Элементарная физика

  • Вид работы:
    Контрольная работа
  • Предмет:
    Физика
  • Язык:
    Русский
    ,
    Формат файла:
    MS Word
    234,88 kb
  • Опубликовано:
    2011-10-04
Вы можете узнать стоимость помощи в написании студенческой работы.
Помощь в написании работы, которую точно примут!

Элементарная физика

1 вариант

А1. На первом участке пути в течение времени Δt1 = 3t/4 (где t - время движения) средняя скорость тела в 2 раза больше его средней скорости в оставшийся промежуток времени. Если средняя скорость тела на всем пути <v> = 14 км/ч, то его средняя скорость <v1> на первом участке равна:

1.       14 км/ч;

2.       16 км/ч;

.        19 км/ч;

.        21 км/ч;

.        28 км/ч.

Решение

По определению средней скорости:

<v> =

S1 + S2

=

0.75<v1>t + 0.25<v2>t

= 0.75<v1> + 0.25<v2>.


t


t



По условию задачи:

<v1>

= 2,

<v2>



или

<v1>

= <v2>.

2



Тогда:

 <v> = <v1>

3

+

<v1>

1

= <v1>(

3

+

1

) = <v1>

7

.


4


2


4


4


8


8



Выразим искомую среднюю скорость на первом участке:

<v1> =

8

<v2>.


7



Проведем вычисления:

<v1> =

8

• 14 = 16 (км/ч).


7



Выбираем правильный ответ: 2.

Примечания (подробности на главной странице теста):

1.       затраченное время: 1 минута.

2.       оценка задачи: 5 из 10 баллов.

.        уровень задачи: 3 (базовый).

.        субъективная сложность: 6 из 10 баллов.


А2. Модули линейной скорости т. A и B, расположенных на поверхности горизонтального диска, равномерно вращающегося вокруг неподвижной вертикальной оси, проходящей через его центр (т. О),v1 = 9,42 м/с и v2 = 6,0 м/с соответственно. Если частота вращения диска v = 1,5 с−1, то расстояние между точками AB равно:

1.       0,89 м;

2.       0,79 м;

.        0,36 м;

.        0,18 м;

5.       0,090 м.

Решение

При равномерном вращении диска скорости точек:

v1 = 2πR1v


и

v2 = 2πR2v.


Вычтем из первого уравнения второе:

v1 − v2 = 2πv(R1 − R2) = 2πvΔR.


Выражаем искомое расстояние между точками AB:

ΔR =

v1 − v2

.


2πv



После вычислений:

ΔR =

9,42 − 6

= 0.36 (м).


2×3,14×1,5


Выбираем правильный ответ: 3.


А3. На тело массой m = 2,5 кг действуют силы F1 и F1 (векторы, см. рис). Еcли проекция силы F1 на оси координат F1x = −15 H и F1y = 5.0 Н, то модуль ускорения a тела равен:

1.   10 м/с2;

2.       7,5 м/с2;

.        5,0 м/с2;

.        2,5 м/с2;

5.   2,0 м/с2.

Решение

Для определения ускорения необходимо определить равнодействующую силу, которая действует на тело. Зная проекцию 1-й силы на ось x, найдем масштаб по этой оси - он равен:

15 H

= 5 H/дел.

3 дел



Зная проекцию 1-й силы на ось y, найдем масштаб по этой оси - он равен:

5 H

= 5 H/дел.

1 дел


Модуль суммы проекций сил на ось x равен:

15 Н + 5 Н = 20 Н.

Модуль суммы проекций сил на ось y равен:

20 Н − 5 Н = 15 Н.

По теореме Пифагора: = √(152 + 202) = 25 (H).

Искомое ускорение:

a =

25

= 10 (м/с2).


2,5


Решаем задачу по-другому. Вдоль оси x: результирующая сила равна 4 клетки, вдоль оси y результирующая сила равна 3 клетки. По теореме Пифагора результирующая будет 5 клеток. Одной клетке соответствует 5 Н. Тогда:

a =

5×5

= 10 (м/с2).


2,5


Выбираем правильный ответ: 1.

Примечания (подробности на главной странице теста):

1.       затраченное время: 1 минута.

2.       оценка задачи: 5 из 10 баллов.

.        уровень задачи: 3 (базовый).

.        субъективная сложность: 7 из 10 баллов.

А4. Из шахты глубиной h = 112 м поднимают груз, закрепленный на конце стального (ρ = 7,80×103 кг/м3) троса, изготовленного из N = 18 проволок площадью поперечного сечения S = 1,10 мм2 каждая. Модуль ускорения, с которым начинается подъем груза, a = 2,00 м/с2. Если прочность стали σпр = 500×106 Па, то максимальная масса груза m равна:

1.       710 кг;

2.       734 кг;

.        750 кг;

.        766 кг;

.        782 кг.

Решение

Одновременно начинают движение с ускорением груз массой m и трос массы M.

Применим второй закон Ньютона к тросу и телу:

(M + m)a = T − (M + m)g,

где cила T, приложенная к тросу, равна:

T = σпрSобщ = σпрNS.

Тогда:

(M + m)(a + g) = σпрNS.

Выразим искомую массу тела:

m =

σпрNS

− M.


a + g



Массу троса найдем по формуле:

M = NΡhS.

