Технологические расчеты в производстве фанеры и древесно-стружечных плит
Федеральное
агентство по образованию (Рособразование)
Северный
(Арктический) федеральный университет
Кафедра
мебели и дизайна
КУРСОВОЙ
ПРОЕКТ
По дисциплине
Технология
клееных материалов и древесных плит
На тему
Технологические
расчеты в производстве фанеры и древесно-стружечных плит
Садовников Александр Сергеевич
Архангельск
2011
ВВЕДЕНИЕ
древесная стружечная плита фанера
Целью данной работы является выполнение технологических расчетов в
производстве фанеры и древесно-стружечных плит. В содержание этих расчетов
входят:
· расчет программы предприятия по выпуску конечной продукции
исходя из производительности головного оборудования;
· определение потребности в сырье и материалах для выполнения
программы, расчет объемов вторичного сырья и потерь древесины по основным
операциям технологического процесса;
· составление сводной таблицы движения материала в ходе
изготовления продукции;
· выбор основного технологического оборудования, расчет
производительности оборудования и коэффициента его загрузки. Определение путей
использования отходов производства;
· составление сводной таблицы загрузки основного
технологического оборудования и схемы производственного процесса.
В первой части настоящего курсового проекта выполнен технологический
расчет в производстве авиационной фанеры. Отличительной особенностью
авиационной фанеры является использование лущеного шпона (исключительно
березового) более высокого качества, малые толщины шпона и фанеры,
использование только фенолоформальдегидных связующих. ГОСТ 102-75
предусматривает следующие марки авиационной фанеры:
· БП-А - фанера, склеенная бакелитовой
пленкой марки А;
· БП-В - фанера, склеенная бакелитовой
пленкой марки В;
· БС-1 - фанера, склеенная смолой
СФЖ-3011;
· БПС-1В - фанера, толщиной 2; 2,5 и 3
мм, склеенная бакелитовой пленкой марки В, а так же фанера толщиной 4, 5 и 6
мм, наружные слои которой склеиваются бакелитовой пленкой, а внутренние смолой
СФЖ-3011.
Предусмотрено два сорта фанеры - первый и второй,
отличающихся как допуском пороков в наружных и внутренних слоях, так и
прочностными показателями. Помимо предела прочности при скалывании образцов по
клеевому шву после их кипячения нормируется так же предел прочности при
растяжении вдоль волокон наружного слоя.
Клей СФЖ дает темный клеевой шов, имеется опасность
кислотного повреждения волокон древесины, некоторые марки клеев требуют
подсушки после нанесения. Свойства клея СФЖ (фенолоформальдегидный горячего
отверждения):
· отвердитель: без отвердителя;
· механизм отверждения:
поликонденсация;
· преимущества: высокая водо- и
атмосферостойкость клееной продукции;
· недостатки: высокая токсичность,
малая скорость отверждения;
· область применения: производство
водостойкой фанеры и древесно-слоистых пластиков.
Производство фанеры - небезотходный процесс. При
разделке фанерного сырья и форматной обрезке образуются опилки, которые можно
использовать при производстве древесно-стружечных плит. Древесно-стружечная
плита (ДСтП) - материал, получаемый путем склеивания частиц древесины связующим
веществом, нанесенным на их поверхность, при прессовании в результате создания
контакта между частицами древесины и воздействия тепла. Исследования показали,
что опилки можно применять во внутреннем слое ДСтП в объеме до 50% без потери
прочности и снижения других показателей. В качестве связующего применяют
мочевино-формальдегидные, феноло-формальдегидные и другие смолы.
Классификация древесно-стружечных плит:
· Конструкция: по количеству слоев ДСтП
подразделяется на 1-слойный, 3-слойный и многослойный.
· Марка: в зависимости от показателей
прочности на изгиб, деформации, водостойкости, подверженности короблению, ДСтП
делится на 2 марки: П-А и П-Б.
· Сорт: в зависимости от критериев
внешнего вида плиты (трещины, сколы, окрашивание, пятна, выступы и углубления)
плиты ДСтП делятся на 1 сорт (дефекты не приемлемы кроме минимальных), 2 сорт
(допустимы крупные дефекты поверхности) и без сорта (кардинальные дефекты
поверхности, используется в строительстве).
· Наружный слой: выделяются плиты с
мелкоструктурной поверхностью (возможна облицовка полимерными материалами),
обычной (применяется облицовка шпоном) и крупнозернистой (используется в
строительстве).
· Уровень обработки поверхности:
выделяется шлифованная и нешлифованная ДСтП.
· Класс эмиссии формальдегида: по
содержанию в 100 г сухой плиты ДСтП свободного формальдегида выделяются классы
Е1 (менее 10 мг), Е2 (от 10 до 30 мг).
· Водостойкость: кроме того, что плита
марки П-А обладает лучшими водостойкими свойствами (22 % деформации против 33 %
у П-Б при погружении в воду на сутки), выделяется отдельный вид водостойкой
ДСтП, предназначенной для производства мебели и специфических строительных
работ.
· Огнестойкость: при введении в состав
ДСтП антипиренов плита приобретает огнестойкие характеристики. Сейчас на
территории РФ производство данного вида ДСтП не ведется.
· Плотность: по плотности ДСтП делится
на плиту малой плотности (менее 550 кг/м3), средней (550-750 кг/м3)
и высокой (более 750 кг/м3).
Во второй части курсового проекта проведены
технологические расчеты в производстве древесно-стружечных плит.
1.ТЕХНОЛОГИЧЕСКИЕ РАСЧЕТЫ В ПРОИЗВОДСТВЕ ФАНЕРЫ
.1 Расчет программы фанерного предприятия
Программа
(производственная мощность) 
- это
максимально возможный годовой объем выпуска продукции при полном использовании
головного оборудования (клеильных прессов) и работе в 3 смены.
Согласно
заданию, в качестве головного оборудования используется многоэтажный клеильный
пресс для горячего прессования марки ДА4438. Техническая характеристика данного
оборудования приведена в таблице 1.1.
Время цикла прессования, мин, определяется по формуле
(1.1)
Где
t
пр- время прессования (пьезотермообработки), мин, 
(при
толщине
пакета - 14,0 мм и использовании металлических прокладок (табл. 1.9 [1]));
время
снятия давления, мин, 

время
вспомогательных операций, мин, принимаем
(с
учетом этажности пресса и выбранной технологической схемы);
Часовая
производительность пресса
определяется по формуле
(1.2)
где
- коэффициент рабочего времени, 
;

- число
этажей пресса, 
(табл.
1.1);

- число
листов фанеры в промежутке пресса, 
;

- длина
обрезного листа фанеры, м, 
;

- ширина
обрезного листа фанеры, м, 
;

- толщина
фанеры, м, 
;

- время
цикла прессования, 
(1.1);
Таблица
1.1 - Техническая характеристика клеильного пресса марки ДА4438
|
Наименование параметра
|
Значение
|
|
Усилие пресса, мН
|
6,3
|
|
Давление прессования, Мпа
|
2,2
|
|
Число этажей
|
20
|
|
Размер плит, мм
|
1650х1750
|
|
Толщина греющих плит, мм
|
45
|
|
Высота рабочего промежутка,
мм
|
70
|
|
Схема прессования
|
Бесподдонная
|
|
Число цилиндров
главных/вспомогательных
|
2/2
|
|
Диаметр плунжеров, мм,
главных/вспомогательных
|
450/90
|
|
Скорость смыкания плит,
мм/с
|
108
|
|
Установленная мощность, кВт
|
96,5
|
|
Размеры пресса ( ), м9,33х8,0х5,15
|
|
|
Масса, т
|
73
|
Число дней в году, приходящихся на планово-предупредительный ремонт,
определяется по формуле
(1.2)
где
- количество недель в году, 
;
Эффективный
фонд времени работы оборудования, ч, определяется по формуле
(1.3)
где-
число рабочих дней в году, 
;

- число
дней в году, приходящихся на капитальный ремонт, 
;

- число
дней в году, приходящихся на планово-предупредительный ремонт,

(1.3);

-
продолжительность смены, ч, 
;

- число
смен, 
;
Программа
предприятия определяется по формуле
(1.4)
где
часовая производительность пресса, 

(1.2);

- фонд
эффективного времени работы одного пресса, ч, 
;

- число
прессов, ;
.2
Выбор конструкции фанеры (схемы сборки
Задача
выбора конструкции фанеры заключается в согласовании слойности продукции с толщинами
шпона и фанеры с учетом ее упресовки.
Расчетная толщина шпона, мм, определяется по формуле
(1.5)
где 
-
толщина фанеры, мм, 
;

- число
слоев фанеры, 
;

-
упрессовка, %, 
(для
авиационной фанеры из березового шпона при упрессовке с удельным давлением
1,8...2,0 Мпа (табл. 1.13 [1]));
Согласно
рекомендуемого ряда толщин лущеного шпона (табл. 1.14 [1]) для лиственных пород
древесины, принимаем толщину шпона 
.
Сумма
толщин шпона, составляющего пакет фанеры, мм, определяется по формуле
(1.6)
где 
- число
слоев фанеры, 
;

-
толщина шпона, мм, 
(1.5);
Фактическая упрессовка, %, определяется по формуле
(1.7)
где
- сумма толщин шпона, составляющего пакет фанеры, мм, 
(1.6);

-
толщина фанеры, мм, 
;
Расчетная толщина фанеры, мм, определяется по формуле
(1.8)
где
- сумма толщин шпона, составляющего пакет фанеры, мм, 
(1.6);

-
величина фактической упрессовки, %, 
(1.7);
Сборка
пакета авиационной фанеры производится из 3 равных по толщине тонких листов
березового шпона.
.3
Расчет потребности в сырье и шпоне
древесная стружечная плита фанера
Расчет
потребности в сырье и шпоне на программу предприятия следует вести по
нормативам расхода согласно инструкциям, разработанным ЦНИИФ РД 3-2000.
При
проведении расчетов необходимы следующие исходные данные:
) длина
чурака, м, 
;
) диаметр
чурака, м, 
;
) объем
чурака, 
, 
;
) доля
сырья 1-го и 2-го сортов в общем объеме поставки, %, 
;
) диаметр
малого кулачка лущильного станка, м, 
;
) программа
выпуска фанеры, 
, 
(1.4).
Норма
расхода сырья на изготовление сырого шпона, 
,
определяется по формуле
(1.9)
где
- средневзвешенный расход березового сырья длиной 1,6 м на 1 м3сырого
шпона, , 
;

-
поправочный коэффициент на длину чурака, 
(при
длине чурака - 1,6 м (табл. 1.22 [1]));

-
поправочный коэффициент на породу древесины, 
(для
березы (табл. 1.23 [1]));

-
поправочный коэффициент на использование березового сырья с ложным ядром, 
(при
удельном весе чураков с ложным ядром - 15% (табл.1.24 [1]));
Норма
расхода сырого шпона на 1 м3 сухого товарного шпона, 
,
определяется по формуле
(1.10)
где
- усушка тангенциальная (по ширине листа шпона), %, 
(при
толщине шпона - 1,15 мм (табл. 1.25 [1]));

- усушка
радиальная (по толщине листа шпона), %, принимаем 
;

-
коэффициент технологических потерь шпона в сушилке, принимаем 
;
Коэффициент потерь при упрессовке фанеры определяется по формуле
(1.11)
где
- упрессовка шпона в горячем прессе, %, 
(1.7);
Коэффициент потерь при обрезке фанеры определяется по формуле
(1.12)
где
- длина
шпона, мм, 
;

- ширина
шпона, мм, 
;

- длина
обрезного листа фанеры, мм, 
;

- ширина
обрезного листа фанеры, мм, 
;
Норма
расхода сухого шпона на изготовление обрезной фанеры, 
,
определяется по формуле
(1.13)
где
- коэффициент потерь на ленты для починки шпона, 
(при
удельном весе починенного шпона в составе всего сухого шпона - 0% (табл. 1.26
[1]));

-
коэффициент потерь на стадии прирубки кускового шпона,

(при
удельном весе неформатного шпона, используемого на производство фанеры, в
составе всего сухого шпона - 25% (табл. 1.27 [1]));

-
коэффициент потерь при упрессовке фанеры, 
(1.12);

-
коэффициент потерь при обрезке фанеры, 
(1.13);

-
коэффициент потерь на переобрезе листов фанеры, 
(при
формате фанеры - 1525х1525 мм (табл. 1.28 [1]));

-
коэффициент потерь при шлифовании фанеры, 
(при
удельном весе шлифованной фанеры - 100% (табл. 1.29 [1]));
Норма
расхода сырья на производство фанеры, 
,
определяется по формуле
(1.14)
где
- норма расхода сырья на изготовление сырого шпона, 
(1.10);

- норма
расхода сырого шпона на изготовление сухого шпона, 

(1.11);

- норма
расхода сухого шпона на изготовление обрезной фанеры,

(1.14);
Расчетные
значения норм расхода сведены в таблицу 1.2.
Таблица
1.2 - Расчетные значения норм расхода древесины
.4 Баланс древесины в производстве фанеры
Зная нормы расхода шпона и сырья, можно найти другие составляющие баланса
древесины, а именно: объем шпона-рванины, объем делового сырого и сухого шпона,
объем карандашей, объем чураков и кряжей, а также объем отходов на различных
операциях.
Объем
нешлифованной обрезной фанеры, 
,
определяется по формуле
(1.15)
где
- объем продукции на участке упаковки, 
(1.4);

-
коэффициент потерь при шлифовании фанеры, 
(при
удельном весе шлифованной фанеры - 100% (табл. 1.29 [1]));
Объем
необрезной фанеры, 
,
определяется по формуле
(1.16)
где
- объем нешлифованной обрезной фанеры, 
(1.15);

-
коэффициент потерь при обрезке фанеры, 
(1.13);

-
коэффициент потерь на переобрезе листов фанеры, 
(при
формате фанеры - 1525х1525 мм (табл. 1.28 [1]));
Объем
пакетов шпона перед горячим прессом, 
,
определяется по формуле
(1.17)
где - объем необрезной фанеры,

(1.16);

-
коэффициент потерь при упрессовке фанеры, 
(1.12).
Потребность
в сухом шпоне с учетом потерь, 
,
определяется по формуле
(1.18)
где
- объем пакетов шпона перед горячим прессом, 

(1.17);

-
коэффициент потерь на ленты для починки шпона, 
(при
удельном весе починенного шпона в составе всего сухого шпона - 0% (табл. 1.26
[1]));

-
коэффициент потерь на стадии прирубки кускового шпона,
(при
удельном весе неформатного шпона, используемого на производство фанеры, в
составе всего сухого шпона - 25% (табл. 1.27 [1]));
Потребность
в сыром шпоне, 
,
определяется по формуле
(1.19)
где
- потребность в сухом шпоне с учетом потерь, 

(1.18);

- норма
расхода сырого шпона на изготовление сухого шпона, 

(1.10);
Полезный выход шпона из чураков, %, определяется по формуле
(1.20)
Где
норма расхода сырья на изготовление сырого шпона, 

(1.9);
Доля карандашей в объеме чурака, %, определяется по формуле
(1.21)
где
- диаметр карандаша, м, принимаем 
(с
учетом диаметра малого кулачка лущильного станка - 65 мм (табл. 1.6));

- длина
чурака, м, 
;

- объем
чурака, 
, 
;
Отходы от оцилиндровки (шпон-рванина), %, определяется по формуле
(1.22)
где-
полезный выход шпона из чураков, %, 
(1.20);

- доля
карандашей в объеме чурака, %, 
(1.21);
Потребность
в чураках, 
,
определяется по формуле
(1.23)
где
- потребность в сыром шпоне, 
(1.19);

- норма
расхода сырья на изготовление сырого шпона, 

(1.9);
Потребность
в кряжах, 
,
определяется по формуле
(1.24)
где
- потребность в чураках,
, 
(1.23);

-
коэффициент потерь древесины на участке раскроя кряжей на чураки, 
;
Объем коры на участке окорки кряжейопределяется по формуле
(1.25)
где
- потребность в кряжах,
, 
(1.25);

- доля
коры в объеме кряжей, %, 
(для
березы);
Объем
кусковых отходов на участке раскряжевки сырья, 
,
определяется по формуле
(1.26)
где
- потребность в кряжах, 
(1.24);

-
потребность в чураках, 
(1.23).
Объем
шпона-рванины, 
,
определяется по формуле
(1.27)
где-
потребность в чураках, 
(1.24);

