Управление затратами
СОДЕРЖАНИЕ
1. Классификация затрат по основным
признакам
. Метод внутренней процентной ставки
. Задача
Заключение
Список использованных источников
1. КЛАССИФИКАЦИЯ ЗАТРАТ ПО ОСНОВНЫМ ПРИЗНАКАМ
Обычно под затратами понимают потребленные
ресурсы или деньги, которые нужно заплатить за товары или услуги. Большое
значение для правильной организации учета затрат имеет научно обоснованная их
классификация. В таблице 1.1 представлена классификация затрат в зависимости от
различных классификационных признаков.
Таблица 1.1
|
Классификационный
признак
|
Затраты
по классификационному признаку
|
Содержание
затрат
|
|
Экономическое
содержание
|
Смета
затрат
|
Общий
объем потребляемых ресурсов
|
|
Калькуляция
|
На
определенный вид
|
|
Степень
участия в процессе производства
|
Основные
|
Связаны
с выполнением технологического процесса изготовления продукции (материалы,
зарплата и другое)
|
|
Накладные
|
Связаны
с процессом управления производством (общезаводские, общецеховые расходы и
другое)
|
|
Способ
отнесения на себестоимость продукции
|
Прямые
|
Прямо
и непосредственно связаны с изготовлением продукции (расходы на сырье,
зарплата основных работников и другое)
|
|
Косвенные
|
Связаны
с работой цеха, предприятия в целом; относят на себестоимость косвенным путем
|
|
Состав
затрат
|
Простые
|
Состоят
из одного экономического элемента (сырье, материалы, зарплата)
|
|
Комплексные
|
Состоят
из нескольких экономических элементов, имеющих одинаковое производственное
значение
|
|
Зависимость
от объема производства
|
Условно
переменные
|
Находятся
в прямой зависимости от изменения объема производства
|
|
Условно
постоянные
|
В
незначительной степени или совсем не зависят от изменения объема производства
|
|
По
времени включения в себестоимость
|
Текущие
|
Расходы
по производству и реализации продукции данного периода, которые принесли
доход в текущем периоде.
|
|
Будущих
периодов
|
Затраты,
произведенные в текущем периоде, но подлежащие включению в себестоимость в
будущих периодах.
|
Затраты отражают, сколько и каких ресурсов
использовано, и эти затраты всегда соотносятся с конкретными задачами, целями.
Такими задачами могут быть производство продукта, функционирование отдела,
оказание услуг, для которых желательно определить величину использованных
ресурсов в денежном выражении.
Некоторые затраты можно прямо, непосредственно и
экономично отнести на конкретный вид продукции или к конкретной партии
продукции. Такие затраты называются прямыми затратами. Другие затраты нельзя
прямо, непосредственно и экономично отнести на конкретную продукцию. Это
непрямые или косвенные затраты, они распределяются по изделиям согласно
выбранной методике. Методы распределения затрат будут рассмотрены позднее. К
прямым затратам, как правило, относятся затраты на оплату труда основного
производственного персонала и прямые материальные затраты. Все прямые затраты
на производство продукции регистрируются по дебету счета Незавершенное
Производство.
К прямым материальным затратам относятся затраты
сырья и основных материалов. Основные материалы - это материалы, которые
становятся частью готовой продукции, их стоимость прямо и экономично, без
особых затрат относится на определенное изделие. Величина прямых материальных
затрат может быть рассчитана умножением количества материалов, которое может
быть определенно отнесено к конкретному изделию, на цену единицы материалов.
Но в некоторых случаях затраты на то, чтобы
исчислить стоимость материалов, относящихся к определенному изделию,
оказываются слишком велики. Например, как учесть, сколько клея или гвоздей
пошло на производство одного стола или стула, заклепок и болтов на производство
одного самолета. И хотя эти материалы могут составлять физическую субстанцию
производимых продуктов, они учитываются как вспомогательные материалы, и
затраты на них относят к непрямым затратам. Затраты на вспомогательные
материалы включаются составной частью в общепроизводственные расходы.
Прямые трудовые затраты включают в себя все
затраты рабочей силы, которые можно прямо и экономично отнести на определенный
вид готовых изделий. Это заработная плата операторов машин и других рабочих,
занятых непосредственным изготовлением изделий. Однако с производством связаны
и подсобные рабочие, менеджеры и мастера, вспомогательный персонал. Затраты их
труда также должны включаться в состав производственных затрат. Но эти издержки
на оплату труда нельзя прямо и экономично отнести на определенный вид готовых
изделий, они рассматриваются как косвенные (непрямые) трудовые затраты.
