Производство фанеры
Введение
Производство фанеры является сложным
технологическим процессом, начинающимся с поступления сырья на завод, который
называется кряжем (брёвна необходимой длины). Затем фанерный кряж пропаривают в
бассейнах, после чего он поступает на торцовку, где получают шпон в виде листов
нужной толщины.
Производство фанеры имеет несколько способов. По
виду шпона фанера бывает:
· Пиленая. Изготавливается путем распиловки кряжа
на полосы толщиной до 5мм. Сегодня данный вид производства не применяется из-за
большого расхода древесины.
· Строганная. Этот вид производства
фанеры осуществляется строганием заготовки. Шпон имеет толщину не более 3,5мм и
изготавливается из ценных пород дерева.
· Лущеная. Лущением называется
срезание древесного слоя по всей длине фанерного кряжа. Полученный шпон
толщиной 1,2-1,9мм выравнивается в форму листа и склеивается. Данное
производство фанеры на сегодняшний день является самым популярным.
В зависимости от внешнего вида наружных слоев
фанеру подразделяют на пять сортов: Е (элита), I, II, III, IV.
Аббревиатура в названии «фанера ФК»
расшифровывается следующим образом: буква Ф - фанера, буква К - карбамидный
клей, применяющийся при склеивании слоев данного типа изделия.
Фанера ФК имеет среднюю водостойкость, поэтому
рекомендуется покупать эту продукцию для мебельного производства, изготовления
ящиков и коробов и для внутренней отделки помещений.
Фанера ФК представляет собой слоистую клееную
конструкцию, состоящую из трех и более листов древесины с взаимно
перпендикулярным расположением волокон в смежных слоях. Это придает фанере
повышенную прочность в различных направлениях, стабильность формы, что является
несомненным преимуществом по сравнению с натуральной древесиной. Так же фанера,
как и древесина, - материал, легко поддающийся обработке. Поверхность фанеры
обрабатывается разными способами: ламинирование, покрытие строганым шпоном,
красками, лаками.
Фанера хвойная изготавливается из шпона хвойных
пород древесины. Хвойная фанера легкая, несмотря на невысокую плотность,
обладает достаточно хорошей прочностью, имеет хорошую устойчивость к влаге,
гниению и грибкам, за счет использования фенолформальдегидной и естественных
смол. Она хорошо поддается пилению и легка в работе. Фанера хвойная
соответствует классу эмиссии Е-1 что позволяет её использование как с наружи,
так и внутри помещений. Широко используется в строительстве: как для опалубки,
использовании под мягкую кровлю, для устройства пола и перегородок. Находит
свое применение в мебельном производстве и в производстве различной упаковки.
Следует сказать несколько слов и о связующем. В
данной работе это КФ-БЖ, т.е. клей на основе карбамидо-формальдегидной смолы
горячего отверждения, быстроотверждающийся, повышенной жизнеспособности (время,
в течение которого смола сохраняет свои свойства).
К данному связующему предъявляют следующие
требования (таб. 1):
Таблица 1
|
Наименование показателя
|
Норма
|
|
Массовая доля сухого остатка, %
|
65,0-69,0
|
|
Массовая доля свободного
формальдегида, %, не более
|
0,8
|
|
Вязкость условная по вискозиметру
ВЗ-236, с соплом 6 мм, с
|
35-45
|
|
Концентрация водородных ионов, рН
|
7,3-8,5
|
|
Время желатинизации при 100°С, с
|
30-45
|
|
Предельная смешиваемость смолы с
водой при 19-21°С
|
полная
|
|
Разрушающее напряжении при
скалывании по клеевому слою образца после вымачивания в воде в течение 24 ч,
МПа, не менее
|
1,5
|
Состояние промышленности по производству фанеры
в России (таб. 2):
Таблица 2
|
год
|
2002
|
2003
|
2004
|
2005
|
|
млн.м3
|
1,8
|
2,0
|
2,0
|
2,6
|
В 2005 году экспорт составил 1,5 млн м³,
то есть около 60 % всей произведённой в стране фанеры.
Фанерное производство в России расположено по
большей части в привязке к регионам, богатым лесными ресурсами. Основная доля
выпуска приходится на предприятия Северо-Западного федерального округа - около
35 % в общем объёме производства.
Крупнейшие российские производители:
· Вятский фанерный комбинат (Кировская
область)
· Братский ФК (Иркутская область)
· ЗАО «Красный Якорь» (Кировская
область, город Слободской)
· ЗАО «Муром» или Муромский фанерный
завод (Муром)
· ОАО «Нелидовский ДОК» (Тверская
область, Нелидово)
· Холдинг Свеза:
- ОАО «Усть-Ижорский фанерный
комбинат» (Санкт-Петербург)
- ОАО «Фанплит» (Костромская область)
- ООО «Пермский Фанерный комбинат»
(Пермский край)
- ОАО «Великоустюгский фанерный
комбинат "Новатор"» (Великоустюгский район)
- ОАО «Мантуровский фанерный комбинат»
(Костромская область)
· Сыктывкарский фанерный завод
(Республика Коми)
· Жешартский фанерный комбинат
(Республика Коми)
· Тюменский фанерный завод (Тюменская
область)
· Фанком (Свердловская область)
· ОАО "Фанерный завод «Власть
труда» (Пензенская область)
· ООО "Промтехкомплект"
(Санкт-Петербург)
Начиная с августа 2008 года, спрос стабильно
снижается, как в России, так и за рубежом. Причины - спад в строительной
отрасли, которая является основным потребителем ламинированной фанеры, а также
существенное сокращение спроса на мебель, грузовые автомобили легкие маломерные
суда и другие товары, при производстве которых используются различные марки
клееной фанеры. Не следует забывать и о конкуренции - дешевая тополевая фанера
китайского производства и плита OSB производства западного также представляют
реальную проблему.
Следует отметить, что российские производители в
большинстве своем были совершенно не готовы к подобному варианту развития
событий. В 2007…2008 годах рынок фанеры начал приобретать некоторые черты
«пузыря» (насколько этот термин вообще применим к реальному сектору). Цены на
фанеру превышали себестоимость таковой в несколько раз: все без исключения
заводы стали получали сверхприбыли. В такой ситуации мало кто задумывался о
модернизации имеющегося производства: прибыль шла, в основном, на увеличение
выпуска фанеры экстенсивными методами. При этом многие предприятия охотно брали
кредиты на любых условиях, рассчитывая вернуть их за счет все тех же
сверхприбылей. В результате производители вошли в кризис с недостроенными
новыми мощностями и морально устаревшими старыми. Себестоимость производства
фанеры у таких производителей нередко превышала мировые цены: это повлекло за
собой валообразное снижение продаж и ощутимые потери. Итог очевиден: СМИ с
завидной регулярность публикуют сообщения о массовых сокращениях, подготовке к
процедуре банкротства и отчеты об убытках.
Настоящий курсовой проект направлен на
разработку технологии ФОН марки ФК.
1. Технические характеристики клеёного материала
Классификация и размеры
Фанеру подразделяют в зависимости от внешнего
вида поверхности на сорта, по степени водостойкости клеевого соединения на
марки, по степени обработки поверхности на шлифованную и нешлифованную.
В зависимости от внешнего вида наружных слоев
фанеру подразделяют на пять сортов: Ех (элита), Ix, IIx, IIIx и IVx.
По степени водостойкости клеевого соединения
фанеру подразделяют на марки:
ФСФ - повышенной водостойкости для внутреннего и
наружного использования;
ФК - водостойкая для внутреннего использования.
По степени механической обработки поверхности
фанеру подразделяют на:
· нешлифованную - НШ;
· шлифованную с одной стороны - Ш1;
· шлифованную с двух сторон - Ш2.
Размеры
Размеры и слойность листов фанеры должны
соответствовать указанным в таблицах 1.1 и 1.2
Таблица 1.1
|
Длина (ширина) листа фанеры, мм
|
Предельное отклонение, мм
|
|
1200; 1220; 1250
|
± 3,0
|
|
1500; 1525; 1800; 1850; 2100;
2135; 2400; 2440; 2500
|
± 4,0
|
|
2700; 2745; 3000; 3050; 3600; 3660
|
± 5,0
|
|
Примечание - Допускается
изготовлять фанеру других размеров в соответствии с условиями договора
(контракта).
|
Таблица 1.2 В
миллиметрах
|
Номинальная толщина фанеры
|
Слойность фанеры не менее
|
Шлифованная фанера
|
Нешлифованная фанера
|
|
|
Предельное отклонение
|
Разнотолщинность
|
Предельное отклонение
|
Разнотол-щинность
|
|
4
|
3
|
+ 0,3 - 0,5
|
0,6
|
+ 0,9 - 0,4
|
1,0
|
|
6,5
|
3
|
+ 0,4 - 0,6
|
|
+ 1,0 - 0,5
|
|
|
9
|
5
|
+ 0,4 - 0,6
|
|
+ 1,0 - 0,5
|
|
|
12
|
5
|
+ 0,5 - 0,7
|
|
+ 1,0 - 0,6
|
|
|
15
|
7
|
+ 0,6 - 0,8
|
|
+ 1,2 - 0,7
|
1,5
|
|
18
|
9
|
+ 0,7 - 0,9
|
|
+ 1,3 - 0,8
|
|
|
21
|
9
|
+ 0,8 - 1,0
|
|
+ 1,4 - 0,9
|
|
|
24
|
11
|
+ 0,9 - 1,1
|
|
+ 1,5 - 1,0
|
|
|
27
|
11
|
+ 1,0 - 1,2
|
1,0
|
+ 1,6 - 1,1
|
2,0
|
|
30
|
13
|
+ 1,2 - 1,3
|
|
+ 1,7 - 1,2
|
|
|
Примечание - Допускается
изготовлять фанеру других толщин и слойности по согласованию изготовителя с
потребителем.
|
Листы фанеры должны быть обрезаны под прямым
углом. Косина не должна превышать 2 мм на 1 м длины кромки листа.
