Расчет фундаментов
Контрольное задание
По курсу:
«Основания и фундаменты»
Задача 1
Определить амплитуду перемещений
поверхности грунта при изменениях влажности до глубины 2,75 м. от периода
максимального увлажнения (Wед) до периода подсыхания
(W0). Изменения влажности с 0,25 м. и до 2,75 м. приведены в таблице
1.
Таблица 1
|
Hi,
м
|
Wед(max)
|
W0(min)
|
|
0,25
|
0,245
|
0,204
|
|
0,75
|
0,302
|
0,211
|
|
1,25
|
0,236
|
0,225
|
|
1,75
|
0,210
|
0,201
|
|
2,25
|
0,291
|
0,282
|
|
2,75
|
0,278
|
0,273
|
Коэффициент пористости е0=0,83.
Решение
Методом послойного суммирования
массив грунта разбивается послойно.
|
Hi,
м
|
Hiсредн,
м
|
Wед(max) при увлажнении
|
W0(min) при подсыхании
|
∆Wi=Wед,i
- W0,i
|
|
0
|
|
|
|
|
|
0,5
|
0,25
|
0,245
|
0,204
|
0,041
|
|
1,0
|
0,75
|
0,302
|
0,211
|
0,091
|
|
1,5
|
1,25
|
0,236
|
0,225
|
0,011
|
|
2,0
|
1,75
|
0,210
|
0,201
|
0,009
|
|
2,5
|
2,25
|
0,291
|
0,282
|
0,009
|
|
3,0
|
2,75
|
0,278
|
0,273
|
0,005
|
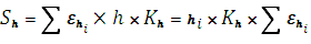
Расчет по формуле (1)

-мощность слоев на
которые разбивается массив грунта. В данной задаче 
=50 см.

-относительная линейная
усадка i-го слоя

-коэффициент; 
=1,3 при высыхании
грунта
K
- коэффициент, определяемый опытным путем или при отсутствии опытных
данных принимаемый =2
е0=0,83
Окончательный расчет
ведется по формуле (3), получаемой при подстановке формулы (2) в формулу (1)
Задача 2
Рассчитать деформацию
основания фундамента с учетом усадки грунта под влиянием климатических
факторов. Фундамент 2,5Ч2,5 м, глубина заложения d=1,0
м. Среднее давление по подошве фундамента Рср=0,22 МПа, удельный вес
грунта 
= 20 кН/м3.
Глина. Модуль деформации Е=10 МПа. Нижняя граница зоны усадки расположена на
глубине 5 м от поверхности земли. Относительная линейная усадка 
- по результатам
компрессионных испытаний (график).
Решение
Решаем исходя из расчета
суммарной деформации осадки и усадки.
|
H
|
Z
|
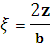
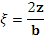
ξ=2z/b
|
η=l/b
|
α
|
σzp=αЧP0
|
σzg
|
σzp/σzg
|
σzp+σzg
|
|
|
0
|
|
|
|
|
|
|
|
|
|
|
0,5
|
|
|
|
|
|
|
|
|
|
|
1,0
|
0
|
0
|
1,0
|
1,0
|
200,0
|
20
|
10
|
220,0
|
0,053
|
|
1,5
|
0,5
|
0,4
|
|
0,960
|
192,0
|
30
|
6,4
|
222,0
|
0,054
|
|
2,0
|
1,0
|
0,8
|
|
0,800
|
160,0
|
40
|
4,0
|
200,0
|
0,046
|
|
2,5
|
1,5
|
1,2
|
|
0,606
|
121,2
|
50
|
2,42
|
171,2
|
0,0455
|
|
3,0
|
2,0
|
1,6
|
|
0,449
|
89,8
|
60
|
1,50
|
149,8
|
0,0335
|
|
3,5
|
2,5
|
2,0
|
|
0,336
|
67,2
|
70
|
0,96
|
137,2
|
0,0315
|
|
4,0
|
3,0
|
2,4
|
|
0,257
|
51,4
|
80
|
0,64
|
131,4
|
0,030
|
|
4,5
|
3,5
|
2,8
|
|
0,201
|
40,2
|
90
|
0,45
|
130,2
|
0,029
|
|
5,0
|
4,0
|
3,2
|
|
0,160
|
32,0
|
100
|
0,32
|
132,0
|
0,031
|
|
5,5
|
4,5
|
3,6
|
|
0,131
|
26,2
|
110
|
0,24
|
136,2
|
0,030
|
Сжимаемую толщу разделяем на
элементарные слои мощностью hi=0,2b, где b-ширина фундамента, b=2,5 м.
hi=0,2Ч2,5=0,5
l-длина фундамента, l=2,5 м
η=l/b=1,0
Коэффициент α определяется по таблице
1 СНиП 2.02.01-83. Для промежуточных значений η и ξ коэффициент α определяется по интерполяции.
Определим осадку, для этого
определим σzp и σzg.
На границах элементарных слоев
определяем значение дополнительных напряжений по формуле σzp=αЧP0
P0 - напряжение,
формирующееся в массиве грунта под действием нагрузок от здания
P0=
Pср-
Чd
Pср=0,22
МПа=220 КПа

=20 кН/м3
P0=200
КПа
Определим 𝜎zg, т.к. грунт однородный, то
σzg=
ЧH
Определим σzp/σzg
и σzp+σzg
Строим эпюры природного
напряжения от собственного веса грунта σzg и дополнительного напряжения σzp в массиве грунта. Рис. 2 Определим усадку. Мощность элементарного
слоя будет больше в 2 раза. Для середины каждого слоя мощностью 1 м определим 
. 
определяется по графику
в зависимости от суммарных напряжений действующих на одной глубине по
горизонтальной оси σzp+σzg.
График зависимости 
от от σz(Рz)

по компрессионным
испытаниям рис. 3
Определим осадку S.
Деформации уплотнения
грунтов от внешней нагрузки и возможное уплотнение грунта от уменьшения
влажности суммируем.

(1)

(2)

- мощность элементарного
слоя, м. (принимается 1 м. при определении величины усадки и 0,2, при
определении величины осадки от веса здания)

-безразмерный
коэффициент, принимаемый 0,8
Е - модуль деформации
грунтов основания, МПа

- безразмерный
коэффициент, 
=1,3 (при усыхинии)
Расчет величины усадки
ведется до глубины 5 м. от поверхности земли, n=9.
Расчет осадки от веса
сооружения ведется до глубины, на которой выполняется условие σzp/σzg=0,2±0,05,
n=10
Определим осадку S по формуле (1)=
=0,0335 м.
Определим усадку 
по формуле (2)
=1,3Ч0,64=0,84
Суммарная деформация
грунтов основания определяется по формуле