Косвенные затраты труда, подобно косвенным материальным затратам,
рассматриваются как часть общепроизводственных расходов.
Деление затрат труда на прямые и косвенные в
большой степени зависит от конкретных ситуаций. Если на предприятии
производится один продукт, то заработная плата не только производственных
рабочих, но и заработная плата управленческого персонала может быть
классифицирована как прямые затраты.
Дискуссионные проблемы возникают в связи с
такими расходами, как дополнительная заработная плата за время обучения,
отпуска, простоев, оплата за сверхурочную работу. Как правило, эти расходы
классифицируются как косвенные расходы, хотя жестких правил не существует, все
определяется экономической целесообразностью определения точной суммы затрат на
производство конкретной продукции.
Общепроизводственные расходы включают все
косвенные (непрямые) расходы, представляют собой совокупность разнообразных
затрат, связанных с производством, но которые нельзя непосредственно отнести на
конкретные виды готовых изделий. Их также называют косвенными производственными
расходами. Все общепроизводственные расходы, понесенные в течение отчетного
периода, регистрируются по дебету счета Общепроизводственные Расходы, и только
в конце периода они списываются с кредита этого счета в дебет счета
Незавершенное Производство.
Основными группами общепроизводственных расходов
являются:
вспомогательные материалы и комплектующие
детали;
косвенные расходы на оплату труда (заработная
плата ремонтников, вспомогательных рабочих, оплата отпусков, оплата
сверхурочной работы);
другие косвенные общепроизводственные расходы
(затраты на содержание цеховых зданий, техническое обслуживание и текущий
ремонт оборудования, налоги на недвижимость, страхование имущества, пенсионные
затраты, коммунальные услуги, арендная плата, начисленный износ оборудования).
Для обеспечения процесса реализации продукции и
функционирования предприятия, как хозяйственной единицы, в отчетном периоде
также будут понесены периодические расходы. Эти расходы связаны с полученными в
течение периода услугами, они не входят в производственную себестоимость и не
учитываются при определении себестоимости единицы продукции.
Периодические расходы или, как еще говорят,
расходы на период, текущие расходы включают коммерческие расходы, связанные с
реализацией готовой продукции, и общие и административные расходы, связанные с
функционированием предприятия в целом. Коммерческие и общие и административные
расходы полностью списываются на уменьшение финансовой прибыли за отчетный
период, они не относятся на остатки готовой продукции на складе и остатки
незавершенного производства.
По отношению к объему продукции затраты принято
делить на постоянные и переменные. Переменные затраты в сумме изменяются прямо
пропорционально изменению объема производства (уровня деловой активности).
Примерами таких затрат являются затраты сырья и основных материалов, заработная
плата основных производственных рабочих.
Постоянные затраты в сумме не изменяются при
изменении уровня деловой активности, они являются относительно постоянными.
Примером может служить оплата труда штатных работников (штат заводоуправления),
затраты на аренду помещений, амортизационные отчисления и другое.
Все прямые затраты являются переменными
затратами, а в составе общепроизводственных, коммерческих, общих и
административных расходов есть как переменные, так и постоянные составляющие
затрат.
Некоторые затраты нельзя классифицировать ни как
переменные, ни как постоянные. Полупеременные затраты имеют одновременно
переменные и постоянные компоненты. Часть этих затрат изменяется при изменении
объема производства, а часть остается фиксированной в течение периода, не
зависит от объемов деятельности. Например, месячная плата за телефон включает
постоянную сумму абонентской платы и переменную часть, которая зависит от
количества и длительности междугородних и международных телефонных разговоров.
. МЕТОД ВНУТРЕННЕЙ ПРОЦЕНТНОЙ СТАВКИ
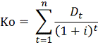
Метод оценки эффективности использования средств
построен на основе расчета величины внутренней процентной ставки и исходит из
того, что должен быть заранее известен темп прироста доходов. Этот темп
уравнивает дисконтированную величину денежных потоков от реализации финансовых
программ и общих расходов, связанных с их осуществлением. Величина внутренней
ставки дохода, или ожидаемого коэффициента эффективности использования средств,
может быть выражена в процентах. Этот показатель можно получить из уравнения чистой
дисконтированной стоимости при условии равенства общей суммы оттоков и притоков
денежных средств в результате финансирования:
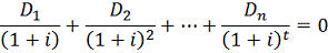
или, другими словами, внутренняя процентная
ставка дохода - это ставка дисконтирования i, при которой чистая
дисконтированная стоимость равна нулю:
В этом уравнении предполагается, что аудитор
знает величину денежных притоков D1, D2, ... Dn, и расходы по данной целевой
программе. В результате расчета ему нужно определить такое значение i, при
котором дисконтированная стоимость денежных потоков была бы равна
первоначальным расходам. Внутреннюю ставку дохода определяют практическим
способом (проб и ошибок), останавливаясь на том проценте доходности, который дает
положительную сумму ЧДС (чистая дисконтированная стоимость), с пропорциональной
последующей интерполяцией полученных в результате расчета значений.
