибутов и задание первичных ключей всех оставшихся сущностей модели базы данных информационной подсистемы «Advancement» в ERwin.

На этом процесс создания логической модели завершается, а сама модель приобретает вид, представленный на рисунке 2.11.

2.2.6 Создание физической модели базы данных информационной подсистемы «Advancement»

Для создания физической модели базы данных воспользуемся пунктом меню Logical | Physical ERwin и редактором колонок. После того как будут выполнены все действия, физическая модель приобретет вид, показанный на рисунке 2.12.

Рисунок 2.11 - Логическая модель базы данных информационной подсистемы «Advancement»

2.2.7 Генерирование SQL-сценария создания базы данных информационной подсистемы «Advancement» в ERwin

Вносить изменения в шаблоны триггеров и хранимых процедур в рассматриваемом случае нет необходимости.

Физическая схема базы данных генерируется на основе логической схемы и набора установок, определяющих, какие элементы должны войти в схему БД. Эти установки зададим в диалоговом окне генератора схем (рисунок 2.13).

Рисунок 2.12 - Физическая модель базы данных информационной подсистемы «Advancement»

 

Рисунок 2.13 - Диалог генератора физической схемы БД

Вызовем редактор фильтра таблиц и выберем таблицы (сущности), которые должны войти в схему (рисунок 2.14).

 

Рисунок 2.14 - Диалоговое окно фильтра таблиц

Осуществим просмотр сгенерированного SQL-сценария создания базы данных. Диалог содержит стандартное текстовое окно и набор кнопок для редактирования, просмотра и печати текста сценария (рисунок 2.15).

Рисунок 2.15 - Окно предварительного просмотра сценария

Полученный сценарий сохраним в файле. Для сохранения SQL-сценария в текстовом файле нажмем кнопку с пиктограммой  (рисунок 2.15). Текст файла сгенерированного SQL-сценария создания базы данных в ERwin приведен в приложении В.

Нажмем кнопку «Generate» (Генерировать) и вызовем в диалог генерации системного каталога базы данных. Кнопка «Generate» запускает процесс генерации «физической» схемы базы данных. В диалоге связи с БД (рисунок 2.16) введем имя пользователя (login) и пароль (password). В выпадающем списке «Database» выберем имя базы данных.

Рисунок 2.16 - Диалог связи с БД

После нажатия кнопки «Connect» (подключиться) появится диалог «Generate Database Schema» (генерация схемы базы данных). Для продолжения процесса генерации нажмем кнопку «Continue».

После окончания процесса генерации базы данных раскроем содержимое папки C:\Advancement_Database (рисунок 2.17). Как видно из рисунка 2.17, ERwin сгенерировал набор файлов базы данных информационной подсистемы «Advancement» характерный для типа таблиц Paradox.

Запустим утилиту Database Desktop и откорректируем, по необходимости, типы полей таблиц базы данных, сгенерированных ERwin с учетом их фактического типа и размера (рисунки 2.18 - 2.20). Как видно из рисунков 2.18 - 2.20, структура все таблиц, сгенерированных ERwin, соответствует логической и физической схемам данных информационной подсистемы «Advancement».

Рисунок 2.18 - Структура таблицы GROUP.DB

Рисунок 2.19 - Структура таблицы LISTSTUDENTSGROUP.DB

Рисунок 2.20 - Структура таблицы MASTER.DB

После генерации базы данных наша работа в среде ERwin может считаться завершенной. Перейдем к реализации клиентской части информационной подсистемы «Advancement» в средстве RAD Borland Delphi 7.

2.3 Создание проекта и модулей Borland Delphi 7 для реализации информационной подсистемы «Advancement»

Подготовим папку, в которой будут храниться файл проекта, файлы модулей и другие файлы (например, файлы ресурсов и др.) проектируемого Windows-приложения.

Для этого откроем директорию C:\Program Files\Borland\Delphi7\Projects и создадим в ней папку с именем Advancement. Полный путь к папке Advancement выглядит так C:\Program Files\Borland\Delphi7\Work\Advancement. Папка Advancement будет содержать файлы проекта информационной подсистемы.

Как видно из рисунка 2.17, ERwin сгенерировал рабочий каталог создаваемого проекта в директории C:\Advancement_Database.

Запустим Delphi 7 стандартным способом [7]. После запуска Delphi 7 откроется диалоговое окно, которое на этапе разработки программы называется формой.

Сразу сохраним проект в подготовленной нами заранее папке C:\Program Files\Borland\Delphi7\Work\Advancement под именем Advancement, модуль формы Form1 под именем fmMainU, а саму форму под именем fmMain.

Прежде чем создавать остальные модули проекта, определимся с их назначением и количеством. Для этого воспользуемся диаграммой вариантов использования информационной подсистемы «Advancement» (рисунок 1.6).

Проведенный анализ диаграммы вариантов использования информационной подсистемы «Advancement» позволяет сделать вывод о том, что проектируемое Windows-приложение должно содержать следующие 23 модуля (таблица 2.4).

Таблица 2.4 - Названия и назначение модулей проекта

Название модуля

Назначение модуля

1

2

dmAdvancementU

Модуль данных для инкапсуляции наборов данных приложения

fmAboutBoxU

Cправка о программе и её авторе

fmAccountingU

Учет успеваемости

fmCalculationU

Вычисление итогов по успеваемости

fmDisciplineCheckListBoxU

Выбор дисциплин из списка

fmDisciplineSelectU

Выбор дисциплины

fmDisciplineU

Ввод и корректировка данных дисциплины

fmDisciplineWorkU

Ввод и корректировка данных справочника «Учебные дисциплины»

fmFormInstructionU

Ввод и корректировка данных справочника «Форма обучения»

fmGroupU

Ввод и корректировка данных справочника «Группа»

fmListingOfDisciplineCheckListBoxU

Выбор дисциплин из списка

fmListStudentsGroupU

Ввод и корректировка данных обучающегося

fmMainU

Главная форма

Выбор классного руководителя из списка

fmMasterU

Справочник «Учитель»

fmMasterWorkU

Ввод и корректировка данных справочника «Учитель»

fmQReportCalculationStudentU

Отчет «Результаты успеваемости с группировкой по предметам»

fmQReportGroupU

Отчет «Список групп по формам обучения»

fmQReportListStudentsGroupU

Отчет «Список учеников группы»

fmSpecialtyDisciplineU

Справочник «Специализация®Учебная дисциплина»

fmSpecialtyU

Справочник «Специализация»

fmSpecialtyWorkU

Ввод и корректировка данных справочника «Специализация»

fmStudentCheckListBoxU

Выбор учеников из списка


2.4 Реализация проекта Delphi

.4.1 Разработка главного меню

Поместим на форму fmMain компонент TMainMenu и сохраним его под именем MainMenu1. Двойным левым кликом на компоненте MainMenu1 откроем Menu Designer. Средствами Menu Designer создадим пункты и подпункты (подменю) главного меню.

В инспекторе объектов Delphi зададим свойства пунктов главного меню MainMenu1, как это показано на рисунке 2.26.

2.4.2 Разработка интерфейса главной формы

В инспекторе объектов зададим заголовок главной формы fmMainU:

Caption := Информационная подсистема учета успеваемости обучаемых.

Поместим на форму fmMain компонент TImage и сохраним его под именем Image1. В инспекторе объектов поместим в свойство Align этого объекта значение alClient.

В результате форма fmMainU принимает вид, представленный на рисунке 2.28.

Для дальнейшей реализации приложения необходимо создать псевдоним базы данных.

2.4.3 Создание псевдонима базы данных

С помощью команды Programs ►Borland Delphi 7 ► BDE Administrator запустим утилиту BDE Administrator. На вкладке Database открывшегося окна сделаем правый клик на узле Database и выберем команду New в контекстном меню.

Утилита предложит выбрать тип вновь создаваемого псевдонима Standard, предполагаемым по умолчанию. Согласимся с этим предложением. Изменим имя Standard1 на Advancement_Database.

Теперь перейдем на вкладку Definition и в пустом поле справа от свойства PATH введем путь доступа к файлам базы данных, сгенерированных ERwin: C:\Advancement_Database (рисунок 2.29).

Рисунок 2.29 - Окно утилиты BDE Administrator

Сделаем правый клик на вновь созданном псевдониме на вкладке Databases и выберем команду Apply в контекстном меню. В появившемся после этого диалоговом окне подтвердим необходимость запомнить вновь созданный псевдоним.

Как видно из рисунка 2.11, в программе понадобятся девять компонентов TTable и такое же количество компонентов TDataSource. Реализуя принцип инкапсуляции, разместим их в отдельном модуле данных.

2.4.4 Создание модуля данных

Выберем команду File ►New ►Other, чтобы открыть окно хранилища объектов и на вкладке New открывшегося окна сделаем двойной левый клик на значке Data Module. В свойство Name модуля данных поместим значение DM и сохраним модуль в файле dmAdvancementU. Свяжем модуль с проектом стандартными средствами Delphi.