(3)
∑S=0,0335+0,84=0,873
м.
Задача 3
грунт деформация
климатический инфильтрация
Определить величину
подъема ленточного фундамента под внутренней стеной здания при инфильтрации
влаги - увлажнении набухающих глин в основании. Ширина фундамента 1,5 м.,
глубина заложения 1,2 м. Мощность набухающих глин -15 м. (от поверхности
земли). Глины подстилаются пылеватыми песками. Удельный вес глин 
=20 кН/м3,
удельный вес частиц 
=27 кН/м3,
коэффициент пористости е=0,830. Давление набухания глин Рw=0,18 МПа=180 кПа. Дополнительное давление на грунт под подошвой
фундамента Р0=150 кПа. Модуль деформации глин Е=10 МПа. В плане
здание имеет размеры: длина L=24
м., ширина В=12 м. В процессе эксплуатации здания возможно увлажнение грунтов
водой в пределах здания: длина зоны увлажнения Lw=24
м., ширина зоны увлажнения Вw=6
м.
Данные компрессионных
испытаний по определению относительного набухания 
при различных давлениях
приведены в таблице 1.
Таблица 1
|
Pi,
КПа
|
70
|
80
|
96
|
120
|
150
|
190
|
230
|
270
|
320
|
|
|
0,032
|
0,030
|
0,024
|
0,020
|
0,018
|
0,017
|
0,013
|
0,010
|
0,007
|
Решение
Строим расчетную схему рис. 4.
|
H=d+z
|
Z=0,2b
|
|
𝜂≥10
|
α
|
σzp=αЧP0K
|
σzg=γЧH
|
Kgσzad=Kgγ
(d+z)σz tot K
sw
|
|
|
|
|
|
|
1
|
2
|
3
|
4
|
5
|
6
|
7
|
8
|
9
|
10
|
11
|
12
|
13
|
|
1,2
|
0
|
0
|
≥10
|
1,0
|
300
|
24
|
0,20
|
0
|
0
|
324,0
|
1,8
|
0, 6
|
|
1,5
|
0,3
|
0,4
|
|
0,977
|
293,1
|
30
|
0,25
|
0
|
0
|
323,1
|
1,79
|
0, 6
|
|
1,8
|
0,6
|
0,8
|
|
0,881
|
264,3
|
36
|
0,30
|
0
|
0
|
300,3
|
1,67
|
0,6
|
|
2,1
|
0,9
|
1,2
|
|
0,755
|
226,5
|
42
|
0,35
|
0
|
0
|
268,5
|
1,49
|
0,625
|
|
2,4
|
1,2
|
1,6
|
|
0,642
|
192,6
|
48
|
0,40
|
0
|
0
|
240,6
|
1,34
|
0,648
|
|
2,7
|
1,5
|
2,0
|
|
0,550
|
165,0
|
54
|
0,45
|
0
|
0
|
219,0
|
1,22
|
0,665
|
|
3,0
|
1,8
|
2,4
|
|
0,477
|
143,1
|
60
|
0,50
|
0
|
0
|
203,1
|
0,677
|
|
3,3
|
2,1
|
2,8
|
|
0,420
|
126,0
|
66
|
0,55
|
0,036
|
2,376
|
194,38
|
1,07
|
0,685
|
|
3,6
|
2,4
|
3,2
|
|
0,374
|
112,2
|
72
|
0,60
|
0,072
|
5,184
|
189,38
|
1,05
|
0,688
|
|
3,9
|
2,7
|
3,6
|
|
0,337
|
101,1
|
78
|
0,65
|
0,108
|
8,424
|
187,52
|
1,04
|
0,689
|
|
4,2
|
3,0
|
4,0
|
|
0,306
|
91,8
|
84
|
0,70
|
0,144
|
12,1
|
187,9
|
1,04
|
0,689
|
|
4,5
|
3,3
|
4,4
|
|
0,280
|
84,0
|
90
|
075
|
0,18
|
16,2
|
190,2
|
1,05
|
0,687
|
|
4,8
|
3,6
|
4,8
|
|
0,258
|
77,4
|
96
|
0,80
|
0,216
|
20,73
|
194,14
|
1,07
|
0,685
|
|
5,1
|
3,9
|
5,2
|
|
0,239
|
71,7
|
102
|
0,85
|
0,252
|
25,70
|
199,4
|
1,10
|
0,680
|
|
5,4
|
4,2
|
5,6
|
|
0,223
|
66,9
|
108
|
0,90
|
0,288
|
31,10
|
206
|
1,14
|
0,675
|
|
5,7
|
4,5
|
6,0
|
|
0,208
|
62,4
|
114
|
0,95
|
0324
|
36,93
|
213,34
|
1,18
|
0,669
|
|
6,0
|
4,8
|
6,4
|
|
0,196
|
58,8
|
120
|
1,0
|
0,36
|
43,2
|
222
|
1,23
|
0,662
|
|
6,3
|
5,1
|
6,8
|
|
0,185
|
55,5
|
126
|
1,05
|
0,367
|
46,24
|
227,74
|
1,26
|
0,657
|
|
6,6
|
5,4
|
7,2
|
|
0,175
|
52,5
|
132
|
1,10
|
0,374
|
49,36
|
233,87
|
1,29
|
0,653
|
|
6,9
|
5,7
|
7,6
|
|
0,166
|
49,8
|
138
|
1,15
|
0,381
|
52,57
|
240,38
|
1,33
|
0,647
|
|
7,2
|
6,0
|
8,0
|
|
0,158
|
47,4
|
144
|
1,20
|
0,388
|
55,87
|
247,27
|
1,37
|
0,642
|
|
7,5
|
6,3
|
8,4
|
|
0,150
|
45,0
|
150
|
1,25
|
0,395
|
59,25
|
254,25
|
1,41
|
0,636
|
|
7,8
|
6,6
|
8,8
|
|
0,143
|
42,9
|
156
|
1,30
|
0,402
|
62,71
|
261,61
|
1,45
|
0,631
|
|
8,1
|
6,9
|
9,2
|
|
0,137
|
41,1
|
162
|
1,35
|
0,409
|
66,26
|
269,36
|
1,49
|
0,624
|
|
8,4
|
7,2
|
9,6
|
|
0,132
|
39,6
|
168
|
1,40
|
0,416
|
69,88
|
277,48
|
1,54
|
0,618
|
|
8,7
|
7,5
|
10,0
|
|
0,126
|
37,8
|
174
|
1,45
|
0,423
|
73,60
|
285,40
|
1,58
|
0,612
|
Подъем основания при набухании
грунтов рассчитывается в предположении полной стабилизации уплотнения грунтов
от внешней нагрузки.

, b=1,5 м.
Коэффициент α
определяем по таблице 2 для ленточных фундаментов, η≥10.
Таблица 2. Коэффициент α
|
|
Коэффициент α для
фундаментов
|
|
круглых
|
прямоугольных с соотношением сторон η=l/b, равным
|
ленточных η≥10
|
|
|
1,0
|
1,4
|
1,8
|
2,4
|
3,2
|
5,0
|
|
|
0
|
1,00
|
1,00
|
1,00
|
1,00
|
1,00
|
1,00
|
1,00
|
1,00
|
|
0,4
|
0,949
|
0,960
|
0,972
|
0,975
|
0,976
|
0,977
|
0,977
|
0,977
|
|
0,8
|
0,756
|
0,800
|
0,848
|
0,866
|
0,876
|
0,879
|
0,881
|
0,881
|
|
1,2
|
0,574
|
0,606
|
0,682
|
0,717
|
0,739
|
0,749
|
0,754
|
0,755
|
|
1,6
|
0,390
|
0,449
|
0,532
|
0,578
|
0,612
|
0,629
|
0,639
|
0,642
|
|
2,0
|
0,285
|
0,336
|
0,414
|
0,463
|
0,505
|
0,530
|
0,545
|
0,550
|
|
2,4
|
0,214
|
0,257
|
0,325
|
0,374
|
0,419
|
0,449
|
0,470
|
0,477
|
|
2,8
|
0,165
|
0,201
|
0,260
|
0,304
|
0,349
|
0,383
|
0,410
|
0,420
|
|
3,2
|
0,130
|
0,160
|
0,210
|
0,251
|
0,294
|
0,329
|
0,360
|
0,374
|
|
3,6
|
0,106
|
0,131
|
0,173
|
0,209
|
0,250
|
0,285
|
0,319
|
0,337
|
|
4,0
|
0,087
|
0,108
|
0,145
|
0,176
|
0,214
|
0,248
|
0,285
|
0,306
|
|
4,4
|
0,073
|
0,091
|
0,123
|
0,150
|
0,185
|
0,218
|
0,280
|
|
4,8
|
0,062
|
0,077
|
0,105
|
0,130
|
0,161
|
0,192
|
0,230
|
0,258
|
|
5,2
|
0,053
|
0,067
|
0,091
|
0,113
|
0,141
|
0,170
|
0,208
|
0,239
|
|
5,6
|
0,046
|
0,058
|
0,079
|
0,099
|
0,124
|
0,152
|
0,189
|
0,223
|
|
6,0
|
0,040
|
0,051
|
0,070
|
0,087
|
0,110
|
0,136
|
0,173
|
0,208
|
|
6,4
|
0,036
|
0,045
|
0,062
|
0,077
|
0,099
|
0,122
|
0,158
|
0,196
|
|
6,8
|
0,031
|
0,040
|
0,055
|
0,064
|
0,088
|
0,110
|
0,145
|
0,185
|
|
7,2
|
0,028
|
0,036
|
0,049
|
0,062
|
0,080
|
0,100
|
0,133
|
0,175
|
|
7,6
|
0,024
|
0,032
|
0,044
|
0,056
|
0,072
|
0,091
|
0,123
|
0,166
|
|
8,0
|
0,022
|
0,029
|
0,040
|
0,051
|
0,066
|
0,084
|
0,113
|
0,158
|
|
8,4
|
0,021
|
0,026
|
0,037
|
0,046
|
0,060
|
0,077
|
0,105
|
0,150
|
|
8,8
|
0,019
|
0,024
|
0,033
|
0,042
|
0,055
|
0,071
|
0,098
|
0,143
|
|
9,2
|
0,017
|
0,022
|
0,031
|
0,039
|
0,051
|
0,065
|
0,091
|
0,137
|
|
9,6
|
0,016
|
0,020
|
0,028
|
0,036
|
0,047
|
0,060
|
0,085
|
0,132
|
|
10,0
|
0,015
|
0,019
|
0,026
|
0,033
|
0,043
|
0,056
|
0,079
|
0,126
|
|
10,4
|
0,014
|
0,017
|
0,024
|
0,031
|
0,040
|
0,052
|
0,074
|
0,122
|
|
10,8
|
0,013
|
0,016
|
0,022
|
0,029
|
0,037
|
0,049
|
0,069
|
0,117
|
|
11,2
|
0,012
|
0,015
|
0,021
|
0,027
|
0,035
|
0,045
|
0,065
|
0,113
|
|
11,6
|
0,011
|
0,014
|
0,020
|
0,025
|
0,033
|
0,042
|
0,061
|
0,109
|
|
12,0
|
0,010
|
0,013
|
0,018
|
0,023
|
0,031
|
0,040
|
0,058
|
0,106
|
|
Для промежуточных значений  и 𝜂
коэффициент α определяется по интерполяции
|

