л.
3. Описание разрабатываемого
пищеварочного котла
3.1
Назначение оборудования
Котлы пищеварочные
электрические КПЭ-250 широко применяются на предприятиях
общественного питания.
Котлы
пищеварочные электрические КПЭ-250 предназначены
для приготовления первых, вторых и третьих блюд. Котлы данного типа относятся к
стационарным неопрокидывающимся с негерметичной крышкой. Допускается
эксплуатация их при температуре окружающего воздуха от 10° до 40°С.
3.2
Устройство котла
Разрабатываемый
котел имеет вместимость варочного сосуда 160 литров. Форма корпуса прямоугольная.
Котел
представляет собой сварную конструкцию, состоящую из цилиндрического варочного
сосуда с вогнутым днищем, наружного котла, покрытого теплоизоляцией и
облицовкой.
Замкнутое
пространство между варочным сосудом и наружным котлом служит пароводяной
рубашкой котла.
К дну
наружного корпуса приварена стальная коробка прямоугольной формы —
парогенератор, внутри которого находятся шесть тэнов, кран уровня воды и
электрод защиты «сухого хода».
Сверху
варочный сосуд котла закрывается откидной крышкой, имеющей пружинный
противовес, облегчающий подъем и удержание ее в открытом положении. Плотное
прилегание крышки к варочному сосуду обеспечивает резиновая теплостойкая
прокладка, уложенная по кольцевому пазу.
Для слива
жидкости из варочного сосуда установлен сливной края с сеткой. На котле
установлена контрольно-измерительная и предохранительная арматура, которая
служит для контроля и регулирует величину давления пара в пароводяной рубашке.
На котле
установлены: электро-контактный манометр, края уровня, двойной
предохранительный клапан и наполнительная воронка с запорным краном.
Манометр
установлен для измерения давления в пароводяной рубашке котла. На котлах
устанавливается электромагнитный манометр, с помощью которого можно
автоматически устанавливать уровень давления в пароводяной рубашке и
осуществлять управление тепловым режимом.
В таком
манометре установлено три стрелки. Одна подвижная и две неподвижные, которые
перемещаются при помощи специального ключа.
Подвижная
стрелка постоянно показывает давление в пароводяной рубашке котла. Неподвижные
стрелки перед началом работы устанавливаются на верхний и нижний предел
давления пара в рубашке.
При включении
парогенератора в работу, давление пара в пароводяной рубашке начинает
возрастать, и при достижении верхнего заданного уровня давления подвижная
стрелка совпадает с неподвижной, замыкаются их контакты, и котел автоматически
переключается на 1/6 его мощности.
Давление в
пароводяной рубашке начинает снижаться и при совпадении подвижной стрелки с
нижней неподвижной, котел снова переключается на максимальную мощность. Таким
образом, работа котла автоматически поддерживается в нужном заданном режиме
работы.
Двойной
предохранительный клапан состоит из двух клапанов — парового и вакуумного, —
которые служат для аварийного сброса пара из пароводяной рубашки, когда
давление возрастет свыше 0,05 МПА (0,5 кгс/см), и устранения разрежения в ней
после окончания работы котла.
3.3 Принцип
действия разрабатываемого пищеварочного котла
Рабочая
камера обогревается паром, образующимся в парогенераторе: при подводе тепла
вода в парогенераторе нагревается до кипения и превращается в пар. Пар
поступает в пароводяную рубашку и конденсируется на стенках варочного сосуда,
отдавая теплоту парообразования и нагревая их, и в виде конденсата стекает
обратно в парогенератор.
При повышении
давления в пароводяной рубашке котла сверх допустимой величины пар через паровой
колпак начинает выходить в атмосферу. Вакуумный клапан открывается под
давлением наружного воздуха, когда в рубашке образуется вакуум. Вакуум в
рубашке котла образуется при охлаждении котла в результате конденсации пара,
так как удельный объем пара больше удельного объема воды (конденсата).
Кран уровня
устанавливается в парогенераторе котла и контролирует верхний уровень воды, а
нижний уровень контролирует электрод «сухого хода».
Наполнительная
воронка с запорным краном предназначена для заполнения парогенератора
дистиллированной или кипяченой водой. Она установлена в верхней части котла и
имеет фильтрующую сетку с крышкой.
К котлу
подведен трубопровод горячего и холодного водоснабжения, которые соединяются в
одну поворотную трубу, заканчивающуюся краном с патрубком.
