|
Расчетные
данные
|
Каталожные
данные РНД3-2-35/1000УХЛ1
|
Условия
выбора
|
|
Uн, уст
|
110
кВ
|
Uн,а
|
110
кВ
|
Uн,а
≥ Uн,
уст
|
|
Jіy
|
4.04
кА
|
J пр,с
|
80
кА
|
J пр,с ≥ Jіy
|
|
Bk
|
3.2
кАІ.с
|
IІT
· tT
|
31.5І·
4кАІ.с
|
IІT
· tT
≥
Bk
|
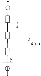
Привод ПРК - 1· Л1
.6.2.3 Выбор вентильных
разрядников
Для защиты электрооборудования
подстанции от перенапряжений устанавливаем вентильные разрядники, их
характеристики приведены в таблице 1.16
Тип вентильных разрядников
выбираем по показателям напряжения
Таблица 1.16
Выбор вентильных разрядников
|
Тип
разрядника
|
Напряжение,
кВ
|
|
Номинальное
|
Наибольшее
допустимое
|
Пробивное
в сух../п..д
|
Импульсное
прибивное
|
Остающееся
|
|
|
|
|
|
3
|
5
|
10
|
|
РВО
- 10
|
10
|
12.7
|
26/30.5
|
48
|
43
|
45
|
--
|
|
РВМ
- 35
|
35
|
40.5
|
75/90
|
116
|
97
|
105
|
116
|
|
РВМГ--
110
|
110
|
100
|
170/195
|
260
|
245
|
265
|
295
|
1.6.3 Выбор
измерительных трансформаторов тока и напряжения
.6.3.1 Выбор трансформаторов
тока
Трансформаторы тока выбираем по
номинальному напряжению, номинальному первичному току, номинальному вторичному
току; роду установки, конструкции. классу точности, вторичной нагрузке, а
проверяем на электродинамическую и термическую стойкость.
Наметив места установки и
состав измерительных приборов, вычисляем вторичную нагрузку трансформаторов
тока таблица 1.17.
де
-
суммарное сопротивление последовательных катушек приборов и реле,Ом;
- активное
сопротивление соединительных проводов, Ом;
-сопротивление всех
контактов (принимаем 0,1 Ом).
Мощность вторичной цепи:
(1.41)
Для того чтобы выбираемый
трансформатор тока работал в необходимом классе точности, должно быть соблюдено
условие:
где
-
номинальная вторичная мощность или сопротивление ТТ рассматриваемого класса
точности.
Сечение соединительных проводов
находим по формуле:
где
-
удельное сопротивление материала провода,
l-
расчетная длина провода.
Выбор ТТ в цепи 110кВ силового
трансформатора произведен в таблице 1.18
Таблица 1.17
Вторичная нагрузка ТТ
|
Место
установки трансформатора тока1
|
Прибор
|
Тип
|
Потребляемая
Мощность обмотки, тока ВА1 1
|
|
Цепь
ВН тр-ра.
|
Амперметр
|
Э-335
|
0,5
|
|
Цепь
СН
|
Амперметр
|
Э-335
|
0,5
|
|
Трансформатора.
|
Ваттметр
|
Д-335
|
0,5
|
|
Счетчик
активной энергии
|
САЗ-Ш89
|
'2,5
|
|
Счетчик
реактивной энергии
|
СР4-Ш89
|
2,5
|
|
Цепь
НН трансформатора
|
Амперметр
|
Э-335
|
0,5
|
|
Ваттметр
|
Д-335
|
0,5
|
|
Счетчик
активной энергии
|
САЗ-Ш89
|
2,51
1
|
|
Счетчик
реактивной энергии
|
СР4-Ы689
|
2,5
|
|
ВЛ
35кВ
|
Амперметр
|
Э-335
|
0,5
|
|
Счетчик
активной энергии
|
САЗ-Ш89
|
2,5
|
|
ВЛ
10кВ
|
Амперметр
|
Э-335
|
0,5
|
|
Счетчик
активной энергии
|
САЗ-11689
|
2,5
|
|
Счетчик
реактивной энергии
|
СР4-Ш89
|
2,5
|
Таблица 1.18- Выбор ТТ в цепи
110кВ
|
Расчетные
данные
|
Каталожные
данные РНД3-2-35/1000УХЛ1
|
|
Uн, уст
|
110кВ
|
Uн,а
|
35кВ
|
|
I раб,max
|
80,4.А
|
I н,а
|
1000
А
|
|
Jіy
|
4,04
кА
|
J пр,с
|
80
кА
|
|
Bk
|
3,2
кАІс
|
IІT
· tT
|
31.5І·
4кАІ.с
|
|
|
1,181
Ом
|
|
1.2
Ом
|
|
|
5.9
ВА
|
|
------
|
Принимаем кабель АКРВГЧ4
Выбор ТТ в цепи СН трансформатора производится в
таблице 1.19
электрический сеть
нагрузка надежность
Таблица 1.19
Выбор ТТ в цепи СН
трансформатора
|
Расчетные
данные
|
Каталожные
данные ТФЗМ - 35А/У1
|
|
|
35кВ
|
|
35
кВ
|
|
|
264.2
А
|
|
300
А
|
|
|
1.18
кА
|
|
31
кА
|
|
|
2к
|
(
|
38.92
к
|
|
|
1.075
Ом
|
|
2
Ом
|
гТак как по условию прочности
сечение не должно быть меньше 4мм2 по ПУЭ[4], то в качестве
соединительных проводов принимаем кабель АКРВГЧ4 мм2
Условие (1.42) выполняются. ТТ
данного типа подходит.
Выбор ТТ в цепи НН
трансформатора производится в таблице 1.20
Из таблицы 1.17
6
ВА
Таблица 1.20
Выбор ТТ в цепи НН
трансформатора
|
Расчетные
данные
|
Каталожные
данные ТОЛ - 10 У2
|
|
|
10кВ
|
|
10
кВ
|
|
|
880.8
А
|
|
1000
А
|
|
|
0.842
кА
|
|
100
кА
|
|
|
13.69 к
|
|
31.
к
|
|
|
0.4
Ом
|
|
0.4
Ом
|
В соответствии с ПУЭ принимаем
кабель АКРВГЧ4мм
Условие (1.42) выполняется. ТТ
данного типа подходит. Выбор ТТ на ВЛ-35кВ (таб. 1.21) проводится аналогично
Таблица 1.21
Выбор ТТ на линии 35кВ
|
Расчетные
данные
|
Каталожные
данные ТВ - 35-II-
300/5
|
|
|
35кВ
|
|
35 кВ
|
|
|
264.2
А
|
|
300 А
|
|
|
1.18
кА
|
|
1.6
кА
|
|
|
2к
|
|
к
|
|
|
0.07
Ом
|
|
1.2
Ом
|
Из таблицы 1.16
3 ВА
Принимаем кабель АКРВГЧ4мм
Условие (1.42) выполняется.
Выбор ТТ на ВЛ-10 кВ приведен в таблице 1.22.
Из таблицы 1.16
0.5+2.5+2.5=5.5 ВА
Таблица
1.22
Выбор ТТ на В Л-10 кВ
|
Расчетные
данные
|
Каталожные
данные ТОЛ - 10 У2
|
|
|
10кВ
|
|
10
кВ
|
|
|
440.4
А
|
|
500
А
|
|
|
0.842
кА
|
|
52
кА
|
|
|
13.6 к
|
|
9.
к
|
|
|
0.37
Ом
|
|
0.4
Ом
|
Принимаем кабель АКРВГЧ4мм2
Условия проверок и выбора выполняются. ТТ
выбраны. В качестве соединительных проводов принят кабель марки АКРВГЧ4
.6.3.2 Выбор трансформаторов
напряжения
Выбор производим по
номинальному напряжению, роду установки, конструкции, классу точности,
вторичной нагрузке. Расчет вторичной нагрузки производится в таблице 1.23.