, где

-коэффициент,
определяемый опытным путем. При отсутствии опытных данных К=2

-дополнительное давление
на грунт под подошвой фундамента 
=150 кПа.

, где

=20 кН/м3

, где
d
- глубина заложения фундамента, d=1,2
м.
Z
- глубина от подошвы фундамента

- ширина зоны
увлажнения, 
=6 м.
Kg
- коэффициент, принимаемый по таблице 3
Таблица 3
|
|
Коэффициент Kg
при отношении длины к ширине замачиваемой площади  , равном
|
|
1
|
2
|
3
|
4
|
5
|
|
0,5
|
0
|
0
|
0
|
0
|
0
|
|
1
|
0,58
|
0,50
|
0,43
|
0,36
|
0,29
|
|
2
|
0,81
|
0,70
|
0,61
|
0,50
|
0,40
|
|
3
|
0,94
|
0,82
|
0,71
|
0,59
|
0,47
|
|
4
|
1,02
|
0,89
|
0,77
|
0,64
|
0,53
|
|
5
|
1,07
|
0,94
|
0,82
|
0,69
|
0,77
|
Рассчитаем отношение
длины к ширине замачиваемой площади 
=4 м.

-дополнительное
вертикальное давление, вызванное влиянием веса неувлажненной части массива
грунта за пределами площади замачивания. Определяем по формуле:
Т.к.
0 дополнительное
вертикальное давление отсутствует до глубины 3,0 м.

- суммарное вертикальное
напряжение на глубине Z
от подошвы фундамента, определяется по формуле:

=
+
+

,
-вертикальное
напряжение, соответственно от нагрузки фундамента и от собственного веса
грунта.

-давление от набухания
глин. 
=180 кПа
K sw,i - коэффициент, зависящий от
=
+
+
, в зависимости от
суммарного вертикального напряжения на рассматриваемой глубине. Принимается
равным 0,8, при

≥ 50 кПа и 0,6,
при 
= 300 кПа, при промежуточных
значениях по интерполяции.
При расчете осадки от 
h=0,2b, h=0,3 м.
При набухании
рассматриваются слои мощностью hi=0,6
м., и рассчитываются в пределах выделенных слоев средние значения 
, 
, 
, 
Для определения 
при Ptot.i строим график зависимости по компрессионным испытаниям. Нижняя
граница зоны набухания принимается на глубине, где
График зависимости 
от Ptot.i рис. 5
Построим схему к расчету
подъема основания при набухании грунта. Нижняя граница зоны набухания Hsw при инфильтрации влаги принимается
на глубине, где суммарное вертикальное напряжение 
равно давлению
набухания Pw. При экранировании поверхности и
изменении водно-теплового режима определяется опытным путем (при отсутствии
опытных данных Hsw=5
м.
Схема к расчету подъема
основания при набухании грунта - рис. 4.
SW = ∑ℇwi * hi
* Ksw,i
SW
=0,6*(0,0069*0,6 + 0,0101*0,625 + 0,014*0,665 + 0,0165*0,685 + 0,017*0,689 +
0,017*0,687 + 0,0161*0,680)=0,0392 м.
Задача 4
Ленточный фундамент шириной 2b=2 м. передает на основание нагрузку
р= Р1, Р2, Р3. Глубина заложения фундамента d=hф=2 м. от поверхности земли. Р1=140 кПа, Р2=240
кПа, Р3=340 кПа.
В основании залегают
суглинки с углом внутреннего трения 
=15 гр. и общим
сцеплением с=20 КПа, удельный вес суглинков 
= 20 кН/м3, W=0,21, WL=0.47,
Wp=0,31, 
=26.3 кН/м3,
Е=13 МПа, Р1=140 кПа, Р2=240 кПа, Р3=340 кПа.
Определить области, где имеют место локальные сдвиги грунта (области
разрушения).
Решение
Подобного типа задачи
решаются построением контура зоны областей разрушения, где имеет место
состояние предельного равновесия, определяемое равенством 
Внутри указанного
контура угол отклонения 
будет больше угла
внутреннего трения 
грунта основания и,
следовательно, в этой зоне будут происходить сдвиги (область разрушения). За
указанным контуром, где 
, будет находиться
область устойчивого грунта.
Отыскание контура
предельного состояния грунта производится следующим образом:
1. Основание ниже подошвы фундамента
разбивается взаимно перпендикулярными линиями на квадраты (или прямоугольники).
Чем меньше стороны квадратов, тем больше будет точность построенного контура
состояния предельного равновесия грунта.
. Для каждой полученной таким
образом точки пересечения в углах квадратов по формуле рассчитывают значения
углов отклонения.
Стороны квадратов сетки приняты по
0,25 м. Рис. 6.
Для каждой точки сетки определяем
координаты.
Построим расчетную таблицу 4.
Согласно полученным координатам по
графику 1 приложения 1 находим (в необходимых случаях с интерполяцией) значение
углов видимости α.
Для горизонтали υ=0,25
м. оказывается невозможным определить угол видимости 
по графику 1 вследствие
очень большого сгущения кругов равных главных напряжений, поэтому для точек 1-6
углы видимости рассчитываются аналитически.
Для точки 1 угол
видимости 
будет суммой двух углов

