|
Номер группы
|
Значения
пределов групп по фактору Хl
|
Число элементов
в группе
|
Значения
показателя Y, соответствующие элементам группы
|
Групповые средние
|
|
1
|
2
|
3
|
4
|
5
|
|
1
|
l1 - l1n1Y11 Y12. …Yln1 1
|
|
|
|
|
2
|
l2 - l2n2Y21 Y22 …. Y2т2
|
|
|
|
|
.
|
|
|
|
|
|
.
|
|
|
|
|
|
m
|
|
nm
|
Ym1
Ym2 …. Ymnm
|
m
|
Найдем значение:
F=
(1.3)
где1=
(1.4)2=
(1.5)
Сравним полученное расчетное значение F с табличным F, найденным
по таблицам f-распределения на основе трех параметров: уровня значимости q%,
числа степеней свободы (m-1) и
(
) (1.6)
Если Fрасч. ≤ Fтабл., то влияние
соответствующего фактора признается несущественным. И наоборот, если Fрасч.
≥Fтабл, влияние фактора существенно.
Сформированный в результате описанной процедуры набор значимых
факторов используется на одной из последующих стадий исследования - при
построении уравнения множественной регрессии.
Число групп можно определять по формуле Стерджесса, методом
"сигм" или принять самостоятельно.
1.2
Методы выравнивания динамических рядов
Процесс развития общественных явлений во времени принято
называть динамикой, а показатели, характеризующие это развитие - рядами
динамики.
Ряды динамики, характеризующие уровни развития общественных
явлений на определенный момент времени, называются моментными рядами. Уровни
моментного ряда суммированию не подлежат. Моментные ряды могут быть полными и
неполными. Полный ряд характеризуется тем, что его уровни равно стоят во
времени. В неполном моментном ряду принцип равных временных периодов не
соблюдается.
Ряды динамики, характеризующие уровни развития общественных
явлений за определенный период, называются интервальными рядами динамики.
Количественное изменение рядов динамики характеризуют
следующие аналитические показатели:
) абсолютный прирост;
2) темп роста;
) темп прироста;
) абсолютное значение 1% прироста.
Величину, характеризующую изучаемое явление на определенный
момент или за данный период, называют уровнем ряда и обозначают через у. В
рядах динамики различают начальный, конечный и средний уровень ряда.
Средний уровень интервального ряда динамики рассчитывают как
среднюю арифметическую простую:

= 
(1.7)
где
- сумма уровней ряда;- число уровней.
Средний уровень полного моментного ряда (при равных отрезках
времени между датами) равен:

