Проектирование системы электроснабжения промышленного предприятия
Введение
Рационально спроектированная система
электроснабжения промышленного предприятия должна удовлетворять ряду
требований: высокой надёжности и экономичности, удобству и безопасности
эксплуатации, должна обеспечивать требуемое качество электроэнергии,
соответствующие уровни напряжения.
Целью курсового проекта является проектирование
системы электроснабжения цеха промышленного предприятия. Необходимо произвести
расчёт электрических нагрузок цеха, светотехнический расчёт, выбрать число и
мощность трансформаторов цеховой трансформаторной подстанции, произвести расчёт
компенсации реактивной мощности, определить условный центр электрических
нагрузок цеха и местоположение цеховой подстанции и её конструктивное
исполнение. Также необходимо произвести расчёт цеховой и питающей сети, выбрать
магистральные и распределительные шинопроводы, а также кабели, питающие
электроприёмники, выбрать предохранители и разъединители, устанавливаемые в
КТП. На заключительном этапе проектирования необходимо рассчитать токи короткого
замыкания в заданных точках схемы электроснабжения, выбрать защитную аппаратуру
и проверить её на селективность срабатывания.
Курсовой проект содержит графическую часть,
состоящую из двух чертежей, выполненных на листах формата А1:
План цеха с обозначением КТП, трасс кабельных
линий, распределительных и магистральных шинопроводов.
Принципиальная схема электроснабжения цеха с
указанием типов основных электрических элементов.
1. Определение электрических
нагрузок цеха
Расчёт электрических нагрузок ведется по
коэффициенту расчётной активной мощности и коэффициенту использования
электроприёмников.
Для расчёта электрических нагрузок цеха,
согласно заданию, необходимо объединить электроприёмникив группы.
Таблица 1.1 - Группы электроприёмников
|
№
группы
|
Номера
станков, входящих в группу (номера станков соответствуют номеру на плане
цеха)
|
Число
двигателей, входящих в группу
|
|
1
|
10,
12, 13, 14, 15, 20, 21, 22, 25, 26, 28, 29, 30, 31
|
24
|
|
2
|
2,
5, 6, 7, 8, 9, 11, 16, 17, 18, 19, 23, 24, 27
|
28
|
|
3
|
1,
3
|
2
|
|
4
|
4
|
-
|
Согласно приложению 1 табл.1[1], для
соответствующих типов электроприёмников выбираются коэффициенты использования
электроприводов и коэффициенты мощности.
Определяем номинальную мощность группы:
.
Для группы 1:
.
Для группы 2:
.
Для группы 3:
.
Для группы 4:
.
Для цеха:
.
Определяем средневзвешенный
коэффициент использования:
.
Для группы 1:
.
Для группы 2:
.
Для группы 3:
.
Для группы 4:
.
Для цеха:
.
Определяем эффективное число электроприёмников:
.
Для группы 1:
.
Для группы 2:
.
Для группы 3:
.
Для группы 4:
.
Для цеха:
.
Коэффициенты расчётной активной и реактивной
мощности для данныхКи и nэ:
Группа 1:
и
Группа 2:
и
Группа 3:
и
Группа 4:
и
Определяем расчётную активную
мощность:
.
Для группы 1:
.
Для группы 2:
.
Для группы 3:
.
Для группы 4:
.
Для цеха:
.
Определяем расчётную реактивную
мощность:
,
для группы 1 при
:
.
для группы 2 при
:
.
для группы 3 при
:
.
для группы 4 при
:
.
Для группы 1:
.
Для группы 2:
.
Для группы 3:
.
Для группы 4:
.
Для цеха:
Определяем полную расчётную
мощность:
.
Для группы 1:
.
Для группы 2:
.
Для группы 3:
.
Для группы 4:
.
Для цеха:
.
Определяем расчётный ток для группы:
.
Для группы 1:
.
Для группы 2:
.
Для группы 3:
.
Для группы 4:
.
Для цеха:
.
Определяем пиковый ток группы:
.
Для группы 1:
;
;
.
Для группы 2:
;
;
.
Для группы 3:
;
;
.
Для группы 4:
;
;
.
Все полученные результаты заносим в
таблицу 1.2.
Таблица 1.2 - Расчёт нагрузки групп
электроприёмников
|
№
группы
|
Pн, кВтKиnэkрPр, кВтQр, кВАрSр, кВАIр, АIкр, А
|
|
|
|
|
|
|
|
|
|
1
|
147,7
|
0,15
|
4
|
2,35
|
52,064
|
37,006
|
63,876
|
97,05
|
766,945
|
|
2
|
158,8
|
0,2
|
8
|
1,48
|
47,005
|
46,57
|
66,168
|
100,53
|
586,72
|
|
3
|
20
|
0,24
|
2
|
3,014
|
14,467
|
6,172
|
15,729
|
23,898
|
135,188
|
|
4
|
12
|
0,7
|
1
|
1,14
|
9,576
|
2,319
|
9,853
|
14,97
|
20,61
|
|
Цех
|
338,5
|
0,2
|
15
|
1,25
|
83,894
|
83,697
|
118,505
|
180,05
|
-
|
Расчётная активная осветительная нагрузка цеха:
,
где F - площадь
помещения
;
- удельная мощность общего
равномерного освещения на 1 м2 площади цеха;
для цехов промышленных предприятий
- коэффициент спроса освещения;
- коэффициент, учитывающий потери в
ПРА.