Окончательно:

m =

σпрNS

− NρhS = NS(

σпр

− ρh).


a + g


a + g



Вычислим массу тела:

m = 18×1,100×10−6(

500×106

− 7.8×103×112) = 734,28 (кг).


2,00 + 10



Выбираем правильный ответ: 2.

Примечания (подробности на главной странице теста):

1.       затраченное время: 3 минуты.

2.       оценка задачи: 7 из 10 баллов.

.        уровень задачи: 4 (профильный).

.        субъективная сложность: 9 из 10 баллов.

А5. При повороте на горизонтальном участке дороги мотоциклист движется по дуге окружности радиусом R = 43,2 м со скоростью, модуль которой v = 18,0 м/с. Если масса мотоциклиста m = 60,0 кг, то модуль силы взаимодействия F с сиденьем мотоцикла равен:

1.       150 Н;

2.       450 Н;

.        600 Н;

.        750 Н

.        1,05 кН.

Решение

На мотоциклиста со стороны сиденья действуют силы:

1.       реакция опоры:

N = mg,

2.      
сила трения:

Fтр = mao = m

v2

.


R



Модуль силы взаимодействия F с сиденьем мотоцикла по теореме Пифагора равен:

F = √( (mg)2 + (

mv2

)2).


R



Проведем вычисления:

F = √( (60,0×10)2 + (

60,0×(18,0)2

)2) = 750 (H).


43,2


Ответ F= 750 Н, следовательно, правильный ответ 4.

Примечания (подробности на главной странице теста):

1.       затраченное время: 1 минута.

2.       оценка задачи: 6 из 10 баллов.

.        уровень задачи: 3 (базовый).

.        субъективная сложность: 7 из 10 баллов.


А6. Брусок массой M = 1,0 кг, находящийся на горизонтальной поверхности стола, связан невесомой нерастяжимой нитью, перекинутой через легкий блок, вращающийся без трения, с грузом массой m = 0,50 кг. Система находится в лифте, движущемся вертикально вверх с ускорением a (вектор). Коэффициент трения скольжения между бруском и поверхностью стола μ = 0,20. Если модуль силы натяжения T = 4,8 H, то модуль ускорения a лифта равен:

1.       1,5 м/с2;

2.       2,0 м/с2;

.        2,5 м/с2;

.        3,0 м/с2;

5.                3,5 м/с2.

Решение

Вначале проанализируем задачу. На тело массой m действует сила тяжести, равная 0,50×10 = 5 (Н). Сила натяжения нити 4,8 Н (по условию задачи). Следовательно, груз массой m может двигаться вниз с некоторым ускорением (A) относительно неподвижной поверхности стола.

Запишем второй закон Ньютона для тела массой m в проекции на вертикальное направление (ось направлена вверх):

(a − A) = T − mg. (1)

Для тела массой M уравнение второго закона Ньютона в проекции на вертикальное направление:

= N − Mg, (2)

а в проекции на горизонтальное направление (ось направлена вправо) второй закон Ньютона будет иметь вид:

= T − Fтр = T − μN. (3)

Имеем три уравнения (1 - 3), которые необходимо решить относительно искомого ускорения a. Из второго уравнения выразим:

= M(a + g).

и подставим в уравнение (3), получим:

MA = T − μM(a + g).

Отсюда ускорение тел относительно стола:

A =

T

− μM(a+g).


M



Подставим в первое уравнение выражение для A:

m(a − (

T

− μ(a + g))) = T − mg.


M



Отсюда выразим искомое ускорение лифта:

a =

1

(

T

+

T

− g − μg).


μ + 1


m


M



Вычислим ускорение лифта:

a =

1

(

4,8

+

4,8

− 10 − 0,2 × 10) = 2 (м/с2).


0,2 + 1


0,5


1



Правильный ответ: 2.

Примечания (подробности на главной странице теста):

1.       затраченное время: 6 минут.

2.       оценка задачи: 7 из 10 баллов.

.        уровень задачи: 4 (профильный).

.        субъективная сложность: 9 из 10 баллов.

А7. Кинематический закон движения вдоль оси Ox имеет вид x = At + Bt2, где A = −8,0 м/с, B = 4,0 м/с2. Если масса тела m = 2,0 кг, то через промежуток времени Δt = 2,0 с после начала движения модуль импульса этого тела будет равен:

1.       0,0 кг•м/с;

2.       5,0 кг•м/с;

.        8,0 кг•м/с;

.        10 кг•м/с;

.        16 кг•м/с.

Решение.

Зная кинематический закон движения, определим зависимость скорости от времени, например, 1-я производная координаты по времени даст нам зависимость скорости от времени:

dx

= v = A + 2Bt,

dt



или

v = −8 + 2×4t = −8 + 8t.

Найдем скорость через Δt = 2,0 с: = −8 + 8×2 = 8 (м/с).

Модуль импульса тела равен:

p = mv = 2,0×8 = 16 (кг•м/с).

Правильный ответ: 5.

Примечания (подробности на главной странице теста):

1.       затраченное время: 30 секунд.

2.       оценка задачи: 6 из 10 баллов.

.        уровень задачи: 3 (базовый).