Полную нагрузку ТН находим по формуле:
На 10 кВ:
На 35 кВ:
На 10 кВ принимаем ТН типа
НТМИ-10-66УЗ
класс точности - 0.5
Условие (1.47) выполняются. На
35кВ принимаем ТН типа ЗЧНОМ-35 -65У1:
класс точности - 0,5
Условие (1.47) выполняются
Сечение измерительных проводов
от ТН до измерительных приборов определяем по условию допустимых потерь
напряжения.
где
- вторичное
номинальное напряжение ТН, В;
Р2 - потребляемая
активная мощность приборами, Вт;
- длина проводов
вторичной цепи, м;
- удельная
проводимость, м/Ом- мм
Так как во вторичной цепи ТН
имеются счетчики:
По условию механической
прочности принимаем кабель АКРВГЧ2.5мм2
Таблица 1.23
Вторичная нагрузка ТН
|
Напряжение
|
Наименование
прибора
|
Тип
|
ВА
|
Число
обмоток
|
Cos
|
Sin
|
Число
приборов
|
Потребляемая
мощность
|
|
Ваттметр
|
Д-35
|
1,5
|
2
|
1
|
0
|
1
|
3
|
0
|
|
Счетчик
|
САЗ
|
2
|
2
|
0,38
|
0,925
|
5
|
20
|
48.7
|
|
активной
|
Ш81
|
|
|
|
|
|
|
|
|
10кВ
|
энергии
|
|
|
|
|
|
|
|
|
|
Счетчик
|
СР4
|
3
|
2
|
0,380
|
0,925
|
5
|
30
|
72,5
|
|
реактивной
|
11689
|
|
|
|
|
|
|
|
|
энергии
|
|
|
|
|
|
|
|
|
|
Вольтметр
|
Э-35
|
2
|
1
|
1
|
0
|
1
|
2
|
0
|
|
Итого1
|
|
|
|
|
|
|
|
55
|
121.2
|
|
Ваттметр
|
Д-35
|
1,5
|
2
|
1
|
0
|
1
|
3
|
0
|
|
Счетчик
|
САЗ
|
2
|
2
|
0,38
|
0,925
|
-1
|
12
|
29.2
'
|
|
активной
|
Ш81
|
|
|
|
|
1
|
|
|
|
35кВ
|
энергии
|
|
|
|
|
|
|
|
|
|
Счетчик
|
СР4
|
3
|
2
|
0,38
|
0,925
|
1
|
6
|
14,5
|
|
реактивной
|
11689
|
|
|
|
|
|
|
|
|
энергии
|
|
|
|
|
|
|
|
|
|
Вольтметр
|
Э-35
|
2
|
1
|
1
|
0
|
1
|
2
|
0
|
|
Итого
|
|
|
|
|
|
|
|
23
|
43,7
|
1.7 Релейная защита и автоматика
подстанции
На проектируемой подстанции предусматриваются
защиты от следующих видов повреждений и ненормальных режимов:
. Трансформаторы защищаются
- от всех видов КЗ на выводах в обмотках и на
токопроводах (включая витковые замыкания в обмотках);
- от замыканий внутри бака мало
наполненных трансформаторов, сопровождающихся выделением газа, а также
понижением уровня масла в баках;
от токов внешних несимметричных и
симметричных КЗ;
от перегрузок обмотки.
2. Сборные шины 10 кВ.
- от замыканий между фазами;
- от двойных замыканий на землю и
двухфазных замыканий на землю в одной точке;
от замыканий на землю (с действием на
сигнал).
3. Сборные шины 110 кВ
- от межфазных и однофазных КЗ
4. Кабельные линии 10 кВ
- от многофазных замыканий
- от однофазных замыканий с действием на
сигнал
5. Линии напряжением 110 кВ
- от замыканий на землю (однофазных и
многофазных);
- от замыканий между фазами.
Проведем расчет релейной защиты силовых
трансформаторов Т1 иТ2. Используем дифференциальную токовую защиту (ДЗТ) от
всех видов повреждений на выводах трансформатора (расчет ДЗТ приведен в таблице
1.24). Защита выполняется на реле с торможением типа ДЗТ - 11/3); максимальную
токовую защиту с установкой отстройки, принятой по условию отстройки от
номинального тока трансформатора.
Расчет показал, что защиты обладают достаточной
чувствительностью.
Таблица
1.24
Выбор релейной защиты
|
Наименование
величины
|
Обозначение
и метод определения
|
Числовое
значение
|
|
|
110
кВ
|
35
кВ
|
10кВ
|
|
1
|
2
|
3
|
|
Первичный
ток на сторонах защищаемого трансформатора, соответствующий его номинальной
мощности, А
|
|
|
|
|
|
Схема
соединения трансформаторов тока
|
-
|
Y
|
Y
|
∆
|
|
Коэффициент
трансформации трансформаторов тока
|
КI
|
600/5
|
900/5
|
1500/5
|
|
Вторичный
ток в плечах защиты, соответствующий номинальной мощности защищаемого
трансформатора
|
|
|
|
|
|
Дифференциальная
защита трансформатора выполнена на реле ДЗ1-11/3
|
|
Первичный
ток срабатывания защиты, выбранной по условию отстройки от броска тока
намагничивания
|
Iкз≥Кн*Iном
|
1,5*80,33=120,5
|
|
Минимальный
ток срабатывания на основной стороне (10 кВ), А
|

|
|
|
Расчетное
число витков рабочей обмотки насыщающегося трансформатора реле для основной
стороны (10 кВ)
|

|
|
|
Предварительно
принятое число витков для установки на основной стороне (10 кВ), А
|
Wосн.раб
|
13
|
|
Соответствующий
минимальный ток срабатывания на основной стороне (10 кВ), А
|

|
|
|
Расчетное
число витков рабочей обмотки насыщающегося трансформатора реле для установки
на стороне 35 кВ
|
|
|
|
Предварительно
принятое число витков для установки на стороне 35 кВ
|
WI.раб
|
28
|
|
Расчетное
число витков рабочей обмотки насыщающегося трансформатора реле для установки
на стороне 110 кВ
|
|
|
|
Предварительно
принятое число витков для установки на стороне 110 кВ
|
WI.раб
|
92
|
|
Окончательно
принятое число витков обмотки насыщающегося трансформатора реле для установки
на основной (10 кВ) и не основной (110 кВ) сторонах
|
На
стороне 10 кВ Wосн.раб
На
стороне 35 кВ На стороне 110 кВ
|
13
28 92
|
|
Первичный
расчетный ток небаланса с учетом составляющей IIIIнб.расч,
максимальный режим, точка КЗ К-2, А
|
|
(1*1*0,1+0,16)*200+
+
|
|
Расчетное
число витков тормозной обмотки насыщающегося трансформатора реле, выполненной
на стороне 10 кВ
|

|
|
|
Принятое
число витков тормозной обмотки, вит
|
Wторм
|
18
|
|
|
|
|
|
|
Расчетная чувствительность защиты в
максимальном режиме при фвухфазном КЗ, точка КЗ К2
Fрасч=Iрасч,в*WI,раб
4140/1000=4,11>2
,1*92=4140
|
(1,5*900)(1500*15)=45,1
|
|
|
|
Максимальная
токовая защита. Сторона ВН
|
|
Первичный
ток срабатывания защиты определяется по условию отстройки от номинального
тока трансформатора, А
|

|
|
|
Вторичный
ток срабатывания защиты, А
|
 реле РТ - 40/6
|
|
|
Чувствительность
защиты, точка КЗ К2
|
 >1,5
|
|
1.8 Измерение и
учет электроэнергии
Контроль за режимом работы
основного и вспомогательного оборудования на подстанции осуществляется с
помощью контрольно-измерительных приборов (КИП).