.
Таблица 1.3 - Исходные данные для расчёта
электрического освещения по цехам
|
Наименование
цеха
|
A, м
|
B, м
|
Nэт.
|
F, м2
|
Pуд, Вт/м2
|
Eнорм, лк
|
|
Механический
цех
|
36
|
24
|
1
|
864
|
6
|
200
|
Расчётная реактивная осветительная нагрузка
цеха:
,
где при
,
.
.
Расчётная активная и реактивная
нагрузки напряжением до 1 кВ:
;
.
Полная расчётная мощность:
.
Результаты расчётов сводим в таблицу
1.4.
Таблица 1.4 - Расчёт электрических
нагрузок по цеху
|
Параметр
|
Наименование
цеха
|
|
Механический
цех
|
|
Kи
|
0,2
|
|
nэ
|
15
|
|
Pр, кВт
|
83,894
|
|
Qр, кВАр
|
83,697
|
|
Pосв, кВт
|
5,417
|
|
Qосв, кВАр
|
4,063
|
|
Pрн, кВт
|
89,311
|
|
Qрн, кВАр
|
87,76
|
|
Sр, кВА
|
125,213
|
2. Светотехнический расчёт цеха
Расчётная высота подвеса светильников:
,
где
- высота помещения;
- высота свеса светильников;
- высота рабочей поверхности над
полом.
.
Принимаем кривую сил света Д, тогда
отношение расстояний между рядами светильников L к высоте их
установки Hр будет равно
, тогда
.
Расстояние от крайних рядов
светильников до стен принимается при наличии рабочих мест вдоль стены:
.
Число рядов светильников:
.
Принимаем
.
Действительное расстояние между
рядами:
Число светильников в ряду:
Принимаем
.
Действительное расстояние между
светильниками в ряду:
Световой поток одной лампы:
,
где
;
- коэффициент запаса;
- площадь помещения;
- количество светильников;
; (для ламп ДРЛ).
η - коэффициент использования
светового потока, определяемый в зависимости от ρп, ρс, ρр и индекса
помещения i:
,
принимаем
,
,
, тогда:
;
.
Принимаем к установке лампы ДРЛ-400
с номинальной мощностью 400 Вт и
, светильникидля данного типа ламп
РСП 05.
Для расчёта эвакуационного освещения
воспользуемся точечным методом расчёта.
Условная освещённость в контрольной
точке (т. А):
.
Условные освещенности в т. А от
отдельных светильников найдём с помощью диаграмм пространственных изолюксов.
Для светильника 1:
;
где Х=4,5, Y=6,5 -
расстояния по координатам Xи Y от
светильника до контрольной точки;
.
Для светильника 2:
;
.
Для светильника 3:
;
.
Для светильника 4:
;
.
Для светильника 5:
;
.
Для светильника 6:
;
.
Для светильника 7:
;
.
Для светильника 8:
;
.
Для светильника 9:
;
.
Для светильника 10:
;
.
Для светильника 11:
;
.
Для светильника 12:
;
;
Световой поток одной лампы:
,
где
- коэффициент добавочной
освещённости.
.
Принимаем к установке лампы
накаливания Б-230-240-60 номинальной мощностью 60 Вт и с номинальным световым
потоком
. Для
данного типа ламп выбираем светильники НСП 03М.
. Выбор числа и мощности цеховых
трансформаторов
Для установки в проектируемом
механическом цехе с целью обеспечения надёжности электроснабжения принимаем
двухтрансформаторную подстанцию. Коэффициент загрузки одного трансформатора
принимаем равным
. Принимаем
также коэффициент допустимой перегрузки равным
.
Номинальная требуемая мощность
трансформатора:
.
Принимаем к установке
трансформаторыТМЗ-100/10 с номинальной мощностью 100 кВА.
При выходе из строя в случае аварии
одного из трансформаторов второй трансформатор должен передавать всю расчётную
мощность цеха. При этом должно выполняться условие:
;
;
.
Запишем основные параметры
трансформатора в таблицу 3.1.