Отклонение от прямолинейности кромок не должно
превышать 2 мм на 1 м длины листа.
Условное обозначение фанеры должно содержать:
наименование продукции;
породу древесины наружных слоев;
марку;
сочетание сортов шпона наружных слоев;
класс эмиссии;
вид обработки поверхности;
размеры;
обозначение настоящего стандарта.
Пример условного обозначения фанеры с наружными
слоями из шпона сосны, марки ФСФ с сочетанием сортов шпона наружных слоев
IIIx/IVx, класса эмиссии Е1, шлифованной с двух сторон, длиной 2440 мм, шириной
1220 мм, толщиной 9 мм:
Фанера сосна ФСФ, IIIx/IVx Е1 Ш2 2440×1220×9
ГОСТ 3916.2-96
Технические требования.Характеристики
Для изготовления наружных слоев фанеры применяют
шпон хвойных пород: сосны, лиственницы, ели, пихты и кедра. Внутренние слои
могут быть изготовлены из шпона лиственных пород при условии сохранения
механических и эксплуатационных свойств фанеры.
Фанера считается изготовленной из той породы древесины,
из которой изготовлены ее наружные слои.
Фанеру, изготовленную из древесины одной или
различных пород, подразделяют соответственно на однородную и комбинированную.
При четном числе слоев шпона два средних слоя
должны иметь параллельное направление волокон. Симметрично расположенные слои
шпона по толщине фанеры должны быть из древесины одной породы и толщины.
Толщина шпона, применяемого для наружных и
внутренних слоев фанеры, не должна превышать 6,5 мм.
В наружных слоях фанеры не допускаются пороки
древесины и дефекты обработки, превышающие ограничения, установленные в таблице
3 ГОСТ 3916.2-96.
Во внутренних слоях фанеры допускаются пороки
древесины и дефекты обработки, не влияющие на ее качество и размеры, требования
к которым установлены в ГОСТ 3916.2-96.
Максимальное количество видов допускаемых
пороков древесины и дефектов обработки на поверхности фанеры с наружными слоями
из шпона указанных сортов приведено в таблице 4 ГОСТ 3916.2-96.
Сочетание сортов шпона наружных слоев указано в
ГОСТ 30427.
В фанере шириной до 1525 мм наружный слой сорта
Ex может быть составлен из двух полос шпона с соединением по центру листа. В
фанере шириной 1525 мм наружный слой сорта Ex может быть из трех полос шпона
одинаковой ширины. Наружные слои сортов Iх и IVx допускается составлять из
неограниченного количества полос шпона.
Для сортов Ex, Iх и IIх соединения шпона должны
быть параллельны кромкам фанеры, а полосы подобраны по цвету.
Вставки из шпона должны подходить к поверхности,
прочно держаться и соответствовать направлению волокон древесине породы
наружного слоя фанеры. Для сортов Iх и IIх вставки должны соответствовать цвету
древесины.
Замазки должны быть подобраны по цвету древесины
данного сорта, обеспечивать приклеивание облицовочных материалов, не
выкрашиваться при механической обработке и гнутье фанеры, не растрескиваться.
Физико-механические показатели фанеры указаны в
таблице 5 ГОСТ 3916.2-96.
Содержание формальдегида в фанере и выделение
формальдегида из фанеры в воздух помещения в зависимости от класса эмиссии
должно соответствовать указанному в таблице 6 ГОСТ 3916.2-96.
Учет фанеры производят в квадратных метрах и
(или) в кубических метрах. Объем одного листа определяют с точностью до 0,00001
м3, объем партии фанеры - с точностью до 0,01 м3. Площадь
листа фанеры учитывают с точностью до 0,01 м2, площадь листов в
партии - с точностью до 0,5 м2.
Маркировка наносится несмываемой краской на
оборотную сторону каждого листа фанеры с указанием марки, сорта фанеры, номера
сортировщика.
На пакет фанеры наносят маркировку, содержащую:
наименование страны-изготовителя;
наименование предприятия-изготовителя и (или)
его товарный знак;
условное обозначение фанеры;
количество листов в пакете;
обозначение национального знака соответствия для
сертифицируемой продукции.
Транспортная маркировка - по ГОСТ 14192.
Допускается при поставке на экспорт наносить
дополнительную маркировку.
Пакетирование и упаковка
Фанера должна быть сформирована в пакеты массой
не более 1500 кг отдельно по породам, маркам, сортам, классу эмиссии, видам
обработки поверхности и размерам.
Допускается по согласованию изготовителя с
потребителем упаковывать в пакеты другой массы.
Пакетирование и упаковку фанеры, поставляемой в
районы Крайнего Севера и приравненные к ним местности, производят по 4.6.1 и
ГОСТ 15846.
Правила приемки
Фанеру принимают партиями.
Партия должна состоять из фанеры одной породы
древесины, марки, одного сорта, класса эмиссии, вида обработки поверхности и
размера листов.
Партия должна быть оформлена одним документом о
качестве, содержащим:
наименование и (или) товарный знак
предприятия-изготовителя и его адрес;
условное обозначение фанеры;
объем или площадь листов в партии;
штамп технического контроля;
обозначение национального знака соответствия для
сертифицируемой продукции.
Качество и размеры листов фанеры проверяют
выборочным контролем. Допускается в соответствии с условиями договора
(контракта) осуществлять проверку сплошным контролем.
Допускается по согласованию изготовителя с
потребителем осуществлять проверку сплошным контролем.
Определение объема выборки для пунктов 4 - 12
таблицы 5 - по согласованию изготовителя с потребителем.
Предел прочности при скалывании по клеевому
слою, предел прочности при статическом изгибе волокон наружных слоев, предел
прочности при растяжении вдоль волокон контролируют для каждой марки, толщины и
слойности фанеры не реже одного раза в месяц. Допускается контроль для каждой
партии по согласованию изготовителя с потребителем, для этого отбирают 0,1 %
листов от партии, но не менее одного листа.
Показатель содержания формальдегида контролируют
для фанеры марки ФСФ один раз в 30 сут, марки ФК - один раз в 15 сут. каждой
толщины фанеры.
Допускается контроль в соответствии с условиями
договора (контракта) один раз в 7 сут.
Для контроля содержания и выделения формальдегида
отбирают один лист фанеры от любого объема выборки. Допускается контроль по
согласованию изготовителя с потребителем один раз в 7 сут.
Партию считают соответствующей требованиям
настоящего стандарта и принимают, если в выборках:
количество листов фанеры, не отвечающих
требованиям стандарта по размерам, косине, прямолинейности, порокам древесины и
дефектам обработки, меньше или равно приемочному числу, установленному в
таблице 7 ГОСТ 3916.2-96;
все листы фанеры не имеют пузырей, расслоения и
закорины;
содержание формальдегида соответствует нормам,
установленным в таблице 6 ГОСТ 3916.2-96.
Методы контроля
Отбор образцов - по ГОСТ 9620, ГОСТ 27678.
Длину и ширину фанеры измеряют в двух точках
параллельно кромкам на расстоянии не менее 100 мм от кромок металлической
рулеткой по ГОСТ 7502 с погрешностью 1 мм. За фактическую длину (ширину)
принимают среднее арифметическое значение двух измерений.
Толщину измеряют на расстоянии не менее 25 мм от
кромок и посередине каждой стороны листа толщиномером по ГОСТ 11358 или
микрометром по ГОСТ 6507 с ценой деления не более 0,1 мм.
За фактическую толщину листа принимают среднее
арифметическое значение результатов четырех измерений.
Разнотолщинность в одном листе определяют как
разницу между наибольшей и наименьшей толщиной четырех измерений.
Влажность - по ГОСТ 9621.
Предел прочности при скалывании по клеевому слою
- по ГОСТ 9624.
Предел прочности при статическом изгибе - по
ГОСТ 9625.
Предел прочности при растяжении - по ГОСТ 9622.
Содержание формальдегида - по ГОСТ 27678
(указанный метод используют в качестве арбитражного); выделение формальдегида в
окружающую среду - по ГОСТ 30255 и ЕН 717-1-1995 Плиты древесные. Определение
содержания формальдегида. Часть 1. Определение выделения формальдегида с
использованием испытательной камеры; ЕН 717-2-1995 Плиты древесные. Определение
выделения формальдегида. Часть 2. Определение выделения формальдегида методом с
применением газового анализа.
Шероховатость поверхности - по ГОСТ 15612.
Измерение пороков древесины и дефектов обработки
- по ГОСТ 30427.
Отклонение от прямолинейности кромок листа
фанеры определяют измерением максимального зазора между кромкой листа и кромкой
металлической линейки щупом по ГОСТ 8925 с погрешностью 0,2 мм.
Измерение косины - по ГОСТ 30427.
Коэффициент звукопоглощения - по ГОСТ 16297.
Ударная вязкость при изгибе - по ГОСТ 9626.
Звукоизоляция - по ГОСТ 27296.
Твердость - по ГОСТ 9627.1.
Стойкость биологическая - по ЕНИ 1099-1997
Фанера. Биологическая стойкость. Руководящие указания по оценке фанеры для
использования в различных классах опасности.
Класс горючести - по ГОСТ 30244 и ГОСТ 12.1.044.
Коэффициент теплопроводности - по ГОСТ 7076.
Коэффициент сопротивления водяному пару - по
ГОСТ 25898.
Транспортирование и хранение
Фанеру транспортируют в крытых транспортных
средствах в соответствии с правилами перевозок грузов, действующих на данном
виде транспорта.
Транспортирование и хранение фанеры,
отправляемой в районы Крайнего Севера и труднодоступные районы, - по ГОСТ
15846.
Фанеру хранят в виде горизонтально уложенных
пакетов на поддонах или деревянных прокладках в закрытых помещениях при
температуре от минус 40 до плюс 50 °С и относительной влажности воздуха не
более 80 %.
