Применение криволинейных интегралов в различных областях наук
Введение
Математика является точной абстрактной наукой,
изучающей количественные соотношения и пространственные формы.
Точность математики означает, что основным
методом в математических исследованиях являются логические рассуждения, а
результаты исследований формулируются в строгой логической форме. Абстрактность
же математики означает, что объектами ее изучения являются модели
(математические). В этих моделях математика изучает соотношения между их
элементами, количественные и качественные связи между ними, их форму. Одна и та
же математическая модель может описывать с определенным приближением свойства
очень далеких друг от друга по своему конкретному содержанию реальных явлений.
Математика неустанно продолжает развиваться, в
ней создаются новые методы, появляются новые разделы. Развитие математики в
целом определяет уровень ее использования и оказывает существенное влияние на
развитие других наук и техники. В свою очередь, задачи практики, прогресс
других фундаментальных и прикладных наук приводят к созданию новых направлений
математики, стимулируют ту или иную направленность математических исследований,
расширяют возможность применения математических методов.
В данной работе будет рассмотрено применение
криволинейных интегралов в различных областях наук, в частности физики,
механики и т.д.
Криволинейный интеграл первого рода
Для того чтобы естественным путем прийти к
определению криволинейного интеграла, рассмотрим одну механическую задачу,
которая к нему приводит.
Пусть на плоскости дана непрерывная простая
спрямляемая кривая (К), вдоль которой расположены массы, причем известна их
линейная плотность 
во всех точках M
кривой. Требуется определить массу 
всей кривой (К).
криволинейный интеграл магнитный
поле
Рис. 1
С этой целью между концами 
кривой вставим
произвольно ряд точек 
для симметрии
обозначений отождествляются с 
). Эти точки
пронумерованы в направлении от 
, хотя ничто не
мешает перенумеровать их и в обратном направлении.
Взяв какую-нибудь точку 
на дуге 
кривой, вычислим
плотность 
в этой точке.
Приближенно считая, что такова же плотность во всех точках этого участка, и
обозначая длину дуги 
через 
, для массы 
этой дуги будем
иметь приближенное выражение
а для всей искомой массы - выражение
Погрешность этого последнего, связанная с
сделанным выше приближенным допущением, будет стремиться к нулю, если длины 
всех участков
стремятся к нулю. Таким образом, обозначая через 
наибольшую из длин

для получения
точной формулы остается лишь перейти к пределу:

.
Станем же изучать вообще пределы этого рода и,
отвлекаясь от рассмотренной задачи, возьмем произвольную «функцию точки» 
заданную вдоль
непрерывной простой спрямляемой кривой 
, и повторим
указанный процесс: разбив кривую 
) на элементарные
дуги 
и выбрав на них
произвольно по точке 
вычислим значения 
в них и составим
сумму
она представляет собой также своего рода
«интегральную сумму».
Аналогичный процесс может быть применен и в
случае замкнутой кривой, если за точку 
выбрать любую ее
точку, а остальные точки 
расположить в
соответствии с тем или другим направлением на кривой.
Если при стремлении 
к нулю
интегральная сумма имеет определенный конечный предел I, не зависящий ни от
способа дробления кривой (K), ни от выбора точек 
на участках 
, то он называется
криволинейным интегралом (первого типа) от функции 
взятым по кривой
или по пути
и обозначается
символом
(где 
есть длина дуги
кривой и 
напоминает об
элементарных длинах 
.
Таким образом, полученное выше выражение для
массы материальной кривой может быть переписано так:
Отметим особо, что в приведенном определении не
играет никакой роли направление, которое может быть придано пути
. Если, например,
эта кривая не замкнута и под 
разуметь разно
направленные кривые, то
Криволинейный интеграл второго рода
Пусть дана непрерывная кривая 
(которую мы для
простоты предположим незамкнутой) и пусть вдоль нее снова задана некоторая
функция 
Разложив кривую
точками 
на части, выберем
на отрезке кривой 
по произволу точку