- отходы
от оцилиндровки (шпон-рванина), %, 
(1.23);
Объем
карандашей, 
,
определяется по формуле
(1.28)
где-
потребность в чураках, 
(1.24);

- доля
карандашей в объеме чурака, %, 
(1.21);
Потери шпона при сушке, определяется по формуле
(1.29)
где
- потребность в сыром шпоне, 

(1.19);

-
потребность в сухом шпоне с учетом потерь, 
(1.18);
Кусковые
отходы при обработке сухого шпона, 
,
определяется по формуле
(1.30)
где
- потребность в сухом шпоне с учетом потерь,

(1.19);

- объем
пакетов шпона перед горячим прессом, 
(1.18).
Потери
древесины при прессовании (упрессовка) фанеры, 
,
определяется по формуле
(1.31)
где-
объем пакетов шпона перед горячим прессом, 
(1.18);

- объем
необрезной фанеры, 

(1.17).
Отходы
при форматной обрезке и переобрезе фанеры определяется по формуле
(1.32)
где
- объем необрезной фанеры,

(1.17);

- объем
нешлифованной обрезной фанеры, 
(1.16).
Объем шлифовальной пыли, определяется по формуле
(1.33)
где-
объем нешлифованной обрезной фанеры 
(1.16);

- объем
продукции на участке упаковки, 
(1.4).
Результаты
выполненных расчетов сведены в табл. 1.3. Данная таблица отражает
технологический процесс производства фанеры и все потери древесины в ходе ее
изготовления по стадиям технологического процесса. Она позволяет увидеть
возможные резервы производства и более полно планировать переработку вторичного
сырья.
Таблица
1.3 - Баланс материалов и отходов в производстве фанеры
|
Материал
|
Объем материала
|
Отходы и потери
|
Объем отходов
|
|
%
|
|
|
%
|
|
|
Кряжи,  105,8087049,61Кора,
 12,0010445,95
|
|
|
|
|
|
|
Чураки,  100,0082277,51Кусковые
отходы,  5,484772,1
|
|
|
|
|
|
|
Сырой шпон,  59,1048627,37Шпон-рванина,
 33,5427595,88
|
|
|
|
|
|
|
|
|
Карандаш,  7,366055,62
|
|
|
|
Сухой шпон,  59,0841208,64Потери
при сушке,  15,257417,73
|
|
|
|
|
|
|
Пакеты шпона,  48,20639662,79Потери
при обработке шпона,  3,751546,85
|
|
|
|
|
|
|
Фанера необрезная,  41,9234489,38Упрессовка,
 13,0435173,41
|
|
|
|
|
|
|
Фанера обрезная,  37,69631015,35Отходы
при обрезке,  10,07273474,03
|
|
|
|
|
|
|
Продукция товарная,  34,90428717,92Шлифовальная
пыль,  7,0472297,43
|
|
|
|
|
|
|
Итого отходов:
|
|
|
возвратные
|
58333,05
|
|
безвозвратные
|
12591,14
|
.5 Расчет потребности в связующем
Для производства фанеры марки БС-1 в качестве связующего используется
фенолоформальдегидный клей СФЖ-3011 по ГОСТ 20907-75, изготовленный по
следующей рецептуре, мас. ч.: смола - 100 (табл. 1.33 [1]).
Производственный расход клея на программу выпуска фанеры, кг,
определяется по формуле
(1.34)
где
- программа выпуска фанеры, 
(1.4);

-
слойность фанеры, 
;

- длина
шпона, мм, 
;

- ширина
шпона, мм, 
;

-
толщина фанеры, мм, 
;

- длина
обрезного листа фанеры, мм, 
;

- ширина
обрезного листа фанеры, мм, 
;

-
удельный расход клея, 

(при
использовании фенольного клея и толщине шпона - 1,5 мм (табл. 1.34 [1]));

-
коэффициент производственных потерь, принимаем 
;
Удельный
расход клея, 
,
определяется по формуле
(1.35)
где- производственный расход клея на программу выпуска фанеры, кг,

(1.34);

-
программа выпуска фанеры,

(1.4).
1.6
Расчет потребности в оборудовании для производства шпона и фанеры
.6.1
Гидротермическая обработка (ГТО) сырья
Гидротермообработка необходима для повышения
пластичности материала с целью снижения глубины трещин на внутренней стороне
шпона при его лущении.
Режимы проварки могут быть мягкие (35-400С), применяемые для
открытых бассейнов, то есть находящихся под открытым небом, и жесткие (60-800С),
используемые для закрытых бассейнов. Мягкие режимы обеспечивают равномерный
нагрев и высокое качество шпона. Применение жестких режимов требует
дополнительной выдержки чураков перед лущением (1-3 часа) и предварительной
сортировки по диаметрам.
Наиболее распространены открытые бассейны. Они представляют собой
железобетонные ямы, оснащенные грузоподъемным оборудованием. Загрузка сырья
может осуществляться в трех вариантах:
навалом с помощью грейферных захватов крана;
в пучках, подготавливаемых на специальных площадках перед бассейнами;
в специальных контейнерах с бетонными крышками.
Последний вариант является предпочтительным, так как позволяет снизить
тепловые потери и гарантирует прогрев самых верхних кряжей или чураков за счет
притапливания древесины крышками контейнеров.
Закрытые бассейны с мотовилом предназначены для прогрева чураков и
устраиваются внутри помещений. Мотовило представляет собой крестовину, на
половину находящуюся в воде. При повороте крестовины очередная порция чураков
загружается в воду, а прогретые чураки всплывают и передаются для последующей
обработки в лущильный цех. Радиус мотовила составляет 2,5-3,5 м. Поворачивается
мотовило вручную или механически.
) Открытый бассейн
Суммарное время оттаивания и прогрева сырья, ч, определяется по формуле
где-
время прогрева, ч, 
(для
березового сырья диаметром 30 см при температуре воздуха - -50С
(табл. 1.35 [1]));

-
коэффициент породы древесины, 
(для
березы);

-
коэффициент, зависящий от способа доставки сырья, 
(при
доставке по железной дороге);

-
коэффициент, зависящий от способа хранения сырья, 
(при
хранении с дождеванием);
Сменная
производительность одной секции открытого бассейна, 
,
определяется по формуле
(1.37)
где
- длина секции, м, принимаем 
;

- ширина
секции, м, принимаем 
;

-
глубина секции, м, 
;

-
коэффициент загрузки, 
(при
загрузке в пучках);

-
коэффициент плотности укладки сырья, 
;

-
коэффициент рабочего времени, 
;

-
продолжительность смены, ч, 
;

- суммарное
время оттаивания и прогрева сырья, ч, 
(1.37);
Годовой
объем работы, 
,
определяется по формуле
(1.38)
где сменная производительность одной секции открытого бассейна

(1.37);

- число
смен в год, 
(при
двухсменной работе);
Необходимое число секций открытого бассейна определяется по формуле
(1.39)
где - годовой объем кряжей, подлежащих проварке,

(табл.
1.3);

-
годовой объем работы,

(1.38);
Коэффициент загрузки открытого бассейна, %, определяется по формуле
(1.40)
где-
расчетное число секций открытого бассейна, 
(1.39);

-
принятое число секций открытого бассейна, 
(1.39);
2) Закрытый бассейн
Суммарное время оттаивания и прогрева сырья, ч
(1.41)
где
- время прогрева, ч, 
(для
березового сырья диаметром 30 см при температуре воды в бассейнах - 600С
и положительной температуре воздуха (табл. 1.36 [1]));

-
коэффициент породы древесины, 
(для
березы);

-
коэффициент, зависящий от способа доставки сырья, 
(при
доставке по железной дороге);

-
коэффициент, зависящий от способа хранения сырья, 
(при
хранении с дождеванием);
Часовая
производительность закрытого варочного бассейна с мотовилом, 
,
определяется по формуле
(1.42)
где
- коэффициент рабочего времени, 
;

-
коэффициент заполнения бассейна, 
;

- радиус
мотовила, м, принимаем 
;

- длина
чурака, м, 
;

-
суммарное время оттаивания и прогрева сырья, ч, 
(1.42);
Годовой
объем работы, 
, определяется
по формуле
(1.43)
где - часовая производительность закрытого варочного бассейна с
мотовилом,

(1.42);

-
эффективный годовой фонд времени работы бассейна, принимаем
(при
работе закрытого бассейна 6 месяцев в год);
Необходимое число секций закрытого бассейна определяется по формуле
(1.44)
Где годовой объем чураков, подлежащих проварке,

(при
использовании закрытого бассейна 6 месяцев в год (табл. 1.3));

-
годовой объем работы,

(1.43);
Коэффициент загрузки закрытого бассейна, %, определяется по формуле
(1.45)
где-
расчетное число секций закрытого бассейна, 
(1.44);

-
принятое число секций закрытого бассейна, 
(1.44);
1.6.2
Окорка фанерного сырья
Окорка
сырья выполняется на окорочных станках роторного типа с тупыми короснимателями.
Окорка дает следующие преимущества в технологии производства лущеного шпона:
уменьшается
затупление лущильного ножа на 15-20%;
зазор
между ножом и прижимной линейкой меньше забивается лубом и
частичками
древесины;
шпон-рванину
без коры можно использовать для получения более
качественной
технологической щепы;
увеличивается
производительность лущильного станка на 4-5%.
Принимаем
к расчету окорочный станок - 2ОК 63-1. Техническая характеристика данного
станка приведена в табл. 1.4.
Часовая
производительность окорочных станков, 
,
определяется по формуле
(1.46)
где
- объем чурака,
, 
(при
диаметре чурака - 26 см (табл. 1.19 [1]));

-
скорость подачи, 
,
(табл.
1.4);

-
коэффициент рабочего времени, принимаем 
;

-
коэффициент машинного времени, принимаем 
;

- длина
чурака, м, 
;
Годовой объем работы определяется по формуле
(1.47)
где
- часовая производительность окорочных станков, 
, 
(1.46);

-
эффективный годовой фонд времени работы окорочных станков,

(1.3);
Потребность в окорочных станках определяется по формуле
(1.48)
где
годовая потребность в кряжах, 
(табл.
1.3);

-
годовой объем работы, 
, 
(1.48);
Коэффициент загрузки окорочного станка, %, определяется по формуле
(1.49)
где-
расчетное число окорочных станков, 
(1.49);

-
принятое число окорочных станков, 
(1.49);
Таблица
1.4 - Техническая характеристика окорочного станка -2ОК 63-1
|
Наименование параметра
|
Значение
|
|
Диаметр сырья, см
|
10...55
|
|
Минимальная длина сырья, м
|
2,7
|
|
Скорость подачи, м/мин
|
12...60
|
|
Частота вращения ротора,
мин-1
|
150; 200; 300
|
|
Число ножей в роторе, шт.
|
6+6
|
|
Установленная мощность, кВт
|
65,12
|
|
Масса (с рольгангами), кг
|
12500
|
|
Габаритные размеры, м
|
9,8х2,3х2,56
|
.6.3 Разделка (раскряжевка) сырья
Разделка сырья на чуракивключает в себя предварительную разметку и
собственно разделку сырья на круглопильных станках различного типа, в основном
балансирных или маятниковых.
Принимаем к расчету агрегат ПА-15. Техническая характеристика данного
оборудования представлена в табл. 1.5.
Часовая
производительность агрегата для раскряжевки сырья, 
,
определяется по формуле
(1.50)
где
- коэффициент рабочего времени, учитывающий потери времени на настройку и
подготовку станка к работе, на отвлечение рабочего по личным надобностям,
принимаем 
;

- время
цикла, включающее в себя опускание пилы, пиление, подъем пилы и передвижение
кряжа, с, 
(при
диаметре кряжа - 26 см (табл. 1.40 [1]));

- число
пропилов, приходящихся на один чурак, с учетом торцовки и вырезки дефектных
мест, принимаем 
;

- объем
чурака, 
, 
(при
диаметре чурака - 30 см (табл. 1.19 [1]));
Годовой
объем работы, 
,
определяется по формуле
(1.51)
где часовая производительность агрегата для раскряжевки сырья,

(1.50);

-
эффективный годовой фонд времени работы агрегата для раскряжевки сырья,

(1.3);
Потребность в агрегатах для раскряжевки сырья определяется по формуле
(1.52)
где
годовая потребность в чураках, 
(табл.
1.3);

-
годовой объем работы,

(1.51);
Коэффициент
загрузки агрегатов для раскряжевки сырья, %, определяется по формуле
(1.53)
где
расчетное число агрегатов для раскряжевки сырья, 
(1.52);

- принятое
число агрегатов для раскряжевки сырья, 
(1.52);
Таблица
1.5 - Техническая характеристика станка для раскряжевки сырья - ПА-15
|
Наименование параметра
|
Значение
|
|
Максимальный диаметр сырья,
мм
|
600
|
|
Скорость резания, м/с
|
70
|
|
Подача
|
Гидравлическая
|
|
Установленная мощность
двигателей, кВт
|
44,7
|
|
Скорость надвигания пилы,
м/с
|
0,60
|
|
Скорость движения
конвейера, м/с
|
0,86
|
|
Масса агрегата, кг
|
5750
|
|
Производительность, м3/ч
|
8...32
|
1.6.4 Лущение древесины
Лущение есть процесс резания, при котором чурак совершает вращательное
движение, а лущильный нож - поступательное. При этом подача ножа на оборот
чурака равна толщине шпона. Лущение древесины производится на лущильных
станках. В качестве такого оборудования принимаем для расчета финский станок фирмы
RAUTE - 2HV-66. Техническая характеристика данного станка представлена в
табл. 1.6.
Время оцилиндровки и лущения чурака, с, определяется по формуле
(1.54)
где-
коэффициент формы чурака, учитывающий степень превышения максимального диаметра
чурака 
над
номинальным, 
(для
березы);

-
диаметр чурака, мм, 
;

-
средний диаметр карандаша, мм, принимаем 
(табл.
1.6);

-
толщина шпона, мм, 
(1.5);

-
частота вращения шпинделя, мин-1, 
(табл.
1.6);
Продолжительность цикла лущения, с, определяется по формуле
(1.55)
где
время оцилиндровки и лущения чурака, с, 
(1.54);

- время
вспомогательных операций, с, принимаем 
;
Часовая
производительность лущильного станка, 
,
определяется по формуле
(1.56)
где-
коэффициент рабочего времени, принимаем 
;

- объем
чурака, 
(при
диаметре чурака - 26 см (табл. 1.19 [1]));

-
полезный выход шпона из чураков, %, 
(1.20);

- время
цикла лущения одного чурака, с, 
(1.55);
Годовой
объем работы, 
,
определяется по формуле
(1.57)
где
часовая производительность лущильного станка,

(1.56);

-
эффективный годовой фонд времени лущильного станка,
(1.3);
Потребность в лущильных станках определяется по формуле
(1.58)
где-
годовая потребность в сыром шпоне, 
(табл.
1.3);

-
годовой объем работы, 
(1.57);
Коэффициент загрузки лущильных станков, %, определяется по формуле
(1.59)
где
- расчетное число лущильных станков, 
(1.59);

-
принятое число лущильных станков, 
(1.59);
Таблица
1.6 - Техническая характеристика лущильного станка - 2HV-66
|
Наименование параметра
|
Значение
|
|
Диаметр чурака, мм
|
750
|
|
Длина чурака, мм:
|
|
|
наибольшая
|
1650
|
|
наименьшая
|
1350
|
|
Диаметр карандаша (минимальный),
мм
|
70
|
|
Толщина шпона, мм
|
0,5...5,0
|
|
Длина ножа, мм
|
1700
|
|
Диаметр кулачков, мм:
|
|
|
наружных
|
110
|
|
внутренних
|
65
|
|
Частота вращения шпинделей,
мин-1
|
145
|
|
Мощность электродвигателей,
кВт
|
39,5
|
|
Габаритные размеры, м
|
|
|
длина
|
6,4
|
|
ширина
|
1,85
|
|
глубина
|
1,81
|
|
Масса, кг
|
11200
|
.6.5 Ножницы для рубки шпона
Ножницы для рубки шпона предназначены для раскроя ленты шпона на
форматные листы с последующей укладкой в стопу или полосы различной ширины.
Принимаем к расчету роторные ножницы со стопоукладчиками шпона - «Raute» RCE 1800. Техническая характеристика данного оборудования
приведена в табл. 1.7. Роторные ножницы устанавливаются в потоке за лущильным
станком. Таким образом, количество роторных ножниц должно соответствовать
количеству лущильных станков, то есть быть равным 3 шт., но при этом необходимо
проверить данное оборудование на допустимую загрузку.
Скорость подачи ленты шпона, м/мин, определяется по формуле
(1.60)
где
- диаметр чурака, мм, 
;