Выбор КИП и места их установки
произведен в п. 1.6.3. на основании таблицы 1. 11 [2]. Перечень приборов, их
типы, места установки представлены в таблицах 1.16 и 1.23.Система учета и
измерений содержит необходимый минимум измерительных приборов и не допускает
необоснованного дублирования. Выбранные трансформаторы тока и напряжения имеют
необходимые классы точности.
.9 Выбор
оперативного тока и источников питания
Вид оперативного тока
определяется типами выбранных выключателей (проводов), а также релейной защиты.
В качестве оперативного тока, исходя из вышесказанного, принимаем напряжение
220 В.
В качестве источников
переменного оперативного тока используем измерительные трансформаторы
напряжения и трансформатор собственных нужд.
.10 Собственные
нужды подстанции
Для определения мощности
трансформатора собственных нужд составляем ведомость ожидаемых нагрузок таблица
1.26.
Таблица 1.26
Расход на СН подстанции
|
Электроприемники
СН
|
кВт
|
Количество
приемников, Шт.
|
кВт
|
|
1.
Подогрев выключателя С-З5м-650
|
2,8
|
5
|
14
|
|
2.
Охлаждение трансформатора ТДТН-16000
|
2
|
2
|
4
|
|
3.
Подогрев проводов
|
0,6
|
15
|
9
|
|
4.
Подогрев шкафов КРУН
|
1,0
|
10
|
10
|
|
5.
Подогрев шкафов рел. аппарат.
|
0,5
|
12
|
6
|
|
б.Освещение
ОРУ ПОкВ
|
0,5
|
2
|
0,5
|
|
7.Освещение
ОРУ 35кВ
|
0,5
|
2
|
1
|
|
8.
Освещение порталов ЮкВ
|
0,5
|
2
|
0,5
|
|
9.Оперативные
цепи
|
1,8
|
-
|
1,8
|
|
Итого
|
-
|
-
|
46,8
|
|
|
|
|
|
|
Мощность ТСН:
где Кс = 0,7 -
коэффициент спроса
cos
=0.98
Принимаем два трансформатора
ТМ-10/0,4, S = 63кВА
.11 Регулирование
напряжения на подстанции
В целях обеспечения отпуска
проектируемой подстанцией электроэнергии высокого качества предусматривается
регулирование напряжения. Для поддержания отклонения напряжения на зажимах
электроприемниках в пределах установленных ГОСТ 13109-97 и изменением N 1 к п.
2.3 этого ГОСТ устанавливаемые на подстанции трансформаторы приняты типа
ТДТН-16000/110 с устройством автоматического регулирования под нагрузкой в
пределах ±9-1,78%.
При этом поддерживается
напряжение на шинах 10 кВ подстанции в пределах не ниже 105% номинального в
период наибольших нагрузок и не выше 100% номинального в период номинальных
нагрузок сетей 10 кВ, присоединенных к подстанции.
1.12 Выбор
конструкции распредустройств, компоновка сооружений на площадке подстанции
Компоновка РУ произведена
согласно ПУЭ [4], исходя из минимально допустимых расстояний и габаритов.
При выборе площадки подстанции
были учтены все экологические требования.
Распредустройства 110/35/10 кВ
выполнены открытого типа и сооружаются по типовым проектам института
«Теплоэлектропроект». Они выполняются из сборного железобетона. Ошиновка ОРУ -
гибкая, из сталеалюминевых проводов. Соединения выводов 10 кВ силовых
трансформаторов с КРУН выполняется гибким токопроводом.
Стойки опорных конструкций
устанавливаются в высверленные ямобуром котлованы диаметром 600-800 мм с
последующей заделкой пазух песчано-гравийной смесью с послойным уплотнением.
Фундаменты под силовые трансформаторы из сборных железобетонных плит с укладкой
их на гравийною балластную подушку.
Ограждение подстанции принято бесстолбового
типа по проекту института «Энергосетьпроект».
Прокладка силовых и контрольных
кабелей производится в подземных железобетонных лотках и траншеях.
2. Плавка гололеда
Отложение гололеда, изморози и
мокрого снега представляет большую опасность для нормальной эксплуатации
воздушных линий электропередачи. Отложение гололеда могут вызвать:
а) разрегулировку проводов и
тросов и их сближение между собой,
б) сближение проводов и тросов
при их падении вследствие неодновременного сброса гололеда;
в) пляску проводов;
г) обрыв проводов и тросов;
д) разрушение опор;
е) перекрытие линейной изоляции
воздушных линий электропередачи вследствие значительного снижения льдоразрядных
характеристик изоляторов по сравнение с влагоразрядными характеристиками, по которым
обычно выбирается необходимый уровень линейной изоляции.
Наиболее эффективным средством
борьбы с гололедом является плавка гололеда. Она позволяет в короткий срок
удалить гололед.
При проектировании воздушно
линии, трасса, которой проходит в районах гололедности, а так же в районах
интенсивной и частой пляски проводов, плавку гололеда рекомендуется
предусматривать на проводах линий напряжением до 220 кВ включительно. Плавка
гололеда на проводах должна предусматриваться в случаях, когда возможно приближение
освободившихся от гололеда проводов и тросам, покрытым гололедом.
Источники питания схем плавки
гололеда должны быть размещены на наиболее крупных узловых подстанциях
энергосистемы из числа расположенных на генплане.
Плавку гололеда следует
начинать при достижении нормативных гололедно-ветровых нагрузок на проводах.
Чтобы обеспечить данное требование на всех линиях, взаимосвязанных по режиму
плавки гололеда, следует учитывать реальные нагрузки и направление
гололедонесущего потока по отношению к трассе воздушных линий, поэтому на части
линий плавку гололеда следует начинать заблаговременно. Оче- редность плавки
определяется с учетом ответственности потребителей и наличия резервного
питания.
Минимально необходимое
количество установок плавки гололеда в электрической сети должно быть
достаточным для выполнения плавки гололеда на всех воздушных линиях за 12 часов
для сети 110 кВ и за 8 часов для сети 35 кВ.
Как правило, схема плавки
гололеда должна вводится в работу не позднее, чем за 1 час после команды диспетчера
о применении плавки.
С этой целью должны быть
заранее проработаны последовательность всех операций по сборке схемы плавки и
выполнения мероприятий, обеспечивающих их быстрое завершение. Для сборки схемы
плавки гололеда должны использоваться коммутационные аппараты (выключатели,
разъединители, отделители) с дистанционным управлением и лишь в отдельных
случаях - с применением ручных приводов. Временные соединения, которые
собираются на болтах, шлейфы, накладки, зако-ротки и т.п., не допускаются.
Сборка и разборка схем плавки
гололеда производится по специальным программам, предусматривающим выдачу
диспетчером комплексных оперативных заданий с учетом максимально возможной
одновременности производства операций, включая необходимые изменения в релейной
защите. Во всех случаях необходимо предусмотреть блокировки от ошибок при
сборке схем плавки гололеда.
Релейная защита устройств
плавки гололеда и электроустановок, питающих эти устройства, должны
соответствовать требованиям ПУЭ и Руководящих указаний по проектированию
установок плавки гололеда.
При определении токов и
времени, плавки необходимо учитывать энергию на расплавление льда, на
теплоотдачу в окружающую среду и на нагрев провода до температуры, при которой
может начинаться плавление льда.