= 
(1.8)
1.3
Показатели анализа ряда динамики
Показатели анализа ряда динамики могут быть рассчитаны цепным
и базисным методами. Если за базу сравнения принимается неизменная величина, то
определяют базисные величины. Если база сравнения меняется, определяются цепные
величины.
Показатели анализа ряда:
) Абсолютный прирост
а) базисный Δу=yi - y0
(1.9)
б) цепной Δу=yi
- yi-1;
Δy=Δyn (1.10)
где Δуn - базисный абсолютный прирост за конечный
уровень.
) Коэффициент роста
а) базисный К
=
(1.11)
б) цепной К
=
; ПК
=К
(1.12)
) Темп роста - это коэффициент роста, выраженный в процентах,
т.е.:
а) базисный Т
= К
*100, % (1.13)
б) цепной Т
= К
*100, % (1.14)
4) Коэффициент прироста
а) базисный К
= К
-1 (1.15)
б) цепной К
= К
-1 (1.16)
) Темп прироста - это коэффициент прироста, выраженный в %:
Тприроста=Кпр*100 (1.17)
или Тприроста=Троста-100 (1.18)
1.4
Средние показатели ряда динамики
1) Средний абсолютный прирост - это обобщенная характеристика
индивидуальных абсолютных приростов:
(1.19)
где n - число уровней ряда.
) Средний темп роста 
= 
* 100, % (1.20)
) Средний темп прироста 
= 
- 100 % (1.21)
) Среднее значение 1% прироста: 
1% =
(1.22)
) Абсолютное значение 1% прироста определяется как отношение
абсолютного прироста к темпу прироста, выраженного в процентах:
А1%=
(1.23)
Посредством анализа динамических рядов решается еще одна важная
задача - характеристика тенденций в развитии явлений. Выявление основной
тенденции развития производится посредством выравнивания ряда динамики.
Этим недостатком не страдает другой способ выявления общей
тенденции - способ скользящей средней. Сглаживание с помощью скользящей средней
заключается в последовательном расчете среднего уровня, сначала из
определенного числа первых по счету уровней ряда, затем из того же числа
уровней ряда, но начиная уже со второго по счету уровня ряда, далее из того же
числа уровней ряда, но начиная с третьего уровня ряда и т.д. Таким образом, при
образовании групп уровней ряда, из которых рассчитывается скользящая средняя, в
каждой последующей группе отбрасывается начальный уровень предшествующей группы
и добавляется следующий по порядку уровень ряда.
Более сложный метод выявления основной тенденции развития - метод
аналитического выравнивания. В этом случае уровни ряда замещаются уровнями,
вычисленными на основе определенной кривой, которая выражает общую тенденцию
изменения во времени изучаемого показателя.
При аналитическом выравнивании ряда динамики изменяющийся уровень
показателя оценивается как функция времени.
t=f
(t) (1.24)
где Yt - уровни динамического ряда, вычисленные по
соответствующему аналитическому уравнению на момент времени.
Для экстраполяции данных (прогнозирования) используют показатели
среднего темпа роста и среднего абсолютного прироста при краткосрочном
стратегическом прогнозировании (КСП). При КСП предполагается, что выявленная
внутри ряда основная закономерность развития (тренд) сохраняется и при
дальнейшем развитии. Поэтому если в статистическом ряду нет резких колебаний
цепных показателей динамики, то для определения экстраполируемого уровня (yn+1)
применяются формулы:
а) по среднему абсолютному приросту (
)
n+1=yn+
*l (1.25)
б) по среднему темпу роста (
)
n+1=
yn (
) l (1.26)
При этом yn - конечный уровень ряда динамики с
вычисленными
или Тр- срок прогнозирования
(упреждения).
Для КСП может быть использован метод экстраполяции тренда на
основе аналитического выравнивания уровней ряда динамики, отображающего
динамику развития явления на отдельных этапах экономического развития.
Расчет экстраполируемого уровня (ytn+lt) производится
по формуле
tn+lt=b0+b1lt
(1.27)
где b0 и b1 - параметры модели тренда;t
- показания времени прогнозируемого периода (период упреждения).
.5
Методика построения множественного уравнения регрессии
Поскольку статистические явления органически связаны между
собой, зависят друг от друга и обуславливают друг друга, то необходимы
специальные статистические методы анализа, позволяющие изучать форму, тесноту и
другие параметры статистических взаимосвязей. Одним из таких методов является
корреляционный анализ. В отличие от функциональных зависимостей, при которых
изменение какого-либо признака - функции полностью и однозначно определяется
изменением другого признака-аргумента, при корреляционных формах связи
изменению результирующего признака соответствует изменение среднего значения одного
или нескольких факторов. При этом рассматриваемые факторы определяют
результирующий признак полностью.
Если исследуется связь между одним фактором и одним
признаком, связь называется однофакторной и корреляция является парной, если же
исследуется связь между несколькими факторами и одним признаком, связь
называется многофакторной и корреляция является множественной.
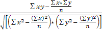
Силу и направление однофакторной связи между показателями
характеризует линейный коэффициент корреляции r, который исчисляется по формуле:
r=
(1.28)
Значение этого коэффициента изменяется от - 1 до +1. Отрицательное
значение коэффициента корреляции свидетельствует о том, что связь обратная,
положительная - связь прямая. Связь является тем более тесной и близкой к
функциональной, чем ближе значение коэффициента к 1. По формуле линейного
коэффициента (1.29) рассчитывают также парные коэффициенты корреляции, которые
характеризуют тесноту связи между парами рассматриваемых переменных (без учета
их взаимодействия с другими переменными). Показателем тесноты связи между
результативным и факторным признаками является коэффициент множественной
корреляции R. В случае линейной двухфакторной связи он может быть рассчитан по
формуле:
=
(1.29)
где r - линейные (парные) коэффициенты корреляции.
Значение этого коэффициента может изменяться от 0 до 1.
Коэффициент R2 называется коэффициентом множественной
детерминации и показывает, какая доля вариации изучаемого показателя
обуславливается линейным влиянием учтенных факторов. Значения коэффициента
находятся в пределах от 0 до 1. Чем ближе R2 к 1, тем большим
является влияние отобранных факторов на результирующий признак.
Завершающим этапом корреляционно-регрессионного анализа является
построение уравнения множественной регрессии и нахождение неизвестных
параметров а0, а1, …, аn выбранной функции.
Уравнение двухфакторной линейной регрессии имеет вид:
x=
а0+a1x1+a2x2 (1.30)
где yx - расчетные значения результирующего признака;1
и x2 - факторные признаки;
а0, а1, а2 - параметры уравнения.
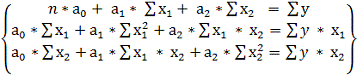
Для нахождения параметров уравнения а0, а1,
а2 строится система нормальных уравнений:
na0 + a1
+ a2
=
0
+ a1
+ a2
=
x1 (1.31)0
+ a1
+ a1
=
x2
Правильность расчета параметров уравнения регрессии может быть
проверена сравнением сумм фактических и расчетных данных. При этом возможно
некоторое расхождение вследствие округления расчетов.
1.6
Проверка адекватности регрессионной модели
Значимость коэффициентов регрессии (численностью до 30
единиц) осуществляется с помощью t-критерия Стьюдента. При этом вычисляют
расчетные (фактические) значения.
Для параметра а0: ta0=
Для параметра а1: ta1=
Для параметра а2: ta2=
где n-объем выборки;
- среднее квадратическое отклонение результативного признака у от
расчетных значений
;
- среднее квадратическое отклонение факторного признака х1
от среднего арифметического значения этого признака;
- среднее квадратическое отклонение факторного признака х2
от среднего арифметического значения этого признака.
Расчетные значения t-критерия Стьюдента сравнивают с табличными.
Табличные значения выбираются в зависимости от уровня значимости (
=0,05) и числа степеней свободы r=n-2 (n -
число факторных признаков в уравнении. Параметр считается значимым при условии,
если расчетное значение больше табличного.
1.7
Осуществление прогнозных расчетов
Основная задача данной стадии исследования - спрогнозировать
динамику выходного показателя всеми имеющимися в распоряжении способами, т.е. с
помощью темпов роста, уравнения тренда, множественного уравнения регрессии.
Важно подчеркнуть то обстоятельство, что статистическое
прогнозирование основано на экстраполяции сложившихся тенденций развития
исследуемого объекта и, следовательно, на предположении об определенной
устойчивости выявленных закономерностей. Поэтому в каждом конкретном случае
возможность экстраполяции, т.е. распространения на будущее закономерностей,
свойственных объекту в прошлом и настоящем, должна быть логически проверена и
обоснована.
После проведения обоснования устойчивости, неизменности в
перспективе сложившихся к данному моменту тенденций осуществление самих
прогнозных расчетов особых трудностей вызвать не должно.
При сохранении постоянного темпа роста
Yt+k=Yt*
(1.32)
В случае существования в динамике темпов роста какой-либо
выраженной тенденции и уверенности в том, что эта тенденция сохранится на
определенное время, вначале прогнозируется по соответствующему уравнению
регрессии Yt,t-1=f (t) значения темпов роста, а затем определяются
прогнозные значения исследуемого показателя, Yt+k (k=1, …, T), где Т
- продолжительность прогнозируемого периода.
Чтобы произвести прогноз показателя по уравнению тренда Yt=
(t), достаточно в это уравнение
подставить соответствующие значения фактора времени (t).
Множественное уравнение регрессии вызывает наибольшие трудности
при проведении прогнозных расчетов, так как наряду с изменением во времени
показателя, рассматриваемого в качестве выходного, неизбежно меняются и входные
характеристики (факторы).
Для выявления закономерностей движения факторов Хl (l=1,…,m)
следует воспользоваться методами, рассмотренными выше - темпами роста,
уравнением тренда, выбрав для каждого фактора соответствующий наиболее
эффективный способ оценки характера его изменения. Затем на основе обнаруженных
закономерностей необходимо найти прогнозные значения интересующих переменных Хl
(l=1,…,m), подставив их в множественное уравнение регрессии и осуществить
по нему прогноз показателя Y.
1.8
Оценка достоверности полученных прогнозов
Для оценки качества полученных прогнозов используется
следующий прием. Весь исходный для расчетов период времени делится на две
части. Одна из них, охватывающая более ранний период времени и включающая не
менее 2/3 уровней динамического ряда, используется для расчета параметров модели.
Другая, более поздняя, часть временного периода используется для контроля за
прогнозом, т.е. принимается условно за прогнозируемый период. Рассчитанные
"прогнозные" значения соответствующего показателя на каждый год
условно прогнозируемого периода сопоставляются с фактическими. Разности между
ними представляют ошибки прогноза.
Для определения размеров погрешностей или точности прогноза
показателя Y за весь условный прогнозируемый период может использоваться
коэффициент несоответствия Тейла:
КТ=
(1.33)
где Yi - фактическое значение показателя;
- прогнозное значение показателя;
Пр - продолжительность условного прогнозируемого
периода (число лет).
Числителем этого коэффициента является средняя квадратическая
ошибка прогноза, а знаменателем - квадратный корень из среднего квадрата
фактических значений показателя за условный прогнозируемый период. Этот
показатель изменяется от 0 до 1. Чем ближе его значение к 0, тем лучше
результаты прогнозирования.
Проверку статистической значимости модели можно осуществлять с помощью
дисперсионного анализа, который позволяет установить, изменяется ли
соответствующий показатель в значительной мере под влиянием отобранных факторов
или это изменение носит случайный характер.
С этой целью дисперсия по факторам
сравнивается с остаточной дисперсией
:
=
,
=
(1.34)
где Yi - фактическое значение моделируемого показателя
- средняя арифметическая фактических значений показателя (за моделируемый
период времени);
- расчетное значение показателя, т.е. полученное из уравнения
регрессии;- число наблюдений;- количество параметров в уравнении регрессии.
Определяется расчетное значение критерия Фишера
=
(1.35)
которое затем сравнивается с F табличным, найденным для заданного
уровня значимости q (обычно берут равным 0,05 или 0,01) для степеней свободы
числителя (m-2) и знаменателя (n - m-1). Если расчетное F больше F табличного,
то полученное уравнение регрессии статистически значимо.2.
2.
Расчетная часть
Оценить степень влияния фактора X, влияющего на выходной
показатель Y.
Таблица 2.1 - Динамика отдельных показателей развития.
|
Год
|
Y
|
|
|
|
|
1
|
2
|
3
|
4
|
5
|
|
1
|
3,14
|
51,5
|
108,4
|
78,5
|
|
2
|
3,18
|
55
|
107
|
78
|
|
3
|
3,37
|
59,6
|
108,4
|
78,7
|
|
4
|
3,26
|
61,6
|
107,9
|
78,4
|
|
5
|
3,18
|
66,6
|
103,3
|
78,1
|
|
6
|
3,2
|
76,5
|
111,5
|
77,2
|
|
7
|
3,13
|
81,3
|
107,3
|
76,5
|
|
8
|
3,02
|
84
|
107
|
76,1
|
|
9
|
3,05
|
92,8
|
104,7
|
75,9
|
|
10
|
3
|
97,2
|
107,1
|
75,2
|
|
11
|
2,9
|
105,6
|
108,6
|
74,6
|
|
12
|
2,86
|
107,1
|
104,5
|
75,5
|
|
13
|
2,8
|
110,5
|
103,7
|
75,3
|
|
14
|
2,74
|
120,1
|
106
|
74,8
|
|
15
|
2,7
|
120,1
|
100,7
|
74,6
|
|
16
|
2,63
|
130,2
|
102,2
|
73,8
|
|
17
|
2,55
|
149,4
|
103,7
|
74,5
|
|
18
|
2,5
|
157,2
|
103,5
|
74,6
|
|
19
|
2,44
|
166,5
|
105,6
|
74,2
|
|
20
|
2,38
|
170,1
|
102
|
74
|
- фондоотдача (выходной показатель);

- ввод в
действие основных фондов (в млрд. руб.);

- темпы роста капитальных вложений (в процентах к предыдущему году);

- удельный
вес в оборотных средствах запасов товарно-материальных ценностей (в
процентах).
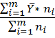
Определение существенности влияния показателей 
на Y, т.е. влияние удельного веса в оборотных средствах
запасов товарно-материальных ценностей на фондоотдачу.
Показатель 
удельный вес в оборотных средствах запасов
товарно-материальных ценностей (в процентах) распределяем на группы, определив
n = 5 (по формуле Стерджесса
=1+3,322*lgN=1+3,322*lg20=5,3186).
По формуле определим значение интервала.
Максимальное значение 78,7. Минимальное значение 73,8.
(78,7 - 73,8): 5 = 0,98.
Распределяем на группы с интервалом равным 0,98.
Таблица 2.2 - Расчеты отбора факторов, влияющих на выходной
показатель 
удельный вес в оборотных средствах запасов
товарно-материальных ценностей (в процентах).
|
Номер группы
|
Значение
пределов групп по фактору  Число элементов в группе (частота) Значения показателя Y,
соответствующие показателям группыГрупповые средние 
|
|
|
|
|
1
|
2
|
3
|
4
|
5
|
|
1
|
73,8 - 74,78
|
7
|
2,63; 2,38;
2,44; 2,55; 2,50; 2,70; 2,90.
|
2,5857
|
|
2
|
74,78 - 75,76
|
4
|
2,74; 3,00;
2,80; 2,86.
|
2,85
|
|
3
|
75,76 - 76,74
|
3
|
3,05; 3,02;
3,13.
|
3,0667
|
|
4
|
76,74 - 77,72
|
1
|
3, 20.
|
3, 20
|
|
5
|
77,72 - 78,7
|
5
|
3,18; 3,18;
3,26; 3,14; 3,37.
|
3,226
|
|
Всего
|
|
20
|
|
2,9015
|
Рассчитаем по формуле (2.1) групповые средние и подставим в
графу 5.

= 
(2.1)
где 
- число элементов, попавших в группу i,

- значения показателя Y, соответствующему j-му элементу в i-й
группе.

