Конструктивная схема одноэтажного промышленного здания

  • Вид работы:
    Курсовая работа (т)
  • Предмет:
    Строительство
  • Язык:
    Русский
    ,
    Формат файла:
    MS Word
    2,29 Mb
  • Опубликовано:
    2011-01-06
Вы можете узнать стоимость помощи в написании студенческой работы.
Помощь в написании работы, которую точно примут!

Конструктивная схема одноэтажного промышленного здания

Калининградский Государственный

Технический университет

Кафедра ПГС











Курсовой проект по дисциплине: Металлические конструкции

Конструктивная схема одноэтажного промышленного здания

Содержание

1.   Исходные данные

2.   Компоновка конструктивной схемы производственного здания

3.   Расчет подкрановой балки

4.   Расчет стропильной фермы

5.   Расчет поперечной рамы каркаса

6.   Расчет колонны

Список используемой литературы

1.Исходные данные

 

§ Район строительства –Вильнюс (вариант №2)

§ Схема фермы-№2 (схема компоновки №4) (рассчитать узлы Ж, Е)

§ Пролет фермы -20 м

§ Длина панели верхнего пояса-2,5м

§ Опорная стойка –1,6м (уклон i=1/8)

§ Шаг фермы –6 м

§ Сталь марки 14Г2 (С345 то же самое)

§ Постоянные нормативные нагрузки (кН/м2)-0,6-0,2-0,14-0,4

§ Вес тельфера 70кН

2.Компановка конструктивной схемы аркаса производственного здания

Рис.1 - Необходимо определить вертикальные размеры стоек рамы (колонны)

Расстояние от головки кранового рельса до низа фермы составляет:

Н2=(Нс+100)+а,

где Нс- габаритный размер крана по высоте; Нс=2750мм;

100мм-установленный по технике безопасности зазор между габаритом

крана и стропильными конструкциями;

а- размер, учитывающий прогиб конструкции покрытия, а=200…400мм

Н2=(2750+100)+400=3250мм=3,4м

Высота цеха от уровня пола до низа ригеля Н=Н12,

где Н1 – наименьшая высота от пола до головки кранового рельса

Размер Н принимается кратным 0,3м.

Н=6800+3400=10200мм=10.2м.

Принимаем Н=10.2 м.

Высота верхней части колонны l2=hg+hr+H2,

где hg – высота подкрановой балки, которую предварительно принимаем

hg=600 мм; hr – высота кранового рельса; hr=120мм

l2=600+120+3400=4120мм=4.12м

Высота нижней части колонны от низа базы до уступа колонны

l1=H+hb-l2,

где hb – заглубление базы колонны по отношению к уровню пола,

принимаем hb=1000мм

l1=10200+1000-4120=7080мм=7,08м.

Общая высота колонны от низа базы до низа ригеля

l= l1+ l2

l=7080+4120=11200мм=11,2м

Определяем размеры сечений колонны

Высота поперечного сечения верхней части колонны из условия обеспечения ее жесткости должна быть h2>(1/12)l2; принимаем h2=500мм.

В этом случае привязка наружной грани колонны к продольной координационной оси определяется величиной Bo=250мм, т.е. координационная ось проходит по середине верхней части колонны

Высота поперечного сечения нижней части колонны определяется из выражения h1=Bo+λ,

где λ – расстояние от оси подкрановой балки до координационной оси, принимаем λ=750мм

h1=250+750=1000мм

Из условия жесткости необходимо, чтобы величина h1 отвечала неравенству h1>(1/20…1/30)l1 – условие удовлетворяется.

Пролет мостового крана

Lc=L-2 λ,

где L- пролет здания

Lc=24000-2·750=22500мм=22,5м.

Высота стропильной фермы h=[1/8…1/12]L=< 3800мм

Примем h=3100 мм

3. Расчет подкрановой балки

 

Определение нагрузок на балку

Характеристики заданного мостового крана:

§ Грузоподъемность крана Р=300кН

§ Пролет крана Lc=22,5м

§ Ширина крана Вс=6,3м

§ База крана Кс=5,1м

§ Сила давления колеса на

подкрановый рельс Fн=315 кН

§ Вес тележки G=120 кН

§ Вес крана общий Gс=520 кН

§ Тип кранового рельса КР-70

Расчетная сила вертикального давления колеса на кран

F=Fн·γf·nc·ka,

Где γf- коэффициент надежности по нагрузке, принимаемый равным 1,1

nc- коэффициент сочетаний, равный 0,85 при расчете на действие двух

сближенных кранов нормального режима работы

ka- коэффициент динамичности, равный 1 для кранов нормального

режима работы

F=315·1,1·0,85·1=295 кН

Нормативная горизонтальная сила при торможении тележки, приходящаяся на одно колесо крана

Тn=0,05(P+G)/n

Тn=0,05(300+120)/2=10,5 кН

Расчетная горизонтальная сила, создаваемая одним колесом крана

T=Tn·γf·nc·ka

 

T=10,5·1,1·0,85·1=9,8 кН





Рис. 5. Схема нагрузок от мостового крана

 

Определение усилий в балке

Расчетное значение изгибающего момента

Mf=α·F·Σyi , где

α - коэффициент, учитывающий собственный вес подкрановой

конструкции, равный для балок пролетом 6 м- 1,03;

Σyi- сумма ординат линии влияния под силами F

Наибольшая ордината у, при пролете 6 м (1,5+0,9)= 2,4

Наименьшее расстояние между колесами двух кранов

В = Вс-К = 6,3-5,1= 1,2м

Mf=1,03·295·2,4=729 кН*м

Рис. 6. Схема к определению Times New Roman
14
16777215
0
M_Fпри Times New Roman
14
16777215
0
l = 6м.

Рис. 7. Схема к определению Times New Roman
14
16777215
0
Q_Fпри Times New Roman
14
16777215
0
l= 6 м

Расчетное значение поперечной силы

Qf= α·F·Σyi

где Σyi - сумма ординат линии влияния поперечной силы под силами F.

QF = 1,03· 295· (1+0,8) = 547 кН

Наибольшая ордината линии влияния у1=1

Нормативное значение изгибающего момента

М1n= α·F·Σyi =1,03·295·1,5=456 кН*м

Расчетный изгибающий момент Мт от горизонтального воздействия крановой на грузки на балку определяют при таком же положении сближенных кранов, как и при расчете МF

Поэтому величина МT, может быть найдена из сочетания

Мт = MF·T/F= 729·9,8/295= 24,2 кН·м

Подбор и компановка сечения балки

Требуемый момент сопротивления балки

Wxmp=Mf·β·γn/Ry·γc

где Mf-расчетный изгибающий момент, кН·см

Ry- расчетное сопротивление стали растяжению, сжатию, изгибу по

пределу текучести; Ry=33 кН/см2

β-коэффициент, учитывающий дополнительные напряжения в верхнем

поясе балки от горизонтального воздействия крановой нагрузки;

принимаемый равным β=1,05

γn- коэффициент надежности по назначению; γn=1

γс- коэффициент условий работы, принимаемый в данных условиях γс=1

Wxmp=72900·1,05·1/33·1=2320 см3

 