и 
. Рис. 6
Т.1


Т.к. 
=
, то α=
+ 
=152
Находим углы видимости α
для остальных точек
Т.2
tanβ1=0,75/0,25=3
β1=71,5
tanβ2=1,25/0,25=5
β2=78,7
α= β1+ β2=71,5+78,7=150,2
Т.3
tanβ1=0,5/0,25=2
β1=63,5
tanβ2=1,5/0,25=6
β2=80,5
α= β1+ β2=63,43+80,5=144
Т.4
tanβ1=0,25/0,25=1
β1=45
tanβ2=1,75/0,25=7
β2=82
α= β1+ β2=45+82=127
Т.5
tanβ1=0/0,25=0
β1=0
tanβ2=2/0,25=8
β2=83
α= β1+ β2=0+83=83
Т.6
tanβ1=0,25/0,25=1
β1=45
tanβ2=2,25/0,25=9
β2=84
α= β1+ β2=-45+84=39
Зная углы видимости
α, по таблице 5 находим переходные коэффициенты 
и 
для определения главных
напряжений р1 и р2
Таблица 5. Главные
напряжения р1 и р2 максимальные касательные напряжения 
и углы наибольшего
отклонения 
как функции углов
видимости α для равномерно распределенной нагрузки р0 в условиях
плоской задачи
|
α
|
|
|
|
|
|
0
|
0
|
0
|
0
|
90
|
|
20
|
0,23
|
0
|
0,11
|
74
|
|
25
|
0,27
|
0,01
|
0,15
|
72
|
|
30
|
0,32
|
0,01
|
0,16
|
69
|
|
35
|
0,35
|
0,01
|
0,18
|
68
|
|
40
|
0,42
|
0,02
|
0,20
|
64
|
|
45
|
0,48
|
0,03
|
0,23
|
60
|
|
50
|
0,52
|
0,04
|
0,24
|
58
|
|
55
|
0,57
|
0,05
|
0,46
|
52
|
|
60
|
0,61
|
0,06
|
0,28
|
54
|
|
65
|
0,65
|
0,07
|
0,29
|
51
|
|
70
|
0,69
|
0,09
|
0,30
|
|
75
|
0,72
|
0,10
|
0,31
|
47
|
|
80
|
0,76
|
0,13
|
0,31
|
45
|
|
85
|
0,79
|
0,15
|
0,32
|
42
|
|
90
|
0,82
|
0,18
|
0,32
|
40
|
|
95
|
0,85
|
0,21
|
0,32
|
37
|
|
100
|
0,87
|
0,24
|
0,31
|
35
|
|
105
|
0,90
|
0,28
|
0,31
|
32
|
|
110
|
0,91
|
0,31
|
0,30
|
30
|
|
115
|
0,93
|
0,35
|
0,29
|
27
|
|
120
|
0,94
|
0,39
|
0,28
|
24
|
|
125
|
0,96
|
0,43
|
0,26
|
22
|
|
130
|
0,97
|
0,48
|
0,24
|
20
|
|
135
|
0,97
|
0,52
|
0,23
|
17
|
|
140
|
0,98
|
0,58
|
0,20
|
15
|
|
145
|
0,98
|
0,64
|
0,18
|
13
|
|
150
|
0,99
|
0,67
|
0,16
|
11
|
|
155
|
0,99
|
0,72
|
0,15
|
9
|
|
160
|
1,00
|
0,78
|
0,11
|
7
|
Определяем расчетное
значение нагрузки на грунт по подошве фундамента с учетом его заглубления при Р
=Р1, Р2, Р3
для каждого отдельно.
Р0 = Р-γЧhф, при
Р=Р1 =140 кПа Р01
=100 кПа
Р=Р2 =240 кПа Р02
=200 кПа
Р =Р3 =340 кПа Р03
=300 кПа
sinΘmax=
Таблица 4. Р=Р1=140
кПа
|
№
|
z,
м
|
v=z/b
|
x,
м
|
d=x/b
|
α
|
μ=P1/P2
|
р1
|
v
|
p2
|
sinΘmax
|
Θmax
|
|
1
|
0,25
|
0,25
|
0
|
0
|
152
|
0,99
|
99
|
0,69
|
69
|
0,074
|
4,23
|
|
2
|
0,25
|
0,25
|
0,25
|
0,25
|
150,2
|
0,99
|
99
|
0,67
|
67
|
0,079
|
4,53
|
|
3
|
0,25
|
0,25
|
0,5
|
0,5
|
144
|
0,98
|
98
|
0,628
|
62,8
|
0,088
|
5,05
|
|
4
|
0,25
|
0,25
|
0,75
|
0,75
|
127
|
0,964
|
96,4
|
0,45
|
45
|
0,135
|
7,76
|
|
5
|
0,25
|
0,25
|
1
|
1
|
83
|
0,778
|
77,8
|
0,142
|
14,2
|
0,192
|
11,07
|
|
6
|
0,25
|
0,25
|
1,25
|
1,25
|
39
|
0,406
|
40,6
|
0,018
|
1,8
|
0,138
|
7,92
|
|
7
|
0,25
|
0,25
|
1,5
|
1,5
|
25
|
0,27
|
27
|
0,01
|
1
|
0,097
|
5,58
|
|
8
|
0,25
|
0,25
|
1,75
|
1,75
|
|
|
0
|
|
0
|
0,000
|
0,00
|
|
9
|
0,25
|
0,25
|
2
|
2
|
|
|
0
|
|
0
|
0,000
|
0,00
|
|
10
|
0,25
|
0,25
|
2,25
|
2,25
|
|
|
0
|
|
0
|
0,000
|
0,00
|
|
11
|
0,25
|
0,25
|
2,5
|
2,5
|
|
|
0
|
|
0
|
0,000
|
0,00
|
|
12
|
0,25
|
0,25
|
2,75
|
2,75
|
|
|
0
|
|
0
|
0,000
|
0,00
|
|
13
|
0,25
|
0,25
|
3
|
3
|
|
|
0
|
|
0
|
0,000
|
0,00
|
|
14
|
0,5
|
0,5
|
0
|
0
|
135
|
0,97
|
97
|
0,52
|
52
|
0,113
|
6,49
|
|
15
|
0,5
|
0,5
|
0,25
|
0,25
|
130
|
0,97
|
97
|
0,48
|
48
|
0,124
|
7,14
|
|
16
|
0,5
|
0,5
|
0,5
|
0,5
|
120
|
0,94
|
94
|
0,39
|
39
|
0,144
|
8,27
|
|
17
|
0,5
|
0,5
|
0,75
|
0,75
|
100
|
0,87
|
87
|
0,24
|
24
|
0,175
|
10,07
|
|
18
|
0,5
|
0,5
|
1
|
1
|
85
|
0,79
|
79
|
0,15
|
15
|
0,186
|
10,75
|
|
19
|
0,5
|
0,5
|
1,25
|
1,25
|
60
|
0,61
|
61
|
0,06
|
6
|
0,174
|
10,02
|
|
20
|
0,5
|
0,5
|
1,5
|
1,5
|
43
|
0,44
|
44
|
0,025
|
2,5
|
0,140
|
8,07
|
|
21
|
0,5
|
0,5
|
1,75
|
1,75
|
24
|
0,26
|
26
|
0,01
|
1
|
0,091
|
5,19
|
|
22
|
0,5
|
0,5
|
2
|
2
|
|
|
0
|
|
0
|
0,00
|
|
23
|
0,5
|
0,5
|
2,25
|
2,25
|
|
|
0
|
|
0
|
0,000
|
0,00
|
|
24
|
0,5
|
0,5
|
2,5
|
2,5
|
|
|
0
|
|
0
|
0,000
|
0,00
|
|
25
|
0,5
|
0,5
|
2,75
|
2,75
|
|
|
0
|
|
0
|
0,000
|
0,00
|
|
26
|
0,75
|
0,75
|
0
|
0
|
110
|
0,91
|
91
|
0,31
|
31
|
0,157
|
9,06
|
|
27
|
0,75
|
0,75
|
0,25
|
0,25
|
107
|
0,91
|
91
|
0,29
|
29
|
0,164
|
9,41
|
|
28
|
0,75
|
0,75
|
0,5
|
0,5
|
100
|
0,87
|
87
|
0,24
|
24
|
0,170
|
9,80
|
|
29
|
0,75
|
0,75
|
0,75
|
0,75
|
90
|
0,82
|
82
|
0,18
|
18
|
0,178
|
10,26
|
|
30
|
0,75
|
0,75
|
1
|
1
|
75
|
0,72
|
72
|
0,1
|
10
|
0,182
|
10,47
|
|
31
|
0,75
|
0,75
|
1,25
|
1,25
|
60
|
0,61
|
61
|
0,06
|
6
|
0,169
|
9,71
|
|
32
|
0,75
|
0,75
|
1,5
|
1,5
|
43
|
0,46
|
46
|
0,025
|
2,5
|
0,141
|
8,13
|
|
33
|
0,75
|
0,75
|
1,75
|
1,75
|
33
|
0,33
|
33
|
0,01
|
1
|
0,109
|
6,27
|
|
34
|
0,75
|
0,75
|
2
|
2
|
25
|
0,27
|
27
|
0,01
|
1
|
0,091
|
5,19
|
|
35
|
0,75
|
0,75
|
2,25
|
2,25
|
20
|
0,23
|
23
|
0
|
0
|
0,082
|
4,67
|
|
36
|
0,75
|
0,75
|
2,5
|
2,5
|
|
|
0
|
|
0
|
0,000
|
0,00
|
|
37
|
1
|
1
|
0
|
0
|
100
|
0,87
|
87
|
0,24
|
24
|
0,166
|
9,54
|
|
38
|
1
|
1
|
0,25
|
0,25
|
95
|
0,85
|
85
|
0,21
|
21
|
0,171
|
9,82
|
|
39
|
1
|
1
|
0,5
|
0,5
|
89
|
0,8
|
80
|
0,16
|
16
|
0,175
|
10,09
|
|
40
|
1
|
1
|
0,75
|
