|
Схема выпрямления
|
  pn
|
|
|
|
|
|
|
Трёхфазная мостовая
|
2,34
|
1,05
|
0,1817
|
6
|
2
|
0,24
|
где Uн - номинальное напряжение двигателя; kн = 1,1 - коэффициент, учитывающий возможное снижение
напряжения сети; kт = 1,1 - коэффициент, учитывающий
падение напряжения в сопротивлениях преобразователя; ΔUв =2 В - падение напряжения в
открытом тиристоре; n - число
последовательно соединённых тиристоров (табл. 2); αмин = 10° - минимальный угол управления.
Номинальная ЭДС фазы вторичной обмотки трансформатора
2ф = Ed0 / kсх, E2ф =274/2,34=117,09 В (1.2)
где kсх - коэффициент схемы выпрямления.
Максимальная мощность цепи постоянного тока
d0
= Ed0 Iн. Pd0 =274∙57,3=15700,2 Вт (1.3)
Типовая мощность силового трансформатора
т
= ks Pd0. Sт=1,05∙15700,2 =16482 Вт (1.4)
Номинальный ток вторичной обмотки трансформатора
2н = ki Iн. I2н=0,817∙57,3=46,8 А (1.5)
Индуктивное сопротивление фазы трансформатора
(1.6)
где uк% - напряжение короткого замыкания трансформатора в
процентах.
Активное сопротивление фазы трансформатора
, (1.7)
где pм - потери в меди трансформатора в процентах.
Индуктивность цепи якоря, необходимая для ограничения пульсаций тока на
уровне 0,05 Iн
, (1.8)
где eп - относительная величина пульсаций выпрямленного
напряжения (действующее значение основной гармоники) при α
= 90°,
;
(1.9)
p -
пульсность схемы выпрямления; ω = 314 рад/с - угловая частота сети.
Активное сопротивление якоря двигателя
.
(1.10)
Здесь
коэффициент 1,24 учитывает превышение температуры обмоток на 60°С, а последнее слагаемое определяет сопротивление щёточного контакта. Активное
сопротивление цепи якоря электропривода
(1.11)
Индуктивность сглаживающего реактора
,
, (1.12)
где
0,003Гн - индуктивность якоря двигателя; pп = 2 - число пар полюсов двигателя.
Гн
Электромагнитная
постоянная времени электропривода
(1.13)
Коэффициент
передачи двигателя
.
(1.14)
Коэффициент передачи ТП
,
(1.15)
где Eом = 10 В - амплитуда опорного
напряжения СИФУ.
Электромеханическая постоянная времени электропривода
тиристорный электропривод ток двигатель
=0,1∙0,53∙0,772=0,075сек
(1.16)
где
- суммарный момент инерции двигателя и механизма.
Момент инерции двигателя
,
кгм2
Расчёт
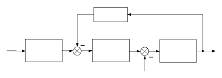
переходных процессов производится по структурной схеме разомкнутой системы,
представленной на рис. 1. Здесь Tm - постоянная времени ТП, которую можно принять равной
0,005 с.
Рис.
1. Структурная схема разомкнутой системы
Требуется
рассчитать реакции тока и скорости для двух случаев:
.Ступенчатого
изменения входного сигнала Uу при
статическом токе Ic = 0. Величина входного напряжения определяется по
формуле
. (1.17)
Этому
значению входного напряжения соответствует установившаяся величина скорости
=1,1∙27,4∙0,77=23,2
рад/с (1.18)
Рис.
2. Структурная схема разомкнутой системы в числовом виде
Рис.3.
Кривая тока переходного процесса при Ic = 0 и ступенчатом
воздействии задающего сигнала
Рис.4.
Кривая скорости переходного процесса при Ic =
0 и ступенчатом воздействии задающего сигнала
2.
Ступенчатое изменение нагрузки при Uу = 0, и Ic = Iн.
Рис.5. Кривая тока переходного процесса при Uу=0 и ступенчатом изменении нагрузки
Рис.6. Кривая скорости переходного процесса при Uу=0 и ступенчатом изменении нагрузки
.
Механические характеристики рассчитываются в предположении, что ток якоря
непрерывен. В этом случае уравнение скоростной характеристики
(1.19),
(1.20).
Здесь
w0 -
скорость идеального холостого хода.
а)
w0 = wн=157
рад/с
б)
w0 = wн/2=78,5
рад/с
Рис.
7. Электромеханические характеристики а) при Uу1=7,44В б) при Uу2=3,7 В