.        субъективная сложность: 6 из 10 баллов.

А8. Стальной (ρ = 7,8×103 кг/м3) куб находится на горизонтальном полу лифта, движущегося с направленным вверх ускорением, модуль которого a = 2,5 м/с2. Если давление куба на пол p = 39 кПа, то длина ребра куба равна:

1.       25 см;

2.       30 см;

.        40 см;

.        50 см;

.        67 см.

Решение


При движении вверх с ускорением вес куба равен:

= m(g + a),

а его давление на пол:

p =

P

=

m(g + a)

=

ρl3(g + a)

= ρl(g + a).


S


S


l2



Из последней формулы выразим искомую длину ребра куба:

l =

p

.


ρ(g + a)



Вычислим:

l =

39×103

= 0,4 (м).


7.9×103(10 + 2,5)


Выбираем правильный ответ: 3.

Примечания (подробности на главной странице теста):

1.       затраченное время: 1.5 минуты.

2.       оценка задачи: 7 из 10 баллов.

.        уровень задачи: 4 (базовый).

.        субъективная сложность: 6 из 10 баллов.


А9. Два цилиндрических сосуда соединены внизу тонкой трубкой с закрытым краном K. В узком сосуде, диаметр которого в 2 раза меньше диаметра широкого сосуда, находится столбик ртути (ρ = 13,6 г/см3) высотой H. Площадь поперечного сечения узкого сосуда S = 25 см2. Если после открытия крана в процессе перехода ртути в состояние равновесия выделилось количество теплоты Q = 27 Дж, то высота H равна:

1.       22 см

.        29 см;

3.       35 см;

.        45 см;

5.       58 см.

Решение

В левом колене находится вся масса ртути и ее потенциальная энергия равна:

E1 = mgH =

1

ρSgH2.


2



После открытия крана масса ртути перераспределится: m = m1 + m2, масса будет зависеть от высоты жидкости. Из условия задачи:

S'

=

πD2

4

=

D2

= (

D

)2

= 4.

S


4


πd2


d2


d




Используем условие равенства объемов: V = V1 + V2, то есть SH = Sh1 + 4Sh2, в итоге H = h1 + 4h2. Однородная жидкость располагается в сообщающихся сосудах на одном уровне, тогда H = 5h и

h =

H

.


5



Определим потенциальные энергии ртути после открытия крана и установления равновесия:

E2 = m1gh =

1

ρSgh2, E3 = m2gh =

1

ρ4Sgh2.


2



Из закона сохранения энергии:

= E2 + E3 + Q,

или

1

ρgSH2 =

1

ρSgh2 +

1

ρ4Sgh2 + Q.

2


2


2



После замены:

h =

H


5


и преобразований:

Q =

1

ρSgH2 −

1

ρSg

H2

+

1

ρ4Sg

H2

=

1

ρSgH2(1 −

1

4

) =

2

ρSgH2.


2


2


25


2


25


2


25


25


5



Выразим и определим искомую высоту:

H = √(

5Q

).


2ρSg



H = √(

5×27

) = 0,45 (м).


2×13600×25×10−4×10


Выбираем ответ: 4.

Примечания (подробности на главной странице теста):

1.       затраченное время: 7.5 минут.

2.       оценка задачи: 8 из 10 баллов.

.        уровень задачи: 4 (базовый).

.        субъективная сложность: 9 из 10 баллов.

А10. В двух сосудах, соединенных тонкой трубкой с закрытым краном, при одинаковых температурах находится гелий. Вместимость сосуда V1 = 2,0 л, давление в нем p1 = 4,0×105 Па. Давление во втором сосуде p2 = 2,0×105 Па. После открытия крана в сосудах установилось давление p = 0,28 МПа. Если температура гелия не изменяется, то вместимость V2 второго сосуда равна:

1.       1,0 л;

2.       1,5 л;

.        2,0 л;

.        2,5 л;

.        3,0 л.

Решение.

Давление, производимое смесью газов, по закону Дальтона равно сумме парциальных давлений газов: p' = p1' + p2'. Парциальное давление - давление, производимое газом в предоставленном ему объеме при отсутствии других газов.

скорость давление импульс энергия

p1V1 = p1'(V1 + V2),

отсюда:

p1' =

V1

p1.


V1 + V2



Аналогично:

p2' =

V2

p2,


V1 + V2



тогда:

p =

V1

p1 +

V2

p2.


V1 + V2


V1 + V2



Выразим искомый V2:

V2 =

p1 − p

V1.


p − p2



Вычислим:

V2 =

4,0×10−5 − 0,28×10−6

2 = 3 (л).


0,28×10−6 − 2,0×105


Выбираем ответ: 5.

Примечания (подробности на главной странице теста):

1.       затраченное время: 2 минуты.

2.       оценка задачи: 6 из 10 баллов.

.        уровень задачи: 3 (базовый).

.        субъективная сложность: 6 из 10 баллов.


А11. Направление индукции B магнитного поля, созданного длинным прямолинейным проводником с током в т. A (см. рис.), обозначается цифрой:

1.       1;

2.       2;

.        3;

.        4;

5.       5.