= 
≈ 2,5857

= 
= 2,85

= 
≈ 3,0667 
= 
= 3, 20

= 
= 3,226
Рассчитаем общую среднюю по формуле (2.2):

= 
(2.2)

= 
= 2,9015
Рассчитаем межгрупповую вариацию (дисперсию). Расчет представлен в
виде таблицы 2.3.
Таблица 2.3 - Расчет межгрупповой вариации (дисперсии).
Групповые средние 

- 
|
 * 
|
|
|
|
|
1
|
2
|
3
|
4
|
|
2,5857
|
-0,3158
|
0,0997
|
0,6979
|
|
2,85
|
-0,0515
|
0,0027
|
0,0108
|
|
3,0667
|
0,0273
|
0,0819
|
|
3,2
|
0,2985
|
0,0891
|
0,0891
|
|
3,226
|
0,3245
|
0,1053
|
0,5265
|
|
Всего
|
|
|
1,4062
|
Межгрупповая вариация (дисперсия) 
= 1,4062
Внутригрупповая или остаточная вариация (дисперсия) рассчитывается
как:

= 
+
+ 
+ 
+ 
+ 
+ 
+ 
+ 
+ 
+ 
+ 
+ 
+
+
+
+ 
+ 
+ 
+ 
= 0,2632
Тогда
= 
= 19,9744
Табличные значения F (Приложении А):
% предел 
= 5 - 1 = 4 
= 20 - 5 = 15 F = 3,06.
% предел F = 4,89.
Сравнивая расчетное и табличные значения видим, что F-расчетное
превышает табличные. Следовательно, влияние удельного веса в оборотных
средствах запасов товарно-материальных ценностей признается существенным.
Определение существенности влияния показателей 
на Y, т.е. влияние темпов роста капитальных вложений на
фондоотдачу.
Показатель 
темпы роста капитальных вложений (в процентах к предыдущему году)
распределяем на группы, определив n = 5 (по формуле Стерджесса
n=1+3,322*lgN=1+3,322*lg20=5,3186). По формуле определим значение интервала.
Максимальное значение 111,5. Минимальное значение 100,7.
(111,5 - 100,7): 5 = 2,16.
Распределяем на группы с интервалом равным 2,16.
Рассчитаем по формуле (2.1) групповые средние и подставим в
графу 5.
Таблица 2.4 - Расчеты отбора факторов, влияющих на выходной
показатель 
темпы роста капитальных вложений (в процентах к предыдущему году)
|
Номер группы
|
Значение
пределов групп по фактору  Число элементов в группе (частота) Значения показателя Y,
соответствующие показателям группыГрупповые средние 
|
|
|
|
|
1
|
2
|
3
|
4
|
5
|
|
1
|
100,7 - 102,86
|
3
|
2,7; 2,38;
2,63.
|
2,57
|
|
2
|
102,86 - 105,02
|
6
|
3,18; 2,5;
2,55; 2,8; 2,86; 3,05.
|
2,82
|
|
3
|
105,02 - 107,18
|
5
|
2,44; 2,74;
3,02; 3,18; 3.
|
2,88
|
|
4
|
107,18 - 109,34
|
5
|
3,13; 3,26;
3,37; 3,34; 2,9
|
3,2
|
|
5
|
109,34 - 111,5
|
1
|
3,2
|
3,2
|
|
Всего
|
|
20
|
|
2,9015
|

= 
= 2,57

= 
= 2,82

= 
= 2,88

= 
= 3,2

= 
= 3, 20
Рассчитаем общую среднюю по формуле (2.2).

= 
= 2,9115
Рассчитаем межгрупповую вариацию (дисперсию). Расчет представлен в
виде таблицы 2.5.
Таблица 2.5 - Расчет межгрупповой вариации (дисперсии).
Групповые средние 

- 
|
 * 
|
|
|
|
|
1
|
2
|
3
|
4
|
|
2,57
|
-0,3415
|
0,116622
|
0,349866
|
|
2,82
|
-0,0915
|
0,008372
|
0,050232
|
|
2,88
|
-0,0315
|
0,000992
|
0,00496
|
|
3,2
|
0,2885
|
0,083232
|
0,41616
|
|
3,2
|
0,2885
|
0,083232
|
0,083232
|
|
Всего
|
|
|
0,90445
|
Межгрупповая вариация (дисперсия) 
= 0,90445
Внутригрупповая или остаточная вариация (дисперсия) рассчитывается
как:

= 
+
+
+
+
+
+
+
+
+
+
+
+
+
+
+
+
+
+
+
= 0,9006
Тогда
= 
= 3,766
Табличные значения F (Приложении А):
% предел 
= 5 - 1 = 4 
= 20 - 5 = 15 F = 3,06. 1% предел F = 4,89.
Сравнивая расчетное и табличные значения видим, что F-расчетное
меньше табличных. Следовательно, влияние темпа роста капитальных вложений
признается не существенным.
Определение существенности влияния показателей 
на Y, т.е. влияние ввода в действие основных фондов на
фондоотдачу.
Показатель 
ввод в действие основных фондов (в млрд. руб.) распределяем на
группы, определив n = 5 (по формуле Стерджесса
n=1+3,322*lgN=1+3,322*lg20=5,3186). По формуле определим значение интервала.
Максимальное значение 170,1. Минимальное значение 51,5.
(170,1 - 51,5): 5 = 23,72.
Распределяем на группы с интервалом равным 23,72
Таблица 2.6 - Расчеты отбора факторов, влияющих на выходной
показатель 
ввод в действие основных фондов (в млрд. руб.).
|
Номер группы
|
Значение
пределов групп по фактору  Число элементов в группе (частота) Значения показателя Y,
соответствующие показателям группыГрупповые средние 
|
|
|
|
|
1
|
2
|
3
|
4
|
5
|
|
1
|
51,5 - 75,22
|
5
|
3,14; 3,18;
3,37; 3,26; 3,18.
|
3,226
|
|
2
|
75,22 - 98,94
|
5
|
3,2; 3,13;
3,02; 3,05; 3.
|
3,08
|
|
3
|
98,94 - 122,66
|
5
|
2,9; 2,86; 2,8;
2,74; 2,7.
|
2,8
|
|
4
|
122,66 - 146,38
|
1
|
2,63.
|
2,63
|
|
5
|
146,38 - 170,1
|
4
|
2,55; 2,5;
2,44; 2,38.
|
2,4675
|
|
Всего
|
|
20
|
|
2,91
|
Рассчитаем по формуле (2.1) групповые средние и подставим в
графу 5.

= 
= 3,226

= 
= 3,08

= 
= 2,8

= 
= 2,63

= 
≈ 2,4675
Рассчитаем общую среднюю по формуле (2.2): 

= 
= 2,91
Рассчитаем межгрупповую вариацию (дисперсию). Расчет представлен в
виде таблицы 2.7.
Таблица 2.7 - Расчет межгрупповой вариации (дисперсии).
Групповые средние 

- 
|
 * 
|
|
|
|
|
1
|
2
|
3
|
4
|
|
3,226
|
0,316
|
0,099856
|
0,49928
|
|
3,08
|
0,17
|
0,0289
|
0,1445
|
|
2,8
|
-0,11
|
0,0121
|
0,0605
|
|
2,63
|
-0,28
|
0,0784
|
0,0784
|
|
2,4675
|
-0,4425
|
0, 195806
|
0,783224
|
|
Всего
|
|
|
1,565904
|
Межгрупповая вариация (дисперсия) 
= 1,565904
Внутригрупповая или остаточная вариация (дисперсия) рассчитывается
как:

= 
+
+ 
+ 
+ 
+ 
+ 
+ 
+ 
+ 
+ 
+ 
+ 
+
+
+
+ 
+ 
+ 
+ 
= 0,349595
Тогда
= 
≈ 16,802
Табличные значения F (Приложении А):
% предел 
= 5 - 1 = 4 
= 20 - 5 = 15 F = 3,06. 1% предел F = 4,89.
Сравнивая расчетное и табличные значения видим, что F-расчетное
превышает табличные. Следовательно, влияние уровня образования населения,
занятого в народном хозяйстве признается существенным.
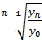
Рассчитать значения средних уровней динамических рядов.
Средний уровень интервального ряда динамики рассчитывают как
среднюю арифметическую простую:

= 
/n (2.3)
где 
- сумма уровней ряда;- число уровней.

