Электрическая сеть и короткое замыкание
Московский государственный
технический
университет гражданской авиации
Кафедра электротехники и авиационного
электрооборудования
Контрольная работа по предмету
"Устройства электроснабжения воздушных судов"
Задача 1
Рассчитать электрическую сеть постоянного тока напряжением 28,5 В,
схема которой изображена на рис. 1.1.
Данные для расчёта приведены в табл. 1.1.
Допустимая потеря напряжения на концах всех участков равна 2 В.
Исходные данные
Таблица 1.1
|
Длины участков, м
|
Токи нагрузки, А
|
|
l1
|
l2
|
l3
|
l4
|
l5
|
l6
|
l7
|
I2
|
I3
|
I4
|
I5
|
I6
|
I7
|
|
14
|
18
|
0
|
8
|
5
|
5
|
0
|
15
|
0
|
10
|
25
|
25
|
0
|
Решение
Расчёт электрической сети проводим из условия минимальной массы
проводникового материала.
Уравнение для расчёта объёма проводникового материала всех участков сети
равно:
= S0l0 + S1l1
+ S2l2 + S3l3
+ S4l4 + S5l5
+ S6l6 + S7l7, (1.1)
где S0, S1, S2, S3, S4, S5, S6, S7 - сечения соответствующих участков линии сети.
Т.к. участки l3 = 0 и l7 = 0, то выражение (1.1) будет выглядеть следующим
образом:
V = S0l0 + S1l1
+ S2l2 + S4l4
+ S5l5 + S6l6, (1.2)
Заданная потеря напряжения разделяется следующим образом:
ΔUдоп = ΔU0 + ΔUотв, (1.3)
где ΔU0 - потеря напряжения на участке l0;
ΔUотв - потеря напряжения в ответвлениях
на участках l1, l2, l4, l5, l6.
Предположим, что потери напряжения для всех потребителей одинаковы, тогда
ΔUдоп = ΔU1 = ΔU2 = ΔU4 = ΔU1 - ΔU5 = ΔU1 - ΔU6. (1.4)
Сечение проводов для каждого участка определяется по следующим выражениям:
для участка l0
S0 =
; (1.5)
для
участка l1
1 =
; (1.6)
для
участка l2
2 =
; (1.7)
для
участка l4
4 =
; (1.8)
для
участка l5
5 =
; (1.9)
для
участка l6
6 =
, (1.10)
где γ - удельная проводимость меди (γ = 57 м/(Ом·мм2) - справочные
данные).
Подставив
выражения (1.5) - (1.10) в (1.2) получим следующее:
= 

Условие
минимума массы сети можно определить следующим образом:
= 0
или
=
= 0,
откуда
получается, что
= 0.
Тогда
получается, что
= 
. (1.12)
Решим
уравнение (1.12) относительно ΔU1.
=
, (1.13)
откуда
=
или
=
. (1.14)
Подставив
в выражение (1.14) числовые данные получаем
=
= 1,555 В.
Тогда
по выражениям (1.6) - (1.10) определяем сечения проводов:
=
= 7,9 мм2;
=
= 3,05 мм2;
=
= 0,9 мм2;
=
= 1,41 мм2;
=
= 1,41 мм2.
В
соответствии со стандартными значениями принимаем следующие значения сечений
проводов и, соответственно, допустимые токовые нагрузки на изолированные
провода (справочные данные):
= 10 мм2
(для I ≤
80 А);
= 4 мм2
(для I ≤
41 А);
= 1 мм2
(для I ≤
15 А);
= 1,5 мм2
(для I ≤
21 А);
= 1,5 мм2
(для I ≤
21 А).
Задача 2
электрический сеть ток короткий замыкание
Рассчитать
установившийся и ударный токи короткого замыкания в замкнутой питательной
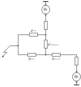
электрической сети постоянного тока, схема которой изображена на рис. 2.1. На
схеме приведены значения сопротивлений участков сети в Омах. Генераторы
снабжены статическими регуляторами напряжения, измерительные органы которых
включены на генераторные шины. Влиянием нагрузки на токи короткого замыкания
можно пренебречь.