Решение

Для определения направления индукции B магнитного поля, созданного длинным прямолинейным проводником с током в т. A, воспользуемся правилом правой руки: обхватываем проводник так, что большой палец направлен по направлению тока, тогда пальцы укажут направление вектора магнитной индукции.

Выбираем правильный ответ: 2.

Примечания (подробности на главной странице теста):

1.       затраченное время: 15 секунд.

2.       оценка задачи: 4 из 10 баллов.

.        уровень задачи: 2 (базовый).

.        субъективная сложность: 3 из 10 баллов.

А12. В калориметре (С = 350 Дж/кг) находится m1 = 100 г воды (с1 = 4200 Дж/(кг • К)) при температуре T1 = 277 K. После того, как в воду опустили алюминиевый (с2 = 880 Дж/(кг×К)) шарик при температуре T2 = 248 K, в калориметре установилась температура T = 273 K. Если масса воды в калориметре осталась неизменной, то масса m2 шарика равна:

1.       110 г;

2.       120 г;

.        130 г;

.        140 г;

.        150 г.

Решение

Обратим внимание на данные задачи. Шарик находится при отрицательной температуре, тем самым он будет охлаждать воду и калориметр при взаимодействии, после взаимодействия вода не замерзает, так как масса воды осталась неизменной, а ее конечная температура T = 273 K = 0 °С. Составим уравнение теплового баланса:

+ Q2 + Q3 = 0,

или

m2(T − T2) + C(T − T1) + c1m1(T − T1).

Решим уравнение относительно искомой массы шарика:

m2 =

C(T1 − T) + c1m1(T1 − T)

.


c2(T − T2)



После вычислений:

m2 =

350×(277 − 273) + 4200×0.100×(277 − 273)

= 0,140 (кг).


880×(273 − 248)


Выбираем ответ: 4.

Примечания (подробности на главной странице теста):

1.       затраченное время: 2.5 минуты.

2.       оценка задачи: 7 из 10 баллов.

.        уровень задачи: 4 (базовый).

.        субъективная сложность: 7 из 10 баллов.

А13. В цепи, схема которой изображена на рисунке, сопротивление резисторов R1 = 2,0 Ом, R2 = 4,0 Ом, R3 = 6,0 Ом, R4 = 3,0 Ом. Если напряжение на клеммах источника постоянного тока U = 24 B, то сила тока I2 в резисторе R2 равна:

1.       1,0 A;

2.       1,5 A;

.        2,0 A;

.        3,0 A;

5.       3,5 A.

Решение

Обратим внимание на то, что сопротивления:

R1 + R2

=

6

= 2.

R4


3



При параллельном соединении токи в участках будут отличаться в два раза. Общий ток в цепи:

I =

U

=

U

=

24

= 3 (A).


Ro


R3 + R||


6 + (3×6)/(3+6)



По цепи протекает ток 3 A, в узле параллельно соединенных участков он распределяется как 2:1, т. е. через R4 протекает ток 2 A, а, через последовательно соединенные R1 и R2 - 1 A. Выбираем правильный ответ: 1.

Примечания (подробности на главной странице теста):

1.       затраченное время: 1 минута.

2.       оценка задачи: 7 из 10 баллов.

.        уровень задачи: 4 (базовый).

.        субъективная сложность: 6 из 10 баллов.


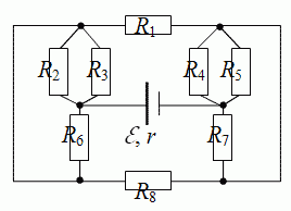
А14. Электрическая цепь, схема которой изображена на рисунке, состоит из источника постоянного тока с внутренним сопротивлением r = 0,27 Ом и резисторов, сопротивления которых R1 = 24r, R2 = 2r, R3 = 3r, R4 = 4r, R5 = 5r, R6 = 6r, R7 = 20r, R8 = 8r. Если ЭДС источника Ε = 24 B, то мощность P1, выделяющаяся на резисторе R1, равна:

1.       32 Вт;

2.       18 Вт;

.        9,6 Вт;

.        6,0 Вт,

5.       3,0 Вт.

Решение


Для решения задачи перерисуем схему в эквивалентную ей, при этом учтем, что:

R23 =

R2R3

=

6

r.


R2 + R3


5



R45 =

R4R5

=

20

r.


R4 + R5


9



Перерисовав электрическую схему, мы можем еще больше ее упростить: сопротивления R1 и R8 параллельны друг другу. Сопротивления R23 и R6 параллельны друг другу, их общее сопротивление равно:

R236 =

R23R6

=

(6/5)r • 6r

= r,


R23 + R6


(6/5)r + 6r



а сопротивления R45 и R7 параллельны друг другу, их общее сопротивление:

R457 =

R45R7

=

(20/9)r • 20r

= 2r.


R45 + R7


(20/9)r + 20r



Сопротивления R1 и R8 параллельны друг другу, их общее сопротивление будет равно:

R18 =

R1R8

=

24r • 8r

= 6r.


R1 + R8


24r + 8r



В результате мы имеем схему последовательно подключенных сопротивлений r, 2r и 6r. По закону Ома для полной цепи определим общий ток в цепи:

I =

Ε

=

Ε

. (1)


r + 2r + 6r + r


10r



Вернемся на один шаг назад. На сопротивлениях 1 и 8 равные напряжения, это позволит определить отношение токов через эти сопротивления:

• 24r = I8 • 8r, 3I1 = I8,

с другой стороны:

= I1 + I8 = I1 + 3I1 = 4I1,

I1 =

I

,


4



тогда с учетом (1):

I1 =

E

.