Рядом с
котлом на стене устанавливается станция управления, которая представляет собой
металлический ящик, внутри которого размещены клеммный щиток, два магнитных
пускателя, кнопки «Пуск» и «Стоп», сигнальные лампы, реле, плавкие
предохранители, переключатель режима работы котла, тумблеры с надписью
«Автоматическая работа» и «Разогрев».
Клеммный
щиток служит для соединения всех приборов станции управления к электросети.
Магнитные пускатели и кнопки включают и выключают тэны котла, а плавкие предохранители
защищают электрические цепи от короткого замыкания. Сигнальные лампы служат для
контроля подключения котла к электросети и режим его работы. С помощью
тумблеров включают требуемый режим работы котла.
Котел
работает в двух режимах. В первом режиме котел работает сначала на полной
мощности, а затем после повышения давления в рубашке да заднего верхнего
предела переключается на слабый нагрев (1/9 мощности). После понижения давления
до нижнего заданного предела котел вновь включается на полную мощность. Во
втором режиме котел работает на полной мощности до тех пор, пока давление в
рубашке не достигнет верхнего заданного предела. После этого нагревательные
элементы полностью отключаются. Доведение до готовности продукта осуществляется
за счет аккумулированного тепла.
3.4 Технические
характеристики пищеварочного котла КПЭ-250
|
Параметры
|
КПЭ-250
|
|
Полезная ёмкость в литрах
|
160
|
|
Продолжительность разогрева в мин. Не более
|
55
|
|
Потребляемая мощность кВт не более разогрев
|
30
|
|
варка
|
5
|
|
Рабочее давление в пароводяной рубашке МПа (кгс/см кв.) не более
|
0,05(0,5)
|
|
Диаметр водопровода в дюймах
|
1/2
|
|
|
Высота
|
1100
|
|
Ширина
|
1120
|
|
Длина
|
1050
|
|
Масса в кг.
|
283
|
|
Количество воды заливаемой в парогенератор
|
12 л
|
4. Расчетная
часть
4.1
Конструктивный расчет
где V- объема
варочного сосуда, мЗ
К - отношение
высоты сосуда к диаметру по конструктивным
эксплуатационным
соображениям. К = 0,3 - 1,2;
К1 -
отношение высоты стрелки к диаметру варочного сосуда,
конструктивным
и эксплуатационным соображениям К = 0,05 - 0,1.
Тогда высота
варочного сосуда и высота стрелки определяются
формулам:
Где
η зап - коэффициент заполнения варочного
сосуда, η зап = 0,8 -
0,85;
Затем
определяются конструктивные размеры наружного задавшись предварительно
диаметром, который должен быть больше диаметра варочного сосуда на 0,1 м, рассчитывается толщена изоляций, определяется диаметр защитного кожуха, высота крышки котла и
высота постамента котла. При этом учитывают, что для удобства обслуживания
высота котла не должна превышать 1,2 м.
Принимаем:
давление
в варочном сосуде - 0 кПа
Коэффициент
заполнения варочного сосуда - 80 - 90% от объема(0,82)
Максимальное
количество воды в варочном сосуде при принятом коэффициенте заполнения - 205 кг
Варочный
сосуд цилиндрической формы с вогнутым дном (К= 0,8, К1 =0,05) выполнен из
листовой нержавеющей стали толщиной - SBH = 2 мм Зазор между стенками варочного сосуда и наружного котла - SPy6 = 0,05 мм
Найдем высоту
варочного сосуда по формуле:
0.743*0.08=0.594
м
Высота
заполнения варочного сосуда определяется по формуле:
Hвн= 0,82 (0,8+0,5*0,05)*0,743=0,503 м
Определяем
размеры наружного котла, задавшись предварительно его диаметром, который должен
быть больше диаметра варочного сосуда на 0,1 это необходимо ля того, чтобы
между варочным сосудом и наружным котлом образовалось пространство, представляющее
собой рубашку для промежуточного теплоносителя.
Варочный
сосуд выполнен из листовой нержавеющей стали толщиной SBH= 2мм =
0,002м; наружный котел выполнен из углеродистой стали толщиной SH= Змм =
0,003м, зазор между стенками варочного сосуда и наружного котла равен Spy6 = 0,05 м.