Таблица 3.1 - Основные параметры
цеховых трансформаторов ТМЗ-100/10
|
Sн, кВА
|
ΔPхх, кВт
|
ΔPкз, кВт
|
Uкз, %
|
Iхх, %
|
Uвн, кВ
|
Uнн, кВ
|
Схема
и группа соединения обмоток
|
|
100
|
0,33
|
1,97
|
4,5
|
2,6
|
10
|
0,4
|
Υ/Υн-0
(Υ/Υн-11)
|
4. Расчёт компенсации реактивной
мощности
Требуемое значение расчётной
реактивной мощности:
;
Необходимая мощность конденсаторной
батареи:
.
Принимаем к установке конденсаторную батарею
УКРМ-0,4-60 У3.
Номинальная мощность
; число и
мощность ступеней: 1х60. Номинальная мощность конденсаторной установки:
.
При этом расчётная реактивная
мощность будет равна:
.
Значение коэффициента реактивной
мощности:
При этом значение коэффициента
мощности
, что
является хорошим технико-экономическим показателем.
. Построение картограммы и
определение условного центра электрических нагрузок цеха
нагрузка электрический светильник подстанция
Разделим электроприёмники цеха на группы по их
месторасположению. Электрические нагрузки отдельных групп отобразим в виде
кругов; радиус окружности для каждой группы определяется по выражению:
,
где m - масштаб
площади круга, кВт/мм2.
Принимаем
.
Для группы 1:
.
Для группы 2:
.
Для группы 3:
.
Для группы 4:
.
Для группы 5:
.
Для группы 6:
.
Для группы 7:
.
Для группы 8:
.
Для группы 9:
.
Для группы 10:
.
Для группы 11:
.
Для группы 12:
.
Центр электрических нагрузок
определяется по формулам:
;
;
.
Координаты центра электрических
нагрузок (8,33; 20,29).
На основании расчёта центра
электрических нагрузок принимаем решение по выбору места установки цеховой КТП.
Она должна находится по возможности ближе к условному центру электрических
нагрузок.
Таблица 5.1 - Расчёт картограммы
нагрузок
|
№
группы
|
Pгр, кВт
|
x, м
|
y, м
|
r, мм
|
|
1
|
9,8
|
1,5
|
30,5
|
5,59
|
|
2
|
50
|
6
|
33
|
12,62
|
|
3
|
7,5
|
10,5
|
33
|
4,89
|
|
4
|
36
|
19,5
|
28,5
|
10,7
|
|
5
|
14,8
|
6
|
27,7
|
6,86
|
|
6
|
40,4
|
12,5
|
23,5
|
11,34
|
|
7
|
47,6
|
4
|
18,75
|
12,31
|
|
8
|
44,6
|
10,5
|
12,5
|
11,91
|
|
9
|
50
|
1,5
|
10,5
|
12,62
|
|
10
|
23,8
|
5,75
|
8,75
|
8,7
|
|
11
|
10
|
20,5
|
8
|
5,64
|
|
12
|
4
|
13,5
|
6
|
3,57
|
6. Выбор конструктивного исполнения
трансформаторной подстанции и схемы её присоединения
При проектировании системы электроснабжения
промышленного предприятия выбираемустановку комплектной трансформаторной
подстанции 2 КТП-100/10/0,4-03 У3 внутренней установки с двумя силовыми
трансформаторами с однорядным расположением со шкафами с защитной аппаратурой.
Для подключения к питающей сети 10 кВ выбираем
установку ячеек КСО-СЭЩ-325000-10-630/20 У3 и КСО-СЭЩ-326000-10-630/20 У3, в
которых установлены выключатели нагрузки (на случай необходимости отключения
трансформатора под нагрузкой) и плавкие предохранители (для защиты
трансформатора от токов КЗ).
Со стороны выводов НН трансформаторов
устанавливаем шкафы ввода НН ШВ 0,66-22 У3 и ШВ0,66-23 У3 с установленными
автоматическими выключателями на шинах НН. Между шкафами ШВ устанавливаем
секционный шкаф ШС 0,66-12 У3 с установленным секционным выключателем для
оперативных переключений.
7. Расчёт цеховой и питающей сети
(10кВ)
Сечение кабелей напряжением 10 кВ определяется
по экономической плотности тока и проверяется по допустимому току кабеля в
нормальном режиме работы с учётом условий его прокладки, по току перегрузки и
термической стойкости к токам короткого замыкания.
Потери активной мощности в трансформаторе:
,
;
.
Потери реактивной мощности в
трансформаторе:
;
.
Расчётный ток в кабельной линии в
нормальном режиме:
;
.
Сечение жил кабеля по току и
экономической плотности тока:
,
где
при
(для кабелей с алюминиевыми
жилами).
.
Принимаем ближайшее стандартное
сечение.Для кабелей на напряжение
минимальное сечение кабеля 16 мм2.