Для связи таблиц с базой данных воспользуемся компонентом TDatabase на вкладке BDE палитры компонентов Delphi. Сохраним его под именем DB и зададим свойства этого объекта в инспекторе объектов, как показано на рисунке 2.30.

Теперь перенесем в модуль данных девять компонента TTable и такое же количество компонентов TDataSource (рисунок 2.31).

Рисунок 2.30 - Свойства объекта DB в инспекторе объектов

Рисунок 2.31 - Внешний вид модуля данных DM

Зададим свойства компонентов TTable в Инспекторе Объектов, как показано, например, на рисунке 2.32.

Рисунок 2.32 - Свойства компонентов TTable в инспекторе объектов

Как следует из логической модели данных информационной подсистемы «Advancement» (рисунок 2.11), наборы данных FORMINSTRUCTION.DB и GROUP.DB связаны отношением один ко многим. Чтобы наборы данных «знали» об этом и согласовано отображали данные их нужно предварительно подготовить. С этой целью перейдем на вкладку Diagram в окне кода модуля данных и с помощью мыши «перетащим» классическим способом Drag&Drop наборы FORMINSTRUCTION.DB и GROUP.DB из окна дерева объектов на вкладку Diagram (рисунок 2.33).

Рисунок 2.33 - Вкладка Diagram в окне кода модуля данных

Как видно из рисунка 2.33 между указанными наборами данных действительно существует связь один ко многим. Таким образом, модуль данных разработан корректно.

Перейдем к созданию модуля fmAccountingU, реализующему функцию учета обращений по трудоустройству, договоров с водителями и пр.

2.4.5 Создание модуля fmAccountingU

Создадим новый модуль и сохраним её под именем fmAccountingU. Разместим на форме этого модуля компонент TPageControl и сохраним его под именем PageControl1. Кроме указанного компонента PageControl, разместим на форме модуля fmAccountingU невизуальные компоненты TImageList, TMainMenu, TOpenDialog и TSaveDialog.

На вкладке «Обращения по трудоустройству» компонента PageControl разместим четыре компонента TPanel и сохраним их под именами Panel1, Panel2, ..., Panel4.

Поместим на панель Panel4 компонент TDBGrid для отображения данных, хранящихся в наборе данных DM.GROUP (список группы) и сохраним его под именем DBGrid1.

В инспекторе объектов Delphi зададим свойства компонента DBGrid1 как это показано на рисунке 2.34.

 

Рисунок 2.34 - Свойства компонента DBGrid1 в инспекторе объектов Delphi

Разместим на панели Panel3 компонент TDBNavigator. Сохраним этот компонент под именем DBNavigator1. В свойстве DataSource этого навигатора установим значение DM.dsJOBCALL, а в свойстве VisibleButtons − [nbFirst, nbPrior, nbNext, nbLast].

После выполнения всех перечисленных действий дерево объектов формы модуля fmAccountingU принимает вид, представленный на рисунке 2.35.

Рисунок 2.35 - Окончательный вид дерева объектов формы модуля fmAccountingU

Внешний вид формы модуля fmAccountingU в окне формы Delphi показан на рисунке 2.36 - 2.39.

Как видно из рисунков 2.36 - 2.39, интерфейс формы fmAccountingU содержит все данные, необходимые для автоматизации учета успеваемости обучаемых в МОУ СОШ №4 г. Ставрополь.

Модификация данных таблиц, размещенных на форме fmAccountingU, с помощью компонента DBGrid1 запрещена, для этого её свойство ReadOnly установлено в значение True.

Для модификации набора данных наборе данных DM.GROUP используются три кнопки TButton с названиями BitBtnGroupAdd (Добавить группу), BitBtnGroupEdit (Изменить группу) и BitBtnGroupDel (Удалить группу).

Код обработчика события нажатия на кнопку BitBtnGroupAdd (Добавить группу) приведен в листинге 2.1.

Рисунок 2.36 - Внешний вид вкладки «Специализация и классы» формы fmAccountingU

Рисунок 2.37 - Внешний вид вкладки «Список учеников класса» формы fmAccountingU

Рисунок 2.38 - Внешний вид вкладки «Оценки и пропуски занятий» формы fmAccountingU

Рисунок 2.39 - Внешний вид вкладки «Сводная ведомость» формы fmAccountingU

Листинг 2.1 - Код обработчика события нажатия на кнопку BitBtnGroupAdd

procedure TfmAccounting.BitBtnGroupAddClick(Sender: TObject);

if DM.FORMINSTRUCTION.RecordCount = 0 then begin

MessageDlg('Нет записи в главной таблице "Форма обучения"!' + #13#10 + 'Операция отменятся!',mtError,[mbOK],0);

Exit;

end

else begin

fmGroup:= TfmGroup.Create(nil);//программное создание формы

DM.GROUP.Append;

if fmGroup.ShowModal = mrOK then

DM.GROUP.Post

else

DM.GROUP.Cancel;

fmGroup.Free;//освобождаем ресурс

end;;

Таким образом, сначала в набор данных DM. GROUP добавляется новая запись DM.GROUP.Append, а потом в модальном режиме открывается форма fmGroup.ShowModal, позволяющая осуществлять ввод и корректировку записи о классе (рисунок 2.40).

Рисунок 2.40 - Внешний вид формы fmGroup

Как видно из рисунка 2.36, форма fmAccountingU содержит главное меню (рисунок 2.41). Код обработчиков события нажатия на кнопку с надписью «Список групп по формам обучения» приведен в листинге 2.2.

Рисунок 2.41 - Внешний вид главного меню формы fmAccounting

Листинг 2.2 - Код обработчика события нажатия на кнопку «Список групп по формам обучения»

procedure TfmAccounting.ListGroupClick(Sender: TObject);

fmQReportGroup:= TfmQReportGroup.Create(nil);//программное создание формы

fmQReportGroup.QuickRep1.Preview;

fmQReportGroup.Free;//освобождаем ресурс;;

Таким образом, для печати списка группы в режиме предварительного просмотра открывается отчет fmQReportGroup.QuickRep1.Preview, реализованный при стандартного генератора отчетов Delphi под названием QuickReport. В связи с этим рассмотрим создание отчетов, формируемых информационной подсистемой.

2.4.6 Создание отчетов

В соответствии с техническим заданием на проектирование, информационная подсистема «Advancement» должна поддерживать автоматизированное формирование, просмотр и печать следующих отчетов:

      результаты успеваемости с группировкой по предметам;

-        список групп по формам обучения;

         список студентов группы;

         сводная ведомость (за полугодие, годовая).

Для формирования данных, отображаемых в этих отчетах, модуль данных программы был дополнен следующими четырьмя запросами на выборку:

-     QueryListingOfDiscipline (запрос для формирования списка дисциплин);

-        QueryListingOfDisciplineID (запрос для формирования списка дисциплин для указанной специальности);

         QueryStudentsGroupThis (запрос для формирования списка студентов указанной группы);

         QueryCalculationStudentsThis (запрос для формирования данных о пропусках занятий студентами указанной группы).

Внешний вид некоторых из перечисленных запросов представлен на рисунках 2.45 и 2.46.

Рисунок 2.45 - Текст запроса QueryFires

Рисунок 2.46 - Текст запроса QueryGas

Перечисленные ранее отчеты разрабатывалась в Delphi с использованием конструктора отчетов QuickReport. Внешний вид отчета «Список студентов группы» в окне предварительного просмотра и на этапе разработки в конструкторе QuickReport показан на рисунках 2.47 и 2.48. Внешний вид остальных отчетов, формируемых информационной подсистемой «Advancement», представлен на рисунках 2.49 - 2.52.

2.4.7 Отладка и компиляция проекта

Из-за ограниченных объемов пояснительной записки, к сожалению, не удается достаточно полно описать весь процесс создания информационной подсистемы «Advancement». Отметим, что в процессе реализации проекта было создано 23 модуль и 22 формы (модуль данных не имеет формы), что подтверждается данными окна Project Manager проекта (рисунок 2.53). Внешний вид некоторых из этих форм был представлен ранее на рисунках 2.28, 2.36 - 2.40.

Свойства исполнимого файла проекта представлены на рисунке 2.54. Как следует из рисунка 2.54, размер исполнимого файла Advancement.exe разработанной информационной подсистемы «Advancement» составляет 1,86 Мбайт.

Теперь создадим программы установки информационной подсистемы «Advancement» на компьютер пользователя.

2.4.8 Создание программы установки информационной подсистемы «Advancement» на компьютер пользователя

Для создания программы установки информационной подсистемы «Advancement» на компьютер пользователя воспользуемся пакетом для создания инсталляторов InstallShieldExpress.

