Фрикционные остановы
Министерство
образования и науки Украины
Кафедра ММК и ПМ
Реферат
На тему "Фрикционные
остановы"
Выполнил: ст. гр. ММК – 08 – 1
Плетнёв М. И.
Проверил: Ульяницкий В. Н.
Алчевск 2010
Фрикционные остановы
а) Кулачкового типа.
Применяются редко, так
как имеют существенные недостатки:
-
изгибают вал;
-
не защищены от попадания грязи и масла;
-
большой износ поверхностей из-за постоянного трения.
б) Роликовые остановы
(муфты свободного хода).
1 - муфта свободного
хода, 2 - вал, 3 - ролик, 4 - неподвижный тормозной барабан.
При вращении муфты
против часовой стрелки ролики не препятствуют движению. При смене направления
вращения муфты ролики попадают в узкую часть выемки, где и заклиниваются.
Обеспечивается
большая плавность срабатывания, безударное приложение нагрузок и высокая
надежность (система закрытая). Все ролики подпружинены для обеспечения постоянной
готовности к заклиниванию. Наибольший
крутящий момент при заклинивании роликов с учётом динамических нагрузок

Расчетный крутящий
момент роликового останова
где kT = 0,6...0,9 -
коэффициент, характеризующий точность изготовления и монтажа останова.
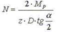
Нормальное
давление на ролик:
где z - число роликов,
D - внутренний диаметр корпуса, a - угол заклинивания. При этом угол
заклинивания выбирается из условия
где ρ и f -
соответственно угол и коэффициент трения. Для
обеспечения саморасклинивания роликового останова принимают a = 6...8 град. Обычно
назначают z= 3...5. Причем длину ролика выбирают из соотношения l= (1,25...1,5)
d , а внутренний диаметр корпуса останова D= 8 d, где d - диаметр ролика.
Расчет
останова ведут на смятие
где E - приведенный
модуль упругости контактирующих деталей останова.
Список литературы
1.
Курсовое проектирование грузоподъёмных машин . Ред . Козак С.А.
-М:Высш.
шк., 1989.-319 с.
2.
Справочник по кранам . Александров М.П.,Гохберг М.М., том 1,2.
-Л:Машиностроение
,1988.
3.
Подъёмно-транспортные машины . Атлас конструкций .,под ред. Александрова М.П. и
Решетникова Д.Н.-М.:1987.