и вычислим в ней
значение функции 
Но это значение
умножим на этот раз не на длину дуги 
, а на величину
проекции этой дуги, скажем, на ось 
, т.е. на 
; затем составим
сумму
Если при стремлении 
нулю эта сумма
имеет конечный предел I, не зависящий ни от способа дробления кривой, ни от
выбора точек 
, то этот предел
называется криволинейным интегралом (второго типа) от 
взятым по кривой
или по пути 
и обозначается
символом
Аналогично, умножая значение
и составляя сумму
как предел ее получим криволинейный интеграл
(второго типа) от 
Если вдоль кривой 
и существуют
интегралы
то и их сумму называют криволинейным интегралом
(«общего вида») и полагают
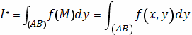
Сопоставим теперь определение криволинейного
интеграла второго типа с определением криволинейного интеграла первого типа.
При очевидном сходстве оба определения имеют существенное различие: в случае
интеграла первого типа при составлении интегральной суммы значение функции 
умножается на
длину 
участка 
кривой, а в случае
интеграла второго типа это значение 
умножается на
проекцию 
упомянутого
участка на ось 
.
Направление пути 
, вдоль которого
производится интегрирование, не играет роли в случае первого типа, ибо длина 
от этого
направления не зависит. Иначе обстоит дело с интегралом второго типа: проекция
упомянутой дуги на ту или другую из осей существенно зависит от направления
дуги и меняет знак с изменением этого направления на обратное. Таким образом,
для интегралов второго типа будет
и, аналогично,
Причем из существования интегралов справа уже
вытекает существование интегралов слева, и обратно.
Подобным же образом можно ввести понятие
криволинейного интеграла второго типа, распространенного на пространственную
кривую 
Именно, если
функция 
задана в точках
этой кривой, то строим сумму
и рассматриваем ее предел при условии стремления
к нулю 
этот предел
называется криволинейным интегралом (второго типа) от 
и обозначается
символом
Аналогично определяются интегралы вида
Наконец, рассматривается и интеграл («общего
вида»)
Здесь также направление интегрирования меняет
знак интеграла.
Приложения криволинейных интегралов
Теперь можно перейти непосредственно к
приложениям криволинейных интегралов. Криволинейные интегралы имеют
многочисленные приложения в математике, физике и прикладных расчетах. В
частности, рассмотрим геометрические и физические.
Геометрические.
С помощью криволинейных интегралов вычисляются:
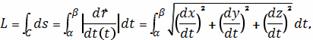
Длина кривой
Пусть 
является гладкой,
кусочно-непрерывной кривой, которая описывается вектором 
Длина данной
кривой выражается следующим криволинейным интегралом

где 
производная, а 
-компоненты
векторной функции 
Если кривая
задана в
плоскости, то ее длина выражается формулой
Если кривая 
представляет собой
график заданной явно, непрерывной и дифференцируемой функции 
в плоскости O
xy,то длина такой кривой вычисляется по формуле

Пример 1
Найти длину кривой 
при условии 
Решение.
Запишем функцию в виде 
или 
Рис. 2
Поскольку y ≥ 0, то мы возьмем только
положительный корень в уравнении кривой. Длина кривой равна
Пример 2
Вычислить длину параболы 
в интервале 
Решение.
Применяя формулу 
находим, что
Для вычисления полученного интеграла сделаем
замену 
Следовательно, При 
получаем 
а при 
- соответственно, 
Тогда длина
участка параболы равна
Сделаем еще одну замену. Положим

В приведенном выше выражении мы использовали
тригонометрическое соотношение
В результате длина кривой равна
Разложим подынтегральное выражение на сумму
элементарных рациональных дробей.
Следовательно,
Решая данную систему уравнений, находим
коэффициенты

.
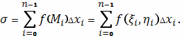
Площадь области, ограниченной
замкнутой кривой
Пусть C является гладкой, кусочно-непрерывной и
замкнутой кривой, заданной в плоскости 
. Тогда площадь
области R, ограниченной данной кривой, определяется формулами 
Рис. 3
Здесь предполагается, что обход кривой C
производится против часовой стрелки.
Если замкнутая кривая C задана в параметрическом
виде 
то площадь
соответствующей области равна
Пример 3
Найти площадь области, ограниченной гиперболой 
осью 
и вертикальными
прямыми 
Решение.
Вычислим площадь с помощью криволинейного
интеграла.
Рис. 4
Решение.
Вычислим площадь с помощью криволинейного
интеграла.
Найдем отдельно каждый из интегралов.
Следовательно, площадь заданной области равна 
Пример 4
Найти площадь области, ограниченной эллипсом,
заданным параметрически в виде 
Решение.
Рис. 5
Применим сначала формулу
Получаем