40r



Мощность, выделяемую на первом сопротивлении, определим выражением:

P1 = I12R1 =

E2

24r

=

242

=

242

24

= 32 (Вт).


402


r2


402


402


0,27



Выбираем правильный ответ: 1.

Примечания (подробности на главной странице теста):

1.       затраченное время: 8 минут.

2.       оценка задачи: 9 из 10 баллов.

.        уровень задачи: 5 (профильный).

.        субъективная сложность: 9 из 10 баллов.

А15. В течение промежутка времени Δt = 0,20 мс магнитное поле через поверхность, ограниченную замкнутым проводящим контуром равномерно уменьшается на ΔФ = 0,30 мВт. В результате в контуре возбуждается ЭДС индукции E1, равная:

1.       1,2 В;

2.       1,3 В;

.        1,4 В;

.        1,5 В;

.        1,6 B.

Решение.

Воспользуемся законом электромагнитной индукции:

Ei = −

ΔФ

= −

−ΔФ

=

ΔФ

.


Δt


Δt


t



E1 =

0,30×10−3

=

3

= 1,5 (В).


0,20×10−3


2


Выбираем ответ: 4.

Примечания (подробности на главной странице теста):

1.       затраченное время: 20 секунд.

2.       оценка задачи: 4 из 10 баллов.

.        уровень задачи: 2 (базовый).

.        субъективная сложность: 3 из 10 баллов.

А16. Идеальная катушка включается в цепь переменного тока. Сила тока в цепи изменяется с течением времени по закону I = A sin bt , где A = 0,70 А, B = 314 рад/с. Если действующее значение напряжения на катушке Uд = 142 B, то индуктивность L катушки равна:

1.       0,46 Гн;

2.       0,64 Гн;

.        0,82 Гн;

.        0,91 Гн;

.        1,1 Гн.

Решение.

Индуктивное сопротивление катушки переменному току:

XL =

,




где XL = wL. Искомая индуктивность:

L =

,


wIд



где

w = B, Iд =

Imax

=

A

,


√2


√2



тогда:

L =

Uд√2

.


B • A



Вычислим:

L =

142√2

= 0,91 (Гн).


314 × 0,7


Выбираем ответ: 4.

Примечания (подробности на главной странице теста):

1.       затраченное время: 2 минуты.

2.       оценка задачи: 7 из 10 баллов.

.        уровень задачи: 4 (профильный).

.        субъективная сложность: 7 из 10 баллов.

А17. Посланный вертикально вниз с поверхности моря ультразвуковой сигнал гидролокатора, длина волны которого в воде λ = 2,0 мм, отразилась от дна, возвратилась обратно через промежуток времени Δt = 0,12 с после посылки. Если глубина моря h = 90 м, то частота излучения гидролокатора равна:

1.       0,30 МГц;

2.       0,45 МГц;

.        0,60 МГц;

.        0,75 МГц;

.        1,5 МГц.

Решение.


λ =

V

,


ν



выразим скорость V = λν , тогда 2h = λνΔt. Искомая частота:

ν =

2h

.


λΔt



После вычислений:

ν =

2× 90

= 0,75×106 = 0,75 МГц.


2×10−3×0,12



Выбираем ответ: 4.

Примечания (подробности на главной странице теста):

1.       затраченное время: 1 минута.

2.       оценка задачи: 6 из 10 баллов.

.        уровень задачи: 3 (базовый).

.        субъективная сложность: 6 из 10 баллов.


А18. По струне вдоль оси OS распространяется поперечная гармоническая волна длиной λ = 628 мм, модуль скорости которой V = 40 м/с (рис.). Если модуль скорости точки C струны vo = 84 см/с, то амплитуда колебаний точек струны равна:

1.       1,1 мм;

2.       2,1 мм;

3.       3,1 мм;

4.       4,1 мм;

5.       5,1 мм.

Решение

В точке C скорость колебания имеет максимальное значение, тогда:

νo = Aw = A • 2πν = A • 2π

V

.


λ



Выразим искомую амплитуду:

A =

λνo


2πV


и найдем ее численное значение:

A =

628 × 10−3× 84 × 10−2

= 2,1 × 10−3 (м) = 2,1 мм.


2 × 3,14 × 40


Выбираем правильный ответ: 2.

Примечания (подробности на главной странице теста):

1.       затраченное время: 1.5 минуты.

2.       оценка задачи: 6 из 10 баллов.

.        уровень задачи: 3 (базовый).

.        субъективная сложность: 6 из 10 баллов.


А19. На рисунке приведена шкала электромагнитных колебаний. Если длина волны излучения λ = 500 нм, то оно:

1.       низкочастотное;

2.       микроволновое;

.        видимый свет;

.        ультрафиолетовое;

.        гамма излучение.

Решение

Определим частоту излучения:

ν =

c

=

3×108

= 6×1014 Гц.


λ


500×10−9



Это соответствует видимому излучению.