После запуска инсталлятора и выбора нового проекта открывается страница New Project, в котором зададим название новому проекту инсталляции (рисунок 2.55).

После нажатия на кнопку OK откроется первое окно мастера создания программы установки (рисунок 2.56). В этом окне зададим общие данные о проекте инсталляции и определим директорию установки информационной подсистемы «Advancement» на компьютер пользователя.

После выполнения ряда стандартных операций программа InstallShield Express успешно создает инсталлятор. В результате получим файл setup.exe, свойства которого показаны на рисунке 2.57.

Как видно из этого рисунка размер файла setup.exe составляет 220 кбайт. Свойства папки с файлами дистрибутива информационной подсистемы «Advancement» показаны на рисунке 2.58. Как видно из этого рисунка, размер папки с файлами дистрибутива информационной подсистемы «Advancement» составляет 22,6 Мбайт. Эта папка содержит 109 файлов и восемь вложенных папок.

Используя файл setup.exe информационная подсистема «Advancement» была успешно установлена на компьютер, находящийся в кабинете заместителя директора по УВР МОУ СОШ №4 и протестирована.

Тестирование программы показало, что она в полном объеме удовлетворяет требованиям заказчика. В настоящее время, разработанная информационная подсистема «Advancement», уже внедрена в практику работы учета успеваемости в МОУ СОШ №4 и находится в стадии опытной эксплуатации.

Выводы

1.   База данных информационной подсистема «Advancement» является реляционной и содержит 10 таблиц. При разработке этой базы данных было использовано CASE-средство ERwin 4.0.

2.      Для реализации в среде Borland Delphi 7 приложения, обеспечивающего требования технического задания на разработку информационной подсистема «Advancement», потребовалось создать 23 модуля и 22 формы.

.        Размер исполнимого файла разработанного приложения составляет 1,86 Мбайт.

.        При помощи программы InstallShield Express создан файл setup.exe, позволяющий инсталлировать информационную подсистему «Advancement» на компьютер пользователя. Размер файла setup.exe составляет 220 кбайт.

.        Размер папки с файлами дистрибутива информационной подсистемы «Advancement» составляет 22,6 Мбайт. Эта папка содержит 109 файлов и восемь вложенных папок.

.        В результате тестирования информационной подсистемы в реальных условиях производства «Advancement» установлено, что она в полном объеме удовлетворяет требованиям заказчика.

3. ИНФОРМАЦИОННОЕ И ПРОГРАММНОЕ ОБЕСПЕЧЕНИЕ

3.1 Общие сведения о программе

Общие сведения о программе (информационной подсистеме «Advancement») представлены в таблице 3.1.

Таблица 3.1 - Общие сведения о разработанном Windows- приложении

Наименование сведений

Содержание сведений

Обозначение программы

Advancement

Наименование программы

Информационная подсистема «Advancement» для учета успеваемости учеников МОУ СОШ №4 г. Ставрополь

Программное обеспечение, необходимое для функционирования программы

Операционная система  Windows 98/ME/NT4.0/2000/XP/2003

Язык программирования (среда разработки), на которой написана программа

Язык программирования - Delphi Среда разработки Borland Delphi 7


3.2 Функциональное назначение программы

Общие сведения о функциональном назначении программы представлены в таблице 3.2.

Таблица 3.2 - Функциональное назначение

Наименование сведений

Содержание сведений

Назначение программы

Автоматизация учета успеваемости учеников МОУ СОШ №4 с. Красное

Цель создания программы

Сокращение временных затрат секретаря учебной части Учреждения на формирование отчетов по результатам учета успеваемости обучаемых Переход от базы данных учета успеваемости обучаемых на бумажных носителях к приложению баз данных на платформе Microsoft Windows

Функциональные ограничения на применение

Наличие на компьютере пользователя установленной операционной системы семейства Windows и табличного процессора Microsoft Excel

3.3 Описание логической структуры программы

Логическую структуру программы иллюстрирует диаграмма компонентов (рисунок 3.1).

Рисунок 3.1 - Диаграмма компонентов информационной подсистемы «Advancement»

Как следует из рисунка 3.1, в логическую структуру программы входят 23 программных компонента (модулей) и база данных информационной подсистемы.

Как видно из родительским (суперклассом) классом, т. е. классом, порождающим все формы приложения, является класс типа TObject.

Проанализируем более подробно логическую структуру модуля программы fmAccountingU.pas (рисунок 3.3).

Как видно из рисунка 3.3, модуль fmAccountingU.pas использует множество закрытых и защищенных функций.

 

3.4 Требования к техническому обеспечению


.4.1 Общие требования

Для нормальной работы информационной подсистемы «Advancement» достаточно наличие на компьютере пользователя операционной системы Microsoft Windows XP.

Для установки информационной подсистемы «Advancement» системный блок персонального компьютера (ПК) должен быть снабжен дисководом для компакт-дисков. К системному блоку должны быть подключены монитор и принтер. Остальные элементы ПК (клавиатура, манипулятор-мышь и коврик для мыши) являются стандартными.

Процессор, оперативное запоминающее устройство (ОЗУ), жесткий диск, монитор и принтер должны обладать определенными характеристиками, значения которых определим далее.

3.4.2 Требования к центральному процессору

В результате контрольных прогонов установлено, что для работы с информационной подсистемой «Advancement» достаточно персонального компьютера с процессором Pentium 75 МГц. Обоснование: при более низкой тактовой частоте центрального процессора быстродействие информационной подсистемой «Advancement» является неудовлетворительным, например, время выполнения запросов для формирования данных о результаты успеваемости с группировкой по предметам составляет более десяти минут.

3.4.3 Требования к оперативному запоминающему устройству

Необходимый размер ОЗУ WОЗУ , Мбайт, рассчитаем по формуле

,                                          (3.1)

где - минимально необходимый размер ОЗУ, требуемый для работы операционной системы (ОС) , Мбайт;

- объем ОЗУ, требуемый для работы информационной подсистемы, Мбайт.

Значение параметра  для Windows XP определяется, как 128 Мбайт. Обоснование: данное требование сформулировано фирмой Microsoft, как минимальное при установке Microsoft Windows XP.

Значение параметра  в рассматриваемом случае определяется необходимостью загрузки в оперативную память ПК информационной подсистемы «Advancement» и составляет 1,86 Мбайт оперативной памяти.

Таким образом, воспользовавшись формулой (3.1) получаем

 = 128 + 1,86 = 129,86 Мбайт.

Делаем следующий вывод - для нормальной работы информационной подсистемы «Advancement» под управлением операционной системы Windows XP будет достаточно 129,86 Мбайт оперативной памяти. Для обеспечения комфортных условий работы информационной подсистемы рекомендуется использовать ОЗУ размером 256 Мбайт и более.

3.4.4 Требования к наличию сводного места на жестком диске

Кроме типа процессора и размера ОЗУ, важной характеристикой работы компьютера и вместе с ним и разработанной программы, является размер свободного пространства на жестком диске компьютера. Определить минимально необходимое свободное пространство W, Мбайт, можно, используя формулу следующим соотношением

,                                              (3.2)

где     - размер пространства, которое занимает инсталляция информационной подсистемы «Advancement», Мбайт;

 - размер временных файлов, создаваемых при работе с программой, Мбайт.

Размер пространства , которое занимает инсталляция информационной подсистемы «Advancement» определим, просмотрев отчет «Build Report» инсталлятора InstallShield Express.

Размер пространства , которое занимает инсталляция информационной подсистемы «Advancement» составляет 17,97 Мбайт памяти жесткого диска.

В процессе эксплуатации информационной подсистемы «Advancement» могут создаваться временные файлы (запросы и пр.). Размер временных файлов (параметр ) может составить примерно 0,5 Мбайт памяти жесткого диска.

Итак, на основании формулы (3.2) приходим к выводу, что для корректной работы информационной подсистемы «Advancement» необходимо следующее количество свободной памяти жесткого диска:

= 17,97 + 0,5 = 18,47 Мбайт.

3.4.5 Требования к монитору

При работе с информационной подсистемой «Advancement» не предполагается вывод на экран сложного графического материала, поэтому для получения результатов работы программы рекомендуется использовать любой современный жидкокристаллический цветной монитор с разрешением 800×600 или с более высоким разрешением.

Обоснование: если разрешение монитора будет менее 800×600, то экранные формы не будут полностью отображаться на экране монитора, что затруднит работу с программой.

3.4.6 Требования к принтеру

Для вывода на печать документов, например, счета-фактуры, необходим любой лазерный принтер с разрешением печати не менее 300 точек/дюйм.

Обоснование: если разрешение печати принтера будет менее 300 точек/дюйм документы, предусмотренные к выводу на принтер, не будут качественно пропечатываться, так как они разрабатывались для вывода на печать лазерным принтером с минимальным разрешением 300 точек/дюйм.