Гарантия изготовителя
Изготовитель гарантирует соответствие качества
фанеры требованиям настоящего стандарта при соблюдении условий
транспортирования и хранения.
Гарантийный срок хранения фанеры марки ФК - 3
года, марки ФСФ - 5 лет со дня получения ее потребителем.
2. Разработка технологического процесса
изготовления клееного материала
.1 Основные положения, используемые при
разработке схемы технологического процесса
Одна из характерных черт производства фанеры -
относительная стабильность технологического процесса. Данный процесс
предусматривает снабжение завода сырьем в кряжах. При раскрое кряжей неизбежно
получаются чураки укороченной длины, которые можно перерабатывать на
высококачественный шпон малых форматов, пригодный для изготовления из него
фанеры любых размеров.
На рис. 2.1 приведена типовая схема процесса
производства фанеры.
Доставлять сырье на склад возможно несколькими
способами:
I - доставка сырья
сплавом;
II -
сухопутная доставка сырья.
В моём случае доставка осуществляется сухопутно
при помощи ж/д путей.
II - После
доставки сырья его укладывают в штабель.
Затем производится гидротермическая обработка
сырья III.
После неё окорка сырья IV.
Затем V
- раскрой кряжей на чураки.
VI - лущение
чураков.
VII - раскрой
ленты шпона на листы.
VIII - сушка
шпона.
IX -
сортирование шпона.
Х - починка листов шпона.
XI - нанесение
клея на шпон.
XII - сборка
пакетов.
XIII -
подпрессовывание пакетов.
XIV -
склеивание шпона.
XV -
охлаждение фанеры.
XVI - обрезка
фанеры.
XVII -
шлифование фанеры.
XVIII -
сортирование фанеры.
XIX - починка
фанеры.
XX -
упаковывание фанеры.
Рис. 2.1 Схема типового технологического
процесса производства фанеры
2.2 Особенности технологических операций
подготовки сырья и материалов на различных стадиях
Окорка сырья:
Кору, содержащую вкрапления песка, удаляют для
уменьшения затупления лущильного ножа, предохранения зазора между ножом и
прижимной линейкой от забивания лубом и частицами древесины, а также для
возможности использования шпона-рванины в производстве ДСтП.
Окорку выполняют на окорочных станках различного
типа или на лущильных станках упрощенной конструкции.
Качество окорки зависит от силы сцепления коры с
древесиной: чем выше влажность древесины (W>50%)
и температура коры, тем меньше сила сцепления и выше качество окорки.
Обслуживает окорочный станок один рабочий.
Применение окорки сырья повышает
производительность лущильных станков на 4-5%, уменьшает износ лущильных ножей
на 15-20%, улучшает качество поверхности шпона.
Разделка сырья на чураки:
Эта операция включает в себя предварительную
разметку и собственно распиловку. Разметку производят для получения из кряжа
отрезков, имеющих наибольшую массу и наивысшее качество. Распиловку кряжей
выполняют на круглопильных балансирных и маятниковых станках, поперечнопильных
станках с возвратно-поступательным движением пил или цепными пилами.
Общие потери древесины при разделке кряжей на
чураки составляют 1,5-4% в зависимости от объёма кряжа.
Для предотвращения попадания в станки сырья,
содержащего металлические включения (гвозди, осколки снарядов, пули и т.д.),
целесообразно пропускать его через кольцевые металлоискатели, устанавливаемые в
разрывах продольных транспортеров и сообщающие импульс специальному сигнальному
звонку.
Гидротермическая обработка сырья:
Тонкий слой древесины, срезаемый при лущении с
цилиндрического отрезка чурака, должен быть достаточно плотным, не иметь трещин
и разрывов. Но вследствие того, что во время срезания он подвергается
выпрямлению, на оборотной стороне возникают растягивающие напряжения поперек
волокон древесины. Чем больше толщина срезаемого шпона и чем меньше радиус
чурака, тем больше эти напряжения. Для их предотвращения чураки перед лущением
подвергают тепловой обработке ля усиления деформативности древесины; прочность
шпона с ростом температуры повышается.
Нагрев древесины до слишком высоких температур
нежелателен вследствие ухудшения качества поверхности изготовляемого из нее
шпона.
ГТО чураков можно производить их пропариванием
или провариванием. В основном применяют проваривание. Он отличается
сравнительной простотой и не требует значительных затрат. Пропаривание
применяют в том случае, когда есть вероятность изменения цвета древесины.
Для вышеуказанных способов ГТО можно
использовать разного рода бассейны, парильные ямы и камеры, металлические котлы
(автоклавы) соответствующих размеров.
Качество тепловой обработки определяется её
режимами, основной фактор которых - время нагрева, зависящее от размера
чураков, их начальной температуры, температуры нагревающей среды, физических
свойств древесины и т.д.
клееный оборудование фанера производство
2.3 Описание схемы технологического процесса
) Доставка сырья.
В моём случае доставка осуществляется по ж/д
путям, т.е. сухопутно. Вагоны с сырьем подъезжают к складу хранения, где
разгружаются при помощи консольно-козлового крана.
) Укладка сырья в штабель и хранение
сырья.
Разумно хранить сырье влажным способом. При этом
способе влажность древесины на всем протяжении хранения поддерживается на
уровне влажности свежесрубленной древесины. Это препятствует развитию грибов и
жизнедеятельности насекомых. Укладка бревен в плотный штабель. Укладка
осуществляется при помощи того же консольно-козлового крана. Кроме того здесь
также сортируется сырье по группам качества.
) Окорка сырья.
Со склада сырья по лесотранспортеру сырье
поступает на линию окорки. Окорка сырья осуществляется на станке Ок 63-1. Этот
станок отлично подходит для елового сырья диаметром 32 сантиметра.
Также разумно использовать вертикальную
молотковую мельницу для коры модели МК 5-1, которая предназначена для тонкого
измельчения коры, используемой в производстве плит, строительных материалов,
удобрений и т.п.
) ГТО.
После окорки сырье по лесотранспортерам
поступает к накопителю, в котором собственно ждет своей очереди. Из накопителя
при помощи козлового крана бревна помещаются в бассейны, в которых собственно и
проводится ГТО. Вода в бассейнах нагревается при помощи теплоты пара, который
образуется в процессе сушки шпона или при прессовании.
Проваривание чураков проводят в специальных
бассейнах по мягкому режиму, при котором предусматривается обработка древесины
при температуре 30…45 °С.
Режим ГТО с температурой воды 40 °С приведен в
таблице 2.3.1:
Таблица 2.3.1
|
Диаметр сырья, см
|
Продолжительность ГТО, ч. в
бассейнах с температурой воды 40 °С при температуре воздуха, °С
|
|
выше 0
|
от 0 до -10
|
от -11 до -20
|
от -21 до -30
|
от -31 до -40
|
|
Хвойные породы древесины
|
|
до 25
|
6-8
|
11
|
16
|
17
|
19
|
|
20-35
|
12-17
|
22
|
30
|
34
|
39
|
|
36-45
|
21-23
|
35
|
50
|
56
|
65
|
|
46-60
|
38-50
|
68
|
84
|
98
|
116
|
5) Разделка сырья.
Козловой кран выгружает бревна из бассейна и
перекладывает их на передвижной погрузчик. Затем бревна поступают на
разделочную линию при помощи продольных лесотранспортеров и т.п.
Существует индивидуальный и групповой раскрой.
При групповом все кряжи независимо от качества раскраивают по длине на
многопильных станках по заранее установленной схеме.
В производстве фанеры наиболее приемлем
индивидуальный раскрой, при котором каждый кряж раскраивают в зависимости от
качества древесины и расположения пороков по наиболее выгодной схеме.
В качестве "разделочного" станка
используется пильный агрегат Зеленкова модели АПЗ.
Также используется сортировщик для щепы СЩ-1М,
чтобы использовать опилки после раскроя кряжей для производства ДСтП.
) Лущение чураков.
Для лущения чурака используются лущильные станки
средней группы (длина чураков до 1900 мм). Сначала чураки по транспортеру
поступают в цех, где при помощи бревносбрасывателя СБР 80-1 попадают в
накопитель чураков. Затем по полуавтоматической линии лущения-рубки шпона на
базе лущильного станка ЛУ 17-4 чураки собственно и начинают лущиться. В этой линии
присутствует транспортер для удаления карандашей, транспортер для удаления
шпон-рванины.
) Раскрой ленты шпона на листы.
Этот раскрой осуществляется также на
вышеупомянутой полуавтоматической линии на автоматических ножницах НФ 18-3.
) Подсортировка сырого шпона на
заболонный и ядровый.
Необходимость этого возникает вследствие большой
разницы во влажности листов такого шпона и поэтому требуется их сушка при
различных режимах для получения одинаковой конечной влажности.
) Сушка шпона.
Одно из условий получения качественного шпона -
высокая влажность фанерного сырья. но изготовленный на лущильном станке шпон
сразу должен быть подвергнут сушке для предотвращения биологического заражения
древесины, могущего повлечь за собой снижения качества шпона.
Необходимость сушки шпона диктуется также самой
технологией изготовления фанеры и предъявляемыми к ней качественными
требованиями.
После операции подсортировки шпон поступает в
роликовую радиационно-сопловую сушилку СУР-8 (поскольку она является наиболее
оптимальным вариантом для шпона 1220х1220 мм). Агент сушки - горячий воздух.
Направление циркуляции агента сушки перпендикулярно плоскости листов шпона. В
сушилке используется метод соплового дутья. Нагрев агента сушки осуществляется
как от внешних пластиковых калориферов, так и через поверхности нагрева
межэтажных гладкотрубных калориферов. Из всего вышеуказанного понятен и принцип
работы сушилки.
Ориентировочно начальная влажность елового шпона
равна 30-150 %. Размеры шпона 1300х1300, поскольку присутствует явление усушки.
Конечная влажность 6-10 %.
) Сортирование шпона.