Рекомендуется такая последовательность расчетов
внутренней процентной ставки (ВПС):
вначале определяют ориентировочную ставку
дисконтного процента (например, 10%) и рассчитывают величину ЧДС денежных
потоков, соответствующих этой ставке;
полученную сумму ЧДС сравнивают с первоначальной
суммой вложений;
если полученная сумма дисконтированного дохода
будет ниже или выше вложения, расчет следует повторить с более низкой или более
высокой ставкой процента;
При расчетах искомого значения внутренней
процентной ставки необходимо учитывать особенности вариантов, когда денежные
притоки одинаковы в течение срока инвестирования и когда они различны.
Для интерполяции используют следующую формулу:
где ВПС - внутренняя процентная ставка;- ставка
дисконта при отрицательном ЧДС;- ставка дисконта при положительном ЧДС;
ЧДС0 - чистая дисконтированная стоимость при
ставке i0;
ЧДСn
- чистая дисконтированная стоимость при ставке in.
Определяя внутреннюю норму доходности вложений,
устанавливается максимальный размер величины вложений средств, при котором
проект сохраняет свою эффективность.
Можно определить внутреннюю процентную ставку и
графоаналитическим способом, представленным на рисунке 2.1. В этом случае
стоимость капитала при расходовании денег подсчитывается дважды - так сказать,
двумя "пробными процентными ставками", то есть ощупью добираются до
внутренней процентной ставки. Например, при процентной ставке в десять
процентов предприятие придет к (негативной) стоимости капитала минус 6000. Если
процентная ставка будет пять процентов, то получится (позитивная) стоимость
капитала плюс 8000. Значит, внутренняя процентная ставка должна быть где-то
между пятью и десятью процентами. Соединяются одной линией две точки,
получаемые в результате комбинации десяти процентов и минус 6000, и пяти
процентов и плюс 8000. Точка пересечения этой линией процентной оси и укажет
внутреннюю процентную ставку - 7,8 процента.
Рисунок 2.1
Инвестиция принесет прибыль лишь в том случае,
если внутренняя процентная ставка будет выше калькуляционной ставки.
Динамические методы инвестиционных вычислений страдают общим недостатком:
доходы и расходы какой-либо установки должны рассматриваться за весь период
работы.
ЗАДАЧА
Построить график безубыточности продукции по
следующим исходным данным:
|
№
п/п
|
Наименование
показателей
|
Значение
|
|
1
|
Объем
продаж, т
|
100
|
|
2
|
Отпускная
цена за единицу, тыс. рублей
|
20
|
|
3
|
Стоимость:
а) материалов, тыс. рублей б) сырья, тыс. рублей в) тары, тыс. рублей г)
электроэнергии, тыс. рублей
|
180
300 150 100
|
|
4
|
Зарплата
основных рабочих с соц. начислениями, тыс.р.
|
80
|
|
5
|
Транспортные
расходы, тыс. рублей
|
60
|
|
6
|
Зарплата
управленческого персонала, тыс. рублей
|
400
|
|
7
|
Зарплата
цехового персонала, тыс. рублей
|
100
|
|
8
|
Амортизационные
отчисления, тыс. рублей
|
50
|
. Для построения графика безубыточности
необходимо определить следующие показатели:
РР = ВР - ПЗ на ед. * ОП, где:
РР - результат от реализации после возмещения
переменных затрат, тыс.р.;
ВР - выручка от реализации, тыс. р.;
ПЗ на ед. - переменные затраты на единицу
продукта, тыс. р.;
ОП - объем продаж, т.
ОР = РР : ВР, где:
ОР - относительный объем реализации после
возмещения переменных затрат, т.
ПР = УП : ОР, где:
ПР - порог рентабельности в стоимостном выражении,
тыс. р.;
УП - условно-постоянные затраты на весь выпуск
продукции, тыс.р.