Рис. 8. Схема подкрановой и тормозной балок

Минимальная высота подкрановой балки

hmin =5·γc·Ry·l·n0·Mln/24·E·Mf

 

где l-пролет балки, см

Е- модуль упругости стали Е=206·102 кН/см2

Mln – нормативный изгибающий момент в балке при загружении ее одним

краном

n0- величина, обратная предельному относительному прогибу, для балок

под краны нормального режима n0=400

hmin =5·1·33·600·400·45600/24·20600·72900=50,1 см

Оптимальная высота балки

hopt=k·Ö(Wxmp/tw)

где k- коэффициент, зависящий от конструктивного оформления балки;

при постоянном сечении сварных балок k=1,15

tw- толщина стенки, см

Предварительно толщина стенки определяется по формуле

tw=7+3 hmin/1000

tw=7+3·501 /1000=8,5 мм

Принимаем tw=9 мм

hopt=1,15·Ö(2320/0,9)=58,4 см

Принимаем h=60 см

Уточним толщину стенки из условия обеспечения ее прочности при работе на срез ( сдвиг)

tw>1,5·Qf· γn/hw·Rs· γc

 

где hw- высота сечения; hw=h-2tf=60-2*1,8=56,4см

tf- толщина пояса, предварительно принимаемая равной tf=14-20мм; =18мм

Rs- расчетное сопротивление сдвигу, кН/см2; Rs=19,14 кН/см2

tw>1,5·547· 1/56,4·19,14· 1=0,48см

Оставляем толщину tw =9мм.

hopt=1,15·Ö(2320/0,9)=58,4 см

Принимаем h=60 см

Проверка:

tw>1,5·547· 1/56,4·19,14· 1=0,76см tw=0,9см>=0,76см

Требуемая площадь сечения каждого поясного листа при симетричной балке равна


Аf=Wxmp/h- tw·h/6

Аf=2320/60- 0,9·60/6=29,7 см2

Толщина поясного листа tf=18мм. Ширина поясных листов bf=180мм.

Площадь сечения поясного листа Af=tf*bf=1,8*18=32,4см2.

По требованию обеспечения местной устойчивости поясов балки необходимо чтобы соблюдалось условие

Bef/tf<0,5Ö(E/Ry)

где Bef – ширина свеса сжатого пояса Bef=(Bf-tw)/2

Bef=(180-9) /2=85,5мм

8,55/1,8<0,5Ö(20600/33)

4,75<12,49

Условие выполняется

Проверка прочности и жесткости подкрановой балки

Площадь сечения элементов (см2):

Стенки балки Aw=hw·tw=56,4·0,9=50,76 cм2

Верхнего пояса Aft=Bf·tf=32,4 cм2

Нижнего пояса Afb=Bf·tf=32,4 cм2

Тормозного листа Ash=Bsh·tsh=85·0,6=51см2

где tsh- толшина стального рифленого листа: tsh=6мм

Bsh- ширина стального листа, зависящая от конкретных размеров

конструкций и измеряющаяся в пределах 85…90 см. =85см.

Площадь поперечного сечения швеллера Aсh, выполняющая роль пояса тормозной балки для швеллера №16 Aсh= 18,1 см2

Момент инерции (см4) площади поперечного сечения балки относительно оси Х-Х

Ix= hw3·tw/12+2·( Bf·tf3/12+ Afb((hw+ tf)/2)2)

Ix= 56,43·0,9/12+2·( 18·1,83/12+ 32,4((56,4+ 1,8)/4)2)=68346 см4

Расстояние от центра тяжести тормозной балки до оси Y0-Y0 (см)

Хc=(Ach·Xcho+Ash· Xsho)/( Ach+ Ash+2Aft)

Хc=(18,1·83+51· 40,5)/( 18,1+ 51+2*32,4) =26,7 см

где Xcho – расстояние от оси Y0-Y0 балки до центра тяжести окаймляющего

швеллера

Xsho – расстояние от оси Y0-Y0 балки до центра тяжести тормозного листа

Момент инерции площади поперечного сечения тормозной балки относительно оси Y-Y (см4)

Iy=Ich+AchXch2+tshb3sh/12+ AshXsh2+ tfb3f/12+AftXc2

 

где Xch-расстояние от оси Y-Y до центра тяжести швеллера

Xsh-расстояние от оси Y-Y до центра тяжести тормозного листа

Ich- собственный момент инерции швеллера

Iy=63+18,1·56,32+0,6·853/12+ 51·13,82+ 1,8·183/12+32,4·26,72=121826 см4

Моменты сопротивления площади поперечного сечения:

-подкрановой балки относительно оси Х-Х

Wx=2Ix/h Wx=2*68346/60=2278 см3

 

-тормозной балки относительно оси Y-Y

Wy=Iy/(Xc+bf/2) Wy=121826/(26,7+18/2)=3413 см3

Статический момент (см3) половины сечения подкрановой балки относительно нейтральной оси Х-Х

Sx= Af(hw+tf)/2 + Awhw/8

Sx= 32,4(56,4+1,8)/2 + 50,76·56,4/8=1300 см3

Проверка прочности подкрановой балки по нормальному напряжению в ее верхнем поясе производится по формуле

σмах=Mf/Wx+Mt/Wy<Rγcn

σмах=72900/2278+2420/3413=32,7кН/см2<33·1/0,95=34,7

Условие выполнено.

Проверка прочности балки по касательному напряжению:

τmax=QfSx/Ixtw<Rsγcn

τmax=547·1300/68346·0,9=11,6кН/см2<19,14·1/0,95=20,2

Проверка прочности стенки балки по местному напряжению от давления кранового колеса

σlocwfγfFn/twlef <Ryγcn

σloc=1,1·1,1·315/0,9·23,4=18,1кН/см2 <33·1/0,95=35 Условие выполнено.

где γwf- коэффициент, учитывающий неравномерность давления колес и

повышенную динамичность под стыком рельсов, принимаемый для

кранов нормального режима работы γwf=1,1

γf-коэффициент надежности по нагрузке γf=1,1

lef- условная длина распределения местного давления (см), определяемая

в сварных балках по формуле

lef=3,25* 3Ö(If/tw)=3,25* 3Ö(336/0,9)=23,4см

где If- сумма моментов инерции площади сечения верхнего пояса балки и  кранового рельса относительно собственных осей

If=bft·tf3/12+Ir=18·1,83/12+327=336см4

 

Ir- момент инерции кранового рельса, принимаемый по соответствующему

ГОСТу. =327см4

Проверка жесткости подкрановой балки производится по формуле

f=Min·l2·γc/10·E·Ix <fu;

f=45600·6002·1/10·20600·68346=1,2см <1,5 Жесткость соблюдена.

где f- прогиб балки от нормативной нагрузки

Min-нормативный изгибающий момент (кН·см) в балке от загружения ее

одним краном

fu- предельный прогиб, равный для балок под краны режимов работы

1К-6К l/400=600/400=1,5см

Перенапряжения в конструкциях не допускаются.