-
средний диаметр карандаша, мм, принимаем 
(табл.
1.6);

-
частота вращения шпинделя лущильного станка, мин1,
(табл.
1.6);
Часовая
производительность роторных ножниц, 
,
определяется по формуле
(1.61)
где-
скорость подачи ленты шпона, м/мин, 
(1.60);

- коэффициент
машинного времени, учитывающий разрывы в подаче шпона на рубку, принимаем 
;

- ширина
ленты шпона, м, 
;

-
толщина шпона, м, 
(1.4);
Пропускная
способность ножниц для рубки ленты шпона с возвратно-поступательным движением
ножа, м3, определяется по формуле
где
- коэффициент использования рабочего времени, 
; 
- объём
одного листа шпона, м3; 
-
продолжительность рубки листов в долях от полного цикла получения шпона от
одного чурака, при условии механического отвода шпона от ножниц, 
; 
- время
цикла рубки одного листа, 
.
Годовой
объем работы, 
,
определяется по формуле
(1.62)
где
- часовая производительность ножниц, 
(1.62);

-
эффективный годовой фонд времени ножниц,
(1.3);
Потребность в роторных ножницах определяется по формуле
(1.63)
где
- годовая потребность в сыром шпоне, 
(табл.
1.3);

-
годовой объем работы 
;
Коэффициент загрузки роторных ножниц, %, определяется по формуле
(1.64)
где
- расчетное число роторных ножниц, 
(1.63);

-
принятое число роторных ножниц, 
(1.63);
Таблица
1.7 - Техническая характеристика ножниц НФ18-3
|
Наименование параметра
|
Значение
|
|
Размер листов шпона, мм:
|
|
|
толщина
|
0,4…3,2
|
|
ширина
|
1750
|
|
длина
|
1600
|
|
Высота стопы нарубленных
листов, мм
|
1100
|
|
Продолжительность рабочего
цикла, с
|
2
|
|
Рабочее давление в
пневмоцилиндрах, МПа
|
0,4…0,6
|
|
Скорости подачи ленты
шпона, м/с
|
0,38; 0,75; 1.2; 1,5
|
|
Мощность электродвигателя,
кВт
|
8,6
|
|
Габаритные размеры станка ( ),
м5,02; 5,38; 2,03
|
|
|
Масса станка, кг
|
5850
|
|
|
|
.6.6 Сушка шпона
Наиболее распространенными сегодня являются агрегаты комбинированной
сушки, где основной тип теплопереноса - конвекционный с долей контактного
нагрева. Это роликовые сушилки с паровым или газовым обогревом.
Принимаем для расчета роликовую сушилку с паровым обогревом - СУР-9.
Техническая характеристика данного оборудования представлена в табл. 1.8.
Часовая производительность роликовой сушилки, определяется по формуле
(1.65)
где-
коэффициент использования рабочего времени, принимаем 
;

- длина
ролика, м, 
(табл.
1.8);

-
толщина шпона, м, 
(1.5);

- число
этажей в сушилке, 
(табл.
1.8);

- общая
рабочая длина сушилки, м, 
(табл.
1.8);

- время
сушки шпона, мин, 
(при
толщине шпона - 1,15 мм, расчетной температуре - 130, поперечной циркуляции
агента сушки (табл. 1.49 1]));
-
коэффициент заполнения ширины сушилки, принимаем 
;

-
коэффициент заполнения длины сушилки, принимаем 
8;

- длина
секции охлаждения, м, 
(табл.
1.8);
Годовой
объем работы, 
,
определяется по формуле
(1.66)
где-
часовая производительность сушилки, 
(1.65);

-
эффективный годовой фонд времени работы роликовой сушилки, 
(1.3);
Потребность в сушилках определяется по формуле
(1.67)
где
- годовая потребность в сухом шпоне, 
(табл.
1.3);

-
годовой объем работы, 
(1.67);
Коэффициент загрузки сушилок, %, определяется по формуле
(1.68)
где
расчетное число сушилок, 
(1.67);

-
принятое число сушилок, 
(1.67);
Таблица
1.8 - Техническая характеристика паровой роликовой сушилки СУР-9
|
Наименование параметра
|
Значение
|
|
Размер загрузочной части,
м:
|
|
|
длина
|
2,05
|
|
ширина (рабочая длина
роликов)
|
3,69
|
|
Общая рабочая длина, м
|
21,06
|
|
Рабочая длина камер, м:
|
|
|
сушки
|
19,44
|
|
охлаждения
|
1,62
|
|
Число этажей
|
5
|
|
Толщина высушиваемого
шпона, мм
|
0,5...4
|
|
Диаметр роликов, мм
|
102
|
|
Расстояние между осями
роликов, мм
|
162
|
|
Средняя производительность
сушилки при сушке шпона толщиной 1,5 мм, м3/ч:
|
2,0
|
|
из сырья сухопутной
сортировки
|
2,5
|
|
Скорость движения шпона,
м/мин
|
0,54...5,4
|
|
Поверхность нагрева
калориферов, м2
|
967,5
|
|
Давление пара, кгс/см2
|
6...8
|
|
Средний расход пара на 1 м3
сухого шпона, м3
|
1100
|
|
Мощность привода
постоянного тока подачи шпона, кВт/ч
|
11,0
|
|
Норма обслуживания, чел.
|
3
|
|
Температура воздуха в
концах сушилки, ℃:
|
|
|
сыром
|
120
|
|
сухом
|
135
|
|
Производительность
вентиляторов воздуха, м3/ч:
|
|
|
горячего
|
90000
|
|
холодного
|
17000
|
|
Габаритные размеры, м:
|
|
|
длина
|
24,9
|
|
ширина
|
7,31
|
|
высота
|
4,11
|
|
Масса, кг
|
109500
|
|
Общая мощность двигателей,
кВт
|
81,5
|
|
|
|
.6.7 Сортировка сухого шпона
В общем случае шпон может быть рассортирован по следующим признакам:
по породам древесины. Этот признак определяется уже на стадии
гидротермообработки сырья;
по толщине шпона. Толщина шпона задается в лущильном станке и в
дальнейшем в одной стопе сохраняется шпон только одной породы и одной толщины;
по назначению - для фанеры, для отдельного использования, для починки,
для ребросклеивания;
по качеству (по сортам).
Последние два признака определяются в результате сортирования сухого
шпона на специально отведенном для этих целей месте.
Объем
одного листа шпона, 
,
определяется по формуле
(1.69)
где
- длина листа шпона, м, 
;

- ширина
листа шпона, м, 
;

-
толщина листа шпона, м, 
(1.5);
Потребность
в рабочих местах на участке ручной сортировки сухого шпона определяется по
формуле
(1.70)
где-
годовая потребность в сухом шпоне, 
(табл.
1.3);

-
производительность рабочего, занятого ручной сортировкой шпона, л./ч, принимаем

;

- объем
одного листа шпона, 

(1.69);

-
эффективный годовой фонд времени работы предприятия,
(1.3);
Коэффициент
загрузки рабочих, занятых ручной сортировкой шпона, %, определяется по формуле
(1.71)
где-
расчетное число рабочих мест, 
(1.71);

-
принятое число рабочих мест, 
(1.71);
Площадь,
занятая под хранение рассортированного шпона, 
,
определяется по формуле
(1.72)
где-
потребность в сухом шпоне, 

(за 1
сутки)

(за 2
суток)

- объем
стопы шпона, 
,;

- длина
листа шпона, м, 
;

- ширина
листа шпона, м, 
;
.6.8
Починка шпона
Починка
форматного шпона проводится с целью повышения сортности на один разряд за счет
вырубки сучков и постановки заплаток с натягом 0,1...0,2 мм. Починке подлежит
шпон сортов II, III, IV. Таким образом, первосортный шпон для авиационной
фанеры починке не подлежит.
1.6.9
Прирубка и ребросклеивание шпона
Для
переработки кускового шпона в форматный наиболее современными являются линии,
объединяющие прирубку и поперечное ребросклеивание шпона.
Выбираем
к расчету линию ребросклеивания шпона фирмы «Raute-Wood»
- С1800. Техническая характеристика данного оборудования приведена в табл. 1.9.
Часовая
производительность линии ребросклеивания, 
, определяется
по формуле
(1.73)
где-
коэффициент использования рабочего времени, принимаем 
;

-
коэффициент машинного времени, принимаем 
;

-
скорость подачи, м/мин, 
(табл.
1.9);

- ширина
форматного листа шпона, м, 
;

- толщина
шпона, м, 
(1.5);
Годовой
объем работы, 
,
определяется по формуле
(1.74)
где
- часовая производительность линии ребросклеивания,
,
(1.76);

-
эффективный годовой фонд времени работы роликовой сушилки,

(1.3);
Потребность в линиях ребросклеивания определяется по формуле
(1.75)
где
- годовая потребность в сухом шпоне, 
(табл.
1.3);

- доля
кускового шпона в общем объеме сухого шпона, %, принимаем
;
Коэффициент загрузки линии ребросклеивания, %, определяется по формуле
(1.76)
где
расчетное число линий ребросклеивания, 
(1.75);

-
принятое число линий ребросклеивания, 
(1.75);
Таблица
1.9 - Техническая характеристика линии ребросклеивания«Raute-Wood»-С1800
|
Наименование параметра
|
Значение
|
|
Длина ножа, мм
|
1800
|
|
Толщина шпона, мм
|
1,5...4,2
|
|
Минимальная ширина шпона,
мм
|
90
|
|
Длина шпона, мм
|
1300...1600
|
|
Скорость подачи, м/мин
|
40
|
|
Число нитей
|
4...5
|
|
Количество точек клея
|
4...8 (6)
|
|
Количество точек
сканирования
|
256
|
|
Минимальный размер дефекта,
мм
|
10
|
|
Ширина шпона после
ребросклеивания, мм
|
1000...4000
|
|
Максимальная высота стопы,
мм
|
1200
|
|
Габаритные размеры, м
|
|
|
длина
|
16,3
|
|
ширина
|
6,4
|
.6.10 Нанесение клея на шпон, сборка пакетов
Многокомпонентные клеи приготавливают в стационарных или передвижных
клеемешалках вместимостью 300-500 л, размещаемых на полу цеха, или вместимостью
150-200 л, размещаемых над клеевыми вальцами. Клеемешалка имеет вал с лопастями
или с планетарным механизмом. Частота вращения вала 45-55 мин-1. Для
охлаждения клея клеемешалка имеет водяную рубашку, в которую направляют
водопроводную воду.
Клеенаносящий станок имеет наносящие и дозирующие
вальцы, которые могут быть металлическими или обрезиненными. Металлические
должны иметь на поверхности рифление в виде мелких углублений с целью удержания
клея. Обрезиненные имеют два слоя резины - внутри толстый слой мягкой резины, а
снаружи жесткий слой тонкой резины, что позволяет избежать больших контактных
напряжений и удлинить срок службы вальцов.
Участок нанесения и сборки пакетов следует планировать с учетом
максимальной механизации работы использования холодной подпрессовки пакетов.
К расчету принимаем линию ЛСП-4, предназначенную для нанесения клея на
шпон и сборки пакетов фанеры перед прессом. Техническая характеристика данного
оборудования представлена в табл. 1.10.
Часовая
производительность линии нанесения клея и сборки пакетов фанеры, 
,
определяется по формуле
(1.77)
где
коэффициент использования рабочего времени, принимаем 
;

- время
сборки одного пакета, с, 
;

- длина
форматного листа шпона, м, 
;

- ширина
форматного листа шпона, м, 
;

-
толщина шпона, м, 
(1.5);

- число
слоев шпона в пакете фанеры, 
;
Годовой
объем работы, 
,
определяется по формуле
(1.78)
Где
часовая производительность линии нанесения клея и сборки пакетов фанеры, 
(1.77);

-
эффективный годовой фонд времени работы линии нанесения клея и сборки пакетов
фанеры, 
(1.3);
Потребность
в линиях нанесения клея и сборки пакетов фанеры определяется по формуле
(1.79)
где
объем пакетов шпона, 
(табл.
1.3);

-
годовой объем работы, 
(1.78);
Коэффициент
загрузки линии нанесения клея и сборки пакетов фанеры, %, определяется по
формуле
(1.80)
Где
расчетное число линий нанесения клея и сборки пакетов фанеры, 

-
принятое число линий нанесения клея и сборки пакетов фанеры, 
(1.79);
Таблица
1.10 - Техническая характеристика линии нанесения клея и сборки пакетов фанеры
- ЛСП-4
|
Наименование параметра
|
Значение
|
|
Толщина шпона, мм
|
1,15...2,25
|
|
Высота подаваемой стопы
шпона, мм
|
≤ 900
|
|
Расчетная
производительность для фанеры толщиной 4мм, м3/ч
|
3
|
|
Цикл сборки трехслойного
пакета, с
|
≤ 8,4
|
|
Максимальная высота
собранного пакета, мм
|
1100
|
|
Количество обслуживающего
персонала, чел.
|
2
|
|
Установленная мощность, кВт
|
26
|
|
Размеры ( ),
м21х5,5х3,5
|
|
|
Масса, кг
|
16000
|
.6.11 Подпрессовка пакетов
Цель операции - получение сформированного пакета шпона, имеющего
необходимую жесткость и транспортабельность. Это способствует бездефектной
загрузке пакетов шпона в горячий пресс, исключает сдвиг листов шпона, облегчает
механизацию и автоматизацию участка склеивания. В результате подпрессовки
улучшаются условия проникновения клея в шпон, происходит перераспределение
влаги в листах шпона, меняются первоначальные реологические свойства клея.
Принимаем к расчету холодный пресс - ДО-838Б. Техническая характеристика
данного оборудования приведена в табл. 1.11.
Часовая
производительность холодного пресса, 
,
определяется по формуле
(1.81)
где
коэффициент использования рабочего времени, принимаем 
;

- длина
форматного листа шпона, м, 
;

- ширина
форматного листа шпона, м, 
;

- высота
промежутка пресса, м, 
(табл.
1.11);

-
коэффициент потерь на укладку шпона, 
;

- время
цикла подпрессовки, 
(табл.
1.11);
Годовой
объем работы, 
,
определяется по формуле
(1.82)
Где
часовая производительность холодного пресса, 

(1.81);
эффективный
годовой фонд времени работы роликовой сушилки, 
(1.3);
Потребность в холодных прессах определяется по формуле
(1.83)
где
объем пакетов шпона, 
(табл.
1.3);
-
годовой объем работы, 
(1.85);
Коэффициент загрузки холодного пресса, %, определяется по формуле
(1.84)
где
расчетное число холодных прессов, 
(1.83);
принятое
число холодных прессов, 
(1.83);
Таблица
1.11 - Техническая характеристика холодного пресса - ДО-838Б
|
Наименование параметра
|
Значение
|
|
Номинальное усилие, МН
|
6,3
|
|
Размер стола в плане, мм
|
1800х1800
|
|
Высота рабочего промежутка,
мм
|
1200
|
|
Число рабочих промежутков,
шт.
|
1
|
|
Давление подпрессовки, МПа
|
0,5...2,0
|
|
Скорость смыкания, мм/с
|
50
|
|
Скорость размыкания, мм/с
|
70
|
|
Скорость прессования, мм/с
|
6
|
|
Размеры стопы шпона, мм:
|
|
|
длина
|
1700
|
|
ширина
|
1650
|
|
высота
|
900
|
|
Установленная мощность, кВт
|
38,5
|
|
Габаритные размеры, м
|
2,5х5,7х6,755
|
|
Масса, т
|
35,5
|
.6.12Склеивание пакетов шпона
На этой операции наиболее важным фактором, влияющим на качество, является
выбор режима склеивания фанеры. К нему относятся условия подготовки пакетов к
склеиванию (влажность шпона, толщина прессуемого пакета, качество шпона,
температура шпона, вязкость клея); давление и его изменение за цикл склеивания,
температура плит пресса, время, затрачиваемое на вспомогательные
технологические операции цикла склеивания.
Часовая
производительность пресса определена при расчете программы предприятия в пункте
1.1 настоящего курсового проекта (
), число
прессов по заданию: 
,
загрузка прессов: 
.
Годовой
объем работы, 
,
определяется по формуле
(1.85)
где
часовая производительность пресса, 
(1.2);