Диаметр
наружного котла Dн вычисляем по формуле:
DH=Dвн +2*( Sруб + Sвн +Sн ) = 0,743+2*( 0,005+0,002+0,003) =
0,853 м
Высота
выпуклости наружного котла h равна:
Hн =Dн * Кi = 0.853*0.05 = 0.043 м
Устанавливаем
толщину изоляции стенок наружного котла, для чего предварительно определяем
удельные потери тепла изолированным котлом q коэффициент
теплоотдачи а от наружной поверхности котла воздуху для плоской стенки,
температуру стенки наружного котла принимаем равной температуре пара (при
избыточном давлении 0,4 атм - 140 кПа, ts 109,3°С), температуру изолируемой
стенки tkk = 60°С, так как температура на
поверхности котла не должна превышать 60°С.
где t в - температура воздуха в помещении, t воз = 20°С.
а = 9,1 А + 0,07 *
(60 - 20) = 12,54 (Вт./(м2°С))
а=12,54 *
(60 - 20) = 501,6 (Вт/м2)
Теплоизоляционный
материал — альфоль, гофрированная, ее коэффициент теплопроводности λ находим по
таблице, он определяется по следующей формуле:
λ= 0,059
+ 0,00026 * (ср, (Вт/(м2 °С))
tср= 0,5 * 109,3 + 60 = 87,7 °С
λ = 0,059 + 0,00026 * 84,7 = 0,081 Вт/(м2
°С)
Толщина
изоляции Dк определяется
по выражению: диаметр защитного кожух будет равен:
0,5 мм = 0,0005 м толщина листа кожуха, выполненного из листовой углеводородистой стали, покрытой светлой
малью.
D
=0.853+2*(0.008+0.0005)= 0.87 м
Учитывая, что
для удобства обслуживания общая высота котла не должна превышать НобЩ
<1,2 м, и принимая высоту сферической крышки Икр = Ьвн=
0,037м, определяем высоту постамента Нпост
Нпост = 1,2 – hвн – hн – hкр =
1,2-0,594-0,043-0,037 = 0,526 м
4.2 Теплотехнический расчет
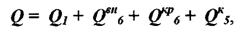
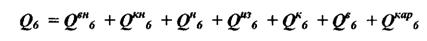
Расчет теплового баланса котла
Расчет
теплового баланса котла на электрообогреве соответственно для нестандартного и
стационарного режимов работы производится по формуле:
где
- полезно используемое тепло, Дж;
-потери тепла
в окружающую среду, Дж;
-потери тепла
на разогрев конструкций, Дж.
Полезно
используемое тепло определяется для нестационарного, а условно полезно
используемое тепло для стационарных режимов работы соответственно по
выражениям:
Q1 = W
C ( tkвод – tнвод ) + W * r
Q
יּ1 = Δ
Wיּ * r
где W
- максимальное количество воды в варочном сосуде при принятом
коэффициенте заполнения г| зал = 0,82, кг;
С -
теплоемкость воды, (Дж/(кг°С)), С = 4187 Дж/(кг °С)
( tн tk - соответственно начальная и конечная
температура воды, °С; количество испарившейся воды, при нестационарном режиме
работы котла
r - теплота
теплообразования, кДж/кг.
Потери тепла
ограждениями котла в окружающую среду рассчитываются для нестационарного и
стационарного режимов работы по формуле:
где
- коэффициент теплоотдачи, Вт/(м"
°С);
-площадь
>го элемента поверхности аппарата, м2
-температура
^-го элемента поверхности аппарата, С;
т
- время работы аппарата, с.
Потери тепла
дном котла незначительны, и ими можно пренебречь.
Потери на
разогрев конструкции рассчитывают по формуле:
где
- масса ] -го элемента аппарата,
- теплоемкость ^-го элемента
аппарата, Дж/(кг °С);
- конечная и начальная температура
соответственно >го аппарата, °С
Полезно
используемое тепло при расчете пищеварочных котлов определяется из условий
нагревания и кипения воды. Полезно используемое определяется для стационарного,
а условно используемое тепло для стационарного режимов работы соответственно по
выражениям:
Q1 = W
C ( tkвод – tнвод ) + W * r
Q
j = Δ
W * r
Где pвоз плотность
воды, pвоз ~ 1 кг/д3,
при температуре t водн = 20 °С; t водк -
температура кипения, t водк = 100 °С
- для
стационарного режима,
- для нестационарного;
г= 2257,5
кДж/кг - теплота парообразования.