Обеспечение местной устойчивости элементов подкрановой балки

Общая устойчивость подкрановой балки при наличии тормозной балки обеспечена.

Местная устойчивость сжатого (верхнего) пояса подкрановой балки обеспечена, если выполняется условие

Bef/tf<0,5√(E/Ry)

где Bef-ширина свеса пояса

8,55/1,8<0,5Ö(20600/33)

4,75<12,49

Условная гибкость стенки балки

λw=(hw/tw) √(Ry/E)≤ 2,2

λw=56,4(33/20600) 1/2/0,9=2,173< 2,2 Условие выполняется

Определение размеров опорного ребра балки

Разрезная подкрановая балка опирается на колонну посредством опорного ребра с выступающим пристроганным торцом

Требуемая площадь сечения ребра (см2)

Ap>Qf·γn/Rp· γc

 

где Rp- расчетное сопротивление стали смятию торцевой поверхности, кН/см2

Ap>547·0,95/48·1=11 см2

Ширина опорного ребра (см)

Bα=Ap/tα=11/1,2=9,2 см

где tα- толщина ребра, назначаемая в пределах 12…20мм. =1,2см

Принимаем Bα=180 мм

Ширина выступающей части ребра (ширина свеса Bef) из условия обеспечения его местной устойчивости должна отвечать неравенству

Bef/tα<0,5√(E/ Ry)

Ширина свеса Bef=(Bα-tw)/2=(9,2-0,9)/2=4,15см

4,15/1,2<0,5√(20600/33)

3,46<12,49

Местная устойчивость обеспечена.

Выступающая вниз часть ребра а должна отвечать неравенству а<1,5 tα;

Принимаем а=18мм

18≤1,5·12=18мм – условие выполняется

Определение веса и массы подкрановой балки

Вес подкрановой балки (кН):

G=ψAlγct,

где ψ-строительный коэффициент, принимаемый для сварных балок с

поперечными ребрами жесткости: ψ=1,2

А- площадь поперечного сечения балки, м2

γct- объемный вес стали: γct=78,5 кН/м3

l-пролет балки,м

A=ΣAi=Aw+2Af+Ash+Ach=50,76+2*32,4+51+18,1=184,66см2=0,0185м2

G=1,2*0,0185*6*78,5=10,5кН

Масса подкрановой балки (т):

M=G/g

где g – ускорение свободного падения. = 9,81м/с2

М=10,5*1000/9,81=1070кг=1,07т

4.Расчет стропильной фермы

Исходные данные :

Схема : № 2. Схема компановки:№4.

Пролёт фермы :24 м.

Длинна панели нижнего пояса : 3м.

Опорная стойка : 1,6м.

Шаг фермы : 6 м.

Сталь фермы : 14Г2

Постоянные нормативные нагрузки : 0,6 – 0,2 – 0,14 – 0,4кН/м2

Вес тельфера 70 кН.

Район строительства: Вильнюс.

Рассчитать узлы :Е.

Уклон фермы : 1/8

Определим геометрические длины всех панелей поясов.

L15 = L14 = L13 = L12 = L11 = L10 = L9 = L8 = 3 м.

tg α = 1/8 α = 7012’

sin α = 0.124

cos α = 0.992

L0 = L1 = L2 = L3 = L3 = L4 = L5 = L7 = L6 = 3 м.

Определим геометрические длины всех стоек.

L’0 = L’16 = 1,6 м.

L’2 = L’14 = 1,98 м.

L’4 = L’12 = 2,36 м.

L’6 = L’10 = 2,74 м.

L’8 = 3,1 м.

Определяем геометрические длины всех раскосов.

 L’5=L’11=3,8м


Определение нагрузок на ферму.

На ферму действует два вида нагрузок:

§ Постоянная от собственного веса конструкций покрытия

§ Кратковременная снеговая

Таблица 1 - Нагрузки на ферму приведены в табличной форме:

Вид нагрузки

Составляющие нагрузки

Нормат. Значение нагрузки, кН/м2

Коэффи циент надеж-ности по нагрузке

Расчетное значение нагрузки, gi кН/м2

Постоянная

Гравийная защита-20мм;

ж/б плита

gn=0,4; 1,4

γf=1,3; γf=1,1

gn*γf=0,52; 1,54

Гидроизоляционный рубероидный ковер в 3 слоя

0,15

1,3

0,198

Утеплитель-пенобетоннные плиты толщиной120мм,

γ=5 кН/м3

0,6

1,2

0,72

Пароизоляция из одного слоя рубероида

0,05

1,3

0,065

Выравнивающая цементная стяжка толщиной 20мм

0,4

1,3

0,52

Стальные конструкции покрытия (фермы, связи)

0,4

1,05

0,42

ИТОГО



g=3,98

Кратко-временная

Снег по всему покрытию

0,5

1,4

0,7


ВСЕГО


Собственный вес фермы со связями определяется по формуле

gn=1,2ψir L, где ψir =3- коэффициент веса, изменяющийся для ферм L=12…24м при нагрузке 1,4…4кН/м2

gn=1,2·3·24=86,4 кН/м2

Полное расчетное значение снеговой нагрузки:

S=Sn· γf ,где γf-коэффициент надежности по нагрузке. =1,4

S=0,5·1,4=0,7кН/м2

Нормативное значение Sn=1*S0

Sn=1·0,5=0,5 кН/м2

Расчетное значение погонной постоянной нагрузки (кН/м), где В=6м-шаг фермы

g1=gB=3,98·6=23,88кН/м

Расчетное значение погонной снеговой нагрузки(кН/м)

S1=SВ=0,7·6=4,2кН/м

Узловая нагрузка на промежуточные узлы фермы (кН)

F1=(g1+S1)·d,

где d=3м- длина панели верхнего пояса

F1=(23,88+4,2)·3=84,24 кН

Нагрузка на надопорный узел F2 будет вдвое меньше, так как она собирается с половины панели

F2=0,5 F1

F2=0,5·84,24=42,12 кН

Опорные реакции определяются по формуле V=ΣFi/2,

где ΣFi- сумма всех узловых нагрузок на ферму

V=8*84,24/2=336,96 кН

Определение усилий в стержнях фермы

 

Загружение 1


Эпюра N

Единицы измерения - кН

№ элем

N(кН)

№ элем

N(кН)

№ элем

N(кН)

1

-337

12

-641

23

-45

2

-337

13

-703

24

-131

3

0

14

-676

25

-229

4

447

15

-676

26

53

5

643

16

-703

27

64

6

693

17

-641

28

236

7

693

18

-521

29

492

8

643

19

-229

30

53

9

447

20

-131

31

64

10

0

21

-45

32

236

11

-521

22

85

33

492


Усилия ( нормальные силы ) в стержнях фермы пролетом 24 м

Элементы фермы

Обозначение стержней

Усилия в стержнях, кН

Сжатие

Растяжение

Верхний пояс

18

17

16

15

14

13

12

11

521

641

703

676

676

703

641

521


Нижний пояс

3

4

5

6

7

8

9

10


0

447

643

693

693

643

447

0

Раскосы

33

32

31

30

26

27

28

29







492

236

64

53

53

64

236

492

Стойки

2

19

20

21

22

23

24

25

1

337

229

131

45

45

131

229

337





85



Подбор уголковых профилей для стержней фермы

Стропильные фермы относятся к так называемым легким фермам, для которых наиболее распространены стержни таврового сечения из двух прокатных уголков. Перспективными являются фермы, стержни которые

выполняются из труб, фермы с применением элементов таврового сечения и др.