Проверяем выбранное сечение кабеля
по нагреву в длительном (послеаварийном) режиме:
,
где
- допустимая аварийная перегрузка
трансформатора;
- коэффициент, учитывающий возможную
перегрузку кабеля;
- коэффициент, учитывающий
фактическую температуру окружающей среды;
- коэффициент, учитывающий
количество проложенных в земле кабелей;
- коэффициент, учитывающий
фактическое удельное тепловое сопротивление земли.
.
Для кабеля с алюминиевыми жилами
сечением 16 мм2
.
Минимальное допустимое сечение
проводника, термически стойкое к токам КЗ:
,
где
- коэффициент зависящий от
материала проводника.
- тепловой импульс тока КЗ,
где
-постоянная затухания апериодической
составляющей тока КЗ.
- время отключения КЗ.
Для кабеля сечением 16 мм2
,
. Длина
кабельной линии напряжением 10 кВ от ГПП завода до ТП цеха по генеральному
плану составляет 220 м (0,22 км).
Ток КЗ в точке К0 (по схеме рис.
12.1):
,
,
,
xс-сопротивление
системы (источника по рис. 12.1).
Находим через
, выраженное
в о.е. и обычно принимаемое равным 0,1. Тогда xс, выраженное
в именованных единицах и приведённое к напряжению Uнн:
;
;
Минимально допустимое сечение
проводника, термически стойкое к токам КЗ:
.
Т.к. выбранное сечение меньше
, то следует
выбрать кабель с жилами большего сечения. Принимаем кабель с жилами сечением 25
мм2:
,
.
Необходимо пересчитать значения
,
:
;
8. Выбор шин на стороне 0,4 кВ
Номинальный ток:
.
Ток в после аварийном режиме:
.
Выбираем сечение магистральных шин.
Таблица 8.1 - Технические данные
магистрального шинопроводаШМА-73
|
Номинальный
ток, А
|
1600
|
|
Номинальное
напряжение, В
|
660
|
|
Электродинамическая
стойкость ударному току КЗ, кА
|
70
|
|
Сопротивление
на фазу, Ом/км:
|
|
|
активное
|
0,031
|
|
реактивное
|
0,017
|
|
Число
и размеры шин на фазу, мм
|
2(90x8)
|
|
Число
и сечение нулевых проводников, мм2
|
2x710
|
Проверка шин на механическую стойкость.
Для проверки шин на механическую стойкость
необходимо знать значение ударного тока КЗ в точке К1 (рис. 12.1).
Ток КЗ в точке К1 равен:
,
где rт и xт- активное и
реактивное сопротивления трансформатора Тр (рис. 12.1), приведённые к
напряжению Uнн.
;
;
;
;
;
Найдём полное сопротивление
кабельной линии, питающей ТП:
;
Полное сопротивление источника
питания:
.
Полное сопротивление току КЗ в точке
К1:
;
Ток КЗ в точке К1:
.
Ударный ток КЗ:
;
;
;
;
;
;
;
Наибольшая механическая сила,
действующая на шины при трёхфазном КЗ:
,
где
- ударный ток при трёхфазном КЗ;
l - длина
пролёта между опорными изоляторами,
;
a -
расстояние между осями шин,
;
.
Изгибающий момент:
.
Напряжение в материале шины
,
возникающее при воздействии изгибающего моментаM:
,
где W - момент
сопротивления сечения, зависящий от формы и расположения шин.
При расположении шин на ребро:
,
тогда
.
Полученное расчётное напряжение в
материале шин не превышает допустимые значения для алюминиевого сплава марки
АД31Т
.
Проверка на термическую стойкость.
Минимальное допустимое сечение:
,
где
- коэффициент зависящий от
материала проводника.
- тепловой импульс тока КЗ,
где
,
.
;
;
.
Сечение одной шины:
9. Выбор распределительных шин и
кабелей, питающих ШРА и электроприёмники
ШРА выбираем по длительно
допустимому току, согласно току группы ЭП.
Электроприёмники разделим на группы
в соответствии с числом распределительных шинопроводов.
Таблица 9.1 - Расчёт токов групп
электроприёмников
|
№
группы
|
№№
ЭП, входящих в группу
|
Pгруппы, кВт
|
сos
φср
|
sin φср
|
Sном, кВА
|
Iном, А
|
LШРА, км
|
|
1
|
1-4,
26-28
|
46
|
0,713
|
0,701
|
64,516
|
98
|
0,031
|
|
2
|
5-19,
29-31
|
208,9
|
0,58
|
0,815
|
360,172
|
547,24
|
0,033
|
|
3
|
20-25
|
83,6
|
0,564
|
0,826
|
148,227
|
225,21
|
0,025
|
По номинальному току группы ЭП для групп 1 и 3
выбираем распределительный шинопровод ШРА-73 на номинальный ток 250А.