Исходные данные
Рис.
2.1. Схема электрической сети постоянного тока.
Номинальное
напряжение генератора - 28,5 В.
Номинальный
ток генератора - 600 А.
Решение
Для
расчётов токов короткого замыкания в электрических сетях ЛА наиболее
целесообразно использовать систему относительных единиц, в которой в качестве
базисных единиц приняты номинальный ток и номинальное напряжение одного из
генераторов. Таким образом,
базисное
напряжение Uб = Uн = 28,5 В;
базисный
ток Iб = Iн = 600 А;
базисное
сопротивление rб =
=
= 0,0475
Ом;
базисная
мощность Рб = Uб · Iб = 28,5 ·
600 = 17100 Вт.
Перейдём
к относительным единицам:
относительные
ЭДС и напряжение ε =
=
;
относительный
ток j =
=
;
относительное
сопротивление ρ =
=
;
относительная
мощность р =
=
.
Преобразуем
электрическую схему.
Для
этого переведём все сопротивления в относительные единицы, т.е.:
ρ1 =
=
=
0,1158; ρ2 =
=
=
0,0316;
ρ3 =
=
=
0,1158; ρ4 =
=
=
0,0905;
ρ5 =
=
=
0,1053; ρ6 =
=
=
0,1474;
ρ7 =
=
=
0,0358; ρ8 =
=
=
0,1095;
ρ9 =
=
=
0,1474; ρ10 =
=
=
0,1684;
ρ11 =
=
=
0,2105.
Расчёт
токов короткого замыкания производим графоаналитическим методом. Для этого
заменяем последовательно соединённые резисторы эквивалентными. Получаем
(ρ2 - ρ3 - ρ4): ρ2,3,4 = ρ2 + ρ3 + ρ4 = 0,0316
+ 0,1158 + 0,0905 = 0,2379;
(ρ5 - ρ6 - ρ7): ρ5,6,7 = ρ5 + ρ6 + ρ7 = 0,1053
+ 0,1474 + 0,0358 = 0,2885;
(ρ8 - ρ9): ρ8,9 = ρ8 + ρ9 = 0,1095
+ 0,1474 = 0,2569;
(ρ1 - ρ10): ρ1,10 = ρ1 + ρ10 =
0,1158 + 0,1684 = 0,2842.
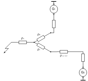
С
учётом этих замен на рис. 2.2 представлена эквивалентная схема, соответствующая
схеме на рис. 2.1.
Рис.
2.2. Эквивалентная схема.
В
схеме на рис. 2.2 треугольник сопротивлений ρ5,6,7, ρ8,9 и ρ11 заменим
эквивалентной звездой (рис. 2.3). При этом
ρ8,9,11 =
=
=
0,0715;
ρ5,6,7,11 =
=
=
0,0803;
ρ5,6,7,8,9
=
=
=
0,0980.
Рис.
2.3. Эквивалентная схема соединения "звездой".
В
данной эквивалентной схеме определим сопротивление ρ2,3,4,5,6,7,11, которое равно:
ρ2,3,4,5,6,7,11 = ρ2,3,4 + ρ5,6,7,11 =
0,2379 + 0,0803 = 0,3182.
Треугольник
сопротивлений (ρ1,10 - ρ8,9,11 - ρ2,3,4,5,6,7,11), изображённый на рис 2.4. заменим эквивалентной звездой и переделаем
схему соединений. Новая эквивалентная схема представлена на рис. 2.5. На данной
схеме представлены следующие сопротивления:
ρА =
=
=
0,0302;
ρВ =
=
=
0,1342;
ρС =
=
=
0,0338.
Рис.
2.4. Эквивалентная схема.
Рис.
2.5. Эквивалентная схема соединения "звездой".