0,75
|
80
|
0,76
|
76
|
0,13
|
13
|
0,176
|
10,13
|
|
41
|
1
|
1
|
1
|
1
|
70
|
0,69
|
69
|
0,09
|
9
|
0,173
|
9,95
|
|
42
|
1
|
1
|
1,25
|
1,25
|
58
|
0,6
|
60
|
0,055
|
5,5
|
0,163
|
9,37
|
|
43
|
1
|
1
|
1,5
|
1,5
|
45
|
0,48
|
48
|
0,03
|
3
|
0,141
|
8,08
|
|
44
|
1
|
1
|
1,75
|
1,75
|
35
|
0,35
|
35
|
0,01
|
1
|
0,111
|
6,40
|
|
45
|
1
|
1
|
2
|
2
|
28
|
0,3
|
30
|
0,01
|
1
|
0,097
|
5,54
|
|
46
|
1
|
1
|
2,25
|
2,25
|
23
|
0,24
|
24
|
0,01
|
1
|
0,078
|
4,48
|
|
47
|
1,25
|
1,25
|
0
|
0
|
89
|
0,8
|
80
|
0,16
|
16
|
0,171
|
9,82
|
|
48
|
1,25
|
1,25
|
0,25
|
0,25
|
83
|
0,77
|
77
|
0,14
|
14
|
0,170
|
9,80
|
|
49
|
1,25
|
1,25
|
0,5
|
0,5
|
80
|
0,76
|
76
|
0,13
|
13
|
0,171
|
9,85
|
|
50
|
1,25
|
1,25
|
0,75
|
0,75
|
72
|
0,7
|
70
|
0,09
|
9
|
0,170
|
9,80
|
|
51
|
1,25
|
1,25
|
1
|
1
|
65
|
0,65
|
65
|
0,07
|
7
|
0,165
|
9,51
|
|
52
|
1,25
|
1,25
|
1,25
|
1,25
|
56
|
0,58
|
58
|
0,05
|
5
|
0,155
|
8,91
|
|
53
|
1,25
|
1,5
|
1,5
|
46
|
0,49
|
49
|
0,03
|
3
|
0,139
|
7,98
|
|
54
|
1,25
|
1,25
|
1,75
|
1,75
|
39
|
0,4
|
40
|
0,02
|
2
|
0,118
|
6,79
|
|
55
|
1,25
|
1,25
|
2
|
2
|
31
|
0,33
|
33
|
0,01
|
1
|
0,102
|
5,86
|
|
56
|
1,5
|
1,5
|
0
|
0
|
80
|
0,76
|
76
|
0,13
|
13
|
0,167
|
9,59
|
|
57
|
1,5
|
1,5
|
0,25
|
0,25
|
76
|
0,73
|
73
|
0,11
|
11
|
0,166
|
9,56
|
|
58
|
1,5
|
1,5
|
0,5
|
0,5
|
72
|
0,7
|
70
|
0,09
|
9
|
0,166
|
9,54
|
|
59
|
1,5
|
1,5
|
0,75
|
0,75
|
68
|
0,66
|
66
|
0,08
|
8
|
0,160
|
9,19
|
|
60
|
1,5
|
1,5
|
1
|
1
|
60
|
0,61
|
61
|
0,06
|
6
|
0,154
|
8,88
|
|
61
|
1,5
|
1,5
|
1,25
|
1,25
|
52
|
0,54
|
54
|
0,04
|
4
|
0,144
|
8,28
|
|
62
|
1,5
|
1,5
|
1,5
|
1,5
|
45
|
0,48
|
48
|
0,03
|
3
|
0,132
|
7,60
|
|
63
|
1,5
|
1,5
|
1,75
|
1,75
|
40
|
0,47
|
47
|
0,02
|
2
|
0,133
|
7,65
|
|
64
|
1,75
|
1,75
|
0
|
0
|
71
|
0,7
|
70
|
0,09
|
9
|
0,161
|
9,28
|
|
65
|
1,75
|
1,75
|
0,25
|
0,25
|
69
|
0,67
|
67
|
0,08
|
8
|
0,158
|
9,07
|
|
66
|
1,75
|
1,75
|
0,5
|
0,5
|
66
|
0,66
|
66
|
0,08
|
8
|
0,155
|
8,94
|
|
67
|
1,75
|
1,75
|
0,75
|
0,75
|
61
|
0,62
|
62
|
0,06
|
6
|
0,153
|
8,77
|
|
68
|
1,75
|
1,75
|
1
|
1
|
56
|
0,58
|
58
|
0,05
|
5
|
0,146
|
8,41
|
|
69
|
1,75
|
1,75
|
1,25
|
1,25
|
50
|
0,52
|
52
|
0,04
|
4
|
0,135
|
7,77
|
|
70
|
1,75
|
1,75
|
1,5
|
1,5
|
45
|
0,48
|
48
|
0,03
|
3
|
0,128
|
7,38
|
Таблица 4.2. Р=Р2=240 кПа
|
№
|
z, м
|
v=z/b
|
x, м
|
d=x/b
|
α
|
μ=P1/P2
|
р1
|
v
|
p2
|
sinΘmax
|
Θmax
|
|
1
|
0,25
|
0,25
|
0
|
0
|
152
|
0,99
|
198
|
0,69
|
138
|
0,1043
|
5,99
|
|
2
|
0,25
|
0,25
|
0,25
|
0,25
|
150,2
|
0,99
|
198
|
0,67
|
134
|
0,112
|
6,43
|
|
3
|
0,25
|
0,25
|
0,5
|
0,5
|
144
|
0,98
|
196
|
0,628
|
125,6
|
0,1255
|
7,21
|
|
4
|
0,25
|
0,25
|
0,75
|
0,75
|
127
|
0,964
|
192,8
|
0,45
|
90
|
0,1969
|
11,36
|
|
5
|
0,25
|
0,25
|
1
|
1
|
83
|
0,778
|
155,6
|
0,142
|
28,4
|
0,3006
|
17,48
|
|
6
|
0,25
|
0,25
|
1,25
|
1,25
|
39
|
0,406
|
81,2
|
0,018
|
3,6
|
0,2395
|
13,85
|
|
7
|
0,25
|
0,25
|
1,5
|
1,5
|
25
|
0,27
|
54
|
0,01
|
2
|
0,1762
|
10,15
|
|
8
|
0,25
|
0,25
|
1,75
|
1,75
|
|
|
0
|
|
0
|
0
|
0,00
|
|
9
|
0,25
|
0,25
|
2
|
2
|
|
|
0
|
|
0
|
0
|
0,00
|
|
10
|
0,25
|
0,25
|
2,25
|
2,25
|
|
|
0
|
|
0
|
0
|
0,00
|
|
11
|
0,25
|
0,25
|
2,5
|
2,5
|
|
|
0
|
|
0
|
0
|
0,00
|
|
12
|
0,25
|
0,25
|
2,75
|
|
|
0
|
|
0
|
0
|
0,00
|
|
13
|
0,25
|
0,25
|
3
|
3
|
|
|
0
|
|
0
|
0
|
0,00
|
|
14
|
0,5
|
0,5
|
0
|
0
|
135
|
0,97
|
194
|
0,52
|
104
|
0,1645
|
9,47
|
|
15
|
0,5
|
0,5
|
0,25
|
0,25
|
130
|
0,97
|
194
|
0,48
|
96
|
0,1818
|
10,47
|
|
16
|
0,5
|
0,5
|
0,5
|
0,5
|
120
|
0,94
|
188
|
0,39
|
78
|
0,2135
|
12,33
|
|
17
|
0,5
|
0,5
|
0,75
|
0,75
|
100
|
0,87
|
174
|
0,24
|
48
|
0,2674
|
15,50
|
|
18
|
0,5
|
0,5
|
1
|
1
|
85
|
0,79
|
158
|
0,15
|
30
|
0,2928
|
17,02
|
|
19
|
0,5
|
0,5
|
1,25
|
1,25
|
60
|
0,61
|
122
|
0,06
|
12
|
0,2871
|
16,67
|
|
20
|
0,5
|
0,5
|
1,5
|
1,5
|
43
|
0,44
|
88
|
0,025
|
5
|
0,2425
|
14,03
|
|
21
|
0,5
|
0,5
|
1,75
|
1,75
|
24
|
0,26
|
52
|
0,01
|
2
|
0,1649
|
9,49
|
|
22
|
0,5
|
0,5
|
2
|
2
|
|
|
0
|
|
0
|
0
|
0,00
|
|
23
|
0,5
|
0,5
|
2,25
|
2,25
|
|
|
0
|
|
0
|
0
|
0,00
|
|
24
|
0,5
|
0,5
|
2,5
|
2,5
|
|
|
0
|
|
0
|
0
|
0,00
|
|
25
|
0,5
|
0,5
|
2,75
|
2,75
|
|
|
0
|
|
0
|
0
|
0,00
|
|
26
|
0,75
|
0,75
|
0
|
0
|
110
|
0,91
|
182
|
0,31
|
62
|
0,2385
|
13,79
|
|
27
|
0,75
|
0,75
|
0,25
|
0,25
|
107
|
0,91
|
182
|
0,29
|
58
|
0,2484
|
14,38
|
|
28
|
0,75
|
0,75
|
0,5
|
0,5
|
100
|
0,87
|
174
|
0,24
|
48
|
0,2618
|
15,17
|
|
29
|
0,75
|
0,75
|
0,75
|
0,75
|
90
|
0,82
|
164
|
0,18
|
36
|
0,2787
|
16,18
|
|
30
|
0,75
|
0,75
|
1
|
1
|
75
|
0,72
|
144
|
0,1
|
20
|
0,293
|
17,03
|
|
31
|
0,75
|
0,75
|
1,25
|
1,25
|
60
|
0,61
|
122
|
0,06
|
12
|
0,2798
|
16,24
|
|
32
|
0,75
|
0,75
|
1,5
|
1,5
|
43
|
0,46
|
92
|
0,025
|
5
|
0,2442
|
14,13
|
|
33
|
0,75
|
0,75
|
1,75
|
1,75
|
33
|
0,33
|
66
|
0,01
|
2
|
0,1956
|
11,28
|
|
34
|
0,75
|
0,75
|
2
|
2
|
25
|
0,27
|
54
|
0,01
|
2
|
0,165
|
9,50
|
|
35
|
0,75
|
0,75
|
2,25
|
2,25
|
20
|
0,23
|
46
|
0
|
0
|
0,1507
|
8,67
|
|
36
|
0,75
|
0,75
|
2,5
|