-
эффективный годовой фонд времени работы пресса,
(1.3);
.6.13
Послепрессовая обработка фанеры
Послепрессовая
обработка фанеры включает в себя выдержку необрезной фанеры (до полного
отверждения клея и снятия внутренних напряжений), форматную обрезку, ремонт,
сортирование, шлифование и упаковку фанеры.
.6.13.1
Форматная обрезка фанеры
Обрезка
кромок фанеры необходима для их выравнивания. Допускаемые отклонения габаритов
составляют ± 4...5 мм. Обрезку выполняют на круглопильных станках. Наиболее
широкое применение нашли 4-пильные агрегаты, составленные из 2-пильных станков,
расположенных взаимно перпендикулярно.
К
расчету принимаем 4-пильный агрегат ЛФО-16. Техническая характеристика данного
оборудования представлена в табл. 1.12.
Часовая
производительность форматно-обрезного агрегата, 
,
определяется по формуле
(1.86)
где
коэффициент использования рабочего времени, принимаем 
;

-
коэффициент использования машинного времени, 
;

-
скорость подачи агрегата, м/мин, принимаем 
(табл.
1.12);

- длина
стороны обрезного листа фанеры, м, 
;

-
толщина листа фанеры, м, 
;

- число
листов фанеры в пачке, принимаем 
(табл.
1.12);
Годовой
объем работы, 
,
определяется по формуле
(1.87)
Где
часовая производительность форматно-обрезного агрегата, 

(1.89);

-
эффективный годовой фонд времени работы форматно-обрезного агрегата, 
(1.3);
Потребность в форматно-обрезных агрегатах определяется по формуле
(1.88)
где
объем обрезной фанеры, 
(табл.
1.3);

-
годовой объем работы,

(1.90);
Коэффициент
загрузки форматно-обрезных агрегатов, %, определяется по формуле
(1.89)
где
расчетное число форматно-обрезных агрегатов, 
(1.91);

-
принятое число форматно-обрезных агрегатов, 
(1.91);
Таблица
1.12 - Техническая характеристика обрезного агрегата - ЛФО-16
|
Наименование параметра
|
Значение
|
|
Число пил
|
4
|
|
Диаметр пилы, мм
|
400
|
|
Частота вращения пилы, мин-1
|
2910
|
|
Скорость подачи, м/мин
|
5...25
|
|
Максимальные размеры пачки,
мм
|
|
|
длина
|
1600
|
|
ширина
|
1600
|
|
высота
|
50
|
|
Установленная мощность, кВт
|
43,8
|
|
Размеры станка ( ),
м8,5х8,0х1,75
|
|
|
Масса, кг
|
1690
|
.6.13.2 Сортировка фанеры
Сортировка фанеры, особенно больших толщин, является трудоемкой
операцией, поэтому на современных предприятиях применяют линии сортирования
фанеры. Одним из представителей такого оборудования является механический
сортировщик ФП-450, рассчитанный на фанеру размером 1525х1525 мм, толщиной от 3
до 18 мм. Сортировщик имеет 6 сортовых секций. Использование механического
сортировщика обусловлено большой годовой программой предприятия по выпуску
продукции.
Часовая
производительность линии сортировки фанеры, 
,
определяется по формуле
(1.90)
где
длина обрезного листа фанеры, м, 
;

- ширина
обрезного листа фанеры, м, 
;

-
толщина листа фанеры, м, 
;
Годовой
объем работы, 
,
определяется по формуле
(1.91)
где
часовая производительность линии сортировки фанеры, 
(1.90);

-
эффективный годовой фонд времени работы линии сортировки фанеры,

(1.3);
Потребность в линиях сортировки фанеры определяется по формуле
(1.92)
где
программа предприятия, 
(табл.
1.3);
годовой
объем работы, 

(1.91);
Коэффициент
загрузки линий сортировки фанеры, %, определяется по формуле
(1.93)
где
расчетное число линий сортировки фанеры, 
(1.92);
принятое
число линий сортировки фанеры, 
(1.92);
.6.13.3
Шлифование фанеры
Шлифование
фанеры - процесс поверхностного резания древесины абразивным материалом
шлифовальной шкурки с целью облагораживания поверхности и удаления неровностей,
вызванных обработкой и структурным строением древесины.
Принимаем
к расчету широколенточный шлифовальный станок - TVO-76-4 (США). Техническая
характеристика данного оборудования представлена в табл. 1.13.
Часовая
производительность широколенточного шлифовального станка определяется по
формуле
(1.94)
где
коэффициент использования рабочего времени, принимаем 
;

-
коэффициент заполнения станка, 
;

-
скорость подачи станка, м/мин, принимаем 
(табл.
1.13);

- ширина
обрезного листа фанеры, м, 
;

-
толщина листа фанеры, м, 
;
Годовой
объем работы, 
,
определяется по формуле
(1.95)
где часовая производительность широколенточного шлифовального станка,

(1.94);

-
эффективный годовой фонд времени работы форматно-обрезного агрегата,

(1.3);
Потребность
в широколенточных шлифовальных станках, определяется по формуле
(1.96)
где
программа предприятия,
(табл.
1.3);

- доля
продукции, подлежащая шлифованию, %, принимаем 
;

-
годовой объем работы, 
(1.95);
Коэффициент
загрузки широколенточных шлифовальных станков, %, определяется по формуле
(1.97)
где
расчетное число широколенточных шлифовальных станков,
(1.96);

-
принятое число широколенточных шлифовальных станков, 
(1.96);
Таблица
1.13 - Техническая характеристика широколенточного шлифовального станка TVO-76-4
(США)
Значение
|
|
Максимальная ширина, мм
|
1900
|
|
Число шлифовальных лент
|
4
|
|
Длина шлифовальной ленты,
мм
|
3200
|
|
Ширина шлифовальной ленты,
мм
|
1920
|
|
Скорость резания, м/с
|
30
|
|
Скорость подачи, м/мин
|
7...35
|
|
Установленная мощность, кВт
|
155
|
|
Габаритные размеры ( ),
м4,85х3,785х3,38
|
|
|
Масса станка, т
|
32,0
|
.6.13.4 Упаковка фанеры
Упаковка фанеры может осуществляться вручную или автоматами. Пачку
перевязывают металлической лентой, проволокой или веревкой. На пачке указывают
наименование предприятия, размеры фанеры, марку, сорт, породу древесины, вид
обработки, количество листов в пачке и номер стандарта.
Принимаем к расчету ручной способ упаковки фанеры.
Объем
одного листа фанеры, 
,
определяется по формуле
(1.98)
где
длина листа фанеры, м, 
;

- ширина
листа фанеры, м, 
;

-
толщина листа фанеры, м, 
;
Потребность
в рабочих местах на участке ручной упаковки фанеры определяется по формуле
(1.99)
где
программа предприятия, 
(табл.
1.3);

- общая
производительность двух рабочих, занятых ручной упаковкой фанеры, пачек/ч,
принимаем 
;

- объем
одного листа фанеры, 
(1.101);

- число
листов фанеры в пачке, принимаем 
;

-
эффективный годовой фонд времени работы предприятия,
(1.3);
Коэффициент
загрузки рабочего, занятого ручной упаковкой фанеры, %, определяется по формуле
(1.100)
где
расчетное число рабочих мест, 
;

-
принятое число рабочих мест, 
;
Результаты
расчетов потребности в оборудовании для производства фанеры сведены в табл.
1.14.
Таблица
1.14 - Загрузка оборудования по операциям технологического процесса
|
Операция
|
Вид/марка обрабатывающей
единицы
|
Сменность, Производительность,
 Количество
обрабатывающих единиц,  Загрузка,
 , %
|
|
|
|
|
|
|
|
|
|
|
|
1. Гидротермическая
обработка
|
Открытый бассейн
|
2
|
7,06
|
51694,92
|
2
|
79,55
|
|
Закрытый бассейн
|
2
|
3,25
|
|
4
|
91,5
|
|
2. Окорка кряжей
|
2ОК 63-1
|
2
|
34,272
|
|
2
|
17,5
|
|
3. Разделка кряжей
|
ПА-15
|
2
|
|
|
2
|
23,5
|
|
4. Лущение шпона
|
2HV-66
|
2
|
|
|
2
|
|
|
5. Рубка ленты шпона
|
«Raute» RCE
1800
|
2
|
|
|
2
|
|
|
6. Сушка шпона
|
СУР-9
|
2
|
|
|
3
|
90
|
|
7. Сортирование шпона
|
Рабочий
|
2
|
1,92
|
14065,92
|
4
|
95,5
|
|
8. Ребросклеивание
|
C1800
|
2
|
|
|
1
|
28
|
|
9. Нанесение клея и сборка
пакетов
|
ЛСП-4
|
2
|
|
|
3
|
83,33
|
|
10. Холодная подпрессовка
|
ДО-838Б
|
2
|
|
|
1
|
|
|
11. Горячее прессование
|
ДА4438
|
2
|
|
12747,24
|
2
|
100
|
|
12. Форматная обрезка
|
ЛФО-16
|
2
|
|
|
1
|
87,5
|
|
13. Сортировка фанеры
|
ФП-450
|
2
|
|
|
3
|
75
|
|
14. Шлифование фанеры
|
TVO-76-4
|
2
|
|
|
2
|
83,5
|
|
15. Упаковка фанеры
|
Рабочий
|
2
|
3,141
|
23010,97
|
3
|
83,3
|
.7 Оборудования для переработки отходов фанерного производства
Фанерное производство, несмотря на внедрение прогрессивной техники и
технологии, остается материалоемкой отраслью промышленности. Удельный вес
древесных отходов от переработки сырья превышает 50%. Поэтому, очень важно
рациональное использование этих отходов.
В настоящем курсовом проекте, в качестве оборудования для переработки
отходов принимаем:
дисковую рубительную машину - МРНП-30 для переработки массивных отходов
(дрова, карандаши, отходы после раскряжевки сырья) в щепу;
барабанную рубительную машину - ДШ-4 для переработки кусковых отходов
(шпон-рванина, обрезки шпона и фанеры) в щепу;
корорубку - КР-6 для измельчения коры, с последующим ее использованием,
например, в производстве топливных брикетов.
Технические характеристики указанного оборудования представлены в
табл.1.15, 1.16, 1.17 соответственно.
Годовой объем работы дисковой рубительной машины, определяется по формуле
(1.101)
Где
часовая производительность дисковой рубительной машины,
принимаем 
(табл.
1.15);
эффективный
годовой фонд времени работы дисковой рубительной машины, 
(1.3);
Потребность в дисковых рубительных машинах определяется по формуле
(1.102)
Где
годовой объем отходов для переработки на дисковой рубительной машине, 
(табл.
1.3);

-
годовой объем работы дисковой рубительной машины, 
(1.107);
Коэффициент
загрузки дисковой рубительной машины, %, определяется по формуле
(1.103)
где
расчетное число дисковых рубительных машин, 
(1.102);

-
принятое число дисковых рубительных машин, 
(1.102);
Таблица
1.15 - Техническая характеристика дисковой рубительной машины - МРНП-30
|
Наименование параметра
|
Значение
|
|
Производительность, пл. м3/ч
|
< 30
|
|
Подача сырья
|
Наклонная
|
|
Проходное сечение патрона,
мм
|
250х250
|
|
Размеры перерабатываемого
сырья, мм
|
|
|
наименьшая длина
|
500
|
|
наибольший диаметр
|
220
|
|
Диаметр ножевого диска, мм
|
1270
|
|
Частота вращения диска, мин-1
|
740
|
|
Число рубительных ножей, шт
|
16
|
|
Выброс щепы
|
Верхний
|
|
Средняя длина щепы, мм
|
18
|
|
Установленная мощность
электродвигателей, кВт
|
90
|
|
Масса, кг
|
5750
|
Годовой
объем работы барабанной рубительной машины,
определяется
по формуле
(1.104)
где
часовая производительность барабанной рубительной машины,
принимаем 
(табл.
1.17);

-
эффективный годовой фонд времени работы барабанной рубительной машины, 
(1.3);
Потребность в барабанных рубительных машинах определяется по формуле
(1.105)
где
годовой объем отходов для переработки на барабанной рубительной машине, 
(табл.
1.3);

-
годовой объем работы барабанной рубительной машины, 
(1.110).
Коэффициент
загрузки барабанной рубительной машины, %, определяется по формуле
(1.106)
где
расчетное число барабанных рубительных машин, 
(1.105);
принятое
число барабанных рубительных машин, 
(1.105);
Таблица
1.16 - Техническая характеристика барабанной рубительной машины - ДШ-4
|
Наименование параметра
|
Значение
|
|
Производительность, пл. м3/ч
|
≤ 30
|
|
Диаметр ножевого барабана,
мм.
|
1200
|
|
Число ножей/контрножей
|
18/2
|
|
Частота вращения барабана,
мин-1
|
500
|
|
Ширина загрузочного
отверстия, мм
|
1070
|
|
Высота загрузочного
отверстия, мм
|
365
|
|
Скорость подачи, м/мин
|
90
|
|
Установленная мощность, кВт
|
125
|
|
Размеры, м
|
|
|
длина
|
4,45
|
|
ширина
|
3,1
|
|
высота
|
1,65
|
|
Масса, кг
|
14900
|
Годовой
объем работы корорубки, 
,
определяется по формуле
(1.107)
где
- часовая производительность корорубки, принимаем 
(табл.
1.18);

эффективный
годовой фонд времени работы корорубки,
(1.3);
Потребность в корорубках определяется по формуле
(1.108)
где
годовой объем отходов для переработки на корорубках,
(табл.
1.3);
годовой
объем работы корорубки, 
(1.107);
Коэффициент загрузки корорубки, %, определяется по формуле
(1.109)
где
расчетное число корорубок, 
(1.108);

-
принятое число корорубок, 
(1.108);
Таблица
1.17 - Техническая характеристика корорубки КР-6
|
Наименование параметра
|
Значение
|
|
Производительность, пл. м3/ч
|
6
|
|
Диаметр ротора, мм
|
540
|
|
Количество, шт.
|
|
|
дисков
|
17
|
|
ножей
|
34
|
|
Частота вращения ротора,
мин-1
|
980
|
|
Моность привода, кВт
|
40
|
|
Размеры (𝑙×𝑏×ℎ), м
|
1,64х1,06х1,39
|
|
Масса, кг
|
2400
|
2. ТЕХНОЛОГИЧЕСКИЕ РАСЧЕТЫ В ПРОИЗВОДСТВЕ ДРЕВЕСНО-СТРУЖЕЧНЫХ ПЛИТ
Исходные данные к расчету:
· марка пресса: Д4744;
· порода древесины: бук;
· толщина плит: 17мм;
· плотность плит: 780 кг/м3;
· размер плит: 3500х1750 мм;
.1 Расчет производительности головного оборудования
Под головным оборудованием понимают горячий пресс, как наиболее
дорогостоящее оборудование, определяющее программу (годовую мощность) предприятия.
Все остальное оборудование должно работать в таком режиме, чтобы обеспечить
бесперебойную работу пресса в трехсменном режиме.
В качестве головного оборудования, согласно заданию, принимаем
многоэтажный пресс марки ХпУг 3580 фирмы «Диффенбахер» (Германия). Техническая
характеристика данного оборудования представлена в табл. 2.1.
Число дней в году, приходящихся на планово-предупредительный ремонт
определяется по формуле
(2.1)
где
количество недель в году, 
;
Эффективный
фонд времени работы оборудования, ч, определяется по формуле
(2.2)
где
число рабочих дней в году, 
;
число
дней в году, приходящихся на капитальный ремонт, 
;
число
дней в году, приходящихся на планово-предупредительный ремонт, 
(2.1);
продолжительность
смены, ч, 
;

число
смен, 
;
Время цикла прессования, мин, определяется по формуле
(2.3)
где удельная продолжительность прессования, мин/мм, (при плотности ДСтП -
700 кг/м3, температуре плит пресса - 180 для ДСтП с мелкоструктурной
поверхностью наружных слоев);
толщина
нешлифованных плит, мм, принимаем 
(при
толщине плиты после шлифовки - 17 мм);
время
вспомогательных операций, принимаем 
;
Часовая
производительность позиционного многоэтажного пресса, 
,
определяется по формуле
(2.4)
где
число этажей пресса, 
(табл.
2.1);

- длина
чистообрезной плиты, м, 
;