Таблица 9.2 - Технические данные
распределительного шинопровода ШРА-73на номинальный ток 250А
|
Номинальный
ток, А
|
250
|
|
Номинальное
напряжение, В
|
380/220
|
|
Электродинамическая
стойкость ударному току КЗ, кА
|
15
|
|
Сопротивление
на фазу, Ом/км:
|
|
|
активное
|
0,2
|
|
реактивное
|
0,1
|
|
Число
и размеры шин на фазу, мм
|
35x5
|
По номинальному току группы ЭП для группы2
выбираем распределительный шинопровод ШРА-73на номинальный ток 630А.
Таблица 9.3 - Технические данные
распределительного шинопровода ШРА-73на номинальный ток 630А
|
Номинальный
ток, А630
|
|
|
Номинальное
напряжение, В
|
380/220
|
|
Электродинамическая
стойкость ударному току КЗ, кА
|
35
|
|
Сопротивление
на фазу, Ом/км:
|
|
|
активное
|
0,085
|
|
реактивное
|
0,075
|
|
Число
и размеры шин на фазу, мм
|
80x5
|
Потеря напряжения в распределительном
шинопроводе с равномерной нагрузкой:
.
Для группы 1:
.
Для группы 2:
.
Для группы 3:
.
Выбираем кабели, питающие ШРА,
согласно току группы электроприёмников. При этом для каждой группы длина
выбранного кабеля составляет 5м. (от ШМА до вводной коробки ШРА).
Таблица 9.4 - Выбор кабелей питающих
ШРА
|
№
группы
|
Iном группы, А
|
Марка
кабеля
|
Iдоп кабеля, А
|
Сопротивление
кабеля
r0/x0
|
|
1
|
98
|
АВВГ-5х50
|
110
|
0,6
/0,33
|
|
2
|
547,24
|
|
|
|
|
3
|
225,21
|
АВВГ-5х150
|
235
|
0,1
/0,3
|
Присоединение шин ШРА-73 на номинальный ток 630
А к магистральным шинам ШМА-73 осуществим непосредственно шинами ШРА с
использованием специальной ответвительной секции, т.к. кабель на номинальный
ток группы 2 отсутствует.
В вводных коробках шин ШРА устанавливаем
автоматические выключатели на соответствующие номинальные токи. Для обеспечения
селективности работы выключателей следует выбрать селективные выключатели с
возможностью изменения уставки времени срабатывания.
Для ШРА группы 1 выбираем выключатель серии ВА51
с номинальным током Iном
выкл = 100 А - ВА51-31-3.
Для ШРА группы 2 выбираем выключатель серии ВА51
с номинальным током Iном
выкл = 630 А - ВА51-39-3.
Для ШРА группы 3 выбираем выключатель серии ВА51
с номинальным током Iном
выкл = 250 А - ВА51-35-3.
Выбираем кабели от ШРА до станков.
Таблица 9.5 - Выбор кабелей, питающих ЭП
|
№
ЭП
|
Pном ЭП, кВт
|
cos φЭП
|
Sном ЭП, кВА
|
Iном ЭП, А
|
Марка
кабеля
|
Iдоп кабеля, А
|
r0/x0, Ом
|
|
1
|
10
|
0,65
|
15,385
|
23,38
|
ВВГ-5x6
|
52
|
3,06/
0,09
|
6,5
|
|
2
|
4
|
0,6
|
6,667
|
10,13
|
ВВГ-5x2,5
|
32
|
7,55/
0,12
|
7
|
|
3
|
10
|
0,65
|
15,385
|
23,38
|
ВВГ-5x6
|
52
|
3,06/
0,09
|
6,5
|
|
4
|
12
|
0,97
|
12,371
|
18,8
|
ВВГ-5x6
|
52
|
3,06/
0,09
|
6
|
|
5
|
1,5
|
0,6
|
2,5
|
3,8
|
ВВГ-5x1,5
|
23
|
12,6/
0,12
|
9,2
|
|
6
|
3
|
0,6
|
5
|
7,6
|
ВВГ-5x1,5
|
23
|
12,6/
0,12
|
4,2
|
|
7
|
3
|
0,6
|
5
|
7,6
|
ВВГ-5x1,5
|
23
|
12,6/
0,12
|
4,2
|
|
8
|
22,9
|
0,6
|
38,167
|
58
|
ВВГ-5x16
|
95
|
1,2/
0,07
|
9,2
|
|
9
|
7,5
|
0,6
|
12,5
|
19
|
ВВГ-5x4
|
42
|
4,56/
0,09
|
4
|
|
10
|
10
|
0,55
|