Площадь данной фигуры можно вычислить, используя
также и две другие формулы:

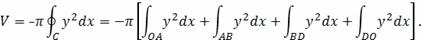
Объем тела, образованного вращением замкнутой
кривой относительно оси 
Предположим, что область R расположена в верхней

и ограничена
гладкой, кусочно-непрерывной и замкнутой кривой C, обход которой осуществляется
против часовой стрелки.
В результате вращения области R вокруг оси 
образуется тело Ω.
Объем
данного тела определяется формулами
Рис. 6
Пример 5
Решение.
Рис. 7
Объем этого тела найдем по формуле:
Вычислим криволинейные интегралы
Следовательно, объем тела равен
Пример 6
Найти объем эллипсоида, образованного вращением
эллипса с полуосями 
.
Решение.
Рис. 8
Воспользуемся параметрическими уравнениями
эллипса 
Мы можем
ограничиться рассмотрением половины эллипса, лежащей в верхней полуплоскости 
Тогда объем
эллипсоида с полуосями 
будет равен
где под функцией 
подразумевается
верхняя половина эллипса. Переходя к параметрической форме записи, находим
объем
Отсюда, в частности, следует, что объем шара
(при этом 
) равен
Физические
С помощью криволинейных интегралов вычисляются:
Масса кривой
Предположим, что кусок проволоки описывается
некоторой пространственной кривой C. Пусть масса распределена вдоль этой кривой
с плотностью 
. Тогда общая масса
кривой выражается через криволинейный интеграл первого рода
Если кривая C задана в параметрическом виде с
помощью векторной функции
то ее масса описывается формулой
В случае плоской кривой, заданной в 
, масса
определяется как
или в параметрической форме
Пример 7
Определить массу проволоки, имеющей форму
отрезка от точки 
Масса распределена
вдоль отрезка с плотностью 
Решение.
Составим сначала параметрическое уравнение
прямой 

или 
где параметр 
изменяется в
интервале 
. Тогда масса
проволоки равна
Пример 8
Найти центр масс проволоки, имеющей форму
кардиоиды 
, где с плотностью 
Рис. 9
Решение.
Очевидно, в силу симметрии, 
. Чтобы найти
координату центра масс 
, достаточно
рассмотреть верхнюю половину кардиоиды.
Предварительно найдем полную массу кардиоиды. В
полярных координатах получаем

Вычислим момент первого порядка 
Используя формулу

Полагая 
(нижний и верхний
пределы интегрирования становятся равными, соответственно, 
), можно записать

Тогда
Следовательно, координаты центра масс кардиоиды
равны 
.
Центр масс и моменты инерции кривой
Пусть снова кусок проволоки описывается
некоторой кривой C, а распределение массы вдоль кривой задано непрерывной
функцией плотности 
Тогда координаты
центра масс кривой определяются формулами
− так называемые моменты первого порядка.
Моменты инерции относительно осей 
определяются
формулами
Пример 9
Вычислить момент 
в форме окружности

с плотностью 
Решение.
Момент инерции 
относительно оси 
вычисляется по
формуле
Проводя вычисления, получаем

Работа поля
Работа при перемещении тела в силовом поле 
вдоль кривой 
выражается через
криволинейный интеграл второго рода
где 
− сила, действующая
на тело, 
− единичный
касательный вектор. Обозначение 
означает скалярное
произведение векторов 
и 
.
Рис. 10
Заметим, что силовое поле 
не обязательно
является причиной движения тела. Тело может двигаться под действием другой
силы. В таком случае работа силы 
иногда может
оказаться отрицательной.
Если векторное поля задано в координатной форме
в виде
то работа поля вычисляется по формуле
В частном случае, когда тело двигается вдоль
плоской кривой 
в плоскости 
справедлива
формула

Если траектория движения 
определена через
параметр 
часто означает
время), то формула для вычисления работы принимает вид

изменяется в
интервале от 
.
Если векторное поле 
потенциально, то
работа по перемещению тела из точки 
выражается
формулой
где − 
потенциал поля.
Пример 10
Найти работу, совершаемую полем 
при перемещении
тела от начала координат 
до точки 
) по траектории 
, где
) С − отрезок прямой 
2) С - кривая 
.
Решение.
Вычислим работу при перемещении вдоль прямой 

Определим теперь работу при перемещении вдоль
кривой 
.