- ширина
чистообрезной плиты, м, 
;

-
толщина шлифованной плиты, м, 
;

- коэффициент
использования главного конвейера, принимаем 
;

- время
цикла прессования, мин, 
(2.3);
Программа
предприятия, 
,
определяется по формуле
(2.5)
где
часовая производительность пресса, 
(2.4);

-
эффективный фонд времени работы пресса, ч, 
(2.2);
Таблица
2.1 - Техническая характеристика пресса марки Д4744.
|
Наименование параметра
|
Значение
|
|
Максимальное усилие пресса,
 245
|
|
|
Максимальное давление на
пакет,  3,4
|
|
|
Формат плит пресса, мм:
|
3800 х 2100
|
|
Толщина плит пресса, мм
|
140
|
|
Число этажей
|
20
|
|
Расстояние между плитами
пресса, мм.
|
120
|
|
Число рабочих цилиндров,
шт.
|
6
|
|
Диаметр рабочих цилиндров,
мм.
|
-
|
|
Максимальное давление в
гидросистеме, Мпа.
|
31,5
|
|
Скорость смыкания плит,
мм/с.
|
160
|
|
Рабочая жидкость
|
|
Установленная мощность,
кВт.
|
240
|
|
Высота над уровнем пола,
мм.
|
9500
|
.2 Расчет потребности в сырье
Дальнейшие расчеты выполняются с учетом того, что древесно-стружечная
плита является трехслойной, то есть имеет внутренний слой из сравнительно
крупной стружки и наружные слои из мелкой стружки с повышенным содержанием
связующего. В связи с этим расчеты потребности в древесине выполняем отдельно
по слоям. Наиболее рациональным путем организации производства трехслойных
стружечных плит является использование для наружных слоев технологического
сырья (круглых лесоматериалов или крупномерных отходов лесопиления или фанерного
производства), а для внутреннего слоя - привозной или собственного производства
технологической щепы.
Древесно-стружечная плита содержит древесину, влагу и связующее.
Плотность плиты показывает содержание осмоленной стружки в 1 м3
готовой продукции с влажностью W. При этом трехслойная плита состоит из плотных
наружных слоев с повышенным содержанием связующего и внутреннего слоя меньшей
плотности с меньшим содержанием клея.
Плотность
наружных слоев плиты (при условии, что влажность наружных слоев на 18% выше,
чем средняя плотность плиты),
определяется
по формуле
(2.6)
где
плотность плиты, кг/м3, 
;
Плотность
внутреннего слоя плиты, 
,
определяется по формуле
(2.7)
Где
плотность плиты, кг/м3, 
;
плотность
наружных слоев плиты, кг/м3, 
(2.6);
объемная
доля наружных слоев плиты, %, 
;
объемная
доля внутреннего слоя плиты, %, 
;
Коэффициент потерь при шлифовании определяется по формуле
(2.8)
где
толщина плиты, мм, 
;
объемная
доля наружных слоев плиты, %, 
;
припуск
на шлифование, мм, принимаем 
;
Масса
осмоленной стружки наружных слоев, 
,
определяется по формуле
(2.9)
где
плотность наружных слоев плиты, кг/м3, 
(2.6);
объемная
доля наружных слоев плиты, %, 
;
доля
связующего (по сухому остатку) в наружных слоях плиты, %, 
;
концентрация
смолы для наружных слоев, %, 
;
коэффициент
потерь при шлифовании, 
(2.8);
коэффициент
потерь при форматной обрезке плит, соответствует отношению площади пакета,
выходящего из пресса к площади древесно-стружечной плиты после ее обрезки до
стандартных размеров, принимаем 
;
Масса
осмоленной стружки внутреннего слоя, 
,
определяется по формуле
(2.10)
Где
плотность внутреннего слоя плиты, кг/м3, 
(2.7);
объемная
доля внутреннего слоя плиты, %, 
;
доля
связующего (по сухому остатку) во внутреннем слое плиты, %, 
;
концентрация
смолы для внутреннего слоя плиты, %, 
;
коэффициент
потерь при форматной обрезке плит, соответствует отношению площади пакета,
выходящего из пресса к площади древесно-стружечной плиты после ее обрезки до
стандартных размеров, принимаем 
;
Масса
ковра перед прессом, 
,
определяется по формуле
(2.11)
где масса осмоленной стружки наружных слоев,

(2.9);

- масса
осмоленной стружки внутреннего слоя, 
,

(2.10).
Потребность
в сухой стружке перед смесителями для наружных слоев,
определяется по формуле
(2.12)
где масса осмоленной стружки наружных слоев,

(2.9);
доля
связующего (по сухому остатку) в наружных слоях плиты, %, 
;
концентрация
смолы для наружных слоев, %, 
;
коэффициент
потерь стружки на главном конвейере, 
;
коэффициент
потерь при транспортировке стружки, 
;
коэффициент
потерь стружки в смесителях, 
;
Потребность
в сухой стружке перед смесителями для внутреннего слоя,
определяется по формуле
(2.13)
где
масса осмоленной стружки внутреннего слоя, 
,

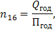
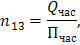
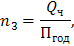
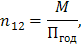
(2.10);
доля
связующего (по сухому остатку) во внутреннем слое плиты, %, 
;
концентрация
смолы для внутреннего слоя плиты, %, 
;
коэффициент
потерь стружки на главном конвейере, 
;
коэффициент
потерь при транспортировке стружки, 
;
коэффициент
потерь стружки в смесителях, 
;
Потребность
в сырой стружке для наружных слоев перед сушилками,
определяется по формуле
(2.14)
где
потребность в сухой стружке перед смесителями для наружных слоев, кг/м3,

(2.12);
влажность
стружки после стружечных станков, %, 
;
коэффициент
потерь стружки при ее сушке и сортировке, принимаем 
;
Потребность
в сырой стружке для внутреннего слоя перед сушилками, определяется по формуле
(2.15)
где
потребность в сухой стружке перед смесителями для внутреннего слоя, кг/м3,

(2.13);
влажность
стружки после стружечных станков, %, 
;
коэффициент
потерь стружки при ее сушке и сортировке, принимаем 
;
Потребность
в щепе для получения стружки внутреннего слоя, 
,
определяется по формуле
(2.16)
где
потребность в сырой стружке для внутреннего слоя перед сушилками, кг/м3,

(2.15);
коэффициент
потерь древесины при сортировании щепы и ее измельчении в стружку в
центробежных стружечных станках, принимаем 
;
Потребность
в технологическом сырье для получения стружки наружных слоев, определяется по
формуле
(2.17)
где
потребность в сырой стружке для наружных слоев перед сушилками, кг/м3,

(2.14);
коэффициент
потерь древесины при ее измельчении в стружку и доизмельчении стружку, 
;
коэффициент
потерь древесины при поперечной разделке длинномерного сырья на чураки, 
;
.3
Расчет расхода связующего
Основным связующим в производстве древесно-стружечных плит является
карбамидоформальдегидная смола КФ-НФП с отвердителем в виде 20%-го водного
раствора хлористого аммония или сульфата аммония. Для наружных слоев может
использоваться смола без отвердителя.
Необходимый
расход связующего для наружных слоев, 
,
определяется по формуле
(2.18)
где
масса осмоленной стружки наружных слоев, 
(2.9);
потребность
в сухой стружке перед смесителями для наружных слоев, кг/м3, 
(2.12);
Необходимый
расход связующего для наружных слоев, 
,
определяется по формуле
(2.19)
где
масса осмоленной стружки внутреннего слоя, 

(2.10);
потребность
в сухой стружке перед смесителями для внутреннего слоя, кг/м3, 
(2.13);
Потребность
в отвердителе (хлорид или сульфат аммония), аммиачной воде для увеличения
времени отверждения связующего в наружных слоях плиты, карбамиде как акцепторе
формальдегида, а также парафине для повышения гидрофобных свойств ДСтП,
определяется в соответствии с принятой рецептурой клея. Результаты расчета
представлены в табл. 2.2.
На
100 массовых частей рабочего раствора связующего добавляется 4…6 массовых
частей 20%-го водного раствора отвердителя для всех слоев плит (1% по сухому
остатку). В отвердитель для наружных слоев дополнительно вводится водный аммиак
(NH4OH) 25%-й
концентрации в количестве 25…30 массовых частей (т.е. примерно 4…6 массовых
частей на 100 массовых частей.связующего по сухому остатку). Расход карбамида и
парафина составляет примерно по 1% от массы связующего.
Таблица
2.2 - Расчет потребности в компонентах связующего
|
Компонент
|
Количество массовых частей
по рецепту,  Доля
компонента в растворе,  Требуемая
масса, ( ),
кгОбъём на программу, кг
|
|
|
|
|
Отвердитель
|
6
|
0,06
|
11,2
|
1127679,815
|
|
Водный аммиак
|
30
|
0,3
|
34,863
|
39314301,390
|
|
Парафин
|
1
|
0,01
|
1,162
|
1310363,9
|
|
Карбамид
|
1
|
0,01
|
1,162
|
1310363,9
|
.4 Составление баланса древесины
Все расчеты по определению потребности сырья и материалов представлены в
табл. 2.3. Наряду с потребностью материалов на 1 м3 продукции на
практике важно знать их потребность на годовую программу и часовой расход
компонентов для настройки технологического оборудования.
Годовая
потребность в каком-либо компоненте, 
,
определяется по формуле
(2.20)
удельный
расход компонента, 
;
годовая
программа предприятия, 
(2.5);
Часовой расход материалов определяется по формуле
(2.21)
где потребность в соответствующем компоненте, кг;
годовой
фонд эффективного времени работы оборудования, ч, 
(2.2).
Плотность
древесины при влажности 80%, 
,
определяется по формуле
(2.22)
где
влажность поступающего сырья, %, принимаем 
;
базисная
плотность древесины данной породы, кг/м3, 
(для
бука (табл. 3.4 [1]));
коэффициент
объемной усушки, 
(табл.
3.4 [1]);
Плотность
древесины при влажности 3%, 
,
определяется по формуле
(2.22)
где
влажность сухого сырья, %, принимаем 
;
базисная
плотность древесины данной породы, кг/м3, 
(для
ясеня (табл. 3.4 [1]));
коэффициент
объемной усушки, 
(табл.
3.4 [1]);
Объемный
расход щепы при влажности древесины 80%, определяется по формуле
(2.23)
где
потребность в щепе, для получения стружки внутреннего слоя, кг/м3, 
(2.16);
плотность
древесины при влажности 80%, кг/м3, 
(2.22);
Объемный
расход лесоматериалов при влажности древесины 80%, определяется по формуле
(2.24)
где
потребность в технологическом сырье, для получения стружки наружных слоев, кг/м3,

(2.17);
плотность
древесины при влажности 80%, кг/м3, 
(2.22);
Расход
щепы, приведенный к влажности древесины 0%, 
,
определяется по формуле
(2.25)
где
потребность в щепе, для получения стружки внутреннего слоя, кг/м3, 
(2.16);
коэффициент
объемной усушки, 
(табл.
3.4 [1]);
Расход
технологического сырья, приведенный к влажности древесины 0%, 
,
определяется по формуле
(2.26)
где
потребность в технологическом сырье, для получения стружки наружных слоев, кг/м3,

(2.17);
коэффициент
объемной усушки, 
(табл.
3.4 [1]);
Удельный расход сырья, определяется по формуле
(2.27)
где
расход щепы, приведенный к влажности древесины 0%, кг/м3, 
(2.25);
расход
технологического сырья, приведенный к влажности древесины 0%, кг/м3,

(2.26);
плотность
плиты, кг/м3, 
;
Таблица
2.3 - Потребность в материалах на производство древесно-стружечных плит
|
Материал
|
Расход на 1 м3
плит
|
Объем работ на программу
|
Часовой расход
|
|
Параметр
|
кг/м3
|
м3/м3
|
т
|
м3
|
т/ч
|
м3/ч
|
|
1. Готовые шлифованные
плиты
|
|
780,00
|
1
|
78611,35
|
100783,782
|
10,730
|
13,757
|
|
2. Плиты до шлифования
|
-
|
858,00
|
1,1
|
95119,733
|
110862,160
|
129,841
|
154,133
|
|
3. Плиты до форматной
обрезки
|
-
|
900,90
|
1,115
|
104869,522
|
116405,268
|
14,314
|
15,889
|
|
4. Ковер перед прессом
|
|
1086,971
|
-
|
1095490,483
|
-
|
14,953
|
|
|
5. Осмоленная стружка
наружных слоев
|
|
529,127
|
-
|
53327,420
|
-
|
7,279
|
|
|
6. Осмоленная стружка
внутреннего слоя
|
|
557,844
|
-
|
56221,628
|
-
|
7,674
|
|
|
7. Сухая стружка наружных
слоев
|
|
412,918
|
-
|
41615,44
|
-
|
5,681
|
9,288
|
|
8. Сухая стружка
внутреннего слоя
|
|
487,568
|
-
|
49138,95
|
-
|
6,707
|
10,965
|
|
9. Смола для наружных слоев
|
|
116,209
|
-
|
11711,98
|
-
|
1,597
|
|
|
10. Смола для внутреннего
слоя
|
|
70,276
|
-
|
7082,68
|
-
|
0,967
|
|
|
11. Сырая стружка для
наружных слоев
|
|
765,550
|
-
|
77155,02
|
-
|
10,532
|
14,472
|
|
12. Сырая стружка для
внутреннего слоя
|
|
899,563
|
-
|
90661,36
|
-
|
12,375
|
17,004
|
|
13. Щепа для стружки
внутреннего слоя
|
|
953,537
|
1,31
|
125892,395
|
-
|
13,118
|
18,026
|
|
|
14. Лесоматериалы для
стружки наружных слоев
|
|
819,598
|
1,13
|
82,602
|
-
|
11,275
|
15,492
|
|
|
|
|
|
|
|
|
|
|
|
|
|
|
|
|
|
2.5 Расчет оборудования при производстве древесно-стружечных плит
Производительность оборудования может быть найдена по справочным данным
или определена аналитически. Режимные параметры рассчитываются для
оборудования, имеющего возможность настройки (порционные весы,
клееприготовительное оборудование, главный конвейер и т.п.).
Потребность в оборудовании, определяется по формуле
(2.28)
.5.1 Разделка сырья
Для разобщения пакетов сырья в один ряд, то есть поштучно, используем
разобщитель бревен -РБ-100. Техническая характеристика данного оборудования
представлена в табл. 2.4. Потребность в разобщителях определяется количеством
используемых слешерных установок.
Слешерные установки применяют для получения мерных отрезков (обычно
длиной 1 м) для дальнейшего измельчения в щепу в рубительных машинах с
наклонной подачей (типа МРНП) или для получения стружки в стружечных станках
типа ДС-6. В качестве слешера применяем станок ДЦ-10М. Техническая
характеристика данного оборудования представлена в табл. 2.5.
Потребность в слешерных установках определяется по формуле
(2.29)
Где
потребность в технологическом сырье, м3/ч, 
(табл.
2.3);
часовая
производительность слешерной установки, м3/ч, 
(табл.
2.4);
Коэффициент загрузки слешерной установки, %, определяется по формуле
(1.30)
где
расчетное число разобщителей, 
(2.29);
принятое
число разобщителей, 
(2.29);
Таблица
2.4 - Техническая характеристика разобщителя кряжей - РБ-100
|
Наименование параметра
|
Значение
|
|
Вместимость бункера, м3
|
10
|
|
Производительность, м3/ч
|
24…146
|
|
Максимальный диаметр
хлыста, мм
|
600
|
|
Длина хлыстов, м
|
1,6...6,5
|
|
Максимальная масса пучков,
т
|
-
|
|
Скорость движения цепей,
м/с
|
0,2...0,42
|
|
Установленная мощность, кВт
|
23
|
|
Габаритные размеры, м
|
22,8х6,4х3,8
|
|
Масса, т
|
22,7
|
Таблица 2.5 - Техническая характеристика слешерной установки - ДЦ-10М
|
Наименование параметра
|
Значение
|
|
Производительность по
сырью, м3/ч
|
< 40
|
|
Длина перерабатываемого
сырья, м
|
2,0...6,5
|
|
Диаметр сырья, см
|
8...40
|
|
Длина получаемых отрезков,
м
|
1,0
|
|
Число пил, шт.
|
6
|
|
Диаметр пил, мм
|
1250
|
|
Скорость резания, м/с
|
|
Скорость подачи конвейера,
м/мин
|
6,0
|
|
Шаг между упорами, мм
|
960
|
|
Число электродвигателей,
шт.
|
14
|
|
Установленная мощность, кВт
|
141,6
|
|
Габаритные размеры, м:
|
|
|
длина
|
11,5
|
|
ширина
|
12,4
|
|
высота
|
4,5
|
|
Масса, т,
|
29,0
|
.5.2 Разделка толстомерного сырья
После разделки по длине мерные отрезки (чураки) большого диаметра
раскалывают на поленья на механических или гидравлических дровокольных станках.
В качестве такого оборудования принимаем к расчету гидравлический дровокольный
станок КГ-6. Техническая характеристика данного станка приведена в табл. 2.6.
Потребность в дровокольных станках, определяется по формуле
(2.31)
где
потребность в технологическом сырье, м3/ч, 
(табл.
2.3);
часовая
производительность дровокольного станка, м3/ч,
(табл.
2.6);
Коэффициент
загрузки дровокольного станка, %, определяется по формуле
(2.32)
где
расчетное число дровокольных станков, 
(2.31);
принятое
число дровокольных станков, 
(2.31);
Таблица
2.6 - Техническая характеристика дровокольного станка ГК-6
|
Наименование параметра
|
Значение
|
|
Производительность, м3/ч
|
12
|
|
Длина чураков, м
|
1…1,25
|
|
Диаметр чураков, см
|
15…100
|
|
Максимальное усилие
раскалывания, Н
|
1,6…6,5
|
|
Число упоров, шт
|
1
|
|
Средний цикл раскалывания,
с
|
12
|
|
Установленная мощность, кВт
|
17
|
|
Габаритные размеры, м
|
5,03х1,10 х1,54
|
|
Масса, т
|
3,5
|
.5.3 Получение щепы
Для получения технологической щепы используем дисковую рубительную машину
- МР2-20. Техническая характеристика данного оборудования представлена в табл.
2.7.
Потребность в рубительных машинах, определяется по формуле
(2.33)
где 
-
потребность в технологической щепе, м3/ч, 
(табл.
2.3);