= (3,14+3,18+3,37+3,26
+3,18+3,0+3,13+3,02+3,05+3,0+2,9+2,86+2,8+2,74+2,7+2,63+2,55+2,50+
,44+2,38) /20=2,9

= (78,5+78+78,7+78,4+78,1+77,2+76,5+76,1+75,9+75,2+74,6+75,5+
,3+74,8+ 74,6+73,8+74,5+74,6+74,2+74) /20=75,925

= (51,5+55+59,6+61,6+66,6+76,5+81,3+84+92,8+97,2+105,6+107,1+
,5+ 120,1+120,1+130,2+149,4+157,2+166,5+170,1) /20=103,145
Средний уровень полного моментного ряда (так как равные отрезки
времени между датами) равен:

= 
(2.4)

= (1/2*3,14+3,18+3,37+3,26+
,18+3,20+3,13+3,02+3,05+3,0+2,9+2,86+2,8+2,74+2,7+2,63+2,55+2,5+2,44+1/2*2,38)
/ (20-1) =2,9

= (1/2*78,5+78+78,7+78,4+78,1+77,2+76,5+76,1+75,9+75,2+74,6+
,5+75,3+74,8+ 74,6+73,8+74,5+74,6+74,2+1/2*74) / (20-1) =75,908

= (1/2*51,5+55+59,6+61,6+66,6+76,5+81,3+84+92,8+97,2+105,6+
,1+110,5+ 120,1+120,1+130,2+149,4+157,2+166,5+1/2*170,1) / (20-1) ≈102,74
Рассчитать показатели анализа рядов динамики.
1) Абсолютный прирост.
а) базисный 
=
- 
(2.5)
б) цепной 
= 
- 
(2.6)
) Темп роста - коэффициент роста, выраженный в процентах.
а) базисный 
= 
/
* 100, % (2.7)
б) цепной 
= 
/
* 100, % (2.8)
) Темп прироста - коэффициента прироста, выраженный в процентах
а) базисный 
= 
- 100, % (2.9)
б) цепной 
= 
- 100, % (2.10)
) Абсолютное значение 1% прироста.
А 1% = 0,01 * 
(2.11)
Расчет показателей динамики фондоотдачи сведены в таблицу 2.8.
Таблица 2.8 - Аналитические показатели динамики фондоотдачи.
|
Год
|
Фондо отдача
|
Абсолютный
прирост
|
Темп роста (в
процентах)
|
Темп прироста
(в процентах)
|
Абсолютное
значение 1% прироста
|
|
|
базисный
|
цепной
|
базисный
|
цепной
|
базисный
|
цепной
|
|
|
А
|
1
|
2
|
3
|
4
|
5
|
6
|
7
|
8
|
|
1
|
3,14
|
0
|
- -
|
100
|
---
|
0
|
- ---
|
----
|
|
2
|
3,18
|
0,04
|
0,04
|
101,27
|
101,27
|
1,27
|
1,27
|
0,0314
|
|
3
|
3,37
|
0,23
|
0, 19
|
107,32
|
105,97
|
7,32
|
5,97
|
0,0318
|
|
4
|
3,26
|
0,12
|
-0,11
|
103,82
|
96,74
|
3,82
|
-3,26
|
0,0337
|
|
5
|
3,18
|
0,04
|
-0,08
|
101,27
|
97,55
|
1,27
|
-2,45
|
0,0326
|
|
6
|
3,2
|
0,06
|
0,02
|
101,91
|
100,63
|
1,91
|
0,63
|
0,0318
|
|
7
|
3,13
|
-0,01
|
-0,07
|
101,91
|
97,81
|
1,91
|
-2, 19
|
0,032
|
|
8
|
3,02
|
-0,12
|
-0,11
|
96,18
|
96,49
|
-3,82
|
-3,51
|
0,0313
|
|
9
|
3,05
|
-0,09
|
0,03
|
97,13
|
100,99
|
-2,87
|
0,99
|
0,0302
|
|
10
|
3
|
-0,14
|
-0,05
|
95,54
|
98,36
|
-4,46
|
-1,64
|
0,0305
|
|
11
|
2,9
|
-0,24
|
-0,1
|
92,36
|
96,67
|
-7,64
|
-3,33
|
0,03
|
2,86
|
-0,28
|
-0,04
|
91,08
|
98,62
|
-8,92
|
-1,38
|
0,029
|
|
13
|
2,8
|
-0,34
|
-0,06
|
89,17
|
97,90
|
-10,83
|
-2,10
|
0,0286
|
|
14
|
2,74
|
-0,4
|
-0,06
|
87,26
|
97,86
|
-12,74
|
-2,14
|
0,028
|
|
15
|
2,7
|
-0,44
|
-0,04
|
85,99
|
98,54
|
-14,01
|
-1,46
|
0,0274
|
|
16
|
2,63
|
-0,51
|
-0,07
|
83,76
|
97,41
|
-16,24
|
-2,59
|
0,027
|
|
17
|
2,55
|
-0,59
|
-0,08
|
81,21
|
96,96
|
-18,79
|
-3,04
|
0,0263
|
|
18
|
2,5
|
-0,64
|
-0,05
|
79,62
|
98,04
|
-20,38
|
-1,96
|
0,0255
|
|
19
|
2,44
|
-0,7
|
-0,06
|
77,71
|
97,60
|
-22,29
|
-2,40
|
0,025
|
|
20
|
2,38
|
-0,76
|
-0,06
|
75,80
|
97,54
|
-24, 20
|
-2,46
|
0,0244
|
Расчет показателей динамики удельного веса в оборотных
средствах запасов товарно-материальных ценностей (в процентах) сведены в
таблицу 2.9.
Таблица 2.9 - Аналитические показатели динамики удельного
веса в оборотных средствах запасов товарно-материальных ценностей (в
процентах).
|
Год
|
Уд. вес в обор.
редствах запасов ТМЦ (в процентах)
|
Абсолютный
прирост
|
Темп роста (в
процентах)
|
Темп прироста
(в процентах)
|
Абсолютное
значение 1% прироста
|
|
|
базисный
|
цепной
|
базисный
|
цепной
|
базисный
|
цепной
|
|
|
1
|
78,5
|
0
|
----
|
100,0
|
- ---
|
0,00
|
- ---
|
- ---
|
|
2
|
78
|
-0,5
|
-0,5
|
99,36
|
99,36
|
-0,64
|
-0,64
|
0,785
|
|
3
|
78,7
|
0,2
|
0,7
|
100,3
|
100,9
|
0,25
|
0,90
|
0,780
|
|
4
|
78,4
|
-0,1
|
-0,3
|
99,87
|
99,62
|
-0,13
|
-0,38
|
0,787
|
|
5
|
78,1
|
-0,4
|
-0,3
|
99,49
|
99,62
|
-0,51
|
-0,38
|
0,784
|
|
6
|
77,2
|
-1,3
|
-0,9
|
98,34
|
98,85
|
-1,66
|
-1,15
|
0,781
|
|
7
|
76,5
|
-2
|
-0,7
|
97,45
|
99,09
|
-2,55
|
-0,91
|
0,772
|
|
8
|
76,1
|
-2,4
|
-0,4
|
96,94
|
99,48
|
-3,06
|
-0,52
|
0,765
|
|
9
|
75,9
|
-2,6
|
-0,2
|
96,69
|
99,74
|
-3,31
|
-0,26
|
0,761
|
|
10
|
75,2
|
-3,3
|
-0,7
|
95,80
|
99,08
|
-4, 20
|
-0,92
|
0,759
|
|
11
|
74,6
|
-3,9
|
-0,6
|
95,03
|
99, 20
|
-4,97
|
-0,80
|
0,752
|
|
12
|
75,5
|
-3
|
0,9
|
96,18
|
101,21
|
-3,82
|
1,21
|
0,746
|
|
13
|
75,3
|
-3,2
|
-0,2
|
95,92
|
99,74
|
-4,08
|
-0,26
|
0,755
|
|
14
|
74,8
|
-3,7
|
-0,5
|
95,29
|
99,34
|
-4,71
|
-0,66
|
0,753
|
|
15
|
74,6
|
-3,9
|
-0,2
|
95,03
|
99,73
|
-4,97
|
-0,27
|
0,748
|
|
16
|
73,8
|
-4,7
|
-0,8
|
94,01
|
98,93
|
-5,99
|
-1,07
|
0,746
|
|
17
|
74,5
|
-4
|
0,7
|
94,90
|
100,95
|
-5,10
|
0,95
|
0,738
|
|
18
|
74,6
|
-3,9
|
0,1
|
95,03
|
100,13
|
-4,97
|
0,13
|
0,745
|
|
19
|
74,2
|
-4,3
|
-0,4
|
94,52
|
99,46
|
-5,48
|
-0,54
|
0,746
|
|
20
|
74
|
-4,5
|
-0,2
|
94,27
|
99,73
|
-5,73
|
-0,27
|
0,742
|
Расчет показателей динамики ввода в действие основных фондов
(в млрд. руб.) сведены в таблицу 2.10.
Таблица 2.10 - Аналитические показатели динамики ввод в
действие основных фондов (в млрд. руб.).
|
Год
|
Ввод основных
фондов (в млрд. руб.)
|
Абсолютный
прирост
|
Темп роста (в
процентах)
|
Темп прироста
(в процентах)
|
Абсолютное
значение 1% прироста
|
|
|
базисный
|
цепной
|
базисный
|
цепной
|
базисный
|
цепной
|
|
|
1
|
51,5
|
0
|
- ---
|
100,0
|
----
|
0
|
----
|
----
|
|
2
|
55
|
3,5
|
3,5
|
106,8
|
106,8
|
6,8
|
6,8
|
5,15
|
|
3
|
59,6
|
8,1
|
4,6
|
115,7
|
108,4
|
15,7
|
8,4
|
5,5
|
|
4
|
61,6
|
10,1
|
2
|
119,6
|
103,4
|
19,6
|
3,4
|
5,96
|
|
5
|
66,6
|
15,1
|
5
|
129,3
|
108,1
|
29,3
|
8,1
|
6,16
|
|
6
|
76,5
|
25
|
9,9
|
148,5
|
114,9
|
48,5
|
14,9
|
6,66
|
|
7
|
81,3
|
29,8
|
4,8
|
157,9
|
106,3
|
57,9
|
6,3
|
|
8
|
84
|
32,5
|
2,7
|
163,1
|
103,3
|
63,1
|
3,3
|
8,13
|
|
9
|
92,8
|
41,3
|
8,8
|
180,2
|
110,5
|
80,2
|
10,5
|
8,4
|
|
10
|
97,2
|
45,7
|
4,4
|
188,7
|
104,7
|
88,7
|
4,7
|
9,28
|
|
11
|
105,6
|
54,1
|
8,4
|
205,0
|
108,6
|
105,0
|
8,6
|
9,72
|
|
12
|
107,1
|
55,6
|
1,5
|
208,0
|
101,4
|
108,0
|
1,4
|
10,56
|
|
13
|
110,5
|
59
|
3,4
|
214,6
|
103,2
|
114,6
|
3,2
|
10,71
|
|
14
|
120,1
|
68,6
|
9,6
|
233,2
|
108,7
|
133,2
|
8,7
|
11,05
|
|
15
|
120,1
|
68,6
|
0
|
233,2
|
100,0
|
133,2
|
0,0
|
12,01
|
|
16
|
130,2
|
78,7
|
10,1
|
252,8
|
108,4
|
152,8
|
8,4
|
12,01
|
|
17
|
149,4
|
97,9
|
19,2
|
290,1
|
114,7
|
190,1
|
14,7
|
13,02
|
|
18
|
157,2
|
105,7
|
7,8
|
305,2
|
105,2
|
205,2
|
5,2
|
14,94
|
|
19
|
166,5
|
115
|
9,3
|
323,3
|
105,9
|
223,3
|
5,9
|
15,72
|
|
20
|
170,1
|
118,6
|
3,6
|
330,3
|
102,2
|
230,3
|
2,2
|
16,65
|
Рассчитать значения среднегодовых темпов роста и темпов
прироста показателей.
. Средний абсолютный прирост.