2,5
|
|
|
0
|
|
0
|
0
|
0,00
|
|
37
|
1
|
1
|
0
|
0
|
100
|
0,87
|
174
|
0,24
|
48
|
0,2565
|
14,86
|
|
38
|
1
|
1
|
0,25
|
0,25
|
95
|
0,85
|
170
|
0,21
|
42
|
0,266
|
15,42
|
|
39
|
1
|
1
|
0,5
|
0,5
|
89
|
0,8
|
160
|
0,16
|
32
|
0,2775
|
16,11
|
|
40
|
1
|
1
|
0,75
|
0,75
|
80
|
0,76
|
152
|
0,13
|
26
|
0,2818
|
16,36
|
|
41
|
1
|
1
|
1
|
1
|
70
|
0,69
|
138
|
0,09
|
18
|
0,2822
|
16,39
|
|
42
|
1
|
1
|
1,25
|
1,25
|
58
|
0,6
|
120
|
0,055
|
11
|
0,2724
|
15,80
|
|
43
|
1
|
1
|
1,5
|
45
|
0,48
|
96
|
0,03
|
6
|
0,2425
|
14,03
|
|
44
|
1
|
1
|
1,75
|
1,75
|
35
|
0,35
|
70
|
0,01
|
2
|
0,1993
|
11,49
|
|
45
|
1
|
1
|
2
|
2
|
28
|
0,3
|
60
|
0,01
|
2
|
0,1751
|
10,09
|
|
46
|
1
|
1
|
2,25
|
2,25
|
23
|
0,24
|
48
|
0,01
|
2
|
0,1441
|
8,29
|
|
47
|
1,25
|
1,25
|
0
|
0
|
89
|
0,8
|
160
|
0,16
|
32
|
0,2716
|
15,76
|
|
48
|
1,25
|
1,25
|
0,25
|
0,25
|
83
|
0,77
|
154
|
0,14
|
28
|
0,2732
|
15,85
|
|
49
|
1,25
|
1,25
|
0,5
|
0,5
|
80
|
0,76
|
152
|
0,13
|
26
|
0,2756
|
15,99
|
|
50
|
1,25
|
1,25
|
0,75
|
0,75
|
72
|
0,7
|
140
|
0,09
|
18
|
0,279
|
16,20
|
|
51
|
1,25
|
1,25
|
1
|
1
|
65
|
0,65
|
130
|
0,07
|
14
|
0,2741
|
15,90
|
|
52
|
1,25
|
1,25
|
1,25
|
1,25
|
56
|
0,58
|
116
|
0,05
|
10
|
0,2616
|
15,16
|
|
53
|
1,25
|
1,25
|
1,5
|
1,5
|
46
|
0,49
|
98
|
0,03
|
6
|
0,2401
|
13,89
|
|
54
|
1,25
|
1,25
|
1,75
|
1,75
|
39
|
0,4
|
80
|
0,02
|
4
|
0,2093
|
12,08
|
|
55
|
1,25
|
1,25
|
2
|
2
|
31
|
0,33
|
66
|
0,01
|
2
|
0,1843
|
10,62
|
|
56
|
1,5
|
1,5
|
0
|
0
|
80
|
0,76
|
152
|
0,13
|
26
|
0,2697
|
15,64
|
|
57
|
1,5
|
1,5
|
0,25
|
0,25
|
76
|
0,73
|
146
|
0,11
|
22
|
0,2712
|
15,73
|
|
58
|
1,5
|
1,5
|
0,5
|
0,5
|
72
|
0,7
|
140
|
0,09
|
18
|
0,2728
|
15,83
|
|
59
|
1,5
|
1,5
|
0,75
|
0,75
|
68
|
0,66
|
132
|
0,08
|
16
|
0,2653
|
15,38
|
|
60
|
1,5
|
1,5
|
1
|
1
|
60
|
0,61
|
122
|
0,06
|
12
|
0,2599
|
15,06
|
|
61
|
1,5
|
1,5
|
1,25
|
1,25
|
52
|
0,54
|
108
|
0,04
|
8
|
0,2468
|
14,28
|
|
62
|
1,5
|
1,5
|
1,5
|
1,5
|
45
|
0,48
|
96
|
0,03
|
6
|
0,2301
|
13,30
|
|
63
|
1,5
|
1,5
|
1,75
|
1,75
|
40
|
0,47
|
94
|
0,02
|
4
|
0,2324
|
13,44
|
|
64
|
1,75
|
1,75
|
0
|
0
|
71
|
0,7
|
140
|
0,09
|
18
|
0,2668
|
15,47
|
|
65
|
1,75
|
1,75
|
0,25
|
0,25
|
69
|
0,67
|
134
|
0,08
|
16
|
0,2627
|
15,22
|
|
66
|
1,75
|
1,75
|
0,5
|
0,5
|
66
|
0,66
|
132
|
0,08
|
16
|
0,2594
|
15,03
|
|
67
|
1,75
|
1,75
|
0,75
|
0,75
|
61
|
0,62
|
124
|
0,06
|
12
|
0,2574
|
14,91
|
|
68
|
1,75
|
1,75
|
1
|
1
|
56
|
0,58
|
116
|
0,05
|
10
|
0,2493
|
14,43
|
|
69
|
1,75
|
1,75
|
1,25
|
1,25
|
50
|
0,52
|
104
|
0,04
|
8
|
0,2335
|
13,50
|
|
70
|
1,75
|
1,75
|
1,5
|
1,5
|
45
|
0,48
|
96
|
0,03
|
6
|
0,2243
|
12,96
|
|
71
|
2
|
2
|
0
|
0
|
53
|
0,55
|
110
|
0,046
|
9,2
|
0,2353
|
13,61
|
|
72
|
2
|
2
|
0,25
|
0,25
|
52
|
108
|
0,044
|
8,8
|
0,2329
|
13,46
|
Таблица 4.3. Р=Р3=340 кПа
|
№
|
z, м
|
v=z/b
|
x, м
|
d=x/b
|
α
|
μ=P1/P2
|
р1
|
v
|
p2
|
sinΘmax
|
Θmax
|
|
1
|
0,25
|
0,25
|
0
|
0
|
152
|
0,99
|
297
|
0,69
|
207
|
0,1211
|
6,96
|
|
2
|
0,25
|
0,25
|
0,25
|
0,25
|
150,2
|
0,99
|
297
|
0,67
|
201
|
0,1302
|
7,48
|
|
3
|
0,25
|
0,25
|
0,5
|
0,5
|
144
|
0,98
|
294
|
0,628
|
188,4
|
0,1463
|
8,41
|
|
4
|
0,25
|
0,25
|
0,75
|
0,75
|
127
|
0,964
|
289,2
|
0,45
|
135
|
0,2324
|
13,44
|
|
5
|
0,25
|
0,25
|
1
|
1
|
83
|
0,778
|
233,4
|
0,142
|
42,6
|
0,3703
|
21,71
|
|
6
|
0,25
|
0,25
|
1,25
|
1,25
|
39
|
0,406
|
121,8
|
0,018
|
5,4
|
0,3177
|
18,51
|
|
7
|
0,25
|
0,25
|
1,5
|
1,5
|
25
|
0,27
|
81
|
0,01
|
3
|
0,2413
|
13,96
|
|
8
|
0,25
|
0,25
|
1,75
|
1,75
|
|
|
0
|
|
0
|
0
|
0,00
|
|
9
|
0,25
|
0,25
|
2
|
2
|
|
|
0
|
|
0
|
0
|
0,00
|
|
10
|
0,25
|
0,25
|
2,25
|
2,25
|
|
|
0
|
|
0
|
0
|
0,00
|
|
11
|
0,25
|
0,25
|
2,5
|
2,5
|
|
|
0
|
|
0
|
0
|
0,00
|
|
12
|
0,25
|
0,25
|
2,75
|
2,75
|
|
|
0
|
|
0
|
0
|
0,00
|
|
13
|
0,25
|
0,25
|
3
|
3
|
|
|
0
|
|
0
|
0
|
0,00
|
|
14
|
0,5
|
0,5
|
0
|
0
|
135
|
0,97
|
291
|
0,52
|
156
|
0,1939
|
11,18
|
|
15
|
0,5
|
0,5
|
0,25
|
0,25
|
130
|
0,97
|
291
|
0,48
|
144
|
0,2148
|
12,40
|
|
16
|
0,5
|
0,5
|
0,5
|
0,5
|
120
|
0,94
|
282
|
0,39
|
117
|
0,2546
|
14,74
|
|
17
|
0,5
|
0,5
|
0,75
|
0,75
|
100
|
0,87
|
261
|
0,24
|
72
|
0,3246
|
18,93
|
|
18
|
0,5
|
0,5
|
1
|
1
|
85
|
0,79
|
237
|
0,15
|
45
|
0,3614
|
21,16
|
|
19
|
0,5
|
0,5
|
1,25
|
1,25
|
60
|
0,61
|
183
|
0,06
|
18
|
0,3665
|
21,47
|
|
20
|
0,5
|
0,5
|
1,5
|
1,5
|
43
|
0,44
|
132
|
0,025
|
7,5
|
0,3203
|
18,67
|
|
21
|
0,5
|
0,5
|
1,75
|
1,75
|
24
|
0,26
|
78
|
0,01
|
3
|
0,2271
|
13,13
|
|
22
|
0,5
|
0,5
|
2
|
2
|
|
|
0
|
|
0
|
0
|
0,00
|
|
23
|
0,5
|
0,5
|
2,25
|
2,25
|
|
|
0
|
|
0
|
0
|
0,00
|
|
24
|
0,5
|
0,5
|
2,5
|
2,5
|
|
|
0
|
|
0
|
0
|
0,00
|
|
25
|
0,5
|
0,5
|
2,75
|
2,75
|
|
|
0
|
|
0
|
0
|
0,00
|
|
26
|
0,75
|
0,75
|
0
|
0
|
110
|
0,91
|
273
|
0,31
|
93
|
0,2879
|
16,72
|
|
27
|
0,75
|
0,75
|
0,25
|
0,25
|
107
|
0,91
|
273
|
0,29
|
87
|
0,3004
|
17,47
|
|
28
|
0,75
|
0,75
|
0,5
|
0,5
|
100
|
0,87
|
261
|
0,24
|
72
|
0,3191
|
18,60
|
|
29
|
0,75
|
0,75
|
0,75
|
0,75
|
90
|
0,82
|
246