После сушки шпон поступает по транспортерам к
сортировщику шпона марки СШ-3. он предназначен для сортирования и укладки
листов сухого шпона в стопы. Система адресования управляется микропроцессором.
Лист с помощью отсекателя укладывается на подстопное место. После завершения
формирования стопы включается цепной конвейер, который вывозит её за пределы
сортировщика на резервные рольганги. Допускается одновременная подачи трёх
листов, а также рассортировка неформатных листов.
) Починка листов шпона и ребросклеивание.
Починка заключается в удалении из листов шпона
дефектных мест с последующей заменой их вставками из качественного шпона.
Также может использоваться ребросклеивание
листов шпона. Эта операция заключается в склеивании между собой по продольным
кромкам (вдоль волокон древесины) полос шпона для получения полноформатных
листов. Перед ребросклеиванием необходимо выровнить кромки. В этом случае можно
использовать ножницы гильотинные НГ -30.
После обрезки и прифуговки полосы шпона
соединяют друг с другом на ребросклеивающих станках. В этом случае можно
использовать станок РС-9. В этом станке для соединения полос шпона используют
клеевую нить. клеевую нить КН-54 (ТУ 13-154-73) изготавливают из стеклянной
нити Бс-7-36х1(ТУ 6-11-220-71) и полиамидной смолы П-54 (МРТУ 6-05-1032-66).
В ребросклеивающих станках нить наклеивается на
шпон посредством нитеводителя. Нить нагревается до 450-550 °С воздухом,
проходящим под давлением 0,2-0,3 МПа через нагревательный элемент нитеводителя.
) Нанесение клея на шпон.
Наносить клей на поверхность шпона будем
контактным способом. Этот способ заключается в переносе клея с двух вращающихся
барабанов клеенаносящих станков на поверхность пропускаемых между ними листов
шпона. Для обеспечения требуемой нормы нанесения различных видов клеев
используются клеенаносящие станки с барабанами, имеющими поверхность
металлическую или обрезиненную, гладкую или рифленую.
Марка применяемого связующего КФ-БЖ. Расход клея
70-240 г/м2. Рецептура клея приведена в таблице 2.3.2:
Таблица 2.3.2
|
Компоненты
|
Кол-во м.ч.
|
|
Карбамидоформальдегидная смола
|
100
|
|
Хлористый аммоний
|
0,7-1
|
|
Древесная мука
|
3-5
|
13) Сборка пакетов
При сборке пакетов необходимо соблюдать
следующие требования: симметрично расположенные листы шпона в пакете должны
быть из древесины одной породы, одинаковой толщины, иметь одно направление
волокон и левой стороной обращены внутрь пакета.
Из этого следует, что левая сторона 4 листов
шпона толщиной 1,5 мм обращена внутрь. Соответственно слойность пакета
составляет 5 по схеме 1,5х4 + 1,15х1. В пакете два поперечных и три продольных
листа.
После формирования пакета производится выдержка
для повышения вязкости и концентрации клея на поверхности намазанных листов
шпона.
Клей наносится на шпон при помощи клеенаносящего
станка КВ 28-1.
) Подпрессовывание пакетов.
Цель операции подпрессовки - получение
сформированного пакета, в котором листы шпона слипаются между собой, в
результате чего пакеты приобретают необходимую жесткость и транспортабельность.
В результате подпрессовки улучшаются условия
проникновения клея в шпон, происходит перераспределение влаги в листах шпона,
составляющих пакет, меняются первоначальные реологические свойства клея.
Операция сборки пакетов и последующей их
подпрессовки могут выполняться либо на отдельном участке, либо в составе линий
сборки пакетов-подпрессовки-склеивание.
Подпрессовка пакетов осуществляется на прессе
марки ДО836-Б.
) Склеивание шпона.
При прессовании используется пресс фирмы
"Рауте" 30-VPH11.
Он отлично подходит для прессования "квадратной" фанеры. Температура
плит пресса для хвойных пород шпона со слойностью пакета равной 5 и
карбамидоформальдегидного клея должна составлять 110-115 °С. Размеры полит
пресса 1750х1750 мм. Номинальное усилие 6,4 МН. Расстояние между плитами
составляет 80 мм. В связи со значительной упрессовкой шпона из древесины
хвойных пород давление при склеивании должно находиться в пределах 1,5-1,7 МПа.
) Охлаждение фанеры.
Фанеру, склеенную карбамидными клеями, охлаждают
для удаления из неё свободного формальдегида. Выполняют эту операцию в веерных
или конвейерных охладителях. Время охлаждения в зависимости от толщины фанеры
составляет 4-7 мин.
) Обрезка фанеры.
Для придания фанере стандартных размеров её
обрезают по кромке. Часть фанеры разрезают на более мелкие размеры. В основном
ее обрезают на круглопильных станках с механической подачей фанеры.
Для обрезки фанеры используется полуавтоматическая
линия обрезки фанеры фирмы "Рауте" модернизированная. Она позволит
обрезать несколько пачек фанеры, а также измельчить обрезки фанеры в щепу.
) Шлифование фанеры.
Шлифование фанеры - процесс массового
поверхностного резания древесины абразивным материалом шлифовальной шкурки.
Осуществляется с целью облагораживания поверхности, как правило, для
последующей отделки, с удалением неровностей, вызванных обработкой и
структурным строением древесины. Качество поверхности фанеры оценивается её шероховатостью
(Rz
max).
Шлифованная фанера должна соответствовать 7-му классу (Rz
max
100
мкм).
Для шлифования используется широколенточный
калибровально-шлифовальный станок ДКШ-1.
) Сортировка фанеры.
Цель сортирования фанеры - распределения всей её
массы на группы по качественному признаку: порокам древесины и дефектам
изготовления.
Сортирование фанеры включает в себя:
а) предварительное сортирование экспортной
фанеры, при котором её рассортировывают на три группы - экспортную, рядовую и в
переобрез;
б) сортирование экспортной шлифованной и
нешлифованной фанеры, при котором выполняются следующие работы: визуальный
осмотр листа с обеих сторон, простукивание деревянным молотком, подциклевка и
подшлифовка дефектных мест, проверка толщины, укладка листов по подстопным
местам;
в) сортирование рядовой фанеры, при котором
производятся следующие работы: осмотр листов фанеры с двух сторон, проверка
углов листа на прочность, заделка трещин и отверстий от выпавших сучков,
простукивание листов фанеры толщиной более 6 мм деревянным молотком,
подциклевка дефектных мест, проверка толщины листа, определение сорта,
нанесения штампа, укладка листов фанеры по подстопным местам.
Все операции по сортированию выполняются
вручную.
) Починка фанеры.
Починка фанеры производится для исправления
дефектов, образовавшихся на листах фанеры в процессе производства или
оставшихся неустраненными при починке шпона. Цель починки - повышение сортности
листа фанеры за счет устранения сверхнормативных пороков или подготовка
поверхности листа к последующей его отделке.
Ремонт фанеры осуществляется на станке для
шпатлевания фанеры ШПЦ (Рыбинский завод деревообрабатывающих станков).
Применения шпатлевок для заделки дефектов предпочтительнее вследствие малой
трудоемкости процесса.
) Упаковывание, маркирование,
складирование и хранение фанеры.
Упаковка, маркирование и грузопереработка
фанеры, состоящая из операций по хранению и транспортировке готовой продукции,
представляет собой заключительные операции технологического процесса
производства фанеры, основная цель которых - обеспечение сохранения её качества
и доставка к потребителю с наименьшими затратами.
Один пакет состоит из 20 листов фанеры (в
пакетах малого объёма). Применяется автоматическая упаковочная машина формы
"Signode
Steel Strappingc".
Использование упаковочного автомата позволяет увеличить производительность
труда в 10-20 раз.
Маркирование производится полистно при
сортировании фанеры и на пакетах при её упаковке. Маркировку пакетов фанеры,
идущей на внутренний рынок, наносят на продольные планки или специальные бирки,
прикрепляемые к веревке, которой обвязывают фанеру. Маркировка на планке (слева
направо) содержит: наименование предприятия-изготовителя; размер листов; марку
фанеры; породу древесины; сорт и вид обработки наружных поверхностей;
количество листов в пакете; номер стандарта.
Маркировка экспортной фанеры, наносится на две
противоположные планки или обложки. Цвет маркировки указывает на марку фанеры
(для ФК зеленый). Надписи делают на английском языке, название породы - на
английском и русском языках.
Складирование и хранение фанеры:
) Склады для хранения фанеры должны быть
крытыми и отапливаемыми. При хранении фанеры свыше 3-х месяцев следует перед
отгрузкой проверить её влажность.
Здания складов следует строить кирпичные или
железобетонные с величиной пролета не менее 12 м. Длины склада должна позволять
отгружать продукцию одновременно в 3-4-осных вагонах.
) Для погрузки фанеры в вагоны при
внешнем расположении ж/д пути вдоль склада нужно иметь рампу (эстакаду) шириной
2,5-2,9 м и высотой 1,1 м для головки рельса.
) Грузопереработка всей фанеры должна
основываться на пакетном способе, когда транспортной единицей является пакет
определенных размеров и массы.
При автоматизации упаковки фанеры наилучшее
решение вопроса- увязка пакета вместе с двумя-тремя брусками квадратного
сечения, что позволяет исключить применение поддонов.
) Фанерная продукция должна быть
складирована по маркам, сортам, слойности и размерам, причем в одном штабеле
допускается не более одного сорторазмера. Штабеля следует располагать от стен
на расстоянии 0,5-1 м и с разрывам между продольными рядами 0,2 м, поперечными
- 0,5 м.
) Штабелировать фанеру в действующих
складах следует электропогрузчиками грузоподъёмностью до 2 т.
3. Выбор и расчет основного оборудования
Эффективный фонд рабочего времени работы оборудования,
в днях
где
-
число календарных дней в году (365);
- число выходных
дней в году (113);
- число праздничных
дней в году (8);
- дни на
капитальный ремонт оборудования (10).