= 205 * 4187 * (100 - 20) = 68,67 * 106 Дж;
= 2,05 * 2257,2 = 4,63 * 106 Дж
Потери тепла
ограждениями котла в окружающую среду определяются нестационарного и
стационарного режимов по формуле:
Поверхность
стенок кожуха котла определяется как боковая поверхность цилиндра по выражению:
Fk =п*Dк *Hобщ
Рк=
3,14 * 0,8702 / 4 = 0,594 ( м2)
Поверхность
крышки и верхней горизонтальной поверхности котла определяется приблизительно
как площадь круга:
Fкр =п*D2 кр/4
Fкр = 3,14 * 0,8702/ 4 = 0,594 (м2)
Начальная температура ограждений принимается равной
температуре воздуха в помещении 11К =
1вод =
20 °С
Коэффициент теплоотдачи, может быть, рассчитал по формуле:
а
= 9,74 + 0,07* (I ср]
- (воз), (Вт/м2°С) — для нестационарного режима,
а'
= 9,74 + 0,07 * (I ку- - 1в03), (Вт/м2оС) — для стационарного режима,
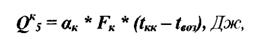
Q5 = [12,36 * 0,594 * (57,5 - 20) +11, 14 * (40-20) * 3,28]*3900 = 3,924 * 106
0'5= [14,99 * 0,594 * (95-20) + 12,54 * 3,28 * (40-20)]*3600 - 8,327 * 106 (Дж)
Потери
тепла дном котла незначительны, и ими можно пренебречь.
Потери на разогрев
конструкции определяются по выражению
Потери тепла на разогрев варочного сосуда котла определяем по
формуле:
где
-
соответственно теплоемкость материала, масса, конечная
температура варочного сосуда котла.
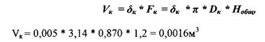
Объем
варочного сосуда определяют по формуле:
Плотность
материала, кг/м - 7800.
Масса
варочного сосуда, кг –
М
вн = 0,0036 * 7800 = 28,08кг.
Конечная
температура, X ш = 100°С.
Теплоемкость
материала элемента, Дж/(кг°С) — 462.
Qвн6 = 462 * 28,08 * (100 - 20) = 1037,8
* 103 Дж
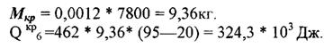
Потери котла на разогрев крышки определяем по формуле:
Где Скр, Мкр, t ккр
- соответственно теплоемкость материала, масса, конечная
температура крышки котла.
Крышка котла изготовлена из нержавеющей стали.
Теплоемкость нержавеющей стали Сср = 462 Дж/(кг°С).
Плотность материала, кг/м3 - 7800. Конечная температура, °С X
ккр = 95.
Вычислим объем крышки по формуле
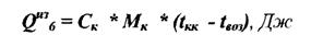
Потери котла на разогрев наружного котла с парогенератором
определяем по формуле:
где Сн, Мн, 1кн
- соответственно теплоемкость материала, масса, конечная
температура наружного котла с парогенератором. Наружный котел изготовлен из
стали углеродистой.
Теплоемкость стали углеродистой Сн = 462 Дж /(кг°С).
Плотность материала, кг/м3 — 7800.
Конечная температура, 1н = 109,3 ~ ^
где Сиз,
Миз, I киз -
соответственно теплоемкость материала, масса,
конечная температура теплоизоляционной конструкции.
Материал
элемента — асфоль.
Теплоемкость
асфоли Сиз - 92 Дж/(кг°С).
Плотность
асфоли, кг/м3 20
Конечная
температура:
Вычислим объем теплоизоляционной конструкции по формуле:
V= 0,008 * [3,14 * (0,594 + 0,043) * (0,853 + 0,008)] = 0,0138 м3.
Масса теплоизоляционной конструкции, кг
-Миз = 0,0138 * 20 = 0,276 кг.
(QИ36 = 92 * 0,276 * (84,65 - 20) = 1,64 * 103 Дж
Потери тепла на разогрев кожуха котла определяем по
формуле:
Где
Ск, Мк, 1кк -
соответственно теплоемкость материала, масса, конечная температура кожуха
котла.
Материал
кожуха котла - сталь углеродистая. Теплоемкость материала - 462 Дж/(кг°С).
Плотность материала - 7800 г/м3.
Конечная
температура: tкк=60°С.
Вычислим объем кожуха котла по формуле:
Потери
тепла на воду в парогенераторе определяем по формуле:
где
Св, Мв, 1кв -
соответственно теплоемкость воды, масса, конечная температура воды в парогенераторе.
Материал: вода.
Теплоемкость
воды, Св = 4187 Дж/(кг°С).
Плотность
воды - 1000 кг/м3.