Пример 11
Тело массой 
брошено под углом
к горизонту 
с начальной
скоростью 
. Вычислить работу
силы притяжения 
за время движения
тела до момента соударения с землей.
Рис. 11
Решение.
Запишем закон движения тела в параметрической
форме.
При соударении с землей 
так что время
полета тела равно
Силу притяжения запишем в виде 
. Тогда работа за
время перемещения тела равна

Полученный результат объясняется тем, что
гравитационное поле Земли является потенциальным, поскольку выполняется
равенство
Найдем потенциал этого поля. В общем виде он
записывается как
Полагая 
, находим 
или 
Таким образом, потенциал гравитационного поля
равен
где C − константа, которую можно положить
равной 0. В результате получаем потенциал в виде
Отсюда видно, что при перемещении тела из
начальной точки 
) до конечной точки

работа равна
Магнитное поле вокруг проводника с
током (Закон Ампера)
Криволинейный интеграл от магнитного поля с
индукцией 
вдоль замкнутого
контура 
пропорционален
полному току, протекающему через область, ограниченную 
Рис. 12
Это выражается формулой 
,
где 
- магнитная
проницаемость вакуума, равная 
Н/м.
Электромагнитная индукция в замкнутом контуре
при изменении магнитного потока (Закон Фарадея)
Электродвижущая сила 
наведенная в
замкнутом контуре 
, равна скорости
изменения магнитного потока 
, проходящего через
данный контур

Рис. 13
Пример 12
Оценить значение электродвижущей силы 
и электрического
поля 
, возникающих в
кольце радиусом 
у пассажира
самолета, при полете самолета в магнитном поле Земли со скоростью
Решение.
Согласно закону Фарадея

Предположим, что магнитное поле 
перпендикулярно
плоскости кольца. Тогда за время 
изменение потока
равно
где,
− скорость
самолета, 
− индукция
магнитного поля Земли. Из последнего выражения получаем
Подставляя заданные величины

находим значение э.д.с.:
Как видно, это вполне безопасно для
авиапассажиров. Напряженность возникающего электрического поля найдем по
формуле. В силу симметрии, наведенное электрическое поле будет иметь постоянную
амплитуду в любой точке кольца. Оно будет направлено по касательной к кольцу в
любой его точке. Это позволяет легко вычислить криволинейный интеграл.
Следовательно, напряженность электрического поля
равна
Заключение
Современный научный работник или инженер должен
в достаточной степени хорошо владеть как классическими, так и современными
математическими методами исследования, которые могут применяться в его области.
Для того чтобы иметь возможность с успехом применять математические методы при
изучении того или иного вопроса, нужно, конечно, прежде всего, иметь
необходимые знания, уметь правильно обращаться с математическим аппаратом,
знать границы допустимого использования рассматриваемой математической модели.
В данной работе я попыталась наиболее обширно
раскрыть применение криволинейного интеграла в различных областях наук.
Благодаря криволинейным интегралам можно вычислить многие физические величины,
что, конечно же, облегчает работу научных работников. Я считаю, что математика
- универсальная наука, и более чем уверена, что без нее не существовала ни одна
современная наука. Применение математики обширно, начиная с физики и
заканчивая, казалось бы далекой от математики наукой - медициной.
Список использованной литературы
1. Л.Д.
Кудрявцев «Курс математического анализа», 2 том, Москва «Высшая школа» 1988 г.
2. Г.М.
Фихтенгольц «Курс дифференциального и интегрального исчисления», 3 том, «Наука»
1969 г.
. Г.М.
Фихтенгольц «Основы математического анализа», 2 том.
. К.Н.
Лунгу, В.П. Норин, Д.Т. Письменный, Ю.А. Шевченко «Сборник задач по высшей
математике», 2 часть, «Айрис-пресс» 2007 г.
. Д.
Письменный «Конспект лекций по высшей математике», «Айрис-пресс» 2007 г.
. www.math24.ru
<http://www.math24.ru>
. А.П.
Аксёнов «Математический анализ» Санкт - Петербург 2000 г.
. В.Р.
Гаврилов, Е.Е. Иванова, В.Д. Морозова «Кратные и криволинейные интегралы.
Элементы теории поля», 7 часть Москва 2003 г.