-
часовая производительность рубительной машины, м3/ч, 
(табл.
2.7);
Коэффициент загрузки рубительной машины, %, определяется по формуле
(2.34)
где
расчетное число рубительных машин, 
(2.33);
принятое
число рубительных машин, 
(2.33);
Таблица
2.7 - Техническая характеристика рубительной машины - МР2-20
|
Наименование параметра
|
Значение
|
|
Загрузочный патрон, мм
|
250х400
|
|
Расположение загрузочного
патрона
|
Правое
|
|
Подача
|
Наклонная
|
|
Выброс щепы
|
Нижний
|
|
Производительность, м3/ч
|
20…25
|
|
Установленная мощность, кВт
|
75
|
.5.4 Получение сырой стружки
Характерной особенностью производства трехслойных ДСтП является четкое
разделение двух потоков изготовления стружки для внутреннего и наружных слоев.
Для изготовления стружки и ее осмоления на каждом потоке используют разнотипное
оборудование и даже различные технологические режимы на отдельных операциях.
Стружка толщиной 0,2 мм для наружных слоев изготавливается на стружечных
станках с ножевым валом, которые обеспечивают получение плоской резанной
стружки высокого качества. Стружку для внутреннего слоя изготавливают путем
измельчения крупномерного сырья и кусковых отходов в щепу, которую затем
перерабатывают в игольчатую стружку толщиной 05...0,6 мм на центробежных
стружечных станках. Кроме того, для внутреннего слоя использую привозную
технологическую щепу, опилки и стружку-отходы.
Для получения стружки наружных слоев принимаем стружечный станок ДС-8.
Для получения стружки внутреннего слоя принимаем стружечный станок ДС-7А.
Технические характеристики оборудования представлены в табл. 2.8, 2.9
соответственно.
Потребность в стружечных станках для получения стружки наружного слоя, %,
определяется по формуле
(2.35)
Где
часовая потребность в стружке для наружного слоя, приведенная к абсолютно сухой
стружке, кг/ч, 
(табл.
2.3);

производительность
стружечного станка (по абсолютно сухой стружке), кг/ч, 
(табл.
2.8);
Коэффициент
загрузки стружечных станков для получения стружки наружного слоя, %,
определяется по формуле
(2.36)
где
расчетное число стружечных станков для получения наружного слоя, 
(2.35);
принятое
число стружечных станков для получения наружного слоя, 
(2.35);
Потребность
в сырой стружке для наружных слоев плиты.
(2.37)

где
коэффициент объёмной усушки древесины.
Потребность
в стружечных станках для получения стружки внутреннего слоя, %, определяется по
формуле
(2.38)
где
часовая потребность в стружке для внутреннего слоя, приведенная к абсолютно
сухой стружке, кг/ч, 
(табл.
2.3);
производительность
стружечного станка (по абсолютно сухой стружке), кг/ч, 
(табл.
2.9);
Коэффициент
загрузки стружечных станков для получения стружки внутреннего слоя, %,
определяется по формуле
(2.39)
где
расчетное число стружечных станков для получения внутреннего слоя, 
(2.38);
принятое
число стружечных станков для получения внутреннего слоя, 
(2.38);
Потребность
в сырой стружке для внутренних слоев плиты.

(2.40)
где
коэффициент объёмной усушки древесины.
Таблица
2.8 - Техническая характеристика стружечного станка - ДС-8
|
Наименование параметра
|
Значение
|
|
Производительность сухой
стружки толщиной 0,2 мм, т/ч
|
3,25
|
|
Длина перерабатываемого
сырья, м
|
0,45...1,08
|
|
Диаметр сырья, мм
|
25...400
|
|
Длина стружки, мм
|
25
|
|
Толщина стружки, мм
|
0,15...0,6
|
|
Длина ножевого вала, мм
|
1100
|
|
Диаметр ножевого вала, мм
|
565
|
|
Частота вращения ножевого
вала, мин-1
|
985
|
|
Установленная мощность, кВт
|
204
|
|
Габаритные размеры, м
|
3,5х3,6х3,01
|
|
Масса станка, т
|
14,2
|
Таблица 2.9 - Техническая характеристика стружечного станка - ДС-7А
|
Наименование параметра
|
Значение
|
|
Производительность, кг/ч
абсолютно сухой стружки при толщине стружки, мм:
|
|
|
0,4
|
4500
|
|
0,5
|
7000
|
|
Внутренний диаметр ножевого
барабана, мм
|
1200
|
|
Наружный диаметр
крыльчатки, мм
|
1195
|
|
Число ножей, шт.
|
49
|
|
Число лопастей крыльчатки,
шт.
|
18
|
|
Частота вращения, мин-1:
|
|
|
ножевого барабана
|
35
|
|
крыльчатки
|
990
|
|
Расход воздуха, м3/ч
|
3200
|
|
Габаритные размеры, м
|
3,84х1,97х1,94
|
|
Масса, т
|
8,3
|
.5.5 Сушка и сортировка стружки
Потребность в сушилках рассчитывают отдельно для каждого потока
(понаружным и внутреннему слою). Для обоих потоков принимаем одинаковые
агрегаты комбинированной сушки - АКС-8. Техническая характеристика данного
оборудования представлена в табл. 2.10.
Потребность в сушилках для сушки стружки внутреннего слоя, определяется
по формуле
(2.41)
где
часовая потребность в сухой стружке для внутреннего слоя, т/ч, 
(табл.
2.3);

- производительность
сушилки по сухой стружке, т/ч, 
(табл.
2.10);
Коэффициент
загрузки сушилки для сушки стружки внутреннего слоя, %, определяется по формуле
(2.42)
где 
-
расчетное число сушилок для сушки стружки внутреннего слоя, 
(2.41);

-
принятое число сушилок для сушки стружки внутреннего слоя, 
(2.41);
Потребность
в сушилках для сушки стружки наружных слоев, определяется по формуле
(2.43)
где
часовая потребность в сухой стружке для наружных слоев, т/ч, 
(табл.
2.3);

-
производительность сушилки по сухой стружке, т/ч, 
(табл.
2.10);
Коэффициент
загрузки сушилки для сушки стружки наружных слоев, %, определяется по формуле
(2.44)
где
расчетное число сушилок для сушки стружки наружных слоев, 
(2.43);
принятое
число сушилок для сушки стружки наружных слоев, 
(2.43);
Таблица
2.10 - Техническая характеристика агрегата комбинированной сушки - АКС-8
|
Наименование параметра
|
Значение
|
|
Производительность, т/ч:
|
|
|
по сухой стружке
|
8
|
|
по испаряемой влаге
|
7,5
|
|
Количество циркулируемых
топочных газов, т/ч
|
47,5
|
|
Температура, ℃:
|
|
|
на входе в приставку
|
600...700
|
|
на входе в барабан
|
200...300
|
|
на выходе из барабана
|
100...120
|
|
Размеры приставки, м:
|
|
|
внешний диаметр
|
3,2
|
|
внутренний диаметр
|
1,8
|
|
высота
|
4,5
|
|
сечение трубы
|
0,7х0,75
|
|
Размеры сушильного
барабана, м
|
|
|
длина
|
14
|
|
диаметр
|
2,8
|
|
Расход теплоты, кДж/ч
|
34х106
|
|
Расход теплоты, кДж/1 кг
влаги
|
4280
|
Операция сортирования стружки предусматривает следующие цели: выделить из
общей массы древесных частиц те, которые необходимы для формирования
определенных слоев стружечного ковра; отделить древесную пыль и крупную стружку
превышающую допустимые параметры.
Стружку, как правило, сортируют после сушки. Для сортирования широко
применяют механические сортировки качающегося типа. В них стружка по фракциям
разделяется с помощью сит с определенными размерами отверстий.
Для сортировки стружки принимаем к расчету для обоих потоков
двухступенчатые пневматические сепораторы. Техническая характеристика данного
оборудования представлена в табл. 2.11.
Потребность в сортировках для стружки внутреннего слоя, определяется по
формуле
(2.45)
где
часовая потребность в сухой стружке для внутреннего слоя, т/ч, 
(табл.
2.3);
производительность
сортировки по сухой стружке, т/ч,
(табл.
2.11);
Коэффициент
загрузки сортировок для стружки внутреннего слоя, %, определяется по формуле
(2.46)
где 
- расчетное
число сортировок для стружки внутреннего слоя, 
(2.45);

-
принятое число сортировок для стружки внутреннего слоя, 
(2.45);
Потребность
в сортировках для стружки наружных слоев, определяется по формуле
(2.47)
где
часовая потребность в сухой стружке для наружных слоев, т/ч, 
(табл.
2.3);
производительность
сортировки по сухой стружке, т/ч,
(табл.
2.11);
Коэффициент
загрузки сортировок для стружки наружных слоев, %, определяется по формуле
(2.48)
где
расчетное число сортировок для стружки наружных слоев, 
(2.47);
принятое
число сортировок для стружки наружных слоев, 
(2.47);
Таблица
2.11 - Техническая характеристика двухступенчатого пневматическогосепаратора
|
Наименование параметра
|
Значение
|
|
Производительность по сухой
стружке, кг/ч:
|
8000
|
|
Диаметр камеры, мм
|
2500
|
|
Толщина частиц из верхней
камеры, мм
|
0,15…0,25
|
|
Толщина частиц из нижней
камеры, мм
|
0,3…0,45
|
|
Диаметр ячеек сит, мм
|
2,0
|
|
Частота вращения
ворошителя, мин-1
|
18
|
|
Габаритные размеры, м
|
5,9х3,2х9,8
|
|
Мощность, кВт
|
175,5
|
.5.6 Приготовление и дозирование связующего
Оборудование для приготовления и дозирования связующего представляет
собой комплексные установки для хранения, дозирования и смешивания компонентов
клея. Насосы - дозаторы для клея имеют широкий диапазон регулирования, и для
технолога важно правильно настроить дозирующие агрегаты на производительность,
равную расходу клея в потоках наружных и внутренних слоев.
В качестве такого оборудования, принимаем к расчету установку для
смешивания компонентов связующего ДКС-2. Техническая характеристика ДКС-2
представлена в табл. 2.12.
Производительность насоса для подачи смолы для потока по производству
наружного слоя стружки, л/мин, определяется по формуле
(2.49)
Где
расход смолы для внутреннего слоя стружки, кг/ч, 
(табл.
2.3);
плотность
смолы, кг/л, принимаем 
;
Производительность
насоса для подачи смолы для потока по производству внутренних слоев стружки,
л/мин, определяется по формуле
(2.50)
где
расход смолы для наружных слоев стружки, кг/ч, 
(табл.
2.3);
плотность
смолы, кг/л, принимаем 
;
Потребность
в установках для смешивания компонентов связующего для потока по производству
наружного слоя стружки, определяется по формуле
(2.51)
где
производительность насоса для подачи смолы для потока по производству наружного
слоя стружки, л/мин, 
(2.49);
производительность
насосов-дозаторов установки, л/мин,
(табл.
2.12);
Потребность
в установках для смешивания компонентов связующего для потока по производству
внутренних слоев стружки, определяется по формуле
(2.52)
где
производительность насоса для подачи смолы для потока по производству наружных
слоев стружки, л/мин, 
(2.50);
производительность
насосов-дозаторов установки, л/мин,
(табл.
2.12);
Коэффициент
загрузки установки для смешивания компонентов связующего для потока по
производству наружного слоя стружки, %, определяется по формуле
(2.53)
где
расчетное число установок, 
(2.51);

принятое
число установок, 
(2.51);
Коэффициент
загрузки установки для смешивания компонентов связующего для потока по
производству внутренних слоев стружки, %, определяется по формуле
(2.54)
где
расчетное число установок, 
(2.52);
принятое
число установок, 
(2.52);
Таблица
2.12 - Техническая характеристика установки для смешивания компонентов
связующего - ДКС-2
|
Наименование параметра
|
Значение
|
|
Производительность
насосов-дозаторов, л/мин:
|
|
|
для смолы
|
< 41
|
|
для отвердителя
|
2,7
|
|
Вязкость по визкозиметру
ВЗ-4, с:
|
|
|
смолы
|
≤ 30
|
|
отвердителя
|
≤ 15
|
|
Рабочий диапазон
регулирования хода плунжеров насоса, мм
|
12...60
|
|
Число двойных ходов
плунжеров насосов в 1 мин
|
35...150
|
|
Мощность электродвигателей
насосов, кВт
|
5,5
|
|
Габаритные размеры, мм:
|
|
|
длина
|
1533
|
|
ширина
|
1400
|
|
высота
|
1260
|
|
Масса, т
|
0,9
|
.5.7 Хранение запасов щепы и стружки
Хранение запасов щепы и стружки производится в вертикальных бункерах,
которые выполняют одновременно роль объёмных дозаторов сыпучего материала для
последующих технологических операций.
Производительность бункеров следует оценивать по пропускной способности
дозирующих устройств, например винтовых конвейеров, м3/ч. Объём
работ для бункера равен потребности в соответствующем компоненте, выраженном в
м3, при данной влажности сырья.
Кроме расчета потребности в бункерах и степени их загрузки, практически
важно оценить период, в течение которого бункер способен обеспечить работу
последующего оборудования при прекращении подачи материала в него (оперативное время).
Такая ситуация часто возникает на предприятиях в связи с поломкой оборудования,
настройкой машин, при перебоях в поставке сырья в выходные дни.
Принимаем к расчету следующие марки бункеров:
для хранения щепы - ДБО-150;
для хранения сырой стружки внутреннего и наружных слоев - ДБО-300;
для хранения сухой стружки внутреннего и наружных слоев - ДБОС-60;
для хранения пыли - ДБОП-60.
Технические характеристики данного оборудования представлены в табл.
2.13, 2.14, 2.15.
Оперативное время работы бункеров для щепы, ч, определяется по формуле
(2.55)
где
объем бункера, нас.м3, 
(табл.
2.13);
коэффициент
заполнения бункера, принимаем 
;
коэффициент
полнодревесности щепы, принимаем 
;
потребность
в щепе, м3/ч, 
(табл.
2.3);
Потребность
в бункерах для щепы определяется по формуле
(2.56)
где
продолжительность смены, ч, 
;
оперативное
время работы бункеров для щепы, ч, 
(2.55);
Коэффициент
загрузки бункера для щепы, %, определяется по формуле
(2.57)
где
расчетное число бункеров для щепы, 
(2.56);
принятое
число бункеров для щепы, 
(2.56);