Годовой эффективный фонд работы оборудования
где
-
средняя продолжительность смены, ч (7,67);
n - количество смен
в рабочем дне (3).
Производительность пресса
где 60 - время работы, за которое определяется
производительность (60 мин);
n - количество
загруженных рабочих промежутков(этажей) пресса (30);
m - количество
пакетов, закладываемых в один этаж пресса(2);
F - площадь готового
материала(1220х1220мм,т.е.1,49 м2);
S - толщина
материала(6мм);
ku
- коэффициент использования рабочего времени (0,95…0,97);
τ - цикл
прессования, (12,21мин).
Цикл прессования
где τпр
- время прессования(10,71мин);
τвсп
- время, затрачиваемое на выполнение вспомогательных операций(1,5мин).
Время прессования
где τпрог
- время прогрева наиболее удаленной от греющих плит пресса точки краевой зоны
пакета(8,71мин);
τсн.д
- время снятия давления(2мин).
Время прогрева, мин
где kt
- эмпирический коэффициент, учитывающий температуропроводность плит
пресса(3,13мин/см2 при Tn=110
°C);
Sn
- суммарная толщина единичных пакетов в одном рабочем промежутке пресса(1,43см);
Tn
- температура плит пресса(110 °C);
T0
- температура в помещении цеха(20 °C);
Tk
- температура, которую необходимо достигнуть в краевой точке пакета(для фанеры
ФК = 105 °C);
х - расстояние от плоскости симметрии
пакета(пакетов),располагаемого с одном рабочем промежутке пресса, до ближайшего
клеевого слоя(0,15см).
Годовая программа по выпуску материала
где n
- количество прессов (1, по заданию).
Принимаю годовую программу 14 тыс. м3.
4. Расчет потребного количества сырья и
материалов
.1 Расчет древесных материалов
Объем сухого шпона для выполнения программы
где А - годовая программа по выпуску
материала(14000 м3);
N - количество
листов фанеры в 1 м3 материала(112шт);
n1
+ n2
- количество слоев шпона данной толщины в одном пакете согласно схеме сборки(n1
= 4 шт., n2
= 1 шт.);
b1
+ b2
- количество листов шпона данной толщины в 1 м3 материала(b1=4шт,
b2=1шт).
Количество листов фанеры
где Fф
- площадь листа фанерной продукции после обрезки(1220х1220мм или 1,49 м2)
Sф
- толщина листа фанерной продукции(6мм).
Количество листов шпона (две толщины 1,5 и
1,15мм)
где fш
- площадь листа шпона(одинакова для обоих листов и = 1,49 м2);
sш1
и sш2
- толщина листа шпона(1,5 и 1,15мм соответственно).
Объем сухого шпона с учетом потерь
Где
-
коэффициент, учитывающий потери при сортировке и пропитке шпона(1,03);
- коэффициент,
учитывающий потери шпона при починке(1,006);
- коэффициент,
учитывающий потери шпона при прирубке и прифуговке кускового шпона, подлежащего
ребросклеиванию(1,007);
- коэффициент,
учитывающий потери древесины при шлифовании(1,056).
Объём сырого шпона
Выход кускового шпона при лущении одного чурака
Где
-
длина чурака (1300 мм);
dч
- диаметр чурака (32 см);
Kд
- коэффициент выхода делового шпона (0,903);
Kф
- коэффициент выхода форматного шпона (0,855).
Выход полноформатного шпона при лущении одного
чурака
где dк
- диаметр карандаша (85 мм).
Выход делового шпона
Для получения необходимого количества сырого
шпона количество чураков равно
Объём древесины для выполнения программы
Объём одного чурака определяется по формуле
где dч
ср
- диаметр чурака на середине его длины (32+1,3/2=32,65 см).
Для производства 1 м3 конечной
фанерной продукции расход сырья определяется по формуле
Полезный выход продукции:
.2 Расчёт вспомогательных материалов
Масса клея на выполнение программы по выпуску
материала
Где
-
годовая программа (14 000 м3);
- площадь листа
фанеры после обрезки (1,49 м2);
- число листов
шпона в одном пакете (листе) фанеры (5 шт.);
- число листов
фанеры данной толщины в 1 м3 (112 шт);
- технологический
расход связующего на единицу площади склеиваемой поверхности (140…150 г/м2).
Коэффициент, учитывающий потери клея
Где
-
коэффициент, учитывающий технологические потери клея (1,11);
- коэффициент,
учитывающий потери смолы при обрезке фанеры(1,135). Рецептура (таб. 4.2)
Таблица 4.2
|
Компоненты
|
Кол-во м.ч.
|
|
Карбамидоформальдегидная смола
|
100
|
|
Хлористый аммоний
|
0,7-1
|
|
Древесная мука
|
3-5
|
Расчёт компонентов, то есть смолы, наполнителей,
отвердителя, для этой рецептуры производится по формулам
.3 Расчёт отходов
Баланс отходов.
Процент выхода фанеры: 47 %
Процент на отходы при обрезке: 5 %
Процент при сушке, ребросклеивании и починке: 4
%
Процент потери на карандаши: 10 %
Процент потерь при оцилиндровке и рубке чурака:
17 %
Процент потери при раскряжевке: 3 %
Процент потерь при усушке шпона: 6 %
Процент потерь на упрессовку фанеры: 8 %
.4 Пути использования отходов
Таблица 4.4
|
Виды отходов
|
Качественные особенности отходов
|
Направления использования отходов
|
|
Дрова, отрезки долготья, кряжей и
чураков, карандаши
|
Из окоренных хвойный и мягких
лиственный пород древесины
|
Производство щепы для ЦБП и ДВП,
щепы и стружки для ДСтП, производство ТНП и пилопродукции
|
|
То же из твердых лиственных пород
древесины
|
Производство щепы для ДВП, щепы и
стружки для ДСтП, производство ТНП и пилопродукции
|
|
Те же из смешанных пород древесины
|
Производство щепы и стружки для
ДСтП, производство ТНП и пилопродукции
|
|
Дрова, отрезки долготья, кряжей и
чураков, шпон-рванина, обрезки шпона, фанеры и плит
|
Из неокоренного сырья хв. и мягких
листв. пород древесины
|
Производство щепы для ДВП, щепы и
стружки для ДСтП, производство ТНП
|
|
То же из твердых лиственных и
смешанных пород древесины
|
Производство щепы и стружки для
ДСтП, производство ТНП и дробленки для топлива
|
|
Опилки
|
Из окоренного сырья хвойных,
лиственных и смешанных пород древесины
|
Производство ДВП, ДСтП и
гидролизное
|
|
То же из неокоренного сырья
|
Производство ДСтП, топливо
|
|
Древесная пыль
|
Из любых пород древесины
|
Добавка в производстве ДСтП,
топливо и др.
|
|
Отходы окорки
|
Из любых пород древесины
|
Добавка в производстве ДСтП,
топливо, удобрения и др.
|
5. Расчёт потребного количества технологического
оборудования
.1 Окорка сырья
Окорка осуществляется на станке Ок 63-1.
Производительность окорочного станка равна
где u
- скорость подачи (11,4 м/мин);
- коэффициент
использования рабочего времени (0,8…0,85);
- коэффициент
использования машинного времени (0,7…0,8);
l - длина кряжа (5,5
м);
q - объём кряжа
(0,521 м3).
Количество единиц оборудования для окорки сырья:
Где
-
объём сырья для выполнения программы (
м3);
- годовой фонд
рабочего времени (5384 ч).
Принимаю 1 окорочный станок.
Коэффициент загрузки оборудования:
5.2 ГТО
Расчёт времени оттаивания
Где
- средний диаметр
кряжа (34,75 см);
- номинальный
коэффициент теплопроводности (0,275 Вт/м
);
- поправочный
коэффициент, зависящий от базисной плотности (1,038);
- температура воды
в бассейне (40
);
- базисная
(условная) плотность древесины (390 кг/м3);
- начальная
влажность древесины (110%);
- относительное
содержание связанной воды, оставшейся в замороженной зоне в жидком состоянии
(18%);
- скрытая теплота
плавления льда (335000 Дж/кг);
- удельная
теплоемкость древесины в оттаявшей зоне (3180 Дж/кг
);
- плотность
древесины при начальной влажности (870 кг/ м3);
- удельная
теплоемкость древесины в замороженной зоне (2200 Дж/кг
);
- температура
окружающей среды (-20
).
Расчёт времени прогрева
Где
- коэффициент
температуропроводности (1,19х10-7 м2/с);
- температура воды
в бассейне (40
);
- температура
карандаша (30
);
- диаметр
карандаша (85 мм);
- диаметр кряжа
(32 см).
Общее время ГТО
Расчёт оборудования бассейна
Выбор крана и грейфера: выбираю козловой кран
марки ККС-10 с грузоподъёмностью 10,8 т и пролетом межу опорами 32 м; грейфер
марки ФП-238 с грузоподъёмностью 10 т, наибольшей массой захватываемого груза 7
т и массой самого грейфера 2,7 т.
Объём захвата грейфера
Где
-
грузоподъёмность грейфера (10000 кг);
- плотность
древесины при начальной влажности (870 кг/м3);
- коэффициент
заполнения захвата грейфера (0,85).
Производительность крана
Где
-
коэффициент использования рабочего времени крана (0,8);
- цикл работы
крана (8 мин).
Расчётное количество кранов:
Где
-
объём сырья для выполнения программы (
м3);
- годовой фонд
рабочего времени (5384 ч).
Принимаю 1 кран.
Коэффициент загрузки оборудования:
Расчёт производительности и размеров бассейна
Объём сырья в одной секции бассейна
Где
-
длина кряжа (5,5 м);
h - глубина секции
бассейна (2 м);
- ширина секции
(32 - 6 = 26 м);
- коэффициент заполнения
секции (0,4).