Плавку гололеда следует
производить, возможно, большими токами, что позволяет быстрее завершить ее и
восстановить нормальную схему работы сети. Одновременно это способствует
уменьшению затрат электроэнергии на плавку, поскольку энергия, отдаваемая в
окружающую среду, непосредственно зависит от длительности обогрева, Режим
плавки гололеда должен выбираться по наиболее обледененному участку линии,
поэтому плавка будет продолжаться и тогда, когда в местах с меньшей толщиной
стенки, гололед освободит провода, и они начнут интенсивно нагреваться, При
неравномерном обледенении воздушной линии могут встречаться участки, на которых
гололед вообще не образовался. Поэтому предельный ток плавки гололеда должен
выбираться с учетом нагрева провода (троса), на котором не было гололеда.
Допустимая температура нагрева
провода определяется двумя условиями:
сохранением механической
прочности провода (таблица 2.1);
приближением во время плавки
провода к земле или пересекаемым объектом.
Таблица 2.1
Допустимая температура нагрева
проводов при плавке гололеда по условию механической прочности
|
Провода
|
Допустимая
температура нагрева проводов,
|
|
Длительный
режим
|
Повторно-кратковременный
режим.
|
|
Алюминиевые
|
90
|
120
|
|
Медные
|
90
|
120
|
|
Сталеалюминевые
|
100
|
130
|
|
Из
сплавов АЖ, АН.
|
80
|
100
|
На время плавки гололеда с
учетом ее кратковременности допустимые расстояния между проводами и землей или
пересекаемым объектом приведены в таблицах 2.2 и 2.3.
При определении наибольших
допустимых тонов плавки температуру воздуха и скорость ветра принимают по
наблюдениям метеорологических станций или гололедных постов на участках со
слабым гололедом или в местах, где он не образуется в момент проведения плавки
гололеда.
Таблица 2.2
Наименьшие расстояния между
проводами ВЛ и землей или пересекаемым объектом, допустимые во время плавки.
|
Объект,
пересекаемый ВЛ. Напряжением 35 - 110кВ
|
Расстояние
до объекта, м.
|
|
Поверхность
земли:
|
|
|
Ненаселенная
местность
|
5
|
|
Населенная
местность
|
6
|
|
Провода
линии связи
|
2
|
|
Железные
дороги широкой колеи
|
6,5
|
|
Автомобильные
дороги
|
6
|
Таблица 2.3
Наименьшее расстояние между
проводами или между проводами и тросами пересекающихся ВЛ, допустимые на время
плавки
|
Длина
пролета ВЛ, м
|
Расстояние
между проводами, проводами и тросами (м) при расстоянии от места пересекающихся
ВЛ, допускаемые на время плавки.
|
|
30
|
50
|
70
|
100
|
120
|
150
|
|
ДО
200
|
2
|
2
|
2
|
3
|
-
|
-
|
|
300
|
2
|
2
|
3
|
3,5
|
4
|
-
|
Определение наибольших
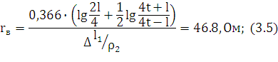
допустимых токов плавки может быть произведено по формуле:
где
-
наибольший допустимый ток плавки, А;
- сопротивление 1
метра провода или троса при допустимой температуре
провода, Ом;
d
- диаметр провода или троса, см;
- постоянная
лучеиспускания (для медных и алюминиевых проводов имеет значение порядка 0,6;
для стальных тросов порядка 0,3);
допустимая
температура нагрева провода, °с;
- температура
воздуха °с;
и - скорость ветра, м/с.
Формула (2.1) применяется для погоды
со скоростью ветра менее 1м/с, а формула (2.2)-со скоростью ветра более 1м/с.
Время плавки гололеда зависит
от значения тока, размеров и плотности гололедно-изморозовых образований, их
формы, скорости ветра и температуры воздуха.
Расчет требуемого типа и
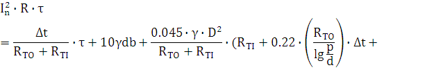
времени плавки в длительном режиме может быть произведен по формуле:
(2.3)
где
-
ток плавки гололеда, А;
R
- сопротивление 1 метра провода или троса при 0 с;
τ
- время плавки, ч;
∆t
- разность между температурой провода и воздуха, 0°с;
- объемный вес
гололеда, г/см '
d
- диаметр провода, см;
b
- толщина стенки гололеда, см;
D-
внешний диаметр провода с гололедом, см;
- тепловое
сопротивление 1 метра гололедного цилиндра при переходе от
внутренней к наружной поверхности, м°с/Вт
- тепловое
сопротивление при переходе с 1 м длины наружной поверхности обледенелого
провода в воздухе, м°с/Вт;
λ
- коэффициент теплопроводности, для льда принимается равным 2,27-10-2,
а для измороси:
, Вт/см°с(2.7)
с - теплоемкость материала
провода, для стали 0,462, для алюминия 0,92, для меди 0,38.,
- объемный вес
материала провода, г/см3,
S
- сечение провода, с
.
Существуют графики зависимости
тока и времени плавки гололеда, пользуясь которыми можно определить требуемые
значения токов при различной длительности плавки для характеристик практических
случаев.
Учитывая возможное изменение
погодных условий и погрешности в определении размеров, плотности гололеда и
сопротивления проводов для обеспечения надежной плавки ее продолжительность
следует увеличить на 20-30% по сравнению с расчетной.
При профилактическом нагреве
проводов повышают тоновую нагрузку линии до значения, при котором отложения
гололеда на проводах не происходит. Для этого необходимо, чтобы температура
провода при гололедообразовании была выше 0
.
При температуре воздуха около нуля и ветрах со скоростью 1-2 метра в секунду,
характерных для целого ряда случаев обледенения, профилактический нагрев может
применяться вполне успешно. При скоростях ветра более 3-4 метра в секунду и
температурах воздуха ниже -9°с профилактический нагрев больших токов.
Профилактический нагрев проводов применяется в случаях, когда гололед
захватывает ограниченную часть сети, где могут быть повышены токи до требуемого
значения.
Ток профилактического нагрева
может быть рассчитаны по формулам (2.1) и (2.2), С учетом температуры провода,
равной +1 с.
Выбор источника питания схем
плавки гололеда определяется протяженностью прогреваемых ВЛ, сечением их
проводов, главной схемой соединения и мощностью оборудования подстанций, от
которых проводится плавка.
При плавке гололеда коротким
замыканием обогреваемую линию следует закоротить с одного конца, а с другого к
ней необходимо подвести напряжение, достаточное, чтобы обеспечить протекание по
проводам требуемого для плавки тока.
Плавка гололеда может
производиться путем:
трехфазного короткого
замыкания;
двухфазного короткого
замыкания;
однофазного короткого замыкания
при последовательном соединении проводов.
всех фаз.
При плавки для
вышеперечисленных схем соответственно определяется по формулам:
где
-
линейное напряжение, кВ;
- сопротивление
фазы обогреваемой линии, Ом/км;
- сопротивление
обогреваемой линии, провода которой собраны в «змейку», Ом/км;
- сопротивление
заземления, Ом.
где
-
сопротивление провода, Ом/км;
- сопротивление
земли, принимается равным 0,05 Ом/км;
- среднее
геометрическое расстояние между осями проводов ВЛ, м;
- расчетный
диаметр провода, м;
- глубина залегания
обратного провода в земле
1000 м.
Метод трехфазного короткого
замыкания является простым и удобным, поскольку плавка гололеда производится
сразу на всех фазах.
При применении способа
двухфазного короткого замыкания плавку гололеда на линии следует производить на
двух фазах, а затем третей в сочетании с одним из освободившихся от гололеда
проводов.