=
, (2.12)
где n - число уровней ряда.

= (2,38 - 3,14) / (20 - 1) = - 0,04

= (74 - 78,5) / (20 - 1) = - 0,237

= (170,1 - 51,5) / (20 - 1) ≈ 6,24
2. Средний темп роста.

= 
* 100, % (2.13)

= 
* 100 ≈ 98,55 %

= 
* 100 ≈ 99,69 %

= 
* 100 ≈ 106,5 %
3. Средний темп прироста.

= 
- 100% (2.14)

= 
- 100% = - 1,45 %,
= 99,69 - 100% = - 0,31 %

= 106,5 - 100% = 6,5 %
4. Среднее значение 1% прироста.

= 
(2.15)

= 
≈ 0,029

= 
≈ 0,76

= 
≈ 9,96
Определить экстраполируемый уровень (уn+1).
1. По среднему абсолютному приросту.

= 
+ 
* l, (2.16)
где l - срок прогноза (упреждения).
2. По среднему темпу роста.

= 
* 
(2.17)
Прогнозные значения показателей сведены в таблицу 2.11.
Таблица 2.11 - Прогнозные значения показателей.
|
Наименование
показателя
|
Обозначение
показателя
|
Единица
измерения
|
Вид прогноза
|
|
|
|
|
|
|
|
Фондоотдача
|
Y
|
|
2,26
|
2,28
|
2,239
|
|
Удельный вес в
оборотных средствах запасов ТМЦ
|
|
процент
|
73,29
|
73,31
|
72,63
|
Ввод в действие основных фондов 
млрд. руб. 188,82
,47
Сгладить динамические ряды методом скользящий средней.
Расчет показателей сглаживания динамических рядов методом
скользящей средней для фондоотдачи сведены в таблицу 2.12.
Таблица 2.12 - Сглаживание динамических рядов методом
скользящей средней (фондоотдача).
|
Год
|
Фондоотдача
|
Скользящая
сумма из трех членов
|
Скользящая
средняя из трех членов
|
Скользящая
сумма из пяти членов
|
Скользящая
средняя из пяти членов
|
Скользящая
сумма из семи членов
|
Скользящая
средняя из семи членов
|
|
А
|
1
|
2
|
3
|
4
|
5
|
6
|
7
|
|
1
|
3,14
|
---
|
---
|
---
|
---
|
---
|
---
|
|
2
|
3,18
|
9,69
|
3,23
|
---
|
---
|
---
|
---
|
|
3
|
3,37
|
9,81
|
3,27
|
16,13
|
3,23
|
---
|
---
|
|
4
|
3,26
|
9,81
|
3,27
|
16, 19
|
3,24
|
22,46
|
3,21
|
|
5
|
3,18
|
9,64
|
3,21
|
16,14
|
3,23
|
22,34
|
3, 19
|
|
6
|
3,2
|
9,51
|
3,17
|
15,79
|
3,16
|
22,21
|
3,17
|
|
7
|
3,13
|
9,35
|
3,12
|
15,58
|
3,12
|
21,84
|
3,12
|
|
8
|
3,02
|
9,2
|
3,07
|
15,4
|
3,08
|
21,48
|
3,07
|
|
9
|
3,05
|
9,07
|
3,02
|
15,1
|
3,02
|
21,16
|
3,02
|
|
10
|
3
|
8,95
|
2,98
|
14,83
|
2,97
|
20,76
|
2,97
|
|
11
|
2,9
|
8,76
|
2,92
|
14,61
|
2,92
|
20,37
|
2,91
|
|
12
|
2,86
|
8,56
|
2,85
|
14,3
|
2,86
|
20,05
|
2,86
|
|
13
|
2,8
|
8,4
|
2,8
|
14
|
2,8
|
19,63
|
2,8
|
|
14
|
2,74
|
8,24
|
2,75
|
13,73
|
2,75
|
19,18
|
2,74
|
|
15
|
2,7
|
8,07
|
2,69
|
13,42
|
2,68
|
18,78
|
2,68
|
|
16
|
2,63
|
7,88
|
2,63
|
13,12
|
2,62
|
18,36
|
2,62
|
|
17
|
2,55
|
7,68
|
2,56
|
12,82
|
2,56
|
17,94
|
2,56
|
|
18
|
2,5
|
7,49
|
2,5
|
12,5
|
2,5
|
---
|
---
|
|
19
|
2,44
|
7,32
|
2,44
|
---
|
---
|
---
|
---
|
|
20
|
2,38
|
---
|
---
|
---
|
---
|
---
|
---
|
Расчет показателей сглаживания динамических рядов методом
скользящей средней для удельного веса в оборотных средствах запасов
товарно-материальных ценностей (в процентах) сведены в таблицу 2.13.
Таблица 2.13 - Сглаживание динамических рядов методом
скользящей средней (удельный вес в оборотных средствах запасов
товарно-материальных ценностей (в процентах)).
|
Год
|
Удельный вес в
оборотных средтсвах запасов ТМЦ
|
Скользящая
средняя из трех членов
|
Скользящая
сумма из пяти членов
|
Скользящая
средняя из пяти членов
|
Скользящая
сумма из семи членов
|
Скользящая средняя
из семи членов
|
|
А
|
1
|
2
|
3
|
4
|
5
|
6
|
7
|
|
1
|
78,5
|
---
|
---
|
---
|
---
|
---
|
---
|
|
2
|
78
|
235,2
|
78,4
|
---
|
---
|
---
|
---
|
|
3
|
78,7
|
235,1
|
78,37
|
391,7
|
78,34
|
---
|
---
|
|
4
|
78,4
|
235,2
|
78,4
|
390,4
|
78,08
|
545,4
|
77,91
|
|
5
|
78,1
|
233,7
|
77,9
|
388,9
|
77,78
|
543
|
77,57
|
|
6
|
77,2
|
231,8
|
77,26
|
386,3
|
77,26
|
540,9
|
77,27
|
|
7
|
76,5
|
229,8
|
76,6
|
383,8
|
76,76
|
537,4
|
76,77
|
|
8
|
76,1
|
228,5
|
76,16
|
380,9
|
76,18
|
533,6
|
76,23
|
|
9
|
75,9
|
227,2
|
75,73
|
378,3
|
75,66
|
531
|
75,86
|
|
10
|
75,2
|
225,7
|
75,23
|
377,3
|
75,46
|
529,1
|
75,59
|
|
11
|
74,6
|
225,3
|
75,1
|
376,5
|
75,3
|
527,4
|
75,34
|
|
12
|
75,5
|
225,4
|
75,13
|
375,4
|
75,08
|
525,9
|
75,13
|
|
13
|
75,3
|
225,6
|
75,2
|
374,8
|
74,96
|
523,8
|
74,83
|
|
14
|
74,8
|
224,7
|
74,9
|
374
|
74,8
|
523,1
|
74,73
|
|
15
|
74,6
|
223,2
|
74,4
|
373
|
74,6
|
523,1
|
74,73
|
|
16
|
73,8
|
222,9
|
74,3
|
372,3
|
74,46
|
521,8
|
74,54
|
|
17
|
74,5
|
222,9
|
74,3
|
371,7
|
74,34
|
520,5
|
74,36
|
|
18
|
74,6
|
223,3
|
74,43
|
371,1
|
74,22
|
---
|
---
|
|
19
|
74,2
|
228,8
|
74,27
|
---
|
---
|
---
|
---
|
|
20
|
74
|
---
|
---
|
---
|
---
|
---
|
---
|
Расчет показателей сглаживания динамических рядов методом
скользящей средней для ввода в действие основных фондов (в млрд. руб.) сведены
в таблицу 2.14.
Таблица 2.14 - Сглаживание динамических рядов методом
скользящей средней (ввод в действие основных фондов (в млрд. руб.)).
|
Год
|
Ввод в действие
основных фондов
|
Скользящая
сумма из трех членов
|
Скользящая
средняя из трех членов
|
Скользящая
сумма из пяти членов
|
Скользящая
средняя из пяти членов
|
Скользящая
сумма из семи членов
|
Скользящая
средняя из семи членов
|
|
А
|
1
|
2
|
3
|
4
|
5
|
6
|
7
|
|
1
|
51,5
|
---
|
---
|
---
|
---
|
---
|
---
|
|
2
|
55
|
166,1
|
55,37
|
---
|
---
|
---
|
---
|
|
3
|
59,6
|
176,2
|
58,73
|
294,3
|
58,86
|
---
|
---
|
|
4
|
61,6
|
187,7
|
62,6
|
319,3
|
63,86
|
452,1
|
64,59
|
|
5
|
66,6
|
204,7
|
68,23
|
345,6
|
69,12
|
484,6
|
69,23
|
|
6
|
76,5
|
224,4
|
74,8
|
370
|
74
|
522,4
|
74,63
|
|
7
|
81,3
|
241,8
|
80,6
|
401,2
|
80,24
|
560
|
80
|
|
8
|
84
|
258,1
|
86,03
|
431,8
|
86,36
|
604
|
86,29
|
|
9
|
92,8
|
274
|
91,33
|
460,9
|
92,18
|
644,5
|
92,07
|
|
10
|
97,2
|
295,6
|
98,53
|
486,7
|
97,34
|
678,5
|
96,93
|
|
11
|
105,6
|
309,9
|
103,3
|
513,2
|
102,64
|
717,3
|
102,47
|
|
12
|
107,1
|
323,2
|
107,73
|
540,5
|
108,1
|
753,4
|
107,69
|
|
13
|
110,5
|
337,7
|
112,57
|
563,4
|
112,68
|
790,8
|
112,97
|
|
14
|
120,1
|
350,7
|
116,9
|
588
|
117,6
|
843
|
120,43
|
|
15
|
120,1
|
370,4
|
123,47
|
630,3
|
126,06
|
894,6
|
127,8
|
|
16
|
130,2
|
399,7
|
133,23
|
677
|
135,4
|
954
|
136,29
|
|
17
|
149,4
|
436,8
|
145,6
|
723,4
|
144,68
|
1013,6
|
144,8
|
|
18
|
157,2
|
473,1
|
157,7
|
773,4
|
154,68
|
---
|
---
|
|
19
|
166,5
|
493,8
|
164,6
|
---
|
---
|
---
|
---
|
|
20
|
170,1
|
---
|
---
|
---
|
---
|
---
|
Провести аналитическое выравнивание по прямой.
Таблица 2.15 - Выравнивание рядов динамики (фондоотдача)
|
Год
|
Фондоотдача, y
|
Условное
обозначение врем., t
|
 y * ty = 3,458 - 0,053 * t
|
|
|
|
А
|
1
|
2
|
3
|
4
|
5
|
|
1
|
3,14
|
1
|
1
|
3,14
|
3,405
|
|
2
|
3,18
|
2
|
4
|
6,36
|
3,352
|
|
3
|
3,37
|
3
|
9
|
10,11
|
3,299
|
|
4
|
3,26
|
4
|
16
|
13,04
|
3,246
|
|
5
|
3,18
|
5
|
25
|
15,9
|
3, 193
|
|
6
|
3,2
|
6
|
36
|
19,2
|
3,14
|
|
7
|
3,13
|
7
|
49
|
18,78
|
3,087
|
|
8
|
3,02
|
8
|
64
|
24,16
|
3,034
|
|
9
|
3,05
|
9
|
81
|
27,45
|
2,981
|
|
10
|
3
|
10
|
100
|
30
|
2,928
|
|
11
|
2,9
|
11
|
121
|
31,9
|
2,875
|
|
12
|
2,86
|
12
|
144
|
34,32
|
2,822
|
|
13
|
2,8
|
13
|
169
|
36,4
|
2,769
|
|
14
|
2,74
|
14
|
196
|
38,36
|
2,716
|
|
15
|
2,7
|
15
|
225
|
40,5
|
2,663
|
|
16
|
2,63
|
16
|
256
|
42,08
|
2,61
|
|
17
|
2,55
|
17
|
289
|
43,35
|
2,557
|
|
18
|
2,5
|
18
|
324
|
45
|
2,504
|
|
19
|
2,44
|
19
|
361
|
46,36
|
2,451
|
|
20
|
2,38
|
20
|
400
|
47,6
|
2,398
|
|
n=20
|
 = 58,03 = 210 = 2870  =574,01
|
|
|
|
|
Подставляем полученные суммы в систему уравнений (2.18)