Расчёт производительности секции
где
-
продолжительность ГТО сырья (121 470 с = 33,74 ч).
Количество секций бассейна
Принятое количество секций
Расчётное значение числа секций увеличивают на
3, поскольку требуется одна секция - резервная, ещё одна - под загрузку, и
последняя - для очистки.
Расчёт размеров бассейна
Длина секции
где
-
длина кряжа (5,5 м).
Ширина секции
где
-
расстояние между опорами крана (32 м).
Ширина бассейна:
где
-
толщина стенок секций (1 м).
Длина бассейна
.3 Разделка сырья
Производительность круглопильных станков
Где
-
объём чурака (0,116 м3);
- коэффициент
использования рабочего времени (0,9…0,95);
- цикл операции
(опускание пилы, пиление, подъём пилы, передвижение кряжа), зависит от среднего
диаметра кряжа (16,22 с).
Определяем число пропилов
где
-
кратность кряжа, т.е. принятое количество чураков в одном кряже (4);
- сортовой
коэффициент (для I сорта =
1,1).
Количество единиц оборудования для разделки
сырья
Где
-
объём сырья для выполнения программы (
);
- годовой
эффективный фонд рабочего времени (5384 ч).
Принимаю один круглопильный станок.
Коэффициент загрузки оборудования
.4 Расчёт лущильных станков
Определяем время оцилиндровки и лущения (для
шпона 1,5 и 1,15 мм)
Где
-
коэффициент формы чурака, учитывающий превышение максимального диаметра чурака
над диаметром оцилиндрованного чурака (1,15);
- диаметр чурака
(320 мм );
- диметр карандаша
(85 мм);
Sшп
- толщина шпона (1,5 и 1,15 соответственно);
n - частота вращения
шпинделя (109;147;220 об/мин).
Определяем полное время цикла лущения:
Где
-
время вспомогательных операций, к которым относятся: установка чурака, зажим
чурака шпинделями, подвод суппорта к чураку, отвод суппорта в исходное
положение, снятие карандаша, прочистка зазора между ножом и линейкой, включение
и выключение исполнительных механизмов станка (9…13 с).
Производительность лущильных станков
где
-
выход делового шпона из чурака (0,0778
);
- коэффициент
использования рабочего времени (0,95).
Количество лущильных станков
где
-
годовой эффективный фонд рабочего времени (5384 ч);
и
-
объём сырого шпона толщины 1,5 и 1,15 мм соответственно (
).
Принимаю два лущильных станка для двух толщин.
Коэффициент загрузки станков
Производительность оборудования для рубки сырого
шпона

- коэффициент
объёмной усушки (1,087);
- коэффициент
использования рабочего времени (0,93…0,95);
- коэффициент
продолжительности рубки шпона, т.е. доля времени на рубку шпона от
продолжительности полного цикла лущения одного чурака (0,5…0,7);
- затраты времени
на прохождение одного листа шпона через ножницы и отрезку его от ленты (1,5…5
с).
Данная модель ножниц отлично подходит для рубки
шпона, поскольку их производительность больше производительности лущильных
станков, что рекомендовано при выборе оборудования для рубки.
5.5 Расчёт сушильных агрегатов
Продолжительность сушки шпона
Где
-
начальная влажность шпона (90%);
- влажность шпона
после сушки (8%);
поправочный
коэффициент на породу (0,9 для сосны);
- коэффициент,
учитывающий направление циркуляции сушильного агента (при поперечной 0,85).
Скорость сушки в первом периоде ( до W
= 30%)
Где
- средняя
температура сушильного агента в сушилке (200 оС);
- средняя скорость
сушильного агента (20 м/с);
s - толщина шпона
(1,5 и 1,15 мм соответственно);
a - поправочный
коэффициент (0,85).
Коэффициент продолжительности второго периода
сушки
Производительность сушилок
Где
-
число этажей сушилки (5);
- число листов
шпона, закладываемых в сушилку по ширине этажа (3900 = 433,5 + 1300 + 433 +
1300 + 433,5
2 листа);
S - толщина шпона,
м;
- ширина шпона, м;
- коэффициент
использования рабочего времени сушилки (0,9);
- коэффициент
заполнения длины сушилки (0,8…0,9).
Количество сушильных агрегатов:
Где
-
объём сухого шпона (с учётом потерь при нормализации качества) для выполнения
программы, м3;
- годовой эффективный
фонд рабочего времени (5384 ч).
Принимаю пять сушильных агрегатов.
Коэффициент загрузки сушильных агрегатов:
.6 Расчёт оборудования и рабочих мест для
сортирования шпона
Скорость укладки шпона
где
-
цикл работы линии (5 с).
Производительность механического сортировщика
шпона
Где
-
количество листов сортируемого сухого шпона толщиной 1,5 мм в 1 м3
(448 шт);
- количество
листов сортируемого сухого шпона толщиной 1,5 мм в 1 м3 (136 шт);
- количество
листов сортируемого кускового сухого шпона толщиной 1,5 мм и шириной 0,4 м в 1
м3
- количество
листов сортируемого кускового сухого шпона толщиной 1,15 мм и шириной 0,4 м в 1
м3
- коэффициент
использования рабочего времени (0,8).
Количество агрегатов для сортировки шпона
Доля кускового и полноформатного шпона в общем
объёме
Где
,
,
- выход делового, полноформатного и кускового шпона из чурака (0,0778; 0,069;
0,0088 м3 соответственно).
Где
-
объём сухого шпона для выполнения программы (
);
- годовой
эффективный фонд рабочего времени (5384 ч).
Находим принятое количество оборудования
Принимаю 4 агрегата для сортировки шпона.
Коэффициент загрузки оборудования равен
.7 Расчёт оборудования для починки шпона
Производительность шпонопочиночных станков равна
Где
-
коэффициент использования рабочего времени оборудования (0,95);
- время ручных
операций на 1 лист (6…8с);
- число вставок на
1 лист шпона, зависит от размеров листа и сортности (от 5 до 15);
- время машинных
операций на 1 вставку (1…2с);
- время на
перемещение листа шпона под просечкой от одного дефектного места к другому (0,5…1с);
- число листов
шпона данной толщины в 1 м3.
Количество шпонопочиночных станков:
Где
-
объём сухого шпона для выполнения программы (
);
- норма починки
(16%);
- годовой
эффективный фонд рабочего времени (5384 ч).
Находим принятое количество станков:
Принимаю один шпонопочиночный станок.
Коэффициент загрузки рабочих мест для починки
шпона:
.8 Расчёт кромкофуговальных и ребросклеивающих
станков
При лущении чураков образуется 15…25% кускового
шпона, из которого, путем соединения по ширине, получают полноформатный шпон.
Производительность гильотинных ножниц
Где
-
коэффициент использования рабочего времени оборудования (0,9);
- время на двойной
ход ножевой траверсы (2,5 с);
- время на
установку, закрепление и снятие обрабатываемой пачки шпона (45…60 с);
- ширина полосы
кускового шпона (0,4 м);
- длина шпона (1,3
м);
- высота пачки
шпона (0,06 м).
Количество единиц оборудования
Где
-
объём сухого шпона для выполнения программы (
);
- норма
ребросклеивания (11%) определяется как
;
- годовой
эффективный фонд рабочего времени (5384 ч).
Коэффициент загрузки оборудования
Расчёт производительности ребросклеивающих
станков
Производительность ребросклеивающих станков
равна (с продольной подачей)
Где
-
скорость подачи (14…40 м/мин);
- коэффициент
использования рабочего времени оборудования (0,8);
- число стыков на
полноформатном листе шпона (1,2/0,4 = 3 шт.);
- длина шпона (1,2
м);
- число листов
шпона данной толщины в 1 м3.
Расчётное количество станков для ребросклеивания
Где
-
объём сухого шпона для выполнения программы (
);
- норма
ребросклеивания (11%) определяется как
;
- годовой
эффективный фонд рабочего времени (5384 ч).
Находим принятое количество станков:
Принимаю один ребросклеивающий станок.
Коэффициент загрузки оборудования
.9 Расчёт оборудования на участке сборки
пакетов, подпрессовки и прессования
Выбор клеенаносящих станков и расчёт
производительности рабочих мест для сборки пакетов
Время прохождения листа шпона через вальцы
Где
-
окружная скорость вальцов (для станков фирмы "Рауте" равна 0,67 м/с);
- коэффициент
проскальзывания (0,8).
Цикл нанесения связующего на 1 лист шпона с двух
сторон, его укладку в пакет
Где
-
время подготовки и подачи листа шпона в вальцы (2…3 с);
- время укладки
листа шпона в пакет (4…5 с).
Производительность рабочих мест при сборке
пакетов без подсушки клеевых слоёв зависит от производительности клеенаносящих
станков, и времени укладки листов шпона в пакет
Где
-
коэффициент использования рабочего времени оборудования (0,95);
b - число листов
шпона данной толщины в 1 м3.
Количество рабочих мест для сборки пакета
Где
-
объём сухого шпона, на который наносится клей (
).
Принятое к установке число станков
Принимаю 2 станка
Коэффициент загрузки оборудования
Выбор и расчёт производительности холодных
прессов
Производительность холодного пресса
Где
-
длина пакета (1,3 м);
- ширина пакета
(1,3 м);
- высота рабочего
промежутка пресса (1,2 м);
- коэффициент укладки
шпона в пакете (0,4);
- коэффициент
использования рабочего времени оборудования (0,9);
- цикл
подпрессовки (для ФК = 10…15 мин).
Упрессовка материала
Где
-
сумма толщин шпона, уложенных в пакет (7,15 мм);
- толщина фанеры
(6 мм).
Переводной коэффициент
Где
-
коэффициент, учитывающий потери фанеры при обрезке (1,135).
Количество холодных прессов:
Где
-
производительность горячего пресса (2,53 м3/час);
- количество
горячих прессов (1 шт. по заданию).
Принимаю один холодный пресс.