Схему «змейка» следует
применять на коротких линиях, когда имеющиеся напряжения слишком велики для
плавки по методу трехфазного короткого замыкания. При плавке гололеда на ВЛ
3.5-110 кВ по методу трехфазного и двухфазного короткого замыкания допускается
закорачивание проводов заземляющими ножами, если их спуск по контору заземления
проверен на термическую устойчивость.
Ток и время плавки гололеда на
стольных тросах могут быть рассчитаны по формулам (2.1) и (2.2).
Высокое сопротивление тросов
позволяет существенно снизить требуемый ток плавки гололеда по сравнению с
токами плавки на проводах. Поскольку включение тросов для плавки не влияет на
передачу энергии по линии, их обогрев может производиться заблаговременно и
более длительно. Это позволяет увеличить практический диапазон токов плавки.
Сопротивление троса
складывается из активного, внутреннего и внешнего индуктивных сопротивлений.
Значение активного и
внутреннего индуктивного сопротивлений троса зависит от значения протекающего
тока и принимаются из зависимостей (рисунок 32 [5]).
Средние значения внешнего
индуктивного сопротивления троса могут быть приняты в соответствии с данными
таблицы 7.1 [5].
Полное сопротивление троса:
где
-
активное сопротивление троса, Ом/км;
- 0,005
Ом/км-сопротивление земли;
- внутреннее
индуктивное сопротивление троса, Ом/км;
-внешнее
индуктивное сопротивление троса, Ом/км;
Переменный ток плавки:
Сопротивление заземления троса,
по возможности, должно быть небольшим, потому рекомендуется усиливать контур
заземления опоры, на которой устанавливается закоротка до значений, не
превышающих 4 Ом.
Расчет плавки гололеда
производим для воздушных линий 11О кВ ПС «Барыш» - ПС «Тимошкино» Марка и
сечение провода -АС- 120/9.
В качестве грозозащитного троса
применяется многопроволочный стальной канат ТК - 9,1, сечением 48,64 мм2.
Район климатических условий по
гололеду - III, по ветру -
IV. Ог = -4,9°с.
Расчет плавки гололеда на тросе
ВЛ 110 кВ ПС «Барыш» - ПС «Тимошкино»
Линия защищена тросом ТК- 9,1.
Протяженность линии- 88,7 км.
Напряжение источника питания
плавки гололеда Ипл = 38,5 кВ.
Для плавки гололеда на тросе в
течении одного часа требуется ток 40 А.
Находим полное сопротивление
троса по формуле (2.11). Для этого определяем:
=3,16 Ом/км по
рисунку 32 (а) [5];
= 0,774 Ом/км по
рисунку 32 (б)[5];
= 0,77 Ом/км по
таблице 7.1[5];
Схема плавки «Трос - земля».
= 0,05 Ом/км.
=3.568 Ом/км
где L
- протяженность линии, км.
Принимаем напряжение плавки
гололеда 38,5 кВ. Режим плавки - током двухфазного короткого замыкания. Находим
ток плавки по формуле (2.12):
По приложению 2[15] находим
время плавки 40 минут.
Плавка гололеда на тросе
воздушной линии 110 кВ, Ь=88,7 км, ТК-9,1 может осуществляться напряжением 38,5
кВ током двухфазного короткого замыкания в течение 40 минут.
В соответствии с ПУЭ и
«Методическими указаниями по плавке гололеда переменным током» МУ - 34 - 70 -
027 - 82 в проекте рассмотрена возможность плавки гололеда на проводах ВЛ 110
кВ ПС «Барыш» - ПС «Тимошкино».
Расчет выполнен на ЭВМ. Расчет
производился по следующим погодным условиям:
При этом рассматривались
варианты плавки гололеда напряжением 35 и 10 кВ трехфазным, двухфазным и
однофазным токами КЗ.
Результатами расчеты
представлены в таблице 2.4.
Плавка гололеда на проводах ВЛ
11ОкВ ПС «Барыш» - ПС «Тимошкино» длиной L=88,7
км (АС - 120) может осуществляться с ПС «Барыш» напряжением 37 кВ трехфазным
током короткого замыкания.
Для осуществления плавки
гололеда на ВЛ-110 кВ проектом предусмотрена установка закорачивающих
однополюсных разъединителей. Для осуществления плавки
гололеда на тросе необходимо на
ПС «Барыш» предусмотреть установку двух однополюсных
разъединителей для подключения троса и подачи напряжения на землю с
обходной системы или плавки гололеда.
3. Безопасность
подстанции
3.1 Анализ возможных
опасных и вредных факторов при монтаже и эксплуатации подстанции
Анализ проводим по перечню
опасных и вредных факторов. К активным, опасным и вредным, факторам относятся
те, которые могут оказать воздействие на человека за счет заключенных в них
энергетических ресурсов. По виду энергии -эта группа факторов подразделяется на
следующие подгруппы:
. Механические факторы,
характеризующиеся кинетической и потенциальной энергией. Данные факторы
представлены на проектируемой подстанции, так как при монтаже, объекты
используются различные механизмы и приспособления, имеющие движущиеся и
вращающиеся элементы, а так же средства транспорта и механизации работ. Кроме
того, при монтаже порталов подстанции, воздушных ЛЭП имеется потенциальная
опасность для работающих на высоте.
. Термические факторы,
характеризуются тепловой и анормальной температурой (отрицательной и
положительной). Такие факторы также присутствуют на проектируемом объекте.
При монтаже и ремонтных работах
используется сварочные аппараты. Температура достигает очень больших значений,
существует опасность тяжелых ожогов. Пайки проводов ВЛ иногда осуществляется
термитными шашками, что тоже представляет собой потенциальную опасность
получения ожогов. Эксплуатационному персоналу приходится работать на открытом
воздухе, иногда при аномальных микроклиматических параметрах - влажность,
температура воздуха, которые приводят к нарушению терморегуляции организма.
. Электрические факторы
наиболее опасны и распространены, учитывая специфику объекта. Электротравматизм
является наиболее опасным по своим последствиям для человека, по сравнению с
травматизмом, вызванным другими причинами. На подстанции имеется много открытых
токоведущих частей, высокое напряжение. Существует опасность поражения
электрическими факторами: электрическим током, статическим электричеством,
электрическим полем, аномальной ионизацией воздуха.
. Психофизиологические факторы.
Эти факторы опасны, прежде всего, тем, что снижают бдительность персонала,
осторожность. При-этом может произойти поражение другими опасными факторами. К
таким факторам относятся утомление, стресс, неудобная поза (например при
монтаже ВЛ) и т.п.
Остальные опасные и вредные
факторы проявляются в значительно меньшей степени.
Борьба с электротравматизмом
ведется устранением ее причин, разработкой мероприятий по безопасной
организации работ в электроустановках, применением защитных устройств,
пропагандой электробезопастности, обучением и повышением квалификации
персонала. Основными документами, определяющими условия безопасности в
электроустановках являются: ГОСТ, ПУЭ, ПТЭ и ПТБ.
При устройстве электроустановок
необходимо предусматривать исключение всякой возможности случайного
прикосновения к частям, находящимся под напряжением, исключение появления
опасного для персонала напряжения на металлических частях, нормально
находящихся без напряжения, обеспечение безопасных условий обслуживания
электрооборудования и электроустановок.
3.2 Освещение,
молниезащиты и заземление подстанции
.2.1 Освещение
Установка электрического
освещения выполняется в соответствии с требованиями ПУЭ и ведут его монтаж в
соответствии с требованиями СНиП. Освещение принимаем как у типового проекта.
Согласно п. 1.10 проекта для
наружного освещения проектируемой подстанции принимаются следующие мероприятия.
Для освещения ОРУ ПО кВ предусмотрена осветительная установка ОУ2 с лампой
накаливания НГ-220-500; 220 В; 500 Вт.