18,182
|
27,63
|
ВВГ-5x6
|
52
|
3,06/
0,09
|
4,2
|
|
11
|
40
|
0,6
|
66,667
|
101,3
|
АВВГ-5x35
|
115
|
0,9/
0,06
|
4
|
|
12
|
50
|
0,55
|
90,909
|
138,13
|
АВВГ-5x50
|
140
|
0,6/
0,06
|
5,3
|
|
13
|
2,6
|
0,55
|
4,727
|
7,2
|
ВВГ-5x1,5
|
23
|
12,6/
0,12
|
5
|
|
14
|
9,6
|
0,55
|
17,455
|
26,52
|
ВВГ-5x6
|
52
|
3,06/
0,09
|
5
|
|
15
|
2,6
|
0,55
|
4,727
|
7,2
|
ВВГ-5x1,5
|
23
|
12,6/
0,12
|
5
|
|
16
|
11,9
|
0,6
|
19,833
|
30,13
|
ВВГ-5x6
|
52
|
3,06/
0,09
|
5
|
|
17
|
11,9
|
0,6
|
19,833
|
30,13
|
ВВГ-5x6
|
52
|
3,06/
0,09
|
5
|
|
18
|
11,9
|
0,6
|
19,833
|
30,13
|
ВВГ-5x6
|
52
|
3,06/
0,09
|
4,25
|
|
19
|
11,9
|
0,6
|
19,833
|
30,13
|
ВВГ-5x6
|
52
|
3,06/
0,09
|
4,25
|
|
20
|
1,5
|
0,55
|
2,727
|
4,14
|
ВВГ-5x1,5
|
23
|
12,6/
0,12
|
4
|
|
21
|
4,15
|
0,55
|
7,545
|
11,46
|
ВВГ-5x2,5
|
32
|
7,55/
0,12
|
4,2
|
|
22
|
4,15
|
0,55
|
7,545
|
11,46
|
ВВГ-5x2,5
|
32
|
7,55/
0,12
|
4
|
|
23
|
11,9
|
0,6
|
19,833
|
30,13
|
ВВГ-5x6
|
52
|
3,06/
0,09
|
4
|
|
24
|
11,9
|
0,6
|
19,833
|
30,13
|
ВВГ-5x6
|
52
|
3,06/
0,09
|
4
|
|
25
|
50
|
0,55
|
90,909
|
138,13
|
АВВГ-5x50
|
140
|
0,6/
0,06
|
5
|
|
26
|
1,5
|
0,55
|
2,727
|
4,14
|
ВВГ-5x1,5
|
23
|
12,6/
0,12
|
5,5
|
|
27
|
5,5
|
0,6
|
9,167
|
13,93
|
ВВГ-5x4
|
42
|
4,56/
0,09
|
5,3
|
|
28
|
3
|
0,55
|
5,455
|
8,29
|
ВВГ-5x1,5
|
23
|
12,6/
0,12
|
6,5
|
|
29
|
0,6
|
0,55
|
1,091
|
1,66
|
ВВГ-5x1,5
|
23
|
12,6/
0,12
|
8,2
|
|
30
|
4
|
0,55
|
7,273
|
11,05
|
ВВГ-5x2,5
|
32
|
7,55/
0,12
|
10,2
|
10. Выбор и проверка
предохранителей
Предохранитель выбирается по току короткого
замыкания в расчётной точке системы. Для предохранителя, установленного на стороне
ВН, это точка К0.
;
;
;
;
;
.
Выбираем предохранители ПКТ-10-8-12,5
У3
Таблица 10.1 - Параметры
предохранителя
|
Условие
выбора
|
Расчётные
данные предохранителей
|
Каталожные
данные предохранителей
|
|
10 кВ10 кВ
|
|
|
|
7,452 А8 А
|
|
|
|
1716,21
А12,5 кА
|
|
|
Время срабатывания предохранителя:
при 
.
11. Выбор и проверка разъединителей
Выбор разъединителя осуществляется по величине
теплового импульса тока КЗ. Для этого необходимо знать время срабатывания
предохранителя. Тепловой импульс тока КЗ:
.
Выбор разъединителя со стороны ВН:
;
;
.
Выбираем разъединитель
РВРЗ-Ш-10/2000 У3.
Таблица 11.1 - Параметры
разъединителя
|
Условие
выбора
|
Расчётные
данные разъединителей
|
Каталожные
данные разъединителей
|
|
10 кВ10 кВ
|
|
|
|
7,452
А2000 А
|
|
|
|
4829,904
А85 кА
|
|
|
|
23,563 кА2·с3969
кА2·с
|
|
|
Выбор выключателя нагрузки со стороны ВН:
Выбираем выключатель ВНА-10/400-10зпУ3.
Таблица 11.2 - Параметры выключателя
|
Условие
выбора
|
Расчётные
данные выключателей
|
Каталожные
данные выключателей
|
|
10 кВ10 кВ
|
|
|
|
7,452 А400
А
|
|
|
|
1716,21
А10 кА
|
|
|
|
23,563 кА2·с100
кА2·с
|
|
|
12. Расчёт токов короткого замыкания
Схему замещения для расчёта токов КЗ составим
для приёмника максимальной мощности (ЭП №25 - токарный восьмишпиндельный
полуавтомат).