3.5 Установка и вызов программы

Установка программы производится следующим образом.

1.   В дисковод для компакт-дисков необходимо поместить CD-ROM с предварительно записанной программой установки информационной подсистемы «Advancement» setup.exe.

2.      Средствами проводника Windows запустить файл setup.exe на выполнение.

.        В открывшемся первом окне программы инсталлятора нажать кнопку «Далее».

.        В открывшемся втором окне программы инсталлятора ознакомиться с предупреждением об авторском праве на программу и нажать кнопку «Далее».

.        В открывшемся третьем окне программы инсталлятора ввести данные о пользователе, организации и нажать кнопку «Далее»

.        В открывшемся четвертом окне программы инсталлятора ознакомиться с программой установки и нажать кнопку «Далее».

.        В открывшемся пятом окне программы инсталлятора процесс установки, который можно прервать нажатием на кнопку «Отмена».

.        В открывшемся шестом окне программы инсталлятора ознакомиться с результатами установки программы и нажать кнопку «Готово».

На этом процесс установки программы завершен.

Откроем папку C:\Program Files\Advancement.

Папка C:\Program Files\Advancement содержит исполнимый файл приложения, папку Database с базой данных приложения и файл динамически подключаемой библиотеки, необходимый для запуска приложения на ранних версиях операционной системы Windows.

Вызов программы осуществляется через кнопку start (пуск) (рисунок 3.12).

3.6 Входные данные программы

Разнотипными входными данными программы являются:

1.   Форма обучения.

2.      Специализация.

.        Название класса.

.        Предмет.

.        Фамилия и инициалы ученика.

.        Оценка.

.        Дата.

.        Количество часов пропусков.

.        Уважительная ли причина пропуска (Да/Нет)?

.        Основание для пропуска занятий.

.        Пароль пользователя.

Таким образом, количество разнотипных входных данных равно 11. Следует учитывать, что для каждого ученика в МОУ СОШ №4 (с. Красное Грачевского муниципального района Ставропольского края) большинство входных данных являются уникальными, как по датам, так и предметам.

3.7 Выходные данные программы

Выходные данные программы представлены следующими документам (отчетами):

-     результаты успеваемости с группировкой по предметам;

-        список классов по формам обучения;

         список учеников класса;

         сводная ведомость (за полугодие, годовая).

Примеры автоматизированного формирования и заполнения перечисленных документов представлены ранее на рисунках 2.44 - 2.52.

3.8 Результаты тестирования программы

Программа прошла тестирование в МОУ СОШ №4 г. Ставрополь. Тестирование программы показало, что она в полном объеме удовлетворяет требованиям заказчика. В настоящее время, разработанная информационная подсистема «Advancement», уже внедрена в практику работы учета успеваемости обучаемых в МОУ СОШ №4 (с. Красное Грачевского муниципального района Ставропольского края) и находится в стадии опытной эксплуатации.

Выводы

1.   Для нормального функционирования программы достаточно наличия:

-         операционной системы Windows 95;

-        персонального компьютера с процессором Pentium 75 МГц;

         17,86 Мбайт оперативной памяти;

         18,47 Мбайт свободной памяти жесткого диска;

         любого современного цветного монитора с разрешением 800×600;

         любого лазерного принтера с разрешением печати не менее 300 точек/дюйм.

2.   В ходе разработки программы использовались среда Borland Delphi 7 и CASE-средство ERwin 4.0. Основным языком программирования являлся Delphi.

3.      Функциональные ограничения на применение обусловлены тем, что разработанная программа требует наличия на компьютере пользователя установленной операционной системы семейства Windows и табличного процессора Microsoft Excel.

.        Логическая структура программы включает в себя 23 программных компонента (модуля) и базу данных информационной подсистемы.

.        Установка программы на компьютер пользователя производится при помощи программы инсталлятора setup.exe.

.        Общее количество разнотипных входных данных программы равно 11.

.        Программа прошла тестирование в МОУ СОШ №4 (с. Красное Грачевского муниципального района Ставропольского края). В результате тестирования установлено, что она в полном объеме удовлетворяет требованиям заказчика.

4. Технико-экономическое обоснование ПРОЕКТА

.1 Краткая характеристика проекта

В дипломном проекте выполнена разработка информационной подсистемы «Advancement» для учета успеваемости обучаемых в МОУ СОШ №4 (с. Красное Грачевского муниципального района Ставропольского края).

Назначение программы - автоматизация учета успеваемости обучаемых в МОУ СОШ №4.

Цель создания системы - сокращение временных затрат секретаря учебной части Учреждения на формирование отчетов по результатам учета успеваемости обучаемых.

Данная программа выполняет следующие основные функции:

1.   Ведение электронной картотеки (базы данных) учета успеваемости обучаемых.

2.      Автоматизированное формирование, просмотр и печать следующих документов (отчетов):

-     результаты успеваемости с группировкой по предметам;

-        список групп по формам обучения;

         список студентов группы;

         сводная ведомость (за полугодие, годовая).

Создание информационной подсистемы «Advancement» носило узкий прикладной характер и, в связи с этим, потребовало учета ряда особенностей, обеспечивающих нестандартные свойства этой информационной подсистемы.

Внедрение проекта позволит в значительной мере сократить временные затраты секретаря учебной части Учреждения на формирование отчетов по результатам учета успеваемости обучаемых.

Как было установлено в ходе предпроектного обследования, на перечисленные выше обязанности без автоматизации секретарm учебной части вынужден затрачивать порядка 60 часов в месяц, на ручную выборку данных из базы данных, реализованной на бумажных носителях. После внедрения программного продукта ожидается, что затраты времени указанного работника на эти же обязанности сократятся в несколько раз.

Ориентировочный срок службы программы до морального старения 4 года, что и будет рассматриваться как расчетный период времени.

При разработке информационной подсистемы «Advancement» использовался язык программирования Delphi.

Программа разрабатывается сторонней организацией по техническому заданию «Advancement».

Число строчек кода в тексте программного кода на языке Delphi  = 650 ед.

В разделе рассмотрены вопросы расчета:

-     трудоемкости выполняемых работ;

-        суммарных затрат на создание программного продукта.

         экономии, достигаемой, в результате перехода от ручной обработки информации на автоматизированную обработку;

         чистого дисконтированного дохода за четыре года использования программного продукта.

         времени окупаемости проекта.

.2 Трудоемкость выполняемых работ

Создание программного продукта предполагает разработку программ и всей программной документации, предусмотренной техническим заданием.

Результатом выполнения каждой работы является документированная отчетность в виде текстовых документов или программ.

Трудоемкость разработки программного обеспечения ТПО, чел.-ч., определяется по формуле

ТПО = ТО + ТИ + ТА + ТП + ТОТЛ + ТД,               (4.1)

где    ТО - затраты труда на описание задачи, чел.-ч.;

ТИ - затраты на исследование предметной области, чел.-ч.;

ТА - затраты на разработку блок-схем, чел.-ч.;

ТП - затраты на программирование, чел.-ч.;

ТОТЛ - затраты на отладку, чел.-ч.;

ТД - затраты на подготовку документации, чел.-ч.

Все составляющие в правой части формулы (4.1) определим через общее число строчек кода D, ед.:

D = α×c×(1 + p),                                       (4.2)

где    α - число операторов, ед. (α = 650 ед.);

с − коэффициент сложности задачи;

р - коэффициент коррекции программы, учитывающий новизну проекта.

Коэффициент сложности задачи «с» характеризует относительную сложность программы по отношению к так называемой типовой задаче, реализующей стандартные методы решения, сложность которой принята равной единице (величина коэффициента «с» лежит в пределах от 1,25 до 2). Для рассматриваемого программного продукта, включающего в себя алгоритмы учета, отчетности, поиска - коэффициент сложности задачи примем равным 1,75 (c = 1,75).

Коэффициент «p» коррекции программы, учитывающий новизну проекта, количественно характеризует увеличение объема работ по реализации программного продукта, возникающего за счет внесения изменений в алгоритм или в тексте программы по результатам её тестирования и отладки, с учетом коррекций требований к прецедентам, поддерживаемым программным продуктом, со стороны заказчика. В данном случае заказчик, недостаточно хорошо представлял себе, полный перечень прецедентов, которые должен поддерживать программный продукт, а это приводило к многочисленным корректировкам и доработкам текста программного кода. Поэтому примем коэффициент «p» равным 0,1.

В результате подстановки численных значений коэффициентов и параметров в формулу (4.2) получим следующее общее число строчек кода

D = 650×1,75×(1 + 0,1) = 1251,25 ед.

Затраты труда на описание задачи принимаем: ТО = 40 чел.-ч. Работу по описанию задачи выполняет инженер-программист с окладом 14000,00 руб. в месяц и коэффициентом квалификации kК = 1,35 (опыт работы по специальности шесть лет).