ОК = ПР : ЦП, где:
ОК - критический объем продаж, то есть порог
рентабельности в натуральном выражении, т.;
ЦП - продажная цена за единицу продукции, тыс.
р.
. По результатам графических построений
найти следующие показатели:
вклад на покрытие постоянных затрат;
запас финансовой прочности.
РЕШЕНИЕ
. Найдем результат от реализации после
возмещения переменных затрат: РР = ВР - ПЗ на ед. * ОП,
Где: ВР = ОП*Ц = 100 * 20 = 2000 тыс.р., находим
выручку от реализации;
По условию задачи переменные затраты по каждой
статье даны на весь объем продукции, для того чтобы найти, переменные затраты
на единицу продукта, необходимо: сумму по каждой статье затрат разделить на
объем продукции. Следовательно, получаем:
РР = 2000 - (9,7 * 100) = 1030 тыс.р.;
. Рассчитаем (ОР) - относительный объем
реализации после возмещения переменных затрат, т.:
ОР = РР : ВР = 1030 : 2000 = 0,515 т.; - эффект
производственного рычага.
. Найдем (ПР)- порог рентабельности в
стоимостном выражении, тыс. р.;
ПР = УП : ОР = 450 : 0,515 = 873,79 тыс.р.;
. Рассчитаем (ОК) - критический объем
продаж, то есть порог рентабельности в натуральном выражении, т:
ОК = ПР : ЦП = 873,79 : 20 = 43,69 т.
График точки безубыточности

Разность между фактической и
критической выручкой характеризует Запас финансовой прочности. Он показывает на
сколько можно сократить реализацию (производство) продукции, не неся при этом
убытков. Запас финансовой прочности предприятия выступает важнейшим показателем
степени финансовой устойчивости. Расчет этого показателя позволяет оценить
возможности дополнительного снижения выручки от реализации продукции в границах
точки безубыточности.
Вклад на покрытие постоянных затрат
= выручка от реализации - переменные затраты на производство этой продукции.
Любое увеличение вклада на покрытие
выгодно предприятию, так как увеличивает возможность повышения прибыли. Кроме
того, сократить постоянные издержки значительно проще, чем переменные. Для
сокращения переменных издержек необходимы, прежде всего, технические инновации,
которые сами по себе могут быть весьма затратными, в то время как резервы
снижения постоянных издержек существуют практически всегда. Например, можно
экономить электроэнергию в офисных помещениях, сокращать административный
персонал, снижать затраты на телефонные переговоры, оптимизировать транспортные
расходы без ущерба для основного производства.
СПИСОК ИСПОЛЬЗОВАННЫХ ИСТОЧНИКОВ
затрата
процентная ставка безубыточность
1. Друри К. Введение в
управленческий и производственный учет / К. Друри. - М.: Аудит, - 1994. - 328с.
. Котляров С.А. Управление
затратами: Учеб. Пособие / С.А. Котляров. - СПб.: Питер, - 2001. - 289с.
. Лебедев В.Г., Дроздова Т.Г.,
Кустарев В.П. и др. Управление затратами на предприятии: Учеб. пособие / Под
общей ред. Г.А. Краюхина. - СПб.: Бизнес-Пресса, - 2003. - 421с.
. Мешалкина, Р.Е. Аудит
эффективности - объективная необходимость [Текст] / Р. Е. Мешалкина // Финансы.
- 2005. - № 2. - С. 65-68.
. Мокий М.С. СкамайЛ.Г., Трубочкина
М.И. Экономика предприятия \ М.С. Мокий. - М.: ИНФРА-М, - 2002. - 489с.
. Новодворскии В.Д., Сабанин Р.Л.
Бухгалтерский и налоговый учет доходов и расходов / В.Д. Новодворкин. - СПб.:
Питер, - 2003. - 309с.
. Савицкая Г.В. Анализ хозяйственной
деятельности предприятия: Учебник Г.В. Савицкая. - М.: ИНФРА-М, - 2008. - 511с.
. Степашин С.В., Столяров Н.С.,
Шохин С.О., Жуков В.А. Государственный финансовый контроль / С.В.Степашин,
Н.С.Столяров, С.О.Шохин, В.А.Жуков . - СПб: Питер. - 2004 - с. 113.
. Торопова Е.В., Полушин А.П.
Управление издержками производства в системе оперативного контроллинга / Под
ред. О.А. Мироновой. - Йошкар-Ола: Изд-во Марийского гос. техн. ун-та, - 2004.
- 321с.