Для освещения ОРУ 35 кВ служит
осветительная установка ОУ2.
Освещение порталов 10 кВ
осуществляется двумя прожекторами типа ПЗС-35; 220 В; 500 Вт, установленными на
стойках отдельностоящих молниеотводов на высоте h=16,6
м. Согласно [6] нормированная освещенность должна быть не менее Е=5 лк. при k=1,5
- коэффициент запаса. Площадь, охватываемая изолюксой, имеет максимум при
определенном θ - угле наклона, и
принимать этот угол близким к оптимальным значениям, определяемый по световому
потоку Ф из таблицы [6].
Для ПЗС -35; 220 В; 500Вт при
Ф=1033,35 в интервале 900 - 1400 лм. θ
=24°.
В результате прожекторное
освещение обеспечивает освещенность 5 лк. Углы наклонов прожекторов в
вертикальной θ =24° и уточняются
по месту. Внутреннее освещение в шкафах КРУН-10 кВ осуществляется на напряжении
220 В лампами, которые устанавливаются в коридорах управления.
3.2.2 Молниезащита
В районе сооружения подстанции
продолжительность гроз в среднем за год составляет 42 часа. Необходимо защитить
проектируемую подстанцию от прямых ударов молнии. Для этого намечаем установку
двух молниеотводов на порталы 110кВ и отдельно стоящий молниеотвод. Задаемся
следующими величинами:
h
- высота молниеотвода;
h1,2
-
на приемных порталах 110 кВ;
h3
- отдельно стоящего;
h
x
- высота защищаемого объекта (определяемая по чертежу);
h
x
-11м - высота портала110кВ;
h
x!
-
6.3м - высота трансформатора;
L
- расстояние между молниеотводами:
L1.2
= 20м;
L1,3
=
L3,2
= 47м.
h1
= h2
= h1,2
= 19,35м,
h3
=
24,3м.
Итак, расчет ведется для трех
молниеотводов различных по высоте. Определяем очертания торцовых частей зоны
защиты.
Радиус защиты r
x:
где
-
активная высота молниеотвода,
На высоте 6.3 м:
Верхняя граница зоны защиты представляет собой
дугу окружности. Высота до нижней точки дуги
:
(3.3)
где р - коэффициент, р=1, т.к. h
h - высота меньшего
молниеотвода.
Определяем ширину зоны защиты Вх по
кривым, рисунок 12.3[7]
Находим необходимые
соотношения:
Из таблицы Вх:
На
высоте
6.3:
Из таблицы Вх:
Импульсное сопротивление
заземлителей для отвода токов молнии:
(3.4)
где R
- сопротивление растекания тока при 50 Гц, Ом;
- импульсный
коэффициент(0.7).[7]
Принимаем заземлитель из
стержневой стали d=12мм, l=
5м, соединенный стальной полосой 40Ч4 мм, расположенный по углам треугольника.
Определим сопротивление одного вертикального электрода:
Сопротивление горизонтальных
полос:
Суммарное сопротивление
заземляющего устройства.
Два молниеотвода на приемных
порталах 110 кВ и отдельностоящий молниеотвод высотой 24,3м обеспечивают защиту
подстанции от прямых ударов молнии с достаточной степенью надежности.
3.2.3 Заземление подстанции
Заземляющее устройство
подстанции должно обеспечивает в любое время года сопротивление растеканию тока
замыкания на землю, не превышающие 0,5 Ом. Контур выполняется из протяженных
стальных заземлителей сечением 40Ч4 мм. Эквивалентное удельное сопротивление
грунты составляет 100 Ом-м. Расчет представлен в таблице 3.2.
Таблица
3.2
Расчет заземляющего устройства подстанции по
допустимому сопротивлению растеканию. Исходные данные
|
Номер
параметра
|
Наименование
параметра
|
Единица
измерения
|
значение
|
|
1
|
Номер
климатической зоны
|
б/р.
|
2
|
|
2
|
Влажность
почвы перед измерением
|
б/р
|
2
|
|
3
|
Проводимость
системы «трос-опора»
|
1/ом
|
0
|
|
4
|
Номер
схемы
|
б/р
|
1
|
|
5
|
Глубина
заложения горизонтальных элементов
|
м
|
0
|
|
6
|
Минимальная
площадь под заземлитель
|
кв.м
|
2223
|
|
7
|
Максимальная
площадь под заземлитель
|
кв.м
|
100000
|
|
8
|
Площадь
в пределах ограды подстанции
|
кв.м
|
2223
|
|
9
|
Коэффициент
изменения площади
|
б/р
|
1.2
|
|
10
|
Минимальная
длина вертикальных электродов
|
М
|
0
|
|
11
|
Максимальная
длина вертикальных электродов
|
М
|
5
|
|
12
|
Шаг
изменения длина вертикальных электродов
|
м
|
2.5
|
|
13
|
Суммарная
длина подземной части ж/б стоек
|
м
|
42
|
|
14
|
Длина
подземной части ж/б стойки
|
м
|
2.2
|
|
15
|
Минимальное
напряжение на заземляющем устройстве
|
в
|
5000
|
|
16
|
Максимальное
напряжение на заземляющем устройстве
|
в
|
5000
|
|
17
|
Ток
короткого замыкания
|
А
|
3600
|
|
18
|
Признак
варианта расчета
|
б/р
|
111
|
|
19
|
Признак
печати
|
б/р
|
31
|
|
20
|
Число
измеренных слоев земли
|
слой
|
1
|
|
21
|
Удельное
сопротивление 1 слоя
|
Ом
|
100
|
|
38
|
1-е
граничное удельное сопротивление
|
Ом
|
500
|
|
39
|
2-е
граничное удельное сопротивление
|
Ом
|
500
|
|
40
|
1
-е минимальное допустимое сопротивление
|
Ом
|
0.5
|
|
41
|
2-е
минимальное допустимое сопротивление
|
Ом
|
0.5
|
|
42
|
Максимальное
допустимое сопротивление
|
Ом
|
5
|
|
43
|
Шаг
горизонтальных элементов
|
м
|
6
|
Оптимизация заземлителя по
сопротивлению растеканию
-ый параметр - вид варианта
расчета
-ый параметр - площадь под
искусственный заземлитель, кв.м.
-ый параметр - длина
вертикальных электродов, м.
-ый параметр - число
вертикальных электродов, шт.
-ый параметр - сопротивление
заземляющего устройства, Ом.
-ый параметр - допустимое
сопротивление заземляющего устройства, Ом.
-ый параметр - напряжение на
заземляющем устройстве, В.
-ый параметр - допустимое
напряжение на заземляющем устройстве, В
9-ый параметр - допустимое напряжение на
заземляющем устройстве, В
|
10-ый
параметр - экономический показатель заземляющего устройства, руб.