(2.18)

получаем 
= 3,458; 
= - 0,053.
Отсюда исходное уравнение тренда: y = 3,458 - 0,053 * t
Подставляем в это уравнение значения t: 1, 2, 3,…, 20, находим
выровненные (теоретические) значения y.
Для 23 года t = 23. Следовательно, по прогнозу фондоотдача в 23
году составит: 3,458 - 0,053 * 23 = 2,027
Данные занесем в таблицу (2.11)
Таблица 2.16 - Выравнивание рядов динамики (удельный вес в
оборотных средствах запасов товарно-материальных ценностей (в процентах))
|
Год
|
Уд. вес в
оборотных средствах запасов ТМЦ (процент), y
|
Условное
обозначение времени, t
|
 y * ty = 3,458 - 0,053 * t
|
|
|
|
А
|
1
|
2
|
3
|
4
|
5
|
|
1
|
78,5
|
1
|
1
|
78,5
|
78,433
|
|
2
|
78
|
2
|
4
|
156
|
78,169
|
|
3
|
78,7
|
3
|
9
|
236,1
|
77,905
|
|
4
|
78,4
|
4
|
16
|
313,6
|
77,641
|
|
5
|
78,1
|
5
|
25
|
390,5
|
77,377
|
|
6
|
77,2
|
6
|
36
|
463,2
|
77,113
|
|
7
|
76,5
|
7
|
49
|
535,5
|
76,849
|
|
8
|
76,1
|
8
|
64
|
608,8
|
76,585
|
|
9
|
75,9
|
9
|
81
|
683,1
|
76,321
|
|
10
|
75,2
|
10
|
100
|
752
|
76,057
|
|
11
|
74,6
|
11
|
121
|
820,6
|
75,793
|
|
12
|
75,5
|
12
|
144
|
906
|
75,529
|
|
13
|
75,3
|
13
|
169
|
978,9
|
75,265
|
|
14
|
74,8
|
14
|
196
|
1047,2
|
75,001
|
|
15
|
74,6
|
15
|
225
|
1119
|
74,737
|
|
16
|
73,8
|
16
|
256
|
1180,8
|
74,473
|
|
17
|
74,5
|
17
|
289
|
1266,5
|
74, 209
|
|
18
|
74,6
|
18
|
324
|
1342,8
|
73,945
|
|
19
|
74,2
|
19
|
361
|
1409,8
|
73,681
|
|
20
|
74
|
20
|
400
|
1480
|
73,417
|
|
n=20
|
 = 1518,5 = 210 = 2870  =15768,9
|
|
|
|
|
Подставляем полученные суммы в систему уравнений (2.18)

получаем 
= 78,697; 
= - 0,264.
Отсюда исходное уравнение тренда: y = 78,697 - 0,264 * t
Подставляем в это уравнение значения t: 1, 2, 3,…, 20, находим
выровненные (теоретические) значения y.
Для 23 года t = 23. Следовательно, по прогнозу фондоотдача в 23
году составит: 78,697 - 0,264 * 23 = 72,625
Данные занесем в таблицу (2.11).
Таблица 2.17 - Выравнивание рядов динамики (ввод в действие
основных фондов (в млрд. руб.))
|
Год
|
Ввод в действие
основных фондов (млрд. руб.),y
|
Условное
обозначение времени, t
|
 y * ty = 37,625 - 6,24 * t
|
|
|
|
А
|
1
|
2
|
3
|
4
|
5
|
|
1
|
51,5
|
1
|
1
|
51,5
|
43,865
|
|
2
|
55
|
2
|
4
|
110
|
50,105
|
|
3
|
59,6
|
3
|
9
|
178,8
|
56,345
|
|
4
|
61,6
|
4
|
16
|
246,4
|
62,585
|
|
5
|
66,6
|
5
|
25
|
333
|
68,825
|
|
6
|
76,5
|
6
|
36
|
459
|
75,065
|
|
7
|
81,3
|
7
|
49
|
569,1
|
81,305
|
|
8
|
84
|
8
|
64
|
672
|
87,545
|
|
9
|
92,8
|
9
|
81
|
835,2
|
93,785
|
|
10
|
97,2
|
10
|
100
|
100,025
|
|
11
|
105,6
|
11
|
121
|
1161,6
|
106,265
|
|
12
|
107,1
|
12
|
144
|
1285,2
|
112,505
|
|
13
|
110,5
|
13
|
169
|
1436,5
|
118,745
|
|
14
|
120,1
|
14
|
196
|
1681,4
|
124,985
|
|
15
|
120,1
|
15
|
225
|
1801,5
|
131,225
|
|
16
|
130,2
|
16
|
256
|
2083,2
|
137,465
|
|
17
|
149,4
|
17
|
289
|
2539,8
|
143,705
|
|
18
|
157,2
|
18
|
324
|
2829,6
|
149,945
|
|
19
|
166,5
|
19
|
361
|
3163,5
|
156,185
|
|
20
|
170,1
|
20
|
400
|
3402
|
162,425
|
|
n=20
|
 = 2062,9 = 210 = 2870  =25811,3
|
|
|
|
|
Подставляем полученные суммы в систему уравнений (2.18)

получаем 
≈ 37,625; 
≈ 6,24.
Отсюда исходное уравнение тренда: y = 37,625 + 6,24 * t
Подставляем в это уравнение значения t: 1, 2, 3,…, 20, находим
выровненные (теоретические) значения y.
Для 23 года t = 23. Следовательно, по прогнозу фондоотдача в 23
году составит: 37,625+ 6,24 * 23 = 181,145
Данные занесем в таблицу (2.11).
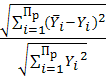
Для определения размеров погрешностей или точности прогноза
показателя за весь условный прогнозируемый период используем коэффициент
несоответствия Тейла:

= 
(2.19)
где 
- фактическое значение показателя, 
- прогнозное значение показателя, 
- продолжительность условного прогнозируемого периода.
1. Фондоотдача.