(2.58)
где
объем бункера, нас.м3, 
(табл.
2.13);
коэффициент
заполнения бункера, принимаем 
;
насыпная
плотность материала, кг/м3, 
(для
сырой стружки из бука (табл. 3.32 [1]));
потребность
в сырой стружке для внутреннего слоя, кг/ч,
(табл.
2.3).
Потребность
в бункерах под сырую стружку для внутреннего слоя определяется по формуле
(2.59)
где
продолжительность смены, ч, 
;
оперативное
время работы бункеров для сырой стружки внутреннего слоя, ч, 
(2.58);
Коэффициент
загрузки бункера для сырой стружки внутреннего слоя, %, определяется по формуле
(2.60)
где
расчетное число бункеров для сырой стружки внутреннего слоя, 
(2.59);
принятое
число бункеров для сырой стружки внутреннего слоя, 
(2.59);
Оперативное
время работы бункеров для сырой стружки наружных слоев, ч, определяется по
формуле
(2.61)
где
объем бункера, нас.м3, 
(табл.
2.13);
коэффициент
заполнения бункера, принимаем 
;
насыпная
плотность материала, кг/м3, 
(для
сырой стружки из бука (табл. 3.32 [1]));
потребность
в сырой стружке для наружных слоев, кг/ч, 
(табл.
2.3);
Потребность
в бункерах под сырую стружку для наружных слоев определяется по формуле
(2.62)
Где
продолжительность смены, ч, 
;
оперативное
время работы бункеров для сырой стружки наружных слоев, ч, 
(2.61);
Коэффициент
загрузки бункера для сырой стружки наружных слоев, %, определяется по формуле
(2.63)
Где
расчетное число бункеров для сырой стружки наружных слоев,
(2.62);
принятое
число бункеров для сырой стружки наружных слоев, 
(2.62);
Оперативное
время работы бункеров для сухой стружки внутреннего слоя, ч, определяется по
формуле
(2.64)
где
объем бункера, нас.м3, 
(табл.
2.14);
коэффициент
заполнения бункера, принимаем 
;
насыпная
плотность материала, кг/м3, 
(для
сухой стружки из бука (табл. 3.32 [1]));
потребность
в сухой стружке для внутреннего слоя, кг/ч, 
(табл.
2.3);
Потребность
в бункерах под сухую стружку для внутреннего слоя определяется по формуле
(2.65)
где
потребность в сухой стружке для внутреннего слоя, кг/ч, 
(табл.
2.3);
Коэффициент
загрузки бункера для сухой стружки внутреннего слоя, %, определяется по формуле
(2.66)
Где
расчетное число бункеров для сухой стружки внутреннего слоя, 
(2.65);
принятое
число бункеров для сухой стружки внутреннего слоя, 
(2.65);
Оперативное
время работы бункеров для сухой стружки наружных слоев, ч, определяется по
формуле
(2.67)
где
объем бункера, нас.м3, 
(табл.
2.14);
коэффициент
заполнения бункера, принимаем 
;
насыпная
плотность материала, кг/м3, 
(для
сухой стружки из бука (табл. 3.32 [1]));
потребность
в сухой стружке для наружных слоев, кг/ч,

(табл.
2.3);
Потребность
в бункерах под сухую стружку для наружных слоев, определяется по формуле
(2.68)
Где потребность в сухой стружке для наружных слоев, кг/ч,

(табл.
2.3);
Коэффициент
загрузки бункера для сухой стружки наружных слоев, %, определяется по формуле
(2.69)
где
расчетное число бункеров для сухой стружки внутреннего слоя, 
(2.68);
принятое
число бункеров для сухой стружки внутреннего слоя, 
(2.68);
Оперативное время работы бункеров для пыли, ч, определяется по формуле
(2.70)
где
объем бункера, нас.м3, 
(табл.
2.15);
коэффициент
заполнения бункера, принимаем 
;
насыпная
плотность шлиф.пыли, кг/м3, принимаем
;
часовой
объем производимой шлифованной пыли, кг/ч,

(табл.
2.3);
Потребность
в бункерах под шлифовальную пыль, определяется по формуле
(2.71)
где
продолжительность смены, ч, 
;
оперативное
время работы бункеров для шлифовальной пыли, ч,
(2.70);
Коэффициент
загрузки бункера для шлифовальной пыли, %, определяется по формуле
(2.72)
где
расчетное число бункеров для шлифовальной пыли, 
(2.71);
принятое
число бункеров для шлифовальной пыли, 
(2.71).
Таблица
2.13 - Техническая характеристика вертикального бункера - ДБО-300
|
Наименование параметра
|
Значение
|
|
Вместимость бункера, м3
|
300
|
|
Число выгрузочных винтовых
конвейеров, шт.
|
3
|
|
Производительность одного
винтового конвейера, м3/ч
|
3,8...4
|
|
Наибольшая частота
вращения, мин-1:
|
|
|
винтового конвейера
|
35
|
|
планшайбы (ротора)
|
1,5
|
|
Установленная мощность
двигателей, кВт
|
21,9
|
|
Габаритные размеры, м:
|
|
|
длина
|
9,04
|
|
ширина
|
7,54
|
|
диаметр верхний
|
3,3
|
|
диаметр нижний
|
5,98
|
|
высота
|
18
|
|
Высота опор, м
|
4
|
|
Общая масса бункера, т
|
34,3
|
Таблица 2.14 - Техническая характеристика бункера - ДБОС-60
|
Наименование параметра
|
Значение
|
|
Вместимость бункера, м3
|
350
|
|
Площадь фильтрующей
поверхности, м2
|
400
|
|
Объем воздуха, м3/ч
|
67000
|
|
Диаметр бункера, мм
|
6750
|
|
Высота бункера, мм
|
18100
|
|
Масса бункера, кг
|
34000
|
Таблица 2.15 - Техническая характеристика бункера - ДБОП-60
|
Наименование параметра
|
Значение
|
|
Вместимость бункера, м3
|
60
|
|
Число разгрузочных конвейеров,
шт
|
3
|
|
Производительность, м3/ч
|
5...60
|
|
Габаритные размеры, м:
|
|
|
длина
|
8,24
|
|
ширина
|
6,27
|
|
высота
|
11,75
|
|
Установленная мощность, кВт
|
25
|
|
Масса, кг
|
18450
|
2.5.8 Дозирование стружки
Дозирование стружки перед смесителями должно быть весовым (по массе) с
точностью не ниже 4…5% и объемным. Порционные весы должны настраиваться на
массу отвешиваемой порции и продолжительность одного цикла. Сначала выполняют
дозирование по массе, затем по объему. В качестве оборудования для данной
операции принимаем ковшовые весы ОДК4-200А и выравнивающий бункер-питатель.
Технические характеристики оборудования представлены в табл. 2.16 и 2.17
соответственно.
В современных установках используют непрерывное автоматическое
дозирование стружки и связующего перед их вводом в смеситель. Такая система
настраивается не только на точное весовое дозирование стружки и клея, но и на
соотношение этих показателей.
Расчетное время цикла порционных весов для потока, производящего стружку
внутреннего слоя, с, определяется по формуле
(2.73)
где
масса отвешиваемой порции, принимаем 
;
потребность
в сухой стружке для внутреннего слоя, кг/ч, 
(табл.
2.3);
Расчетное
время цикла порционных весов для потока, производящего стружку наружных слоев,
с, определяется по формуле
(2.74)
где
масса отвешиваемой порции, принимаем 
;
потребность
в сухой стружке для наружных слоев, кг/ч, 
(табл.
2.3);
Уточненная
масса отвешиваемой порции весов для потока, производящего стружку внутреннего
слоя, кг, определяется по формуле
(2.75)
где
принятая стандартная продолжительность цикла работы весов для потока,
производящего стружку для внутреннего слоя, с, 
;
потребность
в сухой стружке для внутреннего слоя, кг/ч,
(табл.
2.3);
Уточненная
масса отвешиваемой порции весов для потока, производящего стружку наружных
слоев, кг, определяется по формуле
(2.76)
где принятая стандартная продолжительность цикла работы весов для
потока,
производящего стружку для наружных слоев, с, 
;
потребность
в сухой стружке для наружных слоев, кг/ч,
(табл.
2.3);
Потребность
в установках дозирования сухой стружки для внутреннего слоя определяется по
формуле
(2.77)
где
потребность в сухой стружке для внутреннего слоя, кг/ч, 
(табл.
2.3);
производительность
установки по количеству выдаваемой стружки, кг/ч, 
(табл.
2.17);
Коэффициент
загрузки установки дозирования сухой стружки внутреннего слоя, %, определяется
по формуле
(2.78)
где
расчетное число установок, 
(2.75);
принятое
число установок, 
(2.75);
Потребность
в установках дозирования сухой стружки для наружных слоев определяется по
формуле
(2.79)
Коэффициент загрузки установки дозирования сухой стружки наружных слоев,
%, определяется по формуле
(2.80)
где
расчетное число установок, 
(2.77);
принятое
число установок, 
(2.77);
Потребность
в выравнивающих бункерах-питателях для сухой стружки внутренних слоев
определяется по формуле
(2.81)
Где
потребность в сухой стружке для внутреннего слоя, кг/ч, 
(табл.
2.3);
производительность
установки по количеству выдаваемой стружки, кг/ч, 
(табл.
2.17);
Коэффициент
загрузки выравнивающих бункеров-питателей для сухой стружки внутренних слоев,
%, определяется по формуле
(2.82)
где
расчетное число установок, 
(2.79);
принятое
число установок, 
(2.79);
Потребность
в выравнивающих бункерах-питателях для сухой стружки наружных слоев
определяется по формуле
(2.83)
где
потребность в сухой стружке для наружных слоев, кг/ч, 
(табл.
2.3);
производительность
установки по количеству выдаваемой стружки, кг/ч, 
(табл.
2.17);
Коэффициент
загрузки выравнивающих бункеров-питателей для сухой стружки наружных слоев, %,
определяется по формуле
(2.84)
где
расчетное число установок, 
(2.81);
принятое
число установок, 
(2.81);
Таблица
2.16 - Техническая характеристика весов ОДК 4-200А
|
Наименование параметра
|
Значение
|
|
Масса отвешиваемой порции,
кг
|
20...140
|
|
Вместимость ковша, м3
|
0,69
|
|
Продолжительность цикла
работы весов, с
|
15; 20; 30; 45; 60
|
|
Число тактов работы весов в
минуту
|
1; 1,34; 2,3; 4
|
|
Точность соблюдения
продолжительности цикла, %
|
2,5
|
|
Давление сжатого воздуха в
пневмосистеме весов, Мпа
|
0,36...0,44
|
|
Расход сжатого воздуха, м3/ч
|
1,0
|
Таблица 2.17 - Техническая характеристика выравнивающего бункера-питателя
|
Наименование параметра
|
Значение
|
|
Производительность по
количеству выдаваемой стружки, кг/ч
|
< 8000
|
|
Вместимость камеры, м3
|
18
|
|
Скорость движения данного
конвейера, м/мин
|
0,1...1,98
|
|
Установленная мощность
двигателей, кВт
|
6,6
|
|
Габаритные размеры, м:
|
|
|
длина
|
6,23
|
|
ширина
|
2,9
|
|
высота
|
2,476
|
|
Масса, т
|
6,88
|
.5.9 Смешивание стружки со связующим
При смешивании стружки со связующим объем материала, проходящего через
смеситель, равен объему осмоленной стружки соответствующего слоя.
В качестве оборудования для данной операции принимаем высокооборотный
смеситель - ДСМ-7. Техническая характеристика смесителя приведена в табл. 2.18.
Потребность в высокооборотных смесителях для потока, производящего
стружку для внутреннего слоя, определяется по формуле
(2.85)
Где
часовая потребность в осмоленной стружке для внутреннего слоя, кг/ч, 
(табл.
2.3);
производительность
смесителя, кг/ч, принимаем 
(табл.
2.18);
Коэффициент
загрузки смесителя для потока, производящего стружку для внутреннего слоя, %,
определяется по формуле
(2.86)
где
расчетное число смесителей, 
(2.85);
принятое
число смесителей, 
(2.85);
Потребность
в высокооборотных смесителях для потока, производящего стружку для наружных
слоев, определяется по формуле
(2.87)
где
часовая потребность в осмоленной стружке для наружных слоев, кг/ч, 
(табл.
2.3);
производительность
смесителя, кг/ч, принимаем 
(табл.
2.18).
Коэффициент
загрузки смесителя для потока, производящего стружку для наружных слоев, %,
определяется по формуле
(2.88)
где
расчетное число смесителей, 
(2.87);
принятое
число смесителей, 
(2.87);
Таблица
2.18 - Техническая характеристика высокооборотного смесителя ДСМ-7
|
Наименование параметра
|
Значение
|
|
Производительность, т/ч
|
2...16
|
|
Длина камеры, мм
|
2500
|
|
Диаметр камеры, мм
|
600
|
|
Вместимость камеры, м3
|
0,68
|
|
Частота вращения вала, мин-1
|
875
|
|
Число лопастей
|
36
|
|
Число сопел распыления
|
12
|
|
Установленная мощность, кВт
|
55
|
|
Габаритные размеры, м:
|
|
|
длина
|
4,0
|
|
ширина
|
1,3
|
|
высота
|
2,74
|
|
Масса, т
|
3,7
|
.5.10 Технологический расчет главного конвейера
Технологический расчет главного конвейера заключается в определении его
ритма и скорости формирующего конвейера. Ритм главного конвейера показывает
время, в течение которого с конвейера сходит одна древесно-стружечная плита.
Ритм формирующего конвейера (для линий с прессами периодического
действия), с, определяется по формуле
(2.89)
где 
-
продолжительность цикла прессования в горячем прессе, мин, 
(2.3);

- число
этажей пресса, 
(табл.
2.1);
Скорость
формирующего конвейера, м/мин, определяется по формуле
(2.90)
где
число этажей пресса, 
(табл.
2.1);
длина
пакета на конвейере при бесподдонном прессовании, м, 
;
продолжительность
цикла прессования в горячем прессе, мин, 
(2.3);
.5.11
Формирование стружечного ковра
Для
трехслойных стружечных плит число формирующих машин обычно равно 4 (две машины
формируют наружные слои и еще две - внутренний слой).
Принимаем
к расчету формирующую машину - ДФ-6. Техническая характеристика данного
оборудования представлена в табл. 2.19.
Масса
отвешиваемой порции на каждой формирующей машине, работающей в потоке
производства стружки внутреннего слоя, кг, определяется по формуле
(2.91)
где
часовая потребность в осмоленной стружке для внутреннего слоя, кг/ч, 
(табл.
2.3);

число
тактов срабатывания весов в минуту, принимаем 
(табл.
3.38 [1]);
число
формирующих машин для внутреннего слоя, 
.
Потребность
в формирующих машинах для потока, производящего стружку для внутреннего слоя,
определяется по формуле
(2.92)
где часовая потребность в осмоленной стружке для внутреннего слоя,
кг/ч,

(табл.
2.3);
производительность
формирующей машины, кг/ч, принимаем 
(табл.
3.38, 3.39 [1]);
Коэффициент
загрузки формирующих машин для потока, производящего стружку для внутреннего
слоя, %, определяется по формуле
(2.93)
где
расчетное число формирующих машин, 
(2.92);
принятое
число формирующих машин, 
(2.92);
Масса
отвешиваемой порции на каждой формирующей машине, работающей в потоке
производства стружки наружных слоев, кг, определяется по формуле
(2.94)
где часовая потребность в осмоленной стружке для наружных слоев,
кг/ч,

(табл.
2.3);