В
результате замены соединения треугольника на "звезду" резисторы ρС и ρ5,6,7,8,9,
соединённые последовательно, заменяем эквивалентным сопротивлением, равным
ρС,5,6,7,8,9
= ρС + ρ5,6,7,8,9
= 0,0338 + 0,0980 = 0,1318.
В
итоге получаем расчётную схему для определения ударного и установившегося токов
короткого замыкания. Данная схема представлена на рис. 2.6.
Рис.
2.6. Эквивалентная расчётная схема.
По
схеме рисунка 2.6 проводим расчёт ударного и установившегося токов короткого
замыкания в т. 10. Для расчёта применяем графоаналитический метод.
Переходную
характеристику генераторов считаем стационарной и аппроксимируем её линейной
зависимостью:
U
= Eн -·Iк.у, (2.1)
где Eн - расчётная ЭДС;
Rн - расчётное внутреннее сопротивление генераторов;
Iк.у - ударное значение тока короткого замыкания.
Рассчитаем
сначала ударный ток короткого замыкания.
Воспользуемся
справочными данными для переходного режима, а именно:
относительная
расчётная ЭДС ε* = 1,29;
относительное
расчётное внутреннее сопротивление ρ* = 0,258.
Тогда
внешняя характеристика генераторов в относительных единицах запишется
выражением
ε = ε* - ρ*i = 1,29 - 0,258i. (2.2)
По
выражению (2.2) строим внешние характеристики генераторов G1 и G2 и
вольт-амперные характеристики участков сети ρА, ρВ, ρС,5,6,7,8,9
(рис. 2.7). Из ординат графиков G1 и G2 вычитаем ординаты вольт-амперных характеристик ρА, ρВ, ρС,5,6,7,8,9.
В результате получаем внешние характеристики генераторов
и
,
приведённые к общей шине. Затем суммируем абсциссы приведённых внешних
характеристик генераторов
и
и
получаем результирующую внешнюю характеристику генераторов Σ(
) на
шинах центрального распределительного устройства. (ЦРУ). Точка О (точка
пересечения результирующей внешней характеристики генераторов Σ(
) и
вольт-амперной характеристики участка сети ρА) и
определяет ток короткого замыкания в точке 10 на рис. 2.6.
Отсюда,
абсолютное значение ударного тока короткого замыкания равно:
Iк.у = 600iк.у = 600 · 5,6 = 3360 А.
Рассчитаем
установившийся ток короткого замыкания.
Воспользуемся
справочными данными для установившегося режима, а именно:
относительная
расчётная ЭДС ε* = 0,81;
относительное
расчётное внутреннее сопротивление ρ* = 0,62.
Тогда
внешняя характеристика генераторов в относительных единицах запишется
выражением
ε = ε* - ρ*i = 0,81 - 0,62i. (2.3)
По
выражению (2.3) и описанному выше способу строим внешние характеристики
генераторов G1 и G2, вольт-амперные характеристики участков сети ρА, ρВ, ρС,5,6,7,8,9,
внешние характеристики генераторов
и
, приведённые к общей шине, результирующую внешнюю
характеристику генераторов Σ(
). Точка О
(точка пересечения результирующей внешней характеристики генераторов Σ(
) и
вольт-амперной характеристики участка сети ρА) и
определяет значение относительного установившегося тока короткого замыкания в
точке 10 на рис. 2.6. Результаты построения показаны на рис. 2.8.
Отсюда,
абсолютное значение установившегося тока короткого замыкания равно:
Iк.з. = 600iк.з = 600 · 1,95 = 1170 А.
Литература
1. Савёлов А. А. Устройства
электроснабжения воздушных судов. Пособие по изучению дисциплины и контрольные
задания. - М.: МГТУ ГА, 2004.
2. Синдеев И. М., Савёлов А. А. Системы
электроснабжения воздушных судов: Учеб. для вузов. - М.: "Транспорт",
1990.