Затраты труда на изучение задачи ТИ, чел.-ч., с учетом уточнения описания и квалификации программиста могут быть определены по формуле:

ТИ = Db/(sИkK), (4.3)

где    D - общее число операторов, ед.;

b - коэффициент увеличения затрат труда, вследствие недостаточного описания задачи;

sИ - количество строчек кода, приходящееся на один чел.-ч., (ед./ чел.-ч.);

kK - коэффициент квалификации работника (определяется в зависимости от стажа работы).

В связи с тем, что решение рассматриваемой задачи потребовало уточнения и доработок, примем коэффициент b = 1,5.

Количество строчек кода в тексте программы, приходящееся на один чел.-ч., примем равным sИ = 75.

Таким образом, на основании формулы (4.3) получим

ТИ = 1251,25×1,5/(75×1,35) = 18,54 чел.-ч.

Затраты труда на разработку алгоритма решения задачи ТА, чел.-ч., рассчитываются по формуле:

ТА = D/(sАkK),            (4.4)

где    D - общее число операторов, ед.;

sА - количество строчек кода алгоритма решения задачи, приходящееся на один чел.-ч., (ед./ чел.-ч.);

kK - коэффициент квалификации работника (определяется в зависимости от стажа работы).

Для расчета по формуле (4.4) примем sА = 20 ед./ чел.-ч.

Подставив численные значения параметров и коэффициентов в формулу (4.4), получим

ТА = 1251,25/(20×1,35) = 46,34 чел.-ч.

Затраты труда на составление программы по готовой блок-схеме ТП, чел.-ч., определяется по формуле:

ТП = D/(sАkK),  (4.5)

где    D - общее число операторов, ед.;

sА - количество операторов алгоритма решения задачи, приходящееся на один чел.-ч., (ед./ чел.-ч.);

kK - коэффициент квалификации работника (определяется в зависимости от стажа работы).

Для расчетов по формуле (4.5) примем sА = 20 ед./ чел.-ч.

Подставив численные значения параметров и коэффициентов в формулу (4.5), получим

ТП = 1251,25/(20×1,35) = 46,34 чел.-ч.

Затраты труда на отладку программы на персональном компьютере ТОТЛ, чел.-ч., рассчитывается по формуле

ТОТЛ = D/(sОТЛkK),                     (4.6)

где    D - общее число операторов, ед.;

sОТЛ - количество отлаживаемых операторов программы, приходящееся на один чел.-ч., (ед./ чел.-ч.);

kK - коэффициент квалификации работника (определяется в зависимости от стажа работы).

Для расчетов по формуле (4.6) примем sОТЛ = 4 ед./ чел.-ч.

Подставив численные значения параметров и коэффициентов в формулу (4.6), получим

ТОТЛ = 1251,25/(4×1,35) = 231,71 чел.-ч.

Затраты труда на подготовку документации по задаче ТД определяются по формуле:

ТД = ТДР + ТДО,                           (4.7)

где    ТДР - затраты труда на подготовку материалов в рукописи, чел.-ч.;

ТДО - затраты труда на редактирование, печать и оформление документации, чел.-ч.

Затраты труда на подготовку материалов в рукописи ТДР, чел.-ч., вычислим по формуле

ТДР = D / (sДРkK), (4.8)

где    D - общее число операторов, ед.;

sДР - количество операторов программы в рукописи, приходящееся на один чел.-ч., (ед./ чел.-ч.);

kK - коэффициент квалификации работника (определяется в зависимости от стажа работы).

Для расчетов по формуле (4.8) примем sДР = 15 ед./чел.-ч.

Подставив численные значения параметров и коэффициентов в формулу (4.8), получим

ТДР = 1251,25/(15×1,35) = 61,79 чел.-ч.

Затраты труда на редактирование, печать и оформление документации ТДО, чел.-ч., вычислим по формуле

ТДО = 0,75 × ТДР. (4.9)

Подставив численное значение затраты труда на подготовку материалов в рукописи ТДР, чел.-ч., в формулу (4.9), получим

Таким образом, подставив численные значение затраты труда на подготовку материалов в рукописи ТДР, чел.-ч., и затраты труда на редактирование, печать и оформление документации ТДО, чел.-ч., в формулу (4.7) получим

ТД = 61,79 + 46,34 = 108,13 чел.-ч.

Подставив все полученные данные в формулу (4.1), получим полную трудоемкость разработки программного обеспечения

ТПО = 40 + 18,54 + 46,34 + 46,34 + 231,71 + 108,13 = 491,07 чел.-ч.

С учетом уровня языка программирования трудоемкость разработки программы может быть скорректирована следующим образом:

ТКОР = ТПОkКОР, (4.10)

где    kКОР - коэффициент коррекции, учитывающий изменения трудоемкости разработки программного обеспечения в зависимости уровня языка программирования (таблица 4.1).

Таблица 4.1 - Изменение трудоемкости в зависимости уровня языка программирования

Уровень языка программирования

Характеристика языка  программирования

Коэффициент изменения трудоемкости

1

Ассемблер

1

2

Макроассемблер

0,95

3

Алгоритмические языки высокого уровня

0,8 − 0,9


Использованный для разработки программного обеспечения язык программирования (Delphi) относится к алгоритмическим языкам высокого уровня, с учетом этого примем kКОР = 0,8.

Окончательно, с учетом корректировки, получим по формуле (4.10) итоговую трудоемкость разработки

ТКОР = 491,07×0,8 = 392,85 чел.-ч.

4.3 Расчет себестоимости автоматизированной информационной системы

Себестоимость создания автоматизированной информационной системы определяется по следующим статьям калькуляции:

-     основная заработная плата производственного персонала;

-        дополнительная заработная плата производственного персонала;

         отчисления на страховые взносы;

         затраты на потребляемую электроэнергию;

         расходы на материалы и запасные части;

         затраты на амортизацию, техническое обслуживание и ремонт вычислительной техники.

Оклад инженера-программиста составляет 14000,00 руб. в месяц.

Плановый фонд рабочего времени одного специалиста производственного персонала в месяц tПФ, ч, вычислим по формуле

tПФ = NРДΔtРД,                                               (4.11)

где    NРД - количество рабочих дней специалиста производственного персонала за месяц;

ΔtРД - продолжительность рабочего дня специалиста производственного персонала, ч.

Для расчетов по формуле (4.11) примем NРД = 22 дня, ΔtРД = 8 ч. Подставив указанные численные значения параметров NРД и ΔtРД в формулу (4.11) получим, что плановый фонд рабочего времени одного специалиста производственного персонала в месяц составляет

tПФ = 22×8 = 176 ч.

Таким образом, часовая тарифная ставка sЧ, руб./ч, инженера-программиста составляет

sЧ = 14000,00/176 = 79,55 руб./ч.

Основная заработная плата ЗО, руб., производственного персонала определяется по формуле

ЗО = sЧ×ТКОР.                                       (4.12)

Подставив все численные значения параметров в формулу (4.12) получим, что основная заработная плата инженера-программиста составит

ЗО = 79,55×392,85= 31251,22 руб.

Дополнительная заработная плата ЗД, руб., производственного персонала определяется по формуле

ЗД = ЗОηД,                                                       (4.13),

где    ηД - коэффициент дополнительной заработной платы.

Коэффициент дополнительной заработной платы инженера-программиста составляет ηД = 0,2. Таким образом, дополнительная заработная плата ЗД, руб., инженера-программиста, вычисленная по формуле (4.13), равна

ЗД = 31251,22×0,2 = 6250,24 руб.

Отчисления в Пенсионный фонд Российской Федерации, Фонд социального страхования Российской Федерации и фонды обязательного медицинского страхования Российской Федерации согласно закону № 212-ФЗ от 24.07.2009 ЗС, руб., вычислим по формуле:

ЗС = (ЗО + ЗД)/100×ηС,                                             (4.14)

где    ηС − норматив страховых взносов, %.

В соответствии с законом № 212-ФЗ от 24.07.2009 норматив страховых взносов составляет 34 % (ηС = 34 %).

Подставив все численные значения в формулу (4.14) получим, что отчисления на страховые взносы равны

ЗС = (31251,22 + 6250,24)×34/100 = 37501,46×0,34 = 12750,01 руб.

Таким образом, размер страховых взносов составит 12750,01 руб.

Затраты на потребляемую электроэнергию ЗЭ, руб.:

ЗЭ = PВtВцЭ,                                          (4.15)

информационный подсистема advancement приложение

где    PВ - мощность ЭВМ, кВт;

tВ - время работы вычислительного комплекса, ч;

цЭ - стоимость 1 кВтч электроэнергии, руб./ кВтч.

Мощность ЭВМ, на которой работает инженер-программист, равна PВ = 0,3 кВт.

