Исследование электрической цепи переменного тока с активным и индуктивным сопротивлением
Исследование электрической цепи переменного тока с
активным и индуктивным сопротивлением
Цель работы:
Изучить неразветвлённую цепь переменного тока, научиться строить векторные
диаграммы, научится определять фазовый сдвиг векторов напряжения на активном и
индуктивном сопротивлении.
Ход работы:
1. Собрал схему
Рисунок 1 –
Схема неразветвленной цепи
где РА-прибор
комбинированный 43101;
PV-прибор комбинированный Ц 4342;
R1 - резистор, 200 Ом;
L1 - катушка индуктивности.
2. Подключил
схему к генератору трёхфазного напряжения и подал синусоидальное напряжение
~24В.
3. Измерил силу
тока I в цепи I= 0,004 А
4. Измерил
напряжение на входе схемы U и напряжение на активном Ua=UR и индуктивном
UK сопротивлениях.
U = 4,88 В
Ua = UR = 3,69 В
5. Вычислил
полное сопротивление электрической цепи по формуле:
Z=4,88/0,004=1220(0м).
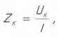
6. Вычислил
полное сопротивление катушки индуктивности по формуле

7. Измерил
активное сопротивление катушки с помощью комбинированного прибора 43101.
8. Вычислил
индуктивное сопротивление катушки по формуле:
(Ом)
9. Рассчитал
индуктивное сопротивление катушки по формуле
Ra=3,16/0,004=790(Oм).
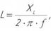
10. Рассчитал
индуктивность катушки по формуле
L =920,1/2 ·3,14 ·50 = 2,93 (Гн).
11. Определил
активное напряжение катушки по формуле
URk =0,004 ·67=0,268(В).
12. Нашёл индуктивное
напряжение катушки по формуле
UL =0,004 ·920,1 = 3,68
(В).
13. Вычислил
активную мощность, потребляемую в электрической цепи по формуле
Ра
=0,0042 (790+67)=0,013712 (Вт).
14. Рассчитал
реактивную мощность цепи по формуле
Q=0,0042 ·920,1 = 0,014722 (ВАр).
15. Нашёл
полную мощность цепи по формуле
(ВА).
16. Определил
угол сдвига фаз в цепи по формуле
Ра /S=0,013712/0,020118=0,682
17. Данные
расчётов и измерений, записал в таблицу.
Таблица 1 -
протокол испытаний:
18. По
результатам измерений и расчётов, построил Векторную диаграмму и треугольники сопротивлений
и мощностей:
Рисунок 2 -
векторные диаграммы
где а)
векторная диаграмма напряжений;
б) треугольник
сопротивлений;
в) треугольник
мощностей.
Вывод
Научился
рассчитывать электрические цепи переменного тока с активным и индуктивным сопротивлениями,
и определять сдвиг фаз в такой цепи.