Решаем по другому: для видимого света есть крайние границы - фиолетовый с длиной волны 390 нм и красный c 750 нм. Заданная в условии задачи длина волны находится в видимом диапазоне.

Выбираем правильный ответ: 3.

Примечания (подробности на главной странице теста):

1.       затраченное время: 45 секунд.

2.       оценка задачи: 5 из 10 баллов.

.        уровень задачи: 3 (базовый).

.        субъективная сложность: 3 из 10 баллов.


А20. На стеклянную ( n = √2 ) треугольную призму ABC, находящуюся в воздухе, падает луч света (см. рис.) и преломляется на ее боковой грани. Если угол падения луча на грань AB равен α1 = 45°, а на грань BC - α2 = 40°, то преломляющий угол θ призмы равен:

1.       40°;

2.       50°;

.        60°;

.        70°;

5.       85°.

Решение


Преломляющий угол призмы связан с углами треугольника соотношением:

θ + 90° − 1 + 90° − α2 или θ = 1 + α2.

Угол 1 связан по закону преломления:

sin α1

= n.

sin ∠1



тогда

sin ∠1 =

sin α1

=

√2

=

1


n


2√2


2


и

∠1 = arcsin

1

= 30°.


2



Преломляющий угол призмы равен:

θ = 30° + 40° = 70°.

Выбираем ответ: 4.

Примечания (подробности на главной странице теста):

1.       затраченное время: 1.5 минуты.

2.       оценка задачи: 6 из 10 баллов.

.        уровень задачи: 3 (базовый).

.        субъективная сложность: 6 из 10 баллов.

А21. Пучок лазерного излучения мощностью P = 0,60 Вт падает нормально на гладкую поверхность пластины. При этом часть фотонов поглощается пластиной, а часть отражается от нее. Если модуль силы давления пучка на пластину F = 3,5 кН, то доля α фотонов, поглощенных ею, равна:

1.       15 %;

2.       20 %;

.        25 %;

.        30 %;

.        35 %.

Решение

Давление, создаваемое пучком лазерного излучения:

p =

E

(1 + γ).


Stc



Перепишем формулу в виде:

F

=

Pt

(1 + γ),

S


Stc



или

F =

P

(1 + γ).


c



Выразим коэффициент отражения:

γ =

Fc

− 1.


P



Но по условию задачи требуется найти коэффициент поглощения, который связан соотношением: α = 1 − γ. Коэффициент поглощения равен:

α = 2 −

Fc

.


P



После вычисления:

γ = 2 −

3×108×3,5×10−9

= 0,25. γ = 25%.


0,6



Выбираем ответ: 3.

Примечания (подробности на главной странице теста):

1.       затраченное время: 2.5 минуты.

2.       оценка задачи: 7 из 10 баллов.

.        уровень задачи: 4 (профильный).

.        субъективная сложность: 7 из 10 баллов.

А22. Если масса ядра изотопа углерода 146C составляет m = 13042,93 МэВ, то его удельная энергия связи εуд равна:

1.       5,33 МэВ/нуклон;

2.       5,61 МэВ/нуклон;

.        6,46 МэВ/нуклон;

.        7,38 МэВ/нуклон;

.        8,22 МэВ/нуклон.

Решение

Удельная энергия связи определяется выражением:

εуд =

Есв

=

Δmc2

.


A


A



Воспользуемся справочным материалом, приведенным вначале теста:
масса протона mp = 938,28 МэВ, масса нейтрона mn = 939,57 МэВ.

Выразим энергию связи:

Eсв = Zmp + (A − Z)mn − m.

Формула удельной энергии связи имеет вид:

εуд =

Zmp + (A − Z)mn − m

.


A



Вычислим:

εуд =

6×938,28 + 8×939,57 − 13042,093

= 7,38 (МэВ).


14


Выбираем правильный ответ: 4.

Примечания (подробности на главной странице теста):

1.       затраченное время: 2.5 минуты.

2.       оценка задачи: 6 из 10 баллов.

.        уровень задачи: 3 (базовый).

.        субъективная сложность: 6 из 10 баллов.


А23. Среди приведенных на рис. условных обозначений элементов электрической цепи, найдите вакуумный триод.

Решение

Из приведенных рисунков вакуумным триодом (три) является лампа, изображенная на рисунке 5. На рисунке 4 изображен диод (два). Отличие диода от триода (визуально) в количестве контактов.

Выбираем ответ: 5.

Примечания (подробности на главной странице теста):

1.       затраченное время: 10 секунд.

2.       оценка задачи: 3 из 10 баллов.

.        уровень задачи: 2 (базовый).

.        субъективная сложность: 3 из 10 баллов.


B1. График зависимости проекции скорости vx тела, движущегося вдоль оси Ox, на эту ось от времени приведен на рисунке. Путь S, пройденный телом за промежуток времени Δt = 7 с после начала движения равен ... м.

Решение

Путь - это расстояние, пройденное телом. Воспользуемся геометрическим смыслом: площадь под графиком скорости численно равна пройденному телом пути. Тогда:

Sтрап = S1 =

1 + 5

2 = 6 (м) - путь, пройденный телом по направлению оси ординат.


2



Sтр = S2 =

1

2×2 = 2 (м) - путь, пройденный в противоположном направлении.