Время работы вычислительного комплекса tВ, ч, при создании программного продукта вычислим по формуле

tВ = αП×(ТП + ТОТЛ + ТД)×kКОР,                                   (4.16)

где    αП - коэффициент, учитывающий затраты времени на профилактические работы на ЭВМ;

kКОР - коэффициент коррекции времени работы вычислительного комплекса.

Для расчетов по формуле (4.16) примем αП = 1,15 и kКОР = 0,8.

Подставив все численные значения параметров в формулу (4.16) получим

tВ = 1,15×(46,34 + 231,71 + 108,13)×0,8 = 355,29 ч.

Стоимость 1 кВтч электроэнергии составляет цЭ = 3,60 руб.

Подставив все численные значения параметров в формулу (4.15) получим, что затраты на потребляемую электроэнергию составят

ЗЭ =0,3×355,29×3,60 = 383,72 руб.

Данные для расчета затрат на материалы и запасные части занесенные в таблицу 4.2.

Таблица 4.2 − Затраты на материалы и покупные изделия

Материал, покупное изделие

Количество, единиц

Цена за единицу, руб.

Сумма, руб.

Техническая литература

2

300,00

600,00

DVD-RW 4x 4,7 Гбайт

3

45,00

135,00

Упаковка бумаги, 500 листов

2

130,00

260,00

Тонер для картриджа принтера

1

100,00

100,00

Программное обеспечение

1

12000,00

12000,00

Итого

13095,00


Следовательно, затраты на материалы и запасные части составят 13095,00 руб.

Затраты на техническое обслуживание и текущий ремонт вычислительной техники ЗП, руб.:

ЗП=КВ(a/100)tВ/ tВ.Г,                                              (4.17)

где    КВ − балансовая стоимость вычислительной техники, руб.

α - норма отчислений на ремонт, %;

tВ.Г - годовой фонд времени работы вычислительной техники, ч.

Для расчетов по формуле (4.17) примем:

-        балансовая стоимость вычислительной техники = 22000,00 руб.;

         норма отчислений на ремонт α = 4 %;

         годовой фонд времени работы вычислительной техники в году при 40-часовой рабочей неделе tВ.Г = 1987 ч .

Подставив все численные значения параметров в формулу (4.17) получим:

ЗП = 22000,00×(4/100)×355,29/1987 = 157,35 руб.

Амортизационные отчисления ЗАО, руб.:

ЗАО = 22000,00×(20/100)×355,29/1987 = 786,76 руб.

Все расчеты по статьям калькуляции затрат, составляющих себестоимость автоматизированной информационной системы сведены в таблицу 4.3.

Таблица 4.3 - Величины затраты, составляющих себестоимость  автоматизированной информационной системы

Статья расхода

Сумма, руб.

Основная заработная плата производственного персонала

31251,22

Дополнительная заработная плата производственного персонала

6250,24

Отчисления на страховые взносы

12750,01

Затраты на потребляемую электроэнергию

383,72

Расходы на материалы и запасные части

13095,00

Затраты на техническое обслуживание и ремонт вычислительной техники

157,35

Затраты на амортизацию вычислительной техники

786,76

Итого

64674,30


Таким образом, полные затраты на создание программного продукта составляют 64674,30 руб.

Поскольку разработка программного продукта осуществлялась сторонней организацией по техническому заданию (ТЗ) «Advancement», то оптовая цена программного продукта Ц, руб., рассчитывается с учетом нормы рентабельности НР:

Ц = З×(1 + НР).                                       (4.18)

Для расчетов по формуле (4.18) примем нормы рентабельности НР = 15 %. Тогда оптовая цена программного продукта по формуле (4.18) составит:

Ц = 64674,30×(1 + 15/100) = 74375,44 руб.

Капиталовложения при внедрении программного продукта равняются его оптовой цене

К = Ц = 74375,44 руб.

4.4 Оценка экономической эффективности проекта

Показатель эффекта определяет все позитивные результаты, достигаемые при использовании программного продукта. Прибыль от использования программного продукта за год определяется по формуле

П = Э - З,                                                  (4.19)

где    Э - стоимостная оценка результатов применения программного продукта в течение года, руб.;

З - стоимостная оценка затрат при использовании программного продукта в течение года, руб.

Приток денежных средств из-за использования программного продукта Э, руб., в течение года может составить:

Э = (ЗРУЧ - ЗАВТ) + ЭДОП,                                     (4.20)

где    ЗРУЧ - затраты на ручную обработку информации, руб.;

ЗАВТ - затраты на автоматизированную обработку информации, руб.;

ЭДОП - дополнительный экономический эффект, связанный с уменьшением числа используемых бланков, высвобождением рабочего времени и т. д., руб.

Данный продукт используется оператором (секретарь учебной части Учреждения). Оклад оператора - 14000,00 руб. Тогда, цена одного часа работы оператора цЧ, руб./ч, составит

цЧ = 14000,00/176 = 79,55 руб./ч.

Годовые затраты (затраты за 12 месяцев) оператора при ручной обработке информации ЗРУЧН, руб., вычислим по формуле

ЗРУЧН = tОБЩ.Р×12× цЧ.                                        (4.21)

Тогда, по формуле (4.21), годовые затраты оператора при ручной обработке информации (по данным предпроектного обследования общие затраты времени на ручную обработку информации tОБЩ.Р = 60 ч/месяц) составят

ЗРУЧН = 60×12×79,55 = 57276,00 руб.

Годовые затраты (затраты за 12 месяцев) оператора при автоматизированной обработке информации ЗАВТ, руб., вычислим по формуле

ЗАВТ = tОБЩ.А×12×цЧ.                                           (4.22)

Тогда, по формуле (4.22), при автоматизированной обработке информации (по результатам тестирования программного продукта установлено, что общие затраты времени при автоматизированной обработке информации tОБЩ.А = 2 ч/месяц)

ЗАВТ = 2×12×79,55 = 1909,20 руб.

Следовательно, годовой эффект от внедрения программного продукта, даже без учета дополнительный экономический эффекта (ЭДОП = 0), на основании формулы (4.20), получится равным

Э = ЗРУЧН - ЗАВТ = 57276,00 - 1909,20 = 55366,80 руб.

Эксплуатационные затраты при использовании программного продукта будут состоять из затрат на электроэнергию, техническое обслуживание и текущие ремонты вычислительно техники.

На основании формулы (4.15), для персонального компьютера оператора за 12 месяцев затраты на электроэнергию ЗЭ, руб., при потребляемой мощности компьютера PВ = 0,3 кВт составят (стоимость электроэнергии цЭ = 3,60 руб./кВтч)

ЗЭ = 0,3×2×12×3,60= 25,92 руб.

Балансовая стоимость вычислительной техники (персонального компьютера оператора) = 22000,00 руб. Тогда, на основании формулы (4.17), для персонального компьютера оператора за 12 месяцев затраты на техническое обслуживание и текущий ремонт ЗП.ОП, руб., составят:

ЗП.ОП = 22000,00×(4/100)×(2×12)/1987 = 10,63 руб.

Амортизационные отчисления для персонального компьютера оператора ЗАО.ОП, руб., составят:

ЗАО.ОП = 22000,00×(20/100)×(2×12)/1987 = 53,15 руб.

Тогда, эксплуатационные затраты З, руб., при использовании программного продукта составят:

З = ЗЭ + ЗП + ЗАО = 25,92 + 10,63 + 53,15 = 89,70 руб.

Прибыль рассчитаем по формуле (4.19):

П = Э - З = 55366,80 - 89,70 = 55277,10 руб.

Таким образом, имеется следующий денежный поток:

шаг (капиталовложения) - 74375,44 руб.;

шаг - 55277,10 руб.;

шаг - 55277,10 руб.;

шаг - 55277,10 руб.;

шаг - 55277,10 руб.;

Чистый дисконтированный доход ЧДД, руб., от использования программного продукта определим по формуле [14]:

,                         (4.23)

где    N - расчетный период, год;

Пk - прибыль от использования программного продукта за k-й год его эксплуатации, руб.;

Е - норма дисконта, %;

K - капиталовложения при внедрении программного продукта, руб.

Следовательно, ЧДД, руб., при N = 4, т. е. за четыре года использования программного продукта (срок до морального старения рассматриваемой информационной подсистемы ««Advancement») при норме дисконта E = 20% в соответствии с формулой (4.23) составит:

ЧДД = 55277,10/(1 + 0,2) + 55277,10/(1 + 0,2)2 + 55277,10/(1 + 0,2)3 +

+ 55277,10/(1 + 0,2)4 - 74375,44 = 46064,25 + 38386,88 + 31989,06 + 26657,55 - 74375,44 = 68722,29 руб.

Приходим к выводу, что ЧДД − положителен, т. е. проект эффективен.