|
0,18
|
54
|
0,3433
|
20,06
|
|
30
|
0,75
|
0,75
|
1
|
1
|
75
|
0,72
|
216
|
0,1
|
30
|
0,3682
|
21,57
|
|
31
|
0,75
|
1,25
|
1,25
|
60
|
0,61
|
183
|
0,06
|
18
|
0,3585
|
20,99
|
|
32
|
0,75
|
0,75
|
1,5
|
1,5
|
43
|
0,46
|
138
|
0,025
|
7,5
|
0,3225
|
18,80
|
|
33
|
0,75
|
0,75
|
1,75
|
1,75
|
33
|
0,33
|
99
|
0,01
|
3
|
0,2658
|
15,41
|
|
34
|
0,75
|
0,75
|
2
|
2
|
25
|
0,27
|
81
|
0,01
|
3
|
0,2273
|
13,13
|
|
35
|
0,75
|
0,75
|
2,25
|
2,25
|
20
|
0,23
|
69
|
0
|
0
|
0,2102
|
12,13
|
|
36
|
0,75
|
0,75
|
2,5
|
2,5
|
|
|
0
|
|
0
|
0
|
0,00
|
|
37
|
1
|
1
|
0
|
0
|
100
|
0,87
|
261
|
0,24
|
72
|
0,3138
|
18,28
|
|
38
|
1
|
1
|
0,25
|
0,25
|
95
|
0,85
|
255
|
0,21
|
63
|
0,327
|
19,07
|
|
39
|
1
|
1
|
0,5
|
0,5
|
89
|
0,8
|
240
|
0,16
|
48
|
0,3446
|
20,14
|
|
40
|
1
|
1
|
0,75
|
0,75
|
80
|
0,76
|
228
|
0,13
|
39
|
0,3525
|
20,62
|
|
41
|
1
|
1
|
1
|
1
|
70
|
0,69
|
207
|
0,09
|
27
|
0,3577
|
20,94
|
|
42
|
1
|
1
|
1,25
|
1,25
|
58
|
0,6
|
180
|
0,055
|
16,5
|
0,3511
|
20,53
|
|
43
|
1
|
1
|
1,5
|
1,5
|
45
|
0,48
|
144
|
0,03
|
9
|
0,3198
|
18,63
|
|
44
|
1
|
1
|
1,75
|
1,75
|
35
|
0,35
|
105
|
0,01
|
3
|
0,2704
|
15,68
|
|
45
|
1
|
1
|
2
|
2
|
28
|
0,3
|
90
|
0,01
|
3
|
0,2402
|
13,90
|
|
46
|
1
|
1
|
2,25
|
2,25
|
23
|
0,24
|
72
|
0,01
|
3
|
0,2005
|
11,56
|
|
47
|
1,25
|
1,25
|
0
|
0
|
89
|
0,8
|
240
|
0,16
|
48
|
0,3385
|
19,77
|
|
48
|
1,25
|
1,25
|
0,25
|
0,25
|
83
|
0,77
|
231
|
0,14
|
42
|
0,3423
|
20,00
|
|
49
|
1,25
|
1,25
|
0,5
|
0,5
|
80
|
0,76
|
228
|
0,13
|
39
|
0,346
|
20,22
|
|
50
|
1,25
|
1,25
|
0,75
|
0,75
|
72
|
0,7
|
210
|
0,09
|
27
|
0,3545
|
20,74
|
|
51
|
1,25
|
1,25
|
1
|
1
|
65
|
0,65
|
195
|
0,07
|
21
|
0,3514
|
20,55
|
|
52
|
1,25
|
1,25
|
1,25
|
1,25
|
56
|
0,58
|
174
|
0,05
|
15
|
0,3396
|
19,83
|
|
53
|
1,25
|
1,25
|
1,5
|
1,5
|
46
|
0,49
|
147
|
0,03
|
9
|
0,3171
|
18,47
|
|
54
|
1,25
|
1,25
|
1,75
|
1,75
|
39
|
0,4
|
120
|
0,02
|
6
|
0,2813
|
16,33
|
|
55
|
1,25
|
1,25
|
2
|
2
|
31
|
0,33
|
99
|
0,01
|
3
|
0,2518
|
14,58
|
|
56
|
1,5
|
1,5
|
0
|
0
|
80
|
0,76
|
228
|
0,13
|
39
|
0,3398
|
19,85
|
|
57
|
1,5
|
1,5
|
0,25
|
0,25
|
76
|
0,73
|
219
|
0,11
|
33
|
0,3437
|
20,08
|
|
58
|
1,5
|
1,5
|
0,5
|
0,5
|
72
|
0,7
|
210
|
0,09
|
27
|
0,3478
|
20,33
|
|
59
|
1,5
|
1,5
|
0,75
|
0,75
|
68
|
0,66
|
198
|
0,08
|
24
|
0,3404
|
19,88
|
|
60
|
1,5
|
1,5
|
1
|
1
|
60
|
0,61
|
183
|
18
|
0,3366
|
19,65
|
|
61
|
1,5
|
1,5
|
1,25
|
1,25
|
52
|
0,54
|
162
|
0,04
|
12
|
0,3238
|
18,88
|
|
62
|
1,5
|
1,5
|
1,5
|
1,5
|
45
|
0,48
|
144
|
0,03
|
9
|
0,3053
|
17,76
|
|
63
|
1,5
|
1,5
|
1,75
|
1,75
|
40
|
0,47
|
141
|
0,02
|
6
|
0,3095
|
18,02
|
|
63*
|
1,5
|
1,5
|
2
|
2
|
30
|
0,32
|
96
|
0,01
|
3
|
0,2396
|
13,86
|
|
64
|
1,75
|
1,75
|
0
|
0
|
71
|
0,7
|
210
|
0,09
|
27
|
0,3413
|
19,94
|
|
65
|
1,75
|
1,75
|
0,25
|
0,25
|
69
|
0,67
|
201
|
0,08
|
24
|
0,3377
|
19,72
|
|
66
|
1,75
|
1,75
|
0,5
|
0,5
|
66
|
0,66
|
198
|
0,08
|
24
|
0,3338
|
19,49
|
|
67
|
1,75
|
1,75
|
0,75
|
0,75
|
61
|
0,62
|
186
|
0,06
|
18
|
0,3339
|
19,49
|
|
68
|
1,75
|
1,75
|
1
|
1
|
56
|
0,58
|
174
|
0,05
|
15
|
0,3257
|
18,99
|
|
69
|
1,75
|
1,75
|
1,25
|
1,25
|
50
|
0,52
|
156
|
0,04
|
12
|
0,3082
|
17,94
|
|
70
|
1,75
|
1,75
|
1,5
|
1,5
|
45
|
0,48
|
144
|
0,03
|
9
|
0,2985
|
17,36
|
|
71
|
1,75
|
1,75
|
1,75
|
1,75
|
31
|
0,326
|
97,8
|
0,01
|
3
|
0,237
|
13,71
|
|
72
|
1,75
|
1,75
|
2
|
2
|
30
|
0,32
|
96
|
0,01
|
3
|
0,2336
|
13,50
|
|
73
|
2
|
2
|
0
|
0
|
53
|
0,55
|
165
|
0,046
|
13,8
|
0,3098
|
18,04
|
|
74
|
2,25
|
2,25
|
0
|
0
|
47
|
0,496
|
148,8
|
0,034
|
10,2
|
0,2898
|
16,84
|
|
75
|
2,5
|
2,5
|
0
|
0
|
43
|
0,456
|
136,8
|
0,026
|
7,8
|
0,2723
|
15,79
|
|
76
|
2,75
|
2,75
|
0
|
0
|
40
|
0,42
|
126
|
0,02
|
6
|
0,2547
|
14,75
|
|
77
|
2,25
|
2,25
|
0,875
|
0,875
|
44
|
0,468
|
140,4
|
0,028
|
8,4
|
0,2821
|
16,38
|
Задача 5
Определить деформацию
основания фундамента. Фундамент опирается на лессовидный просадочный суглинок.
Размеры подошвы фундамента 2,5х2,5 м. Давление по подошве фундамента Р=300 кПа.
Фундамент заглублен в суглинок на 1,2 м, 
=8 МПа. 
суглинка: до глубины:
до глубины 1,2 м - 17 кН/
, 1,2-3,2 м - 17,9 кН/
, 3,2-5,2 м - 17,5 кН/
, 
5,2 м - 17,1 кН/
. Уровень грунтовых вод
на глубине Н=12 м от поверхности земли.
Данные определения в
лабораторных условиях относительной просадочности (
) лессовидных суглинков
приведены в таблице 6.
Таблица 6
|
Н
|
1
|
2
|
3
|
4
|
5
|
6
|
7
|
8
|
9
|
10
|
11
|
|
Суммарная внешняя нагрузка, кПа
|
100
|
0,014
|
0,014
|
0,014
|
0,014
|
0,013
|
0,011
|
0,008
|
0,005
|
0,004
|
0,003
|
0,003
|
|
200
|
0,025
|
0,025
|
0,026
|
0,026
|
0,022
|
0,018
|
0,014
|
0,010
|
0,010
|
0,005
|
0,006
|
|
300
|
0,034
|
0,034
|
0,033
|
0,033
|
0,029
|
0,024
|
0,019
|
0,014
|
0,013
|
0,012
|
0,010
|
Решение
Деформация просадочного
основания 
равна сумме осадки (S) и просадки грунта при его замачивании (
): 
=
+
Строим расчетную таблицу
7.1 - 7.2
Величину S находим методом для непросадочных грунтов
S=
х0,8х(
/2+
+
+…
+
/2)/E