Назначение толщины фасонок

Толщина узловых фасонок назначается в зависимости от усилий в стержнях решетки. По наибольшему усилию назначается толщина фасонок = 14мм, которая может быть принята одинаковой во всех узлах фермы.

Подбор сечений стержней фермы

Верхний пояс:

Требуемая площадь сечения сжатого стержня (см2) определяется из условия обеспечения его устойчивости по формуле

Aтр=N·γn/φ·Ry· γc

где N- продольная сила в стержне, кН

φ-коэффициент продольного изгиба

Задаемся гибкостью λ=90; φ=0,6

Aтр=703·1,1/0,6·33·0,85=46 см2

Затем находят требуемые радиусы инерции (см):


где

λ0 =90 – гибкость стержня;

= 3 м - расчетная длина стержня в плоскости фермы, принимаемая равной его геометрической длине;

- расчетная длина стержня из плоскости фермы, зависящая от системы связей между фермами и от способа крепления к фермам плит или прогонов (можно принимать  =  ).

ix тр= iу тр= 300/90=3,3 см

Принимаем сечение из двух уголков №10 (толщина фасонки 14мм)

Афакт,уголка=29,8 см2

ix=2,98 см= iy

Посчитаем фактические гибкости стержня:


Т.к. уголок равнополочный, принимаем

λх = 300/2,98=101

λy = 101

φmin=0,5

Проверка стержня на устойчивость:

σ=N / φ ·A<Ry· γc/ γn

σ=703/(0,5·2*29,68) =11,8<33*0,85/1,1=12,8 -условие выполняется

Фактические гибкости сопоставляются с предельной гибкостью, равной для сжатых поясов и опорных раскосов: λu=180-60α,

где α- коэффициент, принимаемый не менее 0,5


α=703·1,1/(0,5·59,36·0,85·33) =0,93

λu=180-60·0,93=124,2

λх=101 < λu=124,2 -сечение принято

Нижний пояс: Требуемая площадь сечения уголков растянутого стержня (см2) определяется по формуле:

Aтр=N·γn/ Ry· γc

где N- продольная сила в стержне, кН

Aтр=693·1,1/33·0,85=27,2 см2

Принимаем сечение из двух уголков №11/7

Афакт,уголка=13,93 см2

Затем подобранное сечение проверяем по гибкости

ix=3,51 см, iy=1,98 см ,

λх=lx/ix=300/3,51=85,5 < λu=400

λy= ly/iy=300/1,98=151,5< λu=400

где lx- расчетная длина стержня в плоскости фермы, равная его

геометрической длине

ix - радиус инерции принятого сечения

Сечение принято.

Стержни решетки:

Требуемая площадь сечения сжатого стержня стойки (см2) определяется из условия обеспечения его устойчивости по формуле

Aтр=N·γn/φ·Ry· γc

Задаемся гибкостью λ=150; φ=0,2

Aтр=337·1,1/0,2·33·0,85=66,1 см2

Принимаем сечение из двух равнополочных уголков №12,5:

Афакт,уголка=33,37см2

ix=3,8см=iy

λх=0,8*lmax/ix=0,8*410/3,8=86,3=λy

φmin=0,5

Проверка стержня на устойчивость

σ=N / φ ·A<Ry· γc/ γn

σ=337/0,5·2*33,7=10,1<33·0,8/1,1=24 - условие выполняется Предельная гибкость:

λu=210-60α

где α- коэффициент, принимаемый не менее 0,5.

α=N·γn / φmin·Ry· γc·A=337·1,1/0,5·66,74·0,8·33=0,42

λu=210-60·0,5=180

λх=86,3 < λu=180- сечение принято

Требуемая площадь сечения растянутых раскосов (см2) определяется по формуле:

Aтр=N·γn/ Ry· γc

где N- продольная сила в стержне, кН

Aтр=492·1,1/33·0,85=19,3 см2

Принимаем сечение из двух неравнополочных уголков №8/6 (толщина фасонки 14 мм)

Афакт,уголка=10,67см2

Затем подобранное сечение проверяем по гибкости

ix=2,5см iy=1,74см

λх=0,8lx/ix=0,8*380/2,5=122 < λu <400

λy= ly/iy=380/1,74=218 < λu <400

Сечение принято.

Требуемая площадь сечения сжатых раскосов (см2) определяется из условия обеспечения его устойчивости по формуле

Aтр=N·γn/φ·Ry· γc

Задаемся гибкостью λ=150; φ=0,2

Aтр=337·1,1/0,2·33·0,85=66,1 см2

Принимаем сечение из двух равнополочных уголков №12,5:

Афакт,уголка=33,37см2

ix=3,8см=iy

λх=0,8*410/3,8=86,3=λy

φmin=0,5

Проверка стержня на устойчивость

σ=N / φ ·A<Ry· γc/ γn

σ=337/0,5·66,74=10, 1 < 33·0,8/1,1=24 -условие выполняется Предельная гибкость:

λu=210-60α

где α- коэффициент, принимаемый не менее 0,5.

α=N·γn / φmin·Ry· γc·A=337·1,1/0,5·66,74·0,8·33=0,42

λu=210-60·0,5=180

λх=86,3 < λu=180- сечение принято

Сечение принято.

Результаты расчетов по подбору профилей для стержней фермы

Элемент

Обозн.

Стерж.

Усил.

КН

Прин.

сечен.

Площ.

Сечен.