Внутреннюю норму доходности проекта Eвн, %, определим по формуле

,(4.24)

где  - максимальное значение внутренней нормы дисконта, %, при которой ЧДД является положительной величиной (ЧДД > 0);

 - минимальное значение внутренней нормы дисконта, %, при которой ЧДД является отрицательной величиной (ЧДД < 0);

 - ЧДД, руб., вычисленный по формуле (4.23) при подстановке нормы дисконта ;

 - ЧДД, руб., вычисленный по формуле (4.23) при подстановке нормы дисконта.

Предполагаем, что EВН лежит в диапазоне 63 ... 65%. При норме дисконта EВН = 63% получаем ЧДД =936,48 руб. Таким образом, при норме дисконта EВН = 63% ЧДД - положителен.

При норме дисконта EВН = 65% получаем ЧДД = -807,25 руб. Таким образом, при норме дисконта EВН = 65% ЧДД - отрицателен.

Следовательно, по формуле (4.26) имеем:

.

Рассчитаем срок окупаемости проекта. Срок окупаемости проекта , год, найдем по формуле

,       (4.25)

где    N - максимальное количество лет, прошедших с начала эксплуатации программного продукта, в течение которых величина дохода от его использования не превысила величины капиталовложения при внедрении программного продукта;

- величины приведенных (дисконтированных) годовых эффектов за j-й год, руб., прошедший с начала эксплуатации программного продукта, вычисленные по формуле (4.23) при подстановке нормы дисконта E = 20%.

Величина приведенного (дисконтированного) годового эффекта за первый год расчетного периода по формуле (4.23) равна:

,

что меньше величины капиталовложений (K = 74375,44 руб.).

Величина приведенного (дисконтированного) годового эффекта за второй год расчетного периода по формуле (4.23) равна:

,

Сумма приведенных (дисконтированных) годовых эффектов за первый и второй год расчетного периода составят:

руб.

Тогда, в формуле (4.25) имеем N = 1 и срок окупаемости составит

 года.

4.5 Основные технико-экономические показатели проекта

Для удобства анализа, все основные технико-экономические показатели проекта сведены в таблицу 4.4.

Таблица 4.4 − Основные технико-экономические показатели проекта

Основные характеристики

Единицы измерения

Проект

Итоговая трудоемкость разработки

чел.-ч.

 392,85

Полные затраты на создание программного продукта

руб.

64674,30

Оптовая цена программного продукта

руб.

74375,44

Годовой эффект от внедрения программного продукта

руб.

55366,80

Чистый дисконтированный доход за 4 года использования программного продукта

руб.

68722,29

Внутренняя норма доходности проекта

%

64,07

Срок окупаемости проекта

год

1,26


Выводы

1.   Итоговая трудоемкость разработки программного продукта (информационной подсистемы «Advancement») составляет 392,85 чел.-ч.

2.      Полные затраты на создание программного продукта составляют 64674,30 руб.

.        Оптовая цена программного продукта - 74375,44 руб.

.        Годовой эффект от внедрения программного продукта составляет 55366,80 руб.

.        Чистый дисконтированный доход за 4 года использования программного продукта равен 68722,29 руб.

.        Внутренняя норма доходности проекта составляет 64,07%.

.        Срок окупаемости проекта 1,26 года.

.        После внедрения программного продукта ежемесячные затраты времени секретаря учебной части МОУ СОШ №4 на учет успеваемости обучаемых сократились с 60 до 2 часов, т. е. в 30 раз. Таким образом, разработка информационной подсистемы «Advancement» является экономически обоснованной и эффективной.

Заключение

Основным результатом дипломного проектирования является разработка, на основе использования современных CASE-технологий, информационной подсистемы «Advancement» для учета успеваемости учеников МОУ СОШ №4, с. Красное.

В результате дипломного проектирования было показано, что:

-   итоговая трудоемкость разработки программного продукта (информационной подсистемы «Advancement») составляет 392,85 чел.-ч.

-      полные затраты на создание программного продукта составляют 64674,30 руб.

-      оптовая цена программного продукта - 74375,44 руб.

-      годовой эффект от внедрения программного продукта составляет 55366,80 руб.

-      чистый дисконтированный доход за четыре года использования программного продукта равен 68722,29 руб.

-      внутренняя норма доходности проекта составляет 64,07%;

-      срок окупаемости проекта 1,26 года.

После внедрения программного продукта ежемесячные затраты времени секретаря учебной части МОУ СОШ №4 (с. Красное Грачевского муниципального района Ставропольского края) на учет успеваемости обучаемых сократились с 60 до 2 часов, т. е. в 30 раз.

Таким образом, приходим к заключительному выводу о том, что разработка информационной подсистемы «Advancement» является экономически обоснованной и эффективной.

К перспективным направлениям развития темы дипломного проекта можно отнести расширение функциональных возможностей разработанной информационной подсистемы.

список ИСТОЧНИКОВ

1.            Петров, А. И. Информационные системы [Текст]/ А. И. Петров. - М.: Горячая линия-Телеком, 2000. − 300с., ил.

2.      Буч, Г., Рамбо, Д., Джекобсон, А. Язык UML для пользователя: Пер. с англ [Текст]/ Г. Буч, Д. Рамбо, А. Джекобсон. - М.: ДМК, 2000. − 432 с., ил. (Серия «для программистов»).

.        Боггс, У., Боггс, М.. UML и Rational Rose: Пер. с англ [Текст] / У. Боггс, М. Боггс. - М.: Издательство «Лори», 2000. - 581 с.

.        Калянов, Г. Н. CASE-технологии. Консалтинг при автоматизации бизнес процессов. 2-е изд. перераб. И доп. [Текст] /Г. Н. Калянов. - М.: Горячая линия- Телеком, 2000. − 320 с.

.        Ларман, К. применение UML и шаблонов проектирования: Пер. с англ [Текст] / К. Ларман. - М.: Издательский дом «Вильямс», 2001. - 496 с.

.        Архангельский, А. Я. Программирование в Delphi 7 [Текст] / А. Я. Архангельский. - М.: ООО «Бином-Пресс», 2003. - 1152 с.

7.            Тейксера, Стив, Пачеко, Ксавье. Borland Delphi 6 [Текст] / Стив Тейксера, Ксавье Пачеко. Руководство разработчика. : Пер. с англ. - М.: Издательский дом «Вильямс», 2000. - 1120 с.

.              Баженова, И. Ю. Delphi 7 Самоучитель программиста [Текст] / И. Ю. Баженова. - М.: Кудиц-Образ, 2003. - 436 с.

9.      Культин, Н. Б. Основы программирования в Delphi 7 [Текст] / Н. Б. Культин. - СПб.: БХВ-Петербург, 2003. - 608 с.

10.          Гофман, В.Э, Хомоненко, А. Д. Delphi 5 [Текст] / В.Э. Гофман, А. Д. Хомоненко. - СПб.: БХВ, 2000. - 800 с.: ил.

11.    Тейксера Стив, Пачеко Ксавье. Borland Delphi 5. Руководство разработчика.: Пер. с англ. - М.: Издательский дом «Вильямс», 2000. - 817 с.

12.          Кандзюба, С. П., Громов, В. Н. Delphi 6. Базы данных и приложения. Лекции и упражнения [Текст] / С. П. Кандзюба, В. Н. Громов. - К.:Издательство «ДиаСофт», 2001. - 576 с.

13.    Епанешников, А. М., Епанешников, В. А. DELPHI. Программирование СУБД [Текст] / А. М. Епанешников, В. А. Епанешников. - М.: ДИАЛОГ-МИФИ, 2001 - 528 с.

14.          Когаловский, М.Р. Технология баз данных на персональных ЭВМ [Текст] / М.Р. Когаловский. - Киев: Радиоэлектроника, 2004. - 270с.

15.    Hаумов, А.H. Системы управления базами данных и знаний [Текст] / А.H Hаумов, А.М.Вендров - М.: Финансы и статистика, 2003. - 240с.

.        Брябрин, В.М. Программное обеспечение персональных ЭВМ [Текст] / В.М. Брябрин. - М.:Hаука, 1999. - 500с.

.        Аппак, М.А. Автоматизированные рабочие места на основе персональных ЭВМ [Текст] / М.А. Аппак - М.: Радио и связь, 1989. -400с.

.        Крайзмер, Л.П. Персональный компьютер на вашем рабочем месте [Текст] / Л.П Крайзмер, Б.А Кулик. - СпБ: Лениздат, 1998. -360с.

19.          Шумаков, П. В. Delphi 5.0 и создание баз данных [Текст] / П.В. Шумаков - М.: Наука, 2002. -400с.

20.    Мартин, Дж. Организация баз данных в вычислительных системах [Текст] / Дж. Мартин. - М.: Мир, 1978. -700с.

.        Конноли, Т. Базы данных. Проектирование, реализация и сопровождение. Теория и практика. [Текст] / Т. Конноли, К. Бегг - СПб.; М.: Киев: изд. дом Вильяме, 2001. - 1120 с.