Конечная
температура: (3 = 109,3 °С.
Вычислим объем воды в парогенераторе по формуле:
Vв= 0,2* 0,2* 0,4 = 0,016м3
Масса
воды в парогенераторе, кг - Мв = Ув *рв
Мв= 0,016 * 1000 = 16кг
Потери
тепла на разогрев воды в парогенераторе:
Qв6 = 4187 * 16 * (109,3 - 20) = 5982,38 * 103 Дж.
Потери
тепла на разогрев каркаса и арматуры котла определяем по формуле:
где СКар,Мкар, (ккар -
соответственно теплоемкость материала, масса, конечная температура каркаса и
арматуры котла.
Материал элемента - сталь углеродистая.
Плотность материала - 7800 кг/м3.
Масса
элемента: 250% от массы варочного сосуда,
то
есть m = 28,08 * 250/ 100 = 70,2кг
Конечная
температура: t кар= ( ts +tk)/2 = (109,3 + 60) / 2 = 84,65
°С
Теплоемкость
материала - 462 Дж/(кг°С).
Qкар6 = 462 * 70,2 * (84,65 - 20) =
2096,75 * 103 Дж
Потери
на разогрев конструкции составляют:
Q6=1037,8*103+324,3*103+2429,6*103+1,64*103+230,63*103+5982,38 * 103 + 2096,75 * 103 = 12103,1 * 103 Дж
Потери тепла на разогрев постамента не
учитываются из-за незначительной
величины.
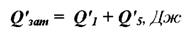
Расход тепла на нестационарный и стационарный
режим работы котла соответственно равен:
Q зат= 68,67 * 106 + 3,924 *
106 + 12,10 * 106 = 84,694 * 10б Дж
Q/зат =4,63 * 106 + 8,327 *
106 = 12,957 * 106 Дж
Расчет поверхности нагрева
пищеварочного котла. Расчет
необходимой площади нагрева пищеварочного котла определяется по формуле:
где Q –
количество тепла, которое надо передать через поверхность нагрева в единицу
времени, Вт/(Дж/с);
к - коэффициент теплоотдачи от теплоносителя к нагреваемой
среде, Вт/(м2оС);
Δtсрлог -
среднелогарифмическая разность температур, определяется по формуле:
где Δtб, Δtм
- соответственно наибольшая и наименьшая разности между температурой
теплоносителя и нагреваемой средой, °С.
Количество тепла, переданное через
поверхность нагрева, равно:
ГдеQ-полезно-используемоетепло,Дж;
QВН6 -
потери тепла на разогрев варочного сосуда, Дж;
QВН6 -
потери тепла на разогрев крышки котла, Дж;
QВН6 -
потери тепла кожухом котла в окружающую среду, Дж.
Потери тепла кожухом котла в окружающую
среду определяют
по формуле:

Qк5 = 11,14 * 3,28 * (40 - 20) * 3900 =
2850 * 103 Дж.
Количество тепла, переданное через поверхность нагрева,
равна:
Q = 68,67 * 106 + 1037,8 * 103 + 324,3 * 103 +2850,0
* 103 = 72,88 * 106 Дж.
Среднелогарифмическая
разность температур равна:
Δtcpлог = (109,3 - 20) - (109,3 - 100))/
2,31g* ((109,3
- 20) /(109,3 - 100)) = 35°С.
Коэффициент
теплопередачи для случая передачи тепла от конденсирующихся водяных паров к
воде приблизительно равен К = 2900 Вт/(м2°С).
Необходимая
поверхность нагрева будет равна:
F = 72,88 * 106/ (2900 * 3900 * 35) = 0,184м2
Фактическая
поверхность нагрева рассчитывается о формуле:
F = 3,14 * 0,743 * 0,594+ 3,14 * 0,7432 / 4 = 1,819 м2,
то
есть значительно больше необходимой.
Расход тепла
на нестационарный и стационарный режимы работы котла соответственно равен:
Q3aT = 84,694 * 106 Дж,
Q'3aT =12,957 * 106 Дж.
Коэффициент
полезного действия котла при нестационарном режиме работы равен:
η = 68,67 * 10б/ 84,694 * 106 = 0,81 или81%
Удельные
металлоемкости и расход тепла определяем по формулам
где,
Мм - масса металлоконструкции
аппарата, кг
где
Мп - масса готового продукта или полуфабриката
Найдем
массу постамента: она составляет 400% от массы варочного сосуда
Мпосг = 28,08 * 400 / 100 = 112,32 кг
Мм= 28,08 + 9,36 + 58,89 + 0,276 +
12,48 + 70,2 + 112,32 = 291,61кг.