= 
≈ 0,027
2. Удельный вес в оборотных средствах запасов
товарно-материальных ценностей (в процентах).

= 
≈ 0,007
3. Ввод в действие основных фондов (в млрд. руб.).

= 
≈ 0,053
По полученным значениям коэффициентов Тейла можно сделать вывод,
что результаты прогнозирования близки к фактическим.
Построение множественного уравнения регрессии.
Силу и направление однофакторной связи между показателями характеризует
линейный коэффициент корреляции:
= 
(2.2)
Таблица 2.18 - Расчет коэффициента корреляции связи между
фондоотдачей и удельным весом в оборотных средствах запасов
товарно-материальных ценностей (в процентах)
|
X
|
Y
|
X*Y
|
|
|
|
1
|
2
|
3
|
4
|
5
|
|
78,5
|
3,14
|
246,49
|
6162,25
|
9,8596
|
|
78
|
3,18
|
248,04
|
6084
|
10,1124
|
|
78,7
|
3,37
|
265,219
|
6193,69
|
11,3569
|
|
78,4
|
3,26
|
255,584
|
6146,56
|
10,6276
|
|
78,1
|
3,18
|
248,358
|
6099,61
|
10,1124
|
|
77,2
|
3,2
|
247,04
|
5959,84
|
10,24
|
|
76,5
|
3,13
|
239,445
|
5852,25
|
9,7969
|
|
76,1
|
3,02
|
229,822
|
5791,21
|
9,1204
|
|
75,9
|
3,05
|
231,495
|
5760,81
|
9,3025
|
|
75,2
|
3
|
225,6
|
5655,04
|
9
|
|
74,6
|
2,9
|
216,34
|
5565,16
|
8,41
|
|
75,5
|
2,86
|
215,93
|
5700,25
|
8,1796
|
|
75,3
|
2,8
|
210,84
|
5670,09
|
7,84
|
|
74,8
|
2,74
|
204,952
|
5595,04
|
7,5076
|
|
74,6
|
2,7
|
201,42
|
5565,16
|
7,29
|
|
73,8
|
2,63
|
194,094
|
5446,44
|
6,9169
|
|
74,5
|
2,55
|
189,975
|
5550,25
|
6,5025
|
|
74,6
|
2,5
|
186,5
|
5565,16
|
6,25
|
|
74,2
|
2,44
|
181,048
|
5505,64
|
5,9536
|
|
74
|
2,38
|
176,12
|
5476
|
5,6644
|
|
∑ =
1518,5
|
∑ = 58,03
|
∑ =
4414,312
|
∑ =
115344,45
|
∑ =
170,0433
|
r = 
≈ 0,388
Так как r > 0, то связь между фондоотдачей и удельным весом в
оборотных средствах запасов товарно-материальных ценностей (в процентах)
является прямой, то есть при уменьшении удельного веса в оборотных
средствах запасов товарно-материальных ценностей (в процентах) уменьшается
фондоотдача.
Так как коэффициент значительно отличается от единицы, то можно
сказать, что связь не является близкой к функциональной.
Таблица 2.19 - Расчет коэффициента корреляции связи между
фондоотдачей и вводом в действие основных фондов (в млрд. руб.)
|
X
|
Y
|
X*Y
|
|
|
|
1
|
2
|
3
|
4
|
5
|
|
51,5
|
3,14
|
161,71
|
2652,25
|
9,8596
|
|
55
|
3,18
|
174,9
|
3025
|
10,1124
|
|
59,6
|
3,37
|
200,852
|
3552,16
|
11,3569
|
|
61,6
|
3,26
|
200,816
|
3794,56
|
10,6276
|
|
66,6
|
3,18
|
211,788
|
4435,56
|
10,1124
|
|
76,5
|
3,2
|
244,8
|
5852,25
|
10,24
|
|
81,3
|
3,13
|
254,469
|
6609,69
|
9,7969
|
|
84
|
3,02
|
253,68
|
7056
|
9,1204
|
|
92,8
|
3,05
|
283,04
|
8611,84
|
9,3025
|
|
97,2
|
3
|
291,6
|
9447,84
|
9
|
|
105,6
|
2,9
|
306,24
|
11151,36
|
8,41
|
|
107,1
|
2,86
|
306,306
|
11470,41
|
8,1796
|
|
110,5
|
2,8
|
309,4
|
12210,25
|
7,84
|
|
120,1
|
2,74
|
329,074
|
14424,01
|
7,5076
|
|
120,1
|
2,7
|
324,27
|
14424,01
|
7,29
|
|
130,2
|
2,63
|
342,426
|
16952,04
|
6,9169
|
|
149,4
|
2,55
|
380,97
|
22320,36
|
6,5025
|
|
157,2
|
2,5
|
393
|
24711,84
|
6,25
|
|
166,5
|
2,44
|
406,26
|
27722,25
|
5,9536
|
|
170,1
|
2,38
|
404,838
|
28934,01
|
5,6644
|
|
∑ =
2062,9
|
∑ = 58,03
|
∑ = 5780,439
|
∑ =
239357,69
|
∑ =
170,0433
|
r = 
≈ - 0,974
Так как r < 0, то связь между фондоотдачей и вводом в действие
основных фондов (в млрд. руб.) является обратной, то есть при увеличении ввода
в действие основных фондов (в млрд. руб.) фондоотдача уменьшается.
Так как коэффициент почти равен единице, то можно сказать, что
связь является близкой к функциональной.
Таблица 2.20 - Исходные данные для построения множественного
уравнения регрессии
|
Год
|
Уд. вес в
оборотных средствах запасов ТМЦ (в процентах),
|
Ввод в действие
основных фондов (в млрд. руб.)
|
Фондоотдача y
|
|
1
|
2
|
3
|
4
|
|
1
|
78,5
|
51,5
|
3,14
|
|
2
|
78
|
55
|
3,18
|
|
3
|
78,7
|
59,6
|
3,37
|
|
4
|
78,4
|
61,6
|
3,26
|
|
5
|
78,1
|
66,6
|
3,18
|
77,2
|
76,5
|
3,2
|
|
7
|
76,5
|
81,3
|
3,13
|
|
8
|
76,1
|
84
|
3,02
|
|
9
|
75,9
|
92,8
|
3,05
|
|
10
|
75,2
|
97,2
|
3
|
|
11
|
74,6
|
105,6
|
2,9
|
|
12
|
75,5
|
107,1
|
2,86
|
|
13
|
75,3
|
110,5
|
2,8
|
|
14
|
74,8
|
120,1
|
2,74
|
|
15
|
74,6
|
120,1
|
2,7
|
|
16
|
73,8
|
130,2
|
2,63
|
|
17
|
74,5
|
149,4
|
2,55
|
|
18
|
74,6
|
157,2
|
2,5
|
|
19
|
74,2
|
166,5
|
2,44
|
|
20
|
74
|
170,1
|
2,38
|
|
 = 1518,5 = 2062,9 = 58,03
|
|
|
Зависимость между данными показателями выражается формулой:

= 
+ 
* 
+ 
* 
(2.21)
где 
- расчетные значения результирующего признака, 
и 
- факторные признаки; 
, 
, 
- параметры уравнения. Параметры уравнения находим из системы
уравнений

(2.22)
По таблице 2.20

= 1518,5, 
= 2062,9, 
= 58,03
Расчеты представим в виде таблицы 2.21.
Таблица 2.21 - Расчет параметров уравнения
|
|
 *    *     * 
|
|
|
|
|
6162,25
|
4042,75
|
246,49
|
2652,25
|
161,71
|
|
6084
|
4290
|
248,04
|
3025
|
174,9
|
|
6193,69
|
4690,52
|
265,219
|
3552,16
|
200,852
|
|
6146,56
|
4829,44
|
255,584
|
3794,56
|
200,816
|
|
6099,61
|
5201,46
|
248,358
|
4435,56
|
211,788
|
|
5959,84
|
5905,8
|
247,04
|
5852,25
|
244,8
|
|
5852,25
|
6219,45
|
239,445
|
6609,69
|
254,469
|
|
5791,21
|
6392,4
|
229,822
|
7056
|
253,68
|
|
5760,81
|
7043,52
|
231,495
|
8611,84
|
283,04
|
|
5655,04
|
7309,44
|
225,6
|
9447,84
|
291,6
|
|
5565,16
|
7877,76
|
216,34
|
11151,36
|
306,24
|
|
5700,25
|
8086,05
|
215,93
|
11470,41
|
306,306
|
|
5670,09
|
8320,65
|
210,84
|
12210,25
|
309,4
|
|
5595,04
|
8983,48
|
204,952
|
14424,01
|
329,074
|
|
5565,16
|
8959,46
|
201,42
|
14424,01
|
324,27
|
|
5446,44
|
9608,76
|
194,094
|
16952,04
|
342,426
|
|
5550,25
|
11130,3
|
189,975
|
22320,36
|
380,97
|
|
5565,16
|
11727,12
|
186,5
|
24711,84
|
393
|
|
5505,64
|
12354,3
|
181,048
|
27722,25
|
406,26
|
|
5476
|
12587,4
|
176,12
|
28934,01
|
404,838
|
|
 =115344,45 =155560,06  =4414,312  =239357,69  =5780,439
|
|
|
|
|
Система уравнений (2.22) принимает вид:
При решении новой системы получили:

≈ 2,347773; 
≈ 0,016857; 
≈ - 0,00704
Уравнение принимает вид: 
= 2,347773 + 0,016857 * 
- 0,00704* 
Коэффициенты регрессии дают ответ о том, как изменяется показатели
фондоотдачи при изменении удельного веса в оборотных средствах запасов
товарно-материальных ценностей на 1% (
≈ 0,016857) и вводом основных фондов в действие на 1млрд.
руб. (
≈ - 0,00704).
Расчетные значения фондоотдачи сведем в таблицу 2.22.
Таблица 2.22 - Расчетные значения фондоотдачи
|
Уд. вес в
оборотных средствах запасов ТМЦ (в процентах)
|
Ввод в действие
основных фондов (в млрд. руб.)
|
Фондоотдача y
|
Расчетные
значения фондоотдачи
|
|
1
|
2
|
3
|
4
|
|
78,5
|
51,5
|
3,14
|
3,308488
|
|
78
|
55
|
3,18
|
3,275419
|
|
78,7
|
59,6
|
3,37
|
3,254835
|
|
78,4
|
61,6
|
3,26
|
3,235698
|
|
78,1
|
66,6
|
3,18
|
3, 195441
|
|
77,2
|
76,5
|
3,2
|
3,110573
|
|
76,5
|
81,3
|
3,13
|
3,064982
|
|
76,1
|
84
|
3,02
|
3,039231
|
|
75,9
|
92,8
|
3,05
|
2,973907
|
|
75,2
|
97,2
|
3
|
2,931131
|
|
74,6
|
105,6
|
2,9
|
2,861881
|
|
75,5
|
107,1
|
2,86
|
2,866493
|
|
75,3
|
110,5
|
2,8
|
2,839185
|
|
74,8
|
120,1
|
2,74
|
2,763173
|
|
74,6
|
120,1
|
2,7
|
2,759801
|
|
73,8
|
130,2
|
2,63
|
2,675212
|
|
74,5
|
149,4
|
2,55
|
2,551844
|
|
74,6
|
157,2
|
2,5
|
2,498617
|
|
74,2
|
166,5
|
2,44
|
2,426402
|
|
74
|
170,1
|
2,38
|
2,397687
|
|
|
 = 58,03 = 58,0299985
|
|
Проверка адекватности регрессионной модели.
Значимость коэффициентов регрессии осуществляем с помощью t -
критерия Стьюдента. При этом вычисляют расчетные значения.
Для параметра 
: 
= 
*
(2.23)
Для параметра 
: 
= 
*
*
(2.24)
Для параметра 
: 
= 
*
*
(2.25)
где n - объем выработки;

= 
- среднее квадратичное отклонение результативного признака от
расчетных значений;

= 
- среднее квадратичное отклонение факторного признака 
от среднего арифметического значения этого признака;

= 
- среднее квадратичное отклонение факторного признака 
от среднего арифметического значения этого признака.
Таблица 2.23 - Расчетные значения, необходимые для вычисления
среднеквадратичного отклонения результативного и факторных признаков
|
y
|
 y -      -    -  
|
|
|
|
|
|
|
|
|
|
3,14
|
3,31
|
-0,17
|
0,0289
|
78,5
|
51,5
|
2,58
|
6,6306
|
-51,65
|
2667,723
|
|
3,18
|
3,28
|
-0,10
|
0,0100
|
78
|
55
|
2,08
|
4,3056
|
-48,15
|
2318,423
|
|
3,37
|
3,25
|
0,12
|
0,0144
|
78,7
|
59,6
|
2,78
|
7,7006
|
-43,55
|
1896,603
|
|
3,26
|
3,24
|
0,02
|
0,0004
|
78,4
|
61,6
|
2,48
|
6,1256
|
-41,55
|
1726,403
|
|
3,18
|
3, 20
|
-0,02
|
0,0004
|
78,1
|
66,6
|
2,18
|
4,7306
|
-36,55
|
1335,903
|
|
3,2
|
3,11
|
0,09
|
0,0081
|
77,2
|
76,5
|
1,28
|
1,6256
|
-26,65
|
710,2225
|
|
3,13
|
3,06
|
0,07
|
0,0049
|
76,5
|
81,3
|
0,58
|
0,3306
|
477,4225
|
|
3,02
|
3,04
|
-0,02
|
0,0004
|
76,1
|
84
|
0,17
|
0,0306
|
-19,15
|
366,7225
|
|
3,05
|
2,97
|
0,08
|
0,0064
|
75,9
|
92,8
|
-0,02
|
0,0006
|
-10,35
|
107,1225
|
|
3
|
2,93
|
0,07
|
0,0049
|
75,2
|
97,2
|
-0,72
|
0,5256
|
-5,95
|
35,4025
|
|
2,9
|
2,86
|
0,04
|
0,0016
|
74,6
|
105,6
|
-1,33
|
1,7556
|
2,45
|
6,0025
|
|
2,86
|
2,87
|
-0,01
|
0,0001
|
75,5
|
107,1
|
-0,42
|
0,1806
|
3,95
|
15,6025
|
|
2,8
|
2,84
|
-0,04
|
0,0016
|
75,3
|
110,5
|
-0,63
|
0,3906
|
7,35
|
54,0225
|
|
2,74
|
2,76
|
-0,02
|
0,0004
|
74,8
|
120,1
|
-1,13
|
1,2656
|
16,95
|
287,3025
|
|
2,7
|
2,76
|
-0,06
|
0,0036
|
74,6
|
120,1
|
-1,33
|
1,7556
|
16,95
|
287,3025
|
|
2,63
|
2,68
|
-0,05
|
0,0025
|
73,8
|
130,2
|
-2,13
|
4,5156
|
27,05
|
731,7025
|
|
2,55
|
2,55
|
0,00
|
0,0000
|
74,5
|
149,4
|
-1,43
|
2,0306
|
46,25
|
2139,063
|
|
2,5
|
2,50
|
0,00
|
0,0000
|
74,6
|
157,2
|
-1,33
|
1,7556
|
54,05
|
2921,403
|
|
2,44
|
2,43
|
0,01
|
0,0001
|
74,2
|
166,5
|
-1,72
|
2,9756
|
63,35
|
4013,223
|
|
2,38
|
2,40
|
-0,02
|
0,0004
|
74
|
170,1
|
-1,93
|
3,7056
|
66,95
|
4482,303
|
|
|
|
|
0,0891
|
|
|
|
52,3375
|
|
26579,87
|

= 
≈ 0,066746 
= 
≈ 1,6177 
= 
≈ 36,45536
Расчетные значения t - критерия Стьюдента вычисляем по
формулам (2.23), (2.24) и (2.25):

= 
*
≈ 149,2338

= 
*
*1,6177 ≈ 1,733362

= 
*
*36,45536≈ 16,31342
По таблице распределения Стьюдента для числа степеней свободы
20-2=18 и уровня значимости 0,05 находим критическое значение t-критерия
(приложение Б). 
= 1,734
Расчетное значение для параметров 
и 
больше табличного, поэтому они признаются значимыми.
Оценим точность прогноза показателя y, использую коэффициент
несоответствия Тейла по формуле (2.19):

= 
≈ 0,0229
По полученным значениям коэффициента Тейла можно сделать вывод,
что результаты прогнозирования близки к фактическим.
Спрогнозируем динамику выходного показателя y с помощью
множественного уравнения регрессии.
Изобразим графически фактические и прогнозные показатели.
Библиография
1.
Елисеева, И.И. Общая теория статистики: учебник / И.И. Елисеева,
М.М.
Юзбашев/ - М.: Финансы и статистика, 1995.
.
Ефимова, М.Р. Общая теория статистики: Учебник / М. Р Ефимова, Е. В. Петрова,
В. H. Румянцев/ - М.: ИHФРА-М, 1996.
.
Ряузов,. H. Общая теория статистики. - М., 1990.
.
Адамов В.Е. Экономика и статистика фирм. - М., 1998.
.
Экономико-математические методы и прикладные модели: Учеб. Пособие для
вузов/В.В. Федосеев, А.Н. Гармаш, Д.М. Дайитбегов и др.; Под ред. В.В.
Федосеева. - М.: ЮНИТИ, 1999.
.
Громыко Г.Л. Общая теория статистики: Практикум. - М.: ИНФРА-М, 1999.
Приложения
Приложение А
Приложение Б