2



Искомый путь за Δt = 7 c после начала движения равен: S = 8 м.

Примечания (подробности на главной странице теста):

1.       затраченное время: 1 минута.

2.       уровень задачи: 4 (базовый).

.        оценка задачи: 7 из 10 баллов.

.        субъективная сложность: 6 из 10 баллов.


B2. Первоначально покоившийся груз массой m = 15 кг начинают опускать, используя систему легких блоков. Модуль силы, приложенной к невесомому нерастяжимому шнуру, F = 70 H (см. рис.). За промежуток времени Δt = 3,0 с после начала движения груз опустился на расстояние Δh, равное ... дм.

Решение

Проведем вначале оценку. Сила тяжести, действующая на груз, равна 150 Н; сила, действующая на блок при взаимодействии с нитью, - 140 Н. Сделаем вывод: груз опускается вниз с ускорением, которое определим по второму закону Ньютона в проекции на вертикальное направление (ось направим вниз):

= mg − 2F. (1)

Ускорение выразим, использовав уравнение из кинематики:

a =

2Δh

. (2)


(Δt)2



Подставим (2) в (1):

m

2Δh

= mg − 2F,


(Δt)2



или

Δh = (

g

F

)(Δt)2.


2


m



Вычислим:

Δh = (

10

70

) • (3,0)2 = 30 дм.


2


15



Примечания (подробности на главной странице теста):

1.       затраченное время: 3 минуты.

2.       уровень задачи: 4 (базовый).

.        оценка задачи: 7 из 10 баллов.

.        субъективная сложность: 6 из 10 баллов.

. Проекция напряженности электростатического поля двух точечных зарядов q1 и q2 в т. A (см. рис.) составляет Ex = 60,0 В/м и Ey = −70,0 В/м. Потенциал φ электростатического поля этих зарядов в т. A равен ... B.

Решение


Потенциал - скалярная величина. Потенциал в точке равен сумме потенциалов отдельных электрических полей. Результирующая напряженность в точке A в проекции на ось Ox:

= E1cos α + E2cos β,

где

E1 = k

q1

, E2 = k

q2

, cos α =

1

, cos β =

1

.


10


5


√10


√5



После подстановки:

 Ex = k

q1

1

+ k

q2

1

.


10


√10


5


√5



Результирующая напряженность в точке A в проекции на ось Oy:

Ey = E2sin β − E1sin α,

где

E1 = k

q1

, E2 = k

q2

, sin α =

3

, sin β =

2

.


10


5


√10


√5



После подстановки:

 Ey = k

q2

2

− k

q1

3

.


5


√5


10


√10



Учтем также, что:

φ1 = k

q1

, φ2 = k

q2

,


√10


√5



тогда:

Ex =

φ1

+

φ2

 и Ey =

2φ2

3φ1

.


10


5


5


10



Мы получили систему уравнений с двумя неизвестными φ1 и φ2. Перепишем уравнения:

Ex = φ1 + 2φ2 и 10Ey = 4φ2 − 3φ1.

Умножим первое уравнение на 3, сложим со вторым и найдем φ2:

Ex + 10Ey = 10φ2 и 3Ex + Ey = φ2.

Потенциал φ1 будет равен:

φ1 = 4Ex − 2Ey.

Вычислим потенциалы:

φ1 = 4 × 60 − 2 × 70 = 100 (В), φ2 = 3×60 + 70 = 250 (В).

Тогда общий потенциал в точке A будет равен:

φ = −250 + 100 = −150 (В).

Учтено, что потенциал 1 заряда положительный, а у второго - отрицательный.

Примечания (подробности на главной странице теста):

1.       затраченное время: 10 минут.

2.       уровень задачи: 4 (базовый).

.        оценка задачи: 8 из 10 баллов.

.        субъективная сложность: 9 из 10 баллов.

. С одним молем идеального одноатомного газа проводят замкнутый циклический процесс. Участки 2 - 3, 3 - 4 этого цикла являются дугами окружности с центрами в т. O1 и O2, а остальные участки - частями горизонтальных и вертикальных прямых (см. рис.). Если количество теплоты, сообщаемое газу нагревателем за один цикл, Q = 27,0 кДж, то температура T газа в т. 6 равна ... K.

Решение


Газ получает теплоту на участке 1 - 2 - 3 - 4 - 5. На этих участках растет температура. На участке 5 - 6 - 1 газ отдает теплоту, и его температура убывает.

Работа, совершенная газом на участке 1 - 2 - 3 - 4 - 5, равна площади трапеции, ограниченной точками 2246 (зеленым цветом), и прямоугольника, отграниченного точками 4586 (желтым):

A =

p1 + p2

ΔV + p3ΔV =

 


2


 

=

4po + 8po

(6Vo − 2Vo) + 8po2Vo = 40 • poVo.


2



Теплота, получаемая газом:

Q1 = ΔU15 + A, где ΔU15 =

3

νR(T5 − T1).


2



После преобразования, с учетом:

p5V5

=

p6V6

,

T6

=

1

,

T5


T6


T5


4



T5 = 4T6 и

2po2Vo

=

2po8Vo

,

T6

= 4,


T1


T6


T1



T1 =

T6

, poVo =

1

νRT6.