число
тактов срабатывания весов в минуту, принимаем 
(табл.
3.38 [1]);
число
формирующих машин для внутреннего слоя, 
.
Потребность
в формирующих машинах для потока, производящего стружку для наружных слоев,
определяется по формуле
(2.95)
где
часовая потребность в осмоленной стружке для наружных слоев, кг/ч, 
(табл.
2.3);
производительность
формирующей машины, кг/ч, принимаем 
(табл.
3.38, 3.39 [1]);
Коэффициент
загрузки формирующих машин для потока, производящего стружку для наружных
слоев, %, определяется по формуле
(2.96)
где
расчетное число формирующих машин, 
(2.95);
принятое
число формирующих машин, 
(2.95).
Таблица
2.19 - Техническая характеристика формирующей машины - ДФ-6
|
Наименование параметра
|
Значение
|
|
Производительность, кг/ч
|
240...5400
|
|
Рабочий объем бункера, м3
|
1,7
|
|
Ширина формируемого ковра,
мм
|
1800, 1860
|
|
Скорость наклонного
транспортера, м/мин
|
1,2...36
|
|
Толщина слоя материала на
наклонном транспортере, мм
|
30...55
|
|
Скорость донного
транспортера, м/мин
|
0,032...1,6
|
|
Максимальная толщина слоя
на донном транспортере, мм
|
600
|
|
Габаритные размеры, м
|
3,46х3,37х3,10
|
|
Установленная мощность, кВт
|
9,1
|
|
Масса, т
|
5,375
|
.5.12 Контроль массы пакета
Контроль массы пакета является важным этапом технологического процесса и
заключается в поддержании стабильной плотности получаемой продукции.
Масса пакета, кг, определяется по формуле
(2.97)
где 
- длина
формируемого пакета, м, 
;

- ширина
формируемого пакета, м, 
;

-
толщина нешлифованной плиты, м, 

- плотность
плиты, кг/м3, 
;

-
влажность пакета (осмоленной стружки), %, принимаем 
;

-
влажность готовой плиты, %, 
Время
цикла взвешивания должно быть существенно меньше ритма главного конвейера. На
практике время цикла составляет 3...5 с.
.5.13
Холодная подпрессовка
Холодная
подпрессовка пакетов производится с целью: уменьшить высоту прессуемых пакетов
с целью уменьшения межэтажного пространства многоэтажных гидравлических
прессов; устранить просыпание мелких древесных частиц в нижнюю часть пакета при
его транспортировании; устранить осыпание кромок пакетов; избежать раздувание пакетов
воздушным потоком во время смыкания плит горячих прессов.
Ритм
работы холодного пресса должен быть на 2...3 с меньше ритма главного конвейера.
Принимаем
позиционный одноэтажный гидравлический пресс - ПР-5М. Техническая
характеристика данного оборудования приведена в табл. 2.20.
Часовая
производительность холодногопресса, 
,
определяется по формуле
(2.98)
где
длина обрезной плиты, м, 
;
ширина
обрезной плиты, м, 
;
толщина
нешлифованной плиты, м, 
;
коэффициент
использования главного конвейера, принимаем 
;
время
цикла прессования, 
(табл.
2.20);
Скорость
рабочего движения холодного пресса, м/мин, определяется по формуле
(2.99)
Где
часовая производительность холодного пресса, м3/ч, 
;
ширина
обрезной плиты, м, 
;
толщина
нешлифованной плиты, м, 
;
Потребность
в холодных прессах определяется по формуле
Где
часовая производительность холодного пресса, м3/ч, 
;
масса
ковра перед прессом, т/ч, 
Коэффициент
загрузки формирующих машин для потока, производящего стружку для наружных
слоев, %, определяется по формуле
Таблица
2.20 - Техническая характеристика гидравлического пресса - ПР-5М
|
Наименование параметра
|
Значение
|
|
Принцип действия
|
Позиционный
|
|
Максимальное усилие пресса,
кН
|
176
|
|
Размер плит пресса, мм
|
3700х2000
|
|
Высота рабочего промежутка,
мм
|
400
|
|
Размер подпрессовываемого
пакета, мм
|
3700х1850
|
|
Цикл работы пресса, с
|
24
|
|
Максимальное давление на
пакет, Мпа
|
2,45
|
|
Установленная мощность, кВт
|
267
|
|
Габаритные размеры, м:
|
|
|
длина
|
3,83
|
|
ширина
|
2,76
|
|
высота
|
5,08
|
|
Масса пресса, т
|
70
|
.5.14 Горячее прессование
Горячий пресс загружен на 100% по условиям расчета, так как его годовая
производительность равна программе предприятия, а часовая производительность -
часовой потребности в готовых плитах.
Используется пресс марки Д4744. Техническая характеристика представлена в
таблице 2.1.
Давление, которое должно поддерживаться в гидросистеме пресса, МПа,
определяется по формуле
(2.100)
где
удельное давление прессования древесно-стружечных плит в горячем прессе,
принимаем 
;
длина
прессуемого пакета, мм, принимаем 
;
ширина
прессуемого пакета, мм, принимаем 
;
диаметр
плунжера гидравлического пресса, мм, 
(табл.
2.1);
число
рабочих плунжеров, 
(табл.
2.1);
коэффициент
полезного действия гидросистемы пресса, принимаем 
;
.5.15
Охлаждение плит
Охлаждение
плит выполняется в веерных охладителях сразу после горячего прессования с целью
кондиционирования плит, то есть приведения плит к температурно-влажностным
условиям цеха и частичной рекуперации тепла.
Ритм
работы охладителя должен быть не более ритма работы главного конвейера. На
основании этого принимаем к расчету линию охлаждения плит - ДЛО 100.
Техническая характеристика данного оборудования приведена в табл. 2.21.
Потребность
в формирующих машинах для потока, производящего стружку для наружных слоев,
определяется по формуле
(2.101)
где
ритм охлаждающей линии ДЛО-100, с, 
;
ритм
формирующего конвейера, с, 
;
Коэффициент
загрузки линии охлаждения, %, определяется по формуле
(2.102)
где
расчетное число линий охлаждения, 
(2.101);
принятое
число линий охлаждения, 
(2.101);
Таблица
2.21 - Техническая характеристика линии охлаждения - ДЛО 100
|
Наименование параметра
|
Значение
|
|
Производительность при
расчетной толщине плит 19 мм и коэффициенте использования рабочего времени
0,7 м3/ч
|
14,58
|
|
Наибольшее число плит,
одновременно находящихся в камере
|
30
|
|
Время поворота ротора на
один шаг, с
|
3
|
|
Уровень загрузки и выгрузки
плит, мм
|
1400
|
|
Удаление воздуха от камеры
охлаждения
|
Цеховая вентиляция
|
|
Мощность двигателя привода
ротора, кВт
|
3
|
|
Габаритные размеры, м:
|
|
|
длина
|
8300
|
|
ширина
|
5575
|
|
высота над уровнем пола
|
6000
|
|
высота общая
|
7200
|
|
Масса, т
|
9,1
|
.5.16 Форматная обрезка плит
В качестве оборудования для форматной обрезки плит принимаем
четырехпильный форматно-обрезной станок - ДЦ-11. Техническая характеристика
данного станка приведена в табл. 2.22.
Производительность форматно-обрезного станка, м3/ч,
определяется по формуле
(2.103)
Где
длина чистообрезной плиты, м, 
;
ширина
чистообрезной плиты, м
;
толщина нешлифованной
плиты, м, 
;
коэффициент
использования рабочего времени, принимаем 
;
коэффициент
использования машинного времени, 
;
время
цикла форматной обрезки одной плиты, с, 
(табл.
2.22);
Потребность
в форматно-обрезных станках, определяется по формуле
(2.104)
Где
объем работ для форматно-обрезных станков, равный часовой производительности
головного оборудования, м3/ч, 
(2.4);
часовая
производительность форматно-обрезного станка, м3/ч, 
(2.101);
Коэффициент
загрузки форматно-обрезного станка, %, определяется по формуле
(2.105)
где
расчетное число форматно-обрезных станков, 
(2.104);

принятое
число форматно-обрезных станков, 
(2.104);
Таблица
2.22 - Техническая характеристика форматно-обрезного станка - ДЦ-11
|
Наименование параметра
|
Значение
|
|
Длина плит (после обрезки),
мм
|
3500…3680
|
|
Ширина плит, мм
|
1750…1850
|
|
Толщина плит, мм
|
10...30
|
|
Число пил, шт.
|
4
|
|
Диаметр пил, мм
|
320
|
|
Частота вращения пил, мин-1
|
2930
|
|
Скорость подачи, м/мин
|
11,8; 18,2
|
|
Минимальный ритм, с
|
14,7
|
|
Установленная мощность, кВт
|
27,2
|
|
Занимаемая площадь, м
|
-
|
|
Масса станка, т
|
-
|
.5.17 Шлифование и сортировка древесно-стружечных плит
Основная цель шлифования древесно-стружечных плит - получение плит
заданной толщины с шероховатостью поверхности в соответствии с требованиями
стандарта. Кроме того, при шлифовании снимаются поверхностные слои, имеющие
наименьшую прочность, макронеровности, пятна, а также обладающие
неудовлетворительной адгезией к пленочным покрытиям или покрытиям из
строганного шпона.
Шлифование древесно-стружечных плит осуществляется на широколенточных
шлифовальных станках шлифовальными лентами с постепенно уменьшающейся зернистостью.
В качестве такого оборудования принимаем к расчету калибровально-шлифовальный
станок - ДКШ-1. Техническая характеристика данного станка представлена в табл.
2.23.
Производительность линии шлифования и сортирования стружечных плит
определяется скоростью подачи плит в шлифовальный станок.
Скорость подачи плит, м/мин, определяется по формуле
(2.106)
где
часовая производительность головного оборудования, м3/ч, 
(2.4);
коэффициент
использования рабочего времени, принимаем 
;
коэффициент
использования машинного времени, 
;
ширина
чистообрезной плиты, м
;
толщина нешлифованной
плиты, м, 
;
Часовая
производительность широколенточного шлифовального станка, определяется по
формуле
(2.107)
Где
коэффициент использования рабочего времени, принимаем 
;
коэффициент
заполнения станка, 
;
скорость
подачи станка, м/мин, 
(2.106);
ширина
обрезной плиты, м, 
;
толщина
плиты, м, 
;
Годовой объем работы, определяется по формуле
(2.108)
где
часовая производительность шлифовального станка, 
(2.107);
эффективный
годовой фонд времени работы шлифовального станка, 
(2.2);
Потребность
в шлифовальных станках определяется по формуле
(2.109)
где
годовая программа предприятия по выпуску готовой продукции, 
(2.5);
годовой
объем работы, 
(2.106);
Коэффициент
загрузки шлифовального станка, %, определяется по формуле
(2.110)
где
расчетное число шлифовальных станков, 
(2.109);
принятое
число шлифовальных станков, 
(2.109);
Таблица
2.23 - Техническая характеристика широколенточного калибровально-шлифовального
станка - ДКШ-1
|
Наименование параметра
|
Значение
|
|
Максимальная ширина
шлифования, мм
|
1830
|
|
Толщина шлифуемого материала,
мм
|
3...200
|
|
Максимальная толщина
снимаемого слоя, мм
|
1,2
|
|
Скорость подачи, м/мин
|
<21
|
|
Число шлифовальных лент,
шт.
|
2
|
|
Размеры шлифовальной ленты,
м:
|
|
|
ширина
|
1,92
|
|
длина (замкнутая)
|
2,62
|
|
Скорость шлифовальной
ленты, м/с
|
25
|
|
Давление в пневмосистеме,
Па∙105
|
6
|
|
Установленная мощность, кВт
|
213,5
|
|
Габаритные размеры, мм:
|
|
|
длина
|
3170
|
|
ширина
|
3700
|
|
высота
|
2700
|
|
Масса, т
|
19,2
|
|
|
.5.18 Загрузка оборудования
Расчеты оборудования для производства древесно-стружечных плит удобно
представить в единой сводной таблице загрузки оборудования - табл. 2.24.
Таблица 2.24 - Загрузка оборудования по операциям технологического
процесса
|
Операция
|
Оборудова-ние
|
Производитель-ность
|
Объем работ
|
Количество оборудования,
шт.
|
Загрузка оборудования, %
|
|
|
м3/ч
|
т/ч
|
м3/ч
|
т/ч
|
|
|
|
1. Разделка по длине
|
ДЦ-10М
|
24,00
|
-
|
15,492
|
-
|
1
|
64,6
|
|
2. Раскалывание
|
КГ-6
|
12,00
|
-
|
15,492
|
-
|
1
|
19
|
|
3. Получение щепы
|
МР2-20
|
25,00
|
|
18,026
|
|
1
|
72
|
|
4. Получение стружки
|
ДС-8
|
|
3,250
|
|
10,532
|
4
|
81
|
|
5. Получение стружки
внутреннего слоя
|
ДС-7А
|
|
4,5
|
|
12,375
|
3
|
91,7
|
|
6. Сушка стружки
внутреннего слоя
|
АКС-8
|
|
8,00
|
|
6,707
|
1
|
84
|
|
7. Сушка стружки наружных
слоев
|
АКС-8
|
|
8,00
|
|
5,681
|
1
|
71
|
|
8. Сортирование стружки
внутреннего слоя
|
Двухступенчатый сепаратор
|
|
8,00
|
|
6,707
|
1
|
84
|
|
9. Сортирование стружки
наружных слоев
|
Двухступенчатый сепаратор
|
|
8,00
|
|
5,681
|
1
|
71
|
|
10. Приготовление клея для
наружных слоев
|
ДКС-2
|
|
40 л/мин
|
|
33,271
|
1
|
83,2
|
|
11. Приготовление клея для
внутренних слоев
|
ДКС-2
|
|
40 л/мин
|
|
20,142
|
1
|
50,4
|
|
12. Хранение запасов щепы
|
ДБО-150
|
3,8…4
|
|
|
18,026
|
5
|
94
|
|
13. Хранение запасов сырой
стружки внутреннего слоя
|
ДБО-300
|
3,8…4
|
|
|
10,532
|
2
|
95,5
|
|
Операция
|
Производительность
|
Объем работ
|
Количество оборудования,
шт.
|
Загрузка оборудования, %
|
|
|
|
м3/ч
|
т/ч
|
м3/ч
|
т/ч
|
|
|
|
|
14. Хранение запасов сырой
стружки наружных слоев
|
ДБО-300
|
3,8…4
|
|
|
12,375
|
3
|
74,7
|
|
|
15. Хранение запасов сухой
стружки внутреннего слоя
|
ДБОС-60
|
5,0…240
|
|
|
6,707
|
2
|
67
|
|
|
16. Хранение запасов сухой
стружки наружного слоя
|
ДБОС-60
|
5,0…240
|
|
|
5,681
|
2
|
57
|
|
|
17. Хранение запасов пыли
|
ДБОП-60
|
5,0…60
|
|
|
1,843
|
1
|
10
|
|
|
18. Доизмельчение стружки
наружных слоев
|
ДМ-8А
|
|
16,00
|
|
|
|
|
|
|
Операция
|
Оборудова-ние
|
Производительность
|
Объем работ
|
Количество оборудования,
шт.
|
Загрузка оборудования, %
|
|
|
|
|
м3/ч
|
т/ч
|
м3/ч
|
т/ч
|
|
|
|
26. Охлаждение плит
|
ДЛО 100
|
17,00
|
-
|
12,35
|
-
|
1
|
73,00
|
|
27. Форматная обрезка
|
ДЦ-8
|
17,88
|
-
|
12,35
|
-
|
1
|
69,00
|
|
28. Шлифование плит
|
ДКШ-1
|
13,92
|
-
|
12,35
|
-
|
1
|
89,00
|
|
|
|
|
|
|
|
|
|
|
|
|
|
СПИСОК ИСПОЛЬЗОВАННЫХ ИСТОЧНИКОВ
1 Волынский,
В.Н. Технологические расчеты в производстве клееных материалов [Текст]:
учеб.пособие / В.Н. Волынский, Н.С. Рудная. - Архангельск: Арханг. гос. техн.
ун-т, 2009. - 150 с.
Справочник по
производству древесно-стружечных плит [Текст] / И.А. Отлев, Ц.Б. Штейнберг,
Л.С. Отлева, Ю.А. Бова, Н.И. Жуков, Г.И. Конаш. - 2-е изд., перераб. и доп. -
М.: Лесн. пром-сть, 1990. - 384 с.
Волынский,
В.Н. Энциклопедия оборудования деревообрабатывающих производств [Электронный
ресурс] - Электрон.дан. - СПб.: Волынский В.Н., 2009. - 1 электрон.опт. диск
(CD-ROM) ; 12 см - (Электронная книга). - Систем.требования: IBM PC 486
(рекомендуется Pentium или выше) ; ОЗУ 128 Мб; операц. система Windows (9х, NT,
2000, XP, Vista, 7) ; InternetExplorer 4.0 и выше ; CD-ROM дисковод;
мышь. - Загл. с экрана.
Волынский,
В.Н. Технология клееных материалов [Текст]: учеб.пособие для вузов / В.Н.
Волынский. - 2-е изд., перераб. и доп. - Архангельск: Арханг. гос. техн. ун-т,
2003. - 280 с.