|
|
1
|
2
|
3
|
4
|
5
|
6
|
7
|
8
|
9
|
10
|
|
пром
|
2223
|
0
|
0
|
1.090
|
1.090
|
0.500
|
3925
|
5000
|
|
пром
|
2223
|
2.5
|
22
|
1.047
|
1.047
|
0.500
|
3767
|
5000
|
445
|
|
пром
|
2223
|
5
|
14
|
0.990
|
0.990
|
0.500
|
3564
|
5000
|
452
|
|
пром
|
2667
|
0
|
0
|
1
|
1
|
0.500
|
3598
|
5000
|
624
|
|
пром
|
2667
|
2.5
|
22
|
0.962
|
0.962
|
0.500
|
3461
|
5000
|
654
|
|
пром
|
2667
|
5
|
14
|
0.915
|
0.915
|
0.500
|
3292
|
5000
|
659
|
|
пром
|
3201
|
0
|
0
|
0.917
|
0.917
|
0.500
|
3300
|
5000
|
Й9
|
|
пром
|
3201
|
2.5
|
26
|
0.884
|
0.884
|
0.500
|
3181
|
5000
|
672
|
|
пром
|
3201
|
5
|
16
|
0.844
|
0.844
|
0.500
|
3037
|
5000
|
679
|
|
пром
|
3841
|
0
|
0
|
0.841
|
0.841
|
0.500
|
3027
|
5000
|
655
|
|
пром
|
3841
|
2.5
|
28
|
0.812
|
0.812
|
0.500
|
2923
|
5000
|
690
|
|
пром
|
3843
|
5
|
16
|
0.779
|
0.779
|
0.500
|
2803
|
5000
|
695
|
|
пром
|
4609
|
0
|
0
|
0772
|
0772
|
0.500
|
2771'
|
5000
|
673
|
|
пром
|
4609
|
2.5
|
30
|
0.746
|
0.746
|
0.500
|
2686
|
5000
|
710
|
|
пром
|
4609
|
5
|
18
|
0.718
|
0.718
|
0.500
|
2584
|
5000
|
'718
|
|
пром
|
5531
|
0
|
0
|
0.708
|
0.708
|
0.500
|
2549
|
5000
|
692
|
|
пром
|
5531
|
2.5
|
34
|
0.686
|
0.686
|
0.500
|
2467
|
5000
|
735
|
|
пром
|
5531
|
5
|
18
|
0.662
|
0.662
|
0.500
|
2384
|
5000
|
737
|
|
пром
|
6637
|
0
|
0
|
0.650
|
0.650
|
0.500
|
2339
|
5000
|
714
|
|
пром
|
6637
|
2.5
|
36
|
0.630
|
0.630
|
0.500
|
2268
|
5000
|
759
|
|
пром
|
6637
|
5
|
20
|
0.610
|
0.610
|
0.500
|
2297
|
5000
|
764
|
|
пром
|
7965
|
0
|
0
|
0.597
|
0.597
|
0.500
|
2148
|
5000
|
737
|
|
пром
|
7965
|
2.5
|
38
|
0.579
|
0.579
|
0.500
|
2084
|
5000
|
785
|
|
пром
|
7965
|
5
|
22
|
0.562
|
0.562
|
0.500
|
2023
|
5000
|
792
|
|
пром
|
9558
|
0
|
0
|
0.548
|
0.548
|
0.500
|
1972
|
5000
|
763
|
|
пром
|
9558
|
2.5
|
42
|
0.532
|
0.532
|
0.500
|
1914
|
500'0
|
815
|
|
пром
|
9558
|
5
|
22
|
0.518
|
0.518
|
0.500
|
1865
|
5000
|
818
|
|
пром
|
11470
|
0
|
0
|
0.503
|
0.503
|
0.500
|
1810
|
5000
|
'791
|
|
расч
|
11470
|
2.5
|
46
|
0.489
|
0.489
|
0.500
|
1758.
|
5000
|
848
|
|
расч
|
13764
|
5
|
0
|
0.462
|
0.462
|
0.500
|
1662
|
5000
|
821
|
Таблица 3.3
Электрические и геометрические
параметры заземляющего устройства при расчете по сопротивлению растеканию
|
Номер
параметра
|
Наименование
параметра
|
Единица
измерения
|
значение
|
|
1
|
Площадь
под искусственный заземлитель
|
кв.м
|
137664.233
|
|
2
|
Длина
вертикальных электродов
|
м
|
0
|
|
3
|
Число
вертикальных электродов
|
Шт.
|
0
|
|
4
|
Сопротивление
искусственного заземлителя
|
Ом
|
.
0.462
|
|
5
|
Сопротивление
заземляющего устройства
|
Ом
|
0.462
|
|
6
|
Допустимое
сопротивление заземляющего устройства
|
Ом
|
0.500
1
|
|
7
|
Сезонный
коэффициент сопротивления
|
б/р
|
1.031
|
|
8
|
Напряжение
на заземляющем устройстве
|
В
|
1662.637
|
|
9
|
Допустимое
напряжение на заземляющем устройстве
|
В
|
5000•
|
|
10
|
Экономический
показатель заземляющего устройства
|
руб.
|
821.761
|
Таблица 3.4
Расчетные параметры
электрической структуры земли для определения сопротивления заземляющего устройства
при расчете по допустимому сопротивлению растеканию
|
Номер
параметра
|
Наименование
параметра
|
Единица
измерения
|
значение
|
|
1
|
Номер
сезона предпроектных измерений
|
6/р
|
1
|
|
2
|
Номер
расчетного сезона
|
б/р
|
2
|
Эквивалентное
удельное сопротивление земли
|
Ом.м
|
103.147
|
|
4
|
Число
слоев расчетной структуры земли
|
слой
|
2
|
|
5
|
Расчетное
удельное сопротивление 1 слоя
|
Ом.
|
268.740
|
|
6
|
Расчетное
удельное сопротивление 2 слоя
|
Ом.м
|
100
|
|
7
|
Глубина
залегания 1 слоя
|
м
|
2
|
4. Экологическое
обоснование проекта подстанции 110/35/10 кВ «Кочетовка»
Окружающей средой называется
совокупность абиологической и биологической природы, окружающий растительный и
животный мир.
Живая природа-это единственный
источник, из которого человек черпает все средства для своего существования и
при этом активно вмешивается в природу. Одним из важнейших факторов влияния на
среду обитания человека и всего животного мира, является хозяйственная
деятельность, которая вносит существенные изменения в состояния биосреды.
Поэтому охрана природы имеет важное
значение. Термин «охрана природы», согласно ГОСТ 17.00.01-76 означает систему
мер, направленных на поддержание рационального взаимодействия между
деятельностью человека и природной системой, обеспечивающих сохранение и
восстановление природных богатств, рациональное использование природных
ресурсов.
Важное значение имеет
экологическое обоснование технических проектов. Экологическую экспертизу
необходимо проводить уже на стадии проектирования объекта. При этом без больших
потерь можно произвести доработку проекта, разработать необходимые мероприятия,
исключающие действие вредных факторов на окружающую среду.
В настоящем разделе
рассматривается экологическая обоснованность проекта подстанции
сельскохозяйственного назначения 110/35/10 кВ «Кочетовка».
На проектируемом объекте
существуют следующие вредные факторы, действующие на природную систему
отрицательно:
. Загрязнение
. Пожароопастность
. Шумовое загрязнение
. Электромагнитные излучения
Кроме того необходимо
рассмотреть проблему землеиспользования. Земля является основой растительного
мира, а следовательно важнейшим фактором среды обитания человека.
В нашем проекте отводится
площадь размерами 63Ч45 кв. метров под строительство подстанции. При этом
нагружается верхний почвенный слой земли, разрушается сложившаяся природные
почвы. Необходимо предпринимать меры по исключению этого отрицательного
воздействия на природную систему.
Согласно «Основ земельного
законодательства» предприятия и организации, осуществляющие строительство и
работы, связанные с нарушением почвенного покрова, обязаны снимать, хранить и
вновь наносить плодородные почвы на рекультивируемые земли.
Основными причинами
возникновения пожаров на объектах электрохозяйств являются, прежде всего,
нарушения инструкций и правил технической эксплуатации электроустановок, а
именно опасные нагревы обмоток силового трансформатора вследствие длительных
перегрузок, которые могут привести к загоранию изоляции; перегрузки проводов и
кабельных сетей; длительная работа сетей в режиме короткого замыкания вследствие
несрабатывания защиты; перегрев контактов в соединениях проводов и в
присоединениях их к зажиму электроприемников; перегрев и искрение контактов
коммутационных аппаратов; затяжное горение электрической дуги в отключающих
аппаратах.