Коэффициент загрузки оборудования:
.10 Расчёт оборудования на участке обрезки
фанеры
Производительность станков для обрезки фанеры
Где
-
скорость подачи материала (25 м/мин);
- число листов
фанеры в обрезаемой пачке (1 шт.);
- длина листа
необрезной фанеры (1,3 м);
- ширина листа
необрезной фанеры (1,3 м);
- количество
листов обрезной фанеры данной толщины в 1 м3 (112 шт.).
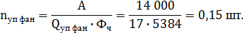
Количество обрезных станков
Где А - годовая программа по выпуску
материала(14000 м3);
- годовой
эффективный фонд рабочего времени (5384 ч).
Принимаю один обрезной станок.
Коэффициент загрузки оборудования
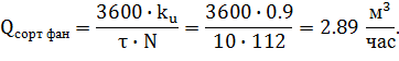
5.11 Расчёт шлифовальных станков
Производительность шлифовальных станков
Где
-
скорость подачи материала (6…21 м/мин);
- ширина обрезной
фанеры (1,2 м);
S - толщина фанеры
(6 мм = 0,006 м);
- коэффициент
использования рабочего времени оборудования (0,92);
- коэффициент
заполнения (0,9).
Количество шлифовальных станков
Где А - годовая программа по выпуску
материала(14000 м3);
- норма шлифования
(70%);
- годовой
эффективный фонд рабочего времени (5384 ч).
Принимаю один шлифовальный станок.
Коэффициент загрузки оборудования
.12 Сортировка и упаковывание фанерной продукции
Производительность рабочего места
Где
-
коэффициент использования рабочего времени (0,9);
- время на
сортировку одного листа фанерной продукции (10 с);
- количество
листов фанеры в 1 м3 (112 шт.).
Расчётное количество мест для сортирования
Где А - годовая программа по выпуску
материала(14000 м3);
- годовой
эффективный фонд рабочего времени (5384 ч).
Принимаю одно рабочее место.
Коэффициент загрузки рабочих мест
Производительность рабочего места для упаковки
фанерной продукции
Где
-
коэффициент использования рабочего времени (0,85);
- время на
упаковку одного куб.м фанерной продукции (3…4 мин).
Количество рабочих мест
Принимаю одно рабочее место.
Коэффициент загрузки рабочих мест
6. Расчёт площади цеха для производства фанерной
продукции
Перед вычерчиванием плана цеха требуется
установить его ориентировочные размеры, для чего необходимо знать площадь цеха.
По назначению площадь цеха подразделяется на
производственную, вспомогательную и служебно-бытовую.
Производственной называют площадь,
непосредственно предназначенную для осуществления технологического процесса. В
её состав входят площади, занимаемые:
- Производственным оборудованием и
рабочими местами;
- Наземным транспортным оборудованием
- рольганами, конвейерами и т.п.;
- Площадками для межоперационных
запасов и технологической выдержки;
- Проездами и проходами между станками
(кроме магистральных проездов).
К вспомогательным относятся:
- Площади под ремонтные мастерские;
заточки инструмента; зарядки электрокар и т.п.;
- Помещения для дежурных слесарей,
электриков;
- Площади помещений цеховых складов
инструмента, приспособлений и деталей;
- Площади под магистральные проезды.
К служебно-бытовой площади относятся:
- Комнаты мастеров, технологов,
нормировщиков, кабинет начальника цеха, и др.;
- Раздевалки, душевые, туалеты и т.п.;
- Комнаты приёма пищи, курилки и т.д..
Магистральные проезды подразделяются на
продольные и поперечные. Количество магистральных проездов зависит от размеров
цеха. Один продольный проезд должен устраиваться на каждые 24 м ширины цеха,
поперечные проезды устраиваются через каждые 50 м длины цеха. Ширина продольных
и поперечных проездов должны быть не менее 2,8 м. для д/о цехов она, как
правило, составляет от 3,6 до 4,2 м.
Таким образом, площадь цеха рассчитывается
Где
-
производственная площадь цеха (
);
- вспомогательная
площадь цеха;
- площадь цеха под
служебно-бытовые помещения.
Сумма вспомогательной и служебно-бытовой
площадей определяется
Производственная площадь
Где
-
суммарная площадь под рабочие места (
);
- площадь для
межоперационных запасов шпона и для кондиционной выдержки фанерной продукции (
);
- площадь под
проходы и разрывы между установленным оборудованием (
).
Рассчитаем площадь под рабочие места. Для
удобства сведем их в таблицу 6.1.
Таблица 6.1
Расчётная ведомость площадей, занимаемых
рабочими местами
|
№ п/п
|
Наименование рабочих мест
|
Площадь, занимаемая одним рабочим
местом, м2
|
Количество рабочих мест одного
типа
|
Общая площадь, занимаемая рабочими
местами данного типа, м2
|
Примечание
|
|
1
|
Линии лущения-рубки
|
; 0
|
2
|
457,60
|
|
|
2
|
Участок подсор-тировки сырого
шпона на заболонный и ядровый
|
; =105,60
|
1
|
105,60
|
|
|
3
|
Участок сушки
|
30 8,02=240,60.
|
5
|
1203
|
|
|
4
|
участок сортировки
|
(18,5+4) (5,2+4)
=207
|
4
|
828
|
|
|
5
|
починка и ребросклеивание
|
(2,81+4) (0,85+4)
=33,03; (3,57+4) (3,47+4) =56,55;
(1,835+4) (0,85+4) =28,30;
|
1 1 1
|
117,88
|
шпонопо-чиночный + ножницы +
ребросклеив.
|
|
6
|
Участок нанесения клея
|
(3,56+4) (0,825+4=
36,48
|
2
|
72,96
|
|
|
7
|
участок подпрессовки
|
2,5 5,7=14,25
|
1
|
14,25
|
|
|
8
|
участок склеивания шпона
|
11,38 4,05=46,09
|
1
|
46,09
|
|
|
10
|
участок шлифования
|
3,17 3,7=11,73
|
1
|
11,73
|
|
|
11
|
участок сортировки
|
(5 1,2+6) (1,2 3)
=43,2
|
1
|
43,2
|
|
|
12
|
участок упаковки
|
16 =128
|
1
|
128
|
|
|
Итого
|
3 214,31
|
|
Площадь для межоперационных запасов сухого шпона
Где
-
площадь под межоперационные запасы шпона (
);
- площадь под
запасы шпона для кондиционной выдержки (
).
Где
-
высота стопы шпона (2,4…3,9 м).
Суточная потребность цеха в сухом шпоне
Где
-
объём сухого шпона для выполнения программы (
);
- годовой
эффективный фонд рабочего времени (224,33 дня).
Площадь под кондиционную выдержку готовой
продукции
Где
-
допустимая высота штабеля под фанерную продукцию (2,4…3,9 м).
Объём выпуска клееных материалов в смену
Где А - годовая программа по выпуску
материала(14000 м3);
- годовой
эффективный фонд рабочего времени (224,33 дня);
Площадь под проходы и разрывы
Ориентировочно проверить правильность
определения площади цеха можно
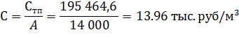
7. Экономическая часть
Производственная себестоимость
Производственная себестоимость складывается из
отдельных статей затрат на производство продукции. В предлагаемом оценочном
расчёте учтены основные статьи структуры себестоимости фанерной продукции.
.1 Затраты, связанные с использованием
материальных ресурсов
Где q
- расход материала на единицу продукции;
Ц - цена единицы объёма материала.
Стоимость фанерного кряжа составляет
,
расход фанерного кряжа на изготовления 1 м3 фанеры согласно расчётам
составляет 1,85 м3.
Стоимость карбамидоформальдегидной смолы
составляет 7000
. Масса смолы на
изготовление 1 м3 фанеры согласно расчётам составляет 115,1 кг.
Добавки в смолу при изготовлении клея составляют
10 % от стоимости смолы.
Затраты, связанные с материальными ресурсами на
годовую программу определяются
Таблица 7.1 Затраты на материальные ресурсы
|
Номер п/п
|
Наименование материала
|
Расход материала на выпуск 1 м3
продукции, м2, кг или м3
|
Потребность в материале на годовой
выпуск продукции, м2, кг или м3
|
Цена материала, руб/ м2,
руб/ м3, руб/ кг
|
Затраты материального ресурса на
годовой выпуск продукции, тонн, м2, м3
|
|
1
|
Фанерный кряж
|
1,85
|
|
2000
|
51 800
|
|
2
|
КФС
|
120
|
1 610 800
|
7
|
11 760
|
|
3
|
Добавки в смолу
|
6,9
|
96 600
|
0,7
|
67,62
|
.2 Затраты, связанные с использованием
технологического оборудования
Таблица 7.2 Технологическое оборудование
фанерного цеха
|
Номер п/п
|
Наименование оборудования
|
Марка, тип
|
Цена единицы оборудования,
тыс.руб.
|
Установленная мощность двигателей,
кВт
|
Кол-во единиц оборудования
|
Масса станка (линии), кг
|
|
1
|
Накопитель чураков
|
-
|
500
|
5,7
|
2
|
2500
|
|
2
|
Лущильный станок
|
ЛУ 17-4
|
2 230
|
35,2
|
2
|
11 150
|
|
3
|
Гильотинные ножницы
|
НФ 18-3
|
769,2
|
5,5
|
2
|
3846
|
|
4
|
Сушилки
|
СУР-8
|
21 000
|
307
|
5
|
105000
|
|
5
|
Сортировщик шпона
|
СШ-3
|
2 400
|
20,6
|
4
|
12000
|
|
6
|
Шпонопочиночный станок
|
ПШ-2
|
430
|
0,81
|
1
|
2150
|
|
7
|
ножницы гильотинные
|
НГ -30
|
1 248
|
8,3
|
1
|
6240
|
|
8
|
ребросклеивающий станок
|
РС-9
|
126
|
1,32
|
1
|
630
|
|
9
|
Клеенаносящий станок
|
КВ 28-1
|
386
|
2,8
|
2
|
1930
|
|
10
|
Холодный пресс
|
ДО836-Б
|
7 100
|
38,5
|
1
|
35500
|
|
11
|
Горячий пресс
|
30-VPH11
|
16 000
|
130
|
1
|
80000
|
|
12
|
Обрезка фанеры
|
полуавтоматическая линия обрезки
фанеры фирмы "Рауте"
|
7 200
|
12,6
|
1
|
36000
|
|
13
|
Шлифование фанеры
|
ДКШ-1
|
3 840
|
213,5
|
1
|
19200
|
Затраты на технологическое оборудование с учётом
дополнительных затрат
.