4


6



 Q1

3

νR(4T6 −

T6

) + 40poVo =

45

νRT6 =

130

vRT6.


2


4


8


16



Окончательно:

T6 =

16

Q1

=

16

27000

= 400 (К).


130


vR


130


1 × 8,31



Примечание: в ответе значение температуры 400 К. Можно ли находить работу на участках дуг окружностей через площадь четверти окружности?

Примечания (подробности на главной странице теста):

1.       затраченное время: 12 минут.

2.       уровень задачи: 5 (профильный).

.        оценка задачи: 9 из 10 баллов.

.        субъективная сложность: 9 из 10 баллов. . Кинематический закон движения гармонического осциллятора имеет вид x(t) = A cos (Bt + C), где A = 16,0 см; B = 11π/15 рад/с; С = 13π/10. Если в момент времени t = 500 мс кинетическая энергия осциллятора Eк = 21,0 мДж, то при колебаниях осциллятора максимальное значение модуля возвращающей силы Fmax равно ... мН.

Решение

Максимальное значение модуля возвращающей силы Fmax определим как:

Fmax = mamax, где m =

2Ek

, amax = Aw2.


v2



Для определения скорости возьмем первую производную координаты по времени: v = −AB sin (Bt + C). Циклическая частота колебаний w = B. Тогда:

 Fmax =

2Ek

• AB2 =

2Ek

.


(−AB sin (Bt + C))2


A sin2(Bt + C)



Рассчитаем искомую силу:

Fmax =

2 × 21 × 10−3

= 0,35 (H).


0,16 × sin2(11πt/5 + 13π/10)



Искомая сила равна 350 мН.

Примечания (подробности на главной странице теста):

1.       затраченное время: 5 минут.

2.       уровень задачи: 4 (профильный).

.        оценка задачи: 8 из 10 баллов.

.        субъективная сложность: 7 из 10 баллов. . В результате взаимодействия ядра дейтерия 21H с покоящимся ядром трития 31H образуется ядро гелия и нейтрон 1on, вылетающий под углом α = 90° к направлению движения ядра дейтерия. Кинетическая энергия нейтрона Eк1 = 14 МэВ. Если энергия выхода этой реакции 15 МэВ, то кинетическая энергия Eк2 ядра дейтерия равна ... МэВ.

Решение

Запишем закон сохранения энергии для ядерной реакции:

д + Eтр + Q = EHe + En,

или

д + Q = EHe + En.

Закон сохранения импульса:

= pд2 + pn2.

Воспользуемся связью энергии и импульса:

= 2mEk.

Тогда:

mHeEHe = 2mдEд + 2mnEn или 2EHe = 2Eд + 2En.

Из этого уравнения выразим кинетическую энергию гелия:

 EHe =

1

Eд +

1

En


2


4



и подставим в уравнение:

 Eд + Q =

1

Eд +

1

En + En.


2


4



Выразим искомую энергию дейтерия:

Eд =

5

Eд − 2Q.


2



После вычислений:

Eд =

5

14 − 2×15 = 5 (МэВ).


2



Примечания (подробности на главной странице теста):

1.       затраченное время: 8 минут.

2.       уровень задачи: 4 (профильный).

.        оценка задачи: 8 из 10 баллов.

.        субъективная сложность: 7 из 10 баллов. . Открытый конец вертикально расположенного капилляра, заполненного сверху, внутренний диаметр которого d = 20 мкм, погружен в широкий открытый сосуд с ртутью (ρ = 13,6×103 кг/м3; σ = 500×10−3 Н/м). Атмосферное давление po = 100 кПа, высота подъема ртути в капилляре относительно ее уровня в сосуде h1 = 11 см. Капилляр медленно переместили вертикально вверх так, что его незапаянный конец остался погружен в ртуть. В результате уровень ртути в капилляре поднялся на Δh = 25 см, изменение высоты ΔH столба воздуха в капилляре равно ... м.

Решение

Для решения задачи воспользуемся законом Бойля - Мариотта для газа, находящегося в запаянной части трубки:

p1SH1 = p2SH2, где p1 = po − ρgh1 −

, p2 = po − ρgh2 −

.


d


d



Сделаем подстановку:

(po − ρgh1 −

) • H1 = (po − ρgh2 −

) • H2,


d


d



отсюда выразим:

H1 =

po − ρgh2 − (4σ/d)

• H2.


po − ρgh1 − (4σ/d)



В последнем уравнении h2 = h1 + Δh. Вычислим H1:

H1 =

105 − 13600 × 10 × 0,36 − (4 × 0,5/200 × 10−6)

40 = 22 (см).


105 − 13600 × 10 × 0,11 − (4 × 0,5/200 × 10−6)



Тогда искомое изменение высоты ΔH столба воздуха в капилляре равно:

− H1 = 18 см.

Примечания (подробности на главной странице теста):

1.       затраченное время: 8 минут.

2.       уровень задачи: 4 (профильный).

.        оценка задачи: 8 из 10 баллов.

.        субъективная сложность: 7 из 10 баллов.

Похожие работы на - Элементарная физика

 

Не нашли материал для своей работы?
Поможем написать уникальную работу
Без плагиата!
Без нейросетей!