Учитывая факторы пожароопасности
электроустановок, ПУЭ рекомендует допустимые температуры нагрева частей
электрических аппаратов, проводников и контактов, масло в трансформаторах и
других частей оборудования.
Для контроля температуры
открытых токоведущих частей шин распредустройств используются специальные
термопленки, которые изменяют цвет при нагревании. Температуру масла в силовых
трансформаторов контролируют термометром, который постоянно опущен в футляре
верхней части бака. Согласно правил технической эксплуатации температура масла
в баке трансформатора недолжна, превышать 95 с и температуру окружающего
воздуха более чем на 60 с.
Маслонаполненный силовой
трансформатор, содержащий большое количество горючего минерального масла,
представляет собой большую пожарную опасность в случае разрыва бака и вытекания
горючего масла при аварии. Чтобы уменьшить опасность распространения пожара при
такой аварии, при монтаже трансформатора под ним сооружается маслоприемная
бетонированная яма, в которую стекает горящее масло. Яма покрывается стальной
решеткой, поверх которой насыпается слой гравия. Эта мера служит для
предотвращения загрязнения окружающей среды. Объем маслоприемника должен
составлять не менее 20% от полного объема масла.
При эксплуатации
электроустановки персонал может выполнять работы, связанные с опасностью
возгорания горючих материалов, имеющихся на объекте электроснабжения. К таким
работам относятся газовая и электрическая сварка и резка металлов, пайка
соединений проводов и т.п.
Особенно опасно в пожарном
отношении огневые работы - сварка и резка металла, поскольку пламя
электрической дуги и газовой горелки может быть причиной воспламенения горючих
веществ, которые находятся в зоне работ. Электросварочные работы необходимо
выполнять в соответствии с требованиями ГОСТ 12.3.003-86 С.С.Б.Т.
При выполнении ремонтных работ
на подстанции необходимо выполнять соответствующие инструкции.
Источниками шумового
загрязнения является силовые трансформаторы ТДТН-16000/110. Производимые
низкочастотный шум относится к первому классу и не превышает допустимого уровня
90 дБ. С учетам наличия санитарно - защитной зоны вокруг подстанции и ее
отдаленности от жилого массива шумовым загрязнениям можно пренебречь.
Источником электромагнитных
излучений на подстанции является открытые РУ 11О и 35 кВ, а также подходящие и
отходящие воздушные линия. Напряженность электромагнитного поля ВЛ 110 кВ менее
1 В/м и частота 50 Гц не оказывает существенного влияния на организм человека
за пределами охранной зоны. В охранной зоне человек может находиться в течение
ряда лет без существенной опасности для здоровья. ВЛ 10 кВ по фактору
электромагнитного воздействия практически безопасны для человека. Размеры
охранных зон зависит от напряжения, и имеют следующие значения: ВЛ 110 кВ - 20
м; ВЛ 10 кВ - 10 м.
Согласно ПУЭ и ПТЭ, в охранных
зонах устраиваются насаждения из деревьев и кустарников, проводится
земледельческие работы.
Таким образом, отрицательное
воздействие на природную систему и здоровье человека не имеет место на
проектируемой подстанции, и соответствует требованиям ГОСТ 12.1.006-84.
При разработке настоящего
проекта учтены требования законодательства об охране природы и основ земельного
законодательства. Площадка подстанции размещена на малопродуктивной земле с
учетом рационального использования земельных угодий. Плодородный слой почвы в
месте бурения котлованов под опоры должен быть снят до начала бурения и
использован хозяйством. На участке строительства подстанции плодородный слой
снимается и вывозится в места, определенные землепользователем в дальнейшем
используется для улучшения и восстановления земельных угодий. Ширина площади
земельного участка, отводимого под строительство подстанции, определена по СН
465-74.
Для предотвращения загрязнения
окружающей территории при аварийном сбросе трансформаторного масла и
предотвращения распространения пожара проектом предусматривается сооружение
маслоприемников, закрытых маслоотводов и закрытого маслосборника.
Для пожаротушения на подстанции
предусматриваются следующие средства: пенные огнетушители, ящик с песком,
противопожарный инвентарь (лопаты, кирка, лом и т. д.).
Экологическая экспертиза
возможности воздействия проектируемой подстанции на окружающую среду позволяет
сделать вывод о том, что объект не оказывает отрицательного влияние на
природную систему и здоровье человека, следовательно, он соответствует
экологическим требованиям.
Заключение
Спроектированная подстанция
110/35/10кВ сельскохозяйственного назначения «Тимошкино».
Подстанция принята комплектной,
изготовления Самарского завода «Электрощит», тип 2КТПБ 110/35/10- 4-
2-16000-47У1 с неавтоматической перемычкой со стороны линии 110кВ.
Предусмотрено установить на подстанции 2 трансформатора ТДТН 16000/110 - 81У1 с
устройством автоматического регулирования напряжения под нагрузкой в пределах
±9-1,78%.
Предусмотрена плавка гололеда
на проводах и тросе ВЛ 110кВ ПС «Барыш» - ПС «Тимошкино».
Подстанция удовлетворяет
требованиям ПУЭ, соответствует экологическим требованиям.
Рассмотрены вопросы
безопасности подстанции.
Список
использованных источников
1. «Электротехнический справочник»: ТЗ. КН 1.
Производство и распределение электрической энергии. (Под общей редакцией Й.Н. и
др.) М: Энергоатомиздат, 1988г. 880стр.
. Рожкова Л.Д., Козулин В.С.
«Электрооборудование станций и подстанций». М: Энергоатомиздат, 1987г. 648 стр.
. «Электрическая часть станций и подстанций».
Справочные материалы для курсового и дипломного проектирования. И.П. Крючков,
Б.Н. Неклепаев. М: Энергоатомиздат; 1989г. 608 стр.
. «Правила устройства электроустановок». М:
Энергоатомиздат, 2002г. 763стр.
. «Методические указания по плавке гололеда
переменным током». Часть 1 МУ 34-70-027-82. М: Союзтехэнерго, 1983г. 111стр.
. «Осветительные установки». Г.М. Кноринг Л:
Энергоатомиздат, 1981г. 284 стр.
. «Проектирование электрической части станций и
подстанций». Ю.Б. ГУК, В.В. Каптан, С.С. Петрова. Л: Энергоатомиздат, 1985г.
312 стр.
. «Охрана труда в электрохозяйствах промышленных
предприятий». М: Энергоатомиздат, 1990г. 256 стр. Н.А. Чекалин, Г.Н. Полеухина,
С.А. Чекалина.
. «Справочник по проектированию
электрическихсетей». Под редакцией Д.Л. Файбисовича - М.: 2006 - 352с.
. Электрические станции и подстанции систем
электроснабжения // Методические указанияпо курсовому проектированию для
студентов специальности 0303/ В.Д. Куликов - Саратов, изд-во
Сарат.политехн.ин-та,1988.-35с.
. «Выполнение электрических схем по ЕСКД».
Справочник С.Т. Усатенко, Т.К. Качнюк. М: Издательство стандартов, 1992г. 316
стр.
.Шапиро В.Д.и др. Управление проектами (учебник
для вузов) - Спб: «Два ТРИ»,1996.-610с.
. Чернухин А.А., Флаксерман Ю.Н. Экономика
энергетики СССР. - М.: Энергоатомиздат, 1985 - 146с.
. Шаткин Б.Н. Расчеты по электроснабжению
промышленных предприятий. - Саратов,изд-во Сарат.политехн.ин-та,1980.-72с.
. Методические рекомендации по оценке эффективности
инвестиционных проектов и их отбору для финансирования. Официальное издание.
М.: Информ-энерго, 1994.-80с.