=

=P-

=
х

=0,2 х ϐ
=0,2 х 2,5=0,5 
=2 х z/

=ℓ/ϐ

= 0,2 х ϐ
=2,5 х 0,5=0,5
ϐ
= 2,5 м; ℓ=2,5 м
Определяем коэффициент 
по таб. 2 в зависимости
от полученных 
и 
.

=
х 

, Р=300 кПа

=
х

=17; 
=17,9; 
=17,5; 
=17,1 (кН/
)

=20,4 кПа

=279,6 кПа

=279,6 кПа … см. в
расчетной таблице
Вычисляем осадку:

=0,5; Е=8 МПа=8000 кПа
S=0,5х0,8х
(279,6/2+268,42+223,68+169,44+125,54+93,94+71,85+56,2+44,74+36,35+
30,20+25,44+21,53+18,45/2)/8000= 0,0658 м.
2. Построим график (рис.
8) зависимости относительной просадочности (εsl)
от
нагрузок (Р) по глубинам (через метр) и определим начальное просадочное
давление (Рsl).
Данные для построения
графика приведены в таб. 6

- начальное просадочное
давление при котором относительная просадочность 
Методом послойного
суммирования массив грунта разбивается послойно 
, n=7
. Строим эпюры 
=
и 
=
+
(рис. 7) и график 
(рис. 8) в координатах 
и 
=
+
, определяем зоны
возможных просадочных деформаций, просадочность учитывается в тех слоях, где
выполняется условие 
и 
Просадка при замачивании
больших площадей определяется по формуле:

= 

- относительная
просадочность i-го слоя

- толща i-го слоя = 1 м

- коэффициент,
учитывающий несоответствие методик лабораторных испытаний грунтов и особенность
просадки грунтов под нагрузкой.

при ширине меньше 3-х
метров вычисляют по формуле:
sli=
0,5+1,5 (Р-Рsli)/Р0
Р - среднее давление под
подошвой фундамента

- начальное просадочное
давление грунта i-го слоя

=100 кПа
В зависимости от
возможности проявления просадки от собственного веса грунта, грунтовые условия
площадок подразделяются на два типа:
. просадка от
собственного веса грунта отсутствует или не превышает 5 см.
. просадка от
собственного веса грунта 
5 см.