Удельная
металлоемкость равна
Мм = 291,61 /250 = 1,17 кг/дм3.
Удельный
расход тепла
Q = 84,694 * 106 / 205 =413,14 * 103 Дж/кг
Металлоемкость
рассчитываемого аппарата ниже металлоемкости серийно выпускаемых аппаратов, что
объясняется некоторыми упрощением его
конструкции (одинарная крышка, отсутствие арматуры у варочного сосуда, меньшая
масса противовеса крышки и т.д.).
Что касается удельного расхода
электроэнергии, то он несколько выше ввиду низкого коэффициента заполнения
котла (ηзап ~ 0,82), когда как для серийно выпускаемых аппаратов он
принимается равным 0,9.
4.3 энергетический расчет
Мощность нагревательных элементов при
нестационарном и стационарных режимах работы соответственно
составит:
Р = 84,694 * 106 / 3900 = 21,72 * 103 Вт = 21,72 кВт
Р' = 12,957 * 106 / 3600 = 3,60 * 103 Вт = 3,60 кВт
Соотношение мощности котла при нестационарном и стационарном
равно:
Р/Р' = 21,72/3,60
Учитывая мощность тэнов принимаем
максимальную мощность Р = 24кВт минимальную
Р' = 4 кВт. В этом случае время разогрева составит
Траз = 84,694 * 106/24 * 103 =
3529 ~ 59 мин
Электрические пищеварочные котлы присоединяются к трехфазной
сети поэтому с точки зрения равномерной нагрузки фаз тэны целесообразно
устанавливать в количестве, кратное трем.
Для рассчитываемого котла максимальную мощность Р
целесообразно равной 24 кВт (при параллельно включенных шести тэнах по 4 кВт
каждый), а минимальную Р' равной 4 Вт (два последовательно соединенных тэна,
один тэн отключен). В этом случае соотношение мощности котла при нестационарном
и стационарных режимах: Р/Р' = 24/4 = 6
Заключение
Темой курсового проекта было задание разработать котел
электрический пищеварочный типа КПЭ полезной емкостью 250 л.
Разработанный
пищеварочный котел с электрообогревом отвечает требованиям технологии
приготовления пищи; обеспечивает тепловую обработку продуктов при минимальной
затрате энергии, так как у него нет тепла в результате механического и
химического недожога и с уходящими газами как у твердотопливных и газовых
пищеварочных котлов, удельный расход тепла за счет относительно меньших потерь
его в окружающую среду и на разогрев конструкции; обладает высокой степенью
надежности, создает оптимальные условия работы для обслуживающего персонала,
облегчает их труд; повышает качество приготовления пищи и обслуживания
посетителей; повышает производительность и требованиям техники безопасности и
производственной санитарии, обеспечивая безопасность обслуживающего персонала.
Список используемой литературы
1)Богданов
Г.А. и др. Оборудование предприятий общественного Учебник для сред. проф.-техн.
училищ / Г.А. Богданов, З.М. А.М. Богданова. — 3-е изд., перераб. — М.:
Экономика, 1991. — 303
2)Гуляев
В.А., Иваненко В.П., Исаев Н.И. и др. Оборудование предприятий торговли и
общественного питания. Полный курс: Учебник / проф. В.А. Гуляева. — М.: Т4ВФРА,
2004. — 543 с.
3)Золин
В.П. Технологическое оборудование предприятий общественного питания. — М.:
14РПО, Академия, 2000. — 256 с.
4) Литвина
Л.С, Фролова З.С. Тепловое оборудование предприятий общественного питания:
Учебник для мех. отделений
техникумов. — 3-е изд, и доп. — М.: Экономика, 1980. — 248 с.
5)Лунин
О.Г., Вельтищев В.Н., Калошин Ю.А. и др. Курсовое и дипломное проектирование. —
М.: Пищевая промышленность, 1990.
6)Титова
А.П., Шляхтина А.М. Торгово-технологическое оборудование: Учебник для технол.
отделений техяикумов. — М.: Экономика, 1983.—296 с.
7)Щеглов
Н.Г., Гайворонский К.Я. Технологическое оборудование предприятий общественного
питания и торговли: Учебник для средних специальных учебных заведений. — М.:
Издательский дом «деловая литература», 2001. — 480 с.