Рис 12.1.Фрагмент расчётной однолинейной схемы
электроснабжения цеха.
кл1 - кабельная линия от ШМА к
автомату «а2», установленному на вводе ШРА: АВВГ-5x150;
;
;
;
кл2 - кабельная линия от автомата
«а3», установленного на ШРА, до ЭП: АВВГ-5x50;
;
;
.
Рис 12.2. Схема замещения фрагмента расчётной
схемы.
Zc,
Zкл,
Zтр,
и IК0,
IК1рассчитаныв
разделах 7и 8.
;
;
,
где l - длина ШМА
от места присоединения к шинам НН трансформатора до места присоединения шин
ШРА, питающих рассматриваемый ЭП.
;
;
;
;
;
;
;
;
;
;
;
;
.
Расчёт тока КЗ в точке К2:
;
;
;
;
;
;
;
;
;
Расчёт тока КЗ в точке К3:
;
;
;
;
;
;
;
;
.
Расчёт токов однофазного КЗ:
,
для всех участков сети.
Для трансформаторов
,
:
;
;
.
Система:
;
.
Для шин
,
:
ШМА:
;
;
.
ШРА:
;
;
.
Для кабелей
,
:
кл:
;
;
.
кл1:
;
;
.
кл2:
;
;
.
Расчёт тока однофазного КЗ в точке
К0:
;
;
;
;
;
;
.
Расчёт тока однофазного КЗ в точке
К1:
;
;
;
;
;
;
.
Расчёт тока однофазного КЗ в точке
К2:
;
;
;
;
;
;
.
Расчёт тока однофазного КЗ в точке
К3:
;
;
;
;
;
;
.
Результаты расчётов сводим в
таблицу.
Таблица 12.1 - Результаты расчёта
токов КЗ.
|
Место
КЗ
|
К0
|
К1
|
К2
|
К3
|
|
1716,211060,81048,6651026,2
|
|
|
|
|
|
4829,9042407,82368,4092262,524
|
|
|
|
|
|
1715,71063,691035,808992,35
|
|
|
|
|
13. Выбор защитной аппаратуры в
питающих и цеховых сетях
Для проверки аппаратуры на селективность
рассмотрим электроприёмник максимальной мощности и по линии от ЭП до шин НН
трансформаторов КТП произведём расчёт токовых уставок тепловых и
электромагнитных расцепителей выбранных автоматических выключателей.
Произведём расчёт для ЭП №25 (токарный
восьмишпиндельный полуавтомат).
Таблица 13.1 - Параметры ЭП максимальной
мощности
|
Рн,
кВт
|
cosφ
|
Iн, А
|
Iп, А
|
|
50
|
0,55
|
138,123
|
690,615
|
По номинальному току двигателя выбираем
автоматический выключатель ВА51-33-3 с номинальным током расцепителей Iн
выкл= 160 А.
Ток срабатывания теплового расцепителя:
,
где К1 = 1,2 -
уставка срабатывания теплового расцепителя,
Кп -
коэффициент, характеризующий условия пуска. При лёгком пуске Кп=
2,5.
Расчётный ток срабатывания
электромагнитного расцепителя:
Кн = 1,25 -
коэффициент надёжности отстройки отсечки от пикового тока.
Полученный ток срабатывания
электромагнитного расцепителя сопоставляется с коэффициентом кратности
срабатывания Ккр, взятым из справочных данных.
Должно выполняться условие:
Коэффициент кратности срабатывания
для данного выключателя принимаем Ккр = 6.
Ток срабатывания не должен превышать
значения токов трёхфазного и однофазного КЗ на данном участке.
,
Для группы электроприёмников
автоматический выключатель(выключатель в вводной коробке шин ШРА) выбираем по
рабочему току группы Iр гр. Выбираем
выключатель ВА51-35-3 с номинальным током расцепителей Iн выкл= 250 А.
При выборе автоматического
выключателя на группу электроприёмников электромагнитный расцепитель
отстраиваем от пикового тока группы ЭП:
где Iр гр= 225,21 А -
рабочий ток группы ЭП.
Расчётный ток срабатывания
электромагнитного расцепителя:
Коэффициент кратности срабатывания
для данного выключателя принимаем Ккр = 4. Ток срабатывания
электромагнитного расцепителя:
Ток срабатывания не должен превышать
значения токов трёхфазного и однофазного КЗ на данном участке.
,
Тепловой расцепитель отстраивается
от:
) номинального тока:
2) пускового тока:
За расчётный ток срабатывания
теплового расцепителя принимаем большее из полученных значений.
Ток срабатывания теплового
расцепителя:
Для защиты трансформатора на стороне НН
выключатель выбираем по расчётному току цеха. Принимаем выключатель ВА51-35-3 с
номинальным током расцепителей Iн
выкл = 250 А.