См2

Радиусы

инерции,см

Гибкость

λu

φm


γc

σ

кН/см2

R γc/ γn

кН/см2

ix

iy

λx

λy


Верхний пояс

18

-521

110х110х8

59,36

2,98

2,98

101

101

124,2

0,5

0,85

8,8

33

17

-641

110х110х8

59,36

2,98

2,98

101

101

124,2

0,5

0,85

10,8

33

16

-703

110х110х8

59,36

2,98

2,98

101

101

124,2

0,5

0,85

11,8

33

15

-676

110х110х8

59,36

2,98

2,98

101

101

124,2

0,5

11,4

33

14

-676

110х110х8

59,36

2,98

2,98

101

101

124,2

0,5

0,85

11,4

33

13

-703

110х110х8

59,36

2,98

2,98

101

101

124,2

0,5

0,85

11,8

33

12

-641

110х110х8

59,36

2,98

2,98

101

101

124,2

0,5

0,85

10,8

33

11

-521

110х110х8

59,36

2,98

2,98

101

101

124,2

0,5

0,85

8,8

33



Раскосы

33

492

70х70х5

21,34

2,5

1,74

122

218

400

-

0,85

23,1

33

32

236

70х70х5

21,34

2,5

1,74

122

218

400

-

0,85

11,1

33

31

64

70х70х5

21,34

2,5

1,74

122

218

400

-

0,85

3

33

30

-53

70х70х5

66,74

3,8

3,8

86,3

86,3

180

0,5

0,8

0,8

33

26

-53

70х70х5

66,74

3,8

3,8

86,3

86,3

180

0,5

0,8

0,8

33

27

64

70х70х5

21,34

2,5

1,74

122

218

400

-

0,85

3

33

28

236

70х70х5

21,34

2,5

1,74

122

218

400

-

0,85

11,1

33

29

492

70х70х5

21,34

2,5

1,74

122

218

400

-

0,85

23,1

33






Раскосы



Стойки

2

-337

75х75х6

66,74

3,8

3,8

86,3

86,3

180

0,5

0,8

5,1

33

19

-229

75х75х6

66,74

3,8

3,8

86,3

86,3

180

0,5

0,8

3,4

33

20

-131

75х75х6

66,74

3,8

3,8

86,3

86,3

180

0,5

0,8

2

33

21

-45

75х75х6

66,74

3,8

3,8

86,3

86,3

180

0,5

1

0,7

33

22

85

75х75х6

21,34

2,5

1,74

122

218

180

-

0,85

4

33

23

-45

75х75х6

66,74

3,8

3,8

86,3

86,3

180

0,5

0.8

0,7

33

24

-131

75х75х6

66,74

3,8

3,8

86,3

86,3

180

0,5

0,8

2

33

25

-229

75х75х6

66,74

3,8

3,8

86,3

86,3

180

0,5

0,8

3,4

33

1

-337

75х75х6

66,74

3,8

3,8

86,3

86,3

180

0,5

0,8

5,1

33



Нижний пояс

3

0

70х70х6

27,86

3,51

1,98

85,5

151,5

400

-

0,85

0

33

4

447

70х70х6

27,86

3,51

1,98

85,5

151,5

400

-

0,85

16,1

33

5

643

70х70х6

27,86

3,51

1,98

85,5

151,5

400

-

0,85

23,1

33

6

693

70х70х6

27,86

3,51

1,98

85,5

151,5

400

-

0,85

24,9

33

7

693

70х70х6

27,86

3,51

1,98

85,5

151,5

400

-

0,85

24,9

33

8

643

70х70х6

27,86

3,51

1,98

85,5

400

-

0,85

23,1

33

9

447

70х70х6

27,86

3,51

1,98

85,5

151,5

400

-

0,85

16,1

33

10

0

70х70х6

27,86

3,51

1,98

85,5

151,5

400

-

0,85

0

33

Таблица - Количество типов уголков

Расчет узлов фермы

Стержни фермы в узлах связываются листовыми фасонками, к которым они прикрепляются с помощью электросварки.

Конструктивная длина шва по обушку определяется по формуле


длина шва по перу определяется по формуле


где α- коэффициент, учитывающий долю усилия, приходящегося на обушок

N- усилие в стержне, кН

βf-коэффициент провара (при ручной сварке βf=0,7)

Kf1, Kf2- толщины швов соответственно по обушку и по перу, см

Rwf- расчетное сопротивление угловых швов среза по металлу шва,

равное при использовании электродов типа Э50: Rwf= 21 кН/см2

γwf- коэффициент условий работы шва; γwf=1

Коэффициент α принимаем равным: для равнополочных уголков α=0,7.

Толщина шва по перу уголка принимается на 2 мм меньше толщины полки уголка, но не менее 4 мм. Максимальная толщина шва по обушку уголка не должна превышать 1,2t min, где tmin-толщина более тонкого элемента (фасонки или полки уголка).

Минимальная длина шва должна составлять 4 Кf или 40 мм. Максимальная расчетная длина шва не должна превышать 85βf Кf .

Узел «Е»

Определим длины швов поясов «6» и «7» (δ=6мм) :

Конструктивная длина шва по обушку

Принимаем lw1 = 22 см.

Длина шва по перу

lw2 = 13 см.

Кf1 = 8мм = 0,8см. Kf2 = 6 мм = 0,6 см.

Определим длины швов пояса «30» и «26» (δ=6мм) :

Конструктивная длина шва по обушку

Принимаем lw1 =4 см.

Длина шва по перу

lw2 = 4 см.

Кf1 = 8 мм = 0,8 см. Kf2 = 6 мм = 0,6 см.

Определим длины швов пояса «22» (δ=6мм) :

Конструктивная длина шва по обушку

Принимаем lw1 =4 см.

длина шва по перу

lw2 = 4 см.

Кf1 = 8 мм = 0,8 см. Kf2 = 8 мм = 0,8 см.

Рассчитанные длины швов наносятся на схему узла, после чего выявляются размеры фасонки и ее очертание. Принимаемое очертание фасонки должно быть простым, желательно прямоугольным.

Узел Е должен иметь опорное ребро 16…25мм. Минимальная ширина ребра 180 мм.

Таблица сварных швов в узлах фермы

Узел

Обозначение стрежней


Расчетное усилие, кН

Катет шва, см

Длина шва, мм

Конструктивная длина шва, мм

По обушку

Kf1

По перу

Kf2

По обушку


По перу


По обушку

L1

По перу

L2


Е

22

85

0,8

0,8

4

4





26

53

0,8

0,6

4

4



30

53

0,8

0,6

4

4



6

693

0,8

0,6

22

13



7

693

0,8

0,6

22

13




Общая расчетная длина сварных швов (см), прикрепляющих горизонтальную накладку к полкам уголков по одну сторону стыка:


где N- усилие в стержне нижнего пояса, помыкающем к монтажному узлу ,кН.

Более подробно с конструкциями узлов стропильных ферм и особенностями их расчета следует ознакомиться по рекомендуемой литературе (1);(5);(7).

Итогом проектирования стропильной фермы является составление спецификации металла на отправочный элемент, форму которой следует принять по учебнику (1).

 

5.Расчет поперечной рамы каркаса

 

Определение нагрузок на раму.

На раму действуют нагрузки

а) постоянная – от собственного веса конструкций

б)кратковременные: снеговая; крановая – вертикальная от давления колес мостового крана и горизонтальная от торможения тележки; ветровая.

Рис. Рама

А) Постоянная нагрузка на раму. На стойку рамы будет действовать опорная реакция ригеля (кН) Vg=g1L/2, где L- пролет ригеля (фермы); g1 – погонная расчетная нагрузка, кН/м2

Vg=23,88·24/2=286,56 кН

б) Снеговая нагрузка на раму. На стойку рамы будет действовать соответствующая опорная реакция ригеля (кН) Vр=S1L/2, где S1 – погонная расчетная снеговая нагрузка, кН/м2

Vр=4,2·24/2=50,4 кН

Вертикальные крановые нагрузки. Крановая нагрузка на поперечную раму определяется от двух сближенных кранов, расположенных таким образом, чтобы нагрузка была наибольшей.