.        Диго, С.М. Проектирование и использования баз данных [Текст] / С.М. Диго. - М.: Финансы и статистика, 1995. -200с.

.        Сучков, А.Н. Автоматизированные информационные технологии в экономике [Текст] / А.Н.Сучков, И.В. Зотов. - М.: Финансы и статистика, 1999 . - 415с.

Приложение А

SQL-скрипт создания базы данных информационной подсистемы «Advancement»

CREATE TABLE ABSENCE (

StudentDisciplineID Long Integer,

ABase Memo(20),

AValidReason Logical,

ACountHour Long Integer,

ADate Date,

AbsenceID Long Integer

);

UNIQUE INDEX Primary ON ABSENCE

(

AbsenceID

);

TABLE CALCULATION (

StudentDisciplineID Long Integer,

MarkID Long Integer,

CDate Date,

CalculationID Long Integer

);

UNIQUE INDEX Primary ON CALCULATION

(

CalculationID

);TABLE DISCIPLINE (

DName Memo(20),

DisciplineID Long Integer

);

UNIQUE INDEX Primary ON DISCIPLINE

(

DisciplineID

);

TABLE FORMINSTRUCTION (

FormInstructionID Long Integer,

FName Memo(20)

);

UNIQUE INDEX Primary ON FORMINSTRUCTION

(

FormInstructionID

);TABLE GROUP (

FormInstructionID Long Integer,

SpecialtyID Long Integer,

GroupID Long Integer,

GName Memo(20)

);

UNIQUE INDEX Primary ON GROUP

(

GroupID

);TABLE LISTSTUDENTSGROUP (

GroupID Long Integer,

LStudentFIO Memo(20),

ListStudentsGrou_pID Long Integer

);

UNIQUE INDEX Primary ON LISTSTUDENTSGROUP

(

ListStudentsGrou_pID

);

TABLE MARK (

MarkID Long Integer,

MName Memo(20)

);

UNIQUE INDEX Primary ON MARK

(

MarkID


TABLE PASSWORD (

PasswordID Long Integer

);

UNIQUE INDEX Primary ON PASSWORD

(

PasswordID

);

TABLE SPECIALTY (

SName Memo(20),

SpecialtyID Long Integer

);

UNIQUE INDEX Primary ON SPECIALTY

(

SpecialtyID

);

TABLE STUDENTDISCIPLINE (

ListStudentsGrou_pID Long Integer,

StudentDisciplineID Long Integer,

DisciplineID Long Integer

);

UNIQUE INDEX Primary ON STUDENTDISCIPLINE

(

StudentDisciplineID

);

Приложение Б

Текст модуля fmSpecialtyDisciplineU.pas

fmSpecialtyDisciplineU;

Windows, Messages, SysUtils, Variants, Classes, Graphics, Controls, Forms,

Dialogs, DBCtrls, StdCtrls, Buttons, Grids, DBGrids, ExtCtrls;

TfmSpecialtyDiscipline = class(TForm)

Panel2: TPanel;

Panel1: TPanel;

Panel3: TPanel;

Panel4: TPanel;

DBGrid2: TDBGrid;

Panel5: TPanel;

Panel6: TPanel;

DBGrid1: TDBGrid;

BitBtnSpecialtyAdd: TBitBtn;

BitBtnSpecialtyEdit: TBitBtn;

SpecialtyDel: TBitBtn;

BitBtnDisciplineIAdd: TBitBtn;

BitBtnDisciplineIEdit: TBitBtn;

BitBtnDisciplineIDel: TBitBtn;

DBNavigator1: TDBNavigator;

DBNavigator2: TDBNavigator;

BitBtnSelectFromList: TBitBtn;

Label1: TLabel;

Splitter2: TSplitter;

procedure BitBtnSpecialtyAddClick(Sender: TObject);

procedure BitBtnSpecialtyEditClick(Sender: TObject);

procedure SpecialtyDelClick(Sender: TObject);

procedure BitBtnSelectFromListClick(Sender: TObject);

procedure BitBtnDisciplineIDelClick(Sender: TObject);

procedure BitBtnDisciplineIAddClick(Sender: TObject);

procedure BitBtnDisciplineIEditClick(Sender: TObject);

private

{ Private declarations }

public

{ Public declarations }

end;

fmSpecialtyDiscipline: TfmSpecialtyDiscipline;

dmAdvancementU, fmSpecialtyWorkU, fmDisciplineCheckListBoxU,

fmDisciplineU, fmDisciplineSelectU;

{$R *.dfm}

TfmSpecialtyDiscipline.BitBtnSpecialtyAddClick(Sender: TObject);

fmSpecialtyWork:= TfmSpecialtyWork.Create(nil);//программное создание формы

DM.SPECIALTY.Append;

if fmSpecialtyWork.ShowModal = mrOK then

DM.SPECIALTY.Post

else

DM.SPECIALTY.Cancel;

fmSpecialtyWork.Free;//освобождаем ресурс;

TfmSpecialtyDiscipline.BitBtnSpecialtyEditClick(Sender: TObject);

if DM.SPECIALTY.RecordCount = 0 then

begin

MessageDlg('Нет записи для редактирования!',mtError,[mbOK],0);

Exit;

end

else begin

fmSpecialtyWork:= TfmSpecialtyWork.Create(nil);//программное создание формы

DM.SPECIALTY.Edit;

if fmSpecialtyWork.ShowModal = mrOK then

DM.SPECIALTY.Post

else

DM.SPECIALTY.Cancel;

fmSpecialtyWork.Free;//освобождаем ресурс

end;;

TfmSpecialtyDiscipline.SpecialtyDelClick(Sender: TObject);

if DM.SPECIALTY.RecordCount = 0 then begin

MessageDlg('Нет записи для удаления!',mtError,[mbOK],0);

Exit;

end

else if MessageDlg('Удалить запись?',mtConfirmation,[mbYes,mbNo],0)= mrYes then

DM.SPECIALTY.Delete;;

TfmSpecialtyDiscipline.BitBtnSelectFromListClick(

Sender: TObject);

j, max: Integer;

fmDisciplineCheckListBox:= TfmDisciplineCheckListBox.Create(nil);//программное создание формы

fmDisciplineCheckListBox.CheckListBox1.Items.Clear;

DM.DISCIPLINE.First;

for j:= 1 to DM.DISCIPLINE.RecordCount do begin

fmDisciplineCheckListBox.CheckListBox1.Items.Add(DM.DISCIPLINEDName.Value);

DM.DISCIPLINE.Next;

end;

fmDisciplineCheckListBox.CheckBoxSelectAll.Checked:= false;

max:= fmDisciplineCheckListBox.CheckListBox1.Items.Capacity - 1;

if fmDisciplineCheckListBox.ShowModal = mrOK then begin

for j:= 0 to max do begin

if fmDisciplineCheckListBox.CheckListBox1.Checked[j] = true then begin

DM.SPECIALTYDISCIPLINE.Append;

DM.SPECIALTYDISCIPLINEDisciplineID.Value:= j + 1;

DM.SPECIALTYDISCIPLINE.Post;

end;

end;

DM.SPECIALTYDISCIPLINE.First;

DM.SPECIALTYDISCIPLINE.Refresh;

DBGrid2.Refresh;

end

else

fmDisciplineCheckListBox.Free;//освобождаем ресурс;

TfmSpecialtyDiscipline.BitBtnDisciplineIDelClick(

Sender: TObject);

if DM.STUDENTDISCIPLINE.RecordCount = 0 then begin

MessageDlg('Нет записи для удаления!',mtError,[mbOK],0);

Exit;

end

else if MessageDlg('Удалить запись?',mtConfirmation,[mbYes,mbNo],0)= mrYes then begin

DM.STUDENTDISCIPLINE.Delete;

end;;

TfmSpecialtyDiscipline.BitBtnDisciplineIAddClick(

Sender: TObject);

fmDisciplineSelect:= TfmDisciplineSelect.Create(nil);//программное создание формы

DM.SPECIALTYDISCIPLINE.Append;

if fmDisciplineSelect.ShowModal = mrOK then begin

DM.STUDENTDISCIPLINEDisciplineID.Value:= DM.SPECIALTYSpecialtyID.Value;

DM.SPECIALTYDISCIPLINE.Post;

end

else

DM.SPECIALTYDISCIPLINE.Cancel;

fmDisciplineSelect.Free;//освобождаем ресурс;

TfmSpecialtyDiscipline.BitBtnDisciplineIEditClick(

Sender: TObject);

fmDiscipline:= TfmDiscipline.Create(nil);//программное создание формы

fmDiscipline.ShowModal;

fmDiscipline.Free;//освобождаем ресурс;

end.

Похожие работы на - Реализации информационной подсистемы 'Advancement'

 

Не нашли материал для своей работы?
Поможем написать уникальную работу
Без плагиата!
Без нейросетей!