Тепловой расцепитель отстраивается исходя из 40
%-ной перегрузки по расчётному току:
где Iр = -
расчётный ток цеха
Расчётный ток срабатывания
электромагнитного расцепителя:
Коэффициент кратности срабатывания для данного
выключателя принимаем Ккр = 4.
Ток срабатывания не должен превышать
значения токов трёхфазного и однофазного КЗ на данном участке.
,
Для обеспечения селективности работы
выключателей следует выбрать уставки времени срабатывания выключателей. Для
первого выключателя, защищающего рассматриваемый ЭП, применяем мгновенную
токовую отсечку, tср1
= 0 с. Для выключателя на группу электроприёмников установим выдержку времени
срабатывания Δt=
0,5 с, тогда tср2
= 0,5 с. Для выключателя на стороне НН трансформатора tср3
= 1 с.
. Проверка выбранной защитной
аппаратуры на селективность срабатывания
По окончании выбора защитных автоматических
выключателей необходимо их проверить на селективность срабатывания. Для этого
строится диаграмма селективности - на одном чертеже в одном масштабе строятся
время-токовые характеристики всех последовательно установленных в цепи
автоматических выключателей.
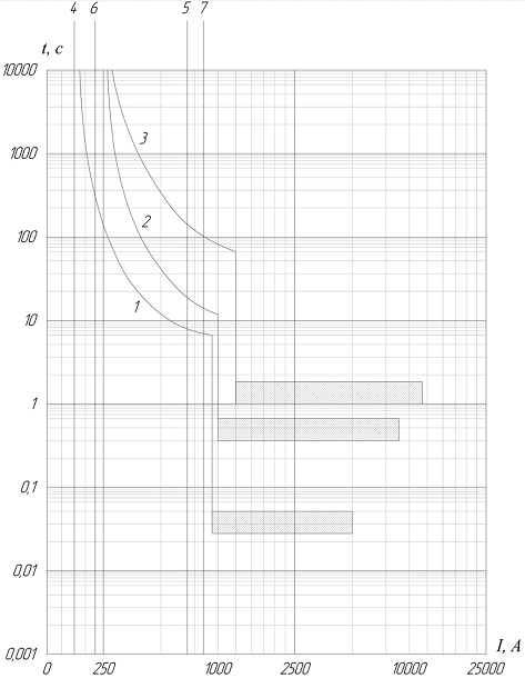
- характеристика выключателя ВА51-33-3; 2 -
характеристика выключателя ВА51-35-3; 3 - характеристика выключателя ВА51-35-3;
4 - номинальный ток ЭП; 5 - пусковой ток ЭП; 6 - рабочий ток группы ЭП; 7 -
пиковый ток группы ЭП.
Рис.14.1. Диаграмма селективности
Заключение
В ходе выполнения курсового проекта произведён
расчёт электрических нагрузок цеха с определением расчётной мощности цеха,
светотехнический расчёт цеха, выбраны число и мощность трансформаторов цеховой
трансформаторной подстанции с учётом требований надёжности электроснабжения,
произведён расчёт компенсации реактивной мощности, определён условный центр
электрических нагрузок цеха и местоположение цеховой подстанции и её
конструктивное исполнение. Произведён расчёт цеховой и питающей сети, выбраны
магистральные и распределительные шинопроводы, а также кабели, питающие
электроприёмники, произведён выбор и проверка предохранителей и разъединителей,
устанавливаемых в КТП. Рассчитаны токи короткого замыкания в заданных точках
схемы электроснабжения, выбрана защитная аппаратура и проверена на
селективность срабатывания с построением диаграммы селективности.
Также выполнена графическая часть, состоящуая из
двух чертежей на листах формата А1:
План цеха с обозначением КТП, трасс кабельных
линий, распределительных и магистральных шинопроводов.
Принципиальная схема электроснабжения цеха с
указанием типов основных электрических элементов.
Список литературы
. Калина Р.А. Методические указания
к выполнению курсового проекта по курсу «Технология проектирования систем
электроснабжения». - Пятигорск: ПГТУ, 2009.
. Проектирование промышленных
электрических сетей. - Москва: «Энергия», 1979.
. Электромонтажные устройства и
изделия. Справочник. - Москва: Энергоатомиздат, 1983.
. Кабышев А.В., Обухов С.Г. Расчёт и
проектирование систем электроснабжения: справочные материалы по
электрооборудованию: Учеб. пособие. - Том. политехн. ун-т. - Томск, 2005.
. Кудрин В.И. Электроснабжение
промышленных предприятий. - М.: Теплотехник, 2009.
. Герасимов В.Г. Электротехнический
справочник. В 4 т. - М.: Издательство МЭИ, 2002.
. Правила устройства
электроустановок. - М.: Энергоатомиздат, 2003.
. СНиП 23-05-95. Естественное и
искусственное освещение. Минстрой России, 1995.