Расчетная вертикальная сила (кН), действующая на стойку (колонну), к которой приближены тележки кранов

Dmaxf·nc·Fn max·Σyi+G,

где Fn max- наибольшее давление колеса

γf- коэффициент надежности по нагрузке, γf=1,1

Σyi- сумма ординат влияния для опорного давления на колонну

nc – коэффициент сочетания: nc=0,85

G- вес подкрановой балки, кН

Ординаты линий влияния y1=0,267, y2=1; y3=0,8; y3=0,066.

Dmax=1,1·0,85·315·(0,267+1+0,8+0,066)+10,5 =717,36 кН

Расчетная вертикальная сила, действующая на другую стойку рамы

Dminf·nc·Fn min·Σyi+G,

где Fn min- наименьшее давление колеса на кран (кН)

Fn min=(P+Gc)/n0- Fn max

P- грузоподъемность крана

Gc- общий вес крана с тележкой

n0- число колес на одной стороне крана n0=2

Fn min=(300+520)/2- 315=95 кН

Dmin=1,1·0,85·95·2,4+10,5=223,68 кН

Горизонтальные крановые нагрузки.

Расчетная горизонтальная сила (кН)

Tc= γf·nc·Tn·Σyi,

где Tn- нормативная горизонтальная сила при торможении тележки,

приходящаяся на одно колесо крана.

Горизонтальная сила Tc может действовать на левую или правую стойку рамы, причем как в одну, так и в другую сторону.

Tc= 1,1·0,85·10,5 ·2,4=23,6 кН

Ветровая нагрузка.

Расчетное значение погонной ветровой нагрузки в стойке рамы (кН/м):

С наветренной стороны (положительное давление):

gw= γf·c·K·WоB

gw= 1,4·0,8·1·0,48·6=3,2кН/м

С заветренной стороны

gw´= γf·c´·K·WоB

gw´= 1,4·0,6·1·0,48·6=2,4 кН/м

где γf=1,4 – коэффициент надежности по нагрузке; с, c´ - аэродинамические коэффициенты,

Схема к определению

ветровой нагрузки (для местности типа А) равные в данных условиях

соответственно 0,8 и 0,6

К – коэффициент, учитывающий изменение ветрового давления по

высоте, К=1

Wc- нормативное значение ветрового давления ,

В- шаг поперечных рам,

Ветровая нагрузка (кН), действующая на шатер, заменяется сосредоточенными силами, приложенными на уровне ригеля:

С наветренной стороны Fw= γf·c·K·Wо·B·h

С заветренной стороны Fw´= γf·c´·K·Wо·B·h

где К- коэффициент, равный 1

h- высота шатра, м

Fw= 1,4·0,8·1·0,48·6·3,1=10 кН

Fw´= 1,4·0,6·1·0,48·6·3,1=7,5 кН

Суммарная сила Fwо= Fw+ Fw´ cчитается приложенной к левой стойке рамы на уровне низа ригеля.

Fwо=10+7,5=17,5 кН

В курсовом проекте разрешается считать конструкцию стенового заполнения самонесущей, опирающееся на фундаменты. Поэтому вес стеновых ограждающих конструкций при расчете рамы не учитывается.

Определение усилий в стойках рамы

Фактическая высота верхней части колонны (стойки) (м):

l2=hg+hr+H2-0,15,

где hg – фактическая высота подкрановой балки с учетом выступающей части опорного ребра

hg=600 мм;

hr – высота кранового рельса; hr=120мм

l2=0,6+0,12+3,4-0,15=3,97м

Фактическая высота нижней части колонны (м):

l1=l-l2=11,2-3,97=7,2м

Далее следует предварительно принять соотношение между жесткостями сечений верхней и нижней частей колонны:


где J1; J2 -моменты инерции сечений нижней и верхней частей колонны.

Расчетная схема рамы и характерные сечения стойки

Определение усилий в стойках рамы

Усилия в стойках рамы от постоянной нагрузки

 

От действия силы Vg( рис.16 ) на уровне ступени колонны вследствие смещения осей верхней и нижней частей стойки возникает изгибающий момент


где е - эксцентриситет, равный приближенно:

е=0.5*(1000-500)=250мм

Мg=286,56*0,25=71,64кН*м

Нормальная сила в ригеле рамы от постоянной нагрузки (то есть лишнее неизвестное) (кН):

Xg= 3*71,64*(1-0,3552)/2*11,2(1+0,3553*9)=5,98кН

где ;

 Рекомендуется принимать n= 8…12

В стойках будут действовать изгибающие моменты (рис.17 ):

в сечении 1-1 =71,64-5,98*11,2=-4,7кНм

в сечении 2-2 =71,64-5,98*3,97=47,9кНм

в сечении 3-3 =-5,98*3,97=-23,74кНм

Нормальная сила в стойках рамы (кН) =286,56кН

Поперечная сила в левой стойке =5,98кН

Рис. 17. Эпюра усилий в раме от постоянной нагрузки

Усилия в стойках рамы от снеговой нагрузки

Значения усилий в стойках рамы от снеговой нагрузки определяются путем умножения соответствующих усилий от постоянной нагрузки на переходной коэффициент К= Vp/ Vg=50,4 /286,56 =0,18

Усилия в стойках рамы от вертикальных крановых нагрузок

От действия сил вертикального давления кранов на уровне консолей в стойках рамы возникают моменты

Mmax= Dmax·ec

ec=0, 5 м

Mmax= 717,36 ·0,5=358,68 кН·м

Mmin= Dmin·ec

Mmin=223,68 ·0,5=111,84 кН·мСхема к определению ес

,

где


Изгибающие моменты в расчетных сечениях левой стойки

Mс 1-1= Xсl- Mmax =19,6·11,2-358,68 = -139,16 кН·м

Mс 2-2= Xсl2- Mmax=19,6·3,97-358,68 = -280,87 кН·м

Mс 3-3= Xсl2 =19,6·3,97=77,8кН·м

Изгибающие моменты в расчетных сечениях правой стойки

Mс ´1-1= Xсl- Mmin=19,6·11,2-111,84=107,7 кН·м

Mс ´2-2= Xсl2- Mmin=19,6·3,97-111,84= -34кН·м

Mс ´3-3= Xсl2 =19,6·3,97=77,8кН·м

Нормальная сила в левой и правой стойках (кН):

N= Dmax=717,36 кН

N’= Dmin=223,68 кН

Поперечные сили в левой и правой стойках (кН):

Q= -19,6 кН

Q’= 19,6 кН

 

Усилия в стойках рамы от горизонтальных крановых нагрузок

Усилие Х в ригеле (кН):


Изгибающие моменты в расчетных сечениях левой стойки:

MТ 1-1=±[ 23,6*7,23-4,1*11,2] =±124,7 кН·м

MТ 2-2= MТ 3-3=±4,1·3,97=±16,3Н·м

Изгибающие моменты в расчетных сечениях правой стойки:

MТ 1-1=±4,1·11,2=±45,92 кН·м

MТ 2-2= MТ 3-3=±4,1·3,97=±16,3 Н·м

Поперечная сила в нижней части левой стойки Q=±( Xс-Tc)= ±4 кН

в правой стойке Q=±XТ=±4,1 кН

Эпюры моментов в раме от горизонтальной крановой нагрузки

Усилия в стойках рамы от ветровой нагрузки

Нормальная сила в ригеле (кН) от положительного ветрового давления:

Усилия в левой колонне при ветре слева

Изгибающие моменты в расчетных сечениях левой стойки:

Mw1-1= (12,1-17,5) ·11,2-(3,2·11,22/2)=-261 кН·м


Mw2-2= Mw3-3=(12,1-17,5) ·3,97-(3,2·3,972/2) = - 46,7 кН·м

Нормальная сила:Nw=0

Поперечная сила:

-в верхней точке колонны

Qw=17,5-12,1=5,4 кН

-в заделке колонны

Qw(1-1) =17,5-12,1+3,2*11,2=41,24 кН

Эпюры усилий в раме от ветровой нагрузки (ветер слева)

 

Эпюры усилий в раме от ветровой нагрузки (ветер справа)

Усилия в правой колонне при ветре слева

Изгибающие моменты в расчетных сечениях:


Mw1-1= 12,1·11,2+(2,4·11,22/2)=286кН·м

Mw2-2= Mw3-3=12,1·3,97+(2,4·3,972/2)=67 кН·м

Нормальная сила :

Поперечная сила:

в верхней точке колонны Qw=Xw

Qw=12,1кН

в заделке колонны Q¢w(1-1)=Xw+q¢wl

w(1-1)=12,1+2,4·11,2=38,98 кН

 

Эпюры усилий в раме от ветровой нагрузки (ветер слева)

При ветре справа колонны как бы меняются местами, при этом изменяется знак поперечной силы Q.

Таким образом:

Усилия в левой колонне при ветре справа:

Изгибающие моменты в расчетных сечениях:


Mw1-1= 12,1·11,2+(2,4·11,22/2)=286кН·м


Mw2-2= Mw3-3=12,1·3,97+(2,4·3,972/2)=67 кН·м

Нормальная сила :

Поперечная сила:

в верхней точке колонны Qw=-Xw

Qw=-12,1кН

в заделке колонны Q¢w(1-1)=-(Xw+q¢wl)

w(1-1)=-(12,1+2,4·11,2)=-39 кН

Усилия в правой колонне при ветре справа

Изгибающие моменты в расчетных сечениях левой стойки:

Mw1-1= (12,1-17,5) ·11,2-(3,2·11,22/2)=-261,2 кН·м

Mw2-2= Mw3-3=(12,1-17,5) ·3,97-(3,2·3,972/2) = - 46,7 кН·м

Нормальная сила:Nw=0

Поперечная сила:

-в верхней точке колонны

Qw=12,1кН

-в заделке колонны

Qw(1-1) =12,1+2,4*11,2=39 кН

Полученные результаты заносим в сводную таблицу.


Сводная таблица усилий в левой стойке рамы

Ном.

загр.

Вид

загружения

Схемы рамы и эпюр М





Коэф.

соче-

таний

Часть стойки

верхняя

Сечения

1-1

2-2

3-3

М

кН·м

N

кН

Q

кН

М

кН·м

N

кН

М

кН·м

N

кН

1

Постоянная нагрузка, собственный вес ригеля

1,0

-4,7

286,6

5,98

47,9

286,6

-23,7

286,6

2

Снеговая нагрузка

1,0

-0,9

51,6

1,1

8,6

51,6

-4,3

51,6

3

Крановые моменты

(тележка слева)

1,0

-139,2

717,4

-19,6

-280,9

717,4

77,8

717,4

4

Крановые моменты

(тележка справа)

1,0

107,7

223,7

19,6

-34

223,7

77,8

223,7


5

Поперечное торможение кранов (сила приложена к левой стойке)

1,0


±

124,7



±4




±

16,3







6

Поперечное торможение кранов (сила приложена к правой стойке)

1,0


±45,9




±4,1



±

16,3







7

Ветровая нагрузка

(ветер слева)

1,0

-2,61


41,2

-46,7





8

Ветровая нагрузка

(ветер справа)

1,0

261,2


39

-46,7





 

 

6.Расчет колонны

 

Определение расчетных усилий.

Расчетные усилия для верхней (сечение 3-3) и нижней (1-1) частей колонны принимаем по таблице

М1=392 кН·м

N1=1279 кН

М3=128 кН·м

N3= 1279 кН

Определение расчетных длин.

l1 =7230мм– длина подкрановой части колонны;

l2 =3970мм– длина надкрановой части колонны.

Расчетные длины частей колонны в плоскости рамы

lx2ef2l2=3·3,97=11,9м

lx1ef1l1=2,5·7,23=18,1м

Расчетные длины частей колонны из плоскости рамы

lу2ef=l2-hg=3,97-0,6=3,37м

ly1ef=l1=7,23м

Расчет верхней части колонны.

Предварительный подбор сечения.

Требуемая площадь поперечного сечения (см2)

Атр>Nγn(1,25+2,8ex/h2)/Ryγc

где ех=M/N =400/1300=0,31м

Атр>1300·1(1,25+2,8·0,31/0,5)/33·1=118 см2

Атр ≥ 118 см2

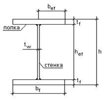
Толщину стенки принимаем tw=10мм

Площадь поперечного сечения стенки Aw=tw·hw

где hw – высота стенки: hw=h2-2tf=500-2·20=460мм

tf- толщина пояса колонны: tf=10…20мм

Aw=tw·hw=1·46=46см2

По конструктивным требованиям принимаем ширину полки

Bf= 180мм=18 см

Аf=2 Bf tf=2·18·2=72см2

 

Рис. Вычисление геометрических характеристик сечения

Фактическая площадь сечения (см2)

А2=hw·tw+2·Bf·tf

А2=46·1+2·18·2,0=118 cм2

 

Моменты инерции (см4)

Iy=2·tf·Bf3·/12=2·2,0·183·/12=1944см4

Ix=tw·hw3/12+2·Bf·tf·(h2/2+tf/2)2= 1·463/12+2·18·2,0·(50/2+2,0/2)2=56783см4

 

Момент сопротивления (см3)

Wx=2· Ix/h2=2· 56783/50=2271 см3

Ядровое расстояние (см) rx=Wx/A2=2271/118=19,3 см

Радиусы инерции (см)

ix=√(Ix/A2)=√(56783/118)=21,9 cм

iу=√(Iу/A2)=√(1944/118)=4,1 cм

Проверка устойчивости верхней части колонны в плоскости действия изгибающего момента.

Гибкость верхней части колонны в плоскости рамы

λх= lx2ef/ ix=1120/21,9=51,1

Условная гибкость λх= λх√(Ry/E)=51,1√(33/20600)=2,1

Оптимальный эксцентриситет m=ex/rx=31/19,3 =1,61

Проверка устойчивости осуществляется по формуле

N/φе·A2<Ryγcn

1300/0,435·118<33·1,0/1,0

25<33

Условие выполняется

Проверка устойчивости верхней части колонны из плоскости действия изгибающего момента.