.
.
.
.
.
.
.
.
;
.
.
.
.
Где n
- принятое количество единиц оборудования;
- дополнительные
затраты на оборудования, принимаются равными 25%;
Ц - цена оборудования, тыс.руб..
Тогда затраты на оборудование, переносимые на
стоимость товарной продукции, выпускаемой за один год
.
.
.
.
.
.
.
.
.
.
.
.
.
Где
-
процент ежегодных амортизационных отчислений на оборудование (15%).
.3 Затраты на электро- и тепловую энергию на
технологические нужды
Расход электроэнергии на годовой выпуск продукции
рассчитывается исходя из установленной мощности токоприемников (оборудования),
коэффициентов спроса и загрузки оборудования, а также годового эффективного
фонда рабочего времени работы цеха
.
.
.
.
.
.
.
.
.
.
.
.
Где N
- установленная мощность токоприемников;
n - количество
однотипного оборудования;
- коэффициент
спроса токоприемников однотипного оборудования (0,7-0,8);
Кзаг - коэффициент загрузки
оборудования;
- годовой
эффективный фонд рабочего времени (5384 ч).
Затраты на электроэнергию на технологические
нужды рассчитываются умножением общего расхода э/э на тариф для промышленного
предприятия (2,5 руб/кВт ч).
Где
-
стоимость 1 кВт ч электроэнергии (2,5 руб/кВт ч);
- общий расход
электроэнергии (
).
Затраты на тепловую энергию
Где
-
технологическая норма расхода тепловой энергии на 1 м3 выпускаемой
продукции (1,48 Гкал/ м3);
А - годовая программа по выпуску материала(14000
м3);
- стоимость Гкал
тепловой энергии (136 руб/Гкал).
.4 Затраты на режущий инструмент и
приспособления
Затраты на режущий инструмент и приспособления
определяют укрупненно, исходя из объёма обрабатываемого материала, а также
норматива удельных затрат инструмента и приспособлений на единицу
обрабатываемого материала по следующей формуле
Где А - годовая программа по выпуску
материала(14000 м3);
- норматив
удельных затрат инструмента и приспособлений на 1 м3 фанеры (225
руб/м3).
.5 Затраты на ремонт и обслуживание оборудования
Затраты на ремонт и обслуживание оборудования
можно определить укрупнено
Где
-
затраты на приобретенное оборудования по прейскурантным ценам (
);
- норматив годовых
затрат на ремонт и обслуживание оборудования (8…10%).
.6 Затраты на производственный персонал
Эффективный фонд рабочего времени для работающих
Где
-
календарный фонд в днях (365);
- число выходных
дней (104);
- число
праздничных дней (11);
- число
разрешенных нерабочих дней в году, связанных ч выполнением государственных
обязанностей, временной нетрудоспособностью и т.п. (33);
- длительность
рабочей недели (час);
- количество
рабочих дней в неделе (5).
Списочная численность основных производственных
рабочих для выполнения производственной программы
Где
-
трудоемкость производственной программы (чел час).
Трудоемкость производственной программы
Где
количество
единиц оборудования i-го типа;
- численность
работающих на единице i-го
оборудования: бассейн ГТО - 3 чел.; окорка - 2 чел.; разделка - 2 чел.; лущение
- 2 чел.; сушка - 2…4 (в зависимости от типа сушилки); сортировка шпона ручная
- 1 чел.; починка шпона - 1 чел.; кромкофугование - 1 чел.; ребросклеивание
кускового шпона - 2 чел.; сборка пакетов - 3 чел.; холодная подпрессовка и
горячее прессование - 2 чел.; обрезка - 3 чел.; шлифование - 2 чел.; сортировка
фанеры - 2 чел.; упаковка - 2 чел..
kзаг
- коэффициент загрузки оборудования;
- часовой
эффективный фонд рабочего времени оборудования (5384 ч.).
Списочная численность вспомогательных рабочих
Где
-
списочная численность основных производственных рабочих для выполнения
производственной программы (108 чел);
- норматив, равный
35% от численности основных производственных рабочих.
Управленческий персонал.
Общая численность
административно-управленческого персонала, ИТР и служащих определяется
укрупненно по нормативу
, равному 10% от
численности основных производственных рабочих
Затраты (фонды) на заработную плату для трех
категорий работающих (основные рабочие, вспомогательные и управленческий персонал)
Где i
- категория работающих;
СЧ - списочная численность категории работающих,
чел.;
СЗП - средняя зарплата для данной категории
работающих, руб., принимается для основных рабочих 10 000 руб., для
вспомогательных 7 000 руб., для управленческого персонала 12 000 руб..
- число месяцев в году.
Затраты на единый социальный налог, тыс. руб.,
определяются по законодательно установленной ставке
,
равной 26 % от затрат на з/п
.7 Затраты, связанные с использованием
производственных площадей
При строительстве новых производственных зданий
следует определить капитальные затраты на здания и сооружения, исходя из рассчитанной
производственной площади. Норматив удельных капитальных затрат
принимается
равным 12000…16000 руб/м2. Можно взять 14 000 руб/м2.
Тогда стоимость здания цеха
Где
-
площадь цеха (
).
Затем рассчитываются затраты на амортизационные
отчисления,
, при их годовой
норме 2% (при предлагаемом сроке службы зданий 50 лет) и затраты на ремонт и
эксплуатацию зданий (отопление, освещение, водоснабжение и проч.) по нормативу
годовых затрат
, равному 4% от
первоначальной стоимости здания. Таким образом, затраты, связанные со
строительством и эксплуатацией здания
.8 Накладные расходы
Накладные расходы (охрана труда, внутризаводской
транспорт, спецодежда и проч.) определяется укрупненно по нормативу
,
который равен 10…30% от общего фонда з/п производственного персонала. Примем
равным
20%, тогда затраты на накладные расходы
Где
,
,
-
фонды заработной платы соответственно основных, вспомогательных рабочих ,
управленческого персонала.
Сумма затрат по перечисленным статьям определяет
производственную себестоимость годового выпуска продукции
Коммерческие расходы
К коммерческим расходам относят расходы на тару,
упаковку, зарплату работников отдела сбыта, рекламу и проч.. Эти расходы,
тыс.руб., определяются укрупненно по нормативу
,
равному 8…10% от производственной себестоимости
Полная себестоимость товарной продукции
Полная себестоимость товарной продукции,
тыс.руб., определяется
Себестоимость 1 м3 продукции,
тыс.руб./м3, определяется
Где А - годовая программа по выпуску
материала(14000 м3).
Таблица 7 Затраты на производство продукции
|
Номера п/п
|
Статьи затрат производственной
себестоимости продукции (Спр)
|
Затраты на годовой выпуск
продукции, тыс.руб.
|
Затраты на выпуск 1 м3
продукции
|
|
|
|
руб
|
% от себестоимости 1 м3
продукции
|
|
1
|
Затраты, связанные с
использованием материальных ресурсов
|
|
5240
|
41
|
|
2
|
Затраты, связанные с
использованием технологического оборудования
|
|
2100,26
|
16
|
|
3
|
Затраты на электро- и тепловую
энергию на техн. нужды
|
|
1496,49
|
12
|
|
4
|
Затраты на режущий инструмент и
приспособления
|
|
225
|
2
|
|
5
|
Затраты на ремонт и обслуживания
оборудования
|
|
1401,25
|
11
|
|
6
|
Затраты на производственный
персонал
|
|
1599,44
|
13
|
|
7
|
Затраты, связанные с
использованием производственных площадей
|
|
392,79
|
3
|
|
8
|
Накладные расходы
|
|
256,57
|
2
|
|
Себестоимость продукции
|
177 965,1
|
12 711,8
|
100
|
Библиографический список
1. <http://www.fanera-optom.ru/>
- Фанера ФК высокосортная.
. <http://www.otdelka-servis.ru/fanerafk/index.html>
- Фанера ФК.
. <http://www.azko.ru/page35739>
- фанера ФК.
. <http://www.texnosnab.ru/index.php?option=com_content&view=category&layout=blog&id=61&Itemid=75>
- Рекламная группа "перспектива"
. <http://ru.wikipedia.org/wiki/%D4%E0%ED%E5%F0%E0>
- Фанера - Википедия
. <http://www.fansklad.ru/>
- Фанера водостойкая.
. <http://www.docload.ru/Basesdoc/9/9555/index.htm>
- ГОСТ 3916.2-96.
. Куликов
В.А. "Производство фанеры" М. "Лесная промышленность",
1976, с. 368.
. Справочник
по производству фанеры/Веселов А.А., Галюк Л.Г., Доронин Ю.Г. и др.: под ред.
канд. техн. наук Н. В. Качалина.-М.: Лесн. пром-ть, 1984.- 432 с.
.
Соболев А.В. Технология клееных материалов и древесный плит : учеб. Пособие. -
М. : ГОУ ВПО МГУЛ, 2008. - 149с.
.
Базанов Л.Ф. технология клееных материалов и древесных плит. Характеристики и
планировочные изображения оборудования для производства шпона и продукции на
его основе : учеб. Пособие / Л.Ф. Базанов, М.И. Балакин. - М. : ГОУ ВПО МГУЛ,
2006. - 125 с. : 129 ил.