Наибольшее значение изгибающего момента в пределах средней трети высоты верхней части колонны

M´x=2/3 Mx, где Мх- расчетный изгибающий момент в сечении 3-3

M´x=85,3 кН·м

Относительный эксцентриситет mx= M´x/N*rx=85,3/1300·0,193=0,34

Величина коэффициента с вычисляется по формуле с=β/(1+α·mx)

с=1,0/(1+0,8· 0,34)=0,79

Гибкость верхней части колонны в плоскости рамы

λу= lу2ef/ iу=337/4,1=82

Проверка устойчивости осуществляется по формуле

N/с·φу·A2<Ryγcn,

где φу – коэффициент продольного изгиба относительно оси Y-Y

1300/0,66·118·0,79=21,1<33·1,0/1,0=33

21,1<33

Проверка устойчивости поясов верхней части колонны

Отношение расчетной ширины свеса поясного листа Bef к его толщине tf не должно превышать для двутаврового сечения величины

Bef/tef=(0,36+0,1 λx)√(E/Ry)= (0,36+0,1·2,1)√(20600/33)=14

Ширина свеса Bef=(Bf-tw)/2=(18-1)/2=8,5 см

46/1=46<57,5

Значит, укреплять стенку поперечными ребрами жёсткости не надо.

Расчет нижней части колонны

Предварительное определение усилий в ветвях

Подкрановая ветвь колонки принимается из прокатного двутавра, наружная - из сварного швеллера.

Ориентировочное положение центра тяжести поперечного сечения нижней части колонны


y1=392·0,98/(392+392)=49 см

Где M1, M2 - абсолютные величины расчетных изгибающих моментов, догружающих подкрановую и наружную ветви;

ho=h-zo=100-2=98cм ; h=100см, zo=2…3 см

y2=ho-y1=98-49=49 см

Нормальные силы соответственно в подкрановой и наружной ветвях

Nb1=N1y2/ho+│M1│/ho= 1300·49/98+392/0,98=650кН

Nb2=N2y1/ho+│M2│/ho=1300·49/98+392/0,98=650 кН

Поперечное сечение нижней части колонны

Подбор сечений ветвей

Требуемая площадь поперечного сечения подкрановой ветви

Атр.1= Nb1γn/Ryγcφ=650·1/33·1·0,75=26,3 см2

где φ- коэффициент продольного изгиба, принимаемый в пределах 0,7…0,8

Высота двутаврового сечения для обеспечения устойчивости ветви из плоскости рамы должна составлять b>l1/30=241 мм

Принимаем двутавр №30 с Аb1=46,5 см2

Требуемая площадь поперечного сечения наружной ветви

Атр.2= Nb2γn/Ryγcφ=650·1/33·1·0,75=27 см2

Принимаем швеллер с hw= 320мм, tw= 8мм Bf = 75 мм tf =10мм

Аb2=32*0,8+7,5*1*2=40,6см2

Уточнение усилий в ветвях

Для уточнения нормальных сил в ветвях необходимо найти фактические значения zo, y1, y2

 

zo=(hwtw2/2+2bftf(bf/2+tw))/(hwtw+2bftf) zo=1,9см

ho=h-zo=100-1,9=98,1cм ;

y1b2ho/(Ab1+Ab2)=45,7 см

y2=ho-y1=98,1-45,7=52,4 см

Вычисление геометрических характеристик сечения наружной ветви

Момент инерции относительно осей y-y и x2- x2;

;

Iy=0,8·323/12+2·7,5·1(30-1,0)2 /4=5338,3 см4


где B- расстояние между наружными гранями полок сварного швеллера

Ix2= 0,8·32(3,7-0,4)2+2·1·7,53/12+2·1·7,5(3,75+0,8-3,7)2=360 см4

Радиусы инерции относительно оси Y-Y и Х2 - Х2

iy=√(Iy/Ab2)=11,5см

iх=√(Iх2/Ab2)=2,98см

 

Проверка устойчивости ветвей из плоскости рамы

- Подкрановой ветви относительно оси y-y


где iy - радиус инерции двутаврого сечения, определяемый по табличным данным ( ось y-y - см.рис.20).

λy1=723/11,5=63

- Проверка устойчивости подкрановой ветви:


где y -коэффициент продольного изгиба относительно оси y-y

σ=650/46,5=14<0,962*33*1/1=31,8

-Гибкость наружной ветви относительно оси y-y


где iy - радиус инерции швеллерного сечения.

λy2=723/11,5=63

Расчет базы колонны.

Площадь опорной плиты подкрановой ветви:


где - расчетное сопротивление бетона смятию

(рекомендуется принижать бетон класса B12,5, для которого Rb=7,5МПа=0,75 кН/см²

Атр.рl=650·1,0/1,2·0,75·1=722,2 см2

Больший размер опорной плиты в плане(рис. 25):


где B- высота двутаврого сечения ветви колонны;

c- свес плиты, принимаемый в пределах 40...60 мм.

Bpl=300+2·50=400мм

Меньший размер плиты:


L рl = 72222/400=180,56мм

Принимаем конструктивно Lрl=220мм

Толщину плиты примем 20мм. Высоту траверс можем принять равной 500мм

Подбор фундаментных болтов

Суммарное усилие в фундаментных болтах (в кН):


Nа=(392-1300*0,457)/0,963=210кН

Общая требуемая площадь фундаментных болтов:

 


где Rba- расчетное сопротивление фундаментных болтов(Rba=185 МПа = 18,5 кН/см², если болты выполняются из стали марки ВСтЗкп2 ).

Аb=210*1,0/18,5*1,0=11,4 см2

Обычно принимают 4 болта, тогда площадь сечения одного болта нетто:

Аbl =11,4/4=2,85см2

По сортаменту принимаем 4 болта диаметром 20 мм. Глубина заделки=800мм

Рис. 1- База колонны






















Схема к определении Na

 

Список используемой литературы

1.Васильев А.А. Металлические конструкции. –М.: Стройиздат,1979.

2.Сетков В.И., Сербин Е.П. Строительные конструкции: Расчет и проектирование. –М.: ИНФА-М, 2008.

3.Металлические конструкции в 3т. Т 1- Элементы конструкций/Горев В.В., Уваров Б.Ю., и др.-М.; Высшая школа.,2001.

4.Металлические конструкции в 3т. Т 2- Конструкции зданий/Горев В.В., Уваров Б.Ю., и др.-М.; Высшая школа.,2001.

5.Металлические конструкции. Под общ. ред. Л.Р. Маиляна. – Ростов н/Д:Феникс., 2005.

6.СниП 2.01.07-85*. Нагрузки и воздействия.- М.; Стройиздат,1998

7.СниП II-23-81* .Стальные конструкции.- М.; Стройиздат,1998

8.Справочник современного проектировщика. Под общ. ред. Л.Р. Маиляна. – Ростов н/Д:Феникс., 2005.


Не нашли материал для своей работы?
Поможем написать уникальную работу
Без плагиата!
Без нейросетей!